Interplay of Anisotropic Exchange Interactions and Single-Ion Anisotropy in Single-Chain Magnets Built from Ru/Os Cyanidometallates(III) and Mn(III) Complex
Abstract
1. Introduction
2. Results and Discussion
2.1. Synthetic Approach
2.2. Crystal Structure
2.3. Powder X-ray Diffraction Investigations
2.4. Magnetic Studies
2.4.1. Static Magnetic Properties and Their Theoretical Analysis
2.4.2. Magnetic Relaxation Parameters of 1 and 2 Derived from Static Magnetic Measurements
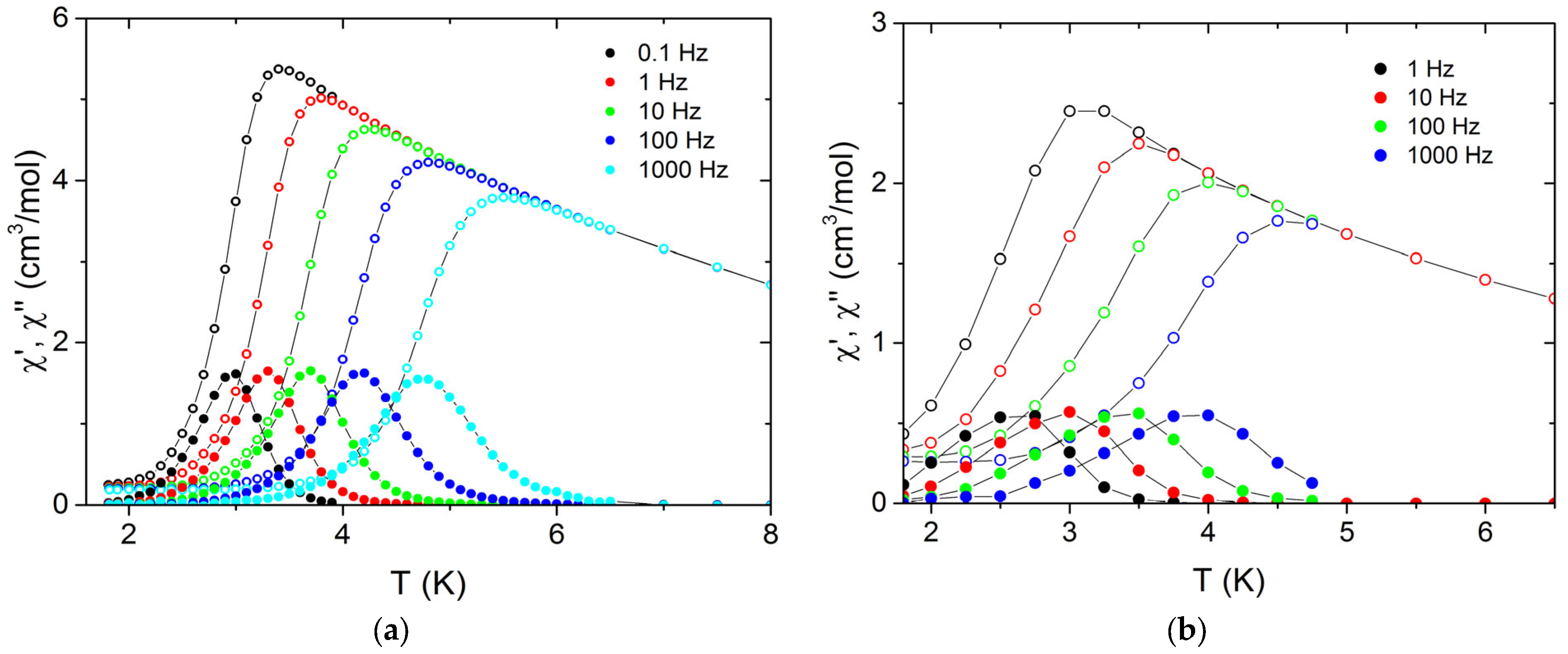
2.4.3. Dynamic Magnetic Properties
2.5. Comparison of SCM Parameters of 1, 2 and [Mn(SB2+)Fe(CN)6]·4H2O (3)
3. Conclusions
4. Materials and Methods
Supplementary Materials
Author Contributions
Funding
Institutional Review Board Statement
Informed Consent Statement
Data Availability Statement
Acknowledgments
Conflicts of Interest
References
- Sessoli, R.; Gatteschi, D.; Caneschi, A.; Novak, M.A. Magnetic Bistability in a Metal-Ion Cluster. Nature 1993, 365, 141–143. [Google Scholar] [CrossRef]
- Coronado, E.; Delhaès, P.; Gatteschi, D.; Miller, J.S. (Eds.) Molecular Magnetism: From Molecular Assemblies to the Devices; Springer: Dordrecht, The Netherlands, 1996; ISBN 978-90-481-4724-3. [Google Scholar]
- Gatteschi, D.; Sessoli, R. Quantum Tunneling of Magnetization and Related Phenomena in Molecular Materials. Angew. Chem. Int. Ed. 2003, 42, 268–297. [Google Scholar] [CrossRef]
- Sessoli, R.; Tsai, H.L.; Schake, A.R.; Wang, S.; Vincent, J.B.; Folting, K.; Gatteschi, D.; Christou, G.; Hendrickson, D.N. High-Spin Molecules: [Mn12O12(O2CR)16(H2O)4]. J. Am. Chem. Soc. 1993, 115, 1804–1816. [Google Scholar] [CrossRef]
- Coronado, E.; Dunbar, K.R. Preface for the Forum on Molecular Magnetism: The Role of Inorganic Chemistry. Inorg. Chem. 2009, 48, 3293–3295. [Google Scholar] [CrossRef]
- Introduction to the Themed Issue on Molecular Magnets. Dalt. Trans. 2010, 39, 4671. [CrossRef]
- Dunbar, K.R. Editorial for the Virtual Issue on Quantum Molecular Magnets. Inorg. Chem. 2012, 51, 12055–12058. [Google Scholar] [CrossRef]
- Thompson, L.K. Magnetism—Molecular and Supramolecular Perspectives. Coord. Chem. Rev. 2005, 249, 2549–2730. [Google Scholar] [CrossRef]
- Bogani, L.; Wernsdorfer, W. Molecular Spintronics Using Single-Molecule Magnets. Nat. Mater. 2008, 7, 179–186. [Google Scholar] [CrossRef]
- Leuenberger, M.N.; Loss, D. Quantum Computing in Molecular Magnets. Nature 2001, 410, 789–793. [Google Scholar] [CrossRef]
- Mannini, M.; Pineider, F.; Sainctavit, P.; Danieli, C.; Otero, E.; Sciancalepore, C.; Talarico, A.M.; Arrio, M.-A.; Cornia, A.; Gatteschi, D.; et al. Magnetic Memory of a Single-Molecule Quantum Magnet Wired to a Gold Surface. Nat. Mater. 2009, 8, 194–197. [Google Scholar] [CrossRef]
- Layfield, R.A. Organometallic Single-Molecule Magnets. Organometallics 2014, 33, 1084–1099. [Google Scholar] [CrossRef]
- Coronado, E. Molecular Magnetism: From Chemical Design to Spin Control in Molecules, Materials and Devices. Nat. Rev. Mater. 2020, 5, 87–104. [Google Scholar] [CrossRef]
- Benelli, C.; Gatteschi, D. Introduction to Molecular Magnetism: From Transition Metals to Lanthanides; Wiley-VCH Verlag GmbH & Co. KGaA: Weinheim, Germany, 2015. [Google Scholar] [CrossRef]
- Caneschi, A.; Gatteschi, D.; Sessoli, R.; Barra, A.L.; Brunel, L.C.; Guillot, M. Alternating Current Susceptibility, High Field Magnetization, and Millimeter Band EPR Evidence for a Ground S = 10 State in [Mn12O12(Ch3COO)16(H2O)4]·2CH3COOH·4H2O. J. Am. Chem. Soc. 1991, 113, 5873–5874. [Google Scholar] [CrossRef]
- Gatteschi, D.; Sessoli, R.; Villain, J. Molecular Nanomagnets; Oxford University Press: Oxford, UK, 2006; ISBN 9780198567530. [Google Scholar]
- Habib, F.; Murugesu, M. Lessons Learned from Dinuclear Lanthanide Nano-Magnets. Chem. Soc. Rev. 2013, 42, 3278. [Google Scholar] [CrossRef]
- Woodruff, D.N.; Winpenny, R.E.P.; Layfield, R.A. Lanthanide Single-Molecule Magnets. Chem. Rev. 2013, 113, 5110–5148. [Google Scholar] [CrossRef] [PubMed]
- Tang, J.; Zhang, P. Lanthanide Single Molecule Magnets; Springer: Berlin/Heidelberg, Germany, 2015; ISBN 978-3-662-46998-9. [Google Scholar]
- Zabala-Lekuona, A.; Seco, J.M.; Colacio, E. Single-Molecule Magnets: From Mn12-Ac to Dysprosium Metallocenes, a Travel in Time. Coord. Chem. Rev. 2021, 441, 213984. [Google Scholar] [CrossRef]
- Wang, J.-H.; Li, Z.-Y.; Yamashita, M.; Bu, X.-H. Recent Progress on Cyano-Bridged Transition-Metal-Based Single-Molecule Magnets and Single-Chain Magnets. Coord. Chem. Rev. 2021, 428, 213617. [Google Scholar] [CrossRef]
- Caneschi, A.; Gatteschi, D.; Lalioti, N.; Sangregorio, C.; Sessoli, R.; Venturi, G.; Vindigni, A.; Rettori, A.; Pini, M.G.; Novak, M.A. Cobalt(II)-Nitronyl Nitroxide Chains as Molecular Magnetic Nanowires. Angew. Chem. Int. Ed. 2001, 40, 1760–1763. [Google Scholar] [CrossRef]
- Clérac, R.; Miyasaka, H.; Yamashita, M.; Coulon, C. Evidence for Single-Chain Magnet Behavior in a MnIII−NiII Chain Designed with High Spin Magnetic Units: A Route to High Temperature Metastable Magnets. J. Am. Chem. Soc. 2002, 124, 12837–12844. [Google Scholar] [CrossRef]
- Bogani, L.; Vindigni, A.; Sessoli, R.; Gatteschi, D. Single Chain Magnets: Where to from Here? J. Mater. Chem. 2008, 18, 4750. [Google Scholar] [CrossRef]
- Vaz, M.G.F.; Cassaro, R.A.A.; Akpinar, H.; Schlueter, J.A.; Lahti, P.M.; Novak, M.A. A Cobalt Pyrenylnitronylnitroxide Single-Chain Magnet with High Coercivity and Record Blocking Temperature. Chem. A Eur. J. 2014, 20, 5460–5467. [Google Scholar] [CrossRef]
- Coulon, C.; Miyasaka, H.; Clérac, R. Single-Chain Magnets: Theoretical Approach and Experimental Systems BT—Single-Molecule Magnets and Related Phenomena; Winpenny, R., Ed.; Springer: Berlin/Heidelberg, Germany, 2006; pp. 163–206. ISBN 978-3-540-33240-4. [Google Scholar] [CrossRef]
- Miyasaka, H.; Saitoh, A.; Abe, S. Magnetic Assemblies Based on Mn(III) Salen Analogues. Coord. Chem. Rev. 2007, 251, 2622–2664. [Google Scholar] [CrossRef]
- Luo, Q.-C.; Zheng, Y.-Z. Methods and Models of Theoretical Calculation for Single-Molecule Magnets. Magnetochemistry 2021, 7, 107. [Google Scholar] [CrossRef]
- Moreno-Pineda, E.; Wernsdorfer, W. Measuring Molecular Magnets for Quantum Technologies. Nat. Rev. Phys. 2021, 3, 645–659. [Google Scholar] [CrossRef]
- Guo, F.-S.; Day, B.M.; Chen, Y.-C.; Tong, M.-L.; Mansikkamäki, A.; Layfield, R.A. Magnetic Hysteresis up to 80 Kelvin in a Dysprosium Metallocene Single-Molecule Magnet. Science 2018, 362, 1400–1403. [Google Scholar] [CrossRef] [PubMed]
- Zhang, W.-X.; Ishikawa, R.; Breedlove, B.; Yamashita, M. Single-Chain Magnets: Beyond the Glauber Model. RSC Adv. 2013, 3, 3772. [Google Scholar] [CrossRef]
- Coulon, C.; Clérac, R.; Lecren, L.; Wernsdorfer, W.; Miyasaka, H. Glauber Dynamics in a Single-Chain Magnet: From Theory to Real Systems. Phys. Rev. B 2004, 69, 132408. [Google Scholar] [CrossRef]
- Glauber, R.J. Time-Dependent Statistics of the Ising Model. J. Math. Phys. 1963, 4, 294–307. [Google Scholar] [CrossRef]
- Barbara, B. Propriétés Des Parois Étroites Dans Les Substances Ferromagnétiques à Forte Anisotropie. J. Phys. 1973, 34, 1039–1046. [Google Scholar] [CrossRef]
- Barbara, B. Magnetization Processes in High Anisotropy Systems. J. Magn. Magn. Mater. 1994, 129, 79–86. [Google Scholar] [CrossRef]
- Pianet, V.; Urdampilleta, M.; Colin, T.; Clérac, R.; Coulon, C. Domain Walls in Single-Chain Magnets. Phys. Rev. B 2017, 96, 214429. [Google Scholar] [CrossRef]
- Nakamura, K.; Sasada, T. Statistical Mechanics of Classical One-Dimensional Heisenberg Ferromagnets with Single-Site Anisotropy. J. Phys. C Solid State Phys. 1978, 11, 331–343. [Google Scholar] [CrossRef]
- Pedersen, K.S.; Vindigni, A.; Sessoli, R.; Coulon, C.; Clérac, R. Single-Chain Magnets. In Molecular Magnetic Materials; Wiley-VCH Verlag GmbH & Co. KGaA: Weinheim, Germany, 2016; pp. 131–159. [Google Scholar] [CrossRef]
- Coulon, C.; Pianet, V.; Urdampilleta, M.; Clérac, R. Single-Chain Magnets and Related Systems. Mol. Nanomagnets Relat. Phenom. 2014, 143–184. [Google Scholar] [CrossRef]
- Lescouëzec, R.; Toma, L.M.; Vaissermann, J.; Verdaguer, M.; Delgado, F.S.; Ruiz-Pérez, C.; Lloret, F.; Julve, M. Design of Single Chain Magnets through Cyanide-Bearing Six-Coordinate Complexes. Coord. Chem. Rev. 2005, 249, 2691–2729. [Google Scholar] [CrossRef]
- Wang, X.-Y.; Wang, Z.-M.; Gao, S. Constructing Magnetic Molecular Solids by Employing Three-Atom Ligands as Bridges. Chem. Commun. 2008, 281–294. [Google Scholar] [CrossRef]
- Dhers, S.; Feltham, H.L.C.; Brooker, S. A Toolbox of Building Blocks, Linkers and Crystallisation Methods Used to Generate Single-Chain Magnets. Coord. Chem. Rev. 2015, 296, 24–44. [Google Scholar] [CrossRef]
- Sun, H.-L.; Wang, Z.-M.; Gao, S. Strategies towards Single-Chain Magnets. Coord. Chem. Rev. 2010, 254, 1081–1100. [Google Scholar] [CrossRef]
- Ceglarska, M.; Böhme, M.; Neumann, T.; Plass, W.; Näther, C.; Rams, M. Magnetic Investigations of Monocrystalline [Co(NCS)2(L)2]N: New Insights into Single-Chain Relaxations. Phys. Chem. Chem. Phys. 2021, 23, 10281–10289. [Google Scholar] [CrossRef]
- Bretosh, K.; Béreau, V.; Duhayon, C.; Pichon, C.; Sutter, J.-P. A Ferromagnetic Ni(II)–Cr(III) Single-Chain Magnet Based on Pentagonal Bipyramidal Building Units. Inorg. Chem. Front. 2020, 7, 1503–1511. [Google Scholar] [CrossRef]
- Cassaro, R.A.A.; Reis, S.G.; Araujo, T.S.; Lahti, P.M.; Novak, M.A.; Vaz, M.G.F. A Single-Chain Magnet with a Very High Blocking Temperature and a Strong Coercive Field. Inorg. Chem. 2015, 54, 9381–9383. [Google Scholar] [CrossRef]
- Wei, R.-M.; Cao, F.; Li, J.; Yang, L.; Han, Y.; Zhang, X.-L.; Zhang, Z.; Wang, X.-Y.; Song, Y. Single-Chain Magnets Based on Octacyanotungstate with the Highest Energy Barriers for Cyanide Compounds. Sci. Rep. 2016, 6, 24372. [Google Scholar] [CrossRef]
- Layfield, R.A.; Murugesu, M. (Eds.) Lanthanides and Actinides in Molecular Magnetism; Wiley-VCH Verlag GmbH & Co. KGaA: Weinheim, Germany, 2015; ISBN 9783527673476. [Google Scholar] [CrossRef]
- Vostrikova, K.E. Low-Dimensional Heterometallic Assemblies Involving Orbitally Degenerate Cyanometallate and Displaying Slow Magnetic Dynamics. J. Magn. Magn. Mater. 2018, 459, 71–77. [Google Scholar] [CrossRef]
- Juráková, J.; Šalitroš, I. Co(II) Single-Ion Magnets: Synthesis, Structure, and Magnetic Properties. Mon. Chem. Chem. Mon. 2022, 153, 1001–1036. [Google Scholar] [CrossRef]
- Murrie, M. Cobalt(Ii) Single-Molecule Magnets. Chem. Soc. Rev. 2010, 39, 1986. [Google Scholar] [CrossRef] [PubMed]
- Pedersen, K.S.; Bendix, J.; Clérac, R. Single-Molecule Magnet Engineering: Building-Block Approaches. Chem. Commun. 2014, 50, 4396–4415. [Google Scholar] [CrossRef]
- Gómez-Coca, S.; Aravena, D.; Morales, R.; Ruiz, E. Large Magnetic Anisotropy in Mononuclear Metal Complexes. Coord. Chem. Rev. 2015, 289–290, 379–392. [Google Scholar] [CrossRef]
- Bar, A.K.; Pichon, C.; Sutter, J.-P. Magnetic Anisotropy in Two- to Eight-Coordinated Transition–Metal Complexes: Recent Developments in Molecular Magnetism. Coord. Chem. Rev. 2016, 308, 346–380. [Google Scholar] [CrossRef]
- Vostrikova, K.E. Homoleptic Osmium Cyanide Complexes: Synthesis and Perspective Application in Molecular Magnetism. In Osmium: Synthesis Characterization and Applications; Wise, G., Ed.; Nova Science Publishers: New York, NY, USA, 2015; pp. 43–78. ISBN 978-1-63483-517-6. Available online: https://novapublishers.com/shop/osmium-synthesis-characterization-and-applications/ (accessed on 30 December 2022).
- Craig, G.A.; Murrie, M. 3d Single-Ion Magnets. Chem. Soc. Rev. 2015, 44, 2135–2147. [Google Scholar] [CrossRef]
- Frost, J.M.; Harriman, K.L.M.; Murugesu, M. The Rise of 3-d Single-Ion Magnets in Molecular Magnetism: Towards Materials from Molecules? Chem. Sci. 2016, 7, 2470–2491. [Google Scholar] [CrossRef]
- Jiang, S.-D.; Wang, B.-W.; Gao, S. Advances in Lanthanide Single-Ion Magnets BT—Molecular Nanomagnets and Related Phenomena; Gao, S., Ed.; Springer: Berlin/Heidelberg, Germany, 2015; pp. 111–141. ISBN 978-3-662-45723-8. [Google Scholar] [CrossRef]
- Pointillart, F.; Cador, O.; Le Guennic, B.; Ouahab, L. Uncommon Lanthanide Ions in Purely 4f Single Molecule Magnets. Coord. Chem. Rev. 2017, 346, 150–175. [Google Scholar] [CrossRef]
- Liu, J.-L.; Chen, Y.-C.; Tong, M.-L. Symmetry Strategies for High Performance Lanthanide-Based Single-Molecule Magnets. Chem. Soc. Rev. 2018, 47, 2431–2453. [Google Scholar] [CrossRef]
- Zhu, Z.; Guo, M.; Li, X.-L.; Tang, J. Molecular Magnetism of Lanthanide: Advances and Perspectives. Coord. Chem. Rev. 2019, 378, 350–364. [Google Scholar] [CrossRef]
- Guo, F.-S.; Day, B.M.; Chen, Y.-C.; Tong, M.-L.; Mansikkamäki, A.; Layfield, R.A. A Dysprosium Metallocene Single-Molecule Magnet Functioning at the Axial Limit. Angew. Chem. Int. Ed. 2017, 56, 11445–11449. [Google Scholar] [CrossRef]
- Goodwin, C.A.P.; Ortu, F.; Reta, D.; Chilton, N.F.; Mills, D.P. Molecular Magnetic Hysteresis at 60 Kelvin in Dysprosocenium. Nature 2017, 548, 439–442. [Google Scholar] [CrossRef] [PubMed]
- Bogani, L.; Sangregorio, C.; Sessoli, R.; Gatteschi, D. Molecular Engineering for Single-Chain-Magnet Behavior in a One-Dimensional Dysprosium-Nitronyl Nitroxide Compound. Angew. Chem. Int. Ed. 2005, 44, 5817–5821. [Google Scholar] [CrossRef] [PubMed]
- Bernot, K.; Bogani, L.; Caneschi, A.; Gatteschi, D.; Sessoli, R. A Family of Rare-Earth-Based Single Chain Magnets: Playing with Anisotropy. J. Am. Chem. Soc. 2006, 128, 7947–7956. [Google Scholar] [CrossRef]
- Liu, X.; Zhang, Y.; Shi, W.; Cheng, P. Rational Design and Synthesis of a Chiral Lanthanide-Radical Single-Chain Magnet. Inorg. Chem. 2018, 57, 13409–13414. [Google Scholar] [CrossRef] [PubMed]
- Xie, J.; Li, H.-D.; Yang, M.; Sun, J.; Li, L.-C.; Sutter, J.-P. Improved Single-Chain-Magnet Behavior in a Biradical-Based Nitronyl Nitroxide-Cu–Dy Chain. Chem. Commun. 2019, 55, 3398–3401. [Google Scholar] [CrossRef]
- Dhers, S.; Feltham, H.L.C.; Rouzières, M.; Clérac, R.; Brooker, S. Discrete versus Chain Assembly: Hexacyanometallate Linkers and Macrocyclic {3d–4f} Single-Molecule Magnet Building Blocks. Inorg. Chem. 2019, 58, 5543–5554. [Google Scholar] [CrossRef] [PubMed]
- Dey, A.; Bag, P.; Kalita, P.; Chandrasekhar, V. Heterometallic CuII–LnIII Complexes: Single Molecule Magnets and Magnetic Refrigerants. Coord. Chem. Rev. 2021, 432, 213707. [Google Scholar] [CrossRef]
- Benelli, C.; Gatteschi, D. Magnetism of Lanthanides in Molecular Materials with Transition-Metal Ions and Organic Radicals. Chem. Rev. 2002, 102, 2369–2388. [Google Scholar] [CrossRef] [PubMed]
- Demir, S.; Jeon, I.-R.; Long, J.R.; Harris, T.D. Radical Ligand-Containing Single-Molecule Magnets. Coord. Chem. Rev. 2015, 289–290, 149–176. [Google Scholar] [CrossRef]
- Drahoš, B.; Herchel, R.; Trávníček, Z. Impact of Halogenido Coligands on Magnetic Anisotropy in Seven-Coordinate Co(II) Complexes. Inorg. Chem. 2017, 56, 5076–5088. [Google Scholar] [CrossRef]
- Shao, D.; Shi, L.; Zhang, S.-L.; Zhao, X.-H.; Wu, D.-Q.; Wei, X.-Q.; Wang, X.-Y. Syntheses, Structures, and Magnetic Properties of Three New Chain Compounds Based on a Pentagonal Bipyramidal Co(II) Building Block. CrystEngComm 2016, 18, 4150–4157. [Google Scholar] [CrossRef]
- Yao, X.-N.; Du, J.-Z.; Zhang, Y.-Q.; Leng, X.-B.; Yang, M.-W.; Jiang, S.-D.; Wang, Z.-X.; Ouyang, Z.-W.; Deng, L.; Wang, B.-W.; et al. Two-Coordinate Co(II) Imido Complexes as Outstanding Single-Molecule Magnets. J. Am. Chem. Soc. 2017, 139, 373–380. [Google Scholar] [CrossRef] [PubMed]
- Re, N.; Gallo, E.; Floriani, C.; Miyasaka, H.; Matsumoto, N. Magnetic Properties of a One-Dimensional Ferromagnet Containing a Mn(III)−NC−Fe(III) Linkage: Synthesis and Crystal Structure of a Chainlike [Mn(Acacen)Fe(CN)6]n2n− Polyanion. Inorg. Chem. 1996, 35, 6004–6008. [Google Scholar] [CrossRef]
- Ferbinteanu, M.; Miyasaka, H.; Wernsdorfer, W.; Nakata, K.; Sugiura, K.; Yamashita, M.; Coulon, C.; Clérac, R. Single-Chain Magnet (NEt4)[Mn2(5-MeOsalen)2Fe(CN)6] Made of MnIII−FeIII−MnIII Trinuclear Single-Molecule Magnet with an S = 9/2 Spin Ground State. J. Am. Chem. Soc. 2005, 127, 3090–3099. [Google Scholar] [CrossRef]
- Miyasaka, H.; Madanbashi, T.; Saitoh, A.; Motokawa, N.; Ishikawa, R.; Yamashita, M.; Bahr, S.; Wernsdorfer, W.; Clérac, R. Cyano-Bridged MnIII-MIII Single-Chain Magnets with MIII=CoIII, FeIII, MnIII, and CrIII. Chem. A Eur. J. 2012, 18, 3942–3954. [Google Scholar] [CrossRef]
- Rams, M.; Peresypkina, E.V.; Mironov, V.S.; Wernsdorfer, W.; Vostrikova, K.E. Magnetic Relaxation of 1D Coordination Polymers (X)2[Mn(acacen)Fe(CN)6], X = Ph4P+, Et4N+. Inorg. Chem. 2014, 53, 10291–10300. [Google Scholar] [CrossRef]
- Aguilà, D.; Jeannin, O.; Fourmigué, M.; Jeon, I.-R. MnIII–FeIII Heterometallic Compounds within Hydrogen-Bonded Supramolecular Networks Promoted by an [Fe(CN)5(CNH)]2− Building Block: Structural and Magnetic Properties. Inorg. Chem. 2018, 57, 7892–7903. [Google Scholar] [CrossRef]
- Zorina, L.V.; Simonov, S.V.; Sasnovskaya, V.D.; Talantsev, A.D.; Morgunov, R.B.; Mironov, V.S.; Yagubskii, E.B. Slow Magnetic Relaxation, Antiferromagnetic Ordering, and Metamagnetism in MnII(H2Dapsc)-FeIII(CN)6 Chain Complex with Highly Anisotropic Fe-CN-Mn Spin Coupling. Chem. A Eur. J. 2019, 25, 14583–14597. [Google Scholar] [CrossRef]
- Lutz, P.; Aguilà, D.; Mondal, A.; Pinkowicz, D.; Marx, R.; Neugebauer, P.; Fåk, B.; Ollivier, J.; Clérac, R.; van Slageren, J. Elementary Excitations in Single-Chain Magnets. Phys. Rev. B 2017, 96, 094415. [Google Scholar] [CrossRef]
- Tregenna-Piggott, P.L.W.; Sheptyakov, D.; Keller, L.; Klokishner, S.I.; Ostrovsky, S.M.; Palii, A.V.; Reu, O.S.; Bendix, J.; Brock-Nannestad, T.; Pedersen, K.; et al. Single-Ion Anisotropy and Exchange Interactions in the Cyano-Bridged Trimers MnIII2MIII(CN)6 (MIII = Co, Cr, Fe) Species Incorporating [Mn(5-Brsalen)]+ Units: An Inelastic Neutron Scattering and Magnetic Susceptibility Study. Inorg. Chem. 2009, 48, 128–137. [Google Scholar] [CrossRef]
- Zhang, Y.; Zhao, H.; Funck, E.; Dunbar, K.R. A Single-Chain Magnet Tape Based on Hexacyanomanganate(III). Angew. Chem. Int. Ed. 2015, 54, 5583–5587. [Google Scholar] [CrossRef] [PubMed]
- Zhang, S.-L.; Zhao, X.-H.; Wang, X.-Y. Syntheses, Structures, and Magnetic Properties of Three New Cyano-Bridged Complexes Based on the [Mn(CN)6]3− Building Block. Dalt. Trans. 2015, 44, 15189–15197. [Google Scholar] [CrossRef]
- Sasnovskaya, V.D.; Kopotkov, V.A.; Talantsev, A.D.; Morgunov, R.B.; Yagubskii, E.B.; Simonov, S.V.; Zorina, L.V.; Mironov, V.S. Synthesis, Structure, and Magnetic Properties of 1D{[MnIII(CN)6][MnII(Dapsc)]}n Coordination Polymers: Origin of Unconventional Single-Chain Magnet Behavior. Inorg. Chem. 2017, 56, 8926–8943. [Google Scholar] [CrossRef] [PubMed]
- Wang, X.-Y.; Avendaño, C.; Dunbar, K.R. Molecular Magnetic Materials Based on 4d and 5d Transition Metals. Chem. Soc. Rev. 2011, 40, 3213. [Google Scholar] [CrossRef]
- Toma, L.M.; Toma, L.D.; Delgado, F.S.; Ruiz-Perez, C.; Sletten, J.; Cano, J.; Clemenejuan-Juan, J.M.; Lloret, F.; Julve, M. Trans-Dicyanobis(Acetylacetonato)Ruthenate(III) as a Precursor to Build Novel Cyanide-Bridged RuIII–MII Bimetallic Compounds [M=Co and Ni]. Coord. Chem. Rev. 2006, 250, 2176–2193. [Google Scholar] [CrossRef]
- Yeung, W.-F.; Lau, P.-H.; Lau, T.-C.; Wei, H.-Y.; Sun, H.-L.; Gao, S.; Chen, Z.-D.; Wong, W.-T. Heterometallic MIIRuIII2 Compounds Constructed from Trans -[Ru(Salen)(CN)2]− and Trans—[Ru(acac)2(CN)2]−. Synthesis, Structures, Magnetic Properties, and Density Functional Theoretical Study. Inorg. Chem. 2005, 44, 6579–6590. [Google Scholar] [CrossRef]
- Guo, J.-F.; Yeung, W.-F.; Lau, P.-H.; Wang, X.-T.; Gao, S.; Wong, W.-T.; Chui, S.S.-Y.; Che, C.-M.; Wong, W.-Y.; Lau, T.-C. Trans-[OsIII(Salen)(CN)2]: A New Paramagnetic Building Block for the Construction of Molecule-Based Magnetic Materials. Inorg. Chem. 2010, 49, 1607–1614. [Google Scholar] [CrossRef]
- Charytanowicz, T.; Jankowski, R.; Zychowicz, M.; Chorazy, S.; Sieklucka, B. The Rationalized Pathway from Field-Induced Slow Magnetic Relaxation in CoII–WIV Chains to Single-Chain Magnetism in Isotopological CoII–WV Analogues. Inorg. Chem. Front. 2022, 9, 1152–1170. [Google Scholar] [CrossRef]
- Korzeniak, T.; Nowicka, B.; Sieklucka, B. Hybrid Organic–Inorganic Cyanide-Bridged Networks BT—Organometallic Magnets; Chandrasekhar, V., Pointillart, F., Eds.; Springer International Publishing: Cham, Switzerland, 2019; pp. 1–34. ISBN 978-3-030-26009-5. [Google Scholar] [CrossRef]
- Sukhikh, T.S.; Wernsdorfer, W.; Vostrikova, K.E. Slow Magnetic Relaxation in Neutral 0D and 1D Assemblies of a Mn(III) Schiff Base Complex and Heptacyanorhenate(IV). Magnetochemistry 2022, 8, 126. [Google Scholar] [CrossRef]
- Nowicka, B.; Korzeniak, T.; Stefańczyk, O.; Pinkowicz, D.; Chorąży, S.; Podgajny, R.; Sieklucka, B. The Impact of Ligands upon Topology and Functionality of Octacyanidometallate-Based Assemblies. Coord. Chem. Rev. 2012, 256, 1946–1971. [Google Scholar] [CrossRef]
- Pinkowicz, D.; Podgajny, R.; Nowicka, B.; Chorazy, S.; Reczyński, M.; Sieklucka, B. Magnetic Clusters Based on Octacyanidometallates. Inorg. Chem. Front. 2015, 2, 10–27. [Google Scholar] [CrossRef]
- Freedman, D.E.; Jenkins, D.M.; Long, J.R. Strong Magnetic Exchange Coupling in the Cyano-Bridged Coordination Clusters [(PY5Me2)4V4M(CN)6]5+ (M = Cr, Mo). Chem. Commun. 2009, 4829. [Google Scholar] [CrossRef]
- Pinkowicz, D.; Southerland, H.; Wang, X.-Y.; Dunbar, K.R. Record Antiferromagnetic Coupling for a 3d/4d Cyanide-Bridged Compound. J. Am. Chem. Soc. 2014, 136, 9922–9924. [Google Scholar] [CrossRef] [PubMed]
- Harris, T.D.; Bennett, M.V.; Clérac, R.; Long, J.R. [ReCl4(CN)2]2−: A High Magnetic Anisotropy Building Unit Giving Rise to the Single-Chain Magnets (DMF)4MReCl4(CN)2 (M = Mn, Fe, Co, Ni). J. Am. Chem. Soc. 2010, 132, 3980–3988. [Google Scholar] [CrossRef] [PubMed]
- Harris, T.D.; Coulon, C.; Clérac, R.; Long, J.R. Record Ferromagnetic Exchange through Cyanide and Elucidation of the Magnetic Phase Diagram for a CuIIReIV(CN)2 Chain Compound. J. Am. Chem. Soc. 2011, 133, 123–130. [Google Scholar] [CrossRef]
- Feng, X.; David Harris, T.; Long, J.R. Influence of Structure on Exchange Strength and Relaxation Barrier in a Series of FeIIReIV(CN)2 Single-Chain Magnets. Chem. Sci. 2011, 2, 1688. [Google Scholar] [CrossRef]
- Pedersen, K.S.; Sigrist, M.; Sørensen, M.A.; Barra, A.-L.; Weyhermüller, T.; Piligkos, S.; Thuesen, C.A.; Vinum, M.G.; Mutka, H.; Weihe, H.; et al. [ReF6]2−: A Robust Module for the Design of Molecule-Based Magnetic Materials. Angew. Chem. Int. Ed. 2014, 53, 1351–1354. [Google Scholar] [CrossRef]
- Vostrikova, K.E. Application of the Heptacyanidorhenate(IV) as a Metalloligand in the Design of Molecular Magnets. Magnetochemistry 2022, 8, 189. [Google Scholar] [CrossRef]
- Hursthouse, M.B.; Malik, K.M.A.; Soares, A.M.; Gibson, J.F.; Griffith, W.P. The X-Ray Crystal Structure of NaK3[Mo(CN)7]·2H2O and the Structure of Its Anion in Aqueous Solution. Inorg. Chim. Acta 1980, 45, L81–L82. [Google Scholar] [CrossRef]
- Larionova, J.; Clérac, R.; Sanchiz, J.; Kahn, O.; Golhen, S.; Ouahab, L. Ferromagnetic Ordering, Anisotropy, and Spin Reorientation for the Cyano-Bridged Bimetallic Compound Mn2(H2O)5Mo(CN)7·4H2O (α-Phase). J. Am. Chem. Soc. 1998, 120, 13088–13095. [Google Scholar] [CrossRef]
- Bennett, M.V.V.; Long, J.R.R. New Cyanometalate Building Units: Synthesis and Characterization of [Re(CN)7]3− and [Re(CN)8]3−. J. Am. Chem. Soc. 2003, 125, 2394–2395. [Google Scholar] [CrossRef] [PubMed]
- David, J.; Mendizábal, F.; Arratia-Pérez, R. Electronic Structure and Molecular Properties of the Heptacyanorhenate [Re(CN)7]3− and [Re(CN)7]4− Complexes. J. Phys. Chem. A 2006, 110, 1072–1077. [Google Scholar] [CrossRef]
- Bendix, J.; Steenberg, P.; Søtofte, I. Isolation and Molecular Structure of Hexacyanoruthenate(III). Inorg. Chem. 2003, 42, 4510–4512. [Google Scholar] [CrossRef] [PubMed]
- Samsonenko, D.G.; Vostrikova, K.E. Effective Preparation of a Variety of Ruthenium and Osmium Cyanides: Valuable Precursors for Molecular Nanomagnets. Eur. J. Inorg. Chem. 2016, 2016, 1369–1375. [Google Scholar] [CrossRef]
- Albores, P.; Slep, L.D.; Baraldo, L.M.; Baggio, R.; Garland, M.T.; Rentschler, E. Crystal Structure and Electronic and Magnetic Properties of Hexacyanoosmate(III). Inorg. Chem. 2006, 45, 2361–2363. [Google Scholar] [CrossRef]
- Van den Heuvel, W.; Hendrickx, M.F.A.; Ceulemans, A. A CASPT2 Study of the Electronic Spectrum of Hexacyanoosmate(III). Inorg. Chem. 2007, 46, 8032–8037. [Google Scholar] [CrossRef]
- Mironov, V.S.; Chibotaru, L.F.; Ceulemans, A. Mechanism of a Strongly Anisotropic MoIII−CN−MnII Spin−Spin Coupling in Molecular Magnets Based on the [Mo(CN)7]4− Heptacyanometalate: A New Strategy for Single-Molecule Magnets with High Blocking Temperatures. J. Am. Chem. Soc. 2003, 125, 9750–9760. [Google Scholar] [CrossRef]
- Mironov, V.S. New Approaches to the Problem of High-Temperature Single-Molecule Magnets. Dokl. Phys. Chem. 2006, 408, 130–136. [Google Scholar] [CrossRef]
- Mironov, V.S. Origin of Dissimilar Single-Molecule Magnet Behavior of Three MnII2MoIII Complexes Based on [MoIII(CN)7]4− Heptacyanomolybdate: Interplay of MoIII –CN–MnII Anisotropic Exchange Interactions. Inorg. Chem. 2015, 54, 11339–11355. [Google Scholar] [CrossRef] [PubMed]
- Mironov, V. Molecular Engineering of High Energy Barrier in Single-Molecule Magnets Based on [MoIII(CN)7]4− and V(II) Complexes. Inorganics 2018, 6, 58. [Google Scholar] [CrossRef]
- Mironov, V.S.; Bazhenova, T.A.; Manakin, Y.V.; Yagubskii, E.B. Pentagonal-Bipyramidal 4d and 5d Complexes with Unquenched Orbital Angular Momentum as a Unique Platform for Advanced Single-Molecule Magnets: Current State and Perspectives. Dalt. Trans. 2023, 52, 509–539. [Google Scholar] [CrossRef]
- Freedman, D.E.; Jenkins, D.M.; Iavarone, A.T.; Long, J.R. A Redox-Switchable Single-Molecule Magnet Incorporating [Re(CN)7]3−. J. Am. Chem. Soc. 2008, 130, 2884–2885. [Google Scholar] [CrossRef]
- Zadrozny, J.M.; Freedman, D.E.; Jenkins, D.M.; Harris, T.D.; Iavarone, A.T.; Mathonière, C.; Clérac, R.; Long, J.R. Slow Magnetic Relaxation and Charge-Transfer in Cyano-Bridged Coordination Clusters Incorporating [Re(CN)7]3−/4−. Inorg. Chem. 2010, 49, 8886–8896. [Google Scholar] [CrossRef]
- Shi, L.; Wei, X.; Wang, X.; Wu, D. Research Progress in Molecular Magnetic Materials Based on the [Mo(CN)7]4- Unit. Sci. Sin. Chim. 2020, 50, 1637–1653. [Google Scholar] [CrossRef]
- Hilfiger, M.G.; Shatruk, M.; Prosvirin, A.; Dunbar, K.R. Hexacyanoosmate(III) Chemistry: Preparation and Magnetic Properties of a Pentanuclear Cluster and a Prussian Blue Analogue with Ni(II). Chem. Commun. 2008, 5752. [Google Scholar] [CrossRef] [PubMed]
- Dreiser, J.; Pedersen, K.S.; Schnegg, A.; Holldack, K.; Nehrkorn, J.; Sigrist, M.; Tregenna-Piggott, P.; Mutka, H.; Weihe, H.; Mironov, V.S.; et al. Three-Axis Anisotropic Exchange Coupling in the Single-Molecule Magnets NEt4[MnIII2(5-Brsalen)2(MeOH)2MIII(CN)6] (M=Ru, Os). Chem. A Eur. J. 2013, 19, 3693–3701. [Google Scholar] [CrossRef]
- Hoeke, V.; Stammler, A.; Bögge, H.; Schnack, J.; Glaser, T. Strong and Anisotropic Superexchange in the Single-Molecule Magnet (SMM) [MnIII6OsIII]3+: Promoting SMM Behavior through 3d–5d Transition Metal Substitution. Inorg. Chem. 2014, 53, 257–268. [Google Scholar] [CrossRef]
- Pinkowicz, D.; Southerland, H.I.; Avendaño, C.; Prosvirin, A.; Sanders, C.; Wernsdorfer, W.; Pedersen, K.S.; Dreiser, J.; Clérac, R.; Nehrkorn, J.; et al. Cyanide Single-Molecule Magnets Exhibiting Solvent Dependent Reversible “On” and “Off” Exchange Bias Behavior. J. Am. Chem. Soc. 2015, 137, 14406–14422. [Google Scholar] [CrossRef]
- Wei, X.-Q.; Qian, K.; Wei, H.-Y.; Wang, X.-Y. A One-Dimensional Magnet Based on [MoIII(CN)7]4−. Inorg. Chem. 2016, 55, 5107–5109. [Google Scholar] [CrossRef]
- Wang, K.; Xia, B.; Wang, Q.-L.; Ma, Y.; Liao, D.-Z.; Tang, J. Slow Magnetic Relaxation Based on the Anisotropic Ising-Type Magnetic Coupling between the MoIII and MnII Centers. Dalt. Trans. 2017, 46, 1042–1046. [Google Scholar] [CrossRef]
- Shi, L.; Shao, D.; Wei, X.; Dunbar, K.R.; Wang, X. Enhanced Single-Chain Magnet Behavior via Anisotropic Exchange in a Cyano-Bridged MoIII–MnII Chain. Angew. Chem. Int. Ed. 2020, 59, 10379–10384. [Google Scholar] [CrossRef]
- Samsonenko, D.G.; Paulsen, C.; Lhotel, E.; Mironov, V.S.; Vostrikova, K.E. [MnIII(SchiffBase)]3[ReIV(CN)7], Highly Anisotropic 3D Coordination Framework: Synthesis, Crystal Structure, Magnetic Investigations, and Theoretical Analysis. Inorg. Chem. 2014, 53, 10217–10231. [Google Scholar] [CrossRef] [PubMed]
- Peresypkina, E.V.; Samsonenko, D.G.; Vostrikova, K.E. Heterobimetallic Coordination Polymers Involving 3d Metal Complexes and Heavier Transition Metals Cyanometallates. J. Solid State Chem. 2015, 224, 107–114. [Google Scholar] [CrossRef]
- Moreno Pineda, E.; Wernsdorfer, W.; Vostrikova, K.E. Very Anisotropic 2D Molecular Magnetic Materials Based on Pentagonal Bipyramidal Heptacyanidorhenate(IV). Materials 2022, 15, 8324. [Google Scholar] [CrossRef]
- Peresypkina, E.V.; Majcher, A.M.; Rams, M.; Vostrikova, K.E. A Single Chain Magnet Involving Hexacyanoosmate. Chem. Commun. 2014, 50, 7150–7153. [Google Scholar] [CrossRef] [PubMed]
- Peresypkina, E.V.; Vostrikova, K.E. 2[Mn(acacen)]2+ + [Fe(CN)5NO]2− Polynuclear Heterobimetallic Coordination Compounds of Different Dimensionality in the Solid State. Dalt. Trans. 2012, 41, 4100. [Google Scholar] [CrossRef]
- Sukhikh, T.; Vostrikova, K. Assembly of Mn(III) Schiff Base Complexes with Heptacyanorhenate (IV). Inorganics 2017, 5, 59. [Google Scholar] [CrossRef]
- Majcher, A.M.; Pilet, G.; Mironov, V.S.; Vostrikova, K.E. Neutral Low-Dimensional Assemblies of a Mn(III) Schiff Base Complex and Octacyanotungstate(V): Synthesis, Characterization, and Magnetic Properties. Magnetochemistry 2017, 3, 16. [Google Scholar] [CrossRef]
- Sakamoto, F.; Sumiya, T.; Fujita, M.; Tada, T.; Tan, X.S.; Suzuki, E.; Okura, I.; Fujii, Y. T-Site Selective Photocleavage of DNA by Cationic Schiff Base Complex of Manganese(III). Chem. Lett. 1998, 27, 1127–1128. [Google Scholar] [CrossRef]
- Ishikawa, R.; Nakano, M.; Breedlove, B.K.; Yamashita, M. Syntheses, Structures, and Magnetic Properties of Discrete Cyano-Bridged Heterodinuclear Complexes Composed of MnIII(Salen)-Type Complex and MIII(CN)6 Anion (MIII= Fe, Mn, and Cr). Polyhedron 2013, 64, 346–351. [Google Scholar] [CrossRef]
- Vostrikova, K.E.; Peresypkina, E.V. Facile Preparation of Paramagnetic RuIII and OsIII Hexacyanides. Eur. J. Inorg. Chem. 2011, 2011, 811–815. [Google Scholar] [CrossRef]
- Seiden, J. Propriétés Statiques d’une Chaîne Isotrope Alternée de Spins Quantiques 1/2 et de Spins Classiques. J. Phys. Lett. 1983, 44, 947–952. [Google Scholar] [CrossRef]
- Mydosh, J.A. Spin Glasses: An Experimental Introduction, 1st ed.; CRC Press: London, UK, 1993. [Google Scholar] [CrossRef]
- Cole, K.S.; Cole, R.H. Dispersion and Absorption in Dielectrics I. Alternating Current Characteristics. J. Chem. Phys. 1941, 9, 341–351. [Google Scholar] [CrossRef]
- Luscombe, J.H.; Luban, M.; Reynolds, J.P. Finite-Size Scaling of the Glauber Model of Critical Dynamics. Phys. Rev. E 1996, 53, 5852–5860. [Google Scholar] [CrossRef]
- Sheldrick, G.M. Crystal Structure Refinement with SHELXL. Acta Crystallogr. Sect. C Struct. Chem. 2015, 71, 3–8. [Google Scholar] [CrossRef] [PubMed]









| Mn-Os | Mn-Fe [77] | |
|---|---|---|
| Bond | Distance (Å) | Distance (Å) |
| Mn1–O1 a | 1.884(2) | 1.884(2) |
| Mn1–N11 a | 1.981(3) | 1.983(3) |
| Mn1–N1 a | 2.281(3) | 2.307(3) |
| M–C1 b | 2.050(4) | 1.944(3) |
| M–C2 b | 2.060(4) | 1.953(3) |
| M–C3 b | 2.064(4) | 1.958(4) |
| C1–N1 | 1.158(5) | 1.156(4) |
| C3–N3 | 1.154(5) | 1.150(5) |
| C2–N2 | 1.150(5) | 1.149(4) |
| Hydrogen bond | ||
| N2···O1W | 2.938 | 2.969 |
| N3···O2W | 2.884 | 2.912 |
| O1···O2W | 2.944 | 2.937 |
| O1W···O2W | 2.851 | 2.874 |
| Angle | (°) | (°) |
| N1-Mn-N1 | 173.47(15) | 170.80(9) |
| Mn-N1-C1 | 142.5(3) | 144.4(3) |
| Chain | J/cm−1 Jx, Jy, Jz/ cm−1 | Δ ξ/kB | α | τ01/s | Δ τ1/kB | τ02/s | Δ τ2/kB | Δ ξ = (Δτ1–Δτ2)/kB | Δ A = (Δτ2–Δξ)/kB | Tb | HA*/kOe |
|---|---|---|---|---|---|---|---|---|---|---|---|
| Mn-Fe | 3.128 | 14.1 | 0.26–0.33 | 5.2·10−10 | 32 | 8·10−5 | 16 | 16 | ≈0 | 1.6 | 108 |
| Mn-Ru | −25.9, +28.8, −25.9 | 9.45 | 0.16–0.52 | 4.33·10−10 | 51 | 5.66·10−6 | 27 | 24 | 3 | 2.1 | 170 |
| Mn-Os | −31.6, +40.3, −37.4 | 20.09 | 0.13–0.47 | 3.95·10−6 | 73 | 3.9·10−3 | 41.5 | 31.5 | 10 | 2.8 | 210 |
Disclaimer/Publisher’s Note: The statements, opinions and data contained in all publications are solely those of the individual author(s) and contributor(s) and not of MDPI and/or the editor(s). MDPI and/or the editor(s) disclaim responsibility for any injury to people or property resulting from any ideas, methods, instructions or products referred to in the content. |
© 2023 by the authors. Licensee MDPI, Basel, Switzerland. This article is an open access article distributed under the terms and conditions of the Creative Commons Attribution (CC BY) license (https://creativecommons.org/licenses/by/4.0/).
Share and Cite
Mironov, V.S.; Peresypkina, E.V.; Vostrikova, K.E. Interplay of Anisotropic Exchange Interactions and Single-Ion Anisotropy in Single-Chain Magnets Built from Ru/Os Cyanidometallates(III) and Mn(III) Complex. Molecules 2023, 28, 1516. https://doi.org/10.3390/molecules28031516
Mironov VS, Peresypkina EV, Vostrikova KE. Interplay of Anisotropic Exchange Interactions and Single-Ion Anisotropy in Single-Chain Magnets Built from Ru/Os Cyanidometallates(III) and Mn(III) Complex. Molecules. 2023; 28(3):1516. https://doi.org/10.3390/molecules28031516
Chicago/Turabian StyleMironov, Vladimir S., Eugenia V. Peresypkina, and Kira E. Vostrikova. 2023. "Interplay of Anisotropic Exchange Interactions and Single-Ion Anisotropy in Single-Chain Magnets Built from Ru/Os Cyanidometallates(III) and Mn(III) Complex" Molecules 28, no. 3: 1516. https://doi.org/10.3390/molecules28031516
APA StyleMironov, V. S., Peresypkina, E. V., & Vostrikova, K. E. (2023). Interplay of Anisotropic Exchange Interactions and Single-Ion Anisotropy in Single-Chain Magnets Built from Ru/Os Cyanidometallates(III) and Mn(III) Complex. Molecules, 28(3), 1516. https://doi.org/10.3390/molecules28031516

