Determination of the Concentration of Heavy Metals in Artisanal Cheeses Produced in the Mexican States of Tabasco and Chiapas
Abstract
1. Introduction
2. Results and Discussion
2.1. Statistical Analysis
2.2. Lead
2.3. Cadmium
2.4. Nickel
2.5. Sources of Lead, Cadmium, and Nickel in Artisanal Cheeses from Tabasco and Chiapas
- Oil industry. Large oil production facilities in Tabasco include Samaria, Jujo, El Golpe, Delta del Grijalva, Bellota, Ogarrio, Cinco Presidentes, and Cuenca de Macuspana, and in Chiapas, Cactus. Southeastern México has 99 oil fields with 935 active wells and 2360 km of oil ducts connecting wells and oil fields with pumping stations and oil processing centers [31]. Manríquez determined heavy metals were present in the Mexican crude oils Maya, Istmo, and Olmeca, reporting concentrations between 8 and 277 mg L−1 of vanadium and from 2.5 to 52.0 mg L−1 of lead [32]. Siebe reported the presence of lead (0.01–0.1 mg L−1), chromium (2.0 mg L−1), zinc (0.1–2.5 to 0.2 mg L−1), cadmium (0.02–0.04 mg L−1), and copper (0.2–0.4 mg L−1) [33]. In the Cinco Presidentes oil field well in Tabasco, Fridler analyzed heavy metal concentrations average in groundwater reported for Nickel 9 ug L−1, zinc 38 ug L−1, copper 16 ug L−1, cadmium 0.5 ug L−1, and lead 8 ug L−1; in sediments, nickel (49–92 mg kg−1), chromium (73–138 mg kg−1), and lead (8–95 mg kg−1) [31]. Villanueva and Botello determined the content of heavy metals in the sediments of the Laguna el Yucateco in the state of Tabasco, and in the muscles of the inhabiting aquatic organisms [34], reporting between 14.27 and 329.24 µg g−1 of lead, 0.76–5.52 µg g−1 of cadmium, and 44.61 ± 5.38 µg g−1 of nickel in sediments, and in the muscle of several edible species, 0.33–4.30 mg kg−1 of cadmium, 0.19–15.68 mg kg−1 of lead, and 0.1–8.75 mg kg−1, of nickel—the latter concentrations being above the maximum limits established in the FAO/WHO and Codex Alimentarius [4,5]. Therefore, the presence of heavy metals is an ecological risk factor because they can move from soils to groundwater, and from there, to aquatic ecosystems where edible species bioaccumulate them;
- Agriculture. In the state of Tabasco, nearly 239,904 ha are used for food production using technicized agriculture [35,36,37,38,39,40], and Chiapas are cultivated as follows: white maize, sorghum, African palm, bean, cacao, and chili are sown in nearly 14,000 ha in the municipalities of Catazajá, Palenque, Reforma, and La Libertad reported by CONACYT and CentroGeo [41,42]. To enhance the yields of crops, large amounts of chemical fertilizers like urea, sulfates, phosphate, and potassium superphosphate are added to the soil, which may be sources of heavy metal pollution. In this regard, Atafar found lead (from 3.32 to 4.28 mg kg−1) and cadmium (0.02–1.12 mg kg−1) in potassium sulfate, ammonium sulfate, and potassium nitrate [43]. Additionally, Gupta reported concentrations of 0.03 mg kg−1 of cadmium and 1.0 mg kg−1 of copper in urea, and in potassium superphosphate, 12.2 mg kg−1 of cadmium, 60 mg kg−1 of zinc, and 22.5 mg kg−1 of copper [44]. In phosphate fertilizers, Dissanayake reported the presence of 0.04–65 mg kg−1 of cadmium, 1–20 mg kg−1 of lead, 11–71 mg kg−1 of nickel, 4–130 mg kg−1 of copper, and 6–500 mg kg−1 of zinc [45];
- Urban areas and roads. The large towns and terrestrial communication networks in the regions of Tabasco and Chiapas where artisanal cheese samples were collected are possible sources of heavy metal pollution. Internal combustion engines used in vehicles and the oil industry might emit gasses containing high amounts of heavy metals [46]. The solid microparticles generated during gasoline and diesel combustion travel long distances dispersing heavy metals and are deposited by gravity on croplands and grazelands [47]; besides, Akpoveta and Osakwe reported contents of 0.24 ppm of lead, 1.68 ppm of cadmium, 1.74 ppm of copper, and 1.43 ppm of zinc in gasolines, and of 1.01 ppm of lead, 1.50 ppm of cadmium, 1.77 ppm of copper, and 2.87 ppm of nickel in diesel [48];
- Processing tools and inputs. The use of metallic utensils and the addition of salt during the manufacturing of artisanal cheeses are possible sources of heavy metal pollution [49];
- Volcanic emissions. The eruption of the Chichonal volcano in 1982 emitted large quantities of ashes over Chiapas, Tabasco, Campeche, and southern Veracruz [50]. In this regard, Rincón analyzed the sediments from the Chichonal volcano finding 3.26–7.06 mg kg−1 of cadmium, 3.2–4.5 mg kg−1 of lead, 3.2–4.3 mg kg−1 of nickel, 0.83–2.76 mg kg−1 of copper, 3.5–17 mg kg−1 of zinc, and 52–126 mg kg−1 of iron, thus showing that volcanic activity contributed to the distribution of heavy metals on the regions in Tabasco and Chiapas where we collected the samples of artisanal cheeses [51].
2.6. Copper
2.7. Zinc
2.8. Iron
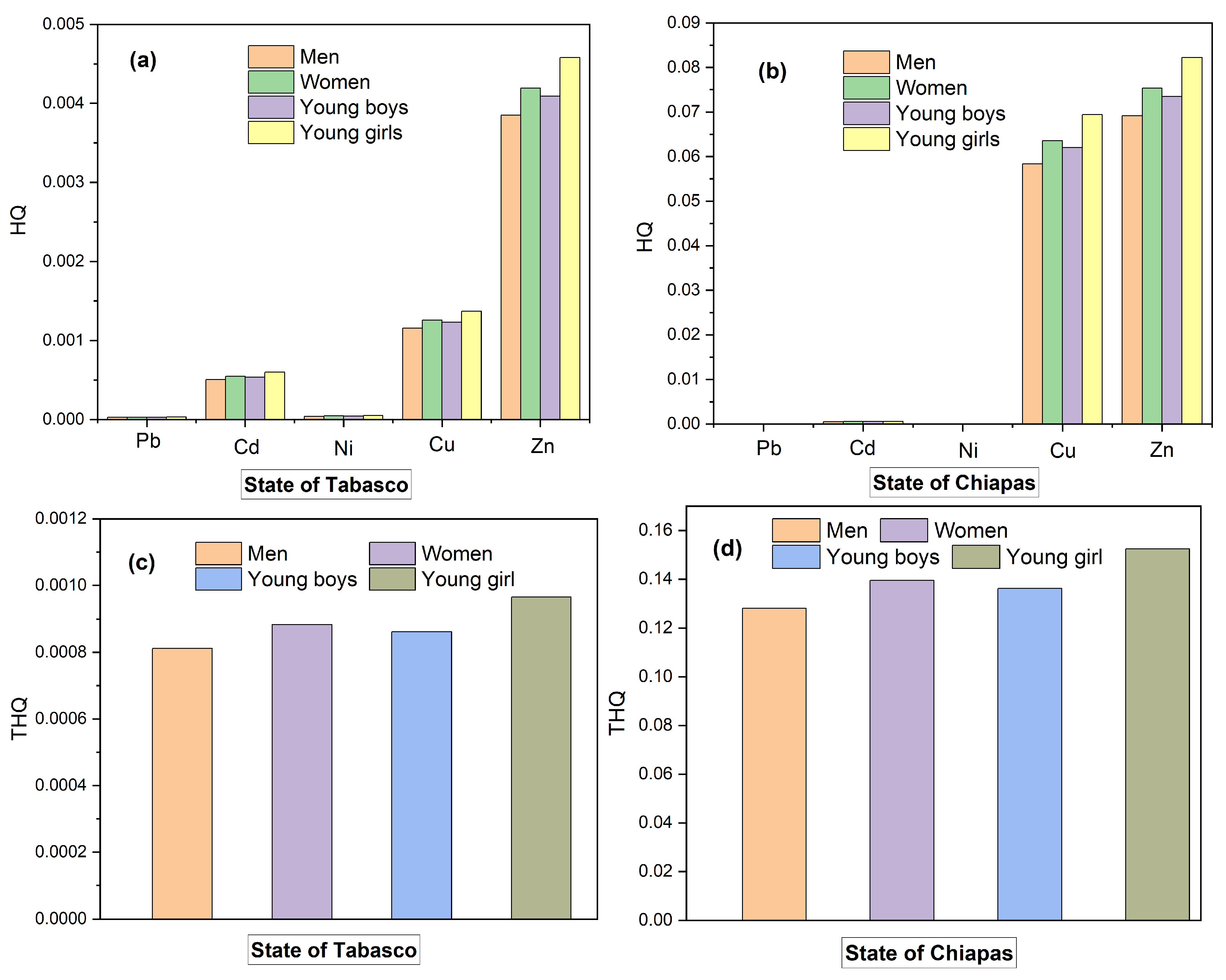
2.9. Risk Analysis
3. Materials and Methods
3.1. Artisanal Cheese Samples
3.2. Sample Preparation
3.3. Analytical Parameters for Atomic Absorption Spectrometry
3.4. Risk Analysis
3.4.1. Daily Intake of Metals
3.4.2. Hazard Quotient
3.4.3. Total Hazard Quotient
3.4.4. Cancer Risk and Total Cancer Risk
4. Conclusions
Author Contributions
Funding
Institutional Review Board Statement
Informed Consent Statement
Data Availability Statement
Acknowledgments
Conflicts of Interest
Correction Statement
References
- Moreno, R.R.; Sanchez, S.P.J.; Cámara, M.F.; Amparo, L.M.A. Heavy metal levels in Spanish cheeses: Influence of manufacturing conditions. Food Addit. Contam. Part B 2010, 3, 90–100. [Google Scholar] [CrossRef] [PubMed]
- Singh, V.; Singh, N.; Verma, M.; Kamal, R.; Tiwari, R.; Sanjay Chivate, M.; Rai, S.N.; Kumar, A.; Singh, A.; Singh, M.P.; et al. Hexavalent-Chromium-Induced Oxidative Stress and the Protective Role of Antioxidants against Cellular Toxicity. Antioxidants 2022, 11, 2375. [Google Scholar] [CrossRef] [PubMed]
- Singh, V.; Singh, J.; Singh, N.; Rai, S.N.; Verma, M.K.; Verma, M.; Singh, V.; Chivate, M.S.; Bilal, M.; Mishra, V. Simultaneous removal of ternary heavy metal ions by a newly isolated Microbacterium paraoxydans strain VSVM IIT(BHU) from coal washery effluent. BioMetals 2023, 36, 829–845. [Google Scholar] [CrossRef] [PubMed]
- FAO; WHO. Joint FAO/WHO Foods Standards Programed. Expert Committee on the Food Additives, Summary and Conclusions. In Proceedings of the 53rd Meeting, Rome, Italy, 1–10 June 1999; Available online: http://www.leffingwell.com/Summary%20and%20Conclusions%20of%20the%20Fifty-third%20meeting.pdf (accessed on 29 September 2023).
- Codex Alimentarius. International Food Standards; World Health Organization: Geneva, Switzerland, 2015; pp. 1–62. Available online: www.codexalimentarius.org (accessed on 19 September 2023).
- EFSA (European Food Safety Authority). Scientific Opinion on nutrient requirements and dietary intakes of infants and young children in the European Union. EFSA Panel on Dietetic Products, Nutrition and Allergies (NDA). EFSA J. 2013, 11, 3408. [Google Scholar] [CrossRef]
- Nom-243-ssa1-2010. Official Mexican Standard. Productos y servicios. Leche, Formula Láctea y Producto Lácteo Combinado. Especificaciones Sanitarias. 2010. Available online: http://dof.gob.mx/nota_detalle_popup.php?codigo=5160755 (accessed on 20 September 2023).
- US-EPA. Supplemental Guidance for Developing Soil Screening Levels for Superfund Sites Office of Solid Waste and Emergency Response; United States Environmental Protection Agency: Washington, DC, USA, 2017. Available online: http://rais.ornl.gov/documents/SSG_nonrad_supplemental.pdf (accessed on 10 September 2023).
- Bermudez, G.M.; Jasan, R.; Plá, R.; Pignata, M.L. Heavy metal and trace element concentrations in wheat grains: Assessment of potential non-carcinogenic health hazard through their consumption. J. Hazard. Mater. 2011, 193, 264–271. [Google Scholar] [CrossRef]
- González CA, F.; Yescas, C.; Ortiz EA, M.; De la Rosa AM, A.; Hernández, M.A.; Vallejo, C.B. Artisanal Mexican Cheeses. J. Dairy Sci. 2016, 99, 3250–3262. [Google Scholar] [CrossRef] [PubMed]
- Bakircioglu, D.; Kurtulus, Y.B.; Ucar, G. Determination of some traces metal levels in cheese samples packaged in plastic and tin containers by ICP-OES after dry, wet and microwave digestion. Food Chem. Toxicol. 2011, 49, 202–207. [Google Scholar] [CrossRef]
- OECD; FAO. Agricultural Outlook 2018–2027; OECD/FAO: Rome, Italy, 2018. [Google Scholar]
- Castro GN, P.; Calderón, S.F.; Perez, S.M.; Soni, G.E.; Reyes, C.E. Health risk due to chronic heavy metal consumption via cow’s milk produced in Puebla, Mexico, in irrigated wastewater areas. Food Addit. Contam. Part B 2019, 12, 38–44. [Google Scholar] [CrossRef]
- Reinholds, I.; Rusko, J.; Pugajeva, I.; Berzina, Z.; Jansons, M.; Kirilina-Gutmane, O.; Tihomirova, K.; Bartkevics, V. The Occurrence and Dietary Exposure Assessment of Mycotoxins, Biogenic Amines, and Heavy Metals in Mould-Ripened Blue Cheeses. Foods 2020, 9, 93. [Google Scholar] [CrossRef]
- International Programme of Chemical Safety (IPCS). 2023. Available online: https://www.ilo.org/global/topics/safety-and-health-at-work/resources-library/WCMS_111391/lang--en/index.htm (accessed on 15 September 2023).
- International Agency for Research on Cancer (IARC). 2023. Available online: https://www.iarc.who.int/ (accessed on 9 September 2023).
- Ziarati, P.; Shirkhan, F.; Mostafidi, M.; Tamaskani, Z.M. An Overview of the Heavy Metal Contamination in Milk and Dairy Products. Acta Pharm. Sci. 2018, 2, 8–21. [Google Scholar]
- Romero, E.D.; Yañez JG, S.; Simbaña, F.K.; Navarrete, H. Distribution, contents, and health risk assessment of cadmium, lead, and nickel in bananas produced in Ecuador. Foods 2019, 8, 330. [Google Scholar] [CrossRef] [PubMed]
- European Commission (EC). Setting Maximum Levels for Certain Contaminants in Food Stuffs. Off. J. Eur. Comm. 2001, 77, 1–75. Available online: https://op.europa.eu/en/publication-detail/-/publication/52b2484d-39e0-4aa9-ba19-4b13a887bb1c (accessed on 29 August 2023).
- Benitez, R.A. Evaluation of microbiological and toxicological quality (heavy metals) in fresh artisan cheese commercialized in Puebla City, Mexico. Int. J. Food Eng. 2019, 5, 276–281. [Google Scholar] [CrossRef]
- Castro GN, P.; Calderón, S.F.; Perez, S.M.; Castro de Jesús, J.; Moreno, R.R.; Tamariz, F.J.; Perez, S.M.; Soní, G.E. Heavy metals in cow’s milk, cheese produced in areas irrigated with waste water in Puebla, Mexico. Food Addit. Contam. Part B 2017, 11, 33–36. [Google Scholar] [CrossRef] [PubMed]
- Yüzbaşı, N.; Sezgin, E.; Yıldırım, M.; Yıldırım, Z. Survey of lead, cadmium, iron, copper and zinc in Kasar cheese. Food Addit. Contam. 2003, 20, 464–469. [Google Scholar] [CrossRef] [PubMed]
- Lante, A.; Lomolino, G.; Cagnin, M.; Spettoli, P. Content and characterisation of minerals in milk and in Crescenza and Squacquerone Italian fresh cheeses by ICP-OES. Food Control. 2006, 17, 229–233. [Google Scholar] [CrossRef]
- Castro GN, P.; Calderón, S.F.; Fuentes de María TM, T.; Silva, M.S.S.; González, J.F.E. Heavy metals in blood, milk and cow´s urine reared in irrigated areas with waste water. Heliyon 2021, 7, e06693. [Google Scholar] [CrossRef]
- Meshref, A.M.S.; Moselhy, W.A.; Hassan, N.E.-H.Y. Heavy metals and trace elements levels in milk and milk products. J. Food Meas. Charact. 2014, 8, 381–388. [Google Scholar] [CrossRef]
- Elbarbary, H.A.; Hamouda, A.F. Variations in some heavy metals’ level during processing of soft cheese. J. Food Meas. Charact. 2013, 7, 194–198. [Google Scholar] [CrossRef]
- Etinkaya, A.; Akbaba, G.B.; Özçakmak, S.; Gülbaz, G. Mineral and heavy metal content in Camİ Boğazi cheese on Sale in Trabzon, Turkey. Akad. Gida 2016, 41, 317–321. [Google Scholar] [CrossRef]
- Izah, S.C.; Chakrabarty, N.; Srivastav, A.L. A Review on Heavy Metal Concentration in Potable Water Sources in Nigeria: Human Health Effects and Mitigating Measures. Expo. Health 2016, 8, 285–304. [Google Scholar] [CrossRef]
- Naseri, K.; Salmani, F.; Zeinali, M.; Zeinali, T. Health risk assessment of Cd, Cr, Cu, Ni and Pb in the muscle, liver and gizzard of hen’s marketed in East of Iran. Toxicol. Rep. 2021, 8, 53–59. [Google Scholar] [CrossRef]
- US-EPA-IRIS. Nickel, Soluble Salts; CASRN Various. Integrated Risk Information System (IRIS) Chemical Assessment Summary, File First On-Line 09/30/. Available online: https://cfpub.epa.gov/ncea/iris/iris_documents/documents/subst/0271_summary.pdf (accessed on 9 October 2023).
- Olivares, A.V.; Valverde, S.L.; Quiroz, R.V.; García, R.R.; Muñoz, N.; Navarro, A.M.; Cabrera, V.C. Níquel en alimentos y factores influyentes en sus niveles, ingesta, biodiesponibilidad y toxicidad: Una revisión. CyTA-J. Food 2015, 13, 87–101. [Google Scholar] [CrossRef]
- Noël, L.; Chekri, R.; Millour, S.; Vastel, C.; Kadar, A.; Sirot, V.; Leblanc, J.-C.; Guérin, T. Li, Cr, Mn, Co, Ni, Cu, Zn, Se and Mo levels in foodstuffs from the Second French TDS. Food Chem. 2012, 132, 1502–1513. [Google Scholar] [CrossRef] [PubMed]
- Olujimi, O.O.; Abubakar, R.; Faburoso, E.; Sodiya, C.I.; Ojo, O.E.; Towolawi, A.T. Levels of heavy metals in local milk and cheese, and phthalate esters in cheese by settled Fulani pastoralists in Ogun and Oyo States, Nigeria. Niger Food J. 2018, 36, 12–20. [Google Scholar]
- Fiedler, S.; Siebe, C.; Herre, A.; Roth, B.; Cram, S.; Stahr, K. Contribution of Oil Industry Activities to Environmental Loads of Heavy Metals in the Tabasco Lowlands, Mexico. Water Air Soil Pollut. 2008, 197, 35–47. [Google Scholar] [CrossRef]
- Manríquez, L.; Moreno, A.; Tenorio, R.E.; Herrera, D. Guide to world crudes. Four Mexican crude assays update. Oil Gas J. 2000, 15, 54–57. [Google Scholar]
- Siebe, C.; Cram, S.; Herre, A.; Fernández, B.N. Distribución de Metales Pesados en Los Suelos de la Llanura Alluvial Baja del Activo Cinco Presidentes, Tabasco, Mexico. In Golfo de México-Contaminación e Impacto Ambiental, Diagnostico y Tendencias; Botello, A.V., von Osten, J.R., Gold-Bouchot, G., Hernández, A.C., Eds.; Universidad Autónoma de Campeche-UNAM: Coyoacán, Mexico, 2005; pp. 385–403. [Google Scholar]
- Villanueva, F.S.; Botello, A.V. Vigilancia y presencia de metales tóxicos en la laguna el Yucateco, Tabasco, México. In Golfo de México-Contaminación e Impacto Ambiental, Diagnostico y Tendencias; Botello, A.V., von Osten, J.R., Gold-Bouchot, G., Eds.; Universidad Autónoma de Campeche-UNAM: Coyoacán, Mexico, 2005; pp. 407–430. [Google Scholar]
- De la Cruz, P.A.; Zavala, C.J.; Guerrero, P.A.; Salgado, G.S.; Lagunés EL, C.; Gavi, R.F. Heavy Metals in Soils Cultivated with Sugar Cane in the Chontalpa, Tabasco; Universidad y Ciencias: Santa Cruz de la Sierra, Bolivia, 2012; Volume 28, pp. 119–130. [Google Scholar]
- Salgado, G.S.; Palma LD, J.; Zavala, C.J.; Córdova, S.S.; Castelán, E.M. Sustainable fertilization program for plantations of citrus in Tabasco, Mexico. Ecosistemas y Recur 2016, 3, 345–356. [Google Scholar]
- Baez GA, D.; Kiniry, J.R.; Meki, M.N.; Williams, J.R.; Alvarez, C.M.; Ramos GJ, L.; Magallanes, E.A. Potential impact of future climate change on sugarcane under dryland conditions in Mexico. J. Agron. Crop. Sci. 2018, 204, 515–528. [Google Scholar] [CrossRef]
- Hernández RD, A.; López, B.F.; Bonilla, M.M. Preliminary analysis of the land use dynamic associated with oil palm (Elaeis guineensis) plantation in Mexico. Agrociencia 2018, 52, 875–893. [Google Scholar]
- Murillo HF, E.; Córdova, S.S.; Salgado, G.S.; Bolio LG, I.; De la Cruz, B.P.; Sánchez, G.F. Nutritional determination of piña criolla (Ananas comosus L. Merril) in the sub-region of the Chontalpa Tabasco, Mexico. Agro Product. 2019, 12, 31–34. [Google Scholar] [CrossRef]
- Chávez, G.E.; Castelán, E.M. Peasant evaluation of the agroecological management of cocoa plantations (Theobroma cacao L.) in Tabasco, Mexico. Agro Product. 2019, 12, 43–49. [Google Scholar] [CrossRef]
- CONACYT. 2020. Available online: http://adesur.centrogeo.org.mx/cms/multimedia/CultivosDominantes/menuSect-19-387 (accessed on 3 October 2023).
- CentroGeo. 2023. Available online: http://adesur.centrogeo.org.mx/interactive/layers (accessed on 7 October 2023).
- Atafar, Z.; Mesdaghinia, A.; Nouri, J.; Homaee, M.; Yunesian, M.; Ahmadimoghaddam, M.; Mahvi, A.H. Effect of fertilizer application on soil heavy metal concentration. Environ. Monit. Assess. 2010, 160, 83–89. [Google Scholar] [CrossRef] [PubMed]
- Gupta, D.K.; Chatterjee, S.; Datta, S.; Veer, V.; Walther, C. Role of phosphate fertilizers in heavy metal uptake and detoxication of toxic metals. Chemosphere 2014, 108, 134–144. [Google Scholar] [CrossRef]
- Chandrajith, R.; Dissanayake, C. Phosphate mineral fertilizers, trace metals and human health. J. Natl. Sci. Found. 2009, 37, 153. [Google Scholar] [CrossRef]
- SCT. 2023. Available online: https://www.sct.gob.mx/fileadmin/DireccionesGrales/DGST/Datos_Viales_2023/27_TAB_DV2023.pdf (accessed on 13 October 2023).
- Zhang, F.; Yan, X.; Zeng, C.; Zhang, M.; Shrestha, S.; Devkota, L.P.; Yao, T. Influence of Traffic Activity on Heavy Metal Concentrations of Roadside Farmland Soil in Mountainous Areas. Int. J. Environ. Res. Public Health 2012, 9, 1715–1731. [Google Scholar] [CrossRef]
- Akpoveta, O.V.; Osakwe, S.A. Determination of Heavy Metal Contents in Refined Petroleum Products. IOSR J. Appl. Chem. 2014, 7, 1–2. [Google Scholar] [CrossRef]
- Al Sidawi, R.; Ghambashidze, G.; Urushadze, T.; Ploeger, A. Heavy Metal Levels in Milk and Cheese Produced in the Kvemo Kartli Region, Georgia. Foods 2021, 10, 2234. [Google Scholar] [CrossRef]
- Tilling, R.I. El Chichón’s “surprise” eruption in 1982: Lessons for reducing volcano risk. Geofis. Int. 2009, 48, 3–19. [Google Scholar] [CrossRef]
- Rincón MC, I.; Hernández GJ, A.; Rincón, R.R.; Gutiérrez MF, A.; Ramírez VD, A.; González, T.E. Structure and Diversity of the Bacterial Communities in the Acid and Thermophilic Crater-Lake of the Volcano “El Chichón”, Mexico. Geomicrobiol. J. 2018, 36, 97–109. [Google Scholar] [CrossRef]
- Palma-López, D.J.; Cisneros, D.J.; Moreno, C.E.; Rincón-Ramírez, J.A. Suelos de Tabasco: Su Uso y Manejo Sustentable; Colegio de Postgraduados-ISPROTAB-Fundacion Produce Tabasco: Villahermosa, Mexico, 2007; pp. 1–184. [Google Scholar]
- INEGI, Edafología. 2023. Available online: https://www.inegi.org.mx/temas/edafologia/ (accessed on 23 October 2023).
- Ghafari, H.R.; Sobhanardakani, S. Contamination and Health Risks from Heavy Metals (Cd and Pb) and Trace Elements (Cu and Zn) in Dairy Products. Iran. J. Health Sci. 2017, 5, 49–57. [Google Scholar] [CrossRef]
- Mendil, D. Mineral and trace metal levels in some cheese collected from Turkey. Food Chem. 2006, 96, 532–537. [Google Scholar] [CrossRef]
- Orak, H.; Altun, M.; Ercag, E. Survey of heavy metals in Turkish white cheese. Ital. J. Food Sci. 2005, 17, 95–100. [Google Scholar]
- Jaishankar, M.; Tseten, T.; Anbalagan, N.; Mathew, B.B.; Beeregowda, K.N. Toxicity, mechanism and health effects of some heavy metals. Interdiscip. Toxicol. 2014, 7, 60–72. [Google Scholar] [CrossRef]
- Jalili, M. Chemical composition and sensory characteristics of Feta cheese fortified with iron and ascorbic acid. Dairy Sci. Technol. 2016, 96, 579–589. [Google Scholar] [CrossRef]
- Kirdar, S.S.; Ocak, E.; Köse, S. Mineral and trace metal levels of Akcakatic cheese collected form Mediterranean region-Turkey. Asian J. Chem. 2013, 25, 1643–1646. [Google Scholar] [CrossRef]
- Zafarzadeh, A.; Bonyadi, Z.; Feyzi, K. Health risk assessment related to cadmium in dairy products in Gorgan, Iran. Int. J. Environ. Anal. Chem. 2020, 102, 4058–4066. [Google Scholar] [CrossRef]











| Cheese Variety | Municipality | Pb | Cd | Ni | Cu | Zn | Fe |
|---|---|---|---|---|---|---|---|
| double cream | Tenosique | 0.0047 | 0.0027 | 0.0002 | 0.0305 | 0.0443 | 62.48 |
| double cream | Tenosique | 0.0040 | 0.0021 | 0.0054 | 0.0212 | 0.0204 | 61.79 |
| oaxaca | Tenosique | 0.0035 | 0.0000 | 0.0024 | 0.0354 | 0.1494 | 58.48 |
| oaxaca | Tenosique | 0.0047 | 0.0004 | 0.0048 | 0.0059 | 0.0496 | 62.41 |
| oaxaca | Tenosique | 0.0028 | 0.0001 | 0.0032 | 0.0437 | 0.2443 | 72.76 |
| oaxaca | Balancán | 0.0029 | 0.0015 | 0.0005 | 0.0098 | 0.0823 | 59.65 |
| cream or soup | Balancán | 0.0046 | 0.0031 | 0.0096 | 0.0219 | 0.0532 | 62.73 |
| double cream | Balancán | 0.0043 | 0.0019 | 0.0037 | 0.0269 | 0.1271 | 68.26 |
| double cream | Balancán | 0.0057 | 0.0037 | 0.0012 | 0.0129 | 0.0904 | 55.97 |
| cream or soup | Balancán | 0.0078 | 0.0049 | 0.0018 | 0.0304 | 0.2418 | 60.04 |
| fresh | Balancán | 0.0068 | 0.0037 | 0.0042 | 0.0078 | 0.2785 | 58.38 |
| oaxaca | Balancán | 0.0041 | 0.0001 | 0.0041 | 0.0069 | 0.1554 | 58.39 |
| cream or soup | Centro | 0.0092 | 0.0063 | 0.0078 | 0.0402 | 0.0808 | 62.39 |
| panela | Centro | 0.0043 | 0.0019 | 0.0004 | 0.0059 | 0.1436 | 58.82 |
| oaxaca | Centro | 0.0044 | 0.0031 | 0.0005 | 0.0083 | 0.0499 | 56.92 |
| oaxaca | Centro | 0.0036 | 0.0016 | 0.0011 | 0.0102 | 0.0317 | 57.67 |
| mozzarella | Huimanguillo | 0.0035 | 0.0026 | 0.0007 | 0.0112 | 0.1019 | 63.58 |
| provolone | Huimanguillo | 0.0048 | 0.0001 | 0.0015 | 0.0275 | 0.1653 | 58.52 |
| fresh | Huimanguillo | 0.0034 | 0.0002 | 0.0033 | 0.0081 | 0.2659 | 68.29 |
| panela | Huimanguillo | 0.0043 | 0.0075 | 0.0019 | 0.0117 | 0.2542 | 56.07 |
| panela | Huimanguillo | 0.0039 | 0.0013 | 0.0009 | 0.0154 | 0.2927 | 56.93 |
| fresh | Huimanguillo | 0.0005 | 0.0004 | 0.0022 | 0.0098 | 0.2435 | 59.46 |
| fresh | Huimanguillo | 0.0041 | 0.0002 | 0.0021 | 0.0108 | 0.2447 | 58.56 |
| panela | Huimanguillo | 0.0047 | 0.0021 | 0.0034 | 0.0346 | 0.2231 | 57.98 |
| double cream | Huimanguillo | 0.0004 | 0.0047 | 0.0048 | 0.0298 | 0.0271 | 58.72 |
| panela | Huimanguillo | 0.0044 | 0.0001 | 0.0038 | 0.0135 | 0.2738 | 56.61 |
| double cream | Huimanguillo | 0.0038 | 0.0027 | 0.0069 | 0.0356 | 0.1008 | 56.18 |
| panela | Huimanguillo | 0.0031 | 0.0011 | 0.0027 | 0.0093 | 0.3008 | 67.77 |
| oaxaca | Huimanguillo | 0.0043 | 0.0019 | 0.0042 | 0.0136 | 0.2645 | 69.53 |
| panela | Huimanguillo | 0.0039 | 0.0003 | 0.0056 | 0.0115 | 0.2842 | 64.21 |
| cream or soup | Huimanguillo | 0.0063 | 0.0027 | 0.0087 | 0.0219 | 0.1135 | 63.98 |
| double cream | Huimanguillo | 0.0039 | 0.0035 | 0.0092 | 0.0298 | 0.0413 | 67.28 |
| panela | Huimanguillo | 0.0042 | 0.0009 | 0.0052 | 0.0167 | 0.2348 | 63.61 |
| fresh | Huimanguillo | 0.0041 | 0.0006 | 0.0034 | 0.0101 | 0.2598 | 63.34 |
| oaxaca | Huimanguillo | 0.0037 | 0.0009 | 0.0023 | 0.0177 | 0.1902 | 62.79 |
| oaxaca | Huimanguillo | 0.0064 | 0.0000 | 0.0015 | 0.0198 | 0.2295 | 62.56 |
| cream or soup | Huimanguillo | 0.0044 | 0.0026 | 0.0092 | 0.0257 | 0.0961 | 63.03 |
| oaxaca | Huimanguillo | 0.0084 | 0.0007 | 0.0039 | 0.0271 | 0.2095 | 61.47 |
| oaxaca | Huimanguillo | 0.0051 | 0.0000 | 0.0049 | 0.0209 | 0.1774 | 62.78 |
| oaxaca | Huimanguillo | 0.0043 | 0.0014 | 0.0044 | 0.0189 | 0.1805 | 63.15 |
| double cream | Huimanguillo | 0.0052 | 0.0156 | 0.0132 | 0.0378 | 0.0912 | 72.08 |
| cream or soup | Huimanguillo | 0.0125 | 0.0039 | 0.0032 | 0.0279 | 0.1121 | 61.77 |
| oaxaca | Huimanguillo | 0.0049 | 0.0011 | 0.0029 | 0.0088 | 0.1962 | 61.63 |
| double cream | Huimanguillo | 0.0072 | 0.0084 | 0.0042 | 0.0355 | 0.0708 | 62.04 |
| Average | 0.0047 ± 0.002 | 0.0023 ± 0.002 | 0.0039 ± 0.004 | 0.0199 ± 0.02 | 0.1611 ± 0.18 | 61.84 ± 4.23 | |
| Maximum | 0.0125 | 0.0056 | 0.0132 | 0.0437 | 0.3008 | 72.76 | |
| minimum | 0.0004 | 0 | 0.0002 | 0.0059 | 0.0204 | 55.97 |
| Cheese Variety | Municipality | Pb | Cd | Ni | Cu | Zn | Fe |
|---|---|---|---|---|---|---|---|
| double cream | Solosuchiapa | 0.0029 | 0.0041 | 0.0063 | 0.0177 | 0.1114 | 65.34 |
| oaxaca | Solosuchiapa | 0.0081 | 0.0000 | 0.0019 | 0.0098 | 0.2669 | 58.52 |
| panela | Solosuchiapa | 0.0007 | 0.0003 | 0.0012 | 0.0072 | 0.3308 | 60.89 |
| cotija | Solosuchiapa | 0.0047 | 0.0051 | 0.0009 | 0.0113 | 0.2047 | 65.98 |
| panela | Solosuchiapa | 0.0078 | 0.0034 | 0.0017 | 0.0059 | 0.1325 | 63.75 |
| panela | Solosuchiapa | 0.0067 | 0.0013 | 0.0031 | 0.0154 | 0.2112 | 72.94 |
| cotija | Solosuchiapa | 0.0056 | 0.0043 | 0.0043 | 0.0337 | 0.1664 | 63.33 |
| cotija | Juárez | 0.0047 | 0.0038 | 0.0075 | 0.0283 | 0.3708 | 67.89 |
| cotija | Juárez | 0.0039 | 0.0037 | 0.0056 | 0.0235 | 0.2157 | 64.52 |
| cotija | Juárez | 0.0049 | 0.0062 | 0.0037 | 0.0319 | 0.2654 | 62.19 |
| cream or soup | Juárez | 0.0051 | 0.0055 | 0.0091 | 0.0288 | 0.0766 | 70.49 |
| oaxaca | Juárez | 0.0083 | 0.0009 | 0.0016 | 0.0112 | 0.1839 | 57.96 |
| double cream | Juárez | 0.0069 | 0.0077 | 0.0015 | 0.0267 | 0.0748 | 64.86 |
| double cream | Juárez | 0.0035 | 0.0044 | 0.0039 | 0.0329 | 0.3699 | 65.65 |
| oaxaca | Juárez | 0.0033 | 0.0017 | 0.0052 | 0.0107 | 0.3145 | 65.79 |
| oaxaca | Juárez | 0.0047 | 0.0033 | 0.0044 | 0.0198 | 0.4369 | 76.67 |
| oaxaca | Catazajá | 0.0041 | 0.0013 | 0.0038 | 0.0067 | 0.2254 | 70.74 |
| oaxaca | Catazajá | 0.0003 | 0.0021 | 0.0021 | 0.0138 | 0.0677 | 64.91 |
| oaxaca | Catazajá | 0.0031 | 0.0027 | 0.0029 | 0.0103 | 0.2691 | 68.37 |
| double cream | Catazajá | 0.0075 | 0.0033 | 0.0078 | 0.0303 | 0.0642 | 65.87 |
| cream or soup | Catazajá | 0.0069 | 0.0031 | 0.0067 | 0.0281 | 0.0742 | 64.39 |
| double cream | Catazajá | 0.0084 | 0.0037 | 0.0025 | 0.0259 | 0.0787 | 72.33 |
| oaxaca | Catazajá | 0.0041 | 0.0011 | 0.0030 | 0.0155 | 0.2228 | 64.15 |
| double cream | Catazajá | 0.0069 | 0.0029 | 0.0039 | 0.0281 | 0.0665 | 65.94 |
| double cream | Catazajá | 0.0053 | 0.0033 | 0.0046 | 0.0277 | 0.0776 | 64.68 |
| oaxaca | Catazajá | 0.0008 | 0.0046 | 0.0026 | 0.0117 | 0.1505 | 64.02 |
| cotija | Catazajá | 0.0088 | 0.0047 | 0.0079 | 0.0267 | 0.2081 | 72.09 |
| cotija | Catazajá | 0.0045 | 0.0032 | 0.0061 | 0.0198 | 0.1735 | 64.75 |
| cotija | Catazajá | 0.0081 | 0.0041 | 0.0044 | 0.0319 | 0.1996 | 65.82 |
| panela | Catazajá | 0.0005 | 0.0007 | 0.0025 | 0.0167 | 0.2697 | 63.81 |
| cotija | Catazajá | 0.0041 | 0.0046 | 0.0027 | 0.0337 | 0.1908 | 66.58 |
| panela | Catazajá | 0.0011 | 0.0002 | 0.0006 | 0.0219 | 0.2364 | 64.33 |
| panela | Catazajá | 0.0009 | 0.0001 | 0.0019 | 0.0201 | 0.2062 | 67.51 |
| double cream | Reforma | 0.0067 | 0.0049 | 0.0054 | 0.0354 | 0.0489 | 55.82 |
| panela | Reforma | 0.0022 | 0.0023 | 0.0009 | 0.0285 | 0.1395 | 59.86 |
| fresh | Reforma | 0.0067 | 0.0011 | 0.0003 | 0.0197 | 0.1879 | 67.26 |
| double cream | Reforma | 0.0089 | 0.0051 | 0.0058 | 0.0205 | 0.0421 | 57.61 |
| cream or soup | Reforma | 0.0056 | 0.0045 | 0.0041 | 0.0322 | 0.1341 | 58.04 |
| double cream | Reforma | 0.0073 | 0.0026 | 0.0036 | 0.0167 | 0.0912 | 65.87 |
| oaxaca | Reforma | 0.0062 | 0.0019 | 0.0005 | 0.0139 | 0.3378 | 65.83 |
| oaxaca | Reforma | 0.0033 | 0.0034 | 0.0022 | 0.0112 | 0.2359 | 97.41 |
| oaxaca | Reforma | 0.0056 | 0.0008 | 0.0019 | 0.0209 | 0.1832 | 67.61 |
| oaxaca | Reforma | 0.0063 | 0.0037 | 0.0035 | 0.0223 | 0.2877 | 57.62 |
| oaxaca | Reforma | 0.0034 | 0.0003 | 0.0007 | 0.0202 | 0.2301 | 64.13 |
| Average | 0.0051 ± 0.002 | 0.0023 ± 0.002 | 0.0031 ± 0.004 | 0.0202 ± 0.022 | 0.194 ±0.21 | 65.76 ± 6.61 | |
| Maximum | 0.0089 | 0.0077 | 0.0091 | 0.0354 | 0.437 | 97.41 | |
| Minimum | 0.0003 | 0.0000 | 0.0003 | 0.0059 | 0.0421 | 55.82 |
| Sample | Cream | Cotija | Oaxaca | Fresh | Panela |
|---|---|---|---|---|---|
| 1 | 42.594 | 39.295 | 60.756 | 58.320 | 55.610 |
| 2 | 49.741 | 36.080 | 64.414 | 58.327 | 63.113 |
| 3 | 51.560 | 39.352 | 59.361 | 63.910 | 60.901 |
| 4 | 41.018 | 40.690 | 63.062 | 62.455 | 60.318 |
| 5 | 45.862 | 37.750 | 61.025 | 61.325 | 62.862 |
| 6 | 45.810 | 41.786 | 63.942 | 60.458 | 64.538 |
| 7 | 37.338 | 41.949 | 64.956 | - | 54.937 |
| 8 | 43.719 | 34.565 | 59.746 | - | 63.710 |
| 9 | 45.081 | 36.829 | 60.344 | - | 65.707 |
| 10 | 44.866 | - | 63.582 | - | 62.195 |
| 11 | 46.634 | - | 62.431 | - | 65.820 |
| 12 | 35.921 | - | 60.679 | - | 66.447 |
| 13 | 46.789 | - | 61.430 | - | 55.019 |
| 14 | 39.808 | - | 61.977 | - | 61.770 |
| 15 | 47.096 | - | 55.727 | - | 56.922 |
| 16 | 48.561 | - | 54.637 | - | - |
| 17 | 48.647 | - | 55.183 | - | - |
| 18 | 45.336 | - | 56.782 | - | - |
| 19 | 48.025 | - | 66.109 | - | - |
| 20 | 50.020 | - | 55.631 | - | - |
| 21 | 47.559 | - | 54.017 | - | - |
| 22 | 49.342 | - | 62.236 | - | - |
| 23 | 38.601 | - | 57.339 | - | - |
| 24 | 43.091 | - | 58.655 | - | - |
| 25 | 47.352 | - | 56.461 | - | - |
| 26 | 39.398 | - | 56.894 | - | - |
| 27 | 48.085 | - | 54.063 | - | - |
| 28 | 49.558 | - | 55.845 | - | - |
| Average | 45.264 | 38.699 | 59.546 | 60.799 | 61.325 |
| Maximum | 51.560 | 41.949 | 66.109 | 63.910 | 66.447 |
| Minimum | 35.921 | 34.565 | 54.017 | 58.320 | 54.937 |
| Cheese Variety | Mean | n | |||
|---|---|---|---|---|---|
| cotija | 38.699 | 9 | A | ||
| cream | 45.264 | 28 | B | ||
| oaxaca | 59.545 | 28 | C | ||
| fresh | 60.799 | 6 | C | ||
| panela | 61.324 | 15 | C |
| (a) Pb | (b) Cd | ||||||
| State | Mean | n | State | Mean | n | ||
| Chiapas | 0.0047 | 44 | A | Chiapas | 0.0024 | 44 | A |
| Tabasco | 0.005 | 44 | A | Tabasco | 0.003 | 44 | A |
| (c) Ni | (d) Cu | ||||||
| State | Mean | n | State | Mean | n | ||
| Chiapas | 0.0036 | 44 | A | Chiapas | 0.02 | 44 | A |
| Tabasco | 0.0039 | 44 | A | Tabasco | 0.02 | 44 | A |
| (e) Zn | (f) Fe | ||||||
| State | Mean | n | State | Mean | n | ||
| Chiapas | 0.19 | 44 | A | Chiapas | 65.78 | 44 | A |
| Tabasco | 0.16 | 44 | A | Tabasco | 61.84 | 44 | B |
| (a) CR | ||||
| Metal | Average | |||
| Ni | 9.5 × 10−6 | A | ||
| Cd | 1.1 × 10−4 | B | ||
| Pb | 1.4 × 10−4 | C | ||
| (b) CR | ||||
| Age group | Average | |||
| Adults | 8.2 × 10−5 | A | ||
| Youngsters | 8.9 × 10−5 | B | ||
| (c) CRT | ||||
| Age group | Average | |||
| Adults | 2.5 × 10−4 | A | ||
| Youngsters | 2.7 × 10−4 | A | ||
Disclaimer/Publisher’s Note: The statements, opinions and data contained in all publications are solely those of the individual author(s) and contributor(s) and not of MDPI and/or the editor(s). MDPI and/or the editor(s) disclaim responsibility for any injury to people or property resulting from any ideas, methods, instructions or products referred to in the content. |
© 2023 by the authors. Licensee MDPI, Basel, Switzerland. This article is an open access article distributed under the terms and conditions of the Creative Commons Attribution (CC BY) license (https://creativecommons.org/licenses/by/4.0/).
Share and Cite
Anguebes-Franseschi, F.; Abatal, M.; Alejandra Ucán, C.; Ruiz Marín, A.; Tamayo-Ordoñez, F.; Canedo-López, Y.; Perez-Reda, L.; Damás-Damas, S. Determination of the Concentration of Heavy Metals in Artisanal Cheeses Produced in the Mexican States of Tabasco and Chiapas. Molecules 2023, 28, 7907. https://doi.org/10.3390/molecules28237907
Anguebes-Franseschi F, Abatal M, Alejandra Ucán C, Ruiz Marín A, Tamayo-Ordoñez F, Canedo-López Y, Perez-Reda L, Damás-Damas S. Determination of the Concentration of Heavy Metals in Artisanal Cheeses Produced in the Mexican States of Tabasco and Chiapas. Molecules. 2023; 28(23):7907. https://doi.org/10.3390/molecules28237907
Chicago/Turabian StyleAnguebes-Franseschi, Francisco, Mohamed Abatal, Claudia Alejandra Ucán, Alejandro Ruiz Marín, Francisco Tamayo-Ordoñez, Yunuen Canedo-López, Luis Perez-Reda, and Siprian Damás-Damas. 2023. "Determination of the Concentration of Heavy Metals in Artisanal Cheeses Produced in the Mexican States of Tabasco and Chiapas" Molecules 28, no. 23: 7907. https://doi.org/10.3390/molecules28237907
APA StyleAnguebes-Franseschi, F., Abatal, M., Alejandra Ucán, C., Ruiz Marín, A., Tamayo-Ordoñez, F., Canedo-López, Y., Perez-Reda, L., & Damás-Damas, S. (2023). Determination of the Concentration of Heavy Metals in Artisanal Cheeses Produced in the Mexican States of Tabasco and Chiapas. Molecules, 28(23), 7907. https://doi.org/10.3390/molecules28237907

