Friedelin: Structure, Biosynthesis, Extraction, and Its Potential Health Impact
Abstract
1. Introduction
2. Sources of Friedelin
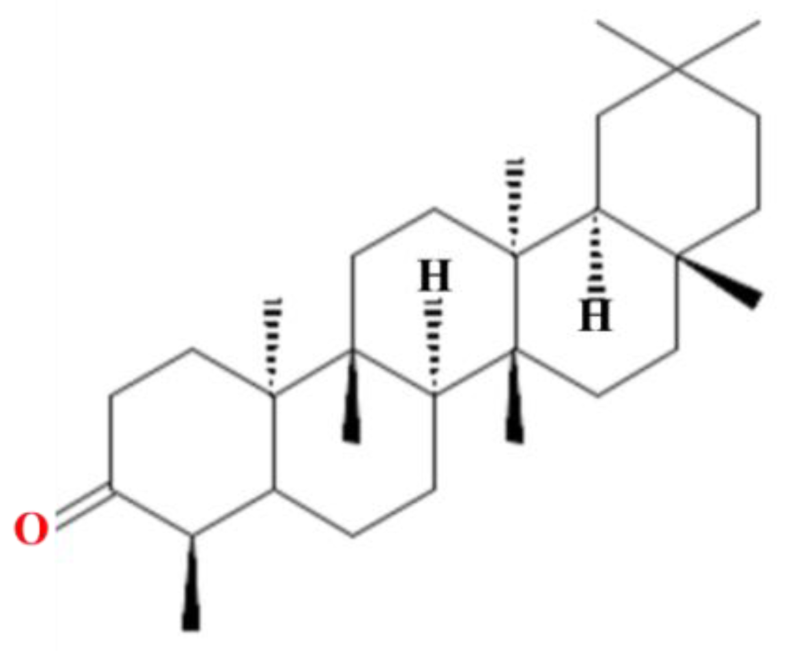
3. Chemistry and Biosynthesis Pathway of Friedelin
4. Extraction Methods and Quantification
4.1. Extraction Methods and Analysis
4.2. Quantification of Friedelin
5. Biological and Pharmacological Properties
5.1. Antioxidant and Hepatoprotective Activity
5.2. Anti-Ulcerogenic Activity
5.3. Antidiabetic Activity
5.4. Anticancer Activity
5.5. Neuroprotective Activity
5.6. Antimicrobial and Antiparasitic Activity
6. Conclusions
Supplementary Materials
Author Contributions
Funding
Institutional Review Board Statement
Informed Consent Statement
Data Availability Statement
Conflicts of Interest
Abbreviations
| pOSCs | Oxido squalene cyclases |
| SHCs | Squalene-hopene cyclases |
| CoA | CoenzymeA |
| AACT | Acetyl CoA Cacetyl transferase |
| HMGCoA | 3-hydroxy-3-methyl glutaryl CoA |
| MVA | Mevalonate |
| IPP | Isopentenyl pyrophosphate |
| DMAPP | Dimethyl allyl pyrophosphate |
| SFE | Supercritical fluid extraction |
| EM | Electromagnetic |
| UAE | Ultrasound-assisted extraction |
| PLE | Pressurized-liquid extraction |
| SOX | Soxhlet extraction |
| MAE | Microwave-assisted extraction |
| GC-MS | Gas chromatography mass spectroscopy |
| GC-FID | Gas chromatography with flame ionization detection |
| DPPH | 2,2-diphenyl-picrylhydrazyl |
| TNF | Tumor necrosis factor-α |
| IL | Interleukin |
| UC | Ulcerative colitis |
| ER | Estrogen receptor |
| Bcl | B-cell lymphoma |
| ADMET | Absorption, distribution, metabolism, excretion, and toxicity |
| MTT | 3-(4,5-dimethylthiazol-2-yl)-2,5-diphenyl-2H-tetrazolium bromide |
| EBS | Bamboo shavings extract |
| GBM | Glioblastoma Multiforme |
| OS | Oxidative stress |
| JNK | c-JunN-terminal kinase |
| MIC | Minimum Inhibitory Concentration |
| SARS-CoV | Severe Acute Respiratory Syndrome Corona Virus |
| IC | Inhibitory Concentration |
| IFN-γ | Interferon gamma |
| HSC | Hematopoietic stem cells |
| pADMSCs | Porcine adipose-derived mesenchymal stem cells |
| MCF-7 | Michigan Cancer Foundation-7 |
| CYP17A1 | Cytochrome P450 family 17 subfamily A member 1 |
| HT-29 | Cells human colorectal adenocarcinoma cell lines |
| T24 | Urinary bladder colorectal adenocarcinoma cell lines |
| AML-196 | Acute myeloid leukemia 196 |
| PRCC | Papillary renal cell carcinoma |
References
- Ndolo, V.; Maoni, M.; Mwamatope, B.; Tembo, D.T. Phytochemicals in commonly consumed foods in malawian diets. Funct. Foods Health Dis. 2022, 12, 564–575. [Google Scholar] [CrossRef]
- Anshuman, K.P. Phytochemicals: An immune booster against the pathogens. In Recent Frontiers of Phytochemicals; Pati, S., Sarkar, T., Lahiri, D., Eds.; Elsevier: Amsterdam, The Netherlands, 2023; pp. 501–509. ISBN 9780443191435. [Google Scholar]
- Dillard, C.J.; German, J.B. Phytochemicals: Nutraceuticals and human health. J. Sci. Food Agric. 2000, 80, 1744–1756. [Google Scholar] [CrossRef]
- WHO. WHO Guidelines on Safety Monitoring of Herbal Medicines in Pharmacovigilance Systems; World Health Organization: Geneva, Switzerland, 2004; ISBN 9241592214. [Google Scholar]
- Corey, E.J.T.; Ursprung, J.J. The Structures of the Triterpenes Friedelin and Cerin1,2. J. Am. Chem. Soc. 1956, 78, 5041–5051. [Google Scholar] [CrossRef]
- Caneschi, C.M.; de Souza, S.M.; Certo, T.S.; de Souza, G.H.B.; Campos, M.S.T.; Duarte, L.P.; de Silva, G.D.F.; de Gomes, M.S.; Vieira Filho, S.A. Samaras of Austroplenckia Populnea (Celastraceae): New constituents and effect of extracts and friedelin on germination of Bidens Pilosa (Asteraceae). Int. J. 2014, 6, 318–325. [Google Scholar]
- Alves, T.B.; Souza-Moreira, T.M.; Valentini, S.R.; Zanelli, C.F.; Furlan, M. Friedelin in Maytenus ilicifolia is produced by friedelin synthase isoforms. Molecules 2018, 23, 700. [Google Scholar] [CrossRef] [PubMed]
- Herrera, C.; Pérez, Y.; Morocho, V.; Armijos, C.; Malagón, O.; Brito, B.; Tacán, M.; Cartuche, L.; Gilardoni, G. Preliminary phytochemical study of the Ecuadorian plant Croton elegans Kunth (Euphorbiaceae). J. Chil. Chem. Soc. 2018, 63, 3875–3877. [Google Scholar] [CrossRef]
- Cao, Z.; Wang, Z.; Shang, Z.; Zhao, J. Classification and identification of Rhodobryum roseum Limpr. and its adulterants based on fourier-transform infrared spectroscopy (FTIR) and chemometrics. PLoS ONE 2017, 12, e0172359. [Google Scholar] [CrossRef] [PubMed]
- Solberg, Y. Chemical investigation of the lichen species Alectoria ochroleuca, Stereocaulon vesuvianum var. pulvinatum and Icmadophila ericetorum. Z. Naturforsch. C 1977, 32, 182–189. [Google Scholar] [CrossRef]
- Emsen, B.; Engin, T.; Turkez, H. In vitro investigation of the anticancer activity of friedelin in glioblastoma multiforme. Afyon Kocatepe Üniversitesi Mühendislik Bilim. Derg. 2018, 18, 763–773. [Google Scholar] [CrossRef]
- Chandler, R.F.; Hooper, S.N. Friedelin and associated triterpenoids. Phytochemistry 1979, 18, 711–724. [Google Scholar] [CrossRef]
- Richter, C.; Wittstein, K.; Kirk, P.M.; Stadler, M. An assessment of the taxonomy and chemotaxonomy of Ganoderma. Fungal Divers. 2015, 71, 1–15. [Google Scholar] [CrossRef]
- Antonisamy, P.; Duraipandiyan, V.; Aravinthan, A.; Al-Dhabi, N.A.; Ignacimuthu, S.; Choi, K.C.; Kim, J.-H. Protective effects of friedelin isolated from Azima tetracantha Lam. against ethanol-induced gastric ulcer in rats and possible underlying mechanisms. Eur. J. Pharmacol. 2015, 750, 167–175. [Google Scholar] [CrossRef] [PubMed]
- Subash-Babu, P.; Li, D.K.; Alshatwi, A.A. In vitro cytotoxic potential of friedelin in human MCF-7 breast cancer cell: Regulate early expression of Cdkn2a and pRb1, neutralize mdm2-p53 amalgamation and functional stabilization of p53. Exp. Toxicol. Pathol. 2017, 69, 630–636. [Google Scholar] [CrossRef]
- Chang, W.; Wang, J.; Xiao, Y. Friedelin inhibits the growth and metastasis of human leukemia cells via modulation of MEK/ERK and PI3K/AKT signalling pathways. J. BU. ON 2020, 25, 1594–1599. [Google Scholar]
- Joshi, B.P.; Bhandare, V.V.; Vankawala, M.; Patel, P.; Patel, R.; Vyas, B.; Krishnamurty, R. Friedelin, a novel inhibitor of CYP17A1 in prostate cancer from Cassia tora. J. Biomol. Struct. Dyn. 2022, 41, 9695–9720. [Google Scholar] [CrossRef] [PubMed]
- Gowtham, H.G.; Ahmed, F.; Anandan, S.; Shivakumara, C.S.; Bilagi, A.; Pradeep, S.; Shivamallu, C.; Shati, A.A.; Alfaifi, M.Y.; Elbehairi, S.E.I. In silico computational studies of bioactive secondary metabolites from Wedelia trilobata against anti-apoptotic B-cell lymphoma-2 (Bcl-2) protein associated with cancer cell survival and resistance. Molecules 2023, 28, 1588. [Google Scholar] [CrossRef] [PubMed]
- Nobsathian, S.; Tuchinda, P.; Sobhon, P.; Tinikul, Y.; Poljaroen, J.; Tinikul, R.; Sroyraya, M.; Poomton, T.; Chaichotranunt, S. An antioxidant activity of the whole body of Holothuria scabra. Chem. Biol. Technol. Agric. 2017, 4, 4. [Google Scholar] [CrossRef]
- Atewolara-Odule, O.C.; Aiyelaagbe, O.O.; Olubomehin, O.O.; Ogunmoye, A.O.; Feyisola, R.T.; Sanusi, A.S. Antioxidant activity of some secondary metabolites from Tapinanthus bangwensis (Engl., and K. Krause)[Loranthaceae] grown in Nigeria. Sci. Afr. 2020, 8, e00348. [Google Scholar] [CrossRef]
- Sunil, C.; Irudayaraj, S.S.; Duraipandiyan, V.; Alrashood, S.T.; Alharbi, S.A.; Ignacimuthu, S. Friedelin exhibits antidiabetic effect in diabetic rats via modulation of glucose metabolism in liver and muscle. J. Ethnopharmacol. 2021, 268, 113659. [Google Scholar] [CrossRef] [PubMed]
- Chang, H.-J.; Kim, Y.S.; Ryu, S.Y.; Chun, H.S. Screening of various sources of phytochemicals for neuroprotective activity against oxygen-glucose deprivation in vitro. J. Korean Soc. Appl. Biol. Chem. 2013, 56, 451–455. [Google Scholar] [CrossRef]
- Sandhu, M.; Irfan, H.M.; Shah, S.A.; Ahmed, M.; Naz, I.; Akram, M.; Fatima, H.; Farooq, A.S. Friedelin Attenuates Neuronal Dysfunction and Memory Impairment by Inhibition of the Activated JNK/NF-κB Signalling Pathway in Scopolamine-Induced Mice Model of Neurodegeneration. Molecules 2022, 27, 4513. [Google Scholar] [CrossRef] [PubMed]
- Duraipandiyan, V.; Gnanasekar, M.; Ignacimuthu, S. Antifungal activity of triterpenoid isolated from Azima tetracantha leaves. Folia Histochem. Cytobiol. 2010, 48, 311–313. [Google Scholar] [CrossRef] [PubMed][Green Version]
- Ibrahim, M.; Idris, M.M.; Dauda, U.; Ali, U.; Muhammad, A. Isolation and Characterization of Friedelin and 5-DodecylResorcinol from the Stem Bark Extract of Pterocarpus erinaceus. J. Sci. Math. Lett. 2022, 10, 74–80. [Google Scholar]
- Viswanathan, M.B.G.; Ananthi, J.D.J.; Kumar, P.S. Antimicrobial activity of bioactive compounds and leaf extracts in Jatropha tanjorensis. Fitoterapia 2012, 83, 1153–1159. [Google Scholar] [CrossRef]
- Susanti, D.; Amiroudine, M.Z.A.M.; Rezali, M.F.; Taher, M. Friedelin and lanosterol from Garcinia prainiana stimulated glucose uptake and adipocytes differentiation in 3T3-L1 adipocytes. Nat. Prod. Res. 2013, 27, 417–424. [Google Scholar] [CrossRef] [PubMed]
- Mauldina, M.G.; Sauriasari, R.; Elya, B. α-Glucosidase inhibitory activity from ethyl acetate extract of Antidesma bunius (L.) Spreng stem bark containing triterpenoids. Pharmacogn. Mag. 2017, 13, 590–594. [Google Scholar]
- Baskar, K.; Duraipandiyan, V.; Ignacimuthu, S. Bioefficacy of the triterpenoid friedelin against Helicoverpa armigera (Hub.) and Spodoptera litura (Fab.) (Lepidoptera: Noctuidae). Pest Manag. Sci. 2014, 70, 1877–1883. [Google Scholar] [CrossRef]
- Dong, H.-Y.; Kong, C.-H.; Wang, P.; Huang, Q.-L. Temporal variation of soil friedelin and microbial community under different land uses in a long-term agroecosystem. Soil Biol. Biochem. 2014, 69, 275–281. [Google Scholar] [CrossRef]
- Castola, V.; Bighelli, A.; Rezzi, S.; Melloni, G.; Gladiali, S.; Desjobert, J.-M.; Casanova, J. Composition and chemical variability of the triterpene fraction of dichloromethane extracts of cork (Quercus suber L.). Ind. Crops Prod. 2002, 15, 15–22. [Google Scholar] [CrossRef]
- Pranab, G.; Amitava, M.; Madhumita, C.; Aniruddha, S. Triterpenoids from Quercus suber and their antimicrobial and phytotoxic activities. J. Chem. Pharm. Res. 2010, 2, 714–721. [Google Scholar]
- Wang, S.; Zhao, F.; Yang, M.; Lin, Y.; Han, S. Metabolic engineering of Saccharomyces cerevisiae for the synthesis of valuable chemicals. Crit. Rev. Biotechnol. 2023, 43, 1–28. [Google Scholar] [CrossRef]
- Vieira, P.G.; de Melo, M.M.R.; Şen, A.; Simões, M.M.Q.; Portugal, I.; Pereira, H.; Silva, C.M. Quercus cerris extracts obtained by distinct separation methods and solvents: Total and friedelin extraction yields, and chemical similarity analysis by multidimensional scaling. Sep. Purif. Technol. 2020, 232, 115924. [Google Scholar] [CrossRef]
- El-Shazly, A.; El-Sayed, A.; Fikrey, E. Bioactive secondary metabolites from Salix tetrasperma Roxb. Z. Naturforschung C 2012, 67, 353–359. [Google Scholar] [CrossRef]
- Alarcón, A.B.; Cuesta-Rubio, O.; Pérez, J.C.; Piccinelli, A.L.; Rastrelli, L. Constituents of the Cuban endemic species Calophyllum pinetorum. J. Nat. Prod. 2008, 71, 1283–1286. [Google Scholar] [CrossRef] [PubMed]
- Kuete, V.; Dongfack, M.D.J.; Mbaveng, A.T.; Lallemand, M.-C.; Van-Dufat, H.T.; Wansi, J.-D.; Seguin, E.; Tillequin, F.; Wandji, J. Antimicrobial activity of the methanolic extract and compounds from the stem bark of Drypetes tessmanniana. Chin. J. Integr. Med. 2010, 16, 337–343. [Google Scholar] [CrossRef] [PubMed]
- Sainsbury, M. Friedelin and epifriedelinol from the bark of Prunus turfosa and a review of their natural distribution. Phytochemistry 1970, 9, 2209–2215. [Google Scholar] [CrossRef]
- Tittikpina, N.K.; Nana, F.; Fontanay, S.; Philippot, S.; Batawila, K.; Akpagana, K.; Kirsch, G.; Chaimbault, P.; Jacob, C.; Duval, R.E. Antibacterial activity and cytotoxicity of Pterocarpus erinaceus Poir extracts, fractions and isolated compounds. J. Ethnopharmacol. 2018, 212, 200–207. [Google Scholar] [CrossRef] [PubMed]
- Mann, A.; Ibrahim, K.; Oyewale, A.O.; Amupitan, J.O.; Fatope, M.O.; Okogun, J.I. Antimycobacterial friedelane-terpenoid from the root bark of Terminalia avicennioides. Am. J. Chem. 2011, 1, 52–55. [Google Scholar] [CrossRef]
- Abhimanyu, K.K.; Ravindra, C.S.; Avanapu, R.S. A validated HPTLC method for the quantification of friedelin in Putranjiva roxburghii Wall extracts and in polyherbal formulations. Bull. Fac. Pharm. Cairo Univ. 2017, 55, 79–84. [Google Scholar] [CrossRef][Green Version]
- Muniz, M.P.; Nunomura, S.M.; Lima, E.S.; Lima, A.S.; Almeida, P.; Nunomura, R. Quantification of bergenin, antioxidant activity and nitric oxide inhibition from bark, leaf and twig of Endopleura uchi. Quim. Nova 2020, 43, 413–418. [Google Scholar] [CrossRef]
- Araújo, C.R.R.; de Melo Silva, T.; Dos Santos, M.G.; Ottoni, M.H.F.; de Souza Fagundes, E.M.; de Sousa Fontoura, H.; de Melo, G.E.B.A.; de Carvalho Alcântara, A.F. Anti-inflammatory and cytotoxic activities of the extracts, fractions, and chemical constituents isolated from Luehea ochrophylla Mart. BMC Complement. Altern. Med. 2019, 19, 284. [Google Scholar] [CrossRef]
- Peyeino, J.H.; Djomkam, H.L.M.; Kenmogne, S.B.; Langat, M.K.; Isyaka, S.M.; Tsopgni, W.D.T.; Wansi, J.D.; Kamdem Waffo, A.F.; Sewald, N.; Vardamides, J.C. First report of compounds from an Ancistrocarpus species: Triterpenoids from A. densispinosus Oliv. (Malvaceae). Nat. Prod. Res. 2021, 36, 479–481. [Google Scholar] [CrossRef]
- Mujawah, A.; Rauf, A.; Bawazeer, S.; Wadood, A.; Hemeg, H.A.; Bawazeer, S. Isolation, Structural Elucidation, In Vitro Anti-α-Glucosidase, Anti-β-Secretase, and In Silico Studies of Bioactive Compound Isolated from Syzygium cumini L. Processes 2023, 11, 880. [Google Scholar] [CrossRef]
- Okafor, G.C.O.; Oyewale, A.O.; Habila, J.D.; Akpemi, M.A. Isolation, Characterization, and Assessment of the In Vitro Antibacterial and Antifungal Properties of Methanol Extracts and Friedelan-3-one from Uapaca ambanjensis (Leandri). J. Appl. Sci. Environ. Manag. 2022, 26, 1479–1486. [Google Scholar] [CrossRef]
- Utami, R.; Khalid, N.; Sukari, M.A.; Rahmani, M.; Abdul, A.B. Phenolic contents, antioxidant and cytotoxic activities of Elaeocarpus floribundus Blume. Pak. J. Pharm. Sci. 2013, 26, 245–250. [Google Scholar] [PubMed]
- Kumar, N.; Biswas, S.; Shrungeswara, A.H.; Mallik, S.B.; Viji, M.H.; Mathew, J.E.; Mathew, J.; Nandakumar, K.; Lobo, R. Pinocembrin enriched fraction of Elytranthe parasitica (L.) Danser induces apoptosis in HCT 116 colorectal cancer cells. J. Infect. Chemother. 2017, 23, 354–359. [Google Scholar] [CrossRef]
- Ndwigah, S.N.; Thoithi, G.N.; Mwangi, J.W.; Amugune, B.K.; Mugo, H.N.; Kibwage, I.O. Phytosterols from Dombeya torrida (JF Gmel.). East Cent. Afr. J. Pharm. Sci. 2013, 16, 44–48. [Google Scholar]
- Antonisamy, P.; Duraipandiyan, V.; Ignacimuthu, S. Anti-inflammatory, analgesic and antipyretic effects of friedelin isolated from Azima tetracantha Lam. in mouse and rat models. J. Pharm. Pharmacol. 2011, 63, 1070–1077. [Google Scholar] [CrossRef]
- Souza-Moreira, T.M.; Alves, T.B.; Pinheiro, K.A.; Felippe, L.G.; De Lima, G.M.A.; Watanabe, T.F.; Barbosa, C.C.; Santos, V.A.; Lopes, N.P.; Valentini, S.R. Friedelin synthase from Maytenus ilicifolia: Leucine 482 plays an essential role in the production of the most rearranged pentacyclic triterpene. Sci. Rep. 2016, 6, 36858. [Google Scholar] [CrossRef]
- Han, J.Y.; Ahn, C.-H.; Adhikari, P.B.; Kondeti, S.; Choi, Y.E. Functional characterization of an oxidosqualene cyclase (PdFRS) encoding a monofunctional friedelin synthase in Populus davidiana. Planta 2019, 249, 95–111. [Google Scholar] [CrossRef]
- Corsino, J.; de Carvalho, P.R.F.; Kato, M.J.; Latorre, L.R.; Oliveira, O.M.M.F.; Araújo, A.R.; da Bolzani, S.V.; França, S.C.; Pereira, A.M.S.; Furlan, M. Biosynthesis of friedelane and quinonemethide triterpenoids is compartmentalized in Maytenus aquifolium and Salacia campestris. Phytochemistry 2000, 55, 741–748. [Google Scholar] [CrossRef] [PubMed]
- Aswathy, S.V.; Joe, I.H.; Rameshkumar, K.B. Spectroscopic, quantum chemical and molecular docking studies on friedelin, the major triterpenoid isolated from Garcinia imberti. J. Mol. Struct. 2022, 1263, 133152. [Google Scholar] [CrossRef]
- Quintans, J.S.S.; Costa, E.V.; Tavares, J.F.; Souza, T.T.; Araújo, S.S.; Estevam, C.S.; Barison, A.; Cabral, A.G.S.; Silva, M.S.; Serafini, M.R. Phytochemical study and antinociceptive effect of the hexanic extract of leaves from Combretum duarteanum and friedelin, a triterpene isolated from the hexanic extract, in orofacial nociceptive protocols. Rev. Bras. Farmacogn. 2014, 24, 60–66. [Google Scholar] [CrossRef]
- Lim, W.Y.; Chan, E.W.C.; Phan, C.W.; Wong, C.W. Potent melanogenesis inhibition by friedelin isolated from Hibiscus tiliaceus leaves. Eur. J. Integr. Med. 2022, 55, 102181. [Google Scholar] [CrossRef]
- Vilkickyte, G.; Petrikaite, V.; Marksa, M.; Ivanauskas, L.; Jakstas, V.; Raudone, L. Fractionation and Characterization of Triterpenoids from Vaccinium vitis-idaea L. Cuticular Waxes and Their Potential as Anticancer Agents. Antioxidants 2023, 12, 465. [Google Scholar] [CrossRef] [PubMed]
- Mejía-Méndez, J.L.; Bach, H.; Lorenzo-Leal, A.C.; Navarro-López, D.E.; López-Mena, E.R.; Hernández, L.R.; Sánchez-Arreola, E. Biological Activities and Chemical Profiles of Kalanchoe fedtschenkoi Extracts. Plants 2023, 12, 1943. [Google Scholar] [CrossRef] [PubMed]
- Dharmasoth, R.D.; Rao, B.G.; Nageswara, S.; Basavaiah, K. Investigation of antibacterial activity of methanolic extract and isolation of sterol and triterpenoids from Grewia tiliaefolia vahl leaf. Int. J. Pharm. Pharm. Sci. 2022, 14, 34–43. [Google Scholar] [CrossRef]
- Menon, L.N.; Sindhu, G.; Raghu, K.G.; Rameshkumar, K.B. Chemical composition and cytotoxicity of Garcinia rubro-echinata, a Western Ghats endemic species. Nat. Prod. Commun. 2018, 13, 1934578X1801301121. [Google Scholar] [CrossRef]
- Alves, T.P.; Triques, C.C.; Palsikowski, P.A.; da Silva, C.; Fiorese, M.L.; da Silva, E.A.; Fagundes-Klen, M.R. Improved extraction of bioactive compounds from Monteverdia aquifolia leaves by pressurized-liquid and ultrasound-assisted extraction: Yield and chemical composition. J. Supercrit. Fluids 2022, 181, 105468. [Google Scholar] [CrossRef]
- Van Kiem, P.; Van Minh, C.; Nhiem, N.X.; Yen, P.H.; Anh, H.L.T.; Cuong, N.X.; Tai, B.H.; Quang, T.H.; Hai, T.N.; Kim, S.H. Chemical constituents of Ficus drupacea leaves and their α-glucosidase inhibitory activities. Notes 2013, 34, 263. [Google Scholar]
- Reyes-Chilpa, R.; Estrada-Muñiz, E.; Apan, T.R.; Amekraz, B.; Aumelas, A.; Jankowski, C.K.; Vázquez-Torres, M. Cytotoxic effects of mammea type coumarins from Calophyllum brasiliense. Life Sci. 2004, 75, 1635–1647. [Google Scholar] [CrossRef]
- Subhadhirasakul, S.; Pechpongs, P. A terpenoid and two steroids from the flowers of Mammea siamensis. Songklanakarin J. Sci. Technol. 2005, 27, 555–561. [Google Scholar]
- Kornpointner, C.; Martinez, A.S.; Marinovic, S.; Haselmair-Gosch, C.; Jamnik, P.; Schröder, K.; Löfke, C.; Halbwirth, H. Chemical composition and antioxidant potential of Cannabis sativa L. roots. Ind. Crops Prod. 2021, 165, 113422. [Google Scholar] [CrossRef]
- Do Céu Costa, M.; Duarte, P.; Neng, N.R.; Nogueira, J.M.F.; Costa, F.; Rosado, C. Novel insights for permeant lead structures through in vitro skin diffusion assays of Prunus lusitanica L., the Portugal Laurel. J. Mol. Struct. 2015, 1079, 327–336. [Google Scholar] [CrossRef][Green Version]
- Tung, P.T.; Quyen, T.H.N.; Quang, T.T.; Van, N.T.T.; Duong, N.T.T.; Ngan, V.T.T.; Nga, L.T.; Phung, N.K.P.; Thu, N.T.H. Chemical constituents of the n-hexane extract of Leonotis nepetifolia (L.) R. Br (Lamiaceae). Vietnam J. Chem. 2020, 58, 719–722. [Google Scholar]
- Zou, D.; Li, X.; Zhou, X.; Luo, B.; Faruque, M.O.; Hu, S.; Chen, J.; Hu, X. The interaction of anti-inflammatory and anti-tumor components in the traditional Chinese medicine Solanum lyratum Thunb. Nat. Prod. Res. 2023, 37, 1–5. [Google Scholar] [CrossRef] [PubMed]
- De Souza, L.S.; Luz Tosta, C.; de Oliveira Borlot, J.R.P.; Varricchio, M.C.B.N.; Kitagawa, R.R.; Filgueiras, P.R.; Kuster, R.M. Chemical profile and cytotoxic evaluation of aerial parts of Euphorbia tirucalli L. on gastric adenocarcinoma (AGS cells). Nat. Prod. Res. 2023, 37, 1–7. [Google Scholar] [CrossRef] [PubMed]
- Nallusamy, S.; Mannu, J.; Ravikumar, C.; Angamuthu, K.; Nathan, B.; Nachimuthu, K.; Ramasamy, G.; Muthurajan, R.; Subbarayalu, M.; Neelakandan, K. Exploring phytochemicals of traditional medicinal plants exhibiting inhibitory activity against main protease, spike glycoprotein, RNA-dependent RNA polymerase and non-structural proteins of SARS-CoV-2 through virtual screening. Front. Pharmacol. 2021, 12, 667704. [Google Scholar] [CrossRef]
- Annan, K.; Adu, F.; Gbedema, S.Y. Friedelin: A bacterial resistance modulator from Paulinia Pinnata L. J. Sci. Technol. 2009, 29, 152–159. [Google Scholar] [CrossRef]
- Kuete, V.; Komguem, J.; Beng, V.P.; Meli, A.L.; Tangmouo, J.G.; Etoa, F.-X.; Lontsi, D. Antimicrobial components of the methanolic extract from the stem bark of Garcinia smeathmannii Oliver (Clusiaceae). S. Afr. J. Bot. 2007, 73, 347–354. [Google Scholar] [CrossRef]
- Pretto, J.B.; Cechinel-Filho, V.; Noldin, V.F.; Sartori, M.R.K.; Isaias, D.E.B.; Bella Cruz, A. Antimicrobial activity of fractions and compounds from Calophyllum brasiliense (Clusiaceae/Guttiferae). Z. Naturforsch. C 2004, 59, 657–662. [Google Scholar] [CrossRef]
- Mokoka, T.A.; McGaw, L.J.; Mdee, L.K.; Bagla, V.P.; Iwalewa, E.O.; Eloff, J.N. Antimicrobial activity and cytotoxicity of triterpenes isolated from leaves of Maytenus undata (Celastraceae). BMC Complement. Altern. Med. 2013, 13, 111. [Google Scholar] [CrossRef]
- Ali, M.S.; Mahmud, S.; Perveen, S.; Rizwani, G.H.; Ahmad, V.U. Screening for the antimicrobial properties of the leaves of Calophyllum inophyllum Linn. (Guttiferae). J. Chem. Soc. Pak. 1999, 21, 175–178. [Google Scholar]
- Paul, A.; Shoibe, M.; Islam, M.M.; Awal, M.A.; Hoq, M.I.; Rahman, M.H.; Mamur, A.; Hoque, M.S.U.; Chowdhury, T.A.; Kabir, M.S.H. Anticancer potential of isolated phytochemicals from Hopea odorata against breast cancer: In silico molecular docking approach. World J. Pharm. Res. 2016, 5, 1162–1169. [Google Scholar]
- Noushahi, H.A.; Khan, A.H.; Noushahi, U.F.; Hussain, M.; Javed, T.; Zafar, M.; Batool, M.; Ahmed, U.; Liu, K.; Harrison, M.T. Biosynthetic pathways of triterpenoids and strategies to improve their biosynthetic efficiency. Plant Growth Regul. 2022, 97, 439–454. [Google Scholar] [CrossRef]
- Hillier, S.G.; Lathe, R. Terpenes, hormones and life: Isoprene rule revisited. J. Endocrinol. 2019, 242, R9–R22. [Google Scholar] [CrossRef]
- Lu, Y.; Liu, Y.; Zhou, J.; Li, D.; Gao, W. Biosynthesis, total synthesis, structural modifications, bioactivity, and mechanism of action of the quinone-methide triterpenoid celastrol. Med. Res. Rev. 2021, 41, 1022–1060. [Google Scholar] [CrossRef] [PubMed]
- Wu, Z.; Wei, W.; Cheng, K.; Zheng, L.; Ma, C.; Wang, Y. Insecticidal activity of triterpenoids and volatile oil from the stems of Tetraena mongolica. Pestic. Biochem. Physiol. 2020, 166, 104551. [Google Scholar] [CrossRef] [PubMed]
- Li, H.; Sun, J.; Xiao, S.; Zhang, L.; Zhou, D. Triterpenoid-mediated inhibition of virus–host interaction: Is now the time for discovering viral entry/release inhibitors from nature? J. Med. Chem. 2020, 63, 15371–15388. [Google Scholar] [CrossRef] [PubMed]
- Yang, M.-J.; Luo, S.-H.; Guo, K.; Liu, Y.; Li, S.-H. Chemical investigation of Buddleja officinalis leaves and localization of defensive triterpenoids to its glandular trichomes. Fitoterapia 2023, 164, 105379. [Google Scholar] [CrossRef] [PubMed]
- Luz, D.A.; Pinheiro, A.M.; Fontes-Júnior, E.A.; Maia, C.S.F. Neuroprotective, neurogenic, and anticholinergic evidence of Ganoderma lucidum cognitive effects: Crucial knowledge is still lacking. Med. Res. Rev. 2023, 43, 1504–1536. [Google Scholar] [CrossRef]
- Sun, X.; Shen, B.; Yu, H.; Wu, W.; Sheng, R.; Fang, Y.; Guo, R. Therapeutic potential of demethylzeylasteral, a triterpenoid of the genus Tripterygium wilfordii. Fitoterapia 2022, 163, 105333. [Google Scholar] [CrossRef]
- Renda, G.; Gökkaya, İ.; Şöhretoğlu, D. Immunomodulatory properties of triterpenes. Phytochem. Rev. 2022, 21, 537–563. [Google Scholar] [CrossRef] [PubMed]
- De Melo, M.M.R.; Şen, A.; Silvestre, A.J.D.; Pereira, H.; Silva, C.M. Experimental and modeling study of supercritical CO2 extraction of Quercus cerris cork: Influence of ethanol and particle size on extraction kinetics and selectivity to friedelin. Sep. Purif. Technol. 2017, 187, 34–45. [Google Scholar] [CrossRef]
- Gil-Martín, E.; Forbes-Hernández, T.; Romero, A.; Cianciosi, D.; Giampieri, F.; Battino, M. Influence of the extraction method on the recovery of bioactive phenolic compounds from food industry by-products. Food Chem. 2022, 378, 131918. [Google Scholar] [CrossRef] [PubMed]
- De Castro, M.D.L.; Garcıa-Ayuso, L.E. Soxhlet extraction of solid materials: An outdated technique with a promising innovative future. Anal. Chim. Acta 1998, 369, 1–10. [Google Scholar] [CrossRef]
- Şen, A.; de Melo, M.M.R.; Silvestre, A.J.D.; Pereira, H.; Silva, C.M. Prospective pathway for a green and enhanced friedelin production through supercritical fluid extraction of Quercus cerris cork. J. Supercrit. Fluids 2015, 97, 247–255. [Google Scholar] [CrossRef]
- De Vasconcelos, E.C.; Vilegas, J.H.Y.; Lanças, F.M. Comparison of extraction and clean-up methods for the analysis of friedelan-3-ol and friedelin from leaves of Maytenus aquifolium Martius (Celastraceae). Phytochem. Anal. Int. J. Plant Chem. Biochem. Tech. 2000, 11, 247–250. [Google Scholar] [CrossRef]
- De Melo, M.M.R.; Silvestre, A.J.D.; Silva, C.M. Supercritical fluid extraction of vegetable matrices: Applications, trends and future perspectives of a convincing green technology. J. Supercrit. Fluids 2014, 92, 115–176. [Google Scholar] [CrossRef]
- Zorić, M.; Banožić, M.; Aladić, K.; Vladimir-Knežević, S.; Jokić, S. Supercritical CO2 extracts in cosmetic industry: Current status and future perspectives. Sustain. Chem. Pharm. 2022, 27, 100688. [Google Scholar] [CrossRef]
- Routray, W.; Orsat, V. Microwave-assisted extraction of flavonoids: A review. Food Bioprocess Technol. 2012, 5, 409–424. [Google Scholar] [CrossRef]
- Mishra, S.; Ramdas; Gupta, N.; Shanker, K. HPTLC method for the simultaneous determination of six bioactive terpenoids in Putranjiva roxburghii Wall. J. Planar Chromatogr. 2020, 33, 353–364. [Google Scholar] [CrossRef]
- Sousa, A.F.; Pinto, P.C.R.O.; Silvestre, A.J.D.; Pascoal Neto, C. Triterpenic and other lipophilic components from industrial cork byproducts. J. Agric. Food Chem. 2006, 54, 6888–6893. [Google Scholar] [CrossRef] [PubMed]
- Touati, R.; Santos, S.A.O.; Rocha, S.M.; Belhamel, K.; Silvestre, A.J.D. The potential of cork from Quercus suber L. grown in Algeria as a source of bioactive lipophilic and phenolic compounds. Ind. Crops Prod. 2015, 76, 936–945. [Google Scholar] [CrossRef]
- Vistuba, J.P.; Piovezan, M.; Pizzolatti, M.G.; Rebelo, A.M.; Azevedo, M.S.; Vitali, L.; Costa, A.C.O.; Micke, G.A. Increasing the instrumental throughput of gas chromatography method using multiple injections in a single experimental run: Application in determination of friedelan-3-ol and friedelin in Maytenus ilicifolia. J. Chromatogr. A 2013, 1274, 159–164. [Google Scholar] [CrossRef]
- Gao, J.; Hu, J.; Hu, D.; Yang, X. A Role of Gallic Acid in Oxidative Damage Diseases: A Comprehensive Review. Nat. Prod. Commun. 2019, 14, 1934578X19874174. [Google Scholar] [CrossRef]
- Sunil, C.; Duraipandiyan, V.; Ignacimuthu, S.; Al-Dhabi, N.A. Antioxidant, free radical scavenging and liver protective effects of friedelin isolated from Azima tetracantha Lam. leaves. Food Chem. 2013, 139, 860–865. [Google Scholar] [CrossRef]
- Patel, R.; Shukla, P.K.; Singh, M.P. Pharmacognostical, Phytochemical Evaluation and in silico lead finding of Ficus bengalensis Linn with hepatoprotective potentials. Int. J. Phytopharm. 2017, 7, 57–63. [Google Scholar]
- Parvez, M.K.; Rishi, V. Herb-drug interactions and hepatotoxicity. Curr. Drug Metab. 2019, 20, 275–282. [Google Scholar] [CrossRef]
- Shi, B.; Liu, S.; Huang, A.; Zhou, M.; Sun, B.; Cao, H.; Shan, J.; Sun, B.; Lin, J. Revealing the mechanism of friedelin in the treatment of ulcerative colitis based on network pharmacology and experimental verification. Evid. Based Complement. Altern. Med. 2021, 2021, 4451779. [Google Scholar] [CrossRef]
- Smruthi, G.; Mahadevan, V.; Vadivel, V.; Brindha, P. Docking studies on antidiabetic molecular targets of phytochemical compounds of Syzygium cumini (L.) skeels. Asian J. Pharm. Clin. Res. 2016, 9, 287–293. [Google Scholar]
- Dehelean, C.A.; Marcovici, I.; Soica, C.; Mioc, M.; Coricovac, D.; Iurciuc, S.; Cretu, O.M.; Pinzaru, I. Plant-derived anticancer compounds as new perspectives in drug discovery and alternative therapy. Molecules 2021, 26, 1109. [Google Scholar] [CrossRef]
- Berretta, M.; Dal Lago, L.; Tinazzi, M.; Ronchi, A.; La Rocca, G.; Montella, L.; Di Francia, R.; Facchini, B.A.; Bignucolo, A.; Montopoli, M. Evaluation of concomitant use of anticancer drugs and herbal products: From interactions to Synergic Activity. Cancers 2022, 14, 5203. [Google Scholar] [CrossRef] [PubMed]
- Yessoufou, K.; Elansary, H.O.; Mahmoud, E.A.; Skalicka-Woźniak, K. Antifungal, antibacterial and anticancer activities of Ficus drupacea L. stem bark extract and biologically active isolated compounds. Ind. Crops Prod. 2015, 74, 752–758. [Google Scholar] [CrossRef]
- Razwinani, M.; Motaung, K.S. The influence of friedelin, resinone, tingenone and betulin of compounds on chondrogenic differentiation of porcine adipose-derived mesenchymal stem cells (pADMSCs). Biochimie 2022, 196, 234–242. [Google Scholar] [CrossRef] [PubMed]
- Prabhu, A.; Krishnamoorthy, M.; Prasad, D.J.; Naik, P. Anticancer activity of friedelin isolated from ethanolic leaf extract of Cassia tora on HeLa and HSC-1 cell lines. Indian J. Appl. Res. 2013, 3, 1–4. [Google Scholar] [CrossRef]
- Bray, F.; Ferlay, J.; Soerjomataram, I.; Siegel, R.L.; Torre, L.A.; Jemal, A. Global cancer statistics 2018: GLOBOCAN estimates of incidence and mortality worldwide for 36 cancers in 185 countries. CA Cancer J. Clin. 2018, 68, 394–424. [Google Scholar] [CrossRef]
- Gomez, L.; Kovac, J.R.; Lamb, D.J. CYP17A1 inhibitors in castration-resistant prostate cancer. Steroids 2015, 95, 80–87. [Google Scholar] [CrossRef]
- Pillai Manoharan, K.; Yang, D.; Hsu, A.; Tan Kwong Huat, B. Evaluation of Polygonum bistorta for anticancer potential using selected cancer cell lines. Med. Chem. 2007, 3, 121–126. [Google Scholar] [CrossRef]
- Lu, B.; Liu, L.; Zhen, X.; Wu, X.; Zhang, Y. Anti-tumor activity of triterpenoid-rich extract from bamboo shavings (Caulis bamfusae in Taeniam). Afr. J. Biotechnol. 2010, 9, 6430–6436. [Google Scholar]
- Küpeli Akkol, E.; Tatlı Çankaya, I.; Şeker Karatoprak, G.; Carpar, E.; Sobarzo-Sánchez, E.; Capasso, R. Natural compounds as medical strategies in the prevention and treatment of psychiatric disorders seen in neurological diseases. Front. Pharmacol. 2021, 12, 669638. [Google Scholar] [CrossRef] [PubMed]
- Sharma, K.; Verma, R.; Kumar, D.; Nepovimova, E.; Kuča, K.; Kumar, A.; Raghuvanshi, D.; Dhalaria, R.; Puri, S. Ethnomedicinal plants used for the treatment of neurodegenerative diseases in Himachal Pradesh, India in Western Himalaya. J. Ethnopharmacol. 2022, 293, 115318. [Google Scholar] [CrossRef]
- Allemailem, K.S. Antimicrobial potential of naturally occurring bioactive secondary metabolites. J. Pharm. Bioallied Sci. 2021, 13, 155. [Google Scholar] [CrossRef]
- Kamdem, M.H.K.; Ojo, O.; Kemkuignou, B.M.; Talla, R.M.; Fonkui, T.Y.; Silihe, K.K.; Tata, C.M.; Fotsing, M.C.D.; Mmutlane, E.M.; Ndinteh, D.T. Pentacyclic Triterpenoids, Phytosteroids and Fatty Acid Isolated from the Stem-bark of Cola lateritia K. Schum. (Sterculiaceae) of Cameroon origin; Evaluation of Their Antibacterial Activity. Arab. J. Chem. 2022, 15, 103506. [Google Scholar] [CrossRef]
- Arumugam, M.; Shanmugavel, B.; Sellppan, M.; Pavadai, P. In silico evaluation of some commercially available terpenoids as spike glycoprotein of SARS-CoV-2–inhibitors using molecular dynamic approach. J. Biomol. Struct. Dyn. 2023, 41, 1–7. [Google Scholar] [CrossRef]
- Kar, P.; Saleh-E-In, M.M.; Jaishee, N.; Anandraj, A.; Kormuth, E.; Vellingiri, B.; Angione, C.; Rahman, P.K.S.M.; Pillay, S.; Sen, A. Computational profiling of natural compounds as promising inhibitors against the spike proteins of SARS-CoV-2 wild-type and the variants of concern, viral cell-entry process, and cytokine storm in COVID-19. J. Cell. Biochem. 2022, 123, 964–986. [Google Scholar] [CrossRef] [PubMed]
- Moiteiro, C.; Marcelo Curto, M.J.; Mohamed, N.; Bailén, M.; Martínez-Díaz, R.; González-Coloma, A. Biovalorization of friedelane triterpenes derived from cork processing industry byproducts. J. Agric. Food Chem. 2006, 54, 3566–3571. [Google Scholar] [CrossRef]
- Torres-Santos, E.C.; Lopes, D.; Oliveira, R.R.; Carauta, J.P.P.; Falcao, C.A.B.; Kaplan, M.A.C.; Rossi-Bergmann, B. Antileishmanial activity of isolated triterpenoids from Pourouma guianensis. Phytomedicine 2004, 11, 114–120. [Google Scholar] [CrossRef]
- Bapela, M.J.; Heyman, H.; Senejoux, F.; Meyer, J.J.M. 1H NMR-based metabolomics of antimalarial plant species traditionally used by Vha-Venda people in Limpopo Province, South Africa and isolation of antiplasmodial compounds. J. Ethnopharmacol. 2019, 228, 148–155. [Google Scholar] [CrossRef]
- Ngouamegne, E.T.; Fongang, R.S.; Ngouela, S.; Boyom, F.F.; Rohmer, M.; Tsamo, E.; Gut, J.; Rosenthal, P.J. Endodesmiadiol, a friedelane triterpenoid, and other antiplasmodial compounds from Endodesmia calophylloides. Chem. Pharm. Bull. 2008, 56, 374–377. [Google Scholar] [CrossRef]
- Lenta, B.N.; Ngouela, S.; Boyom, F.F.; Tantangmo, F.; Tchouya, G.R.F.; Tsamo, E.; Gut, J.; Rosenthal, P.J.; Connolly, J.D. Anti-plasmodial activity of some constituents of the root bark of Harungana madagascariensis L AM. (Hypericaceae). Chem. Pharm. Bull. 2007, 55, 464–467. [Google Scholar] [CrossRef] [PubMed]








| Plant Part | Plant | Family | Solvent Used for Extraction | References |
|---|---|---|---|---|
| Cork and/or stem barks | Quercus cerris | Fagaceae | Methanol, ethanol, dichloromethane, petroleum ether | [34] |
| Salix tetrasperma | Salicaceae | 80% aqueous methanol | [35] | |
| Calophyllum pinetorum | Clusiaceae | Sequentially with n-hexane and ethyl acetate | [36] | |
| Drypetes tessmanniana | Euphorbiaceae | Methanol | [37] | |
| Prunus turfosa | Rosaceae | 5% benzene in chloroform | [38] | |
| Pterocarpus erinaceus | Fabaceae | Dichloromethane and methanol (1:1, v/v) | [39] | |
| Terminalia avicennioides | Combretaceae | Petroleum ether, ethyl acetate, chloroform, and methanol | [40] | |
| Putranjiva roxburghii | Euphorbiaceae | Chloroform | [41] | |
| Endopleura uchi | Humiriaceae | Hexane | [42] | |
| Luehea ochrophylla | Tiliaceae | Hexane and ethanol | [43] | |
| Ancistrocarpus densispinosus Oliv. | Tiliaceae | Methanol | [44] | |
| Syzygium cumini L. | Myrtaceae | 70% methanol | [45] | |
| Garcinia prainiana | Clusiaceae | n-hexane | [27] | |
| Uapaca ambanjensis | Euphorbiaceae | Sequentially with n-hexane, dichloromethane, ethyl acetate, and methanol, respectively | [46] | |
| Elaeocarpus floribundus | Elaeocarpaceae | Sequentially with hexane, chloroform, ethyl acetate, and methanol | [47] | |
| Elytranthe parasitica | Loranthaceae | Methanol | [48] | |
| Dombeya torrida | Sterculiaceae | Chloroform | [49] | |
| Leaves | Azima tetracantha Lam. | Salvadoraceae | Hexane | [50] |
| Maytenus ilicifolia | Celastraceae | Hexane: Ethyl acetate (8:2, v/v) | [7,51] | |
| Populus davidiana | Salicaceae | Liquid WPM medium with 1% sucrose | [52] | |
| Maytenus aquifolium | Celastraceae | Ethanol | [53] | |
| Garcinia imberti | Clusiaceae | Hexane | [54] | |
| Combretum duarteanum | Combretaceae | Ethanol | [55] | |
| Hibiscus tiliaceus | Malvaceae | Dichloromethane | [56] | |
| Vaccinium vitisidaea L. | Ericaceae | Chloroform | [57] | |
| Kalanchoe fedtschenkoi | Crassulaceae | Hexane and chloroform | [58] | |
| Grewia tiliaefolia | Malvaceae | Methanol | [59] | |
| Dombeya torrida | Sterculiaceae | Dichloromethane: Methanol (50:50) | [49] | |
| Garcinia rubroechinata | Clusiaceae | n-hexane followed by methanol | [60] | |
| Tapinanthus bangwensis | Loranthaceae | Successively with n-hexane, ethyl acetate, and methanol | [20] | |
| Monteverdia aquifolia | Celastraceae | Ethanol | [61] | |
| Ficus drupacea | Moraceae | NA | [62] | |
| Rhizomes | Polygonum bistorta | Polygonaceae | Chloroform | [63] |
| Flower | Mammea siamensis | Clusiaceae | Chloroform and methanol | [64] |
| Root | Cannabis sativa | Cannabaceae | EtOH and n-hexane | [65] |
| Aerial parts | Prunus lusitanica | Rosaceae | Petroleum ether | [66] |
| Leonotis nepetifolia (L.) R. Br | Lamiaceae | Ethanol followed by methanol | [67] | |
| Lichen | Alectoria ochroleuca | Parmeliaceae | Acetone | [10] |
| Moss | Rhodobryum roseum | Bryaceae | NA | [9] |
| Whole plant | Solanum lyratum Thunb | Solanaceae | Ethanol | [68] |
| Whole plant | Euphorbia tirucalli | Euphorbiaceae | Hexane and aqueous | [69] |
| Vitex negundo | Lamiaceae | NA | [70] | |
| Paullinia pinnata | Sapindaceae | Methanol | [71] | |
| Garcinia smeathmannii | Clusiaceae | Methanol | [72] | |
| Calophyllum brasiliense | Clusiaceae | Methanol | [73] | |
| Maytenus undata | Celastraceae | Hexane, dichloromethane, acetone, and methanol | [74] | |
| Calophyllum inophyllum | Clusiaceae | Ethanol, butanol, chloroform | [75] | |
| Jatropha tanjorensis | Euphorbiaceae | Hexane, chloroform, and methanol | [26] | |
| Wedelia trilobata | Asteraceae | NA | [18] | |
| Cassia tora | Leguminosae | Ethanol | [17] | |
| Hopea odorata | Dipterocarpaceae | NA | [76] | |
| Antidesma bunius | Euphorbiaceae | Ethyl acetate | [28] | |
| Azima tetracantha | Salvadoraceae | Distilled water, phosphate buffer K3Fe(CN)6 | [19] |
| Plant | Plant Material | Extraction Condition | Solvent | Friedelin Concentration | References |
|---|---|---|---|---|---|
| Quercus cerris | Cork | 120 mL solvent, 1 bar pressure, ~3 g biomass, 8 h. | Methanol | 12.1 wt % | [34] |
| Ethanol | 15.2 wt % | ||||
| Dichloromethane | 23.7 wt % | ||||
| Petroleum ether | 41.3 wt % | ||||
| Quercus cerris | Cork | NA | Dichloromethane | 26.03 wt % | [89] |
| Maytenus aquifolium | Leaves | 10 g plant material with successive hexane and chloroform as an extraction solvent for 20 h each | Hexane | 0.49 wt % | [90] |
| Dombeya torrida | Bark | 1 kg of the stem bark powder extracted with chloroform for 48 h | Chloroform | NA | [49] |
| Garcinia rubroechinata | Leaves | 500 g of the dry leaf powder extracted with n-hexane followed by methanol for 24 h | n-hexane followed by methanol | 3.0 wt % | [60] |
| Putranjiva roxburghii | leaf and bark | 50 g of dried powder extracted with Chloroform for 6 h. | Chloroform | 0.003% w/w in leaf extract, 0.04% w/w in bark extract | [41] |
| S. No. | Cell Line | Cancer Type | Biological Source | Assay, Time of Execution | IC50 Concentration Used | References |
|---|---|---|---|---|---|---|
| 1 | MCF-7 | Breast cancer | Human breast (adenocarcinoma) | MTT, 24 h, MTT< 48 h | 0.76 μg/mL and 0.51 μg/mL 22.81 ± 2.1 µg/mL | [15,106] |
| 2 | 22Rv1 | Prostate cancer | Human prostate | MTT, 24 h | 72.025 μg/mL | [17] |
| 3 | DU145 | Prostate cancer | Human prostate | MTT, 24 h | 81.766 μg/mL | [17] |
| 4 | AML-196 | Leukemia | Human leukemia cells | CCK-8, 24 h | 34 μg/mL | [16] |
| 5 | pADMSCs | Adipose-derived mesenchymal stem cells | Porcine mesenchymal stem cells | MTT, 48 h | 15 μg/mL | [107] |
| 6 | U87 MG-GBM | Brain cancer | Human brain (glioblastoma astrocytoma) | MTT, 4 h | 46.38 μg/mL | [11] |
| 7 | HeLa | Cervical cancer | Epithelioid cervix carcinoma | MTT, 72 h MTT, 24 h MTT, 24 h | 3.54 ± 0.30 μg/mL 20.42 ± 2.3 μg/mL; 19.3 ± 1.27 μg/mL | [47,106,108] |
| 8 | Jurkat | Leukemia | Human blood (leukemic T-cell lymphoblast) | MTT, 24 h | 29.15 ± 2.3 μg/mL | [106] |
| 9 | HT-29 | Colon cancer | Human colon adenocarcinoma | MTT, 24 h | 37.21 ± 3.61 μg/mL | [106] |
| 10 | T24 | Urinary bladder cancer | Human bladder carcinoma | MTT, 24 h | 12.81 ± 1.4 μg/mL | [106] |
| 11 | HSC-1 | Squamous carcinoma | Human squamous carcinoma | MTT, 24 h | 28.7 ± 1.98 μg/mL | [108] |
| Source of Friedelin | Method | Microorganism | Zone of Inhibition (mm)/Minimal Inhibition Concentration (µg/mL) | References |
|---|---|---|---|---|
| Pterocarpus erinaceous | 1000 µg/mL disk diffusion | Staphyloccocus aureus | 17 | [25] |
| Aspergillus flavus | 10 | |||
| Azima tetracantha | Minimal inhibition concentration (MIC) | T. mentagrophytes | >250 | [24] |
| T. simii | 125 | |||
| T. rubrum 57/01 | >250 | |||
| Epidermophyton floccosum | 125 | |||
| Scopulariopsis sp. | >250 | |||
| Aspergillus niger | 125 | |||
| Curvularia lunata | 62.5 | |||
| Magnethophora sp. | 125 | |||
| Candida albicans | >250 | |||
| Jatropha tanjorensis | 2.5 mg/mL Disk diffusion | Bacillus cereus 430 | 40 | [26] |
| Staphylococcus epidermis 435 | 37 | |||
| Aeromonas hydrophila 646 | 32 | |||
| Klebsiella pneumoniae 432 | 40 | |||
| Proteus mirabilis 425 | 40 | |||
| Proteus vulgaris 426 | 17 | |||
| Salmonella paratyphi 733 | 35 | |||
| Vibrio alcaligenes 4442 | 27 | |||
| Vibrio cholera 3906 | 38 | |||
| Aspergillus fumigates 343 | 31 | |||
| Candida albicans 227 | NA | |||
| Microsporum gyseum 2819 | NA | |||
| Trichophyton rubrum 296 | 33 | |||
| Calophyllum inophyllum | Disk diffusion | Staphylococcus aureus | 6.6 | [75] |
| Corynebacterium dptheriae | 3.5 | |||
| Salmonella typhi | 3.53 | |||
| Klebsiella pneumoniae | 4.0 | |||
| Proteus mirabilis | 3.11 | |||
| % growth inhibition compared to standard drug miconazole and ketoconazole | Pseudallescheria boydii | 81.04 | ||
| Candida albicans | 51.73 | |||
| Aspergillus niger | 85.09 | |||
| Trichophyton schoenleinii | 55.05 | |||
| Maytenus undata | MIC | Staphyloccocus aureus | >250 | [74] |
| E. coli | >250 | |||
| Pseudomonas aeruginosa | >250 | |||
| Enterococcus faecalis | >250 | |||
| Candida albicans | >250 | |||
| Candida neofamans | >250 | |||
| Calophyllum brasiliense | 235 µM MIC | Bacillus cereus | >1000 | [73] |
| Staphylococcus aureus | >1000 | |||
| Staphylococcus saprophyticus | >1000 | |||
| Streptococcus agalactiae | >1000 | |||
| Enterobacter cloacae | >1000 | |||
| Escherichia coli | >1000 | |||
| Pseudomonas aeruginosa | >1000 | |||
| Proteus mirabilis | >1000 | |||
| Salmonella typhimurium | >1000 | |||
| Candida albicans | >1000 | |||
| Candida tropicalis | >1000 | |||
| Garcinia smeathmannii | MIC | E. cloaclae | 0.61 | [72] |
| P. vulgaris | 1.22 | |||
| S. dysenteria | 1.22 | |||
| S. flexneri | 1.22 | |||
| S. typhi | 0.61 | |||
| S. typhimurium | 1.22 | |||
| B. megaterium | 1.22 | |||
| B. stearothermophilus | 1.22 | |||
| S. faecalis | 0.61 | |||
| C. albicans | 2.44 | |||
| C. krusei | 4.88 | |||
| C. gabrata | 2.44 |
Disclaimer/Publisher’s Note: The statements, opinions and data contained in all publications are solely those of the individual author(s) and contributor(s) and not of MDPI and/or the editor(s). MDPI and/or the editor(s) disclaim responsibility for any injury to people or property resulting from any ideas, methods, instructions or products referred to in the content. |
© 2023 by the authors. Licensee MDPI, Basel, Switzerland. This article is an open access article distributed under the terms and conditions of the Creative Commons Attribution (CC BY) license (https://creativecommons.org/licenses/by/4.0/).
Share and Cite
Singh, S.K.; Shrivastava, S.; Mishra, A.K.; Kumar, D.; Pandey, V.K.; Srivastava, P.; Pradhan, B.; Behera, B.C.; Bahuguna, A.; Baek, K.-H. Friedelin: Structure, Biosynthesis, Extraction, and Its Potential Health Impact. Molecules 2023, 28, 7760. https://doi.org/10.3390/molecules28237760
Singh SK, Shrivastava S, Mishra AK, Kumar D, Pandey VK, Srivastava P, Pradhan B, Behera BC, Bahuguna A, Baek K-H. Friedelin: Structure, Biosynthesis, Extraction, and Its Potential Health Impact. Molecules. 2023; 28(23):7760. https://doi.org/10.3390/molecules28237760
Chicago/Turabian StyleSingh, Santosh Kumar, Shweta Shrivastava, Awdhesh Kumar Mishra, Darshan Kumar, Vijay Kant Pandey, Pratima Srivastava, Biswaranjan Pradhan, Bikash Chandra Behera, Ashutosh Bahuguna, and Kwang-Hyun Baek. 2023. "Friedelin: Structure, Biosynthesis, Extraction, and Its Potential Health Impact" Molecules 28, no. 23: 7760. https://doi.org/10.3390/molecules28237760
APA StyleSingh, S. K., Shrivastava, S., Mishra, A. K., Kumar, D., Pandey, V. K., Srivastava, P., Pradhan, B., Behera, B. C., Bahuguna, A., & Baek, K.-H. (2023). Friedelin: Structure, Biosynthesis, Extraction, and Its Potential Health Impact. Molecules, 28(23), 7760. https://doi.org/10.3390/molecules28237760

