A Heterostructure Photoelectrode Based on Two-Dimensional Covalent Organic Framework Film Decorated TiO2 Nanotube Arrays for Enhanced Photoelectrochemical Hydrogen Generation
Abstract
1. Introduction
2. Results and Discussion
2.1. Fabrication and Characterization of Pt1@TpPa-1/TiO2-NTAs Photoelectrode
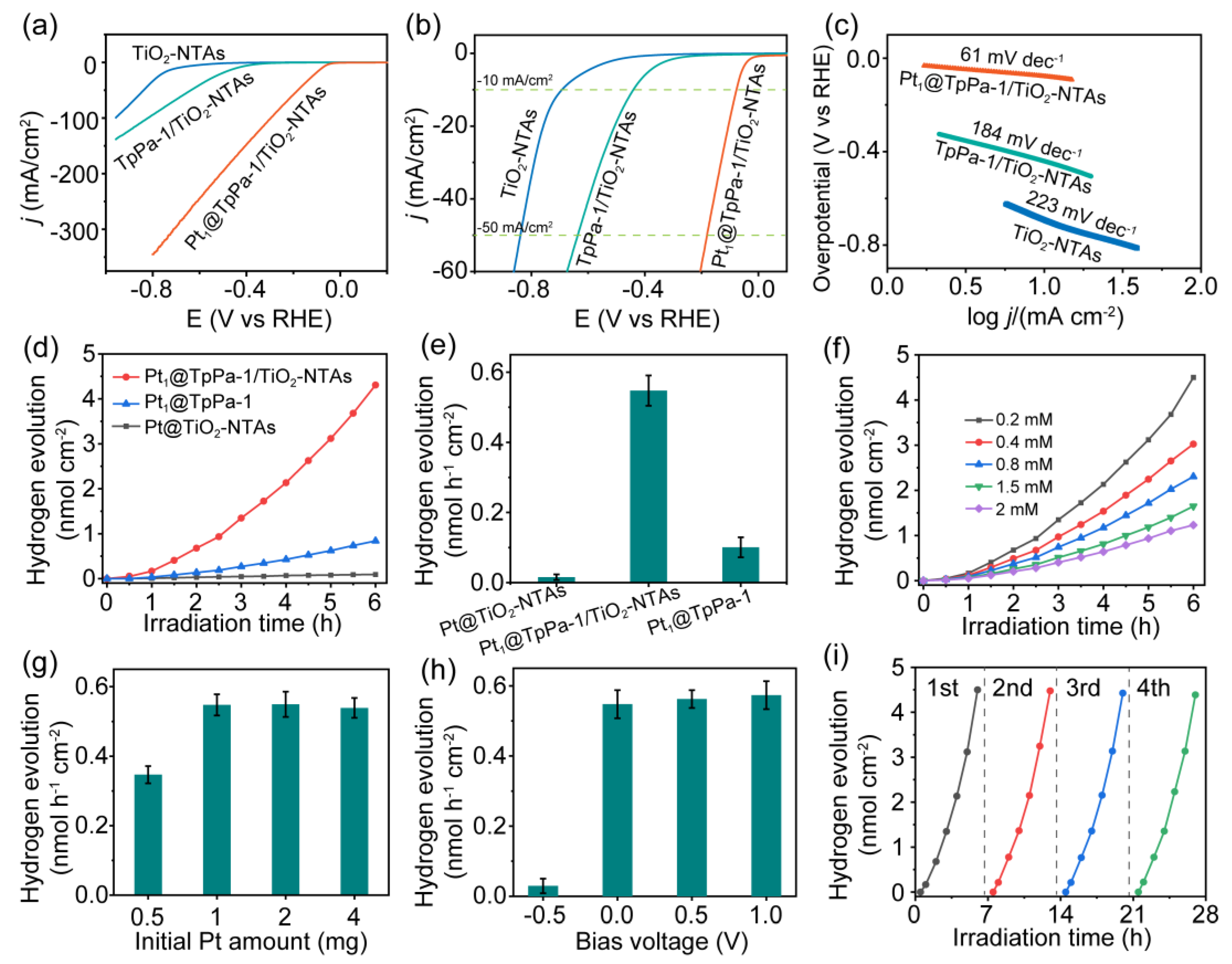
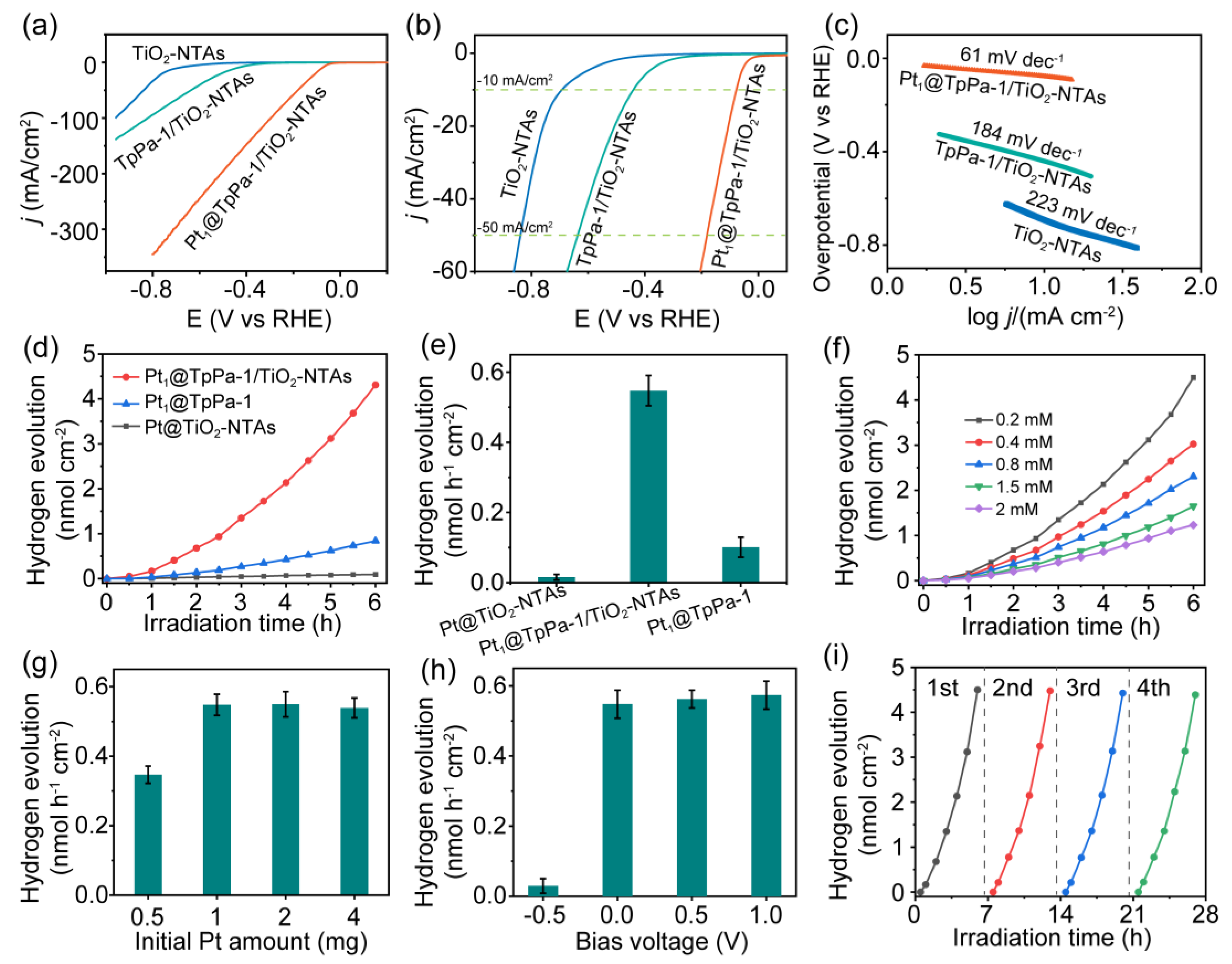
2.2. Photoelectrochemical Performance of Pt1@TpPa-1/TiO2-NTAs Photoelectrodes
2.3. Photoelectrochemical Hydrogen Evolution Based on Pt1@TpPa-1/TiO2-NTAs Photoelectrode
2.4. Photoelectrochemical Hydrogen Evolution Mechanism
3. Materials and Methods
3.1. Fabrication of Pt1@TpPa-1/TiO2-NTAs Photoelectrode
3.2. Characterizations
3.3. Photoelectrochemical Performance and Hydrogen Evolution
4. Conclusions
Supplementary Materials
Author Contributions
Funding
Institutional Review Board Statement
Informed Consent Statement
Data Availability Statement
Acknowledgments
Conflicts of Interest
Sample Availability
References
- Kim, J.H.; Hansora, D.; Sharma, P.; Jang, J.-W.; Lee, J.S. Toward practical solar hydrogen production—An artificial photosynthetic leaf-to-farm challenge. Chem. Soc. Rev. 2019, 48, 1908–1971. [Google Scholar] [CrossRef]
- Lewis, N.S. Research opportunities to advance solar energy utilization. Science 2016, 351, aad1920. [Google Scholar] [CrossRef] [PubMed]
- Wang, Q.; Domen, K. Particulate Photocatalysts for Light-Driven Water Splitting: Mechanisms, Challenges, and Design Strategies. Chem. Rev. 2020, 120, 919–985. [Google Scholar] [CrossRef]
- Pokrant, S. An almost perfectly efficient light-activated catalyst for producing hydrogen from water. Nature 2020, 581, 386–388. [Google Scholar] [CrossRef] [PubMed]
- Yang, X.; Wang, D. Photocatalysis: From Fundamental Principles to Materials and Applications. ACS Appl. Energy Mater. 2018, 1, 6657–6693. [Google Scholar] [CrossRef]
- Feng, C.; Wu, Z.; Huang, K.; Ye, J.; Zhang, H. Surface Modification of 2D Photocatalysts for Solar Energy Conversion. Adv. Mater. 2022, 34, 2200180. [Google Scholar] [CrossRef]
- Takanabe, K. Photocatalytic Water Splitting: Quantitative Approaches toward Photocatalyst by Design. ACS Catal. 2017, 7, 8006–8022. [Google Scholar] [CrossRef]
- Banerjee, T.; Gottschling, K.; Savasci, G.; Ochsenfeld, C.; Lotsch, B.V. H2 Evolution with Covalent Organic Framework Photocatalysts. ACS Energy Lett. 2018, 3, 400–409. [Google Scholar] [CrossRef] [PubMed]
- Wang, H.; Wang, H.; Wang, Z.; Tang, L.; Zeng, G.; Xu, P.; Chen, M.; Xiong, T.; Zhou, C.; Li, X.; et al. Covalent organic framework photocatalysts: Structures and applications. Chem. Soc. Rev. 2020, 49, 4135–4165. [Google Scholar] [CrossRef]
- Lin, Z.; Guo, J. Covalent Organic Frameworks for Photocatalytic Hydrogen Evolution: Design, Strategy and Structure-to-Performance Relationship. Macromol. Rapid Commun. 2022, 2200719. [Google Scholar] [CrossRef]
- Gong, Y.-N.; Guan, X.; Jiang, H.-L. Covalent organic frameworks for photocatalysis: Synthesis, structural features, fundamentals and performance. Coord. Chem. Rev. 2023, 475, 214889. [Google Scholar] [CrossRef]
- Dourandish, Z.; Tajik, S.; Beitollahi, H.; Jahani, P.M.; Nejad, F.G.; Sheikhshoaie, I.; Di Bartolomeo, A. A Comprehensive Review of Metal–Organic Framework: Synthesis, Characterization, and Investigation of Their Application in Electrochemical Biosensors for Biomedical Analysis. Sensors 2022, 22, 2238. [Google Scholar] [CrossRef] [PubMed]
- Gao, S.; Zhang, P.; Huang, G.; Chen, Q.; Bi, J.; Wu, L. Band Gap Tuning of Covalent Triazine-Based Frameworks through Iron Doping for Visible-Light-Driven Photocatalytic Hydrogen Evolution. Chemsuschem 2021, 14, 3850–3857. [Google Scholar] [CrossRef] [PubMed]
- Li, L.; Zhu, Y.; Gong, N.; Zhang, W.; Peng, W.; Li, Y.; Zhang, F.; Fan, X. Band-gap engineering of layered covalent organic frameworks via controllable exfoliation for enhanced visible-light-driven hydrogen evolution. Int. J. Hydrogen Energy 2020, 45, 2689–2698. [Google Scholar] [CrossRef]
- Yu, H.; Zhang, J.; Yan, X.; Wu, C.; Zhu, X.; Li, B.; Li, T.; Guo, Q.; Gao, J.; Hu, M.; et al. Donor–acceptor covalent organic framework hollow submicrospheres with a hierarchical pore structure for visible-light-driven H2 evolution. J. Mater. Chem. A 2022, 10, 11010–11018. [Google Scholar] [CrossRef]
- Li, W.; Huang, X.; Zeng, T.; Liu, Y.A.; Hu, W.; Yang, H.; Zhang, Y.; Wen, K. Thiazolo[5,4-d]thiazole-Based Donor–Acceptor Covalent Organic Framework for Sunlight-Driven Hydrogen Evolution. Angew. Chem. Int. Ed. 2021, 60, 1869–1874. [Google Scholar] [CrossRef]
- Lv, M.; Ren, X.; Cao, R.; Chang, Z.; Chang, X.; Bai, F.; Li, Y. Zn (II) Porphyrin Built-in D–A Covalent Organic Framework for Efficient Photocatalytic H2 Evolution. Polymers 2022, 14, 4893. [Google Scholar] [CrossRef]
- Wang, G.-B.; Zhu, F.-C.; Lin, Q.-Q.; Kan, J.-L.; Xie, K.-H.; Li, S.; Geng, Y.; Dong, Y.-B. Rational design of benzodifuran-functionalized donor–acceptor covalent organic frameworks for photocatalytic hydrogen evolution from water. Chem. Commun. 2021, 57, 4464–4467. [Google Scholar] [CrossRef]
- Lu, R.; Liu, C.; Chen, Y.; Tan, L.; Yuan, G.; Wang, P.; Wang, C.; Yan, H. Effect of linkages on photocatalytic H2 evolution over covalent organic frameworks. J. Photochem. Photobiol. A Chem. 2021, 421, 113546. [Google Scholar] [CrossRef]
- Li, Y.; Yang, L.; He, H.; Sun, L.; Wang, H.; Fang, X.; Zhao, Y.; Zheng, D.; Qi, Y.; Li, Z.; et al. In situ photodeposition of platinum clusters on a covalent organic framework for photocatalytic hydrogen production. Nat. Commun. 2022, 13, 1355. [Google Scholar] [CrossRef]
- Dong, P.; Wang, Y.; Zhang, A.; Cheng, T.; Xi, X.; Zhang, J. Platinum Single Atoms Anchored on a Covalent Organic Framework: Boosting Active Sites for Photocatalytic Hydrogen Evolution. ACS Catal. 2021, 11, 13266–13279. [Google Scholar] [CrossRef]
- Zhang, Y.-P.; Han, W.; Yang, Y.; Zhang, H.-Y.; Wang, Y.; Wang, L.; Sun, X.-J.; Zhang, F.-M. S-scheme heterojunction of black TiO2 and covalent-organic framework for enhanced photocatalytic hydrogen evolution. Chem. Eng. J. 2022, 446, 137213. [Google Scholar] [CrossRef]
- Zhang, W.; Wang, S.; Wen, N.; Zhao, J.; Guo, W.; Wu, S.; Zhang, P.; Lin, Q.; Xu, J.; Long, J. TiO2-promoted electron-tunneling of COF-based MIS nanostructures for efficient photocatalytic hydrogen production. Mater. Today Chem. 2022, 26, 101150. [Google Scholar] [CrossRef]
- Shen, H.; Shang, D.; Li, L.; Li, D.; Shi, W. Rational design of 2D/2D covalent-organic framework/TiO2 nanosheet heterojunction with boosted photocatalytic H2 evolution. Appl. Surf. Sci. 2022, 578, 152024. [Google Scholar] [CrossRef]
- Li, C.-C.; Gao, M.-Y.; Sun, X.-J.; Tang, H.-L.; Dong, H.; Zhang, F.-M. Rational combination of covalent-organic framework and nano TiO2 by covalent bonds to realize dramatically enhanced photocatalytic activity. Appl. Catal. B Environ. 2020, 266, 118586. [Google Scholar] [CrossRef]
- Liu, L.; Zhang, J.; Tan, X.; Zhang, B.; Shi, J.; Cheng, X.; Tan, D.; Han, B.; Zheng, L.; Zhang, F. Supercritical CO2 produces the visible-light-responsive TiO2/COF heterojunction with enhanced electron-hole separation for high-performance hydrogen evolution. Nano Res. 2020, 13, 983–988. [Google Scholar] [CrossRef]
- Li, F.; Wang, D.; Xing, Q.-J.; Zhou, G.; Liu, S.-S.; Li, Y.; Zheng, L.-L.; Ye, P.; Zou, J.-P. Design and syntheses of MOF/COF hybrid materials via postsynthetic covalent modification: An efficient strategy to boost the visible-light-driven photocatalytic performance. Appl. Catal. B Environ. 2019, 243, 621–628. [Google Scholar] [CrossRef]
- Yao, Y.-H.; Yang, Y.; Wang, Y.; Zhang, H.; Tang, H.-L.; Zhang, H.-Y.; Zhang, G.; Wang, Y.; Zhang, F.-M.; Yan, H. Photo-induced synthesis of ternary Pt/rGO/COF photocatalyst with Pt nanoparticles precisely anchored on rGO for efficient visible-light-driven H2 evolution. J. Colloid Interface Sci. 2022, 608, 2613–2622. [Google Scholar] [CrossRef]
- Wang, H.; Qian, C.; Liu, J.; Zeng, Y.; Wang, D.; Zhou, W.; Gu, L.; Wu, H.; Liu, G.; Zhao, Y. Integrating Suitable Linkage of Covalent Organic Frameworks into Covalently Bridged Inorganic/Organic Hybrids toward Efficient Photocatalysis. J. Am. Chem. Soc. 2020, 142, 4862–4871. [Google Scholar] [CrossRef]
- Roger, I.; Shipman, M.A.; Symes, M.D. Earth-abundant catalysts for electrochemical and photoelectrochemical water splitting. Nat. Rev. Chem. 2017, 1, 0003. [Google Scholar] [CrossRef]
- Xu, S.; Sun, H.; Addicoat, M.; Biswal, B.P.; He, F.; Park, S.; Paasch, S.; Zhang, T.; Sheng, W.; Brunner, E.; et al. Thiophene-Bridged Donor–Acceptor sp2-Carbon-Linked 2D Conjugated Polymers as Photocathodes for Water Reduction. Adv. Mater. 2021, 33, 2006274. [Google Scholar] [CrossRef] [PubMed]
- Dai, C.; He, T.; Zhong, L.; Liu, X.; Zhen, W.; Xue, C.; Li, S.; Jiang, D.; Liu, B. 2,4,6-Triphenyl-1,3,5-Triazine Based Covalent Organic Frameworks for Photoelectrochemical H2 Evolution. Adv. Mater. Interfaces 2021, 8, 2002191. [Google Scholar] [CrossRef]
- Pradhan, A.; Addicoat, M.A. Photoelectrochemical water splitting with a triazine based covalent organic framework. Sustain. Energy Fuels 2022, 6, 4248–4255. [Google Scholar] [CrossRef]
- Sick, T.; Hufnagel, A.G.; Kampmann, J.; Kondofersky, I.; Calik, M.; Rotter, J.M.; Evans, A.M.; Döblinger, M.; Herbert, S.; Peters, K.; et al. Oriented Films of Conjugated 2D Covalent Organic Frameworks as Photocathodes for Water Splitting. J. Am. Chem. Soc. 2018, 140, 2085–2092. [Google Scholar] [CrossRef]
- Yao, L.; Rodríguez-Camargo, A.; Xia, M.; Mücke, D.; Guntermann, R.; Liu, Y.; Grunenberg, L.; Jiménez-Solano, A.; Emmerling, S.T.; Duppel, V.; et al. Covalent Organic Framework Nanoplates Enable Solution-Processed Crystalline Nanofilms for Photoelectrochemical Hydrogen Evolution. J. Am. Chem. Soc. 2022, 144, 10291–10300. [Google Scholar] [CrossRef]
- Kandambeth, S.; Mallick, A.; Lukose, B.; Mane, M.V.; Heine, T.; Banerjee, R. Construction of Crystalline 2D Covalent Organic Frameworks with Remarkable Chemical (Acid/Base) Stability via a Combined Reversible and Irreversible Route. J. Am. Chem. Soc. 2012, 134, 19524–19527. [Google Scholar] [CrossRef] [PubMed]
- Banerjee, T.; Lotsch, B.V. The wetter the better. Nat. Chem. 2018, 10, 1175–1177. [Google Scholar] [CrossRef]
- Yang, J.; Acharjya, A.; Ye, M.; Rabeah, J.; Li, S.; Kochovski, Z.; Youk, S.; Roeser, J.; Grüneberg, J.; Penschke, C.; et al. Protonated Imine-Linked Covalent Organic Frameworks for Photocatalytic Hydrogen Evolution. Angew. Chem. Int. Ed. 2021, 60, 19797–19803. [Google Scholar] [CrossRef]





Disclaimer/Publisher’s Note: The statements, opinions and data contained in all publications are solely those of the individual author(s) and contributor(s) and not of MDPI and/or the editor(s). MDPI and/or the editor(s) disclaim responsibility for any injury to people or property resulting from any ideas, methods, instructions or products referred to in the content. |
© 2023 by the authors. Licensee MDPI, Basel, Switzerland. This article is an open access article distributed under the terms and conditions of the Creative Commons Attribution (CC BY) license (https://creativecommons.org/licenses/by/4.0/).
Share and Cite
Zhang, Y.; Li, Y.; Yu, J.; Sun, B.; Shang, H. A Heterostructure Photoelectrode Based on Two-Dimensional Covalent Organic Framework Film Decorated TiO2 Nanotube Arrays for Enhanced Photoelectrochemical Hydrogen Generation. Molecules 2023, 28, 822. https://doi.org/10.3390/molecules28020822
Zhang Y, Li Y, Yu J, Sun B, Shang H. A Heterostructure Photoelectrode Based on Two-Dimensional Covalent Organic Framework Film Decorated TiO2 Nanotube Arrays for Enhanced Photoelectrochemical Hydrogen Generation. Molecules. 2023; 28(2):822. https://doi.org/10.3390/molecules28020822
Chicago/Turabian StyleZhang, Yue, Yujie Li, Jing Yu, Bing Sun, and Hong Shang. 2023. "A Heterostructure Photoelectrode Based on Two-Dimensional Covalent Organic Framework Film Decorated TiO2 Nanotube Arrays for Enhanced Photoelectrochemical Hydrogen Generation" Molecules 28, no. 2: 822. https://doi.org/10.3390/molecules28020822
APA StyleZhang, Y., Li, Y., Yu, J., Sun, B., & Shang, H. (2023). A Heterostructure Photoelectrode Based on Two-Dimensional Covalent Organic Framework Film Decorated TiO2 Nanotube Arrays for Enhanced Photoelectrochemical Hydrogen Generation. Molecules, 28(2), 822. https://doi.org/10.3390/molecules28020822

