Abstract
The Nef reaction (nitro to carbonyl group conversion) and related Meyer reaction are among the key transformations of aliphatic nitro compounds. The interrupted versions of these reactions in which the normal pathway is redirected to a different end product by an external nucleophile are much less common, albeit these processes substantially increase the synthetic potential of nitro compounds. In this review, examples of interrupted Nef and Meyer reactions are summarized, and the prospects of this methodology in diversity-oriented organic synthesis are analyzed. The bibliography contains 90 references.
1. Introduction
Nitro to carbonyl group conversion is one of the key transformations in organic synthesis known since the second half of the 19th century. The action of strong acids on primary nitroalkanes leading to carboxylic acids was first documented by Meyer and Wurster in 1873 [1]. The conversion of nitroalkane salts into aldehydes and ketones through acid hydrolysis (known as the Nef reaction) was discovered independently by M. I. Konovalov in 1893 [2] and J. Nef in 1894 [3]. In the following decades, these reactions received much development both in terms of methodology and application in the synthesis of complex natural molecules [4,5,6,7,8,9,10,11,12,13,14,15,16,17,18,19,20,21,22,23,24,25,26,27]. Of the most important examples where the nitro to carbonyl group conversion is used, the method of chain elongation in carbohydrates (the Fischer–Sowden method) can be mentioned [6,17].
The classical Nef reaction involves the deprotonation of a nitro compound to give a nitronate anion followed by its treatment with an aqueous solution of a protic acid [8,19]. Although reductive [13] and oxidative [15,16] versions have also been developed, the hydrolytic Nef reaction has not lost its significance and is still frequently used in modern organic synthesis [20].
The generally accepted unified mechanism of the Nef and Meyer reactions is believed to involve the N,N-bis(hydroxy)iminium cation I-1 as a common intermediate, which is generated by the protonation of a nitronic acid (or double protonation of a nitronate anion, Scheme 1) [9,10,11,12,19,28]. In the Nef reaction, the nucleophilic addition of a water molecule to cation I-1 occurs followed by the elimination of HNO to give a ketone or aldehyde. In the Meyer reaction, which requires stronger acid conditions [8,12], cation I-1 eliminates water to give a nitrosocarbenium cation I-2 or tautomeric protonated hydroxynitrilium cation I-3. Upon addition of water, these cations are converted to a hydroxamic acid, which is then hydrolyzed to a carboxylic acid. Hydration of nitrosocarbenium cation I-2 can also result in a Nef product (aldehyde) if the tautomerization of the transient gem-hydroxynitroso compound is slow.
Scheme 1.
Normal and interrupted Nef and Meyer reactions.
In principle, cationic species I-1, I-2, and I-3 can be intercepted by nucleophiles other than water (such as halide anions, alcohols, carboxylic acids, thiols, amines, electron-rich arenes, etc.) resulting in the interruption of the normal Nef/Meyer reaction pathway. This would lead to either α-substituted nitroso compounds or oximes as the end products (Scheme 1). In this way, a set of new transformations forming carbon–carbon and carbon–heteroatom bonds could be implemented, in which the nitro group is converted to other functions with activation by protic acids. Note that the traditional polarity of the nitro moiety as an α-C-nucleophile is reversed in these reactions [29,30,31].
The recently introduced concept of interrupted reactions was not applied to Nef and Meyer reactions previously [32]. Moreover, the implementation of the interrupted versions of these reactions is complicated in practice since the majority of common nucleophiles are incompatible with protic acids. Nevertheless, a literature survey revealed a number of reactions that could be classified as interrupted Nef/Meyer reactions. This mini-review summarizes these scattered examples and analyzes the prospects of this methodology for the development of diversity-oriented synthesis based on readily available nitroalkanes as starting materials. Note that only processes promoted by protic acids and hydrogen bonding are considered here; the electrophilic activation of nitroalkanes is covered in recently published reviews [30,33,34,35]. Moreover, the acid-mediated transformations of nitroalkenes and nitroarenes are outside of the scope of this mini-review [36].
The material in this review is systemized according to the nature of the nucleophilic partner that induces the termination of the normal Nef reaction pathway: (1) halide anions; (2) O- and S-nucleophiles; (3) N-nucleohiles; and (4) C-nucleophiles. Specific focus is given to intramolecular reactions leading to valuable heterocyclic frameworks and the total synthesis of natural products using interrupted Nef/Meyer reactions.
2. Interruption of the Nef and Meyer Reactions by Halide Anions
Soon after the discovery of the Nef reaction, Steinkopf and Jürgens reported that the reaction of nitroethane sodium salt 1a with gaseous HCl produced a blue-colored compound, for which the structure of 1-chloro-1-nitrosoethane 2a was suggested (Scheme 2a) [37]. The latter underwent subsequent conversion into colorless acethydroxamyl chloride 3a. This report seems to be the first observation of an interrupted Nef process.
Scheme 2.
Formation of hydroxamic acid chlorides 3 from primary nitroalkanes in interrupted Nef/Meyer reactions [37,38,39].
Later, Nametkin [5], Nenitzescu [40], Arndt [41], Kornblum [10], and other researchers [8,42] observed the formation of hydroxamic acid chlorides from primary nitroalkanes in the Nef reaction using hydrochloric acid, albeit often in low yields. The formation of intermediate labile blue-colored nitroso species was observed in many cases. For example, Gil and MacLeod [38] reported that the reaction of the sodium salt of (3-nitropropyl)benzene 1b with HCl in ether at −60 °C produced a blue-colored chloronitroso compound 2b, which dimerized upon crystallization (Scheme 2b).
A number of examples of successful preparation of hydroxamyl chlorides from primary aliphatic nitro compounds were reported [39,43,44]. In particular, allylhydroximoyl chloride 3c and 4-methylthiobutylhydroximoyl chloride 3d were generated in the reactions of sodium salts of the corresponding nitro compounds 1c,d with HCl in dioxane at −78 °C [39]. The resulting hydroximoyl chlorides were not isolated and were used in the reaction with 13C-labelled thioglucose derivative 4 to afford glucosinolates 5c,d (Scheme 2c).
Yao et al. [45,46] developed a convenient one-pot synthesis of hydroxamyl halides 3 from nitrostyrenes 6 by the addition of organometallic reagents followed by treatment of the resulting nitronate anions with a concentrated HHal solution (Scheme 3). Remarkably, hydroxamyl iodides (Hal = I) could be prepared by this method. Unlike chlorides 3, the yields of the corresponding bromides and especially iodides substantially decreased with an increase in the steric hindrance of the nitronate. The formation of stable nitrile oxides 7 as major products was observed in the case of very bulky nitronates, suggesting that hydroxynitrilium cations (Meyer reaction intermediates I-3, Scheme 1) are common intermediates in the formation of products 3 and 7. However, the appearance of transient blue or green colors in these reactions is indicative of halonitroso compounds that are generated by the addition of a halide anion to cations I-1 and I-2. Thus, in principle, both interrupted Nef and Meyer mechanisms may operate here.
Scheme 3.
Synthesis of hydroxamic acid chlorides 3 from nitroalkenes 6 via a tandem Michael addition/interrupted Nef/Meyer reaction.
β-Nitroketones 8 react with HHal in acetic acid to produce 3-haloisoxazoles 10 as reported by Fusco and Rossi [47] and Carr et al. [48] (Scheme 4). These products are formed through the conversion of the nitro compound into hydroxamic acid halide 9 followed by cyclization. 3-Chloroisoxazoles were prepared in moderate yields, while the formation of the corresponding bromides was less efficient. Additionally, substrates 9 with donor aryl groups gave products 10 in lower yields. The initial β-nitroketones are prepared by Friedel–Crafts acylation of arenes with 3-chloropropanoyl chloride followed by the Kornblum reaction.
Scheme 4.
Synthesis of 3-haloisoxazoles 10 from β-nitroketones 8 via an interrupted Nef/Meyer reaction/cyclization cascade.
Recently, our group reported an interrupted Nef reaction with 5- and 6-membered cyclic nitronic esters 11 (Scheme 5) [49]. The treatment of the latter with HCl in dioxane resulted in the ring opening and formation of chloronitroso compounds 12 bearing a distant hydroxyl group. Remarkably, the process was usually stereoselective. Moreover, in some cases, the stereochemical outcome depended on the temperature, thus allowing a stereodivergent synthesis of products 12 to be performed (see products 12a and 12b in Scheme 5). DFT computations confirmed that the most likely mechanism involves the protonation of the exocyclic oxygen atom to form the N,N-bis(oxy)iminium cation I-4 (a common Nef intermediate), which is converted to the product by nucleophilic addition of a chloride anion and ring opening in the resulting nitrosoacetal I-5.
Scheme 5.
Interrupted Nef reaction of cyclic nitronic esters 11.
3. Interruption of the Nef and Meyer Reactions by O- and S-Nucleophiles
Numerous examples of the Nef and Meyer reactions in which a protonated nitro moiety is attacked by a hydroxyl, carboxylic group, or O-enolate are documented in the literature. All of these transformations correspond to intramolecular processes that occur faster than the parent reaction with water as the nucleophile.
Meinwald et al. observed that nitrolactone 13 under standard Nef conditions (treatment with sodium methylate followed by methanolic sulfuric acid) afforded cyclic acetal 14 instead of the expected aldehyde (Scheme 6) [50]. The obtained compound most likely results from the initial methanolysis of the lactone with sodium methoxide to give a nitronate hydroxy ester followed by an intramolecular cyclization involving the hydroxyl group and protonated nitronic acid moiety. Acetal 14 was then utilized as an intermediate in the total synthesis of rac-pederamide.
Scheme 6.
Recyclization of nitrolactone 13 via an interrupted Nef reaction and application in the total synthesis of racemic pederamide.
The Nef-type reaction of nitrodiols 15 is a well-established strategy for spiro- and bicycloketals that are widely present in natural sources (Scheme 7) [20]. A common procedure involves the conversion of a nitrodiol into a corresponding nitronate salt followed by treatment with aqueous hydrochloric or sulfuric acid. Since ketodiols are not isolated in this process, it is logical to assume that the first cyclization takes place before the hydrolysis of the N,N-bis(hydroxyl)iminium cation I-6, e.g., an interrupted Nef reaction occurs. The subsequent elimination of HNO provokes the second cyclization, leading to the assembly of the ketal moiety. This methodology was successfully utilized by Ballini et al. and Guarna et al. to build 5,5- [51,52,53], 5,6- [54,55], 6,6- [56,57], and 6,7- [55,56] membered spiroketals as exemplified in Scheme 7a–c. The total synthesis of several natural compounds (pheromones and components of odors of insects) was accomplished via the cyclization of nitrodiols. The accessibility of chiral δ-nitroalcohols via asymmetric reduction of corresponding nitroketones allows the synthesis of enantiopure spiroketals [52,53].
Scheme 7.
Construction of spiroketals via an interrupted Nef reaction of nitrodiols 14 [51,52,54,56].
Recently, Hong et al. developed an organocatalytic enantioselective strategy to construct a benzene-fused bicycloketal moiety, which is a common motif in aflatoxins (Scheme 8) [58,59]. Here, nitroalkenes 16 were involved in an asymmetric Michael addition with aldehydes with 20 mol % of Jørgensen−Hayashi catalyst to give the corresponding nitroaldehydes. The latter were reduced to nitroalcohols with NaBH4 followed by a standard hydrolytic Nef protocol to give the desired tricyclic acetals 17. The aforementioned sequence was performed in a one-pot manner leading to good yields of products 17 and high levels of diastereo- and enantiocontrol. The developed strategy was successfully utilized in the synthesis of natural coumarin (−)-microminutinin [58].
Scheme 8.
Enantioselective synthesis of bicycloketals 17 by organocatalytic Michael addition, reduction, and interrupted Nef cascade.
The carboxylic group can play the role of an intramolecular O-nucleophile in the Nef reaction (Scheme 9). Interestingly, an external acid is often not needed in these reactions, which proceed under neutral or basic conditions via the cyclic intermediates of type I-7. In fact, Wilson and Lewis observed that 4-nitrovaleric acid 18 underwent a spontaneous Nef reaction, while 3-nitropropionic and 6-nitrohexanoic acids were stable to hydrolysis (Scheme 9a) [60]. Such a dramatic acceleration effect was rationalized by the formation of 5-membered cyclic intermediate I-8 from the aci-form of 4-nitrovaleric acid. The process resulted in a normal Nef product (levulinic acid 19), while no products resulting from interrupted Nef intermediate I-8 were detected. A similar acceleration of the Nef reaction was observed in the hydrolysis of substituted 4-nitrovaleric and 4-nitrohexanoic acids [61].
Scheme 9.
Neighboring effect of the carboxylic group in the Nef and Meyer reactions of nitrocarboxylic acids [60,61,62].
In the case of primary nitroalkanes, the cyclic intermediate I-7 is not hydrolyzed due to faster dehydration leading to interrupted Meyer reaction products. For example, Keumi et al. reported that benzoic acids 20 bearing a nitromethyl group in the ortho-position underwent cyclization to N-hydroxyisophthalimides 21 after treatment with a cold aqueous Na2CO3 solution (Scheme 9b) [62]. The suggested mechanism for the cyclization involved the generation of a nitronic acid that underwent cyclization with the adjacent carboxylic group and the elimination of a water molecule. Upon heating, the products 21 rearranged to N-hydroxyphthalimides 22.
A similar cyclization of phosphonate-substituted 4-nitrobutanoic acid 23 was reported by Krawczyk et al. (Scheme 9c) [61]. The formation of N-hydroxyimide 24 was accomplished by refluxing in water for 2h. 3-Aryl-substituted acids of type 23 exhibited the same reactivity [63].
Peters et al. reported a related interrupted Meyer-type reaction, in which the process was redirected to another end product by intramolecular cyclization with the benzamide moiety in nitroamide 25 upon treatment with a base (NaOAc) in the presence of AcOH and Ac2O (Scheme 10) [64]. As a result, 1,3-oxazinan-6-one oxime ester 26 was formed in a moderate yield. Since the reaction was performed in the presence of acetic anhydride, it is difficult to conclude whether O-protonated or O-acylated iminium species served as intermediates. Additionally, the intermediacy of a nitrile oxide in this reaction cannot be ruled out, since these species are known to form by treatment of primary nitroalkanes with acid anhydrides. However, trapping experiments with methylacrylate gave no 1,3-dipolar cycloaddition products. A similar cyclization was also reported by Kazmaier et al. [65].
Scheme 10.
Cyclization of nitroamide 25 to 1,3-oxazinan-6-one oxime ester 26.
Enolates were shown to act as O-nucleophiles in the intramolecular cyclization of Nef and Meyer intermediates. Like with carboxylate nucleophiles, an acid medium is not needed to induce Nef or Meyer reactions here. This shows a strong neighboring group effect of the enol moiety in these substrates.
Thus, nitrodiketones 27 generated by the reaction of 1,3-cyclohexanedione or 1,3-cycloheptanedione with nitrostyrenes undergo cyclization to give bicyclic furan-2(3H)-one oximes 28 (Scheme 11a) [66,67,68]. Under the same conditions, the reaction of α-methyl nitrostyrene with dimedone afforded an annulated furan derivative 29. The formation of this product can be interpreted as the result of an interrupted Nef reaction followed by HNO elimination (Scheme 11b) [69].
Scheme 11.
Cyclization of nitrodiketones via interrupted Nef and Meyer reactions [66,68,69,70].
Ibrahim et al. reported a somewhat related cyclization of 3-nitroacetylquinolinone 30 to the furo [3,2-c]quinolinone derivative 31 (Scheme 11c) [70]. Drastic conditions (reflux in DMF) were required for this process.
Recently, Shen et al. developed an enantioselective synthesis of tetrahydrobenzofuranone oximes 33 by a squaramide-catalyzed Michael addition/cyclization tandem reaction of cyclohexane-1,3-diones with β-CF3-substituted nitrostyrenes 31 (Scheme 12) [71]. It is noteworthy that the cyclization of transient nitrodiketones 32 occurred under very mild conditions (−10 °C) compared to related substrates 27 considered above (cf. data in Scheme 10 and Scheme 12). This suggests that the squaramide catalyst may be involved in the cyclization stage through the formation of hydrogen bonding with the nitronate moiety.
Scheme 12.
Enantioselective squaramide-catalyzed Michael addition of cyclohexane-1,3-diones with β-CF3-substituted nitrostyrenes 31 followed by an interrupted Nef/Meyer reaction.
Linear 1,3-diones react with nitroalkenes 34 in aqueous medium to give 1,5-dihydro-2H-pyrrol-2-ones 39 instead of the expected Michael addition products, as demonstrated by Yu et al. (Scheme 13) [72]. Unlike the aforementioned transformations, no base was required for this reaction. Note that the use of water as solvent was crucial for the reaction, suggesting that a hydrophobic effect and/or strong hydrogen bonding interactions may be involved in promoting the Michael addition and subsequent cyclization stages. The process was well applicable to a wide variety of nitrostyrenes 34 bearing electron-rich and electron-poor substituents. Aliphatic nitroalkenes were also tolerated, yet the efficiency of the process was much lower. However, nitroalkenes with an ortho-substituted aryl group did not give the desired products under these conditions, most likely because of a stronger steric hindrance.
Scheme 13.
Synthesis of 1,5-dihydro-2H-pyrrol-2-ones 39 by the reaction of 1,3-diones with nitroalkenes 34 in aqueous medium.
Studies were performed to identify the mechanism of this heterocyclization [72]. NMR monitoring detected the formation of Michael products (nitrodiones 35) as intermediates. The latter cyclized to furan-2(3H)-one oximes 36 (also detected by NMR) through an interrupted Nef/Meyer process. Finally, oximes 36 underwent Beckman-type fragmentation to give nitriles 37, which recyclized to the final 1,5-dihydro-2H-pyrrol-2-ones 39 via amides 38 (Scheme 13).
An example of an interrupted Nef/Meyer reaction of cyclic nitronic esters 40 was reported by Ioffe et al. (Scheme 14) [73]. On treatment with TfOH, 6-membered cyclic nitronates 40 underwent recyclization to furanone oximes 41 [73]. The suggested mechanism of this process involves the protonation of the nitronate moiety followed by ring opening in cation I-9 to give protonated nitrile oxide intermediate I-10 and intramolecular cyclization with the hydroxyl group leading to the product. Note that the iminium cation I-9 was directly observed by NMR at −40 °C.
Scheme 14.
TfOH-promoted recyclization of cyclic nitronates 40 to furanone oximes 41.
Few precedents of the participation of S-nucleophiles in the interrupted Meyer reaction were documented in the literature. An early example was reported by Kiprianov and Verbovskaya, who observed that the heating of 2-aminothiophenol with nitroacetic ester [74] or α-nitro ketones [75] afforded 2H-benzo[b][1,4]thiazin-2-one oximes 42 and 43, respectively (Scheme 15). This condensation involves the formation of amide or imine intermediates I-11 and I-12, which undergo a spontaneous cyclization via an interrupted Nef/Meyer reaction mechanism. The desired heterocyclic products were formed in moderate yields. In the case of α-nitroacetophenone (R = Ph), 2-phenylbenzothiazole 44 and nitromethane were detected as side products (Scheme 15b).
Scheme 15.
Synthesis of 2H-benzo[b][1,4]thiazin-2-one oximes 42 and 43 by condensation of 2-aminothiophenol with nitroacetic ester or α-nitro ketones [74,75].
Recently, Batra et al. developed a one-pot protocol for the preparation of thiohydroximic acids 44 from aromatic ketones on treatment with the NaNO2/I2 system in DMSO (Scheme 16) [76]. The suggested mechanism of this multi-stage transformation involved an interrupted Nef/Meyer reaction of α-nitroketones generated in situ. Dimethyl sulfide, which was formed by the deoxygenation of DMSO with HI, served as a nucleophile in the reaction with nitronic acid I-13. The subsequent elimination of methanol led to the formation of the final thiohydroximic acid 44. The method tolerates electron-rich and electron-poor aryl groups, as well as various heteroaromatic rings. However, aliphatic ketones did not give the desired products in this process.
Scheme 16.
Synthesis of thiohydroximic acids 44 from aromatic ketones through nitration and interrupted Nef/Meyer reaction cascade.
4. Interruption of the Nef and Meyer Reactions by N-Nucleophiles
In a fashion similar to O- and S-nucleophiles, some N-nucleophiles can interrupt the usual pathway of Nef and Meyer reactions. Examples of these reactions in both inter- and intramolecular modes are known.
In 1964, Bachman and Goldmacher observed the formation of N-phenylacetamidoxime via the heating of aniline with nitroethane in polyphosphoric acid (PPA) [77]. This useful reaction is being developed further by Aksenov’s group who reported a general synthesis of N-hydroxyimidoamides 46 by condensation of simple nitroalkanes (nitromethane and nitroethane) with anilines 45 in PPA (Scheme 17, a) [78]. The products formed in high yields as a mixture of tautomers. Since PPA is both a protic and an electrophilic medium, the reacting cationic iminium species I-14 can be generated either by protonation or phosphorylation of nitronic acids. Additionally, experimental evidence in support of the intermediacy of hydroxynitrilium cations I-15 in this reaction was obtained in a later work by the same authors [79].
Scheme 17.
Synthesis of N-hydroxyimidoamides 46 from anilines 45 and simple nitroalkanes in PPA.
Using 1,2-phenylenediamines 47 and 2-aminophenols 48 under the same conditions, a cascade heterocyclization process was accomplished (Scheme 18) [78]. As a result, a wide range of benzimidazoles 49 and benzoxazoles 50 were obtained with high efficiency.
Scheme 18.
Synthesis of benzoxazoles/benzimidazoles by condensation of nitroalkanes with 1,2-phenylenediamines/2-aminophenols in PPA.
An intramolecular version of the N-interrupted Nef/Meyer reaction was reported by Katritzky et al. (Scheme 19) [80]. Here, heating of nitromethyl-substituted benzoxazinones 51 with HCl/dioxane results in their rearrangement to 1,3-benzoxazepines 52 in moderate yields. The suggested mechanism involves the oxazine ring opening followed by an intramolecular cyclization, in which the carbamate nitrogen atom attacks the N,N-bis(oxy)iminium cation moiety in intermediate I-16 to form a 7-membered ring. Note that nitroalkene 53 was unreactive under these conditions, suggesting that it is not an intermediate in the process.
Scheme 19.
Katritzky’s synthesis of 1,3-benzoxazepines 52 by an intramolecular interrupted Nef/Meyer reaction.
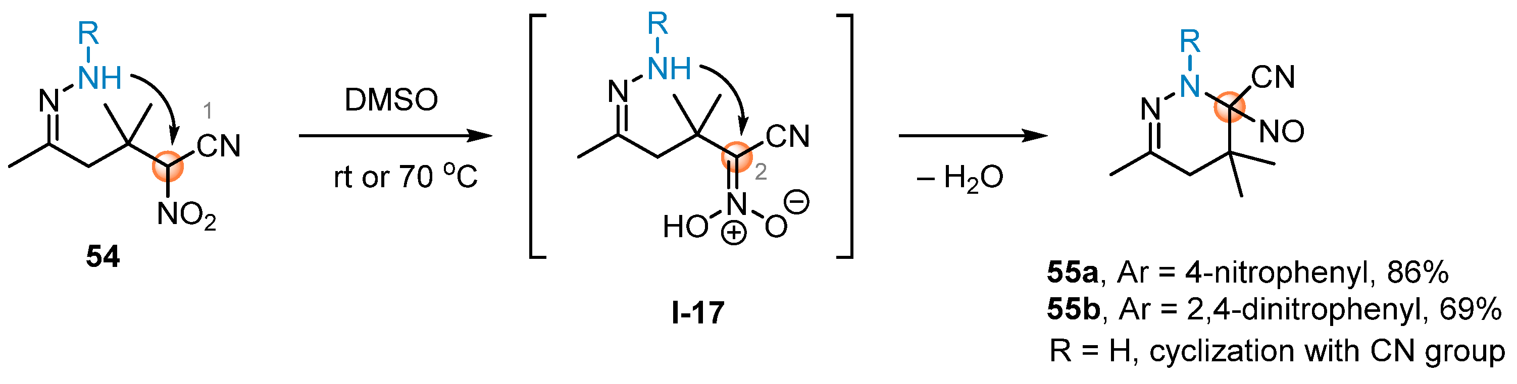
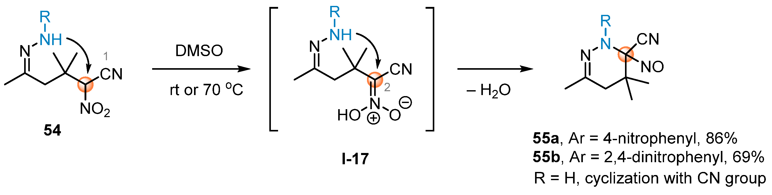
A notable example of an intramolecular interrupted Nef reaction was reported by Nishiwaki et al. (Scheme 20) [81]. Here, nitro compounds 54 bearing a hydrazone moiety cyclized to give a product in which the structure of nitroso-substituted pyridazines 55 was assigned. Remarkably, the cyclization took place under mild conditions without the need for an external acid. DFT calculations showed the considerably higher electrophilicity of the nitronic acid carbon (C-2) compared to the cyano group (C-1) in intermediate I-17. However, the substrate containing an unsubstituted amino group (R = H) cyclized at the C-1 atom leading to a 7-membered cycle.
Scheme 20.
Cyclization of α-nitro-δ-hydrazononitriles 54 to nitroso-substituted pyridazines 55.
A remarkable example of a Nef/Meyer reaction interrupted by pyridine was observed by Royer et al. [82] in their studies on the chlorination of electron-rich arenes (such as 2-methoxynaphthalene) with the pyridinium chloride/nitroethane system (Scheme 21). It was noted that pyridinium chloride reacted with nitroethane in the presence of free pyridine to give N-acethydroxamylation product 56. The nucleophilic addition of pyridine to the N,N-bis(oxy)iminium cation I-18 derived from aci-nitroethane was assumed as a reasonable pathway for this reaction. The resulting pyridinium salt 56 is more likely to be a side product in the aforementioned chlorination of arenes rather than an intermediate. Unfortunately, this reaction was not developed any further.
Scheme 21.
N-Acethydroxamylation of pyridine with nitroethane.
5. Interruption of the Nef and Meyer Reactions by C-Nucleophiles
A few examples of Nef and Meyer reactions interrupted by some C-nucleophiles have been reported in the literature. However, only the C-nucleophiles which are compatible with strong protic acids can be applied. Examples of these processes are limited to electron-rich arenes and some heteroarenes as C-nucleophiles.
Jacquesy et al. [83] and Shudo et al. [84] showed that the reaction of nitroalkane salts 1 with arenes in an acid medium leads to oximes of substituted acetophenones 57 (Scheme 22a). In the case of toluene, phenol, and anisol, mixtures of ortho- and para-isomers were obtained. Free nitroalkanes [85] and α-carbonylnitromethanes [84,86] can undergo the same reaction in triflic acid (Scheme 22b). Under these conditions, the corresponding oximes were prepared from fluorobenzene and naphthalene. It was shown that the process led to a single oxime isomer, in which the entering nucleophile and the lone pair on nitrogen that is formed are arranged trans with respect to each other [86]. Moreover, dimers of nitrile oxides (furoxans) were isolated as side products in some cases. Based on this data, the mechanism involving the participation of hydroxynitrilium ions I-3 and subsequent Friedel−Crafts reaction was suggested [86].
Scheme 22.
Acylhydroxamylation of benzene with simple nitro compounds [83,84,86].
Recently, Aksenov et al. showed that nitroalkanes reacted with electron-rich arenes in polyphosphoric acid medium to form other products. For example, amides of benzoic acids 58 were obtained in the case of nitromethane (Scheme 23a) [87], while N-arylacetamides 59 formed in the case of nitroethane (Scheme 23b) [88]. The suggested mechanism of these reactions includes the electrophilic addition of phosphorylated N,N-bis(hydroxy)iminium cations I-19 or I-20 to the arene, followed by dehydration of oximes to nitriles (in the case of nitromethane, Scheme 23a) or by a Beckmann rearrangement (in the case of nitroethane, Scheme 23b). As in the examples considered previously (Scheme 22), the hydroxynitrilium ions of type I-3 can also include electrophilic species reacting with arenes.
Scheme 23.
Diverse reactivity of nitromethane and nitroethane in reactions with electron-rich arenes in polyphosphoric acid [87,88].
An intramolecular version of the Meyer reaction interrupted by a C-arylation version of this reaction was observed by Yao et al. in the treatment of a salt of sterically hindered nitro compound 60 with sulfuric acid (Scheme 24) [45]. Here, benzocyclopentanone oxime 62 was isolated along with the expected hydroxamic acid 61 formed via a normal Meyer reaction. Both reactions may occur via intermediate cation I-21, which is corroborated by the fact that the corresponding nitrile oxide was isolated in some experiments starting from nitro compound 60 (cf. Scheme 3).
Scheme 24.
An intramolecular interrupted Meyer reaction of sterically hindered nitro compound 60.
Interestingly, related aryl-substituted nitro carboxylates 63 exhibit an unusual behavior under strong acid conditions as shown by Ohwada et al. [89]. In fact, 3-aryl-2-nitropropionates 63 are converted to 4H-1,2-benzoxazines 64 on treatment with trifluoromethanesulfonic acid (Scheme 25a). In the case of substrate 63a with a para-methoxyphenyl group, cyclization occurred at the ipso position to give a spiro-annulated isoxazoline 65 (Scheme 25b). A distinctive feature of the reactions in the examples considered above is that a carbon-oxygen bond with an aryl moiety is formed in the reaction. The exact mechanism of this transformation has not been elucidated; however, as one of the hypotheses, it was assumed that an attack of the nitrosocarbenium ion I-22 or I-23 on the aryl fragment took place. The reactivity of nitrosocarbenium ions as formal O-electrophiles was also documented by other researchers in reactions of nitronates mediated by strong Lewis acids [90].
Scheme 25.
Cyclizations of 3-aryl-2-nitropropionates in trifluoromethanesulfonic acid [89].
6. Conclusions
The literature survey revealed a number of processes that can be interpreted as interrupted Nef or Meyer reactions of nitro compounds and nitronates. In these reactions, transient cationic species resulting from the protonation of nitronic acids (aci-nitro) are intercepted with an external nucleophile leading to α-substituted nitroso compounds, hydroxamic acid derivatives, oximes, or products of their further transformations. Halide anions, O-nucleophiles (alcohols, enols, carboxylic acids), N-nucleophiles (amines, carbamates, hydrazones, pyridine), S-nucleophiles (mercaptans), and some C-nucleophiles have been shown to redirect the normal pathway of Nef and Meyer reactions in a chemoselective manner. Generally, the nucleophile should be compatible with strongly acidic conditions under which both reactions occur. However, cyclizations in which the nitro moiety is activated by intramolecular hydrogen bonding occur without the need for an external acid. Unlike the normal Nef reaction, its interrupted versions may not require a prior conversion of a nitro compound into its salt.
At the same time, the synthetic potential of interrupted Nef or Meyer reactions has not yet been realized to the full extent. First, the range of nucleophiles involved in these processes is still quite narrow. In particular, the use of C-nucleophiles is limited to electron-rich arenes and some heteroarenes. Additionally, the use of S-nucleophiles and N-nucleophiles appears to be underdeveloped. Secondly, a survey of efficient Brønsted acid and hydrogen-bonding catalysts for interrupted Nef or Meyer reactions is advantageous for the further development of this methodology. The implementation of catalytic methods is expected to broaden the scope of nucleophiles for these processes. Third, examples of the use of cyclic nitronic esters (cyclic nitronates) in interrupted Nef or Meyer reactions are very limited. The use of these readily available substrates may provide straightforward access to polyfunctionalized products possessing a few contiguous stereogenic centers. We feel that progress in these directions can be anticipated in the near future.
Finally, it should be noted that some aspects of the mechanism of the Nef and Meyer reactions are still under debate. In particular, this applies to the participation of putative nitrosocarbenium and N-hydroxynitrilium cationic intermediates. An investigation of the interrupted reactions is required to gain further insights into these fundamental problems.
Funding
This research was funded by the Russian Science Foundation, grant number 22-13-00230, https://rscf.ru/project/22-13-00230/ (accessed on 1 December 2022).
Institutional Review Board Statement
Not applicable.
Informed Consent Statement
Not applicable.
Data Availability Statement
Not applicable.
Acknowledgments
The author thanks Vladimir Smirnov from the N. D. Zelinsky Institute of Organic Chemistry for helpful discussions.
Conflicts of Interest
The author declares no conflict of interest. The funders had no role in the design of the study; in the collection, analyses, or interpretation of data; in the writing of the manuscript; or in the decision to publish the results.
References
- Meyer, V.; Wurster, C. Ueber die nitroverbindungen der fettreihe. Sechste mittheilung. Chem. Ber. 1873, 6, 1168–1172. [Google Scholar] [CrossRef]
- Konovalov, M. Nitrating action of nitric acid on saturated hydrocarbons. J. Russ. Phys. Chem. Soc. 1893, 25, 509. [Google Scholar]
- Nef, J.U. Ueber die constitution der salze der nitroparaffine. Liebigs Ann. Chem. 1894, 280, 263–291. [Google Scholar] [CrossRef]
- Bamberger, E.; Rust, E. Transformation of nitroparaffins. Chem. Ber. 1902, 35, 45–53. [Google Scholar] [CrossRef]
- Nametkin, S.S. Structure of isonitro compounds. J. Russ. Phys. Chem. Soc. 1914, 45, 1414–1420. [Google Scholar]
- Sowden, J.C. The nitromethane and 2-nitroethanol syntheses. In Advances in Carbohydrate Chemistry; Hudso, C.S., Canto, S.M., Eds.; Academic Press: Cambridge, MA, USA, 1951; Volume 6, pp. 291–318. [Google Scholar]
- Tamelen, E.E.V.; Thiede, R.J. The synthetic application and mechanism of the Nef reaction. J. Am. Chem. Soc. 1952, 74, 2615–2618. [Google Scholar] [CrossRef]
- Noland, W.E. The Nef reaction. Chem. Rev. 1955, 55, 137–155. [Google Scholar] [CrossRef]
- Hawthorne, M.F. aci-Nitroalkanes. II. The mechanism of the Nef reaction. J. Am. Chem. Soc. 1957, 79, 2510–2515. [Google Scholar] [CrossRef]
- Kornblum, N.; Brown, R.A. The action of acids on nitronic esters and nitroparaffin salts. Concerning the mechanisms of the Nef and the hydroxamic acid forming reactions of nitroparaffins. J. Am. Chem. Soc. 1965, 87, 1742–1747. [Google Scholar] [CrossRef]
- Sun, S.; Folliard, J. The participation of water in the Nef reaction of aci-nitro compounds. Tetrahedron 1971, 27, 323–330. [Google Scholar] [CrossRef]
- Edward, J.T.; Tremaine, P.H. The Meyer reaction of phenylnitromethane in acid. III. The tautomerization to the aci-Form. Can. J. Chem. 1971, 49, 3493–3501. [Google Scholar] [CrossRef]
- McMurry, J.E.; Melton, J. New method for the conversion of nitro groups into carbonyls. J. Org. Chem. 1973, 38, 4367–4373. [Google Scholar] [CrossRef]
- Seebach, D.; Colvin, E.V.; Lehr, F.; Weller, T. Nitroaliphatic compounds-ideal intermediates in organic synthesis. Chimia 1979, 33, 1. [Google Scholar]
- Kornblum, N.; Erickson, A.S.; Kelly, W.J.; Henggeler, B. Conversion of nitro paraffins into aldehydes and ketones. J. Org. Chem. 1982, 47, 4534–4538. [Google Scholar] [CrossRef]
- Barton, D.H.; Motherwell, W.B.; Zard, S.Z. A mild oxidative Nef reaction. Tetrahedron Lett. 1983, 24, 5227–5230. [Google Scholar] [CrossRef]
- Petruš, L.; Petrušová, M.; Pham-Huu, D.-P.; Lattová, E.; Pribulová, B.; Turjan, J. Timely Research Perspectives in Carbohydrate Chemistry; Schmid, W., Stütz, A.E., Eds.; Springer: Vienna, Austria, 2002; pp. 33–42. [Google Scholar]
- Ballini, R.; Petrini, M. Recent synthetic developments in the nitro to carbonyl conversion (Nef reaction). Tetrahedron 2004, 60, 1017–1047. [Google Scholar] [CrossRef]
- Pinnick, H.W. The Nef reaction. In Organic Reactions; John Wiley & Sons: Hoboken, NJ, USA, 2004; Volume 38, pp. 655–792. [Google Scholar]
- Ballini, R.; Petrini, M.; Rosini, G. Nitroalkanes as central reagents in the synthesis of spiroketals. Molecules 2008, 13, 319–330. [Google Scholar] [CrossRef] [PubMed]
- Durchschein, K.; Ferreira-da Silva, B.; Wallner, S.; Macheroux, P.; Kroutil, W.; Glueck, S.M.; Faber, K. The flavoprotein-catalyzed reduction of aliphatic nitro-compounds represents a biocatalytic equivalent to the Nef-reaction. Green Chem. 2010, 12, 616–619. [Google Scholar] [CrossRef]
- Bhat, C.; Tilve, S.G. Synthesis of (−)-hygrine, (−)-norhygrine, (−)-pseudohygroline and (−)-hygroline via Nef reaction. Tetrahedron Lett. 2011, 52, 6566–6568. [Google Scholar] [CrossRef]
- Zard, S.Z. Some aspects of the chemistry of nitro compounds. Helv. Chim. Acta 2012, 95, 1730–1757. [Google Scholar] [CrossRef]
- Ballini, R.; Petrini, M. The nitro to carbonyl conversion (Nef reaction): New perspectives for a classical transformation. Adv. Synth. Catal. 2015, 357, 2371–2402. [Google Scholar] [CrossRef]
- Kawamoto, Y.; Ozone, D.; Kobayashi, T.; Ito, H. Total synthesis of (±)-chondrosterin I using a desymmetric aldol reaction. Org. Biomol. Chem. 2018, 16, 8477–8480. [Google Scholar] [CrossRef]
- Lupidi, G.; Palmieri, A.; Petrini, M. Synthesis of nitro alcohols by riboflavin promoted tandem Nef-Henry reactions on nitroalkanes. Adv. Synth. Catal. 2021, 363, 742–746. [Google Scholar] [CrossRef]
- Tran, V.-P.; Matsumoto, N.; Nalaoh, P.; Jing, H.; Chen, C.-Y.; Lindsey, J.S. Dihydrooxazine byproduct of a McMurry-Melton reaction en route to a synthetic bacteriochlorin. Organics 2022, 3, 262–274. [Google Scholar] [CrossRef]
- Qu, Z.-W.; Zhu, H.; Grimme, S. Mechanistic insights for nitromethane activation into reactive nitrogenating reagents. ChemCatChem 2021, 13, 2132–2137. [Google Scholar] [CrossRef]
- Smirnov, V.O.; Khomutova, Y.A.; Tartakovsky, V.A.; Ioffe, S.L. C–C coupling of acyclic nitronates with silyl ketene acetals under silyl triflate catalysis: Reactivity umpolung of aliphatic nitro compounds. Eur. J. Org. Chem. 2012, 2012, 3377–3384. [Google Scholar] [CrossRef]
- Tabolin, A.A.; Sukhorukov, A.Y.; Ioffe, S.L.; Dilman, A.D. Recent advances in the synthesis and chemistry of nitronates. Synthesis 2017, 49, 3255–3268. [Google Scholar] [CrossRef]
- Das, S.; Mitschke, B.; De, C.K.; Harden, I.; Bistoni, G.; List, B. Harnessing the ambiphilicity of silyl nitronates in a catalytic asymmetric approach to aliphatic β3-amino acids. Nat. Catal. 2021, 4, 1043–1049. [Google Scholar] [CrossRef]
- Trudel, V.; Tien, C.-H.; Trofimova, A.; Yudin, A.K. Interrupted reactions in chemical synthesis. Nat. Rev. Chem. 2021, 5, 604–623. [Google Scholar] [CrossRef]
- Tabolin, A.A.; Sukhorukov, A.Y.; Ioffe, S.L. α-Electrophilic reactivity of nitronates. Chem. Rec. 2018, 18, 1489–1500. [Google Scholar] [CrossRef]
- Aksenov, N.A.; Aksenov, A.V.; Ovcharov, S.N.; Aksenov, D.A.; Rubin, M. Electrophilically activated nitroalkanes in reactions with carbon based nucleophiles. Front. Chem. 2020, 8, 77. [Google Scholar] [CrossRef] [PubMed]
- Ioffe, S.L. Nitronates. In Nitrile Oxides, Nitrones, and Nitronates in Organic Synthesis; Feuer, H., Ed.; Wiley: Hoboken, NJ, USA, 2007; p. 625. [Google Scholar]
- Laali, K.K. Nitro and nitroso transformations in superacids. Coord. Chem. Rev. 2000, 210, 47–71. [Google Scholar] [CrossRef]
- Steinkopf, W.; Jürgens, B. Zur kenntnis aliphatischer nitrokörper. XII. Mitteilung: Über die konstitution der aci-nitrokörper. J. Prakt. Chem. 1911, 84, 686–713. [Google Scholar] [CrossRef]
- Gil, V.; MacLeod, A. Synthesis of glucosinolates. Tetrahedron 1980, 36, 779–783. [Google Scholar] [CrossRef]
- Zhang, Q.; Lebl, T.; Kulczynska, A.; Botting, N.P. The synthesis of novel hexa-13C-labelled glucosinolates from [13C6]-D-glucose. Tetrahedron 2009, 65, 4871–4876. [Google Scholar] [CrossRef]
- Nenitzescu, C.D.; Isacescu, D.A. aci-Nitro compounds. IV. The mechanism of the conversion of the nitro derivative into hydroxamic acid. Bull. Soc. Chim. Rom. 1932, 14, 53–61. [Google Scholar]
- Arndt, F.; Rose, J.D. Relations between acidity and tautomerism. Part III. The nitro-group and the nitronic esters. J. Chem. Soc. 1935, 1–10. [Google Scholar] [CrossRef]
- Benn, M.; Ettlinger, M. The synthesis of sinigrin. Chem. Commun. 1965, 445–447. [Google Scholar] [CrossRef]
- Abramski, W.; Chmielewski, M. Practical synthesis of sinigrin. J. Carbohydr. Chem. 1996, 15, 109–113. [Google Scholar] [CrossRef]
- Hurd, C.D.; Nilson, M.E. Aliphatic nitro ketones. J. Org. Chem. 1955, 20, 927–936. [Google Scholar] [CrossRef]
- Yao, C.-F.; Kao, K.-H.; Liu, J.-T.; Chu, C.-M.; Wang, Y.; Chen, W.-C.; Lin, Y.-M.; Lin, W.-W.; Yan, M.-C.; Liu, J.-Y.; et al. Generation of nitroalkanes, hydroximoyl halides and nitrile oxides from the reactions of β-nitrostyrenes with Grignard or organolithium reagents. Tetrahedron 1998, 54, 791–822. [Google Scholar] [CrossRef]
- Kao, K.-H.; Yang, C.-S.; Liu, J.-T.; Lin, W.-W.; Fang, H.-Y.; Yao, C.-F.; Chen, K. One-pot synthesis of the hydroximoyl chlorides and [3.3.0] bicyclic compounds from the reactions of β-nitrostyrenes with stabilized nucleophiles. Tetrahedron 1998, 54, 13997–14014. [Google Scholar] [CrossRef]
- Fusco, R.; Rossi, S. β-Nitroketones. Chem. Ind. 1957, 1650. [Google Scholar]
- Carr, J.B.; Durham, H.G.; Hass, D.K. Isoxazole anthelmintics. J. Med. Chem. 1977, 20, 934–939. [Google Scholar] [CrossRef]
- Malykhin, R.S.; Boyko, Y.D.; Nelyubina, Y.V.; Ioffe, S.L.; Sukhorukov, A.Y. Interrupted Nef reaction of cyclic nitronates: Diastereoselective access to densely substituted α-chloronitroso compounds. J. Org. Chem. 2022, 87, 16617–16631. [Google Scholar] [CrossRef]
- Adams, M.A.; Duggan, A.J.; Smolanoff, J.; Meinwald, J. Total synthesis of (±)-pederamide. J. Am. Chem. Soc. 1979, 101, 5364–5370. [Google Scholar] [CrossRef]
- Ballini, R.; Bosica, G.; Uselli, A. A simple, efficient, two-step synthesis of symmetric 2,7-dialkyl-1,6-dioxaspiro[4.4]nonanes. J. Heterocycl. Chem. 1994, 31, 259–260. [Google Scholar] [CrossRef]
- Occhiato, E.G.; Guarna, A.; De Sarlo, F.; Scarpi, D. Baker’s yeast reduction of prochiral γ-nitroketones. II. straightforward enantioselective synthesis of 2,7-dimethyl-1,6-dioxaspiro[4.4]nonanes. Tetrahedron Asymmetry 1995, 6, 2971–2976. [Google Scholar] [CrossRef]
- Occhiato, E.G.; Scarpi, D.; Menchi, G.; Guarna, A. Synthesis of enantiopure 2,7-diaryl-1,6-dioxaspiro[4.4]nonanes via enantioselective reduction of prochiral γ-nitroketones by diisopinocampheylchloroborane (DIP-C1™). Tetrahedron Asymmetry 1996, 7, 1929–1942. [Google Scholar] [CrossRef]
- Rosinidy, G.; Ballini, R.; Marotta, E. Functionalized nitroalkanes in synthesis of 1,6-dioxaspiro[4.5]decane components of paravespula vulgaris pheromone. Tetrahedron 1989, 45, 5935–5942. [Google Scholar] [CrossRef]
- Ballini, R.; Petrini, M.; Rosini, G. New and efficient synthesis of ω-nitroalcohols and spiroketals by chemio- and regioselective reductive cleavage of 2-nitrocycloalkanones. Tetrahedron 1990, 46, 7531–7538. [Google Scholar] [CrossRef]
- Ballini, R.; Petrini, M. Hydroxy-functionalized conjugated nitroolefins as immediate precursors of spiroketals. A new synthesis of 1,7-dioxaspiro[5.5]undecane and (E)-2-methyl-1,7-dioxaspiro[5.6]dodecane. J. Chem. Soc. Perkin Trans. 1 1992, 3159–3160. [Google Scholar] [CrossRef]
- Ballini, R.; Bosica, G.; Schaafstra, R. Nitro ketones in organic synthesis: A new, short synthesis of racemic trans-2-methyl-1,7-dioxaspiro[5.5]undecane, trans, trans- and trans, cis-2,8-dimethyl-1,7-dioxaspiro[5.5]undecane by Henry reaction. Liebigs Ann. Chem. 1994, 1994, 1235–1237. [Google Scholar] [CrossRef]
- Huang, W.-L.; Raja, A.; Hong, B.-C.; Lee, G.-H. Organocatalytic enantioselective Michael–acetalization–reduction–Nef reaction for a one-pot entry to the functionalized aflatoxin system. Total synthesis of (−)-dihydroaflatoxin D2 and (−)- and (+)-microminutinin. Org. Lett. 2017, 19, 3494–3497. [Google Scholar] [CrossRef] [PubMed]
- Hsieh, Y.-Y.; Raja, A.; Hong, B.-C.; Kotame, P.; Chang, W.-C.; Lee, G.-H. Organocatalytic enantioselective Michael–acetalization–Henry reaction cascade of 2-hydroxynitrostyrene and 5-oxohexanal for the entry to the hexahydro-6H-benzo[c]chromenones with four consecutive stereogenic centers and an approach to aflatoxin analogues. J. Org. Chem. 2017, 82, 12840–12848. [Google Scholar] [CrossRef]
- Wilson, H.; Lewis, E.S. Neighboring group participation in proton transfers. J. Am. Chem. Soc. 1972, 94, 2283–2285. [Google Scholar] [CrossRef]
- Krawczyk, H.; Wolf, W.M.; Śliwiński, M. Nitroalkanes as nucleophiles in a self-catalytic Michael reaction. J. Chem. Soc. Perkin Trans. 1 2002, 2794–2798. [Google Scholar] [CrossRef]
- Keumi, T.; Morita, T.; Mitzui, T.; Jōka, T.; Kitajima, H. A convenient synthesis of polysubstituted phthalic acid derivatives via side-chain nitration of polymethylbenzoic acids. Synthesis 1985, 1985, 223–224. [Google Scholar] [CrossRef]
- Krawczyk, H.; Albrecht, Ł.; Wojciechowski, J.; Wolf, W.M. Spontaneous Nef reaction of 3-aryl-2-(diethoxyphosphoryl)-4-nitroalkanoic acids. Tetrahedron 2006, 62, 9135–9145. [Google Scholar] [CrossRef]
- Weber, M.; Frey, W.; Peters, R. Asymmetric palladium(II)-catalyzed cascade reaction giving quaternary amino succinimides by 1,4-addition and a Nef-type reaction. Angew. Chem. Int. Ed. 2013, 52, 13223–13227. [Google Scholar] [CrossRef]
- Mendler, B.; Kazmaier, U.; Huch, V.; Veith, M. Straightforward approach to iminoxazines and azetidinimines via 1,4-additions of chelated enolates toward nitroalkenes. Org. Lett. 2005, 7, 2643–2646. [Google Scholar] [CrossRef] [PubMed]
- Ansell, G.B.; Moore, D.W.; Nielsen, A.T. Formation and crystal structure of 3-(4-bromophenyl)-2-hydroxyimino-6,7-dihydro-4 (5H)-benzofuranone. Michael addition of cyclohexane-1,3-dione to 4-bromo-ω-nitrostyrene. Chem. Commun. 1970, 23, 1602–1603. [Google Scholar] [CrossRef]
- Ansell, G.B.; Moore, D.W.; Nielsen, A.T. Intramolecular reactions of nitro-olefin–cyclohexane-1,3-dione Michael adducts. Crystal structure of 3-(4-bromophenyl)-6,7-dihydro-2-hydroxyiminobenzofuran-4(5H)-one. J. Chem. Soc. B: Phys. Org. 1971, 2376–2382. [Google Scholar] [CrossRef]
- Hrnčiar, P.; Čulák, I. Michael addition of 1,3-cyclopentanedione, 1,3-cyclohexanedione and 1,3-cycloheptanedione to 1-(X-phenyl)-2-nitroethylenes. Collect. Czech. Chem. Commun. 1984, 49, 1421–1431. [Google Scholar] [CrossRef]
- Nielsen, A.T.; Archibald, T.G. Intramolecular reactions of nitroolefin-β-diketone Michael adducts: Formation of 3-oxo-2,3-dihydro-4H-1,2-benzoxazine and 4(5H)-benzofuranone derivatives. Tetrahedron 1969, 25, 2393–2400. [Google Scholar] [CrossRef]
- Ibrahim, M.A.; Hassanin, H.M.; Gabr, Y.A.; Alnamer, Y.A. Studies on the chemical behavior of 3-(nitroacetyl)-1-ethyl-4-hydroxyquinolin-2(1H)-one towards some electrophilic and nucleophilic reagents. J. Braz. Chem. Soc. 2012, 23, 905–912. [Google Scholar] [CrossRef]
- Liu, W.; Lai, X.; Zha, G.; Xu, Y.; Sun, P.; Xia, T.; Shen, Y. The squaramide-catalyzed asymmetric Michael/cyclization tandem reaction for the synthesis of chiral trifluoromethylated hydroxyimino tetrahydrobenzofuranones. Org. Biomol. Chem. 2016, 14, 3603–3607. [Google Scholar] [CrossRef]
- Wu, M.-Y.; Li, K.; Wang, N.; He, T.; Yu, X.-Q. A Novel Catalyst-Free Tandem Reaction for the Synthesis of 5-Hydroxy-1,5-dihydro-2H-pyrrol-2-ones in Water Medium. Synthesis 2011, 2011, 1831–1839. [Google Scholar] [CrossRef]
- Smirnov, V.O.; Khomutova, Y.A.; Ioffe, S.L. Six-membered cyclic nitronates as Brönsted bases: Protonation and rearrangement into butyrolactone oximes. Mendeleev Commun. 2008, 5, 255–257. [Google Scholar] [CrossRef]
- Kiprianov, A.I.; Verbovskaya, T.M. Condensation of ethyl nitroacetate with o-aminophenyl mercaptan. Zh. Obshch. Khim. 1961, 31, 531–537. [Google Scholar]
- Kiprianov, A.I.; Verbovskaya, T.M. Condensation of nitroacetone, nitroacetophenone and nitroacetonitrile with o-aminophenyl mercaptan. Zh. Obshch. Khim. 1962, 32, 3703–3707. [Google Scholar]
- Dighe, S.U.; Mukhopadhyay, S.; Priyanka, K.; Batra, S. Metal-free oxidative nitration of α-carbon of carbonyls leads to one-pot synthesis of thiohydroximic acids from acetophenones. Org. Lett. 2016, 18, 4190–4193. [Google Scholar] [CrossRef]
- Bachman, G.B.; Goldmacher, J.E. Conversion of carboxylic acids to amines and their derivatives. J. Org. Chem. 1964, 29, 2576–2579. [Google Scholar] [CrossRef]
- Aksenov, A.V.; Smirnov, A.N.; Aksenov, N.A.; Bijieva, A.S.; Aksenova, I.V.; Rubin, M. Benzimidazoles and benzoxazoles via the nucleophilic addition of anilines to nitroalkanes. Org. Biomol. Chem. 2015, 13, 4289–4295. [Google Scholar] [CrossRef]
- Aksenov, A.V.; Aksenov, N.A.; Kirilov, N.K.; Skomorokhov, A.A.; Aksenov, D.A.; Kurenkov, I.A.; Sorokina, E.A.; Nobi, M.A.; Rubin, M. Does electrophilic activation of nitroalkanes in polyphosphoric acid involve formation of nitrile oxides? RSC Adv. 2021, 11, 35937–35945. [Google Scholar] [CrossRef]
- Katritzky, A.R.; Rubio, O.; Awartani, R. A novel preparation of the 1,3-benzoxazepine ring system. Heterocycles 1984, 22, 1155–1159. [Google Scholar] [CrossRef]
- Hirao, S.; Kobiro, K.; Sawayama, J.; Saigo, K.; Nishiwaki, N. Ring construction via pseudo-intramolecular hydrazonation using bifunctional δ-keto nitrile. Tetrahedron Lett. 2012, 53, 82–85. [Google Scholar] [CrossRef]
- Dauzonne, D.; Demerseman, P.; Royer, R. Sur la reactionentre le chlorure de pyridinium et les nitroalcanes primaires. Bull. Soc. Chim. Fr. 1980, 11–12, 601–608. [Google Scholar]
- Berrier, C.; Brahmi, R.; Carreyre, H.; Coustard, J.M.; Jacquesy, J.C. Nitronate anions as precursors of hydroxynitrilium ion equivalents in electrophilic aromatic substitution—A novel route to oximes. Tetrahedron Lett. 1989, 30, 5763–5766. [Google Scholar] [CrossRef]
- Ohwada, T.; Yamagata, N.; Shudo, K. Friedel-Crafts-type reactions involving di- and tricationic species. Onium-allyl dications and O,O-diprotonated aci-nitro species bearing a protonated carbonyl group. J. Am. Chem. Soc. 1991, 113, 1364–1373. [Google Scholar] [CrossRef]
- Coustard, J.-M.; Jacquesy, J.-C.; Violeau, B. Direct carbohydroximoylation of aromatics with primary nitroalkanes in triflic acid (TFSA). Tetrahedron Lett. 1992, 33, 8085–8086. [Google Scholar] [CrossRef]
- Coustard, J.-M.; Jacquesy, J.C.; Violeau, B. Hydroxynitrilium ions as intermediates in the reaction of nitroderivatives with aromatics. Tetrahedron Lett. 1991, 32, 3075–3078. [Google Scholar] [CrossRef]
- Aksenov, A.V.; Aksenov, N.A.; Nadein, O.N.; Aksenova, I. V, Nitromethane in polyphosphoric acid—A new reagent for carboxyamidation and carboxylation of activated aromatic compounds. Synth. Commun. 2012, 42, 541–547. [Google Scholar] [CrossRef]
- Aksenov, A.V.; Aksenov, N.A.; Nadein, O.N.; Aksenova, I.V. Nitroethane in polyphosphoric acid: A new reagent for acetamidation and amination of aromatic compounds. Synlett 2010, 2010, 2628–2630. [Google Scholar] [CrossRef]
- Nakamura, S.; Sugimoto, H.; Ohwada, T. Formation of 4H-1,2-benzoxazines by intramolecular cyclization of nitroalkanes. scope of aromatic oxygen-functionalization reaction involving a nitro oxygen atom and mechanistic insights. J. Am. Chem. Soc. 2007, 129, 1724–1732. [Google Scholar] [CrossRef] [PubMed]
- Takahashi, K.; Kaji, E.; Zen, S. A novel ring transformation of 3, 5-bis(methoxycarbonyl)-4-phenyl-2-isoxazoline-2-oxides into 2-methoxycarbonyl-1-oxido-3H-indole-3-acetates. Chem. Pharm. Bull. 1985, 33, 8–15. [Google Scholar] [CrossRef]
Disclaimer/Publisher’s Note: The statements, opinions and data contained in all publications are solely those of the individual author(s) and contributor(s) and not of MDPI and/or the editor(s). MDPI and/or the editor(s) disclaim responsibility for any injury to people or property resulting from any ideas, methods, instructions or products referred to in the content. |
© 2023 by the author. Licensee MDPI, Basel, Switzerland. This article is an open access article distributed under the terms and conditions of the Creative Commons Attribution (CC BY) license (https://creativecommons.org/licenses/by/4.0/).
























