Abstract
Spirooxindoles occupy an important place in heterocyclic chemistry. Many natural spirooxindole-containing compounds have been identified as bio-promising agents. Synthetic analogs have also been synthesized utilizing different pathways. The present article summarizes the recent development of both natural and synthetic spirooxindole-containing compounds prepared from isatin or its derivatives reported in the last five years. The spirooxindoles are categorized based on their mentioned biological properties.
1. Introduction
Spirocyclic compounds occupy a unique place within organic chemical compounds due to their rigidity and 3D-geometrical structure. A. Pictet and T. Spengler (1911) reported the first spiro-analog intermediate. Among all spirocyclic compounds, spiroindole-containing compounds represent an important branch of this class. This is attributed to the versatile biological properties established by diverse natural and synthetic analogs that may originate from the C-2 or C-3 indolyl ring with many heterocycles affording various motifs [1] (Figure 1).
Figure 1.
Natural C-2 and C-3 spiroindole-containing compounds.
Cipargamin (NITD609) and MI-888 are good representatives of these compounds which are under clinical studies for consideration as antimalarial and antitumor drugs, respectively. Cipargamin is capable of inhibiting the synthesized protein in Plasmodium falciparum. MI-888 is capable of inhibiting p53–MDM2 with high efficacy against human cancers [2]. MI-219 also revealed potent inhibitory properties against MDM2 protein with apoptosis induction in cancer cells and safe behavior towards normal cells. SOID-8 is an effective agent against melanoma capable of STAT3 (transcription 3) and JAK-2 (Janus-activated kinase-2) inhibition (Figure 2) [3].
Figure 2.
Cipargamin (NITD609), MI-888, MI-219 and SOID-6 representatives of potent biologically active spirooxindoles.
The unique chemical and bio-properties of spiroindolyl-containing alkaloids have attracted the great attention of many researchers. Many review articles have mentioned the synthetic protocols and bio-properties associated with compounds possessing this scaffold within the last few decades [1,2,3,4,5,6,7]. This study summarizes the important recent development of either naturally isolated or synthetically prepared spirooxindole-containing compounds within the last five years (2018–2022) based on their biological properties.
2. Natural Spiroindoles Isolated from Plants and Microorganisms
The whole plant of Flueggea virosa is used in Chinese folk medicine against rheumatism, cephalic eczema, pruritus, and injuries. Flueindoline C 1 was isolated from the ripe fruits of Flueggea virosa (extracted by 95% ethanol and purified by silica gel column chromatography) [8]. Other spirooxindole derivatives 2 and 3 were isolated from the Datura metel L. seeds (extracted by 95% ethanol) (Figure 3). Spectroscopic techniques including UV, IR, 1D-, 2D-NMR, and mass spectroscopy (HRESIMS), in addition to electronic circular dichroism, supported the structures of 2 and 3. Significant antiproliferative properties were observed compared to the reference drug 5-Fluorouracil (IC50 = 29.34, 24.3, 20.37; 18.97, 32.82, 47.63; 6.73, 19.38, 10.39 μM for compounds 2, 3, and 5-Fluorouracil against HepG2 “hepatoma”, MCF-7 “breast”, and SGC-7901 “adenocarcinoma” human cancer cell lines, respectively) [9].
Figure 3.
Flueindoline C 1 isolated from the ripe fruits of Flueggea virosa and spiroindoles 2, 3 from Datura metel L. seeds.
Spirooxindole alkaloids 4–7 were isolated from the leaves of Malaysian Mitragyna speciosa (Kratom) (Figure 4). Promising binding affinities with μ-opioid were noticed by compounds 4 and 5 relative to that of Morphine (Ki = 16.4, 109.8, 789.4, 1715.9, 4.19 nM for compounds 4–7 and Morphine, respectively) [10].
Figure 4.
Spirooxindole alkaloids 4–7 isolated from the leaves of Malaysian Mitragyna speciosa (Kratom).
The stems and barks of Nauclea officinalis are traditionally used in China as folk medications due to their anti-inflammatory and antimicrobial properties. Spirooxindoles (2S,3S)-javaniside 8, naucleoxoside A 9, and naucleoxoside B 10 were isolated and identified as the active constituents of Nauclea officinalis (78% ethanol extract of the stem) (Figure 5). Mild inhibitory properties of nitric oxide production by LPS (lipopolysaccharide) in RAW 264.7 cells were revealed (% inhibition = 59.1, 76.6, 144.7, and 12.3 for compounds 8, 9, 10, and Dexamethasone, respectively). However, no antimicrobial properties were observed against bacterial (S. aureus, E. coli, K. pneumonia, P. aeruginosa) and fungal strains (C. neoformans var. gattii, C. albicans, C. tropicalis, A. fumigatus). In addition, these compounds did not show antiproliferation properties (MTT assay, up to 100 μg/mL) against HepG-2, SKOV3, HeLa, SGC 7901, MCF-7, and KB carcinoma cell lines [11].
Figure 5.
Spirooxindoles (2S,3S)-javaniside 8, naucleoxoside A 9, and naucleoxoside B 10 isolated from the stem of Nauclea officinalis.
For a long time in China, the stem of Gardneria multiflora has been used for treating pain, herpes, eczema, snake bites, and food poisoning. Monoterpenoid indole alkaloids 11–14 were identified from the leaves and stems of this plant (extracted by 95% EtOH and purified by silica gel column chromatography) (Figure 6) [12].
Figure 6.
Monoterpenoid indoles 11–14 isolated from the leaves and stems of Gardneria multiflora.
Spirooxindole metabolites 15–19 were isolated from the marine fungus Penicillium janthinellum HK1–6 (Figure 7). None of the isolated compounds reveal considerable antibacterial properties against Gram-positive (S. aureus, E. faecalis, E. faecium) and Gram-negative (E. coli) bacterial strains [13].
Figure 7.
Spirooxindoles 15–19 isolated from the marine fungus Penicillium janthinellum HK1–6.
3. Synthetic Spirooxindoles
3.1. Antibacterial and Antifungal Spirooxindoles
A variety of 3-spirocyclopropyl-2-oxindoles 21 were synthesized through the methyleneindolinones 20 with the appropriate aromatic aldehyde and TsNHNH2 in MeCN. The reaction was assumed to take place via the formation of the corresponding hydrazone due to the reaction of an aromatic aldehyde with TsNHNH2 which afforded the aryl-diazomethane in presence of K2CO3. The latter due to the interaction with 20 finally furnished the spirooxindoles 21 (Scheme 1). Some of the targeted agents showed promising antibacterial properties. The most potent was 21d (R = Br, Ar = 3-C6H4-O-CH2-Ph) revealing considerable antimicrobial properties relative to Ciprofloxacin against Gram-positive (MIC = 0.49, 0.007; 0.24, 0.007 μM for 21d and Ciprofloxacin against S. pneumonia and B. subtilis, respectively) and mild behavior against Gram-negative bacteria (MIC = 7.88, 6.88; 3.9, 0.49 μM for 21d and Ciprofloxacin against P. aeruginosa and E. coli, respectively) [14].
Scheme 1.
Synthesis of 3-spirocyclopropyl-2-oxindoles 21.
A series of spiro[indoline-3,4′-pyrans] 27/28 was synthesized via multicomponent reaction of 5-sulfonylisatins 22, malononitrile/ethyl cyanoacetate 23, and β-ketoester/β-diketone 25/26 in stirring methanol containing piperidine (basic catalyst) at room temperature (Scheme 2). The reaction was assumed to proceed through 3-cyanomethylidene-2-oxindoles 24 intermediacy followed by the addition of 25/26, finally affording the corresponding spiro-compounds 27/28. Independent synthesis of the spiro derivatives 27/28 through the reaction of 24 with 25/26 under similar reaction conditions supported the proposed reaction sequence. Some of the synthesized agents revealed promising antibacterial (Gram-positive “E. faecalis, S. aureus” Gram-negative “E. coli, S. typhi”) and antifungal (C. albicans, A. brasiliensis) properties comparable with the standard referenced drugs Tetracycline and Amphotericin. Compounds 27f,h and 28a,c,e,f,g are the most potent against Staphylococcus aureus with considerable gyrase inhibitory properties (IC50 = 18.07–27.03 μM) relative to that of Ciprofloxacin (IC50 = 26.43 μM) [15].
Scheme 2.
Synthesis of spiro[indoline-3,4’-pyrans] 27 and 28.
The spiro[indoline-3,2′-[1,3,4]oxadiazols] incorporated pyridinyl heterocycle 30 was obtained through cyclization of the appropriate hydrazones 29 in refluxing acetic anhydride (Scheme 3). Considerable antibacterial (B. Subtilis, S. aureus, E. coli, S. typhi) properties were noticed by the synthesized agents relative to Gentamicin. Additionally, antifungal (C. albicans, C. oxysporum, A. Flavus, A. niger) properties were exhibited by the spiro-compounds compared with Fluconazole. The most effective agent synthesized was that with R = Cl (MIC = 12.5 μg/mL against B. subtilis and E. coli for both the effective agent synthesized and Gentamicin; MIC = 12.5 μg/mL against C. oxysporum for both the effective agent synthesized and Fluconazole) [16].
Scheme 3.
Synthesis of spiro[indoline-3,2’-[1,3,4]oxadiazols] 30.
Spiro-β-lactam-oxindoles 31 were obtained through [2+2] cycloaddition of isatin-imines with aryloxy acetic acid (Scheme 4). All the synthesized agents revealed weak antibacterial properties (>200 μM) against E. coli, P. aeruginosa, and S. aureus [17].
Scheme 4.
Synthesis of spiro-β-lactam-oxindoles 31.
The spiro[indoline-3,3′-pyrazoline]-2-ones 33 and spiro[indoline-3,4′-pyrimidin]-2-ones 34 were obtained through reaction of 3-(2-oxo-2-ethylidene)-2-indolinones 32 with hydrazine hydrate in refluxing ethanol containing Et2NH or thiourea in refluxing ethanolic KOH, respectively (Scheme 5). Promising antibacterial properties were noticed against B. subtilis (MIC = 0.348–1.809 mM) and S. aureus (MIC = 0.044–0.226 mM) relative to Imipenem (standard reference, MIC = 0.026, 0.026 mM against B. subtilis and S. aureus, respectively) [18].
Scheme 5.
Synthesis of spiro[indoline-3,3’-pyrazoline]-2-ones 33 and spiro[indoline-3,4’-pyrimidin]-2-ones 34.
Analogously, a series of 34 was obtained through a multicomponent reaction of phenacylidenetriphenylphosphoranes 35 with isatins and thiourea in refluxing tetrahydrofuran (Scheme 6). Some of the synthesized agents revealed promising antimicrobial properties against Gram-positive (S. aureus and B. subtilis) and Gram-negative (E. coli and P. aeruginosa) bacteria. The compound with X/Y/Z = F/Cl/H was the most effective hit obtained (zone of growth inhibition = 13.5, 14.0, 8.5, 9.0; 20.3, 26.0, 19.6, 15.6 mm for the effective hit synthesized and Gentamicin against S. aureus, B. subtilis, E. coli, and P. aeruginos, respectively) [19].
Scheme 6.
Synthesis of spiro[indoline-3,4’-pyrimidin]-2-ones 34.
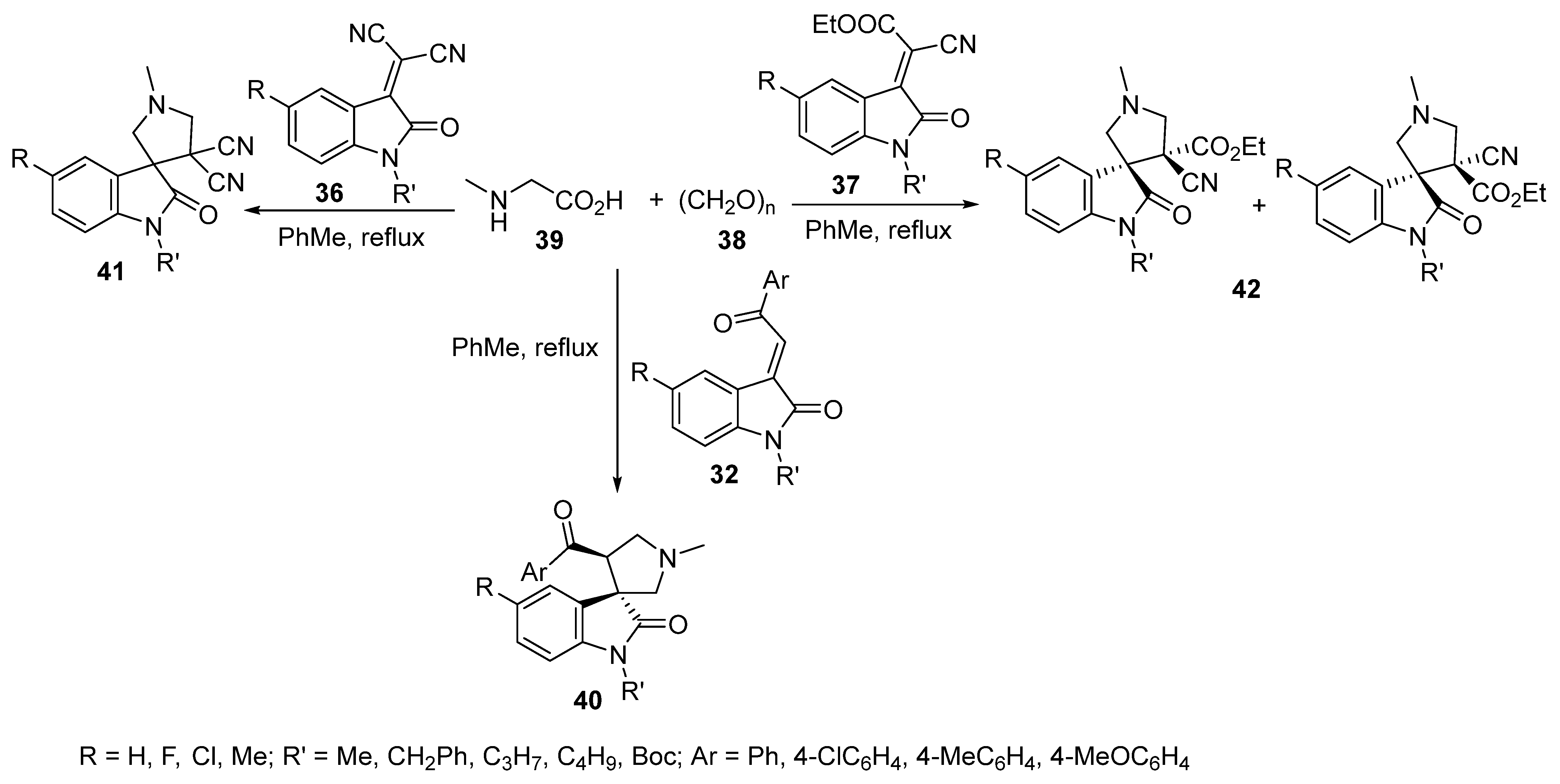
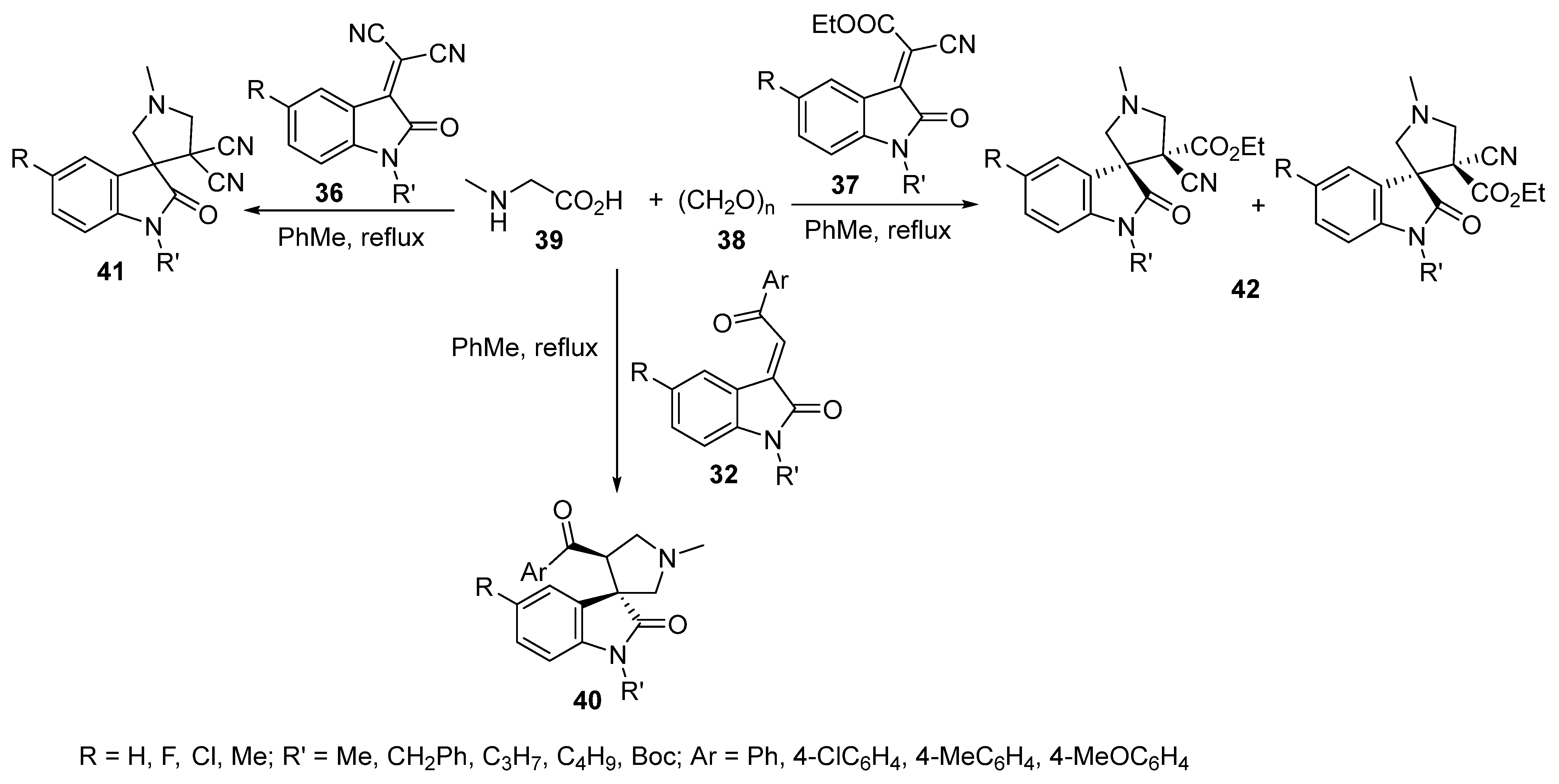
A variety of spiro[indoline-3,3′-pyrrolidines] 40–42 was obtained in excellent yields through azomethine cycloaddition of 3-methyleneoxindolines 32/36/37 with azomethine ylide (obtained through condensation of paraformaldehyde 38 and sarcosine 39) in refluxing toluene (Scheme 7). Mild to weak antibacterial (Gram-positive, S. aureus and Gram-negative, E. coli“ MIC = 250–1000 μg/mL) properties were observed by some of the synthesized agents [20].
Scheme 7.
Synthesis of spiro[indoline-3,3’-pyrrolidines] 40–42.
A series of spirooxindolopyrrolidines 47 and 48 was prepared through dipolar cycloaddition of β-nitrostyrenes 43 and azomethine ylides (obtained from the condensation of isatin 44 and tryptophan 45 or L-histidine 46) in different organic solvents (Scheme 8). Enhanced/higher yields were observed upon considering ionic liquid ([bmim]Br, 1-butyl-3-methylimidazolium bromide) compared with the conventional solvents. Some of the synthesized agents revealed antifungal properties, of which 47 is the most notable, against C. albicans (MIC = 4–16 μg/mL) with inhibition of fungal hyphae and biofilm formation [21].
Scheme 8.
Synthesis of spirooxindolopyrrolidines 47 and 48.
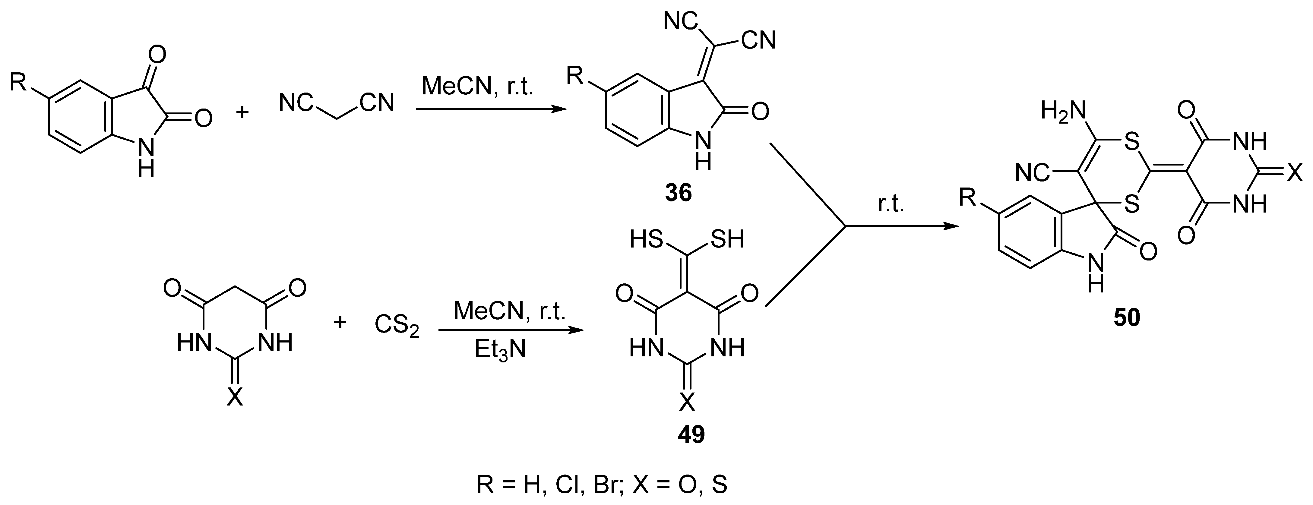
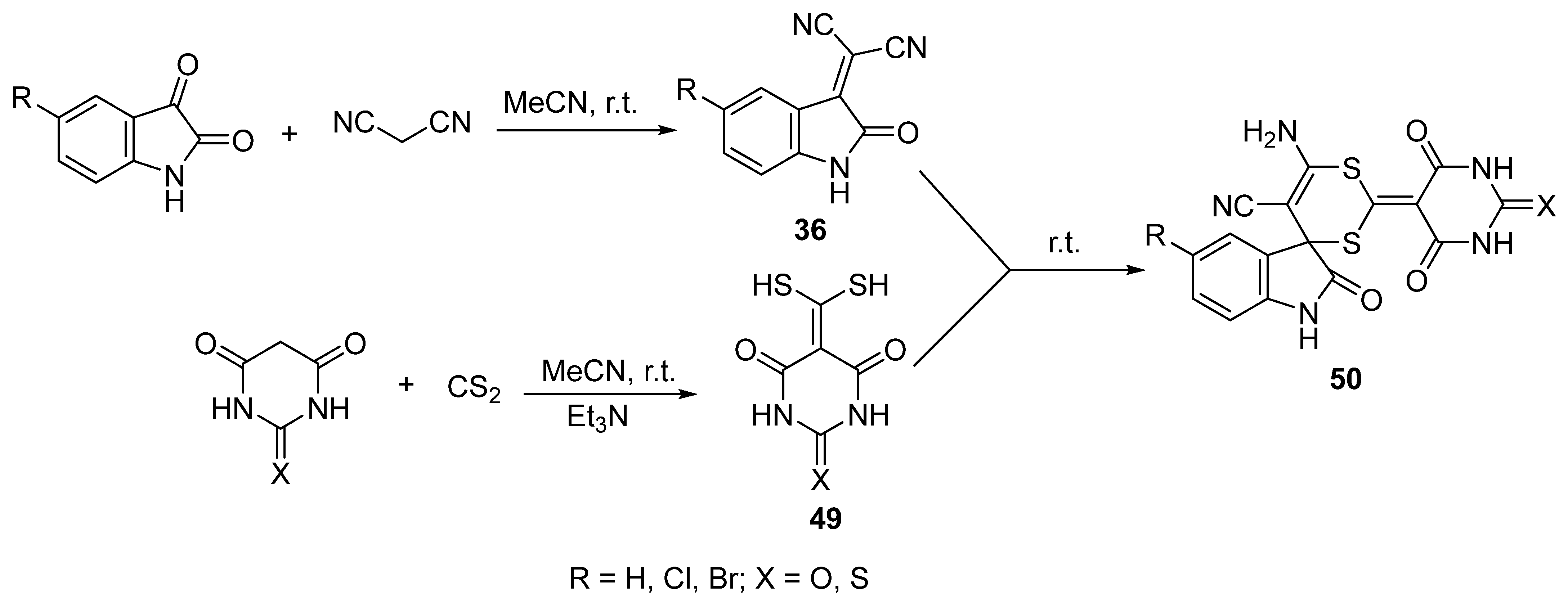
A series of spiro[indoline-3,4′-[1,3]dithiines] 50 was obtained through a reaction of 3-methyleneoxindolines 36 (obtained from the reaction of the appropriate isatin and malononitrile in MeCN) and 5-(dimercaptomethylene)barbituric or thiobarbituric acid 49 (obtained through the reaction of barbituric/thiobarbituric acid, CS2, and triethylamine in MeCN) (Scheme 9). The same products were also obtained by utilizing magnetic nanoparticles (Fe3O4@gly@CE) as a recyclable catalyst. Some of the synthesized agents showed considerable inhibitory properties against Gram-positive (S. fradiae, S. pyogenes, S. agalactiae, S. equinus, S. aureus, S. epidermidis, B. cereus, B. thuringiensis, R. equi) and Gram-negative (A. baumannii, P. aeruginosa, K. pneumoniae, E. coli, S. dysenteriae, P. mirabilis, S. enterica, Y. enterocolitica) bacterial strains, as well as fungal strains (A. fumigatus, C. albicans, F. oxysporum). The synthesized agents with barbituric acid revealed better antimicrobial properties than those with thiobarbituric acid. The most promising agent is that with R = Cl, X = O relative to Gentamicin and Terbinafine (standard antibacterial and antifungal references, respectively; MIC = 8 μg/mL for the synthesized agent and Gentamicin against E. coli; MIC = 8, 32 μg/mL for the synthesized agent and Terbinafine against both A. fumigatus and C. albicans, respectively) [22].
Scheme 9.
Synthesis of spiro[indoline-3,4’-[1,3]dithiines] 50.
3.2. Antimycobacterial Spirooxindoles
Tuberculosis is one of the most severe infectious diseases threatening human life. Mycobacterium tuberculosis is a pathogenic bacterial microorganism responsible for infectious diseases. Although different therapeutics have been developed and clinically approved, novel agents are still in demand. This is due to the side effects of the used medications and drug resistance strains discovered [23].
A series of spiro[indoline-3,2′-thiazolidine]-2,4′-diones 52 was prepared through the oxidation reaction of spiroindoles 51 by mCPBA in CHCl3 (Scheme 10). Some of the synthesized agents revealed promising inhibitory properties against MptpB (M. tuberculosis protein tyrosine phosphatase B) which possess a controlling role in the immune system useful for the treatment of the disease. The nitro-substituted indole-containing compounds were the most potent hits synthesized (IC50 = 1.2 μM of Ar = 3,4-F2C6H3, R = H, R’ = 4-NO2) [24].
Scheme 10.
Synthesis of spiro[indoline-3,2’-thiazolidine]-2,4’-dione 52.
A variety of spiro[indoline-3,2′-thiazolidines] 54 was synthesized through the microwave-assisted synthetic reaction of isatin-3-imines 53 with thioglycolic acid in DMF using ZrSiO2 (Scheme 11). Anti-mycobacterial properties against M. tuberculosis were noticed for the synthesized agents. The most potent is that of R = NO2, X = O (IC50 = 12.5 μg/mL) relative to that of Isoniazid (standard reference, IC50 = 0.2 μg/mL) [25].
Scheme 11.
Synthesis of spiro[indoline-3,2’-thiazolidines] 54.
Isoniazid-spirooxindoles 56 were obtained through a reaction of spiro[benzo[e]pyrazolo [1,5-c][1,3]oxazine-5,3’- indolins] 55 with chloroacetyl chloride and isoniazid (Scheme 12). Compound 56 with R= 4-Cl, R’ = Cl is the most effective agent (MIC = 12.5 μg/mL) synthesized relative to isoniazid (MIC = 0.2 μg/mL) against M. tuberculosis H 37 Rv [26].
Scheme 12.
Synthesis of Isoniazid-spirooxindoles 56.
Anti-mycobacterial properties by spiro[indoline-3,2′-[1,3,4]oxadiazols] 30 (Scheme 3) against M. tuberculosis were also noticed. The most promising are those with halogen-substituted indolyl heterocycle (R = Br and Cl, IC50 = 6.25 μg/mL) relative to Ciprofloxacin (IC50 = 3.12 μg/mL) [17].
3.3. Antiviral Spirooxindoles
The dispiro[indoline-3,2′-pyrrolidine-3′,3″-piperidines] 58 incorporated alkylsulfonyl group attached at the piperidinyl nitrogen were synthesized through regioselective azomethine cycloaddition (obtained through condensation of isatins and sarcosine) with 3,5-bis(ylidene)-4-piperidones 57 (Scheme 13). Some of the synthesized agents revealed promising antiviral properties against SARS-CoV-2 with considerable safety behavior towards the host cell (IC50 = 7.687, CC50 = 262.5 μM, selectivity index = 34.1 for the compound with R = 4-FC6H4, R’ = Et, R″ = Cl). SARS-CoV-2 is the virus which caused a global pandemic (at the end of 2019), affecting and threatening millions of human lives. Intensive research studies for effective drugs are still one of the hot topics of scientific society [27].
Scheme 13.
Synthesis of dispiro[indoline-3,2’-pyrrolidine-3’,3″-piperidines] 58.
A series of spiro[[1,2,3]triazolo [4,5-b]pyridine-7,3′-indolines] 60 was synthesized through reaction of the substituted aminotriazoles 59, isatin derivatives, and Meldrum’s acid in acetic acid at 100 °C followed by selective N-alkylation of the oxindole fragment (Scheme 14). Antiviral properties of the synthesized agents were noticed against Dengue virus (DENV) infection (IC50 = 0.78, 0.16, 0.035 μM against DENV-1, -2 and -3, respectively, for the compound with R = CH2CH2CH(Me)2). Dengue is a viral disease widely spread in many tropical and subtropical regions. Female Aedes mosquitoes are responsible for the distribution of this disease. Fever and pain are the main symptoms, similar to that of flu infection [28].
Scheme 14.
Synthesis of spiro[[ 1,2,3]triazolo[4,5-b]pyridine-7,3’-indolines] 60.
3.4. Anticancer Spiroindoles
Cancer is one of the most deadly diseases threatening several millions of human lives every year. Chemotherapeutical approaches represent one of the major options besides radiotherapy, immunotherapy, and surgery for cancer treatment. Although advances have been achieved in discovering many chemotherapeutical agents, ideal therapeutics (high efficacy with limited side effects) are unreachable. Progress in research directed toward novel bioactive agents is still encouraged [29,30].
The MDM2 (human murine double minute-2) is an important target for cancer therapy. It is a cellular inhibitor for p53 (tumor suppressor). Overexpression of MDM2 was exhibited in many cancer types with wild p53. Due to protein–protein interaction, MDM2 is capable of p53 inhibition (negative regulation through direct binding or ubiquitination/degradation); it is considered a highly attractive target for developing antitumor active agents. The p53 has a circular role in cancer cell apoptosis. In other words, p53 inactivation is an important factor for cancer progression that may be achieved by blocking the interaction of MDM2-p53 [31,32]. Some spiroindole-containing compounds were discovered as MDM2-p53 inhibitors which are entered into human clinical trials (Figure 8) [33].
Figure 8.
MDM2-p53 inhibitors entered in human clinical trials.
Azomethine cycloaddition derived from amino acid derivative 61 in MeOH under microwave irradiation at 100 °C with isatin afforded the spirooxindole derivative 62 as a racemic mixture followed by a reductive amination reaction with cyclopropane carboxaldehyde and then N-arylation of lactam in Buchwald coupling conditions, with p-bromobenzoate giving the final target spirooxindole 63 (Scheme 15). Promising efficacy was noticed towards MDM2-p53 and SJSA-1 (p53 wild-type osteosarcoma) (IC50 = 161 nM) [34].
Scheme 15.
Synthesis of spirooxindole derivative 63.
A series of spiropyrazoline-oxindole 66 was prepared through nitrilimine cycloaddition of 3-ylidene-2-indolinones 64 with hydrazonyl chlorides 65 in acetonitrile in presence of Et3N (sealed tube at 90 °C). Compounds 67 were obtained through the hydrolysis of the corresponding 66 followed by amination (Scheme 16). Some of the synthesized analogs revealed promising antiproliferation properties against SJSA-1 (osteosarcoma), LNCaP (prostate), and MCF-7 (breast) cancer cell lines with the ability to dually inhibit MDM2-P53 and MDM4-p53 protein–protein interactions (IC50 = 26.1, 219.0; 35.9, 57.4 nM for MDM2-p53, MDM4-p53 corresponding to compounds 67 with R = 6-Cl, R’ = 3-OH, R″ = 4-ClC6H4, R′′′ = 3-(3-phenyl-1H-pyrazol-1-yl)phenyl and R = 6-Cl, R′ = 3-OH, R″ = 4-ClC6H4, R′′′ = 3-(1H-pyrazol-1-yl)phenyl, respectively) [35].
Scheme 16.
Synthesis of spiropyrazoline-oxindole 66 and 67.
Spirooxindoles 69 were synthesized through azomethine (obtained from the condensation of isatins with different amino acids in refluxing methanol) cycloaddition with 3-(2-pyrrolidinyl)-2-propen-1-ones 68 (Scheme 17). The proposed approach of amino acid to the olefinic linkage was mentioned for the regio- and stereoselectivity of the obtained products. Quantum chemical calculations by DFT (density functional theory) were conducted as supporting elements for the selectivity observations. Antiproliferation properties against diverse human cell lines were explored through the US-NCI program. Some of the synthesized agents revealed MDM2 inhibitory properties [KD “MDM2 binding by microscale thermophoresis” = 1.13 μM for the most effective agent synthesized with R’ = Cl, R= 3-NO2, amino acid = (2S,3aS,7aS)-octahydro-1H-indole-2-carboxylic acid] [36].
Scheme 17.
Synthesis of spirooxindoles 69.
Analogously, compounds 70 were obtained in a similar synthetic protocol utilizing furyl-containing chalcones. Some of the synthesized agents exhibited potent antitumor properties against MCF-7 (breast) and HepG2 (liver) cancer cell lines (IC50 = 4.3, 6.9; 4.7, 11.8, 17.8, 10.3 μM for 70a, 70b, and Staurosporine, respectively) [37] (Scheme 18).
Scheme 18.
Synthesis of spirooxindoles 70.
Nitroisoxazole-containing spirooxindoles 71 were synthesized through the reaction of 5-styrylisoxazole and isatinimines in MeCN in the presence of DBU (Scheme 19). Some of the synthesized agents (71a and 71b) exhibited noticeable antitumor properties against MCF-7 cell line with suppression of MDM2-mediated degradation of p53 [38].
Scheme 19.
Synthesis of nitroisoxazole-containing spirooxindoles 71.
Dispirooxindoles 73 were obtained through a cycloaddition reaction of 5-indolidene-2-chalcogen-imidazolones 72 with azmethine ylide (obtained from the condensation of sarcosine and paraformaldehyde) in refluxing toluene (Scheme 20). Compound 73 with R = Cl, R’ = 4-MeOC6H4, X = S revealed considerable antiproliferative properties against HCT116 p53+/+ and HCT116 p53−/− CC50 = 1.95, 2.35 μM, respectively [39].
Scheme 20.
Synthesis of dispirooxindoles 73.
Spiro[indoline-3,2’-naphthalenes] 74 were obtained by Michael-aldol cascade reaction of 3-ylideneoxindoles and 2-methyl-3,5-dinitrobenzaldehyde in CH2Cl2 in the presence of a bifunctional hydrogen-bonding catalyst followed by treatment with HCl/EtOAc (Scheme 21). Inhibition of MDM2 and CDK4 in glioblastoma cells were noticed by the synthesized agents. Compound 74 with R = 5-Br, R’ = CO2Et is the most potent agent synthesized with IC50 = 4.9, 8.6, 9.5 μM against U87MG, U251, and T98G, respectively [40].
Scheme 21.
Synthesis of spiro[indoline-3,2′-naphthalenes] 74.
Dual inhibitory properties of spirooxindoles bearing sulfonyl function 58 were revealed against VEGFR2 and EGFR [27]. Multi-targeted inhibitors have recently attracted great attention for cancer chemotherapy. This is not only for optimizing effective agents of wide applicability against different types of cancer but also since cancer progression usually depends on several pathways [41]. Some of the synthesized agents revealed high antiproliferative properties (MTT assay). The most potent is that with R = 4-BrC6H4, R’ = Me, R″ = H (IC50 = 3.597, 3.236, 2.434, 12.5 μM against MCF-7 “breast”, HCT116 “colon”, A431 “skin”, and PaCa-2 “pancreatic” cell lines, respectively) relative to 5-fluorouracil (IC50 = 3.15, 20.43, 23.44 μM against MCF-7, HCT116, and A431, respectively) and Sunitinib (IC50 = 3.97, 9.67, 16.91 μM against MCF-7, HCT116, and PaCa-2 cell lines, respectively) [41].
A series of spirooxindoles 77 was prepared through the reaction of isatins with aroylacetonitriles 75 and 5-aminopyrazole 76 in refluxing AcOH/H2O (1:1) (Scheme 22). Promising antiproliferative properties were noticed by some of the synthesized agents (IC50 = 6.9, 11.8; 0.12, 0.62 μM against HepG2 “liver” and PC3 “prostate” cancer cell lines for the promising agent synthesized “R = H; R’ = Ph” and Doxorubicin, respectively). It has been noticed that the promising agent synthesized exhibited a high pro-apoptotic protein Bax level with low anti-apoptotic protein Bcl-2 in HepG2 cells, confirming its impact on apoptosis induction. The same phenomenon was also supported by testing the caspase-3/9 and p53 protein levels [42]. Additionally, the most promising agents discovered against MDA-MB-231 (triple-negative breast) cancer cell line are those with R/R’ = H/Ph and Cl/Ph (IC50 = 6.70 μM for both) relative to Doxorubicin (IC50 = 0.12 μM) which also showed good affinity against caspase-3/9 and p53 protein supporting their capability for apoptosis induction [43].
Scheme 22.
Synthesis of spirooxindoles 77.
Spiro[chroman-2,3′-indoline] 78 was obtained through the reaction of isatin with 2′-hydroxyacetophenone in EtOH containing Et2NH. Meanwhile, the 3-hydroxyindolin-2-one derivative 79 was obtained upon considering 4′-aminoacetophenone instead, which afforded the corresponding imine 80 via condensation with salicylaldehyde. Spiro[indoline-3,3′-pyrazols] 81 were obtained through a reaction of 80 with hydrazines in refluxing EtOH/AcOH (Scheme 23). Promising antiproliferative properties were observed by compounds 78 and 81b (IC50 = 0.68, 0.95, 0.74; 1.28, 1.30, 0.76; 2.87, 2.95, 4.76 μM for compounds 78, 81b, and Imatinib “standard reference” against MCF-7 “breast”, HepG2 “liver”, and HCT116 “colon” cancer cell lines, respectively) with safe behavior against non-cancer cell line WI-38 (IC50 = 204.36, 202.08 μM for compounds 78 and 81b, respectively). Caspase-3 activation of the promising agents synthesized 78 and 81b supported the antiproliferation properties revealed. Compound 81b revealed promising EGFR (epidermal growth factor receptor) inhibitory properties [44].
Scheme 23.
Synthesis of spiro[chroman-2,3’-indoline] 78 and spiro[indoline-3,3’-pyrazols] 81.
Ionic liquid [bmim]Br, mediated (100 °C) azomethine (formed from the condensation of tyrosine and isatins) cycloaddition with β-nitrostyrenes 43 afforded the spiroindole-pyrrolidines 82 (Scheme 24). Some of the synthesized agents revealed mild antiproliferative properties against A549 (alveolar basal epithelial) and Jurkat (acute T-cell lymphoma) cancer cell lines (MTT assay) relative to Camptothecin (standard reference) with caspase-dependent (caspase-3) apoptosis (IC50 = 38.66, 52.79; 50.88, 51.5 μM against A549, Jurkat for the most promising agent synthesized with R = 4-OMe, R’ = OCF3 and Camptothecin, respectively). The chiral configuration of compound 82 was not identified by the authors [45].
Scheme 24.
Synthesis of spiroindole-pyrrolidines 82.
Spiro[indole-3,5′-isoxazoles] 84 were obtained through the reaction of 2-arylindoles and nitroalkenes 83 in HCO2H containing H3PO4 at room temperature (Scheme 25). Some of the synthesized spiro-containing compounds revealed mild antiproliferative properties against BE(2)-C (neuroblastoma) cell line in the MTT assay (% cell viability = 18 for the most promising agents synthesized with R = 2-thienyl, R′ = H, R″ = Ph; R = 2,3-dihydrobenzo[b][1,4]dioxine-6-yl, R′ = H, R″ = 4-MeOC6H4 at 25 μM) [46].
Scheme 25.
Synthesis of spiro[indole-3,5′-isoxazoles] 84.
However, no process of reaction was detected with utilization of nitroalkenes possessing substituent 85 under the same mentioned reaction conditions. As a result, MeSO3H was used instead affording a mixture of the corresponding spiroindoles 86 and 3,3′-bis(1H-indole)methane derivatives 87 [46] (Scheme 26).
Scheme 26.
Synthesis of spiroindoles 86 and 3,3′-bis(1H-indole)methanes 87.
Azomethine cycloaddition of equimolar amounts of chalcones 88, 2-(piperazin-1-yl)ethanamine and isatin in stirring ethanol afforded the corresponding spiro[indoline -3,2′-pyrrolidins] 89 (Scheme 27). The chiral configuration of pyrrolidine ring was not identified and reported by the authors. Some of the synthesized agents revealed considerable antiproliferative properties (MTT assay) against KB cell line (the most potent is the compound with R = Me, IC50 = 6.5 μM) [47].
Scheme 27.
Synthesis of spiro[indoline -3,2′-pyrrolidins] 89.
Thiazolo-pyrrolidine-spirooxoindoles 91 were analogously obtained in good to excellent yields (71–89%) through multicomponent azomethine (obtained from the condensation of isatin and L-thioproline) reaction with indolyl-containing chalcones 90 in boiling MeOH (Scheme 28). The most effective antiproliferative agent is that with R = 4-CF3C6H4 (IC50 = 7.0, 5.5 μM against HCT116 “colon” and HepG2 “liver” cancer cell lines, respectively) relative to that of Cisplatin (IC50 = 12.6, 5.5 μM against HCT116 and HepG2 cancer cell lines, respectively) [48].
Scheme 28.
Synthesis of thiazolo-pyrrolidine-spirooxoindoles 91.
The spirooxindole-pyrrolo-carbazoles 93 were obtained through azomethine (obtained through condensation of benzylamine and isatin) cycloaddition with 2-ylidene-1H-carbazole-1-ones 92 in refluxing dioxane/methanol (1:1) (Scheme 29). Antiproliferative properties were noticed for the synthesized agents. The most potent are those derived from 2-thienylidene-1 H-carbazole-1-ones (IC50 = 14, 13, 15; 15, 14, 16 μM for compounds with R’ = Me, Cl, and H relative to Cisplatin; IC50 = 9, 10 μM against MCF-7 “breast” and A-549 “lung” cancer cell lines, respectively) [49].
Scheme 29.
Synthesis of spirooxindole-pyrrolo-carbazole 93.
A series of spiro[indoline-pyrrolizin]-ones 95 was obtained through azomethine (obtained through isatins and L-proline) cycloaddition with 3-(benzo[7]annulen-8-yl)-2-propen-1-ones 94 in refluxing methanol (Scheme 30). Some of the prepared agents exhibited promising antiproliferative properties against SKNSH (neuroblastoma) cancer cell lines. The most promising agents are those with R/R’/R″ = OMe/H/Cl; OMe/H/I (IC50 = 4.61 and 5.04 μM, respectively) relative to Doxorubicin (IC50 = 6.3 μM) [50].
Scheme 30.
Synthesis of spiro[indoline-pyrrolizin]-ones 95.
Azomethine ylides (generated from the condensation of isatins and 2-S-octahydro-1H-indole-2-carboxylic acid) with 2,6-bis(arylidene)cyclohexanones 96 afforded the corresponding spirooxindoles 97 in good yields (Scheme 31). Some of the prepared agents exhibited mild antiproliferative properties against PC3 (prostate), Hela (cervical), and (MCF-7, MDA-MB231) breast cancer cell lines in MTT assay relative to Doxorubicin (standard reference) (IC50 = 3.7 μM for the compound with R = H, R′ = 6-Cl against PC3, IC50 = 7.1 μM for the compound with R = R′ = H against HeLa relative to IC50 = 1.9, 0.9 μM for Doxorubicin against PC3 and HeLa, respectively) [51].
Scheme 31.
Synthesis of spirooxindoles 97.
Ultrasonic irradiation of isatins, phenacyl bromides, and phenacylidenetriphenylphosphorane 98 in water containing Et3N at 20–30 °C (60 W) afforded the corresponding spirocyclopropaneoxindoles 99 in high yields (Scheme 32). Some of the synthesized compounds revealed promising antiproliferation properties against HeLa (cervical) cancer cell line in the MTT assay (IC50 = 9.30, 4.50; 6.33, 1.86 for the most effective agent synthesized with R = H, R′ = Cl, R″ = [1-(4-bromobenzyl)-1H-1,2,3-triazol-4-yl] and Doxorubicin at 24 h and 48 h, respectively) [52].
Scheme 32.
Synthesis of spirocyclopropaneoxindoles 99.
A series of spiro[chromeno[4,3-b]chromene-7,3′-indolines] 100 and spiro[indeno[2′,1′:5,6]pyrano[3,2-c]chromene-7,3′-indolines] 101 were obtained through eco-friendly synthetic approach through the reaction of isatins, 4-hydroxycoumarin, and 5,5-dimethylcyclohexande-1,3-dione or 1H-indene-1,3(2H)-dione, respectively, in H2O in the presence of p-toluenesulfonic acid (p-TSA.H2O) at room temperature (Scheme 33). Some of the synthesized agents revealed promising antiproliferation properties against (PC-3 and LNCaP) prostate cancer cell lines and alkaline phosphatase inhibitory properties. The most potent agents discovered are 101 derived from 5-bromoisatine (R = H, R′ = Br; IC50 = 0.025 μM) and N-allylisatin (R = allyl, R′ = H; IC50 = 0.25 μM) relative to Bicalutamide (standard reference, IC50 = 1.25, 1.50 μM) against PC3 and LNCaP cell lines, respectively [53].
Scheme 33.
Synthesis of spiro[chromeno[4,3-b]chromene-7,3′-indolines] 100 and spiro[indeno[2′,1′:5,6]pyrano[3,2-c]chromene-7,3′-indolines] 101.
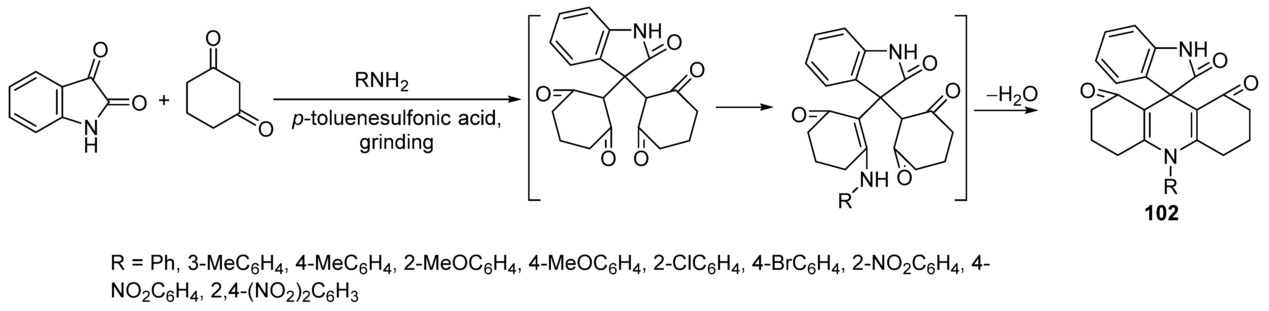
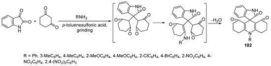
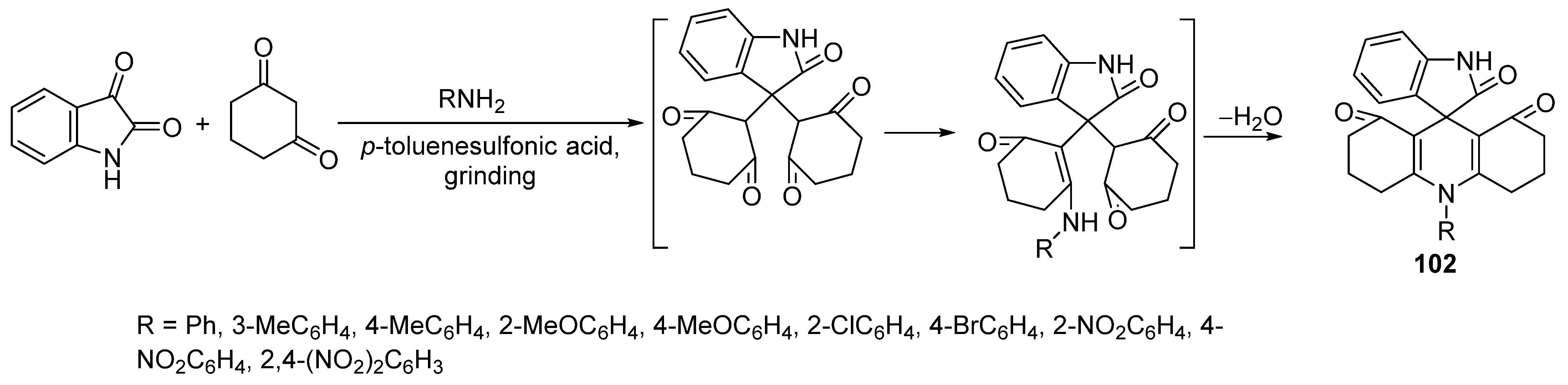
A series of spiro[acridine-9,3′-indolines]-1,2′,8-triones 102 was obtained through multicomponent free solvent reaction (grinding for 3–4 min) of isatin, 1,3-cyclohexanedione, and the appropriate aromatic amine in presence of p-toluenesulfonic acid as a catalyst (Scheme 34). Some of the synthesized compounds revealed promising antiproliferative properties against MCF-7 (breast) cancer cell line (MTT assay). The most promising agent was that of R = 4-MeOC6H4 relative to that of Doxorubicin (GI50/TGI/LC50 = 0.01/0.02/0.71, 0.02/0.21/0.74 μM for the promising synthesized agent and Doxorubicin, respectively) [54].
Scheme 34.
Synthesis of spiro[acridine-9,3′-indolines]-1,2′,8-triones 102.
Spiro[chromene-2,3′-indolin] 104 was obtained through the reaction of 5-(morpholinosulfonyl)isatin 103 with 2′-hydroxyacetophenone in a two-step reaction through addition of methanol containing Et2NH followed by heating (95 °C) in AcOH containing a catalytic amount of HCl. Meanwhile, spirooxindoles 105 and 106 were obtained through reaction of 103 with malononitrile and either pyrazol-5-one or phenols in refluxing methanol containing a catalytic amount of piperidine or NaOAc. In an alternative pathway, compounds 105 and 106 were obtained through reaction of ylidenemalononitrile 107 with either pyrazol-5-one or phenols under the same reaction conditions (Scheme 35). Mild antiproliferative properties were revealed by the synthesized spiro-compounds against HepG-2 (liver), HCT-116 (colon) and MCF-7 (breast) cancer cell lines relative to Doxorubicin (MTT assay) (IC50 = 29.05, 25.31, 33.75; 5.59, 7.03, 4.89 μM against HepG-2, HCT-116, and MCF-7 for compound 97 with R = Ph and Doxorubicin, respectively) [55].
Scheme 35.
Synthesis of spirooxindoles 104, 105, and 106.
Chromium oxide-promoted oxidation of N-[(1-methoxyindol-2-yl)methyl]-N’-(aryl)thioureas 108 afforded the corresponding spiro[indoline-2,5′-[4′,5′]dihydrothiazoles] 109 (Scheme 36). Some of the synthesized agents revealed mild antiproliferative properties against HCT116 (colon), Jurkat (leukemic T cell lymphoma), and MCF-7 (breast) cancer cell lines relative to Cisplatin (standard reference) (IC50 = 33.7, 35.5, 36.9; 15.3, 16.2, 15.6 μM for the synthesized agent with R = 4-CF3 and Cisplatin against HCT116, Jurkat, and MCF-7, respectively) [56].
Scheme 36.
Synthesis of spiro[indoline-2,5′-[4′,5′]dihydrothiazoles] 109.
A group of spirooxindoles 113 was obtained through the reaction of phenacyl bromides 112 with [5-mercapto-1,2,4-triazole-4-ylimino]-2-indolinones 111 in refluxing methanol containing Et3N. The latter were prepared via condensation of isatin with the appropriate 4-amino-1,2,4-triazol-5-thiols 110 in refluxing MeOH containing a catalytic amount of p-toluenesulfonic acid (Scheme 37). Some of the targeted spiro-analogs revealed promising antiproliferative properties against MGC803, a human gastric cell line (IC50 = 9.49 μM) relative to that of 5-fluorouracil (IC50 = 25.54 μM) in MTT assay [57].
Scheme 37.
Synthesis of spirooxindoles 113.
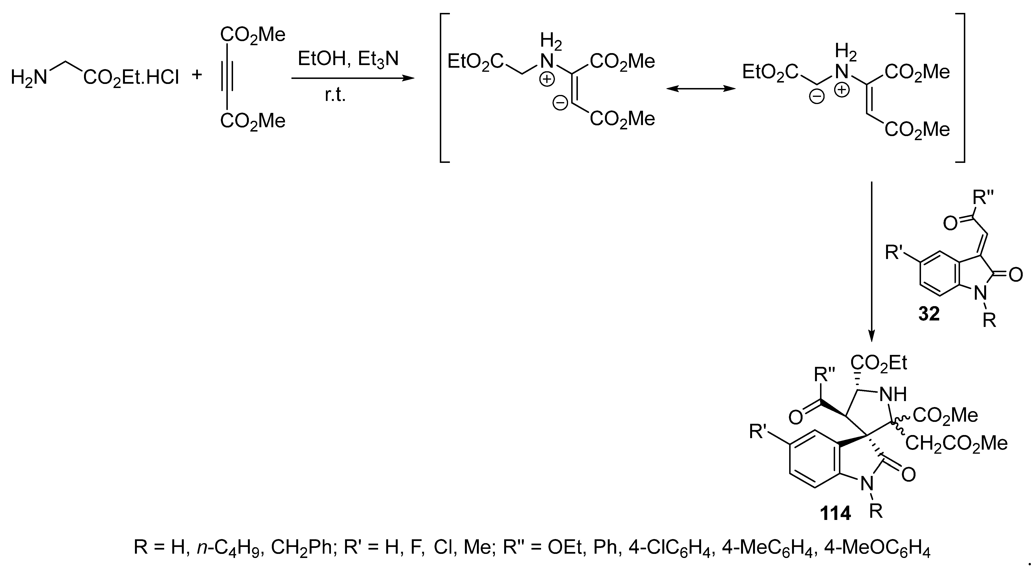
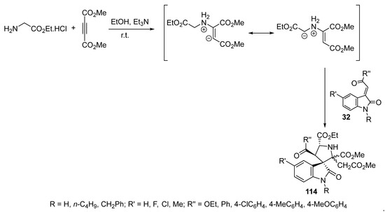
Ylideneoxindoline-2-ones 32 in ethanol containing Et3N at room temperature afforded the corresponding spiro[indoline-3,3′-pyrrolidines] 114 (Scheme 38). Some of the synthesized agents revealed noticeable antiproliferative properties (MTT assay) against HepG2 (liver) and CT26 (colon) cancer cell lines (% cell death = 15.3, 35.39; 50.89, 75.17 for the compound with R = CH2Ph, R′ = F, R″ = 4-MeC6H4 against HepG2 and CT26 at 50 μg/mL, respectively) [58].
Scheme 38.
Synthesis of spiro[indoline-3,3′-pyrrolidines] 114.
3.5. Antimalarial Spirooxindoles
Malaria is one of the most endemic diseases worldwide. This is due to the suitable environment for mosquitoes in tropical and subtropical regions with a high global population. Many parasitic species of protozoa causing this disease have been identified as transmitted to humans through mosquito bites. Although several agents were investigated against malaria (Artemisinin 115, Nobel Prize in Physiology awarded to Professor Youyou Tu due to efforts in its discovery) [59] (Figure 9), there remains a need for newer ones. This is attributed to the resistance observed by some varieties of this parasite [60].
Figure 9.
Artemisinin, antimalarial drug.
Artemisinin and its derivatives are fast-acting agents against the asexual blood stage parasites. Co-administration of artemisinin analog (fast-acting) with a long-acting drug as first-line therapeutics is recommended [61]. Cipargamin (Figure 2) is a promising antimalarial compound in clinical studies as a therapeutic inhibiting blood-stage P. falciparum. This is considered a promising agent to combat the artemisinin resistance parasite [62]. Hepatic safety behavior was achieved through clinical studies (phase II) across wide-range doses [63,64].
A series of spiro[indoline-3,2′-[1,3,4]oxadiazols] 117 were obtained through nitrilimine cycloaddition obtained by dehydrochlorination of hydrazonyl chloride 116 with isatins in CH2Cl2 containing Et3N at room temperature (Scheme 39). Some of the synthesized spirooxindoles reveal promising properties against erythrocytic stage of P. falciparum and the liver-stage of P. berghei. This supports the possibility of developing active agents inhibiting both blood-stage and (P. falciparum) and liver-stage (P. berghei) parasites [65].
Scheme 39.
Synthesis of spiro[indoline-3,2′- [1,3,4]oxadiazol]-2-ones 117.
Spiro[indoline-3,2′-quinolins] 121 and spiro[indoline-3,5′-pyrano[3,2-c]quinolins] 122 were obtained through Povarov reaction taking place from imines 118 (formed from the condensation of substituted anilines and isatin) and alkene-containing compound, trans-isoeugenol 119 or 3,4-dihydro-2H-pyran 120, respectively in CH2Cl2 in presence of BF3.OEt2 (Lewis acid) at room temperature (Scheme 40). Some of the synthesized 121 revealed efficacy against P. falciparum drug-resistant FCR-3 strain (IC50 = 1.52–4.20 μM) relative to that of chloroquine (IC50 = 0.11 μM) through in vivo testing. Meanwhile, compounds 122 revealed activity (IC50 = 1.31–1.80 μM) against P. falciparum drug-sensitive 3D7 strain relative to that of chloroquine (IC50 = 0.0127 μM) [66].
Scheme 40.
Synthesis of Spiro[indoline-3,2′-quinolins] 121 and spiro[indoline-3,5′-pyrano[3,2-c]quinolins] 122.
Mild anti-plasmodial properties were observed by spirooxindoles 124a and 124b, revealing weak properties against the artemisinin-sensitive and resistant P. falciparum strains. Spirooxindoles 124a/b were obtained through a reaction of indolo[8,7-b]indolizine 123 with N-bromosuccinimide (NBS) in AcOH/THF/H2O (1:1:1) at 0 °C to room temperature [67] (Scheme 41).
Scheme 41.
Synthesis of spirooxindoles 124a, 124b.
3.6. Anti-Inflammatory Spirooxindoles
Spirooxindoles 126 were prepared via azomethine (obtained through condensation of isatin and pipecolinic acid) cycloaddition of 3,5-bis(ylidene)-4-piperidones 125 in ionic liquid “[bmim]Br, (1-butyl-3-methylimidazoliumbromide)” at 100 °C (Scheme 42). Some of the synthesized agents showed promising acute and chronic anti-inflammatory properties relative to that of indomethacin with inhibitory observations against PGE2, TNF-α, and nitrite levels (% reduction of TNF-α = 36.23, 38.52, 39.19, 37.13 and % decline in nitrite level = 42.99, 41.22, 44.04, 41.64 for the synthesized compounds with R = 4-MeC6H4, 4-MeOC6H4, 3-NO2C6H4, and indomethacin, respectively) [68].
Scheme 42.
Synthesis of Spirooxindoles 126.
3.7. Antihyperglycemic Spirooxindoles
Multi-component azomethine (formed from isatin and thioproline) cycloaddition with 4-arylidene-5(4H)-oxazolones 127 in refluxing methanol afforded the corresponding spirooxindoles 128 and 129 as a mixture of two diastereoisomers (Scheme 43). Promising antihyperglycemic properties were observed by some of the synthesized agents. Compound 128 with R = 4-MeC6H4 is the most potent (IC50 = 1.76, 4.81 μM against α-amylase from human saliva and α-glucosidase from Saccharomyces cerevisiae, respectively) [69].
Scheme 43.
Synthesis of spirooxindoles 129 and 130.
Spirooxindoles 130 were obtained through azomethine (obtained through condensation of isatin and benzylamine) cycloaddition with chalcones 88 in refluxing methanol (Scheme 44). Some of the synthesized agents revealed AGE (advanced glycation end, which is the formation of sugar-derived substances) inhibitory properties in the BSA (bovine serum albumin) glucose assay, supporting the suitability for diabetes. The most promising agent synthesized is that with R = Ph (IC50 = 11.37 μM) relative to the aminoguanidine “standard reference” (IC50 = 40.54 μM) [70].
Scheme 44.
Synthesis of spirooxindoles 130.
3.8. Anti-Leishmanial Spirooxindoles
Spiro[indoline-3,2′-quinolins] 121 (Figure 10) obtained through Diels–Alder reaction of imines and trans-isoeugenol (Scheme 40) revealed promising anti-leishmanial properties. The most promising is that with R/R’ = Et/H against L. braziliensis, with safe behavior towards mammalian cells viability [71].
Figure 10.
Spiro[indoline-3,2′-quinolins] 121 of promising anti-leishmanial properties.
Spirooxindoles 131 were prepared through cycloaddition of 2,6-bis(ylidend)cyclohexanones and azomethine ylide (formed from the condensation of proline and isatin) (Scheme 45). Few of the synthesized agents revealed anti-leishmanial properties (a compound with Ar = 3-NO2C6H4 is the most effective agent with IC50 = 6.8 μg/mL relative to amphotericin B (IC50 = 0.29 μg/mL) [72].
Scheme 45.
Synthesis of spirooxindoles 131.
4. Conclusions and Future Directions
Development of new potential therapeutics is always a challenge for medicinal chemistry research. Spirooxindoles represent an important class of heterocyclic compounds and have emerged as attractive scaffolds with unique structural architecture and diverse pharmacological properties. Many natural and synthetic compounds have been identified as potential pharmacophores. Even though there have been several important breakthroughs and encouraging results on spirooxindoles as potential therapeutic agents as discussed above, challenges and opportunities remain for medicinal chemistry research. Several investigations on spirooxindole scaffolds were reported and studied in recent years [73,74,75,76,77]. The current compiled synthetic protocols of pharmacologically active spirooxindole scaffolds will provide an efficient platform to create a new generation of potential spirooxindole analogues for various diseases.
Funding
We thank the Augusta University Provost’s office, the Translational Research Program of the Department of Medicine, the Medical College of Georgia at Augusta University. This work was supported financially by National Research Centre, Egypt, project ID: 12060101.
Institutional Review Board Statement
Not applicable.
Informed Consent Statement
Not applicable.
Data Availability Statement
Not applicable.
Acknowledgments
We thank the Department of Chemistry and Physics at Augusta University for its support.
Conflicts of Interest
The authors declare no conflict of interest.
References
- Bariwal, J.; Voskressensky, L.G.; Van der Eycken, E.V. Recent advances in spirocyclization of indole derivatives. Chem. Soc. Rev. 2018, 47, 3831–3848. [Google Scholar] [CrossRef]
- Yu, B.; Yu, D.-Q.; Liu, H.-M. Spirooxindoles: Promising scaffolds for anticancer agents. Eur. J. Med. Chem. 2015, 97, 673–698. [Google Scholar] [CrossRef]
- Ganesh, M.; Suraj, S. Expeditious entry into carbocyclic and heterocyclic spirooxindoles. Org. Biomol. Chem. 2022, 20, 5651–5693. [Google Scholar] [CrossRef] [PubMed]
- Yang, J.; Wang, Y.; Guan, W.; Su, W.; Li, G.; Zhang, S.; Yao, H. Spiral molecules with antimalarial activities: A. review. Eur. J. Med. Chem. 2022, 237, 114361. [Google Scholar] [CrossRef]
- Nasri, S.; Bayat, M.; Mirzaei, F. Recent strategies in the synthesis of spiroindole and spirooxindole scaffolds. Top. Curr. Chem. 2021, 379, 25. [Google Scholar] [CrossRef] [PubMed]
- Bora, D.; Kaushal, A.; Shankaraiah, N. Anticancer potential of spirocompounds in medicinal chemistry: A pentennial expedition. Eur. J. Med. Chem. 2021, 215, 113263. [Google Scholar] [CrossRef] [PubMed]
- Panda, S.S.; Jones, R.A.; Bachawala, P.; Mohapatra, P.P. Spirooxindoles as potential pharmacophores. Mini-Rev. Med. Chem. 2017, 17, 1515–1536. [Google Scholar] [CrossRef]
- Xie, Q.-J.; Zhang, W.-Y.; Wu, Z.-L.; Xu, M.-T.; He, Q.-F.; Huang, X.-J.; Che, C.-T.; Wang, Y.; Ye, W.-C. Alkaloid constituents from the fruits of Flueggea virosa. Chin. J. Nat. Med. 2020, 18, 385–392. [Google Scholar] [CrossRef]
- Liu, Y.; Jiang, H.-B.; Liu, Y.; Algradi, A.M.; Naseem, A.; Zhou, Y.-Y.; She, X.; Li-Li; Yang, B.-Y.; Kuang, H.-X. New indole alkaloids from the seeds of Datura metel L. Fitoterapia 2020, 146, 104726. [Google Scholar] [CrossRef]
- Chear, N.J.-Y.; León, F.; Sharma, A.; Kanumuri, S.R.R.; Zwolinski, G.; Abboud, K.A.; Singh, D.; Restrepo, L.F.; Patel, A.; Hiranita, T.; et al. Exploring the chemistry of alkaloids from Malaysian Mitragyna speciosa (Kratom) and the role of oxindoles on human opioid receptors. J. Nat. Prod. 2021, 84, 1034–1043. [Google Scholar] [CrossRef]
- Wang, G.; Hou, L.; Wang, Y.; Liu, H.; Yuan, J.; Hua, H.; Sun, L. Two new neolignans and an indole alkaloid from the stems of Nauclea officinalis and their biological activities. Fitoterapia 2022, 160, 105228. [Google Scholar] [CrossRef]
- Yang, W.-X.; Chen, Y.-F.; Yang, J.; Huang, T.; Wu, L.-L.; Xiao, N.; Hao, X.-J.; Zhang, Y.-H. Monoterpenoid indole alkaloids from Gardneria multiflora. Fitoterapia 2018, 124, 8–11. [Google Scholar] [CrossRef] [PubMed]
- Zheng, Y.-Y.; Shen, N.-X.; Liang, Z.-Y.; Shen, L.; Chen, M.; Wang, C.-Y. Paraherquamide J, a new prenylated indole alkaloid from the marine-derived fungus Penicillium janthinellum HK1-6. Nat. Prod. Res. 2020, 34, 378–384. [Google Scholar] [CrossRef] [PubMed]
- Pandey, A.; Pandey, A.; Dubey, R.; Kant, R.; Pandey, J. Synthesis and computational studies of potent antimicrobial and anticancer indolone scaffolds with spiro cyclopropyl moiety as a novel design element. J. Ind. Chem. Soc. 2022, 99, 100539. [Google Scholar] [CrossRef]
- Salem, M.A.; Ragab, A.; Askar, A.A.; El-Khalafawy, A.; Makhlouf, A.H. One-pot synthesis and molecular docking of some new spiropyranindol-2-one derivatives as immunomodulatory agents and in vitro antimicrobial potential with DNA gyrase inhibitor. Eur. J. Med. Chem. 2020, 188, 111977. [Google Scholar] [CrossRef] [PubMed]
- Nalini, R.; Basavarajaiah, S.M.; Nagesh, G.Y.; Reddy, K.R. Design, synthesis and biological evaluation of novel isoniazid hybrids. J. Ind. Chem. Soc. 2022, 99, 100273. [Google Scholar] [CrossRef]
- Jarrahpour, A.; Jowkar, Z.; Haghighijoo, Z.; Heiran, R.; Rad, J.A.; Sinou, V.; Rouvier, F.; Latour, C.; Brunel, J.M.; Özdemir, N. Synthesis, in-vitro biological evaluation, and molecular docking study of novel spiro-β-lactam-isatin hybrids. Med. Chem. Res. 2022, 31, 1026–1034. [Google Scholar] [CrossRef]
- Radwan, A.A.; Aanazi, F.K.; Al-Agamy, M.; Mahrous, G.M. Design, synthesis and molecular modeling study of substituted indoline-2-ones and spiro[indole-heterocycles] with potential activity against Gram-positive bacteria. Acta Pharm. 2022, 72, 79–95. [Google Scholar] [CrossRef]
- Pourshab, M.; Asghari, S.; Mohseni, M. Synthesis and antibacterial evaluation of novel spiro[indole-pyrimidine]ones. J. Heterocycl. Chem. 2018, 55, 173–180. [Google Scholar] [CrossRef]
- Huang, Y.; Min, W.; Wu, Q.-W.; Sun, J.; Shi, D.-H.; Yan, C.-G. Facile one-pot synthesis of spirooxindole-pyrrolidine derivatives and their antimicrobial and acetylcholinesterase inhibitory activities. New J. Chem. 2018, 42, 16211–16216. [Google Scholar] [CrossRef]
- Bolous, M.; Arumugam, N.; Almansour, A.I.; Kumar, R.S.; Maruoka, K.; Antharam, V.C.; Thangamani, S. Broad-spectrum antifungal activity of spirooxindolo-pyrrolidine tethered indole/imidazole hybrid heterocycles against fungal pathogens. Bioorg. Med. Chem. Lett. 2019, 29, 2059–2063. [Google Scholar] [CrossRef] [PubMed]
- Moghaddam-Manesh, M.; Sheikhhosseini, E.; Ghazanfari, D.; Akhgar, M. Synthesis of novel 2-oxospiro[indoline-3,4′-[1,3]dithiine]-5′-carbonitrile derivatives by new spiro[indoline-3,4′-[1,3]dithiine]@Cu(NO3)2 supported on Fe3O4@gly@CE MNPs as efficient catalyst and evaluation of biological activity. Bioorganic Chem. 2020, 98, 103751. [Google Scholar] [CrossRef] [PubMed]
- Panda, S.S.; Girgis, A.S.; Mishra, B.B.; Elagawany, M.; Devarapalli, V.; Littlefield, W.F.; Samir, A.; Fayad, W.; Fawzy, N.G.; Srour, A.M.; et al. Synthesis, computational studies, antimycobacterial and antibacterial properties of pyrazinoic acid–isoniazid hybrid conjugates. RSC Adv. 2019, 9, 20450–20462. [Google Scholar] [CrossRef]
- Vintonyak, V.V.; Warburg, K.; Over, B.; Hübel, K.; Rauh, D.; Waldmann, H. Identification and further development of thiazolidinones spiro-fused to indolin-2-ones as potent and selective inhibitors of Mycobacterium tuberculosis protein tyrosine phosphatase B. Tetrahedron 2011, 67, 6713–6729. [Google Scholar] [CrossRef]
- Borad, M.A.; Bhoi, M.N.; Rathwa, S.K.; Vasava, M.S.; Patel, H.D.; Patel, C.N.; Pandya, H.A.; Pithawala, E.A.; Georrge, J.J. Microwave-assisted ZrSiO2 catalysed synthesis, characterization and computational study of novel spiro[indole-thiazolidines] derivatives as anti-tubercular agents, Interdiscip. Sci. Comput. Life Sci. 2018, 10, 411–418. [Google Scholar] [CrossRef]
- Borad, M.A.; Jethava, D.J.; Bhoi, M.N.; Patel, C.N.; Pandya, H.A.; Patel, H.D. Novel isoniazid-spirooxindole derivatives: Design, synthesis, biological evaluation, in silico ADMET prediction and computational studies. J. Mol. Str. 2020, 1222, 128881. [Google Scholar] [CrossRef]
- Fawazy, N.G.; Panda, S.S.; Mostafa, A.; Kariuki, B.M.; Bekheit, M.S.; Moatasim, Y.; Kutkat, O.; Fayad, W.; El-Manawaty, M.A.; Soliman, A.A.F.; et al. Development of spiro-3-indolin-2-one containing compounds of antiproliferative and anti-SARS-CoV-2 properties. Sci. Rep. 2022, 12, 13880. [Google Scholar] [CrossRef]
- Xu, J.; Xie, X.; Ye, N.; Zou, J.; Chen, H.; White, M.A.; Shi, P.-Y.; Zhou, J. Design, synthesis, and biological evaluation of substituted 4,6-dihydrospiro[[1,2,3]triazolo [4,5-b]pyridine-7,3′-indoline]-2′,5(3H)-dione analogues as potent NS4B inhibitors for the treatment of Dengue virus infection. J. Med. Chem. 2019, 62, 7941–7960. [Google Scholar] [CrossRef]
- Youssef, M.A.; Panda, S.S.; Aboshouk, D.R.; Said, M.F.; El Taweel, A.; GabAllah, M.; Fayad, W.; Soliman, A.F.; Mostafa, A.; Fawzy, N.G.; et al. Novel curcumin mimics: Design, synthesis, biological properties and computational studies of piperidone-piperazine conjugates. ChemistrySelect 2022, 7, e202201406. [Google Scholar] [CrossRef]
- Girgis, A.S.; Panda, S.S.; Srour, A.M.; Abdelnaser, A.; Nasr, S.; Moatasim, Y.; Kutkat, O.; El Taweel, A.; Kandeil, A.; Mostafa, A.; et al. 3-Alkenyl-2-oxindoles: Synthesis, antiproliferative and antiviral properties against SARS-CoV-2. Bioorg. Chem. 2021, 114, 105131. [Google Scholar] [CrossRef]
- Wang, S.; Chen, F.-E. Small-molecule MDM2 inhibitors in clinical trials for cancer therapy. Eur. J. Med. Chem. 2022, 236, 114334. [Google Scholar] [CrossRef] [PubMed]
- Kim, M.; Laramy, J.K.; Gampa, G.; Parrish, K.E.; Brundage, R.; Sarkaria, J.N.; Elmquist, W.F. Brain distributional kinetics of a novel MDM2 inhibitor SAR405838: Implications for use in brain tumor therapy. Drug Metab. Dispos. 2019, 47, 1403–1414. [Google Scholar] [CrossRef] [PubMed]
- Wurz, R.P.; Cee, V.J. Targeted degradation of MDM2 as a new approach to improve the efficacy of MDM2-p53 inhibitors. J. Med. Chem. 2019, 62, 445–447. [Google Scholar] [CrossRef] [PubMed]
- Gollner, A.; Weinstabl, H.; Fuchs, J.E.; Rudolph, D.; Garavel, G.; Hofbauer, K.S.; Karolyi-Oezguer, J.; Gmaschitz, G.; Hela, W.H.; Kerres, N.; et al. Targeted synthesis of complex spiro [3H-indole-3,2’-pyrrolidin]-2(1H)-ones by intramolecular cyclization of azomethine ylides: Highly potent MDM2–p53 inhibitors. ChemMedChem 2019, 14, 88–93. [Google Scholar] [CrossRef] [PubMed]
- Espadinha, M.; Lopes, E.A.; Marques, V.; Amaral, J.D.; dos Santos, D.J.V.A.; Mori, M.; Daniele, S.; Piccarducci, R.; Zappelli, E.; Martini, C.; et al. Discovery of MDM2-p53 and MDM4-p53 protein-protein interactions small molecule dual inhibitors. Eur. J. Med. Chem. 2022, 241, 114637. [Google Scholar] [CrossRef] [PubMed]
- Lotfy, G.; Abdel Aziz, Y.M.; Said, M.M.; El Ashry, E.H.; El Tamany, E.H.; Abu-Serie, M.M.; Teleb, M.; Dömling, A.; Barakat, A. Molecular hybridization design and synthesis of novel spirooxindole-based MDM2 inhibitors endowed with BCL2 signaling attenuation; a step towards the next generation p53 activators. Bioorg. Chem. 2021, 117, 105427. [Google Scholar] [CrossRef]
- Altowyan, M.S.; Soliman, S.M.; Haukka, M.; Al-Shaalan, N.H.; Alkharboush, A.A.; Barakat, A. Synthesis, characterization, and cytotoxicity of new spirooxindoles engrafted furan structural motif as a potential anticancer agent. ACS Omega 2022, 7, 35743–35754. [Google Scholar] [CrossRef]
- Liu, S.-J.; Zhao, Q.; Peng, C.; Mao, Q.; Wu, F.; Zhang, F.-H.; Feng, Q.-S.; He, G.; Han, B. Design, synthesis, and biological evaluation of nitroisoxazole-containing spiro[pyrrolidin-oxindole] derivatives as novel glutathione peroxidase 4/mouse double minute 2 dual inhibitors that inhibit breast adenocarcinoma cell proliferation. Eur. J. Med. Chem. 2021, 217, 113359. [Google Scholar] [CrossRef]
- Kukushkin, M.; Novotortsev, V.; Filatov, V.; Ivanenkov, Y.; Skvortsov, D.; Veselov, M.; Shafikov, R.; Moiseeva, A.; Zyk, N.; Majouga, A.; et al. Synthesis and biological evaluation of S-, O- and Se-containing dispirooxindoles. Molecules 2021, 26, 7645. [Google Scholar] [CrossRef]
- Wang, B.; Peng, F.; Huang, W.; Zhou, J.; Zhang, N.; Sheng, J.; Haruehanroengra, P.; He, G.; Han, B. Rational drug design, synthesis, and biological evaluation of novel chiral tetrahydronaphthalene-fused spirooxindole as MDM2-CDK4 dual inhibitor against glioblastoma. Acta Pharm. Sin. B 2020, 10, 1492–1510. [Google Scholar] [CrossRef]
- Srour, A.M.; Panda, S.S.; Mostafa, A.; Fayad, W.; El-Manawaty, M.A.; Soliman, A.A.F.; Moatasim, Y.; El Taweel, A.; Abdelhameed, M.F.; Bekheit, M.S.; et al. Synthesis of aspirin-curcumin mimic conjugates of potential antitumor and anti-SARS-CoV-2 properties. Bioorg. Chem. 2021, 117, 105466. [Google Scholar] [CrossRef] [PubMed]
- Al-Rashood, S.T.; Hamed, A.R.; Hassan, G.S.; Alkahtani, H.M.; Almehizia, A.A.; Alharbi, A.; Al-Sanea, M.M.; Eldehna, W.M. Antitumor properties of certain spirooxindoles towards hepatocellular carcinoma endowed with antioxidant activity. J. Enzym. Inhib. Med. Chem. 2020, 35, 831–839. [Google Scholar] [CrossRef] [PubMed]
- Eldehna, W.M.; EL-Naggar, D.H.; Hamed, A.R.; Ibrahim, H.S.; Ghabbour, H.A.; Abdel-Aziz, H.A. One-pot three-component synthesis of novel spirooxindoles with potential cytotoxic activity against triple-negative breast cancer MDA-MB-231 cells. J. Enzym. Inhib. Med. Chem. 2018, 33, 309–318. [Google Scholar] [CrossRef] [PubMed]
- Fayed, E.A.; Ezz Eldin, R.R.; Mehany, A.B.M.; Bayoumi, A.H.; Ammar, Y.A. Isatin-Schiff’s base and chalcone hybrids as chemically apoptotic inducers and EGFR inhibitors; design, synthesis, anti-proliferative activities and in silico evaluation. J. Mol. Struct. 2021, 1234, 130159. [Google Scholar] [CrossRef]
- Kumar, R.S.; Almansour, A.I.; Arumugam, N.; Mohammad, F.; Kotresha, D.; Menendez, J.C. Spirooxindole-pyrrolidine heterocyclic hybrids promotes apoptosis through activation of caspase-3. Bioorg. Med. Chem. 2019, 27, 2487–2498. [Google Scholar] [CrossRef]
- Aksenov, A.V.; Aksenov, D.A.; Arutiunov, N.A.; Aksenov, N.A.; Aleksandrova, E.V.; Zhao, Z.; Du, L.; Kornienko, A.; Rubin, M. Synthesis of spiro[indole-3,5’-isoxazoles] with anticancer activity via a formal (4+1)-spirocyclization of nitroalkenes to indoles. J. Org. Chem. 2019, 84, 7123–71377. [Google Scholar] [CrossRef]
- Rajaraman, D.; Anthony, L.A.; Sundararajan, G.; Shanmugam, M.; Arunkumar, A. Synthesis, NMR, anti-oxidant, anti-cancer activity, molecular docking, DFT calculations and in silico ADME analysis of 3’-benzoyl-4’-phenyl- 5’-(piperazin-1-ylmethyl)spiro[indoline -3,2’- pyrrolidin ]-2-one derivatives. J. Mol. Struct. 2022, 1267, 133551. [Google Scholar] [CrossRef]
- Islam, M.S.; Ghawas, H.M.; El-Senduny, F.F.; Al-Majid, A.M.; Elshaier, Y.A.M.M.; Badria, F.A.; Barakat, A. Synthesis of new thiazolo-pyrrolidine-(spirooxindole) tethered to 3-acylindole as anticancer agents. Bioorg. Chem. 2019, 82, 423–430. [Google Scholar] [CrossRef]
- Murali, K.; Sparkes, H.A.; Prasad, K.J.R. Regio- and stereoselective synthesis of dispirooxindolepyrrolocarbazole hybrids via 1,3-dipolar cycloaddition reactions: Cytotoxic activity and SAR studies. Eur. J. Med. Chem. 2018, 143, 292–305. [Google Scholar] [CrossRef]
- Kasaboina, S.; Bollu, R.; Ramineni, V.; Gomedhika, P.M.; Korra, K.; Basaboina, S.R.; Holagunda, U.D.; Nagarapu, L.; Dumala, N.; Grover, P.; et al. Novel benzosuberone conjugates as potential anti-proliferative agents: Design, synthesis and molecular docking studies. J. Mol. Struct. 2019, 1180, 355–362. [Google Scholar] [CrossRef]
- Al-Majid, A.M.; Ali, M.; Islam, M.S.; Alshahrani, S.; Alamary, A.S.; Yousuf, S.; Choudhary, M.I.; Barakat, A. Stereoselective synthesis of the di-spirooxindole analogs based oxindole and cyclohexanone moieties as potential anticancer agents. Molecules 2021, 26, 6305. [Google Scholar] [CrossRef] [PubMed]
- Pourshab, M.; Asghari, S.; Tajbakhsh, M.; Khalilpour, A. Diastereoselective sonochemical synthesis of spirocyclopropaneoxindoles and evaluation of their antioxidant and cytotoxic activities. Chem. Biodivers. 2019, 16, e1900087. [Google Scholar] [CrossRef] [PubMed]
- Kumar, M.R.; Manikandan, A.; Sivakumar, A.; Dhayabaran, V.V. An eco-friendly catalytic system for multicomponent, one-pot synthesis of novel spiro-chromeno indoline-triones and their anti-prostate cancer potentials evaluated via alkaline phosphatase inhibition mechanism. Bioorg. Chem. 2018, 81, 44–54. [Google Scholar] [CrossRef] [PubMed]
- Gobinath, P.; Packialakshmi, P.; Daoud, A.; Alarifi, S.; Idhayadhulla, A.; Radhakrishnan, S. Grindstone chemistry: Design, one-pot synthesis, and promising anticancer activity of spiro[acridine-9,2’-indoline]-1,3,8-trione derivatives against the MCF-7 cancer cell line. Molecules 2020, 25, 5862. [Google Scholar] [CrossRef] [PubMed]
- El-Sharief, A.M.S.; Ammar, Y.A.; Belal, A.; El-Sharief, M.A.S.; Mohamed, Y.A.; Mehany, A.B.; Ali, G.A.E.; Ragab, A. Design, synthesis, molecular docking and biological activity evaluation of some novel indole derivatives as potent anticancer active agents and apoptosis inducers. Bioorganic Chem. 2019, 85, 399–412. [Google Scholar] [CrossRef] [PubMed]
- Budovská, M.; Krochtová, K.; Michalková, R.; Mojžiš, J. Aminoanalogues of isobrassinin, erucalexin and isocyclobrassinin: Synthesis and evaluation of the antiproliferative and cytotoxic properties. Tetrahedron 2022, 120, 132898. [Google Scholar] [CrossRef]
- Ji, L.; Zhou, Y.; Yu, Q.; Fang, Y.; Jiang, Y.; Zhao, Y.; Yuan, C.; Xie, W. Synthesis and anticancer activity of new spirooxindoles incorporating [1,2,4]triazolo [3,4-b][1,3,4]thiadiazine moiety. J. Mol. Struct. 2021, 1227, 129406. [Google Scholar] [CrossRef]
- Huang, Y.; Huang, Y.-X.; Sun, J.; Yan, C.-G. A [3+2] cycloaddition reaction for the synthesis of spiro[indoline-3,3’-pyrrolidines] and evaluation of cytotoxicity towards cancer cells. New J. Chem. 2019, 43, 8903–8910. [Google Scholar] [CrossRef]
- Su, X.-Z.; Miller, L.H. The discovery of artemisinin and the Nobel Prize in Physiology or Medicine. Sci. China Life Sci. 2015, 58, 1175–1179. [Google Scholar] [CrossRef]
- Faidallah, H.M.; Panda, S.S.; Serrano, J.C.; Girgis, A.S.; Khan, K.A.; Alamry, K.A.; Therathanakorn, T.; Meyers, M.J.; Sverdrup, F.M.; Eikhoff, C.S.; et al. Synthesis, antimalarial properties and 2D-QSAR studies of novel triazole-quinine conjugates. Bioorg. Med. Chem. 2016, 24, 3527–3539. [Google Scholar] [CrossRef]
- Feng, L.; Xin-Long, H.; Culleton, R.; Jun, C. A brief history of artemisinin: Modes of action and mechanisms of resistance. Chin. J. Nat. Med. 2019, 17, 331–336. [Google Scholar] [CrossRef]
- Yipsirimetee, A.; Chiewpoo, P.; Tripura, R.; Lek, D.; Day, N.P.J.; Dondorp, A.M.; Pukrittayakamee, S.; White, N.J.; Chotivanich, K. Assessment in vitro of the antimalarial and transmission-blocking activities of Cipargamin and Ganaplacide in Artemisinin-resistant Plasmodium falciparum. Antimicrob. Agents Chemother. 2022, 66, e01481-21. [Google Scholar] [CrossRef] [PubMed]
- Ndayisaba, G.; Yeka, A.; Asante, K.P.; Grobusch, M.P.; Karita, E.; Mugerwa, H.; Asiimwe, S.; Oduro, A.; Fofana, B.; Doumbia, S.; et al. Hepatic safety and tolerability of cipargamin (KAE609), in adult patients with Plasmodium falciparum malaria: A randomized, phase II, controlled, dose-escalation trial in sub-Saharan Africa. Malar. J. 2021, 20, 478. [Google Scholar] [CrossRef]
- McCarthy, J.S.; Abd-Rahman, A.N.; Collins, K.A.; Marquart, L.; Griffin, P.; Kümmel, A.; Fuchs, A.; Winnips, C.; Mishra, V.; Csermak-Renner, K.; et al. Defining the antimalarial activity of Cipargamin in healthy volunteers experimentally infected with blood-stage Plasmodium falciparum. Antimicrob. Agents Chemother. 2021, 65, e01423-20. [Google Scholar] [CrossRef] [PubMed]
- Lopes, E.A.; Mestre, R.; Fontinha, D.; Legac, J.; Pei, J.V.; Sanches-Vaz, M.; Mori, M.; Lehane, A.M.; Rosenthal, P.J.; Prudêncio, M.; et al. Discovery of spirooxadiazoline oxindoles with dual-stage antimalarial activity. Eur. J. Med. Chem. 2022, 236, 114324. [Google Scholar] [CrossRef]
- Mathebula, B.; Butsi1, K.R.; van Zyl, R.L.; van Vuuren, N.C.J.; Hoppe, H.C.; Michael, J.P.; de Koning, C.B.; Rousseau, A.L. Preparation and antiplasmodial activity of 3’,4’-dihydro-1’H-spiro(indoline-3,2’-quinolin)-2-ones. Chem. Biol. Drug Des. 2019, 94, 1849–1858. [Google Scholar] [CrossRef] [PubMed]
- Nayak, A.; Saxena, H.; Bathula, C.; Kumar, T.; Bhattacharjee, S.; Sen, S.; Gupta, A. Diversity-oriented synthesis derived indole based spiro and fused small molecules kills artemisinin-resistant Plasmodium falciparum. Malar. J. 2021, 20, 100. [Google Scholar] [CrossRef]
- Kumar, R.S.; Antonisamy, P.; Almansour, A.I.; Arumugam, N.; Periyasami, G.; Altaf, M.; Kim, H.-R.; Kwon, K.-B. Functionalized spirooxindole-indolizine hybrids: Stereoselective green synthesis and evaluation of anti-inflammatory effect involving TNF-α and nitrite inhibition. Eur. J. Med. Chem. 2018, 152, 417–423. [Google Scholar] [CrossRef]
- Hammouda, M.B.; Boudriga, S.; Hamden, K.; Askri, M.; Knorr, M.; Strohmann, C.; Brieger, L.; Krupp, A.; Anouar, E.; Snoussi, M.; et al. New spiropyrrolothiazole derivatives bearing an oxazolone moiety as potential antidiabetic agent: Design, synthesis, crystal structure, Hirshfeld surface analysis, ADME and molecular docking studies. J. Mol. Struct. 2022, 1254, 132398. [Google Scholar] [CrossRef]
- Kaur, A.; Singh, B.; Vyas, B.; Silakari, O. Synthesis and biological activity of 4-aryl-3-benzoyl-5-phenylspiro[pyrrolidine-2.3’-indolin]-2’-one derivatives as novel potent inhibitors of advanced glycation end product. Eur. J. Med. Chem. 2014, 79, 282–289. [Google Scholar] [CrossRef]
- Leañez, J.; Nuñez, J.; García-Marchan, Y.; Sojo, F.; Arvelo, F.; Rodriguez, D.; Buscema, I.; Alvarez-Aular, A.; Forero, J.S.B.; Kouznetsov, V.V.; et al. Anti-leishmanial effect of spiro dihydroquinoline-oxindoles on volume regulation decrease and sterol biosynthesis of Leishmania braziliensis. Exp. Parasitol. 2019, 198, 31–38. [Google Scholar] [CrossRef] [PubMed]
- Lotfy, G.; Aziz, Y.M.A.; Said, M.M.; El Ashry, E.S.H.; El Tamany, E.S.H.; Barakat, A.; Ghabbour, H.A.; Yousuf, S.; Ul-Haq, Z.; Choudhary, M.I. Synthesis of Oxindole Analogues, Biological Activity, and In Silico Studies. ChemistrySelect 2019, 4, 10510–10516. [Google Scholar] [CrossRef]
- Sakla, A.P.; Kansal, P.; Shankaraiah, N. Syntheses and Applications of Spirocyclopropyl Oxindoles: A Decade Review. Eur. J. Org. Chem. 2021, 2021, 757–772. [Google Scholar] [CrossRef]
- Sharma, P.; Senwar, K.R.; Jeengar, M.K.; Reddy, T.S.; Naidu, V.G.M.; Kamal, A.; Shankaraiah, N. H2O-mediated isatin spiro-epoxide ring opening with NaCN: Synthesis of novel 3-tetrazolylmethyl-3-hydroxy-oxindole hybrids and their anticancer evaluation. Eur. J. Med. Chem. 2015, 104, 11–24. [Google Scholar] [CrossRef]
- Saleh, S.K.A.; Hazra, A.; Singh, M.S.; Hajra, S. Selective C3-Allylation and Formal [3 + 2]-Annulation of Spiro-Aziridine Oxindoles: Synthesis of 5′-Substituted Spiro[pyrrolidine-3,3′-oxindoles] and Coerulescine. J. Org. Chem. 2022, 87, 8656–8671. [Google Scholar] [CrossRef] [PubMed]
- Kumar, R.S.; Al-thamili, D.M.; Almansour, A.I.; Arumugam, N.; Mohammad, F. A One-Pot Three-Component Synthesis and Investigation of the In Vitro Mechanistic Anticancer Activity of Highly Functionalized Spirooxindole-Pyrrolidine Heterocyclic Hybrids. Molecules 2020, 25, 5581. [Google Scholar] [CrossRef]
- Ye, N.; Chen, H.; Wold, E.A.; Shi, P.-Y.; Zhou, J. Therapeutic Potential of Spirooxindoles as Antiviral Agents. ACS Infect. Dis. 2016, 2, 382–392. [Google Scholar] [CrossRef]
Disclaimer/Publisher’s Note: The statements, opinions and data contained in all publications are solely those of the individual author(s) and contributor(s) and not of MDPI and/or the editor(s). MDPI and/or the editor(s) disclaim responsibility for any injury to people or property resulting from any ideas, methods, instructions or products referred to in the content. |
© 2023 by the authors. Licensee MDPI, Basel, Switzerland. This article is an open access article distributed under the terms and conditions of the Creative Commons Attribution (CC BY) license (https://creativecommons.org/licenses/by/4.0/).






















































