New Advances in the Exploration of Esterases with PET and Fluorescent Probes
Abstract
1. Introduction
2. Optical Fluorescence Technique and Fluorescent Probes
2.1. Imaging and Therapy: Fluorescent Probes for Esterases
2.1.1. Cells Viability
2.1.2. Organelles-Targeted Fluorescent Probes
2.1.3. Fluorescent Probes for Tissues and Organs
2.1.4. Carboxylesterases
3. PET Technique and PET Probes
3.1. Non-Invasive Nuclear Molecular Imaging for Neurological Disorders
3.1.1. PET Probes for Imaging AChE and BChE in Dementia Disorders
First Class of AChE’s PET Probes (Labeled AChEIs)
Second Class of AChE´s PET Probes (Analogues of ACh)
4. Materials and Methods
5. Conclusions
Author Contributions
Funding
Institutional Review Board Statement
Informed Consent Statement
Data Availability Statement
Conflicts of Interest
Sample Availability
References
- Wu, X.F.; Shi, W.; Li, X.H.; Ma, H.M. Recognition Moieties of Small Molecular Fluorescent Probes for Bioimaging of Enzymes. Acc. Chem. Res. 2019, 52, 1892–1904. [Google Scholar] [CrossRef] [PubMed]
- Wang, J.M.; Teng, Z.D.; Zhang, L.; Yang, Y.X.; Qian, J.; Cao, T.; Cao, Y.P.; Qin, W.W.; Liu, Y.; Guo, H.C. Multifunctional Near-Infrared Fluorescent Probes with Different Ring-Structure Trigger Groups for Cell Health Monitoring and In Vivo Esterase Activity Detection. ACS Sens. 2020, 5, 3264–3273. [Google Scholar] [CrossRef] [PubMed]
- Fukami, T.; Yokoi, T. The Emerging Role of Human Esterases. Drug Metab. Pharmacokinet. 2012, 27, 466–477. [Google Scholar] [CrossRef] [PubMed]
- Dai, J.A.; Hou, Y.D.; Wu, J.C.; Shen, B.X. A Minireview of Recent Reported Carboxylesterase Fluorescent Probes: Design and Biological Applications. Chemistryselect 2020, 5, 11185–11196. [Google Scholar] [CrossRef]
- Kong, Q.; Wang, J.; Chen, Y.H.; Zheng, S.Y.; Chen, X.Q.; Wang, Y.H.; Wang, F. The visualized fluorescent probes based on benzothiazole used to detect esterase. Dyes Pigm. 2021, 191, 109349. [Google Scholar] [CrossRef]
- Yin, Y.G.; Kong, X.Q.; Li, M.; Wang, J.C.; Dai, X.Y.; Zhang, Y.Y.; Lin, W.Y. Development of an esterase fluorescent probe based on naphthalimide-benzothiazole conjugation and its applications for qualitative detection of esterase in orlistat-treated biosamples. Anal. Chim. Acta 2022, 1190, 339248. [Google Scholar] [CrossRef] [PubMed]
- Guo, B.P.; Shen, T.J.; Liu, Y.F.; Jing, J.; Shao, C.X.; Zhang, X.L. An endoplasmic reticulum-specific ratiometric fluorescent probe for imaging esterase in living cells. Spectrochim. Acta A Mol. Biomol. Spectrosc. 2023, 291, 122389. [Google Scholar] [CrossRef]
- Sidhu, J.S.; Rajendran, K.; Mathew, A.B.; Iqbal, T.; Saini, D.K.; Das, D. Acetylcholine Structure-Based Small Activatable Fluorogenic Probe for Specific Detection of Acetylcholinesterase. Anal. Chem. 2023, 95, 7594–7602. [Google Scholar] [CrossRef]
- Li, J.X.; Cao, J.R.; Wu, W.; Xu, L.L.; Zhang, S.Q.; Ma, P.Y.; Wu, Q.; Song, D.Q. A molecular imaging tool for monitoring carboxylesterase 2 during early diagnosis of liver-related diseases. Sens. Actuators B Chem. 2023, 377, 133122. [Google Scholar] [CrossRef]
- Chu, B.B.; Chen, Z.M.; Shi, H.L.; Wu, X.F.; Wang, H.Y.; Dong, F.L.; He, Y. Fluorescence, ultrasonic and photoacoustic imaging for analysis and diagnosis of diseases. Chem. Commun. 2023, 59, 2399–2412. [Google Scholar] [CrossRef]
- Gao, M.; Yu, F.B.; Lv, C.J.; Choo, J.; Chen, L.X. Fluorescent chemical probes for accurate tumor diagnosis and targeting therapy. Chem. Soc. Rev. 2017, 46, 2237–2271. [Google Scholar] [CrossRef] [PubMed]
- Tiepolt, S.; Meyer, P.M.; Patt, M.; Deuther-Conrad, W.; Hesse, S.; Barthel, H.; Sabri, O. PET Imaging of Cholinergic Neurotransmission in Neurodegenerative Disorders. J. Nucl. Med. 2022, 63, 33S–44S. [Google Scholar] [CrossRef] [PubMed]
- Smith, B.A.; Smith, B.D. Biomarkers and Molecular Probes for Cell Death Imaging and Targeted Therapeutics. Bioconjug. Chem. 2012, 23, 1989–2006. [Google Scholar] [CrossRef] [PubMed]
- Pimlott, S.L.; Sutherland, A. Molecular tracers for the PET and SPECT imaging of disease. Chem. Soc. Rev. 2011, 40, 149–162. [Google Scholar] [CrossRef]
- Fu, Y.H.; Finney, N.S. Small-molecule fluorescent probes and their design. RSC Adv. 2018, 8, 29051–29061. [Google Scholar] [CrossRef]
- Wiederschain, G.Y. The Molecular Probes Handbook. A Guide to Fluorescent Probes and Labeling Technologies. Biochemistry 2011, 76, 1276. [Google Scholar] [CrossRef]
- Zhang, J.J.; Chai, X.Z.; He, X.P.; Kim, H.J.; Yoon, J.; Tian, H. Fluorogenic probes for disease-relevant enzymes. Chem. Soc. Rev. 2019, 48, 683–722. [Google Scholar] [CrossRef]
- Chan, J.; Dodani, S.C.; Chang, C.J. Reaction-based small-molecule fluorescent probes for chemoselective bioimaging. Nat. Chem. 2012, 4, 973–984. [Google Scholar] [CrossRef]
- Li, X.Y.; Pan, C.; Cao, J.; Liu, Z.X.; Zhu, Z.R.; Yan, C.X.; Zhao, W.J.; Zhu, W.H.; Wang, Q. An AIE-active probe for monitoring calcium-rich biological environment with high signal-to-noise and long-term retention in situ. Biomaterials 2022, 289, 121778. [Google Scholar] [CrossRef]
- Dong, B.L.; Song, W.H.; Lu, Y.R.; Tian, M.G.; Kong, X.Q.; Mehmood, A.H.; Lin, W.Y. Live cell-specific fluorescent probe for the detection of labile Fe(II) and the evaluation of esterase activity in live animals. Sens. Actuators B Chem. 2020, 305, 127470. [Google Scholar] [CrossRef]
- Tian, X.; Murfin, L.C.; Wu, L.L.; Lewis, S.E.; James, T.D. Fluorescent small organic probes for biosensing. Chem. Sci. 2021, 12, 3406–3426. [Google Scholar] [CrossRef] [PubMed]
- Lee, M.H.; Kim, J.S.; Sessler, J.L. Small molecule-based ratiometric fluorescence probes for cations, anions, and biomolecules. Chem. Soc. Rev. 2015, 44, 4185–4191. [Google Scholar] [CrossRef] [PubMed]
- Reja, S.I.; Minoshima, M.; Hori, Y.; Kikuchi, K. Near-infrared fluorescent probes: A next-generation tool for protein-labeling applications. Chem. Sci. 2021, 12, 3437–3447. [Google Scholar] [CrossRef] [PubMed]
- Grimm, J.B.; Heckman, L.M.; Lavis, L.D. The Chemistry of Small-Molecule Fluorogenic Probes. Prog. Mol. Biol. Transl. Sci. 2013, 113, 1–34. [Google Scholar] [CrossRef] [PubMed]
- Tallman, K.R.; Beatty, K.E. Far-Red Fluorogenic Probes for Esterase and Lipase Detection. Chembiochem 2015, 16, 70–75. [Google Scholar] [CrossRef] [PubMed]
- Mao, Y.Y.; Ma, M.M.; Wei, P.; Zhang, P.; Liu, L.; Guan, T.T.; Zhang, X.J.; Yi, T. A sensitive and rapid “off-on” fluorescent probe for the detection of esterase and its application in evaluating cell status and discrimination of living cells and dead cells. Analyst 2020, 145, 1408–1413. [Google Scholar] [CrossRef] [PubMed]
- Levine, S.R.; Beatty, K.E. Synthesis of a far-red fluorophore and its use as an esterase probe in living cells. Chem. Commun. 2016, 52, 1835–1838. [Google Scholar] [CrossRef] [PubMed]
- Tallman, K.R.; Levine, S.R.; Beatty, K.E. Profiling Esterases in Mycobacterium tuberculosis Using Far-Red Fluorogenic Substrates. ACS Chem. Biol. 2016, 11, 1810–1815. [Google Scholar] [CrossRef]
- Nakamura, N.; Uchinomiya, S.; Inoue, K.; Ojida, A. Trimethyl-Substituted Carbamate as a Versatile Self-Immolative Linker for Fluorescence Detection of Enzyme Reactions. Molecules 2020, 25, 2153. [Google Scholar] [CrossRef]
- Okada, K.; Yamaguchi, T.; Dodo, K.; Sodeoka, M.; Obika, S. Detection of esterase activity by chromogenic and fluorogenic probe based on an O-nitrobenzoxadiazole (O-NBD) unit. Bioorg. Med. Chem. 2019, 27, 1444–1448. [Google Scholar] [CrossRef]
- Oe, M.; Miki, K.; Ohe, K. An enzyme-triggered turn-on fluorescent probe based on carboxylate-induced detachment of a fluorescence quencher. Org. Biomol. Chem. 2020, 18, 8620–8624. [Google Scholar] [CrossRef] [PubMed]
- Fujioka, H.; Uno, S.; Kamiya, M.; Kojima, R.; Johnsson, K.; Urano, Y. Activatable fluorescent probes for hydrolase enzymes based on coumarin-hemicyanine hybrid fluorophores with large Stokes shifts. Chem. Commun. 2020, 56, 5617–5620. [Google Scholar] [CrossRef] [PubMed]
- Yang, Y.Z.; Xu, Z.Y.; Li, N.B.; Luo, H.Q. Ultrasensitive fluorescent probe for visual biosensing of esterase activity in living cells and its imaging application. Spectrochim. Acta A Mol. Biomol. Spectrosc. 2021, 262, 120094. [Google Scholar] [CrossRef] [PubMed]
- Tian, M.G.; Ma, Y.Y.; Lin, W.Y. Fluorescent Probes for the Visualization of Cell Viability. Acc. Chem. Res. 2019, 52, 2147–2157. [Google Scholar] [CrossRef] [PubMed]
- Zhang, Z.M.; Yang, S.X.; Dong, B.L.; Kong, X.Q.; Tian, M.G. Chameleon-Like Fluorescent Probe for Monitoring Interplays between Three Organelles and Reporting Cell Damage Processes through Dramatic Color Change. Small 2022, 18, e2205026. [Google Scholar] [CrossRef] [PubMed]
- Shi, H.B.; Kwok, R.T.K.; Liu, J.Z.; Xing, B.G.; Tang, B.Z.; Liu, B. Real-Time Monitoring of Cell Apoptosis and Drug Screening Using Fluorescent Light-Up Probe with Aggregation-Induced Emission Characteristics. J. Am. Chem. Soc. 2012, 134, 17972–17981. [Google Scholar] [CrossRef] [PubMed]
- Tian, M.G.; Sun, J.; Tang, Y.H.; Dong, B.L.; Lin, W.Y. Discriminating Live and Dead Cells in Dual-Color Mode with a Two-Photon Fluorescent Probe Based on ESIPT Mechanism. Anal. Chem. 2018, 90, 998–1005. [Google Scholar] [CrossRef]
- Lu, Y.R.; Dong, B.L.; Song, W.H.; Sun, Y.R.; Mehmood, A.H.; Lin, W.Y. An ESIPT-based ratiometric fluorescent probe for the discrimination of live and dead cells. Spectrochim. Acta A Mol. Biomol. Spectrosc. 2020, 240, 118588. [Google Scholar] [CrossRef]
- Wang, J.; Xu, W.B.; Yang, Z.C.; Yan, Y.C.; Xie, X.X.; Qu, N.; Wang, Y.; Wang, C.Y.; Hua, J.L. New Diketopyrrolopyrrole-Based Ratiometric Fluorescent Probe for Intracellular Esterase Detection and Discrimination of Live and Dead Cells in Different Fluorescence Channels. ACS Appl. Mater. Interfaces 2018, 10, 31088–31095. [Google Scholar] [CrossRef]
- Shen, T.J.; Zang, S.P.; Shu, W.; Nie, L.X.; Jing, J.; Zhang, X.L. A ratiometric fluorescent probe for mitochondrial esterase specific detection in living cells. Dyes Pigm. 2020, 178, 108345. [Google Scholar] [CrossRef]
- Gao, M.; Hu, Q.L.; Feng, G.X.; Tang, B.Z.; Liu, B. A fluorescent light-up probe with “AIE plus ESIPT” characteristics for specific detection of lysosomal esterase. J. Mater. Chem. B 2014, 2, 3438–3442. [Google Scholar] [CrossRef] [PubMed]
- Xiang, C.B.; Xiang, J.J.; Yang, X.; Zhu, B.D.; Mo, Q.Y.; Zhou, L.H.; Gong, P. An easily available endoplasmic reticulum targeting near-infrared fluorescent probe for esterase imaging in vitro and in vivo. Analyst 2022, 147, 789–793. [Google Scholar] [CrossRef] [PubMed]
- Lai, Y.B.; Zhang, T.T.; Song, W.H.; Li, Z.H.; Lin, W.Y. Evaluation of Cell Viability with a Single Fluorescent Probe Based on Two Kinds of Fluorescence Signal Modes. Anal. Chem. 2021, 93, 12487–12493. [Google Scholar] [CrossRef] [PubMed]
- Wang, S.H.; Zhang, Y.W.; Wang, X.D.; Zan, Q.; Yu, X.; Fan, L. An esterase-sensitive AIEgen probe targeting mitochondria and lipid droplets for assessing cell viability. Spectrochim. Acta A Mol. Biomol. Spectrosc. 2023, 287, 122122. [Google Scholar] [CrossRef] [PubMed]
- Zhang, R.Y.; Niu, G.L.; Liu, Z.Y.; Chau, J.H.C.; Su, H.F.; Lee, M.M.S.; Gu, Y.; Kwok, R.T.K.; Lam, J.W.Y.; Tang, B.Z. Single AIEgen for multiple tasks: Imaging of dual organelles and evaluation of cell viability. Biomaterials 2020, 242, 119924. [Google Scholar] [CrossRef] [PubMed]
- Fan, X.P.; Huang, J.; Ren, T.B.; Yuan, L.; Zhang, X.B. De Novo Design of Activatable Photoacoustic/Fluorescent Probes for Imaging Acute Lung Injury In Vivo. Anal. Chem. 2023, 95, 1566–1573. [Google Scholar] [CrossRef] [PubMed]
- Hu, J.; Cheng, K.; Wu, Q.; Ding, D.S.; Li, C.G.; Li, Z. A dual fluorogenic and F-19 NMR probe for the detection of esterase activity. Mater. Chem. Front. 2018, 2, 1201–1206. [Google Scholar] [CrossRef]
- Hetrick, K.J.; Ramos, M.A.A.; Raines, R.T. Terbium(III) Luminescence-Based Assay for Esterase Activity. Anal. Chem. 2019, 91, 8615–8621. [Google Scholar] [CrossRef]
- Schena, A.; Johnsson, K. Sensing Acetylcholine and Anticholinesterase Compounds. Angew. Chem. Int. Ed. 2014, 53, 1302–1305. [Google Scholar] [CrossRef]
- Liu, C.; Shen, Y.M.; Yin, P.; Li, L.D.; Liu, M.L.; Zhang, Y.Y.; Li, H.T.; Yao, S.Z. Sensitive detection of acetylcholine based on a novel boronate intramolecular charge transfer fluorescence probe. Anal. Chem. 2014, 465, 172–178. [Google Scholar] [CrossRef]
- Wu, S.J.; Li, Y.G.; Deng, T.; Wang, X.J.; Hu, S.Y.; Peng, G.Y.; Huang, X.A.; Ling, Y.W.; Liu, F. A new fluorescent probe for sensing of biothiols and screening of acetylcholinesterase inhibitors. Org. Biomol. Chem. 2020, 18, 2468–2474. [Google Scholar] [CrossRef] [PubMed]
- Zhang, X.Y.; Liu, T.T.; Liang, J.H.; Tian, X.G.; Zhang, B.J.; Huang, H.L.; Ma, X.C.; Feng, L.; Sun, C.P. A highly selective near infrared fluorescent probe for carboxylesterase 2 and its biological applications. J. Mater. Chem. B 2021, 9, 2457–2461. [Google Scholar] [CrossRef] [PubMed]
- Park, S.J.; Kim, Y.J.; Kang, J.S.; Kim, I.Y.; Choi, K.S.; Kim, H.M. Carboxylesterase-2-Selective Two-Photon Ratiometric Probe Reveals Decreased Carboxylesterase-2 Activity in Breast Cancer Cells. Anal. Chem. 2018, 90, 9465–9471. [Google Scholar] [CrossRef] [PubMed]
- Wang, Y.; Yu, F.F.; Luo, X.Z.; Li, M.S.; Zhao, L.L.; Yu, F.B. Visualization of carboxylesterase 2 with a near-infrared two-photon fluorescent probe and potential evaluation of its anticancer drug effects in an orthotopic colon carcinoma mice model. Chem. Commun. 2020, 56, 4412–4415. [Google Scholar] [CrossRef] [PubMed]
- Park, S.J.; Lee, H.W.; Kim, H.R.; Kang, C.; Kim, H.M. A carboxylesterase-selective ratiometric fluorescent two-photon probe and its application to hepatocytes and liver tissues. Chem. Sci. 2016, 7, 3703–3709. [Google Scholar] [CrossRef] [PubMed]
- Li, M.Y.; Zhai, C.; Wang, S.Y.; Huang, W.X.; Liu, Y.G.; Li, Z. Detection of carboxylesterase by a novel hydrosoluble near-infrared fluorescence probe. RSC Adv. 2019, 9, 40689–40693. [Google Scholar] [CrossRef] [PubMed]
- Jin, Q.; Feng, L.; Wang, D.D.; Dai, Z.R.; Wang, P.; Zou, L.W.; Liu, Z.H.; Wang, J.Y.; Yu, Y.; Ge, G.B.; et al. A Two-Photon Ratiometric Fluorescent Probe for Imaging Carboxylesterase 2 in Living Cells and Tissues. ACS Appl. Mater. Interfaces 2015, 7, 28474–28481. [Google Scholar] [CrossRef]
- Zhang, M.M.; Li, P.; Hai, F.; Jia, Y. Determination of carboxylesterase 2 by fluorescence probe to guide pancreatic adenocarcinoma profiling. Chem. Phys. Lett. 2021, 785, 139143. [Google Scholar] [CrossRef]
- Davis, K.M.; Ryan, J.L.; Aaron, V.D.; Sims, J.B. PET and SPECT Imaging of the Brain: History, Technical Considerations, Applications, and Radiotracers. Semin. Ultrasound CT MRI 2020, 41, 521–529. [Google Scholar] [CrossRef]
- Crisan, G.; Moldovean-Cioroianu, N.S.; Timaru, D.G.; Andries, G.; Cainap, C.; Chis, V. Radiopharmaceuticals for PET and SPECT Imaging: A Literature Review over the Last Decade. Int. J. Mol. Sci. 2022, 23, 5023. [Google Scholar] [CrossRef]
- Gawne, P.J.; Man, F.; Blower, P.J.; de Rosales, R.T.M. Direct Cell Radiolabeling for in Vivo Cell Tracking with PET and SPECT Imaging. Chem. Rev. 2022, 122, 10266–10318. [Google Scholar] [CrossRef] [PubMed]
- Kijewski, M.F. Positron Emission Tomography (PET) and Single-Photon Emission Computed Tomography (SPECT) Physics. In Handbook of Neuro-Oncology Neuroimaging, 2nd ed.; Academic Press: Cambridge, MA, USA, 2016; pp. 353–358. [Google Scholar] [CrossRef]
- Linden, D.E.J. The Challenges and Promise of Neuroimaging in Psychiatry. Neuron 2012, 73, 8–22. [Google Scholar] [CrossRef] [PubMed]
- Zimmer, L.; Luxen, A. PET radiotracers for molecular imaging in the brain: Past, present and future. Neuroimage 2012, 61, 363–370. [Google Scholar] [CrossRef] [PubMed]
- Sala, A.; Lizarraga, A.; Caminiti, S.P.; Calhoun, V.D.; Eickhoff, S.B.; Habeck, C.; Jamadar, S.D.; Perani, D.; Pereira, J.B.; Veronese, M.; et al. Brain connectomics: Time for a molecular imaging perspective? Trends Cogn. Sci. 2023, 27, 353–366. [Google Scholar] [CrossRef] [PubMed]
- Reichel, A. The role of blood-brain barrier studies in the pharmaceutical industry. Curr. Drug Metab. 2006, 7, 183–203. [Google Scholar] [CrossRef] [PubMed]
- Josserand, V.; Pelerin, H.; de Bruin, B.; Jego, B.; Kuhnast, B.; Hinnen, F.; Duconge, F.; Boisgard, R.; Beuvon, F.; Chassoux, F.; et al. Evaluation of drug penetration into the brain: A double study by in vivo Imaging with positron emission tomography and using an in vitro model of the human blood-brain barrier. J. Pharmacol. Exp. Ther. 2006, 316, 79–86. [Google Scholar] [CrossRef] [PubMed]
- Reshma, S.; Megha, K.B.; Amir, S.; Rukhiya, S.; Mohanan, P.V. Blood brain barrier-on-a-chip to model neurological diseases. J. Drug Deliv. Sci. Technol. 2023, 80, 104174. [Google Scholar] [CrossRef]
- Ferrando, R.; Damian, A. Brain SPECT as a Biomarker of Neurodegeneration in Dementia in the Era of Molecular Imaging: Still a Valid Option? Front. Neurol. 2021, 12, 629442. [Google Scholar] [CrossRef]
- Mercier, J.; Provins, L.; Hannestad, J. Progress and Challenges in the Development of PET Ligands to Aid CNS Drug Discovery. In Comprehensive Medicinal Chemistry Iii, Vol 7: Cns, Pain, Metabolic Syndrome, Cardiovascular, Tissue Fibrosis and Urinary Incontinence; Elsevier: Amsterdam, The Netherlands, 2017; pp. 20–64. [Google Scholar] [CrossRef]
- Rempel, B.P.; Price, E.W.; Phenix, C.P. Molecular Imaging of Hydrolytic Enzymes Using PET and SPECT. Mol. Imaging 2017, 16, 1–30. [Google Scholar] [CrossRef]
- Farde, L. The advantage of using positron emission tomography in drug research. Trends Neurosci. 1996, 19, 211–214. [Google Scholar] [CrossRef]
- Lee, C.M.; Farde, L. Using positron emission tomography to facilitate CNS drug development. Trends Pharmacol. Sci. 2006, 27, 310–316. [Google Scholar] [CrossRef] [PubMed]
- Wagner, C.C.; Langer, O. Approaches using molecular imaging technology—Use of PET in clinical microdose studies. Adv. Drug Deliv. Rev. 2011, 63, 539–546. [Google Scholar] [CrossRef] [PubMed]
- Volkow, N.D.; Ding, Y.S.; Fowler, J.S.; Gatley, S.J. Imaging brain cholinergic activity with positron emission tomography: Its role in the evaluation of cholinergic treatments in Alzheimer’s dementia. Biol. Psychiatry 2001, 49, 211–220. [Google Scholar] [CrossRef] [PubMed]
- Morgan, P.; Van der Graaf, P.H.; Arrowsmith, J.; Feltner, D.E.; Drummond, K.S.; Wegner, C.D.; Street, S.D.A. Can the flow of medicines be improved? Fundamental pharmacokinetic and pharmacological principles toward improving Phase II survival. Drug Discov. Today 2012, 17, 419–424. [Google Scholar] [CrossRef] [PubMed]
- Goud, N.S.; Bhattacharya, A.; Joshi, R.K.; Nagaraj, C.; Bharath, R.D.; Kumar, P. Carbon-11: Radiochemistry and Target-Based PET Molecular Imaging Applications in Oncology, Cardiology, and Neurology. J. Med. Chem. 2021, 64, 1223–1259. [Google Scholar] [CrossRef] [PubMed]
- Goud, N.S.; Joshi, R.K.; Bharath, R.D.; Kumar, P. Fluorine-18: A radionuclide with diverse range of radiochemistry and synthesis strategies for target based PET diagnosis. Eur. J. Med. Chem. 2020, 187, 111979. [Google Scholar] [CrossRef] [PubMed]
- Dumond, A.R.S.; Gross, H.K.; Bohnen, N.I.; Kanel, P.; Muller, M.; Koeppe, R.A.; Kilbourn, M.R.; Scott, P.J.H. Classics in Neuroimaging: Imaging the Cholinergic System with Positron Emission Tomography. ACS Chem. Neurosci. 2021, 12, 1472–1479. [Google Scholar] [CrossRef] [PubMed]
- Roy, R.; Niccolini, F.; Pagano, G.; Politis, M. Cholinergic imaging in dementia spectrum disorders. Eur. J. Nucl. Med. Mol. Imaging 2016, 43, 1376–1386. [Google Scholar] [CrossRef]
- Available online: https://www.alz.org/alzheimers-dementia/what-is-dementia (accessed on 21 July 2023).
- Bohnen, N.I.; Frey, K.A. Imaging of cholinergic and monoaminergic neurochemical changes in neurodegenerative disorders. Mol. Imaging Biol. 2007, 9, 243–257. [Google Scholar] [CrossRef]
- Pohanka, M. Cholinesterase, a target of pharmacology and toxicology. Biomed. Pap. Olomouc 2011, 155, 219–229. [Google Scholar] [CrossRef]
- Contestabile, A. The history of the cholinergic hypothesis. Behav. Brain Res. 2011, 221, 334–340. [Google Scholar] [CrossRef] [PubMed]
- Jana, A.; Bhattacharjee, A.; Das, S.S.; Srivastava, A.; Choudhury, A.; Bhattacharjee, R.; De, S.; Perveen, A.; Iqbal, D.; Gupta, P.K.; et al. Molecular Insights into Therapeutic Potentials of Hybrid Compounds Targeting Alzheimer’s Disease. Mol. Neurobiol. 2022, 59, 3512–3528. [Google Scholar] [CrossRef] [PubMed]
- van Waarde, A.; Marcolini, S.; de Deyn, P.P.; Dierckx, R. PET Agents in Dementia: An Overview. Semin. Nucl. Med. 2021, 51, 196–229. [Google Scholar] [CrossRef] [PubMed]
- Gentzsch, C.; Hoffmann, M.; Ohshima, Y.; Nose, N.; Chen, X.Y.; Higuchi, T.; Decker, M. Synthesis and Initial Characterization of a Selective, Pseudo-irreversible Inhibitor of Human Butyrylcholinesterase as PET Tracer. ChemMedchem 2021, 16, 1427–1437. [Google Scholar] [CrossRef]
- Fernandez, S.; Giglio, J.; Reyes, A.L.; Damian, A.; Perez, C.; Perez, D.I.; Gonzalez, M.; Oliver, P.; Rey, A.; Engler, H.; et al. 3-(Benzyloxy)-1-(5- F-18 fluoropentyl)-5-nitro-1H-indazole: A PET radiotracer to measure acetylcholinesterase in brain. Future Med. Chem. 2017, 9, 983–994. [Google Scholar] [CrossRef]
- Available online: https://www.alz.org/alzheimers-dementia/treatments/medications-for-memory? (accessed on 21 July 2023).
- Brown, R.K.J.; Bohnen, N.I.; Wong, K.K.; Minoshima, S.; Frey, K.A. Brain PET in Suspected Dementia: Patterns of Altered FDG Metabolism. Radiographics 2014, 34, 684–701. [Google Scholar] [CrossRef] [PubMed]
- Kikuchi, T.; Okamura, T.; Zhang, M.R.; Irie, T. PET probes for imaging brain acetylcholinesterase. J. Label. Compd. Radiopharm. 2013, 56, 172–179. [Google Scholar] [CrossRef]
- Pappata, S.; Tavitian, B.; Traykov, L.; Jobert, A.; Dalger, A.; Mangin, J.F.; Crouzel, C.; DiGiamberardino, L. In vivo imaging of human cerebral acetylcholinesterase. J. Neurochem. 1996, 67, 876–879. [Google Scholar] [CrossRef]
- Bonnotlours, S.; Crouzel, C.; Prenant, C.; Hinnen, F. C-11 Labeling of an inhibitor of acetylcholinesterase 11C-physostigmine. J. Label. Compd. Radiopharm. 1993, 33, 277–284. [Google Scholar] [CrossRef]
- Bonnot, S.; Prenant, C.; Crouzel, C. Synthesis of 9-11C-methylamino-1,2,3,4-tetrahydroacridine, a potent acetylcholine esterase inhibitor. Appl. Radiat. Isot. 1991, 42, 690–691. [Google Scholar] [CrossRef]
- Tavitian, B.; Pappata, S.; Bonnotlours, S.; Prenant, C.; Jobert, A.; Crouzel, C.; Digiamberardino, L. Positron emission tomography study of 11C methyl-tetrahydroaminoacridine (methyl-tacrine) in baboon brain. Eur. J. Pharmacol. 1993, 236, 229–238. [Google Scholar] [CrossRef] [PubMed]
- Funaki, Y.; Kato, M.; Iwata, R.; Sakurai, E.; Tashiro, M.; Ido, T.; Yanai, K. Evaluation of the binding characteristics of 5-C-11-methoxy Donepezil in the rat brain for in vivo visualization of acetylcholinesterase. J. Pharmacol. Sci. 2003, 91, 105–112. [Google Scholar] [CrossRef] [PubMed][Green Version]
- Okamura, N.; Funaki, Y.; Tashiro, M.; Kato, M.; Ishikawa, Y.; Maruyama, M.; Ishikawa, H.; Meguro, K.; Iwata, R.; Yanai, K. In vivo visualization of donepezil binding in the brain of patients with Alzheimer’s disease. Br. J. Clin. Pharmacol. 2008, 65, 472–479. [Google Scholar] [CrossRef] [PubMed]
- De Vos, F.; Santens, P.; Vermeirsch, H.; Dewolf, I.; Dumont, F.; Slegers, G.; Dierckx, R.A.; De Reuck, J. Pharmacological evaluation of C-11 conepezil as tracer for visualization of acetylcholinesterase by PET. Nucl. Med. Biol. 2000, 27, 745–747. [Google Scholar] [CrossRef] [PubMed]
- Conti, M.; Eriksson, L. Physics of pure and non-pure positron emitters for PET: A review and a discussion. EJNMMI Phys. 2016, 3, 8. [Google Scholar] [CrossRef] [PubMed]
- Wuest, F. Fluorine-18 labeling of small molecules: The use of F-18-labeled aryl fluorides derived from no-carrier-added F-18 fluoride as labeling precursors. Pet Chem. Driv. Force Mol. Imaging 2007, 62, 51–78. [Google Scholar] [CrossRef]
- Lee, S.Y.; Choe, Y.S.; Sugimoto, H.; Kim, S.E.; Hwang, S.H.; Lee, K.H.; Choi, Y.; Lee, J.; Kim, B.T. Synthesis and biological evaluation of 1-(4-F-18 fluorobenzyl)-4-(5,6-dimethoxy-1-oxoindan-1-yl) methyl piperidine for in vivo studies of acetylcholinesterase. Nucl. Med. Biol. 2000, 27, 741–744. [Google Scholar] [CrossRef]
- Lee, S.Y.; Choe, Y.S.; Kim, Y.R.; Paik, J.Y.; Choi, B.W.; Kim, S.E.; Lee, K.H.; Choi, Y.; Kim, B.T. Synthesis and evaluation of 5,7-dihydro-3-2-1-(4-F-18 fluorobenzyl)-4-piperidinyl ethyl -6H-pyrrolo 3,2-f 1,2-benzisoxazol-6-o ne for in vivo mapping of acetylcholinesterase. Nucl. Med. Commun. 2004, 25, 591–596. [Google Scholar] [CrossRef]
- Ryu, E.K.; Choe, Y.S.; Park, E.Y.; Paik, J.P.; Kim, Y.R.; Lee, K.H.; Choi, Y.; Kim, S.E.; Kim, B.T. Synthesis and evaluation of 2- F-18 fluoro-CP-118,954 for the in vivo mapping of acetylcholinesterase. Nucl. Med. Biol. 2005, 32, 185–191. [Google Scholar] [CrossRef]
- Lee, B.C.; Moon, B.S.; Park, H.S.; Jung, J.H.; Park, D.D.; de Candia, M.; Denora, N.; Altomare, C.D.; Kim, S.E. The position of fluorine in CP-118,954 affects AChE inhibition potency and PET imaging quantification for AChE expression in the rat brain. Eur. J. Pharm. Sci. 2017, 109, 209–216. [Google Scholar] [CrossRef]
- Musachio, J.L.; Flesher, J.E.; Scheffel, U.A.; Rauseo, P.; Hilton, J.; Mathews, W.B.; Ravert, H.T.; Dannals, R.F.; Frost, J.J. Radiosynthesis and mouse brain distribution studies of C-11 CP-126,998: A PET ligand for in vivo study of acetylcholinesterase. Nucl. Med. Biol. 2002, 29, 547–552. [Google Scholar] [CrossRef] [PubMed]
- Bencherif, B.; Endres, C.; Musachio, J.L.; Villalobos, A.; Hilton, J.; Scheffel, U.; Dannals, R.F.; Williams, S.; Frost, J. PET imaging of brain acetylcholinesterase using C-11 CP-126,998, a brain selective enzyme inhibitor. Synapse 2002, 45, 1–9. [Google Scholar] [CrossRef] [PubMed]
- Brown-Proctor, C.; Snyder, S.E.; Sherman, P.S.; Kilbourn, M.R. Synthesis and evaluation of 6- C-11 methoxy-3- 2- l-(phenylmethyl)-4-piperidinyl ethyl -1,2-benzisox azole as an in vivo radioligand for acetylcholinesterase. Nucl. Med. Biol. 1999, 26, 99–103. [Google Scholar] [CrossRef] [PubMed]
- Choe, Y.S.; Oh, S.J.; Shim, I.; Naruto, S.; Chi, D.Y.; Kim, S.E.; Lee, K.H.; Choi, Y.; Kim, B.T. Syntheses and biological evaluation of F-18-labeled 3-(1-benzyl-piperidin-4-yl)-1-(1-methyl-1H-indol-3-yl) propan-1-ones for in vivo mapping of acetylcholinesterase. Nucl. Med. Biol. 2000, 27, 263–267. [Google Scholar] [CrossRef] [PubMed]
- Wang, M.; Wang, J.Q.; Gao, M.Z.; Zheng, Q.H. Facile synthesis of new carbon-11 labeled conformationally restricted rivastigmine analogues as potential PET agents for imaging AChE and BChE enzymes. Appl. Radiat. Isot. 2008, 66, 506–512. [Google Scholar] [CrossRef] [PubMed]
- Available online: https://go.drugbank.com/drugs/DB00674 (accessed on 21 July 2023).
- Kimura, H.; Kawai, T.; Hamashima, Y.; Kawashima, H.; Miura, K.; Nakaya, Y.; Hirasawa, M.; Arimitsu, K.; Kajimoto, T.; Ohmomo, Y.; et al. Synthesis and evaluation of (−)- and (+)- C-11 galanthamine as PET tracers for cerebral acetylcholinesterase imaging. Bioorg. Med. Chem. 2014, 22, 285–291. [Google Scholar] [CrossRef] [PubMed]
- Giacobini, E. Selective inhibitors of butyrylcholinesterase—A valid alternative for therapy of Alzheimer’s disease? Drugs Aging 2001, 18, 891–898. [Google Scholar] [CrossRef] [PubMed]
- Chen, Y.; Lin, H.Z.; Yang, H.Y.; Tan, R.X.; Bian, Y.Y.; Fu, T.M.; Li, W.; Wu, L.; Pei, Y.Q.; Sun, H.P. Discovery of new acetylcholinesterase and butyrylcholinesterase inhibitors through structure-based virtual screening. RSC Adv. 2017, 7, 3429–3438. [Google Scholar] [CrossRef]
- Hoffmann, M.; Stiller, C.; Endres, E.; Scheiner, M.; Gunesch, S.; Sotriffer, C.; Maurice, T.; Decker, M. Highly Selective Butyrylcholinesterase Inhibitors with Tunable Duration of Action by Chemical Modification of Transferable Carbamate Units Exhibit Pronounced Neuroprotective Effect in an Alzheimer’s Disease Mouse Model. J. Med. Chem. 2019, 62, 9116–9140. [Google Scholar] [CrossRef]
- Sawatzky, E.; Al-Momani, E.; Kobayashi, R.; Higuchi, T.; Samnick, S.; Decker, M. A Novel Way To Radiolabel Human Butyrylcholinesterase for Positron Emission Tomography through Irreversible Transfer of the Radiolabeled Moiety. ChemMedchem 2016, 11, 1540–1550. [Google Scholar] [CrossRef]
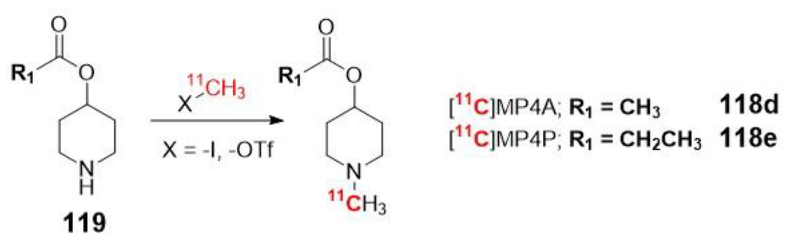
- Roivainen, A.; Rinne, J.; Virta, J.; Jarvenpaa, T.; Salomaki, S.; Yu, M.X.; Nagren, K. Biodistribution and blood metabolism of 1-(11)G methyl-4-piperidinyl n-butyrate in humans: An imaging agent for in vivo assessment of butyrylcholinesterase activity with PET. J. Nucl. Med. 2004, 45, 2032–2039. [Google Scholar] [PubMed]
- Shinotoh, H.; Hirano, S.S.; Hitoshi. PET Imaging of Acetylcholinesterase. In PET and SPECT of Neurobiological Systems; Springer: Cham, Switzerland, 2021. [Google Scholar]
- Kadir, A.; Darreh-Shori, T.; Almkvist, O.; Wall, A.; Grut, M.; Strandberg, B.; Ringheim, A.; Eriksson, B.; Blomquist, G.; Langstrom, B.; et al. PET imaging of the in vivo brain acetylcholinesterase activity and nicotine binding in galantamine-treated patients with AD. Neurobiol. Aging 2008, 29, 1204–1217. [Google Scholar] [CrossRef] [PubMed]
- Namba, H.; Fukushi, K.; Nagatsuka, S.; Iyo, M.; Shinotoh, H.; Tanada, S.; Irie, T. Positron emission tomography: Quantitative measurement of brain acetylcholinesterase activity using radiolabeled substrates. Methods 2002, 27, 242–250. [Google Scholar] [CrossRef] [PubMed]
- Shinotoh, H.; Namba, H.; Yamaguchi, M.; Fukushi, K.; Nagatsuka, S.; Iyo, M.; Asahina, M.; Hattori, T.; Tanada, S.; Irie, T. Positron emission tomographic measurement of acetylcholinesterase activity reveals differential loss of ascending cholinergic systems in Parkinson’s disease and progressive supranuclear palsy. Ann. Neurol. 1999, 46, 62–69. [Google Scholar] [CrossRef] [PubMed]
- Shinotoh, H.; Fukushi, K.; Nagatsuka, S.; Irie, T. Acetylcholinesterase imaging: Its use in therapy evaluation and drug design. Curr. Pharm. Des. 2004, 10, 1505–1517. [Google Scholar] [CrossRef]
Disclaimer/Publisher’s Note: The statements, opinions, and data contained in all publications are solely those of the individual author(s) and contributor(s) and not of MDPI and/or the editor(s). MDPI and/or the editor(s) disclaim responsibility for any injury to people or property resulting from any ideas, methods, instructions, or products referred to in the content. |




















































| Selectivity for AChE | |||
|---|---|---|---|
| Radiotracer | Human cerebral cortex (Irie et al. 1996) | PET scan time | Optimum brain regions for measurement in humans |
| [11C]MP4A | 94% | 40–60 min | Cerebral cortex, thalamus |
| [11C]MP4P | 86% | 60–80 min | Cerebral cortex, thalamus, and cerebellar cortex (striatum) |
Disclaimer/Publisher’s Note: The statements, opinions and data contained in all publications are solely those of the individual author(s) and contributor(s) and not of MDPI and/or the editor(s). MDPI and/or the editor(s) disclaim responsibility for any injury to people or property resulting from any ideas, methods, instructions or products referred to in the content. |
© 2023 by the authors. Licensee MDPI, Basel, Switzerland. This article is an open access article distributed under the terms and conditions of the Creative Commons Attribution (CC BY) license (https://creativecommons.org/licenses/by/4.0/).
Share and Cite
Gil-Rivas, A.; de Pascual-Teresa, B.; Ortín, I.; Ramos, A. New Advances in the Exploration of Esterases with PET and Fluorescent Probes. Molecules 2023, 28, 6265. https://doi.org/10.3390/molecules28176265
Gil-Rivas A, de Pascual-Teresa B, Ortín I, Ramos A. New Advances in the Exploration of Esterases with PET and Fluorescent Probes. Molecules. 2023; 28(17):6265. https://doi.org/10.3390/molecules28176265
Chicago/Turabian StyleGil-Rivas, Alba, Beatriz de Pascual-Teresa, Irene Ortín, and Ana Ramos. 2023. "New Advances in the Exploration of Esterases with PET and Fluorescent Probes" Molecules 28, no. 17: 6265. https://doi.org/10.3390/molecules28176265
APA StyleGil-Rivas, A., de Pascual-Teresa, B., Ortín, I., & Ramos, A. (2023). New Advances in the Exploration of Esterases with PET and Fluorescent Probes. Molecules, 28(17), 6265. https://doi.org/10.3390/molecules28176265

