Effect of Tetrahedrally Coordinated Al on the Surface Acidity of Mg-Al Binary Mixed Oxides
Abstract
1. Introduction
2. Results and Discussion
2.1. X-Ray Diffraction (XRD) Patterns
2.2. 27Al NMR Spectroscopy Analysis
2.3. N2 Adsorption–Desorption Isotherms
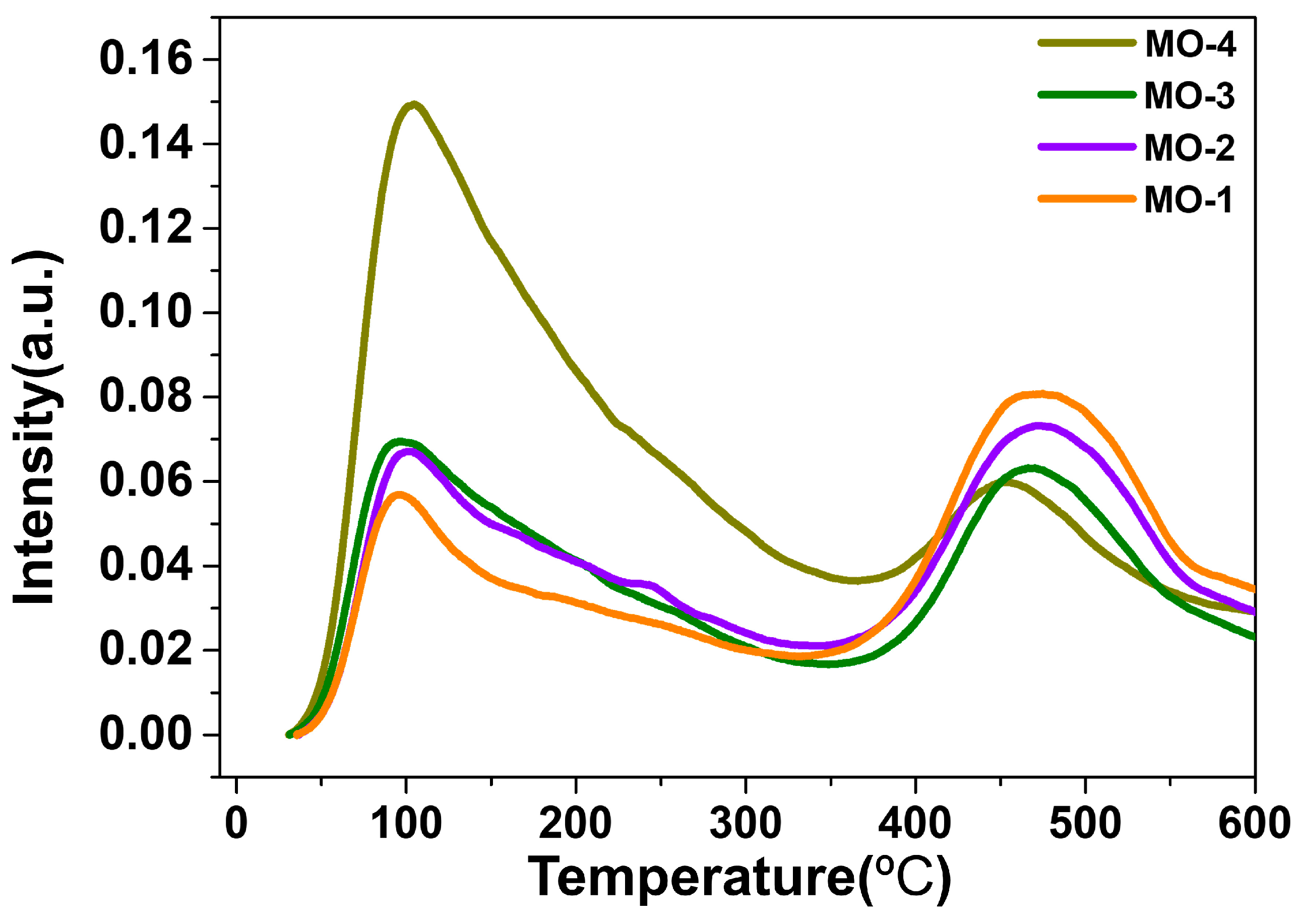
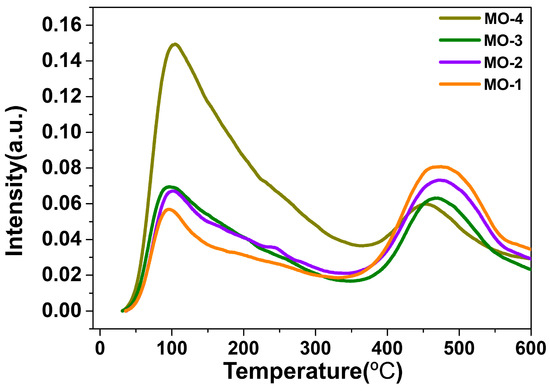
2.4. NH3-Temperature-Programmed Desorption
3. Materials and Methods
4. Conclusions
Supplementary Materials
Author Contributions
Funding
Institutional Review Board Statement
Informed Consent Statement
Data Availability Statement
Conflicts of Interest
Sample Availability
References
- Uddin, M.T.; Nicolas, Y.; Olivier, C.; Toupance, T.; Servant, L.; Müller, M.M.; Kleebe, H.J.; Ziegler, J.; Jaegermann, W. Nanostructured SnO2-ZnO Heterojunction Photocatalysts Showing Enhanced Photocatalytic Activity for the Degradation of Organic Dyes. Inorg. Chem. 2012, 51, 7764–7773. [Google Scholar] [CrossRef] [PubMed]
- Kawahara, T.; Konishi, Y.; Tada, H.; Tohge, N.; Ito, S. Patterned TiO2/SnO2Bilayer Type Photocatalyst. 2. Efficient Dehydrogenation of Methanol. Langmuir 2001, 17, 7442–7445. [Google Scholar] [CrossRef]
- Liu, S.R.; Guan, M.Y.; Li, X.Z.; Guo, Y. Light Irradiation Enhanced Triethylamine Gas Sensing Materials Based on ZnO/ZnFe2O4 Composites. Sens. Actuators B Chem. 2016, 236, 350–357. [Google Scholar] [CrossRef]
- Védrine, J. Heterogeneous Catalysis on Metal Oxides. Catalysts 2017, 7, 341. [Google Scholar] [CrossRef]
- Rodriguez, J.A.; Stacchiola, D. Catalysis and the Nature of Mixed-Metal Oxides at the Nanometer Level: Special Properties of MOx/TiO2(110) (M = V, W, Ce) Surfaces. Phys. Chem. Chem. Phys. 2010, 12, 9557–9565. [Google Scholar] [CrossRef]
- Xie, J.; Yamaguchi, T.; Oh, J.M. Synthesis of a Mesoporous Mg–Al–Mixed Metal Oxide with P123 Template for Effective Removal of Congo Red via Aggregation-Driven Adsorption. J. Solid State Chem. 2021, 293, 121758. [Google Scholar] [CrossRef]
- Kantam, M.L.; Kochkar, H.; Clacens, J.M.; Veldurthy, B.; Garcia-Ruiz, A.; Figueras, F. MgLa Mixed Oxides as Highly Active and Selective Heterogeneous Catalysts for Wadsworth-Emmons Reactions. Appl. Catal. B Environ. 2005, 55, 177–183. [Google Scholar] [CrossRef]
- Kantam, M.L.; Balasubrahmanyam, V.; Kumar, K.B.S.; Venkanna, G.T.; Figueras, F. Catalysis in Water: Aldol-Type Reaction of Aldehydes and Imines with Ethyl Diazoacetate Catalyzed by Highly Basic Magnesium/Lanthanum Mixed Oxide. Adv. Synth. Catal. 2007, 349, 1887–1890. [Google Scholar] [CrossRef]
- Shafiq, I.; Shafique, S.; Akhter, P.; Ishaq, M.; Yang, W.; Hussain, M. Recent Breakthroughs in Deep Aerobic Oxidative Desulfurization of Petroleum Refinery Products. J. Clean. Prod. 2021, 294, 125731. [Google Scholar] [CrossRef]
- Ling, L.; Liu, Y.; Pan, D.; Lyu, W.; Xu, X.; Xiang, X.; Lyu, M.; Zhu, L. Catalytic Detoxification of Pharmaceutical Wastewater by Fenton-like Reaction with Activated Alumina Supported CoMnAl Composite Metal Oxides Catalyst. Chem. Eng. J. 2020, 381, 122607. [Google Scholar] [CrossRef]
- Cousin, P.; Ross, R.A. Preparation of Mixed Oxides: A Review. Mater. Sci. Eng. A 1990, 130, 119–125. [Google Scholar] [CrossRef]
- Tripathi, A.M.; Nair, R.G.; Samdarshi, S.K. Visible Active Silver Sensitized Vanadium Titanium Mixed Metal Oxide Photocatalyst Nanoparticles through Sol-Gel Technique. Sol. Energy Mater. Sol. Cells 2010, 94, 2379–2385. [Google Scholar] [CrossRef]
- Cavani, F.; Trifirò, F.; Vaccari, A. Hydrotalcite-Type Anionic Clays: Preparation, Properties and Applications. Catal. Today 1991, 11, 173–301. [Google Scholar] [CrossRef]
- Yang, W.; Kim, Y.; Liu, P.K.T.; Sahimi, M.; Tsotsis, T.T. A Study by in Situ Techniques of the Thermal Evolution of the Structure of a Mg-Al-CO3 Layered Double Hydroxide. Chem. Eng. Sci. 2002, 57, 2945–2953. [Google Scholar] [CrossRef]
- Park, D.H.; Jang, M.W.; Shul, Y.G.; Choy, J.H. Sepiocite, Sepiolite-like Nanoclay Derived from Hydrotalcite-like Layered Double Hydroxide. J. Nanosci. Nanotechnol. 2011, 11, 382–385. [Google Scholar] [CrossRef] [PubMed]
- Coelho, A.; Perrone, O.M.; Gomes, E.; Da-Silva, R.; Thoméo, J.C.; Boscolo, M. Mixed Metal Oxides from Sucrose and Cornstarch Templated Hydrotalcite-like LDHs as Catalysts for Ethyl Biodiesel Synthesis. Appl. Catal. A Gen. 2017, 532, 32–39. [Google Scholar] [CrossRef]
- Zhu, K.; Liu, C.; Ye, X.; Wu, Y. Catalysis of Hydrotalcite-like Compounds in Liquid Phase Oxidation: (I) Phenol Hydroxylation. Appl. Catal. A Gen. 1998, 168, 365–372. [Google Scholar] [CrossRef]
- Laycock, D.E.; Collacott, R.J.; Alan Skelton, D.; Tchir, M.F. Stereospecific Polymerization of Propylene Oxide on Thermally Activated Synthetic Hydrotalcite. J. Catal. 1991, 130, 354–358. [Google Scholar] [CrossRef]
- Kagunya, W.; Jones, W. Aldol Condensation of Acetaldehyde Using Calcined Layered Double Hydroxides. Appl. Clay Sci. 1995, 10, 95–102. [Google Scholar] [CrossRef]
- Jäger, B.; Wermann, A.; Scholz, P.; Müller, M.; Reislöhner, U.; Stolle, A.; Ondruschka, B. Iron-Containing Defect-Rich Mixed Metal Oxides for Friedel-Crafts Alkylation. Appl. Catal. A Gen. 2012, 443–444, 87–95. [Google Scholar] [CrossRef]
- Yamaguchi, K.; Ebitani, K.; Yoshida, T.; Yoshida, H.; Kaneda, K. Mg-Al Mixed Oxides as Highly Active Acid-Base Catalysts for Cycloaddition of Carbon Dioxide to Epoxides. J. Am. Chem. Soc. 1999, 121, 4526–4527. [Google Scholar] [CrossRef]
- Znal, Z.; Lenarda, M.; Casagrande, M.; Moretti, E.; Storaro, L.; Frattini, R. Selective Catalytic Low Pressure Hydrogenation of Acetophenone on Pd/ZnO/ZnAl2O4. Catal. Lett. 2007, 114, 79–84. [Google Scholar] [CrossRef]
- Kim, B.K.; Lee, D.Y.; Gwak, G.H.; Han, Y.S.; Oh, J.M. Zn-Fe Mixed Metal Oxides from Metal Hydroxide Precursor: Effect of Calcination Temperature on Phase Evolution, Porosity, and Catalytic Acidity. J. Solid State Chem. 2019, 269, 454–458. [Google Scholar] [CrossRef]
- Huang, P.P.; Cao, C.Y.; Wei, F.; Sun, Y.B.; Song, W.G. MgAl Layered Double Hydroxides with Chloride and Carbonate Ions as Interlayer Anions for Removal of Arsenic and Fluoride Ions in Water. RSC Adv. 2015, 5, 10412–10417. [Google Scholar] [CrossRef]
- Yu, G.; Zhou, Y.; Yang, R.; Wang, M.; Shen, L.; Li, Y.; Xue, N.; Guo, X.; Ding, W.; Peng, L. Dehydration and Dehydroxylation of Layered Double Hydroxides: New Insights from Solid-State NMR and FT-IR Studies of Deuterated Samples. J. Phys. Chem. C 2015, 119, 12325–12334. [Google Scholar] [CrossRef]
- Rives, V. Layered Double Hydroxides: Present and Future, 4th ed.; Nova Science Publishers, Inc.: New York, NY, USA, 2001; pp. 1–39. [Google Scholar]
- Isobe, T.; Watanabe, T.; D’Espinose De La Caillerie, J.B.; Legrand, A.P.; Massiot, D. Solid-State 1H and 27Al NMR Studies of Amorphous Aluminum Hydroxides. J. Colloid Interface Sci. 2003, 261, 320–324. [Google Scholar] [CrossRef]
- Ukrainczyk, N.; Matusinovic, T.; Kurajica, S.; Zimmermann, B.; Sipusic, J. Dehydration of a Layered Double Hydroxide—C2AH8. Thermochim. Acta 2007, 464, 7–15. [Google Scholar] [CrossRef]
- Kim, B.K.; Gwak, G.H.; Okada, T.; Oh, J.M. Effect of Particle Size and Local Disorder on Specific Surface Area of Layered Double Hydroxides upon Calcination-Reconstruction. J. Solid State Chem. 2018, 263, 60–64. [Google Scholar] [CrossRef]
- Pushparaj, S.S.C.; Forano, C.; Prevot, V.; Lipton, A.S.; Rees, G.J.; Hanna, J.V.; Nielsen, U.G. How the Method of Synthesis Governs the Local and Global Structure of Zinc Aluminum Layered Double Hydroxides. J. Phys. Chem. C 2015, 119, 27695–27707. [Google Scholar] [CrossRef]
- John, C.S.; Alma, N.C.M.; Hays, G.R. Characterization of Transitional Alumina by Solid-State Magic Angle Spinning Aluminium NMR. Appl. Catal. 1983, 6, 341–346. [Google Scholar] [CrossRef]
- Mckenzie, A.L.; Fishel, C.T.; Davis, R.J. Investigation of the Surface Structure and Basic Properties of Calcined Hydrotalcites. J. Catal. 1992, 138, 547–561. [Google Scholar] [CrossRef]
- Müller, D.; Gessner, W.; Samoson, A.; Lippmaa, E.; Scheler, G. Solid-State Aluminium-27 Nuclear Magnetic Resonance Chemical Shift and Quadrupole Coupling Data for Condensed AlO4 Tetrahedra. J. Chem. Soc. Dalt. Trans. 1986, 6, 1277–1281. [Google Scholar] [CrossRef]
- Mueller, D.; Hoebbel, D.; Gessner, W. 27Al NMR Studies of Aluminosilicate Solutions. Influences of the Second Coordination Sphere on the Shielding of Aluminium. Chem. Phys. Lett. 1981, 84, 25–29. [Google Scholar] [CrossRef]
- Díez, V.K.; Apesteguía, C.R.; Di Cosimo, J.I. Effect of the Chemical Composition on the Catalytic Performance of MgyAlOx Catalysts for Alcohol Elimination Reactions. J. Catal. 2003, 215, 220–233. [Google Scholar] [CrossRef]
- Shen, J.; Tu, M.; Hu, C. Structural and Surface Acid/Base Properties of Hydrotalcite-Derived MgAlO Oxides Calcined at Varying Temperatures. J. Solid State Chem. 1998, 137, 295–301. [Google Scholar] [CrossRef]
- Sing, K.S.W.; Everett, D.H.; Haul, R.A.W.; Moscou, L.; Pierotti, R.A.; Rouquerol, J.; Siemieniewska, T. Reporting Physisorption Data for Gas/Solid Systems with Special Reference to the Determination of Surface Area and Porosity. Pure Appl. Chem. 1985, 57, 603–610. [Google Scholar] [CrossRef]
- Yang, K.; Lu, X.; Lin, Y.; Neimark, A.V. Deformation of Coal Induced by Methane Adsorption at Geological Conditions. Energy Fuels 2010, 24, 5955–5964. [Google Scholar] [CrossRef]
- Macías-García, A.; Díaz-Díez, M.A.; Cuerda-Correa, E.M.; Olivares-Marín, M.; Gañan-Gómez, J. Study of the Pore Size Distribution and Fractal Dimension of HNO3-Treated Activated Carbons. Appl. Surf. Sci. 2006, 252, 5972–5975. [Google Scholar] [CrossRef]
- Jung, S.Y.; Kim, B.K.; Hirata, S.; Inada, M.; Oh, J.M. Particle Size Effect of Layered Double Hydroxide on the Porosity of Calcined Metal Oxide. Appl. Clay Sci. 2020, 195, 105701. [Google Scholar] [CrossRef]
- Oka, Y.; Kuroda, Y.; Matsuno, T.; Kamata, K.; Wada, H.; Shimojima, A.; Kuroda, K. Preparation of Mesoporous Basic Oxides through Assembly of Monodispersed Mg–Al Layered Double Hydroxide Nanoparticles. Chem. Eur. J. 2017, 23, 9362–9368. [Google Scholar] [CrossRef]
- Yun, S.K.; Pinnavaia, T.J. Water Content and Particle Texture of Synthetic Hydrotalcite-like Layered Double Hydroxides. Chem. Mater. 1995, 7, 348–354. [Google Scholar] [CrossRef]
- Malak-Polaczyk, A.; Vix-Guterl, C.; Frackowiak, E. Carbon/Layered Double Hydroxide (LDH) Composites for Supercapacitor Application. Energy Fuels 2010, 24, 3346–3351. [Google Scholar] [CrossRef]
- Gu, P.; Zhang, S.; Li, X.; Wang, X.; Wen, T.; Jehan, R.; Alsaedi, A.; Hayat, T.; Wang, X. Recent Advances in Layered Double Hydroxide-Based Nanomaterials for the Removal of Radionuclides from Aqueous Solution. Environ. Pollut. 2018, 240, 493–505. [Google Scholar] [CrossRef] [PubMed]
- Lee, S.B.; Ko, E.H.; Park, J.Y.; Oh, J.M. Mixed Metal Oxide by Calcination of Layered Double Hydroxide: Parameters Affecting Specific Surface Area. Nanomaterials 2021, 11, 1153. [Google Scholar] [CrossRef] [PubMed]
- Liu, D.; Yuan, P.; Liu, H.; Cai, J.; Qin, Z.; Tan, D.; Zhou, Q.; He, H.; Zhu, J. Influence of Heating on the Solid Acidity of Montmorillonite: A Combined Study by DRIFT and Hammett Indicators. Appl. Clay Sci. 2011, 52, 358–363. [Google Scholar] [CrossRef]
- Reddy, C.R.; Bhat, Y.S.; Nagendrappa, G.; Jai Prakash, B.S. Brønsted and Lewis Acidity of Modified Montmorillonite Clay Catalysts Determined by FT-IR Spectroscopy. Catal. Today 2009, 141, 157–160. [Google Scholar] [CrossRef]
- Azzouz, A.; Nistor, D.; Miron, D.; Ursu, A.V.; Sajin, T.; Monette, F.; Niquette, P.; Hausler, R. Assessment of Acid-Base Strength Distribution of Ion-Exchanged Montmorillonites through NH3 and CO2-TPD Measurements. Thermochim. Acta 2006, 449, 27–34. [Google Scholar] [CrossRef]
- Dixit, M.; Mishra, M.; Joshi, P.A.; Shah, D.O. Physico-Chemical and Catalytic Properties of Mg-Al Hydrotalcite and Mg-Al Mixed Oxide Supported Copper Catalysts. J. Ind. Eng. Chem. 2013, 19, 458–468. [Google Scholar] [CrossRef]
- Leung, D.W.J.; Chen, C.; Buffet, J.C.; O’Hare, D. Correlations of Acidity-Basicity of Solvent Treated Layered Double Hydroxides/Oxides and Their CO2 Capture Performance. Dalt. Trans. 2020, 49, 9306–9311. [Google Scholar] [CrossRef]
- Hudson, M.J.; Carlino, S.; Apperley, D.C. Thermal Conversion of a Layered (Mg/Al) Double Hydroxide to the Oxide. J. Mater. Chem. 1995, 5, 323–329. [Google Scholar] [CrossRef]
- Aberuagba, F.; Kumar, M.; Gupta, J.K.; Muralidhar, G.; Sharma, L.D. Preparation and Characterization of MgO/Al2O3 Mixed Oxides Support for Hydrotreating Catalysts. React. Kinet. Catal. Lett. 2002, 75, 245–250. [Google Scholar] [CrossRef]
- Telalović, S.; Karmee, S.K.; Ramanathan, A.; Hanefeld, U. Al-TUD-1: Introducing Tetrahedral Aluminium. J. Mol. Catal. A Chem. 2013, 368–369, 88–94. [Google Scholar] [CrossRef]
- Cullity, B.D.; Stock, S.R. Elements of X-Ray Diffraction; Prentice Hall: Upper Saddle River, NJ, USA, 2001; p. 388. [Google Scholar]
- Kooli, F.; Chisem, I.C.; Vucelic, M.; Jones, W. Synthesis and Properties of Terephthalate and Benzoate Intercalates of Mg-Al Layered Double Hydroxides Possessing Varying Layer Charge. Chem. Mater. 1996, 8, 1969–1977. [Google Scholar] [CrossRef]







| Sample | Peak Position (ppm) | Area Ratio (Al-Td/Al-Oh) | Al wt% in MO | |
|---|---|---|---|---|
| Al-Td | Al-Oh | |||
| MO-1 | 71.1 | −0.57 | 0.81 | 24.3 |
| MO-2 | 72.7 | 3.1 | 0.88 | 16.4 |
| MO-3 | 73.6 | −0.4 | 0.40 | 12.5 |
| MO-4 | 74.4 | 2.9 | 0.35 | 9.5 |
| Parameter | MO-1 | MO-2 | MO-3 | MO-4 |
|---|---|---|---|---|
| SBET (m2/g) | 124.7 | 173.8 | 139.78 | 134.65 |
| Pore volume (cm3/g) | 0.61 | 0.81 | 0.66 | 0.26 |
| Mean pore diameter (nm) | 19.57 | 18.65 | 18.93 | 7.60 |
| Sample | *STd × Al wt. % | The Area under High Temperature | The Area under Low Temperature |
|---|---|---|---|
| MO-1 | 10.88 | 11.18 | 8.65 |
| MO-2 | 7.69 | 10.3 | 10.8 |
| MO-3 | 3.60 | 4.23 | 14.67 |
| MO-4 | 2.47 | 4.84 | 21.4 |
Disclaimer/Publisher’s Note: The statements, opinions and data contained in all publications are solely those of the individual author(s) and contributor(s) and not of MDPI and/or the editor(s). MDPI and/or the editor(s) disclaim responsibility for any injury to people or property resulting from any ideas, methods, instructions or products referred to in the content. |
© 2023 by the authors. Licensee MDPI, Basel, Switzerland. This article is an open access article distributed under the terms and conditions of the Creative Commons Attribution (CC BY) license (https://creativecommons.org/licenses/by/4.0/).
Share and Cite
Chandrabose, V.; Kim, T.; Park, J.w.; Jung, S.-Y.; Oh, J.-M. Effect of Tetrahedrally Coordinated Al on the Surface Acidity of Mg-Al Binary Mixed Oxides. Molecules 2023, 28, 6072. https://doi.org/10.3390/molecules28166072
Chandrabose V, Kim T, Park Jw, Jung S-Y, Oh J-M. Effect of Tetrahedrally Coordinated Al on the Surface Acidity of Mg-Al Binary Mixed Oxides. Molecules. 2023; 28(16):6072. https://doi.org/10.3390/molecules28166072
Chicago/Turabian StyleChandrabose, Vidya, Taeho Kim, Ji won Park, Sang-Yong Jung, and Jae-Min Oh. 2023. "Effect of Tetrahedrally Coordinated Al on the Surface Acidity of Mg-Al Binary Mixed Oxides" Molecules 28, no. 16: 6072. https://doi.org/10.3390/molecules28166072
APA StyleChandrabose, V., Kim, T., Park, J. w., Jung, S.-Y., & Oh, J.-M. (2023). Effect of Tetrahedrally Coordinated Al on the Surface Acidity of Mg-Al Binary Mixed Oxides. Molecules, 28(16), 6072. https://doi.org/10.3390/molecules28166072

