Methods of Analysis and Identification of Betulin and Its Derivatives
Abstract
1. Introduction
1.1. General Information about Betulin and Its Derivatives
1.2. Structure and Physico-Chemical Properties of Betulin and Its Derivatives
1.3. Techniques for Increasing the Solubility of Pentacyclic Triterpenoids
1.3.1. Increasing the Solubility of Pentacyclic Triterpenoids Using Colloidal Chemical Approaches
- The nanostructured introduction of betulin and its derivatives into liposomes and other nanoscale compounds [66,67]. Vesicles or liposomes from aqueous dispersions containing lecithin (for example, phosphatidylcholine) and triterpenoid dissolved in DMSO or alcohol are the most studied [68]. Nanoparticles with some betulin derivatives are obtained from polymers, while the most promising is an easily degradable copolymer of lactic and glycolic acids (PLGA) [67].
- The formation of supramolecular systems (inclusion complexes) [73] due to the complexation of betulin and its derivatives with γ-cyclodextrin, glycyrrhizic acid and other compounds capable of forming inclusion complexes by hydrophobic binding [73,74]. An analysis of such inclusion complexes showed, firstly, that the “guest” molecule is located in the cavity between the outer lipophilic sides of two betulin molecules. Secondly, betulin molecules are interconnected by hydrogen bonds so that in the crystal structure of the complex, there are dimers in which betulin molecules are connected by hydrogen bonds of the “head to tail” type (Figure 6). Individual betulin (1) in the crystal probably exists in the form of hydrogen-bound dimers of the “head to head” type, which, based on the data of vibrational spectra and X-ray diffraction analysis, is characterized for organic molecules [75]. Complexes including betulin and its derivatives with cyclodextrins in water dissociate into cyclodextrin and the active substrate, showing the biological properties of the latter [75,76,77,78].
1.3.2. Increasing the Solubility of Pentacyclic Triterpenoids by Chemical Modification of Betulin
- Betulin and its derivatives are important strategic objects for medicine and pharmacy as drugs of anti-HIV, antitumor, hepatoprotective, hypolipidemic and other types of action.
- A necessary part of the research of betulin and its derivatives as potential medicinal substances is the study of polymorphism and the existence of structural modifications with various biopharmaceutical characteristics.
- A special place among the methods for obtaining betulin derivatives is occupied by modification methods to give hydrophilicity and, accordingly, better solubility and bioavailability, which in turn makes it possible to prepare hydrophilic dosage forms, including injection type.
2. Methods of Analysis of Betulin and Its Structural Analogues
2.1. Identification of Birch Bark Species
2.2. Determination of Monosaccharides in Extracts for Pretreatment
2.3. IR and Raman Spectroscopy
2.4. Chromatographic and Other Methods
2.5. The Analysis of 3β,28-Dihydroxy-20(29)-lupen (1), Betulin (1)
2.6. The Analysis of 3β,28-Diacetoxy-lup-20(29)-en(9), Betulin Diacetate (9)
2.7. The Analysis of 3β-Hydroxy-19β,28-epoxy-18α-olean (8), Allobetulin
3. Conclusions
Author Contributions
Funding
Institutional Review Board Statement
Informed Consent Statement
Data Availability Statement
Conflicts of Interest
Sample Availability
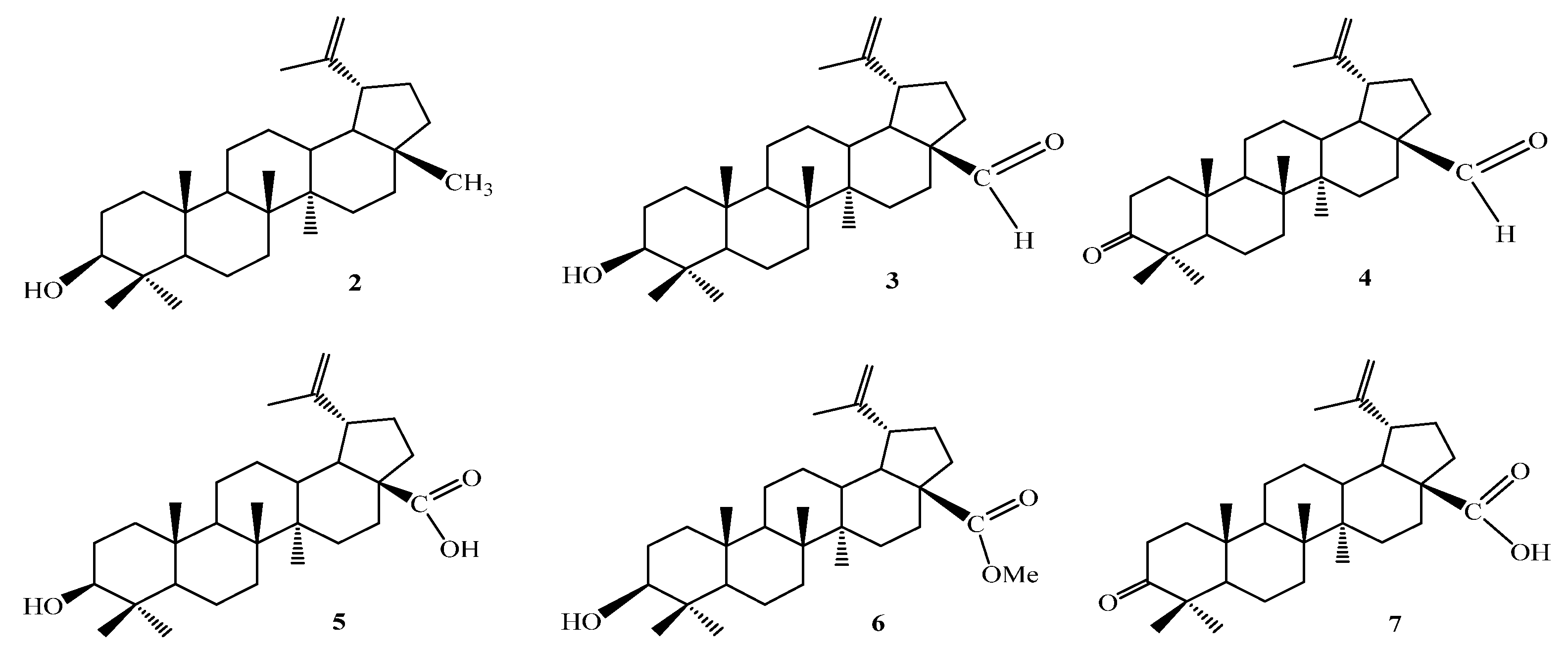
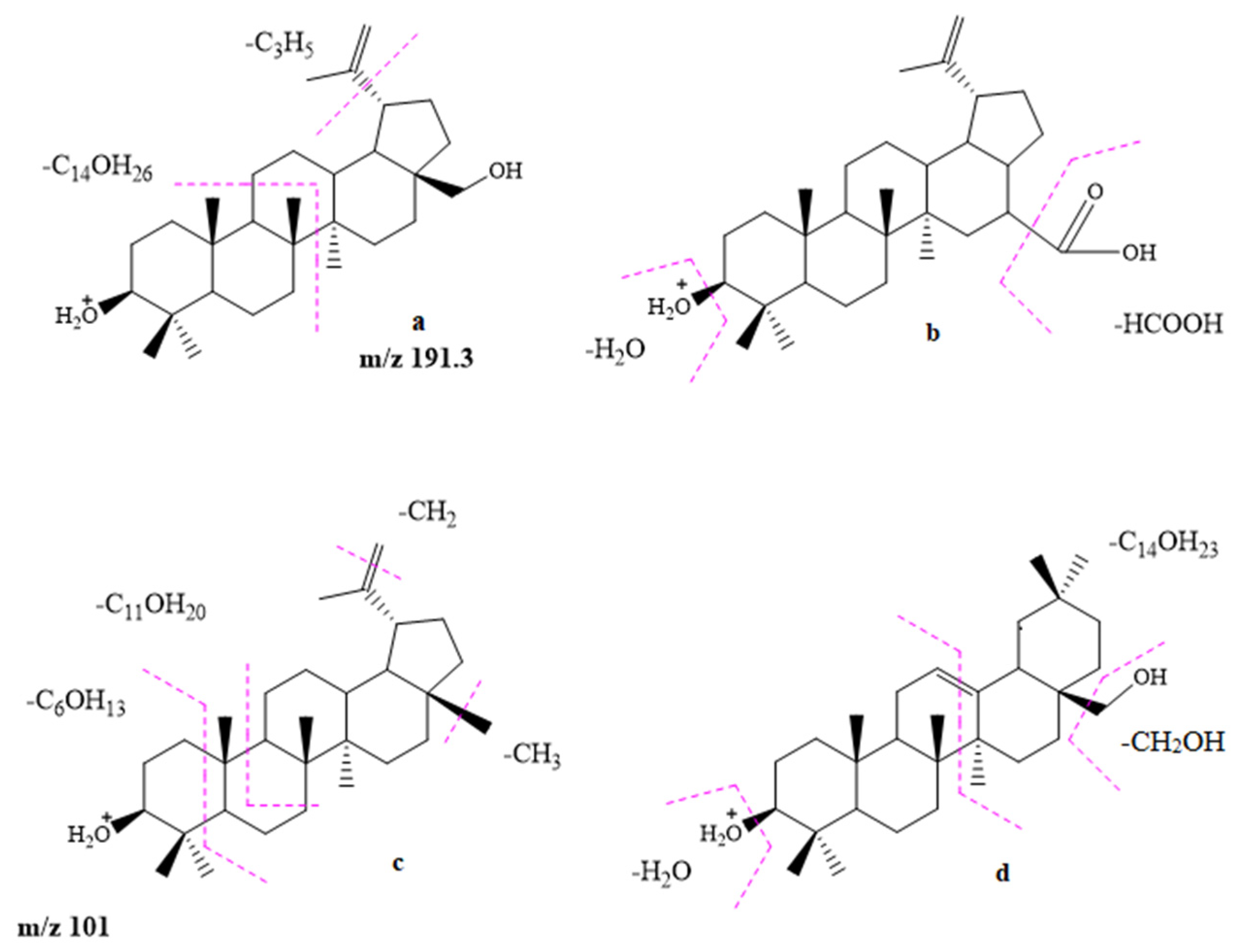
Appendix A. Oxo Derivatives of Botulin

| IR, cm−1 | 1H-NMR, ppm | 13C-NMR, ppm | HPLC-MS m/z (%) | Melting Temperature | |
| Betulonic acid | 1705 st (C=O) 1641 st (C=C) 883 st (=CH2) | 4.68 s (1H, 29-H), 4.55 s (1H, 29-H), 2.23 m (1H, 19-H), 1.65 s (3H, 30-CH3), 1.02–1.95 (3H, complex, CH2, CH), 1.02 s (3H, 26-CH3), 1.00 s (3H, 25-CH3), 0.98 s (3H, 27-CH3), 0.86 s (3H, 23-CH3), 0.85 s (3H, 24-CH3) | 216.52 (C-3), 109.67 (C-29) 150.33 (C-20), 177.26 (C-28). | 454 (M+,58), 248 (64), 19 (42), 205 (76), 189 (88), 136 (100), 121 (90). | 245–248 °C |
| Betulinic acid | 3450 st (OH), 1683 st (C=O), 1641 st (C=C); 883 st (=CH2); 1031, 1042 st (α, β-3-C–OH). | 4.68 s (1H, 29-H), 4.55 s (1H, 29-H), 3.24 t (1 H, 3β-H), 2.99 dd (1H, 3α-H), 2.23 m (1H, 19-H), 1.65 s (3H, 30-CH3), 1.02–1.95 (3H, complex, CH2, CH), 1.02 s (3H, 26-CH3), 1.00 s (3H, 25-CH3), 0.98 s (3H, 27-CH3), 0.86 s (3H, 23-CH3), 0.85 s (3H, 24-CH3) | 76.83 (C-3), 109.67 (C-29), 150.33 (C-20), 177.26 (C-28) | 457 (M+, 7) 307 (25), 154 (100), 136 (60). | 290–293 °C |
| Betulonic aldehyde | 1730–1728 st (C=O), 1641 st (C=C); 883 st (=CH2) | 9.67 s (1H, 28-CHO), 4.68 s (1H, 29-H), 4.55 s (1H, 29-H), 2.99 dd (1H, 3α-H), 2.23 m (1H, 19-H), 1.65 s (3H, 30-CH3), 1.02–1.95 (3H, complex, CH2, CH), 1.02 s (3H, 26-CH3), 1.00 s (3H, 25-CH3), 0.98 s (3H, 27-CH3), 0.86 s (3H, c, 23-CH3), 0.85 s (3H, c, 24-CH3) | 216.52 (C-3), 109.67 (C-29), 150.33 (C-20), 206.55 (C-28). | 438 (11.5), [M-CHO]+ 409 (20.0), 273 (3.2), 219 (20.2), 205 (38.4), 189 (39.6), 133 (35.6), 105 (55.8), 81 (65), 55 (100). | 165–166 °C |
| Betulinaldehyde | 0.75, (3H, c, 24-CH3) 0.82, (3H, c, 23-CH3), 0.95, (3H, 27-CH3), 0.97, (3H, 25-CH3), 1.03 (3H, 26-CH3), 1.70 (3H, 30-CH3), 4.81 (1H, 29-H), 4.61 (1H, 29-H), 3.4 dd(1H, 3α-H), 9.71 (1H, 28-CHO), | 149.6 (C-20), 110.1 (C-29), 79.0 (C-3) 206.5 (C-28) | 192–193 °C |
References
- Cichewicz, R.H.; Kouzi, S.A. Chemistry, biological activity, and chemotherapeutic potential of betulinic acid for the prevention and treatment of cancer and HIV infection. J. Med. Res. Rev. 2004, 24, 90–114. [Google Scholar] [CrossRef] [PubMed]
- Alakurtti, S.; Makela, T.; Koskimies, S.; Kauhaluoma, J. Pharmacological properties of the ubiquitous natural product botulin. Eur. J. Pharm. Sci. 2006, 29, 1–13. [Google Scholar] [CrossRef]
- Şoica, C.M.; Dehelean, C.A.; Peev, C.; Aluas, M.; Zupko, I.; Kasa, P.; Alexa, E. Physico-chemical comparison study of betulinic acid, betulin and birch bark extract and in vitro investigation of their cytotoxic effects towards skin epidermoid carcinoma (A431), breast carcinoma (MCF7) and cervix adenocarcinoma (HeLa) cell-lines. Nat. Prod. Res. 2012, 26, 968–974. [Google Scholar] [CrossRef] [PubMed]
- Yogeeswari, P.; Sriram, D. Betulinic acid and its derivatives: A review on their biological properties. Curr. Med. Chem. 2005, 12, 657–666. [Google Scholar] [CrossRef] [PubMed]
- Melnikova, N.; Burlova, I.; Kiseleva, T.; Klabukova, I.; Gulenova, M.; Kislitsin, A.; Tanaseichuk, B. A practical synthesis of betulonic acid using selective oxidation of betulin on aluminium solid support. Molecules 2012, 17, 11849–11863. [Google Scholar] [CrossRef] [PubMed]
- Alakurtti, S. Synthesis of Betulin Derivatives against Intracellular Pathogens. Ph.D. Thesis, University of Helsinki, Helsinki, Finland, 6 September 2013. [Google Scholar]
- Tolstikov, G.A.; Flekhter, O.B.; Shultz, E.E.; Baltina, L.A.; Tolstikov, A.G. Betulin and Its Derivatives. Chemistry and Biological Activity. Chem. Sustain. Dev. 2005, 13, 1–29. [Google Scholar]
- Boryczka, S.; Bebenek, E.; Wietrzyk, J.; Kempinska, K.; Jastrzebska, M.; Kusz, J.; Nowak, M. Synthesis, structure and cytotoxic activity of new acetylenic derivatives of botulin. Molecules 2013, 18, 4526–4543. [Google Scholar] [CrossRef]
- Dehelean, C.A.; Soica, C.; Ledeţi, I.; Aluaş, M.; Zupko, I.; Galuscan, A.; Munteanu, M. Study of the betulin enriched birch bark extracts effects on human carcinoma cells and ear inflammation. Chem. Cent. J. 2012, 6, 137. [Google Scholar] [CrossRef]
- Del Carmen Recio, M.; Giner, R.; Manes, S.; Rios, J. Structural requirements for the anti-inflammatory activity of natural triterpenoids. Planta Med. 1995, 61, 182–185. [Google Scholar] [CrossRef]
- Gong, Y.; Raj, K.M.; Luscombe, C.A.; Gadawski, I.; Tam, T.; Chu, J.; Gibson, D.; Carlson, R.; Sacks, S.L. The synergistic effects of botulin with acyclovir against herpes simplex viruses. Antivir. Res. 2004, 64, 127–130. [Google Scholar] [CrossRef]
- Miura, N.; Matsumoto, Y.; Miyairi, S.; Nishiyama, S.; Naganuma, A. Protective effects of triterpene compounds against the cytotoxicity of cadmium in HepG2 cells. Mol. Pharmacol. 1999, 56, 1324–1328. [Google Scholar] [CrossRef]
- Szuster-Ciesielska, A.; Kandefer-Szerszen, M. Protective effects of betulin and betulinic acid against ethanol-induced cytotoxicity in HepG2 cells. Pharmacol. Rep. 2005, 57, 588–595. [Google Scholar] [PubMed]
- Kuznetsova, S.A.; Skvortsova, G.P.; Maliar, I.N.; Skurydina, E.S.; Veselova, O. Extraction of botulin from birch bark and study of its physico-chemical and pharmacological properties. Russ. J. Bioorg. Chem. 2014, 40, 742–747. [Google Scholar] [CrossRef]
- Drag, M.; Surowiak, P.; Drag-Zalesinska, M.; Dietel, M.; Lage, H.; Oleksyszyn, J. Comparision of the cytotoxic effects of birch bark extract, betulin and betulinic acid towards human gastric carcinoma and pancreatic carcinoma drug-sensitive and drug-resistant cell lines. Molecules 2009, 14, 1639–1651. [Google Scholar] [CrossRef] [PubMed]
- Şoica, C. Betulin—A Future Key-Player in the Treatment of Neoplasic Diseases. Med. Aromat. Plants. 2012, 1, e135. [Google Scholar] [CrossRef]
- Krol, S.K.; Kiełbus, M.; Rivero-Muller, A.; Stepulak, A. Comprehensive review on betulin as a potent anticancer agent. BioMed. Res. Int. 2015, 1, 1–11. [Google Scholar] [CrossRef] [PubMed]
- Krasutsky, P.A. Birch bark research and development. Nat. Prod. Rep. 2006, 23, 919–942. [Google Scholar] [CrossRef]
- Tang, J.-J.; Li, J.-G.; Qi, W.; Qiu, W.-W.; Li, P.-S.; Li, B.-L.; Song, B.-L. Inhibition of SREBP by a small molecule, betulin, improves hyperlipidemia and insulin resistance and reduces atherosclerotic plaques. Cell Metab. 2011, 13, 44–56. [Google Scholar] [CrossRef]
- Cunha, A.B.; Batista, R.; Castro, M.A.; David, J.M. Chemical stratigies towards the synthesis of betulinic acid and its more potent antiprotozoal analogues. Molecules 2021, 26, 1081. [Google Scholar] [CrossRef]
- Khwaza, V.; Mlala, S.; Oyedeji, O.O.; Aderibigbe, B.A. Pentacyclic Triterpenoids with Nitrogen-Containing Heterocyclic Moiety, Privileged Hybrids in Anticancer Drug Discovery. Molecules 2021, 26, 2401. [Google Scholar] [CrossRef]
- Amiri, S.; Dastghaib, S.; Ahmadi, M.; Mehrbod, P.; Khadem, F.; Behrooj, H.; Aghanoori, M.-R.; Machaj, F.; Ghamsari, M.; Rosik, J.; et al. Betulin and its derivatives as novel compounds with different pharmacological effects. Biotechnol. Adv. 2020, 38, 107409. [Google Scholar] [CrossRef] [PubMed]
- Al-Snafi, A.E. The medical importance of Betula alba—An overwiev. J. Pharm. Biol. 2015, 5, 99–103. [Google Scholar]
- Hordyjewska, A.; Ostapiuk, A.; Horecka, A.; Kurzepa, J. Betulin and betulinic acid: Triterpenoids derivatives with a powerful biological potential. Phytochem. Rev. 2019, 18, 929–951. [Google Scholar] [CrossRef]
- Berger, S.; Sicker, D. Classics in Spectroscopy: Isolation and Structure Elucidation of Natural Products, 1st ed.; Wiley-VCH Verlag: Weinheim, Germany, 2009; ISBN 978-3-527-32516-0. [Google Scholar]
- Gilberg, M.R. Plasticization and forming of misshapen birch-bark artifactsusing solvent vapours. Stud. Conserv. 1986, 31, 177–184. [Google Scholar]
- Hayek, E.W.H.; Jordis, U.; Moche, W.; Sauter, F. A bicentennial of botulin. Phytochemistry 1989, 28, 2229–2242. [Google Scholar] [CrossRef]
- Pinzaru, S.C.; Leopold, N.; Kiefer, W. Vibrational spectroscopy of betulinic acid HIV inhibitor and of its birch bark natural source. Talanta 2002, 57, 625–631. [Google Scholar] [CrossRef]
- Jaaskelainen, P. Betulinol and its utilization. Paperi. Ja. Puu. 1981, 63, 599–603. [Google Scholar]
- Pohilolo, N.D.; Uvarova, N.I. Izoprenoidy razlichnyh vidov roda Betula. Him. Prir. Soedin. 1988, 3, 325–341. [Google Scholar]
- Tolstikov, G.A.; Flehter, O.B.; Shul’c, J.J.; Baltina, L.A.; Tolstikov, A.G. Betulin i ego proizvodnye. Himija i biologicheskaja aktivnost’. Him. V Interes. Ustojchivogo Razvit. 2005, 3, 1–30. [Google Scholar]
- Matjuhina, L.G.; Shmukler, B.C.; Rjabinin, A.A. Triterpenoidy kory Alnus subcordata S.A.M. Zhurn. Org. Him. 1965, 35, 579–580. [Google Scholar]
- Maurya, S.K.; Devi, S.; Pandey, V.B.; Khosa, R.I. Content of betulin and betulinic acid, antitumor agents of Ziziphus species. Fitoterapia 1989, 60, 468–469. [Google Scholar]
- Kundu, A.B.; Barik, B.R.; Mondal, D.N.; Dey, A.K.; Baneryi, A. Ziziberanic acid a pentacyclic triterpenoid of Ziziphus jujuba. Phytochemistry 1989, 28, 3155–3158. [Google Scholar] [CrossRef]
- Melek, F.R.; Ranwan, A.S.; Achmedet, A.A.; Hamman, A.A.; Abualabi, E.A. Triterpenes from Atractylis carduus L. Pharmazie 1989, 44, 735. [Google Scholar]
- Siddiqui, S.; Siddiqui, B.S.; Naeed, A.; Begum, S. Pentacyclic triterpenoids from the leaves of Plumeria obtuse. Phytochemistry 1989, 28, 3143–3147. [Google Scholar] [CrossRef]
- Kulik, N.I.; Krasavskaja, N.P. Himicheskaja i Mediko-Biologicheskaja Ocenka Novyh Fitopreparatov, 1st ed.; Nauchno-proizvodstvennoe ob#edinenie: Moscow, Russia, 1989. [Google Scholar]
- Majumber, R.L.; Lahiri, S. Chemical constituents of the orchid Lusia indivisa. Indian J. Chem. B 1989, 28B, 771–774. [Google Scholar]
- Ma, Z.-Z.; Hano, Y.; Nomura, T.; Chen, Y.-J. Three New Triterpenoids from Peganum nigellastrum. J. Nat. Prod. 2000, 63, 390–392. [Google Scholar] [CrossRef] [PubMed]
- Nick, A.; Wright, A.D.; Rali, T.; Sticher, O. Antibacterial triterpenoids from Dillenia papuana and their structure-activity relationships. Phytochemistry 1995, 40, 1691–1695. [Google Scholar] [CrossRef]
- De Majo, P. Terpeny, 1st ed.; Kucherov, V.F., Ed.; Inostrannaja Literature: Moskva, Rossija, 1963. [Google Scholar]
- Sharkov, V.I.; Beljaevskij, I.A. References. K voprosu o himicheskom sostave drevesnoj kory. Kora breezy. Lesohim. Promyshlennost 1932, 3, 30–33. [Google Scholar]
- Roshhin, V.I.; Shabanova, N.J.; Vedernikov, D.N. Sposob poluchenija betulina. Rossijskaja Federacija. Patent RU 2,184,120, 27 June 2002. Poccᴎйcкaᴙ Φeдepaцᴎᴙ MΠK C07J53/00, C07J63/00. [Google Scholar]
- Kislicyn, A.N. Jekstraktivnye veshhestva beresty: Vydelenie, sostav, svojstva, primenenie. Him. Drev. 1994, 3, 3–28. [Google Scholar]
- Simonsen, J.L.; Ross, W.S. The Terpenes. Vol. 4: The Triterpenes and Their Derivatives: Hydrocarbons, Alcohols, Hydroxy-Aldehydes, Ketones and Hydroxy-Ketones, 1st ed.; Cambridge University Press: Cambridge, UK, 1957. [Google Scholar]
- Nikol’skij, B.P. Spravochnik Himika. Tom 2: Osnovnye Svojstva Neorganicheskih i Organicheskih Soedinenij, 2nd ed.; Himija: Moskva, Rossija, 1964. [Google Scholar]
- Levdanskij, V.A.; Polezhaeva, N.I.; Es’kin, A.P.; Vink, V.A.; Kuznecov, B.N. Sposob poluchenija betulina. Rossijskaja Federacija. Patent RU 2,131,882, 29 March 1999. [Google Scholar]
- Zhao, G.; Yan, W.; Cao, D. Simultaneous determination of betulin and betulinic acid in white birch bark using RP-HPLC. J. Pharm. Biomed. Anal. 2007, 3, 959–962. [Google Scholar] [CrossRef]
- Reichardt, C. Solvents and Solvent Effects in Organic Chemistry, 2nd ed.; Wiley-VCH Verlag: Weinheim, Germany, 2003; ISBN 3-527-30618-8. [Google Scholar]
- Cao, D.; Zhao, G.; Yan, W. Solubilities of Betulin in Fourteen Organic Solvents at Different Temperatures. J. Chem. Eng. Data 2007, 52, 1366–1368. [Google Scholar] [CrossRef]
- Drebushchak, T.N.; Mikhailenko, M.A.; Brezgunova, M.E.; Shakhtshneider, T.P.; Kuznetsova, S.A. Crystal Structure Of Betulin Ethanol Solvate. J. Struct. Chem. 2010, 51, 798–801. [Google Scholar] [CrossRef]
- Odinokova, L.J.; Malinovskaja, G.V.; Pohilo, N.D.; Uvarova, N.I. Triterpenoidy kory i vetochek Betula davurica. Him. Prir. Soedin. 1985, 3, 414–415. [Google Scholar]
- Pohilo, N.D.; Mahnev, A.K.; Uvarova, N.I. Triterpenoidy list’ev i kory chernokoroj formy belyh berez Betula pendula i V. Pubescens. Him. Prir. Soedin. 1995, 6. [Google Scholar]
- Shon, L.B.; Kaplun, A.P.; Shpilevskij, A.A. Sintez betulinovoj kisloty iz betulina i issledovanie ee soljubilizacii s pomoshh’ju liposom. Bioorg. Him. 1998, 24, 787–793. [Google Scholar]
- Wang, X.; Gong, N.; Yang, S.; Du, G.; Lu, Y. Studies on Solvatomorphism of Betulinic Acid. J. Pharm. Sci. 2014, 103, 2696–2703. [Google Scholar] [CrossRef]
- Drebushchak, V.A.; Mikhailenko, M.A.; Shakhtshneider, T.P.; Kuznetsova, S.A. Melting of orthorhombic betulin. J. Therm. Anal. Calorim. 2013, 111, 2005–2008. [Google Scholar] [CrossRef]
- Cheng, Y.; Shao, Y.; Yan, W. Solubilities of Betulinic Acid in Thirteen Organic Solvents at Different Temperatures. J. Chem. Eng. Data 2011, 56, 4587–4591. [Google Scholar] [CrossRef]
- Boryczka, S.; Michalik, E.; Jastrzebska, M.; Kusz, J.; Zubko, M.; Bębenek, E. X-Ray Crystal Structure of Betulin–DMSO Solvate. J. Chem. Crystallogr. 2012, 42, 345–351. [Google Scholar] [CrossRef]
- Boryczka, S.; Jastrzebska, M.; Bębenek, E.; Kusz, J.; Zubko, M.; Kadela, M.; Michalik, E. X-Ray Diffraction and Infrared Spectroscopy of N,N- Dimethylformamide and Dimethyl Sulfoxide Solvatomorphs of Betulonic Acid. J. Pharm. Sci. 2012, 101, 4458–4471. [Google Scholar] [CrossRef]
- Yang, D.; Gong, N.; Zhang, L.; Lu, Y. Isostructurality Among 5 Solvatomorphs of Betulin: X-Ray Structure and Characterization. J. Pharm. Sci. 2016, 105, 1867–1873. [Google Scholar] [CrossRef]
- Tang, W.; Chen, N.-H.; Li, G.-Q.; Wang, G.-C.; Li, Y.-L. Crystal structure of betulinic acid methanol monosolvate. Acta Cryst. 2014, 70, 1242–1243. [Google Scholar] [CrossRef] [PubMed]
- Mihajlenko, M.A.; Shahtshnejder, T.P.; Brezgunova, M.E.; Drebushhak, V.A.; Kuznecova, S.A.; Boldyrev, V.V. Poluchenie i issledovanie fiziko-himicheskih svojstv sol’vatov betulina. Himija Rastitel’nogo Syr’ja 2010, 2, 63–70. [Google Scholar]
- Furtado, N.J.C.; Pirson, L.; Edelberg, H.M.; Miranda, L.; Loira-Pastoriza, C.; Preat, V.; Larondelle, Y.; Andre, C.M. Pentacyclic Triterpene Bioavailability: An Overview of In Vitro and In Vivo Studies. Molecules 2017, 22, 400. [Google Scholar] [CrossRef]
- Buckley, S.T.; Fischer, S.M.; Fricker, G.; Brandl, M. In vitro models to evaluate the permeability of poorly soluble drug entities: Challenges and perspectives. Eur. J. Pharm. Sci. 2012, 45, 235–250. [Google Scholar] [CrossRef]
- Benet, L.Z.; Hosey, C.M.; Ursu, O.; Oprea, T.I. BDDCS, the Rule of 5 and drugability. Adv. Drug Deliv. Rev. 2016, 101, 89–98. [Google Scholar] [CrossRef]
- Mullauer, F.B.; van Bloois, L.; Daalhuisen, J.B.; Ten Brink, M.S.; Storm, G.; Medema, J.P.; Schiffelers, R.M.; Kessler, J.H. Betulinic acid delivered in liposomes reduces growth of human lung and colon cancers in mice without causing systemic toxicity. Anticancer Drugs 2011, 22, 223–233. [Google Scholar] [CrossRef] [PubMed]
- Halder, A.; Shukla, D.; Das, S.; Roy, P.; Mukherjee, A.; Saha, B. Lactoferrin-modified Betulinic Acid-loaded PLGA nanoparticles are strong anti-leishmanials. Cytokine 2018, 110, 412–415. [Google Scholar] [CrossRef] [PubMed]
- Kaplun, A.B.; Meshalkin, A.B. Equation for the second virial coefficient of gases–High Temperatur. High Press. 1999, 31, 253–258. [Google Scholar] [CrossRef]
- Lomkova, E.A.; Chytil, P.; Janouškova, O.; Mueller, T.; Lucas, H.; Filippov, S.K.; Trhlíkova, O.; Aleshunin, P.A.; Skorik, Y.A.; Ulbrich, K.; et al. Biodegradable Micellar HPMA-Based Polymer–Drug Conjugates with Betulinic Acid for Passive Tumor Targeting. Biomacromolecules 2016, 17, 3493–3507. [Google Scholar] [CrossRef]
- Filippov, S.K.; Vishnevetskaya, N.S.; Niebuur, B.-J.; Koziolova, E.; Lomkova, E.A.; Chytil, P.; Etryc, T.; Papadakis, C.M. Influence of molar mass, dispersity, and type and location of hydrophobic side chain moieties on the critical micellar concentration and stability of amphiphilic HPMA-based polymer drug carriers. Colloid Polym. Sci. 2017, 295, 1313–1325. [Google Scholar] [CrossRef]
- Malyar, Y.; Kuznetsova, S.A.; Shakhtshneider, T.; Mikhailenko, M.A. Obtaining of Betulin Diacetate and Betulin Dipropionate Composites with Aerosil. J. Sib. Fed. Univ. Chem. 2015, 2, 277–286. [Google Scholar] [CrossRef]
- Dai, L.; Li, D.; Cheng, J.; Liu, J.; Deng, L.-H.; Wang, L.-Y.; Lei, J.-D.; He, J. Water soluble multiarm-polyethylene glycol–betulinic acid prodrugs: Design, synthesis, and in vivo effectiveness. Polym. Chem. 2014, 5, 5775–5783. [Google Scholar] [CrossRef]
- Sursyakova, V.V.; Levdanskya, V.A.; Rubayloa, A.I. Determining Stability Constants of Complexes Between Ester Betulin Derivatives and β-Cyclodextrin by Affinity Capillary Electrophoresis. J. Sib. Fed. Univ. Chem. 2020, 13, 534–541. [Google Scholar] [CrossRef]
- Mikhailenko, M.A.; Shakhtshneider, T.P.; Eltsov, I.V.; Kozlov, A.S.; Kuznetsova, S.A.; Karacharov, A.A.; Boldyrev, V.V. Supramolecular architecture of betulin diacetate complexes with arabinogalactan from Larix sibirica. Carbohydr. Polym. 2016, 138, 1–7. [Google Scholar] [CrossRef] [PubMed]
- Falamaş, A.; Pînzaru, S.C.; Chiş, V.; Dehelean, C. Spectroscopic investigations of newly formed betulin-cyclodextrin guest–host type complexes as potential anti skin cancer candidates. J. Mol. Struct. 2011, 993, 297–301. [Google Scholar] [CrossRef]
- Soica, C.; Dehelean, C.; Danciu, C.; Wang, H.M.; Wenz, G.; Ambrus, R.; Bojin, F.; Anghel, M. Betulin Complex in γ-Cyclodextrin Derivatives: Properties and Antineoplastic Activities in In Vitro and In Vivo Tumor Models. Int. J. Mol. Sci. 2012, 3, 14992–15011. [Google Scholar] [CrossRef]
- Wang, H.M.; Şoica, C.M.; Wenz, G. A Comparison Investigation on the Solubilization of Betulin and Betulinic Acid in Cyclodextrin Derivatives. Nat. Prod. Commun. 2012, 7, 289–291. [Google Scholar] [CrossRef]
- Dehelean, C.; Soica, C.; Peev, C.; Sorina, C.A.; Feflea, S.A.; Kasa, P. A pharmaco-toxicological evaluation of betulinic acid mixed with hydroxipropilgamma cyclodextrin on in vitro and in vivo models. Farmacia 2009, 59, 51–59. [Google Scholar]
- Gorbunova, M.N.; Krajnova, G.F. Triterpensoderzhashhie polimernye konstrukcii: Sintez i biologicheskaja aktivnost’. Vestn. Permsk. Nauchnogo Cent. 2014, 2, 44–51. [Google Scholar]
- Abyshev, A.Z.; Abyshev, R.A.; Nguen, V.H.; Morozova, V.A. Proizvodnye betulinola kak perspektivnye anti-VICh agenty. Medicinskij Akademicheskij Zhurnal 2013, 13, 15–31. [Google Scholar]
- Periasamy, G.; Teketelew, G.; Gebrelibanos, M.; Sintayehu, B.; Gebrehiwot, M.; Karim, A.; Geremedhin, G. Betulinic acid and its derivatives as anti-cancer agent: A review. Arch. Appl. Sci. Res. 2014, 6, 47–58. [Google Scholar]
- Jonnalagadda, S.C.; Suman, P.; Morgan, D.C.; Seay, J.N. Recent Developments on the Synthesis and Applications of Betulin and Betulinic Acid Derivatives as Therapeutic Agents. Stud. Nat. Prod. Chem. 2017, 53, 45–84. [Google Scholar] [CrossRef]
- Laev, S.S.; Salahutdinov, N.F. Preparativnaja Himija Terpenoidov, 1 Izdanie; Akademizdat: Novosibirsk, Russia, 2016; Chapter 3; ISBN 978-5-9907917-5-6. [Google Scholar]
- Csuk, R. Betulinic acid and its derivatives: A patent review (2008–2013). antitumor activity, betulinic acid, cancer, cytotoxicity. Expert Opin. Ther. Pat. 2014, 24, 913–923. [Google Scholar] [CrossRef]
- Lundgren, L.N.; Pan, H.; Theander, O.; Eriksson, H.; Johansson, U.; Svenningsson, M. Development of a new chemical method for distinguishing between Betula pendula and Betula pubescens in Sweden. Can. J. For. Res. 1995, 25, 1097–1102. [Google Scholar] [CrossRef]
- Besada, A.; Gawargious, Y.A. Iodometric submicro determination of α-amino-alcohols by an amplification reaction. Talanta 1974, 21, 1247–1252. [Google Scholar] [CrossRef] [PubMed]
- Dehelean, C.A.; Cinta-Pinzaru, S.; Soica, C.; Peev, C.I. Characterization of birch tree leaves, buds and bark dry extracts with antitumor activity. J. Optoelectron. Adv. Mater. 2007, 9, 783–787. [Google Scholar]
- Kovac-Besovic, E.E.; Duric, K.; Kalodera, Z.; Sofic, E. Identification and Isolation of Pharmacologically Active Triterpenes in Betuale Cortex, Betula Pendula Roth., Betulaceae. Bosn. J. Basic Med. Sci. 2009, 9, 31–38. [Google Scholar] [CrossRef]
- Sharma, P.P.; Roy, R.K.; Anurag, B.; Gupta, D. Pentacyclic Triterpinoids from Betula utilis and Hyptis suaveolens. Int. J. Pharmtech. Res. 2010, 2, 1558–1562. [Google Scholar]
- Schulz, H. Rapid Analysis Of Medicinal And Aromatic Plants By Non- Destructive Vibrational Spectroscopy Methods. Acta Hor. 2005, 679, 181–187. [Google Scholar] [CrossRef]
- Falamaş, A.; Pinzaru, S.C.; Dehelean, C.A.; Peev, C.I.; Soica, C. Betulin and its natural resource as potential anticancer drug candidate seen by FT-Raman and FT-IR spectroscopy. J. Raman Spectrosc. 2011, 42, 97–107. [Google Scholar] [CrossRef]
- Schulz, H.; Baranska, M. Identification and quantification of valuable plant substances by IR and Raman spectroscopy. Vib. Spectrosc. 2007, 43, 13–25. [Google Scholar] [CrossRef]
- Cinta-Pinzaru, S.; Dehelean, C.A.; Soica, C.; Culea, M.; Borcan, F. Evaluation and differentiation of the Betulaceae birch bark species and their bioactive triterpene content using analytical FT-vibrational spectroscopy and GC-MS. Chem. Cent. J. 2012, 6, 67. [Google Scholar] [CrossRef] [PubMed]
- Galgon, T.; Hoke, D.; Drager, B. Identification and quantification of betulinic acid. Phytochem. Anal. 1999, 10, 187–190. [Google Scholar] [CrossRef]
- Taralkar, S.V.; Chattopadhyay, S. A HPLC Method for Determination of Ursolic Acid and Betulinic Acids from their Methanolic Extracts of Vitex Negundo Linn. J. Anal. Bioanal. Tech. 2012, 3, 2–6. [Google Scholar] [CrossRef]
- Beregovcova, N.G.; Sharypov, V.I.; Baryshnikov, S.V.; Kuznecov, B.N. Issledovanie processa jekstrakcii beresty berezy jetanolom i izopropanolom pri povyshennyh temperaturah. Khimija Rastit. Syr’ja 2012, 1, 71–75. [Google Scholar]
- Hu, Z.; Guo, N.; Wang, Z.; Liu, Y.; Wang, Y.; Ding, W.; Zhang, D.; Wang, Y.; Yan, X. Development and validation of an LC–ESI/MS/MS method with precolumn derivatization for the determination of betulin in rat plasma. J. Chromatogr. B 2013, 939, 38–44. [Google Scholar] [CrossRef]
- Holonec, L.; Ranga, F.; Crainic, D.; Truta, A.; Socaciu, C. Evaluation of Betulin and Betulinic Acid Content in Birch Bark from Different Forestry Areas of Western Carpathians. Notulae Botanicae Horti Agrobotanici 2012, 40, 99–105. [Google Scholar] [CrossRef]
- Co, M.; Koskela, P.; Eklund-Åkergren, P.; Srinivas, K.; King, J.W.; Sjoberg, P.J.R.; Turner, C. Pressurized liquid extraction of betulin and antioxidants from birch bark. Green Chem. 2009, 11, 668–674. [Google Scholar] [CrossRef]
- Maji, A.K.; Maity, N.; Banerji, P.; Banerjee, D. Validated RP-HPLC-UV method for the determination of betulin in Asteracantha longifolia. Phytomedicine 2013, 5, 131–135. [Google Scholar]
- Pfarr, K.; Danciu, C.; Dehelean, C.; Pfeilschifter, J.M.; Radeke, H.H. Betulin—A plant-derived cytostatic drug-enhances antitumor immune response. J. ImmunoTher. Cancer 2014, 2, 175. [Google Scholar] [CrossRef][Green Version]
- Orsini, S.; Ribechini, E.; Modugno, F.; Klugl, J.; Di Pietro, G.; Colombini, M. Micromorphological and chemical elucidation of the degradation mechanisms of birch bark archaeological artefacts. Herit. Sci. 2015, 3, 2. [Google Scholar] [CrossRef]
- Regert, M.; Alexandre, V.; Thomas, N.; Lattuati-Derieux, A. Molecular characterisation of birch bark tar by headspace solid-phase microextraction gas chromatography–mass spectrometry: A new way for identifying archaeological glues. J. Chromatogr. A 2006, 1101, 245–253. [Google Scholar] [CrossRef] [PubMed]
- Joshi, H.; Saxena, G.K.; Singh, V.; Arya, E. Phytochemical Investigation, Isolation and Characterization of Betulin from Bark of Betula Utilis. J. Pharmacogn. Phytochem. 2013, 2, 145–151. [Google Scholar]
- Tijjani, A.; Ndukwe, I.; Ayo, R. Isolation and Characterization of Lup-20(29)-ene-3, 28- diol (Betulin) from the Stem-Bark of Adenium obesum (Apocynaceae). Trop. J. Pharm. Res. 2012, 11, 259–262. [Google Scholar] [CrossRef]
- Siman, P.; Filipova, A.; Ticha, A.; Niang, M.; Bezrouk, A.; Havelek, R. Effective Method of Purification of Betulin from Birch Bark: The Importance of Its Purity for Scientific and Medicinal Use. PLoS ONE 2016, 11, e0154933. [Google Scholar] [CrossRef]
- Bhat, K.M. Anatomy, Basic Density and Shrinkage of Birch Bark. IAWA Bull. 1982, 3, 207–211. [Google Scholar] [CrossRef]
- Kuznecova, S.A.; Vasil’eva, N.J.; Kalacheva, G.S.; Titova, N.M.; Red’kina, E.S.; Skvorcova, G.P. Poluchenie diacetata betulina iz beresty kory berezy i izuchenie ego antioksidantnoj aktivnost. Zhurnal Sib. Fed. Univ. 2008, 1, 151–165. [Google Scholar]
- Koptelova, E.N.; Kutakova, N.A.; Tret’jakov, S.I. Opredelenie sostava jetanol’nogo jekstrakta beresty. Izvestija Vuzov. Lesn. Zhurnal. 2011, 6, 107–111. [Google Scholar]
- Rhourri-Frih, B.; Chaimbault, P.; Claude, B.; Lamy, C.; Andre, P.; Lafosse, M. Analysis of pentacyclic triterpenes by LC-MS. A comparative study between APCI and APPI. J. Mass Spectrom. 2009, 44, 71–80. [Google Scholar] [CrossRef]
- Gu, J.; Ding, G.; Chen, N.; Zhang, Z. Development and Validation of a Sensitive LC–MS-MS Assay for the Quantification of Betulonic Acid in Rat Plasma. J. Chromatogr. Sci. 2013, 52, 195–200. [Google Scholar] [CrossRef] [PubMed]
- Chen, G.; Li, J.; Song, C.; Suo, Y.; You, J. A sensitive and efficient method for simultaneous trace detection and identification of triterpene acids and its application to pharmacokinetic study. Talanta 2012, 98, 101–111. [Google Scholar] [CrossRef]
- Van der Doelen, G.A.; van den Berg, K.J.; Boon, J.J.; Shibayama, N.; Rene de la Rie, E.; Genuit, W.J.L. Analysis of fresh triterpenoid resins and aged triterpenoid varnishes by high-performance liquid chromatography–atmospheric pressure chemical ionisation (tandem) mass spectrometry. J. Chromatogr. A 1998, 809, 21–37. [Google Scholar] [CrossRef]
- Kosyakov, D.S.; Ul’yanovskii, N.V.; Falev, D.I. Determination of triterpenoids from birch bark by liquid chromatography-tandem mass spectrometry. J. Anal. Chem. 2014, 69, 1264–1269. [Google Scholar] [CrossRef]
- Kalieva, S.S.; Slepchenko, G.B.; Akeneev, J.A.; Nurpejis, E.E.; Tashenov, A.K.; Mamaeva, E.A.; Bakibae, A.A. Vol’tamperometricheskoe opredelenie betulina v jekstraktah rastitel’nogo proishozhdenijav. Zavodskaja Laboratorija 2017, 83, 18–22. [Google Scholar]
- Kalieva, S.S.; Mamaeva, E.A.; Nurpejis, E.E.; Bakibaev, A.A.; Tashenov, A.K.; Zamanova, M.K.; Kec, T.S. Sposoby ochistki nekotoryh pentaciklicheskih triterpenoidov. Vestn. Karagand. Univ. Ser. Him. 2017, 2, 35–39. [Google Scholar]
- Kalieva, S.S.; Mamaeva, E.A.; Nurpejis, E.E.; Bakibaev, A.A.; Tashenov, A.K.; Zamanova, M.K.; Kurgachev, D.A.; Ponarin, N.V. Spektral’nye i hromatograficheskie harakteristiki betulina i nekotoryh ego proizvodnyh. Vestn. Evrazijsk. Nac. Univ. Im. L.N. Gumileva. Ser. Estestv. Teh. Nauk. 2017, 4, 235–240. [Google Scholar]
- Janovskij, V.A.; Andrienko, O.S.; Zhuk, V.V.; Bakibaev, A.A.; Sachkov, V.I. Sposob ochistki betulina. Rossijskaja Federacija. Patent RU 2,463,306, 12 October 2012. [Google Scholar]
- Zhuk, V.V.; Janovskij, V.A.; Janovskaja, E.A.; Bakibaev, A.A.; Andrienko, O.S.; Sharafeev, S.M.; Sachkov, V.I. Perekristallizacija jekstraktov betulina iz vysokokipjashhih uglevodorodnyh rastvoritelej. Him. Rastit. Syr’ja 2012, 2, 73–78. [Google Scholar]
- Demets, O.V.; Takibayeva, A.T.; Kassenov, R.Z.; Aliyeva, M.R. Methods of Betulin Extraction from Birch Bark. Molecules 2022, 27, 3621. [Google Scholar] [CrossRef] [PubMed]













| Compound | Spectral Characteristics | Tm.p., °C | ||
|---|---|---|---|---|
| IR Spectrum (KBr, υ, cm−1) | 1H NMR Spectrum (CDCl3, δ, ppm., J/Hz) | Mass Spectrum, m/z (Irel., %) | ||
| 1 | 3359 (OH), 3078, 2944, 2870 (CH), 1695, 1644, 1457, 1457, 1374, 1029, 884, 759 | 0.65–2.15 (complex, CH3, CH2, CH), 2.38 (1H, dt, H-19, J = 11.5 ᴎ 6.3), 3.18 (1H, dd, H-3, J = 11.2 ᴎ 5.4), 3.32 ᴎ 3.79 (2H, 2d, H-28, J = 10.8), 4.58 ᴎ 4.68 (2H, s, H-29) | 442 (M+, 6), 411 (16), 363 (16), 203 (56), 189 (100), 135 (74), 121 (80), 95 (90), 69 (56), 55 (67) | 258–260 |
| 9 | 3066 (=CH2), 2945, 2869 (C–H), 1733 (C=O), 1457, 1367, 1241, 1018, 979, 889 | 0.74–2.15 (complex, CH3, CH2, CH), 2.43 (1H, dt, H-19, J = 10.8 ᴎ 5.7), 3.84 ᴎ 4.24 (2H, 2d, H-28, J = 11.1), 4.46 (1H, dd, H-3, J = 9.3 ᴎ 3.6), 4.58 ᴎ 4.68 (2H, s, H-29) | 526 (M+, 1), 466 (38), 423 (45), 363 (30), 227 (21), 203 (38), 189 (100), 161 (47), 135 (69), 121 (83), 91 (74), 67 (42), 55 (42) | 215–219 |
| 8 | 3430 (O–H), 2939, 2867(C–H), 1450, 1386, 1375, 1361, 1301, 1264, 1206, 1138, 1076, 1041, 1008, 988, 973, 946, 929, 888, 813, 769 | 0.65–1.82 (complex, CH3, CH2, CH), 3.19 (1H, m, H-3), 3.44 (1H, d, J = 6.5 ᴎ H-28), 3.52 (1H, s, H-19), 3.77 (1H, d, J = 6.5 ᴎ H-28) | 442 (M+, 28), 424 (28), 411 (14), 371 (26), 355 (7), 220 (18), 207 (74), 189 (100), 177 (37), 148 (49), 134 (58), 121 (53), 107 (58), 95 (84), 81 (88), 69 (72), 55 (58) | 262–265 |
Disclaimer/Publisher’s Note: The statements, opinions and data contained in all publications are solely those of the individual author(s) and contributor(s) and not of MDPI and/or the editor(s). MDPI and/or the editor(s) disclaim responsibility for any injury to people or property resulting from any ideas, methods, instructions or products referred to in the content. |
© 2023 by the authors. Licensee MDPI, Basel, Switzerland. This article is an open access article distributed under the terms and conditions of the Creative Commons Attribution (CC BY) license (https://creativecommons.org/licenses/by/4.0/).
Share and Cite
Takibayeva, A.T.; Zhumabayeva, G.K.; Bakibaev, A.A.; Demets, O.V.; Lyapunova, M.V.; Mamaeva, E.A.; Yerkassov, R.S.; Kassenov, R.Z.; Ibrayev, M.K. Methods of Analysis and Identification of Betulin and Its Derivatives. Molecules 2023, 28, 5946. https://doi.org/10.3390/molecules28165946
Takibayeva AT, Zhumabayeva GK, Bakibaev AA, Demets OV, Lyapunova MV, Mamaeva EA, Yerkassov RS, Kassenov RZ, Ibrayev MK. Methods of Analysis and Identification of Betulin and Its Derivatives. Molecules. 2023; 28(16):5946. https://doi.org/10.3390/molecules28165946
Chicago/Turabian StyleTakibayeva, Altynaray T., Gulistan K. Zhumabayeva, Abdigali A. Bakibaev, Olga V. Demets, Maria V. Lyapunova, Elena A. Mamaeva, Rakhmetulla Sh. Yerkassov, Rymchan Z. Kassenov, and Marat K. Ibrayev. 2023. "Methods of Analysis and Identification of Betulin and Its Derivatives" Molecules 28, no. 16: 5946. https://doi.org/10.3390/molecules28165946
APA StyleTakibayeva, A. T., Zhumabayeva, G. K., Bakibaev, A. A., Demets, O. V., Lyapunova, M. V., Mamaeva, E. A., Yerkassov, R. S., Kassenov, R. Z., & Ibrayev, M. K. (2023). Methods of Analysis and Identification of Betulin and Its Derivatives. Molecules, 28(16), 5946. https://doi.org/10.3390/molecules28165946

