Stepwise Targeted Matching Strategy for Comprehensive Profiling of Xanthohumol Metabolites In Vivo and In Vitro Using UHPLC-Q-Exactive Orbitrap Mass Spectrometer
Abstract
1. Introduction
2. Results
2.1. The Establishment of a Stepwise Targeted Matching Strategy Based on SMM and SMMC
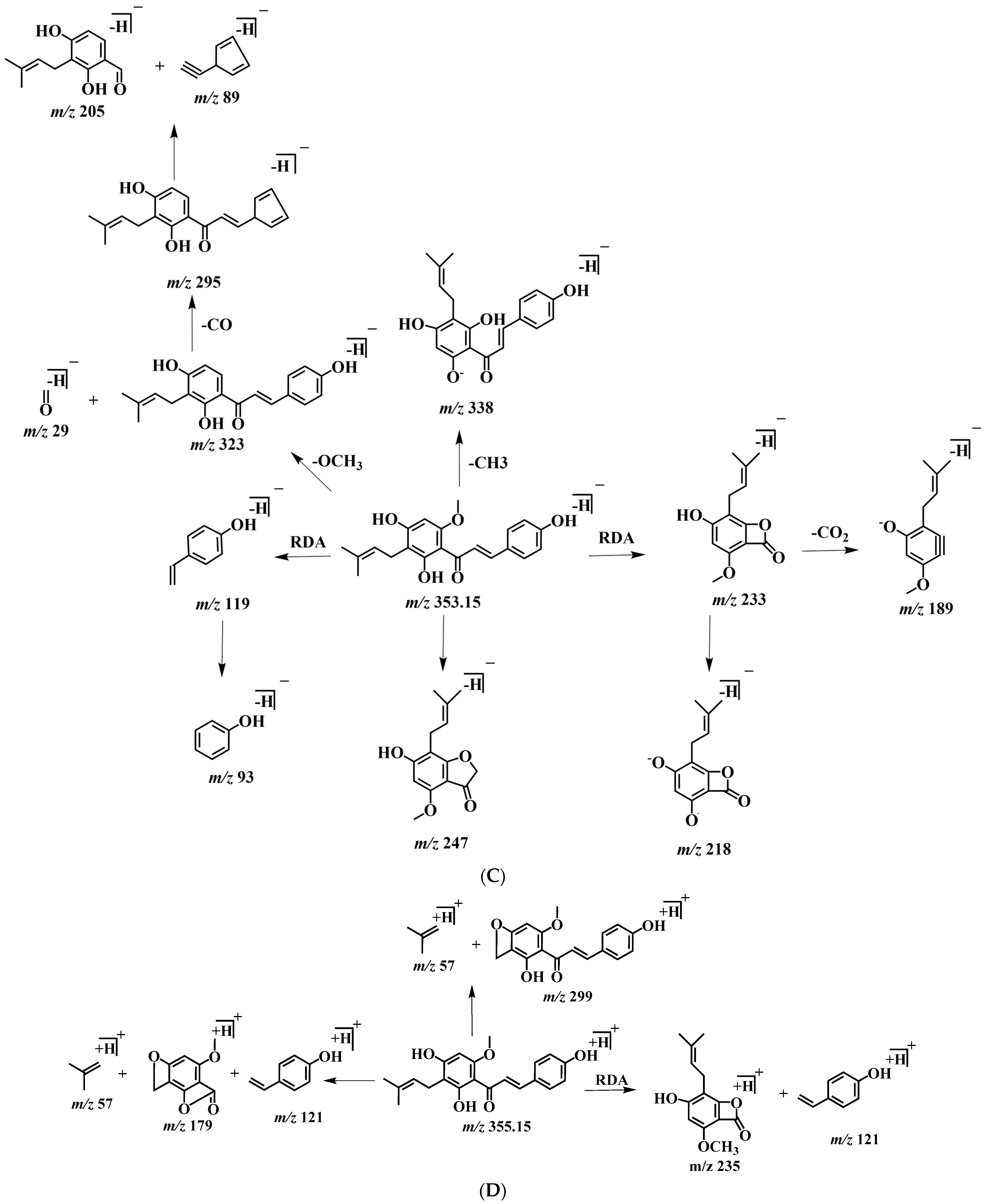
2.2. Fragmentation Pattern Analysis and DPI Determination
2.3. Detection and Structural Elucidation of XN Metabolites
2.3.1. Identification of SMMC1
2.3.2. Identification of SMMC2
2.3.3. Identification of SMMC3
2.3.4. Identification of XN Metabolites except for SMMCs
3. Discussion
3.1. Comparison of Three Different Biological Treatment Methods
3.2. Comparison of XN Metabolites In Vivo and In Vitro
3.3. Comparison of Metabolites Identified in This Study and in Previous Studies
4. Materials and Methods
4.1. Chemicals and Reagents
4.2. Animals and Drug Administration
4.3. Sample Collection and Pretreatment In Vivo
4.3.1. Sample Collection
4.3.2. Sample Pretreatment
4.4. Sample Collection and Pretreatment In Vitro
4.4.1. In Vitro Metabolism Incubation
4.4.2. Sample Pretreatment
4.5. Instruments and Analytical Conditions
4.5.1. UHPLC Parameters
4.5.2. HRMS Parameters
4.6. Peak Selections and Data Processing
5. Conclusions
Supplementary Materials
Author Contributions
Funding
Institutional Review Board Statement
Informed Consent Statement
Data Availability Statement
Conflicts of Interest
Sample Availability
References
- Liu, M.; Hansen, P.E.; Wang, G.; Qiu, L.; Dong, J.; Yin, H.; Qian, Z.; Yang, M.; Miao, J. Pharmacological profile of xanthohumol, a prenylated flavonoid from hops (Humulus lupulus). Molecules 2015, 20, 754–779. [Google Scholar] [CrossRef]
- McAdam, E.L.; Freeman, J.S.; Whittock, S.P.; Buck, E.J.; Jakse, J.; Cerenak, A.; Javornik, B.; Kilian, A.; Wang, C.-H.; Andersen, D.; et al. Quantitative trait loci in hop (Humulus lupulus L.) reveal complex genetic architecture underlying variation in sex, yield and cone chemistry. BMC Genom. 2013, 14, 360. [Google Scholar] [CrossRef] [PubMed]
- Dostálek, P.; Karabín, M.; Jelínek, L. Hop Phytochemicals and Their Potential Role in Metabolic Syndrome Prevention and Therapy. Molecules 2017, 22, 1761. [Google Scholar] [CrossRef]
- Chen, Q.-H.; Fu, M.-L.; Chen, M.-M.; Liu, J.; Liu, X.-J.; He, G.-Q.; Pu, S.-C. Preparative isolation and purification of xanthohumol from hops (Humulus lupulus L.) by high-speed counter-current chromatography. Food Chem. 2012, 132, 619–623. [Google Scholar] [CrossRef] [PubMed]
- Miranda, C.L.; Stevens, J.F.; Ivanov, V.; McCall, M.; Frei, B.; Deinzer, M.L.; Buhler, D.R. Antioxidant and prooxidant actions of prenylated and nonprenylated chalcones and flavanones in vitro. J. Agric. Food Chem. 2000, 48, 3876–3884. [Google Scholar] [CrossRef]
- Zamek-Gliszczynski, M.J.; Hoffmaster, K.A.; Nezasa, K.; Tallman, M.N.; Brouwer, K.L.R. Integration of hepatic drug transporters and phase II metabolizing enzymes: Mechanisms of hepatic excretion of sulfate, glucuronide, and glutathione metabolites. Eur. J. Pharm. Sci. Off. J. Eur. Fed. Pharm. Sci. 2006, 27, 447–486. [Google Scholar] [CrossRef]
- Huang, X.; Wang, J.; Chen, X.; Liu, P.; Wang, S.; Song, F.; Zhang, Z.; Zhu, F.; Huang, X.; Liu, J.; et al. The Prenylflavonoid Xanthohumol Reduces Alzheimer-Like Changes and Modulates Multiple Pathogenic Molecular Pathways in the Neuro2a/APPswe Cell Model of AD. Front. Pharmacol. 2018, 9, 199. [Google Scholar] [CrossRef] [PubMed]
- Costa, R.; Rodrigues, I.; Guardão, L.; Rocha-Rodrigues, S.; Silva, C.; Magalhães, J.; Ferreira-de-Almeida, M.; Negrão, R.; Soares, R. Xanthohumol and 8-prenylnaringenin ameliorate diabetic-related metabolic dysfunctions in mice. J. Nutr. Biochem. 2017, 45, 39–47. [Google Scholar] [CrossRef]
- Jeong, H.M.; Han, E.H.; Jin, Y.H.; Choi, Y.H.; Lee, K.Y.; Jeong, H.G. Xanthohumol from the hop plant stimulates osteoblast differentiation by RUNX2 activation. Biochem. Biophys. Res. Commun. 2011, 409, 82–89. [Google Scholar] [CrossRef]
- Tobe, H.; Kitamura, K.; Komiyama, O. Pharmaceutical Composition for Treating Osteoporosis. U.S. Patent Number 5,679,716, 21 October 1997. [Google Scholar]
- Albini, A.; Dell’Eva, R.; Vené, R.; Ferrari, N.; Buhler, D.R.; Noonan, D.M.; Fassina, G. Mechanisms of the antiangiogenic activity by the hop flavonoid xanthohumol: NF-κB and Akt as targets. FASEB J. Off. Publ. Fed. Am. Soc. Exp. Biol. 2006, 20, 527–529. [Google Scholar] [CrossRef]
- Kiyofuji, A.; Yui, K.; Takahashi, K.; Osada, K. Effects of xanthohumol-rich hop extract on the differentiation of preadipocytes. J. Oleo Sci. 2014, 63, 593–597. [Google Scholar] [CrossRef] [PubMed]
- Yilmazer, M.; Stevens, J.F.; Buhler, D.R. In vitro glucuronidation of xanthohumol, a flavonoid in hop and beer, by rat and human liver microsomes. FEBS Lett. 2001, 491, 252–256. [Google Scholar] [CrossRef] [PubMed]
- Yilmazer, M.; Stevens, J.F.; Deinzer, M.L.; Buhler, D.R. In vitro biotransformation of xanthohumol, a flavonoid from hops (Humulus lupulus), by rat liver microsomes. Drug Metab. Dispos. 2001, 29, 223–231. [Google Scholar] [PubMed]
- Nikolic, D.; Li, Y.; Chadwick, L.R.; Pauli, G.F.; van Breemen, R.B. Metabolism of xanthohumol and isoxanthohumol, prenylated flavonoids from hops (Humulus lupulus L.), by human liver microsomes. J. Mass Spectrom. JMS 2005, 40, 289–299. [Google Scholar] [CrossRef]
- Legette, L.; Karnpracha, C.; Reed, R.L.; Choi, J.; Bobe, G.; Christensen, J.M.; Rodriguez-Proteau, R.; Purnell, J.Q.; Stevens, J.F. Human pharmacokinetics of xanthohumol, an antihyperglycemic flavonoid from hops. Mol. Nutr. Food Res. 2014, 58, 248–255. [Google Scholar] [CrossRef]
- Hanske, L.; Loh, G.; Sczesny, S.; Blaut, M.; Braune, A. Recovery and metabolism of xanthohumol in germ-free and human microbiota-associated rats. Mol. Nutr. Food Res. 2010, 54, 1405–1413. [Google Scholar] [CrossRef]
- Avula, B.; Ganzera, M.; Warnick, J.E.; Feltenstein, M.W.; Sufka, K.J.; Khan, I.A. High-performance liquid chromatographic determination of xanthohumol in rat plasma, urine, and fecal samples. J. Chromatogr. Sci. 2004, 42, 378–382. [Google Scholar] [CrossRef]
- Nookandeh, A.; Frank, N.; Steiner, F.; Ellinger, R.; Schneider, B.; Gerhäuser, C.; Becker, H. Xanthohumol metabolites in faeces of rats. Phytochemistry 2004, 65, 561–570. [Google Scholar] [CrossRef]
- Zanger, U.M.; Schwab, M. Cytochrome P450 enzymes in drug metabolism: Regulation of gene expression, enzyme activities, and impact of genetic variation. Pharmacol. Ther. 2013, 138, 103–141. [Google Scholar] [CrossRef]
- Kirchmair, J.; Göller, A.H.; Lang, D.; Kunze, J.; Testa, B.; Wilson, I.D.; Glen, R.C.; Schneider, G. Predicting drug metabolism: Experiment and/or computation? Nat. Rev. Drug Discov. 2015, 14, 387–404. [Google Scholar] [CrossRef]
- Zhang, H.; Gao, N.; Tian, X.; Liu, T.; Fang, Y.; Zhou, J.; Wen, Q.; Xu, B.; Qi, B.; Gao, J.; et al. Content and activity of human liver microsomal protein and prediction of individual hepatic clearance in vivo. Sci. Rep. 2015, 5, 17671. [Google Scholar] [CrossRef] [PubMed]
- Li, W.; Zhang, J.; Wang, Y.; Hu, F.; Zhang, Y. Metabolism of vesatolimod in rat, dog, and human liver microsomes: Metabolic stability assessment, metabolite identification, and interspecies comparison. Drug Test. Anal. 2019, 11, 240–249. [Google Scholar] [CrossRef] [PubMed]
- Zhang, J.; Wang, F.; Cai, W.; Zhang, Q.; Liu, Y.; Li, Y.; Liu, R.; Cao, G. Identification of metabolites of gardenin A in rats by combination of high-performance liquid chromatography with linear ion trap-Orbitrap mass spectrometer based on multiple data processing techniques. Biomed. Chromatogr. BMC 2015, 29, 379–387. [Google Scholar] [CrossRef]
- Wen, B.; Zhu, M. Applications of mass spectrometry in drug metabolism: 50 years of progress. Drug Metab. Rev. 2015, 47, 71–87. [Google Scholar] [CrossRef] [PubMed]
- Ma, S.; Chowdhury, S.K. Data acquisition and data mining techniques for metabolite identification using LC coupled to high-resolution MS. Bioanalysis 2013, 5, 1285–1297. [Google Scholar] [CrossRef]
- Jirásko, R.; Holcapek, M.; Vrublová, E.; Ulrichová, J.; Simánek, V. Identification of new phase II metabolites of xanthohumol in rat in vivo biotransformation of hop extracts using high-performance liquid chromatography electrospray ionization tandem mass spectrometry. J. Chromatogr. A 2010, 1217, 4100–4108. [Google Scholar] [CrossRef]
- Dong, P.; Shi, L.; Wang, S.; Jiang, S.; Li, H.; Dong, F.; Xu, J.; Dai, L.; Zhang, J. Rapid Profiling and Identification of Vitexin Metabolites in Rat Urine, Plasma and Faeces after Oral Administration Using a UHPLC-Q-Exactive Orbitrap Mass Spectrometer Coupled with Multiple Data-mining Methods. Curr. Drug Metab. 2021, 22, 185–197. [Google Scholar] [PubMed]
- Zelena, E.; Dunn, W.B.; Broadhurst, D.; Francis-McIntyre, S.; Carroll, K.M.; Begley, P.; O’Hagan, S.; Knowles, J.D.; Halsall, A.; HUSERMET Consortium; et al. Development of a robust and repeatable UPLC-MS method for the long-term metabolomic study of human serum. Anal. Chem. 2009, 81, 1357–1364. [Google Scholar] [CrossRef]
- Vuckovic, D. Current trends and challenges in sample preparation for global metabolomics using liquid chromatography-mass spectrometry. Anal. Bioanal. Chem. 2012, 403, 1523–1548. [Google Scholar] [CrossRef]
- Jordan, T.B.; Nichols, D.S.; Kerr, N.I. Selection of SPE cartridge for automated solid-phase extraction of pesticides from water followed by liquid chromatography-tandem mass spectrometry. Anal. Bioanal. Chem. 2009, 394, 2257–2266. [Google Scholar] [CrossRef]
- Nema, T.; Chan, E.C.Y.; Ho, P.C. Application of silica-based monolith as solid phase extraction cartridge for extracting polar compounds from urine. Talanta 2010, 82, 488–494. [Google Scholar] [CrossRef] [PubMed]
- van Breemen, R.B.; Chen, L.; Tonsing-Carter, A.; Banuvar, S.; Barengolts, E.; Viana, M.; Chen, S.-N.; Pauli, G.F.; Bolton, J.L. Pharmacokinetic Interactions of a Hop Dietary Supplement with Drug Metabolism in Perimenopausal and Postmenopausal Women. J. Agric. Food Chem. 2020, 68, 5212–5220. [Google Scholar] [CrossRef] [PubMed]
- Yang, G.; Ge, S.; Singh, R.; Basu, S.; Shatzer, K.; Zen, M.; Liu, J.; Tu, Y.; Zhang, C.; Wei, J.; et al. Glucuronidation: Driving factors and their impact on glucuronide disposition. Drug Metab. Rev. 2017, 49, 105–138. [Google Scholar] [CrossRef]
- Ruefer, C.E.; Gerhäuser, C.; Frank, N.; Becker, H.; Kulling, S.E. In vitro phase II metabolism of xanthohumol by human UDP-glucuronosyltransferases and sulfotransferases. Mol. Nutr. Food Res. 2005, 49, 851–856. [Google Scholar] [CrossRef] [PubMed]
- Bai, H.-H.; Xia, T.-S.; Jiang, Y.-P.; Xu, W.-M.; Xu, P.-C.; Wang, N.-N.; Gou, X.-J.; Xin, H.-L. Absorption, metabolism, and pharmacokinetic profile of xanthohumol in rats as determined via UPLC-MS/MS. Biopharm. Drug Dispos. 2022, 43, 11–22. [Google Scholar] [CrossRef]
- Lee, S.H.; Woo, H.M.; Jung, B.H.; Lee, J.; Kwon, O.S.; Pyo, H.S.; Choi, M.H.; Chung, B.C. Metabolomic approach to evaluate the toxicological effects of nonylphenol with rat urine. Anal. Chem. 2007, 79, 6102–6110. [Google Scholar] [CrossRef]
- Ulrich, S. Solid-phase microextraction in biomedical analysis. J. Chromatogr. A 2000, 902, 167–194. [Google Scholar] [CrossRef]







| Peak | tR /min | Ion Mode | Formula [M − H]−/[M − H]+ | Theoretical Mass (m/z) | Experimental Mass (m/z) | RDB | Error (ppm) | MS/MS Fragment Ions | P | F | G | GW | U |
|---|---|---|---|---|---|---|---|---|---|---|---|---|---|
| M0 * | 14.69 | P | C21H23O5 | 355.15400 | 355.15323 | 10.5 | −2.169 | 179 (100.00), 299 (27.29), 355 (14.12), 197 (7.75), 356 (3.29), 235 (0.84), 233 (0.31), 357 (0.26), 353 (0.14) | |||||
| 14.69 | N | C21H21O5 | 353.13944 | 353.13861 | 11.5 | 0.736 | 119 (100.00), 353 (78.54), 233 (30.19), 354 (18.16), 120 (8.03), 234 (4.14), 145 (2.52), 247 (2.00), 283 (1.93), 355 (1.62), 159 (1.45) | √ | √ | √ | √ | ||
| M1 | 1.42 | N | C22H23O9S | 463.10573 | 463.10278 | 11.5 | −6.369 | 96 (100.00), 463 (5.63), 365 (4.79), 245 (2.98), 299 (1.14) | √ | ||||
| M2 | 4.83 | N | C21H23O10S | 467.10064 | 467.10120 | 10.5 | 1.190 | 119 (100.00), 385 (48.67), 467 (10.81) | √ | ||||
| M3 | 4.88 | P | C27H31O13 | 563.17592 | 563.17151 | 12.5 | −7.826 | 563 (16.20), 385 (3.61), 366 (8.21) | √ | ||||
| M4 | 5.07 | N | C27H29O15S | 625.12217 | 625.12305 | 13.5 | 1.412 | 449 (100.00), 369 (75.22), 119 (64.83), 249 (57.81), 625 (21.82), 545 (8.01) | √ | ||||
| M5 | 5.1 | P | C27H31O11 | 531.18609 | 531.18573 | 12.5 | −0.674 | 179 (100.00), 299 (32.16), 531 (14.45), 355 (9.42), 235 (1.19) | √ | ||||
| M6 | 5.11 | N | C33H37O17 | 705.20253 | 705.20361 | 15.5 | −0.018 | 529 (100.00), 119 (51.21), 353 (48.85), 233 (32.89), 705 (23.70) | √ | √ | |||
| 5.12 | P | C33H39O17 | 707.21818 | 707.21741 | 14.5 | −1.083 | 179 (100.00), 299 (28.94), 531 (16.52), 355 (8.21), 235 (1.26), 707 (0.98) | √ | |||||
| M7 | 5.11 | N | C21H21O12S | 497.07482 | 497.07599 | 11.5 | 2.347 | 497 (35.08), 322 (16.38), 119 (5.20), 417 (4.32) | √ | ||||
| M8 | 5.5 | N | C21H21O12S | 497.07482 | 497.07578 | 11.5 | 1.925 | 497 (44.86), 241 (23.40), 322 (17.93), 417 (7.09), 119 (5.27) | √ | ||||
| M9 | 5.59 | P | C33H39O17 | 707.21818 | 707.21771 | 14.5 | −0.659 | 179 (100.00), 531 (46.80), 299 (17.24), 355 (15.10), 707 (9.62), 235 (5.66) | √ | ||||
| 5.6 | N | C33H37O17 | 705.20253 | 705.20349 | 15.5 | 1.367 | 529 (100.00), 353 (39.87), 705 (34.73), 119 (33.47), 233 (31.31) | √ | √ | ||||
| M10 | 5.61 | N | C21H23O10S | 467.10064 | 467.10101 | 10.5 | 0.784 | 119 (100.00), 387 (35.11), 467 (11.12), 265 (4.95) | √ | ||||
| M11 | 5.70 | N | C27H29O12 | 545.16645 | 545.16650 | 13.5 | 2.105 | 369 (100.00), 119 (77.41), 249 (56.43), 545 (51.02) | √ | ||||
| 5.72 | P | C27H31O12 | 547.17914 | 547.18100 | 12.5 | −1.394 | 371 (30.35), 547 (4.33), 355 (1.51) | √ | |||||
| M12 | 5.72 | N | C27H29O12 | 545.16535 | 545.16675 | 13.5 | 2.563 | 369 (100.00), 119 (77.41), 545 (51.02), 250 (7.31), 339 (2.73) | √ | ||||
| 5.72 | P | C27H31O12 | 547.18100 | 547.18091 | 12.5 | −0.169 | 371 (30.35), 547 (4.33), 355 (1.51), 235 (0.94), 179 (0.53) | √ | |||||
| M13 | 5.96 | N | C21H23O10S | 467.10064 | 467.10117 | 10.5 | 1.126 | 119 (100.00), 387 (19.87), 249 (19.40), 467 (17.71) | √ | ||||
| M14 | 6.15 | N | C21H23O9S | 451.10573 | 451.10580 | 10.5 | 0.157 | 119 (100.00), 369 (47.42), 451 (10.37), 119 (0.62), 249 (0.39) | √ | ||||
| M15 | 6.28 | N | C21H23O9S | 451.10573 | 451.10577 | 10.5 | 0.090 | 119 (100.00), 371 (49.53), 249 (28.42), 451 (12.79) | √ | ||||
| M16 | 6.32 | N | C21H23O10S | 467.10064 | 467.10071 | 10.5 | 0.141 | 385 (100.00), 119 (71.51), 467 (43.08), 265 (2.28), 249 (1.60) | √ | ||||
| M17 | 6.36 | N | C21H21O10S | 465.08499 | 465.08456 | 11.5 | −3.291 | 119 (91.97), 385 (44.65), 465 (26.62) | √ | ||||
| M18 | 6.39 | P | C21H27O9S | 455.13703 | 455.13586 | 8.5 | −2.570 | 179 (72.17), 251 (25.44), 235 (22.41), 455 (0.58), 375 (0.26) | √ | ||||
| M19 | 6.42 | N | C27H29O14S | 609.12725 | 609.12848 | 13.5 | 2.015 | 433 (100.00), 353 (69.97), 233 (50.44), 119 (49.39), 609 (19.48), 529 (7.03) | √ | ||||
| M20 | 6.43 | N | C27H29O12 | 545.16535 | 545.16620 | 13.5 | 1.554 | 369 (10000), 545 (6.99), 233 (4.28) | √ | ||||
| M21 | 6.43 | N | C27H29O14S | 609.12725 | 609.12817 | 13.5 | 1.506 | 433 (100.00), 353 (78.90), 119 (53.13), 233 (53.04), 609 (20.17) | √ | ||||
| M22 | 6.43 | N | C27H29O12 | 545.16535 | 545.16602 | 13.5 | −0.788 | 369 (100.00), 545 (12.71), 247 (8.36) | √ | √ | |||
| 6.44 | P | C27H31O12 | 547.18100 | 547.18054 | 12.5 | −0.846 | 371 (100.00), 179 (24.36), 353 (10.51), 547 (7.77), 235 (3.87) | √ | |||||
| M23 | 6.5 | P | C27H31O14S | 611.14290 | 611.14233 | 12.5 | −0.937 | 179 (100.00), 435 (92.64), 299 (50.08), 355 (44.78), 235.10 (19.05), 531 (5.74), 611 (5.71) | √ | ||||
| M24 | 6.64 | N | C21H21O10S | 465.08499 | 465.08536 | 11.5 | −1.571 | 119 (100.00), 385 (21.03), 465 (19.85) | √ | ||||
| M25 | 6.69 | N | C27H29O12 | 545.16535 | 545.16595 | 13.5 | −0.916 | 119 (100.00), 545 (42.66), 369 (17.50) | √ | ||||
| M26 | 6.77 | N | C21H21O9S | 449.09008 | 449.09015 | 11.5 | 0.071 | 119 (100.00), 369 (13.76), 449 (10.04), 233 (0.31), 96 (1.58) | √ | ||||
| M27 | 6.86 | N | C27H29O12 | 545.16535 | 545.16614 | 13.5 | −0.568 | 119 (100.00), 545 (67.44), 369 (29.05), 247 (10.98) | √ | ||||
| M28 | 6.9 | N | C21H23O9S | 451.10573 | 451.10596 | 10.5 | 0.511 | 369 (100.00), 119 (70.53), 249 (40.01), 451 (14.02) | √ | ||||
| M29 | 7.24 | N | C27H29O11 | 529.17044 | 529.17096 | 13.5 | 0.986 | 119 (100.00), 353 (99.38), 233 (63.30), 529 (59.40) | √ | √ | |||
| 7.24 | P | C27H31O11 | 531.18609 | 531.18549 | 12.5 | −1.126 | 179 (100.00), 355 (62.21), 299 (19.94), 531 (5.15) | √ | √ | ||||
| M30 | 7.36 | N | C27H27O12 | 543.1497 | 543.150270 | 14.5 | −0.975 | 367 (100.00), 543 (12.03), 281 (3.18) | √ | ||||
| M31 | 7.49 | P | C27H31O11 | 531.18609 | 531.18579 | 12.5 | −0.561 | 179 (100.00), 531 (34.67), 355 (21.47), 299 (12.67) | √ | √ | |||
| 7.51 | N | C27H29O11 | 529.17044 | 529.17096 | 13.5 | 0.986 | 529 (100.00), 119 (52.89), 233 (40.54), 353 (23.06) | √ | |||||
| M32 | 7.71 | N | C27H31O14S | 611.14290 | 611.14319 | 12.5 | 0.470 | 119 (100.00), 353 (71.68), 611 (60.17), 369 (4.25), 531 (1.51) | √ | ||||
| M33 | 8.07 | P | C21H21O6 | 369.13326 | 369.13251 | 11.5 | −2.045 | 369 (100.00), 249 (15.06), 179 (4.16), 85 (3.22) | √ | √ | |||
| M34 | 8.24 | N | C26H27O11 | 515.15479 | 515.15570 | 13.5 | −0.359 | 339 (100.00), 515 (34.79), 119 (32.87) | √ | ||||
| 8.24 | P | C26H29O11 | 517.17044 | 517.17041 | 12.5 | −2.175 | 341 (100.00), 517 (4.08), 179 (3.34) | √ | |||||
| M35 | 8.30 | N | C21H21O8S | 433.09626 | 433.09540 | 11.5 | 0.543 | 119 (100.00), 233 (67.75), 353 (10.54), 433 (76.72), | √ | √ | |||
| 8.33 | P | C21H23O8S | 435.11191 | 435.10977 | 10.5 | −2.401 | 179 (100.00), 435 (45.03), 355 (28.23), 299 (22.31), 235 (12.61), 121 (1.29), | √ | |||||
| M36 | 8.39 | N | C27H29O12 | 545.16535 | 545.16632 | 13.5 | 1.774 | 369 (100.00), 119 (75.73), 545 (32.54), 250 (5.78), 233 (1.51) | √ | ||||
| 8.39 | P | C27H31O12 | 547.18100 | 547.18091 | 12.5 | −0.279 | 371 (32.58), 547 (3.94), 179 (3.21), 355 (1.47), 235 (0.96), 299 (0.61) | √ | |||||
| M37 | 8.42 | P | C21H21O6 | 369.13326 | 369.1322 | 11.5 | −2.885 | 249 (100.00), 369 (51.07), 353 (9.42), 231 (6.52) | √ | √ | |||
| M38 | 8.47 | N | C21H21O8S | 433.09626 | 433.09601 | 11.5 | 1.952 | 119 (100.00), 433 (83.63), 233 (71.85), 353 (58.14) | √ | ||||
| 8.47 | P | C21H23O8S | 435.11191 | 435.1102 | 10.5 | −1.413 | 179 (100.00), 435 (47.52), 355 (26.88), 299 (20.88), 235 (11.17), 121 (0.75) | √ | |||||
| M39 | 8.65 | N | C21H21O9S | 449.09058 | 449.09008 | 11.5 | 1.115 | 119 (100.00), 369 (83.93), 449 (46.95), 80 (34.52), 249 (36.97) | √ | ||||
| M40 | 8.83 | N | C21H23O8S | 435.11081 | 435.11063 | 10.5 | −0.425 | 353 (100.00), 119 (78.71), 233 (43.17), 435 (9.49), | √ | ||||
| 8.86 | P | C21H25O8S | 437.12646 | 437.12494 | 9.5 | −3.488 | 179 (100.00), 235 (43.37), 299 (17.34), 437 (6.22), 355 (1.60) | √ | |||||
| M41 | 8.87 | N | C21H23O10S | 467.10064 | 467.10071 | 10.5 | 0.1410 | 119 (35.08), 467 (6.44), 387 (4.67), 247 (2.51) | √ | ||||
| M42 | 9.28 | N | C21H23O8S | 435.11081 | 435.11194 | 10.5 | 2.586 | 353 (100.00), 119 (68.81), 233 (35.24), 435 (11.67), 96 (2.77) | √ | ||||
| 9.30 | P | C21H25O8S | 437.12646 | 437.12604 | 9.5 | −0.972 | 179 (100.00), 235 (44.98), 299 (11.31), 437 (9.22) | √ | |||||
| M43 | 9.71 | N | C26H27O11 | 515.15479 | 515.15521 | 13.5 | −1.310 | 339 (100.00), 515 (30.45), 119 (27.85) | √ | ||||
| 9.71 | P | C26H29O11 | 517.17044 | 517.16968 | 12.5 | −3.587 | 285 (100.00), 165 (67.89), 341 (18.93), 517 (12.74) | √ | |||||
| M44 | 9.99 | N | C27H29O14S | 609.12725 | 609.12817 | 13.5 | 1.506 | 609 (100.00), 353 (86.40), 119 (66.91), 233 (63.16), 529 (29.62), 433 (13.42) | √ | ||||
| M45 | 10.03 | N | C21H19O9S | 447.07443 | 447.0752 | 12.5 | 1.724 | 119 (100.00), 447 (23.81), 367 (22.27), 96 (1.24), 351 (0.18) | √ | ||||
| M46 | 10.37 | P | C21H23O6 | 371.14891 | 371.14767 | 10.5 | −0.013 | 371 (100.00), 179 (24.36), 353 (10.51), 547 (7.77), 235 (3.87) | √ | √ | √ | √ | |
| 10.36 | N | C21H21O6 | 369.13333 | 369.13436 | 11.5 | 1.504 | 369 (100.00), 119 (93.76), 250 (3.65), 339 (2.56) | √ | √ | √ | √ | √ | |
| M47 | 10.47 | N | C21H21O7 | 385.12818 | 385.12875 | 11.5 | 1.482 | 385 (100.00), 119 (64.76), 265 (1.34), 149 (1.08) | √ | ||||
| M48 | 10.63 | N | C27H29O11 | 529.17044 | 529.17108 | 13.5 | 1.213 | 353 (100.00), 119 (87.24), 233 (53.66), 529 (35.90) | √ | √ | √ | ||
| 10.63 | P | C27H31O11 | 531.18609 | 531.18542 | 12.5 | −1.258 | 179 (100.00), 299 (32.08), 531 (12.19), 355 (8.72), 235 (1.11) | √ | √ | ||||
| M49 | 10.79 | P | C21H23O8 | 403.13874 | 403.13831 | 10.5 | −1.077 | 403 (75.61), 355 (5.95), 179 (1.20), 299 (1.06) | √ | ||||
| M50 | 11.45 | N | C27H29O11 | 529.17044 | 529.17108 | 13.5 | 1.213 | 119 (95.09), 353 (67.23), 233 (54.97), 529 (41.65) | √ | ||||
| 11.46 | P | C27H31O11 | 531.18609 | 531.18542 | 12.5 | −1.258 | 179 (100.00), 531 (14.03), 299 (4.75), 355 (4.00), 235 (1.33) | √ | |||||
| M51 | 11.79 | P | C21H21O6 | 369.13326 | 369.13293 | 11.5 | −0.907 | 249 (100.00), 369 (78.55), 353 (31.27), 231 (20.32), 351 (4.32) | √ | √ | |||
| M52 | 13.08 | P | C21H23O8S | 435.11191 | 435.10992 | 10.5 | −2.056 | 179 (100.00), 435 (12.91), 299 (1.82), 355 (1.14), 235 (0.61) | √ | ||||
| 13.09 | N | C21H21O8S | 433.09626 | 433.09583 | 11.5 | 1.536 | 119 (100.00), 353 (65.57), 433 (64.65), 233 (63.70) | √ | |||||
| M53 | 24.15 | N | C28H31O13 | 575.17592 | 575.17914 | 13.5 | 5.603 | 257 (73.88), 433 (24.22), 233 (23.17), 119 (15.49), 575 (4.19) | √ |
Disclaimer/Publisher’s Note: The statements, opinions and data contained in all publications are solely those of the individual author(s) and contributor(s) and not of MDPI and/or the editor(s). MDPI and/or the editor(s) disclaim responsibility for any injury to people or property resulting from any ideas, methods, instructions or products referred to in the content. |
© 2023 by the authors. Licensee MDPI, Basel, Switzerland. This article is an open access article distributed under the terms and conditions of the Creative Commons Attribution (CC BY) license (https://creativecommons.org/licenses/by/4.0/).
Share and Cite
Yuan, X.; Wang, H.; Song, S.; Qiu, L.; Lan, X.; Dong, P.; Zhang, J. Stepwise Targeted Matching Strategy for Comprehensive Profiling of Xanthohumol Metabolites In Vivo and In Vitro Using UHPLC-Q-Exactive Orbitrap Mass Spectrometer. Molecules 2023, 28, 5168. https://doi.org/10.3390/molecules28135168
Yuan X, Wang H, Song S, Qiu L, Lan X, Dong P, Zhang J. Stepwise Targeted Matching Strategy for Comprehensive Profiling of Xanthohumol Metabolites In Vivo and In Vitro Using UHPLC-Q-Exactive Orbitrap Mass Spectrometer. Molecules. 2023; 28(13):5168. https://doi.org/10.3390/molecules28135168
Chicago/Turabian StyleYuan, Xiaoqing, Hong Wang, Shuyi Song, Lili Qiu, Xianming Lan, Pingping Dong, and Jiayu Zhang. 2023. "Stepwise Targeted Matching Strategy for Comprehensive Profiling of Xanthohumol Metabolites In Vivo and In Vitro Using UHPLC-Q-Exactive Orbitrap Mass Spectrometer" Molecules 28, no. 13: 5168. https://doi.org/10.3390/molecules28135168
APA StyleYuan, X., Wang, H., Song, S., Qiu, L., Lan, X., Dong, P., & Zhang, J. (2023). Stepwise Targeted Matching Strategy for Comprehensive Profiling of Xanthohumol Metabolites In Vivo and In Vitro Using UHPLC-Q-Exactive Orbitrap Mass Spectrometer. Molecules, 28(13), 5168. https://doi.org/10.3390/molecules28135168

