Interaction of Graphene Oxide Nanoparticles with Human Mesenchymal Stem Cells Visualized in the Cell-IQ System
Abstract
1. Introduction
- -
- Adhere to plastic;
- -
- Differentiate in vitro into osteoblasts, adipocytes, and chondroblasts;
- -
- Express CD105, CD90, CD73, CD44, and HLA-DR;
- -
- Lack CD45, CD34, CD14, CD11b, CD79, and CD19.
2. Results
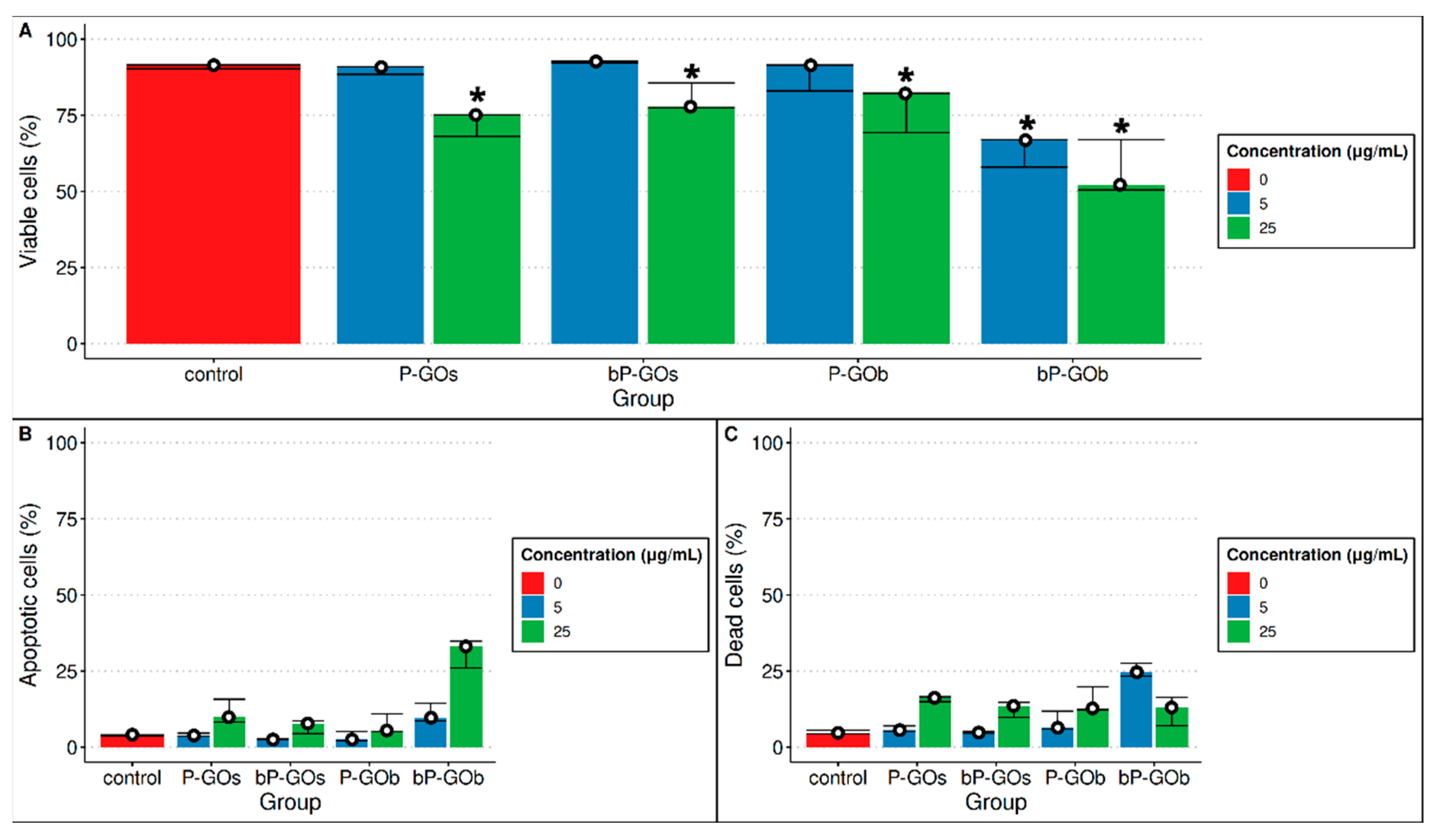
2.1. Determination of the Relative Numbers of Live and Dead Cells after 24-h Incubation with GO Nanoparticles
2.2. Evaluation of Particle Internalization by Cells
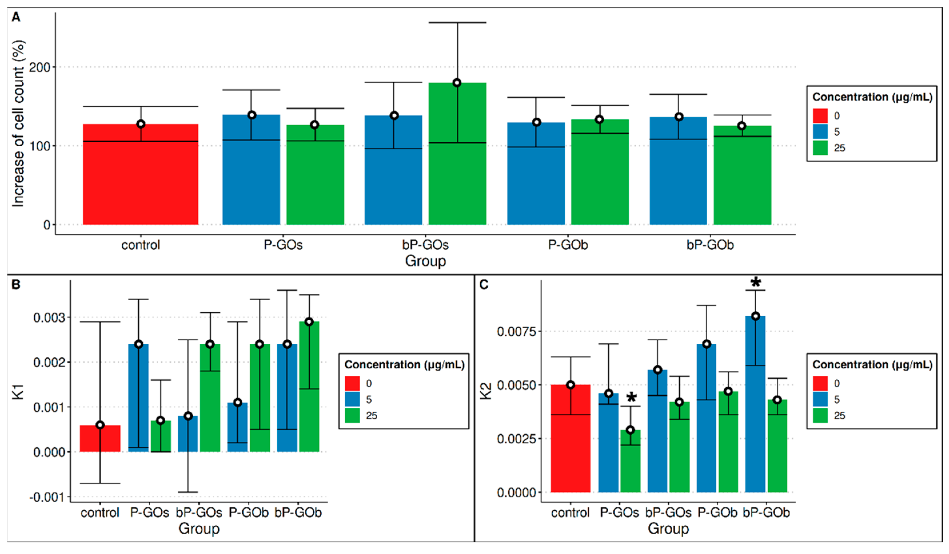
2.3. Evaluation of Cell Growth and Migration Activity in the Cell-IQ System
3. Discussion
4. Materials and Methods
5. Conclusions
Supplementary Materials
Author Contributions
Funding
Institutional Review Board Statement
Informed Consent Statement
Data Availability Statement
Conflicts of Interest
Sample Availability
Appendix A
- Control—cells in a culture medium without the addition of graphene oxide nanoparticles (3 iterations per plate, 6 iterations in total).
- Sample 1 (5 μg/mL)—cells in a culture medium with the addition of P-GOs (Ø 184 ± 73 nm) graphene oxide nanoparticles at a concentration of 5 μg/mL (3 iterations).
- Sample 1 (25 μg/mL)—cells in a culture medium with the addition of graphene oxide nanoparticles P-GOs (Ø 184 ± 73 nm) at a concentration of 25 μg/mL (3 iterations).
- Sample 2 (5 μg/mL)—cells in a culture medium with the addition of graphene oxide nanoparticles bP-GOs (Ø 287 ± 52 nm) at a concentration of 5 μg/mL (3 iterations)
- Sample 2 (25 μg/mL)—cells in a culture medium with the addition of graphene oxide nanoparticles bP-GOs (Ø 287 ± 52 nm) at a concentration of 25 μg/mL (3 iterations)
- Sample 3 (5 μg/mL)—cells in a culture medium with the addition of graphene oxide nanoparticles P-GOb (Ø 569 ± 14 nm) at a concentration of 5 μg/mL (3 iterations)
- Sample 3 (25 μg/mL)—cells in a culture medium with the addition of graphene oxide nanoparticles P-GOb (Ø 569 ± 14 nm) at a concentration of 25 μg/mL (3 iterations)
- Sample 4 (5 μg/mL)—cells in a culture medium with the addition of graphene oxide nanoparticles bP-GOb (Ø 1376 ± 48 nm) at a concentration of 5 μg/mL (3 iterations)
- Sample 4 (25 μg/mL)—cells in a culture medium with the addition of graphene oxide nanoparticles bP-GOb (Ø 1376 ± 48 nm) at a concentration of 25 μg/mL (3 iterations)
- Group 0 control—in the second plate, row D is filled for unstained control. Cells in a culture medium with the addition of graphene oxide nanoparticles of each sample at a maximum concentration of 25 μg/mL.
| Plate No. 1 | ||||||
| 1 | 2 | 3 | 4 | 5 | 6 | |
| A | Control 20,000 cells | Control 20,000 cells | Control 20,000 cells | |||
| B | Sample 1 20,000 cells 5 μg/mL | Sample 1 20,000 cells 5 μg/mL | Sample 1 20,000 cells 5 μg/mL | Sample 2 20,000 cells 5 μg/mL | Sample 2 20,000 cells 5 μg/mL | Sample 2 20,000 cells 5 μg/mL |
| C | Sample 1 20,000 cells 25 μg/mL | Sample 1 20,000 cells 25 μg/mL | Sample 1 20,000 cells 25 μg/mL | Sample 2 20,000 cells 25 μg/mL | Sample 2 20,000 cells 25 μg/mL | Sample 2 20,000 cells 25 μg/mL |
| D | ||||||
| Plate No. 2 | ||||||
| 1 | 2 | 3 | 4 | 5 | 6 | |
| A | Control 20,000 cells | Control 20,000 cells | Control 20,000 cells | |||
| B | Sample 3 20,000 cells 5 μg/mL | Sample 3 20,000 cells 5 μg/mL | Sample 3 20,000 cells 5 μg/mL | Sample 4 20,000 cells 5 μg/mL | Sample 4 20,000 cells 5 μg/mL | Sample 4 20,000 cells 5 μg/mL |
| C | Sample 3 20,000 cells 25 μg/mL | Sample 3 20,000 cells 25 μg/mL | Sample 3 20,000 cells 25 μg/mL | Sample 4 20,000 cells 25 μg/mL | Sample 4 20,000 cells 25 μg/mL | Sample 4 20,000 cells 25 μg/mL |
| D | Sample 1 20,000 cells 25 μg/mL | Sample 2 20,000 cells 25 μg/mL | Sample 3 20,000 cells 25 μg/mL | Sample 4 20,000 cells 25 μg/mL | ||
| Plate No. 1 | Plate No. 2 | ||||||
| 1 | 2 | 3 | 1 | 2 | 3 | ||
| A | Control 100,000 cells | Sample 1 100,000 cells 25 μg/mL | Sample 3 100,000 cells 25 μg/mL | A | Sample 1 100,000 cells 5 μg/mL | Sample 1 100,000 cells 25 μg/mL | Sample 2 100,000 cells 5 μg/mL |
| B | Control 100,000 cells | Sample 2 100,000 cells 25 μg/mL | Sample 4 100,000 cells 25 μg/mL | B | Sample 1 100,000 cells 5 μg/mL | Sample 1 100,000 cells 25 μg/mL | Sample 2 100,000 cells 5 μg/mL |
| Plate No. 3 | Plate No. 4 | ||||||
| 1 | 2 | 3 | 1 | 2 | 3 | ||
| A | Sample 2 100,000 cells 25 μg/mL | Sample 3 100,000 cells 5 μg/mL | Sample 3 100,000 cells 25 μg/mL | A | Sample 4 20,000 cells 5 μg/mL | Sample 4 100,000 cells 25 μg/mL | Control 100,000 cells |
| B | Sample 2 100,000 cells 25 μg/mL | Sample 3 100,000 cells 5 μg/mL | Sample 3 100,000 cells 25 μg/mL | B | Sample 4 20,000 cells 5 μg/mL | Sample 4 100,000 cells 25 μg/mL | Control 100,000 cells |
Appendix B

References
- Schwierz, F. Graphene Transistors. Nat. Nanotechnol. 2010, 5, 487–496. [Google Scholar] [CrossRef] [PubMed]
- Li, D.; Kaner, R.B. Graphene-Based Materials. Science 2008, 320, 1170–1171. [Google Scholar] [CrossRef] [PubMed]
- Esteghamat, A.; Akhavan, O. Graphene as the Ultra-Transparent Conductive Layer in Developing the Nanotechnology-Based Flexible Smart Touchscreens. Microelectron. Eng. 2023, 267–268, 111899. [Google Scholar] [CrossRef]
- Ye, Z.; Wu, P.; Wang, H.; Jiang, S.; Huang, M.; Lei, D.; Wu, F. Multimode Tunable Terahertz Absorber Based on a Quarter Graphene Disk Structure. Results Phys. 2023, 48, 106420. [Google Scholar] [CrossRef]
- Lai, R.; Shi, P.; Yi, Z.; Li, H.; Yi, Y. Triple-Band Surface Plasmon Resonance Metamaterial Absorber Based on Open-Ended Prohibited Sign Type Monolayer Graphene. Micromachines 2023, 14, 953. [Google Scholar] [CrossRef]
- Ishikawa, R.; Lugg, N.R.; Inoue, K.; Sawada, H.; Taniguchi, T.; Shibata, N.; Ikuhara, Y. Interfacial Atomic Structure of Twisted Few-Layer Graphene. Sci. Rep. 2016, 6, 21273. [Google Scholar] [CrossRef] [PubMed]
- Luo, H.; Auchterlonie, G.; Zou, J. A Thermodynamic Structural Model of Graphene Oxide. J. Appl. Phys. 2017, 122, 145101. [Google Scholar] [CrossRef]
- Chung, C.; Kim, Y.-K.; Shin, D.; Ryoo, S.-R.; Hong, B.H.; Min, D.-H. Biomedical Applications of Graphene and Graphene Oxide. Acc. Chem. Res. 2013, 46, 2211–2224. [Google Scholar] [CrossRef]
- Ruan, Y.; Ding, L.; Duan, J.; Ebendorff-Heidepriem, H.; Monro, T.M. Integration of Conductive Reduced Graphene Oxide into Microstructured Optical Fibres for Optoelectronics Applications. Sci. Rep. 2016, 6, 21682. [Google Scholar] [CrossRef]
- Mkhoyan, K.A.; Contryman, A.W.; Silcox, J.; Stewart, D.A.; Eda, G.; Mattevi, C.; Miller, S.; Chhowalla, M. Atomic and Electronic Structure of Graphene-Oxide. Nano Lett. 2009, 9, 1058–1063. [Google Scholar] [CrossRef]
- Shin, D.S.; Kim, H.G.; Ahn, H.S.; Jeong, H.Y.; Kim, Y.-J.; Odkhuu, D.; Tsogbadrakh, N.; Lee, H.-B.-R.; Kim, B.H. Distribution of Oxygen Functional Groups of Graphene Oxide Obtained from Low-Temperature Atomic Layer Deposition of Titanium Oxide. RSC Adv. 2017, 7, 13979–13984. [Google Scholar] [CrossRef]
- Matsumoto, Y.; Koinuma, M.; Taniguchi, T. Functional Group Engineering of Graphene Oxide. Carbon 2015, 87, 463. [Google Scholar] [CrossRef]
- Montes-Navajas, P.; Asenjo, N.G.; Santamaría, R.; Menéndez, R.; Corma, A.; García, H. Surface Area Measurement of Graphene Oxide in Aqueous Solutions. Langmuir 2013, 29, 13443–13448. [Google Scholar] [CrossRef] [PubMed]
- Papageorgiou, D.G.; Kinloch, I.A.; Young, R.J. Mechanical Properties of Graphene and Graphene-Based Nanocomposites. Prog. Mater. Sci. 2017, 90, 75–127. [Google Scholar] [CrossRef]
- Wang, Y.; Li, Z.; Wang, J.; Li, J.; Lin, Y. Graphene and Graphene Oxide: Biofunctionalization and Applications in Biotechnology. Trends Biotechnol. 2011, 29, 205–212. [Google Scholar] [CrossRef]
- Shadjou, N.; Hasanzadeh, M.; Khalilzadeh, B. Graphene Based Scaffolds on Bone Tissue Engineering. Bioengineered 2018, 9, 38–47. [Google Scholar] [CrossRef]
- Mansilla Wettstein, C.; Bonafé, F.P.; Oviedo, M.B.; Sánchez, C.G. Optical Properties of Graphene Nanoflakes: Shape Matters. J. Chem. Phys. 2016, 144, 224305. [Google Scholar] [CrossRef]
- Hu, W.; Li, Z.; Yang, J. Electronic and Optical Properties of Graphene and Graphitic ZnO Nanocomposite Structures. J. Chem. Phys. 2013, 138, 124706. [Google Scholar] [CrossRef]
- Guo, L.; Hao, Y.-W.; Li, P.-L.; Song, J.-F.; Yang, R.-Z.; Fu, X.-Y.; Xie, S.-Y.; Zhao, J.; Zhang, Y.-L. Improved NO2 Gas Sensing Properties of Graphene Oxide Reduced by Two-Beam-Laser Interference. Sci. Rep. 2018, 8, 4918. [Google Scholar] [CrossRef]
- Huang, A.; Li, W.; Shi, S.; Yao, T. Quantitative Fluorescence Quenching on Antibody-Conjugated Graphene Oxide as a Platform for Protein Sensing. Sci. Rep. 2017, 7, 40772. [Google Scholar] [CrossRef]
- Singh, R.; Hong, S.; Jang, J. Label-Free Detection of Influenza Viruses Using a Reduced Graphene Oxide-Based Electrochemical Immunosensor Integrated with a Microfluidic Platform. Sci. Rep. 2017, 7, 42771. [Google Scholar] [CrossRef] [PubMed]
- Akhavan, O.; Ghaderi, E.; Rahighi, R. Toward Single-DNA Electrochemical Biosensing by Graphene Nanowalls. ACS Nano 2012, 6, 2904–2916. [Google Scholar] [CrossRef] [PubMed]
- Campbell, E.; Hasan, M.T.; Pho, C.; Callaghan, K.; Akkaraju, G.R.; Naumov, A.V. Graphene Oxide as a Multifunctional Platform for Intracellular Delivery, Imaging, and Cancer Sensing. Sci. Rep. 2019, 9, 416. [Google Scholar] [CrossRef]
- Ahmad, T.; Rhee, I.; Hong, S.; Chang, Y.; Lee, J. Ni-Fe2O4 Nanoparticles as Contrast Agents for Magnetic Resonance Imaging. J. Nanosci. Nanotech. 2011, 11, 5645–5650. [Google Scholar] [CrossRef] [PubMed]
- Seabra, A.B.; Paula, A.J.; de Lima, R.; Alves, O.L.; Durán, N. Nanotoxicity of Graphene and Graphene Oxide. Chem. Res. Toxicol. 2014, 27, 159–168. [Google Scholar] [CrossRef] [PubMed]
- Akhavan, O.; Ghaderi, E. Graphene Nanomesh Promises Extremely Efficient In Vivo Photothermal Therapy. Small 2013, 9, 3593–3601. [Google Scholar] [CrossRef]
- Dominici, M.; Le Blanc, K.; Mueller, I.; Slaper-Cortenbach, I.; Marini, F.C.; Krause, D.S.; Deans, R.J.; Keating, A.; Prockop, D.J.; Horwitz, E.M. Minimal Criteria for Defining Multipotent Mesenchymal Stromal Cells. The International Society for Cellular Therapy Position Statement. Cytotherapy 2006, 8, 315–317. [Google Scholar] [CrossRef]
- Zuk, P.A.; Zhu, M.; Ashjian, P.; De Ugarte, D.A.; Huang, J.I.; Mizuno, H.; Alfonso, Z.C.; Fraser, J.K.; Benhaim, P.; Hedrick, M.H. Human Adipose Tissue Is a Source of Multipotent Stem Cells. MBoC 2002, 13, 4279–4295. [Google Scholar] [CrossRef]
- Crisan, M.; Yap, S.; Casteilla, L.; Chen, C.-W.; Corselli, M.; Park, T.S.; Andriolo, G.; Sun, B.; Zheng, B.; Zhang, L.; et al. A Perivascular Origin for Mesenchymal Stem Cells in Multiple Human Organs. Cell Stem Cell 2008, 3, 301–313. [Google Scholar] [CrossRef]
- Gronthos, S.; Mankani, M.; Brahim, J.; Robey, P.G.; Shi, S. Postnatal Human Dental Pulp Stem Cells (DPSCs) in Vitro and in Vivo. Proc. Natl. Acad. Sci. USA 2000, 97, 13625–13630. [Google Scholar] [CrossRef]
- Wang, H.; Hung, S.; Peng, S.; Huang, C.; Wei, H.; Guo, Y.; Fu, Y.; Lai, M.; Chen, C. Mesenchymal Stem Cells in the Wharton’s Jelly of the Human Umbilical Cord. Stem Cells 2004, 22, 1330–1337. [Google Scholar] [CrossRef] [PubMed]
- Bajek, A.; Gurtowska, N.; Olkowska, J.; Kazmierski, L.; Maj, M.; Drewa, T. Adipose-Derived Stem Cells as a Tool in Cell-Based Therapies. Arch. Immunol. Ther. Exp. 2016, 64, 443–454. [Google Scholar] [CrossRef] [PubMed]
- Hu, Y.-L.; Fu, Y.-H.; Tabata, Y.; Gao, J.-Q. Mesenchymal Stem Cells: A Promising Targeted-Delivery Vehicle in Cancer Gene Therapy. J. Control. Release 2010, 147, 154–162. [Google Scholar] [CrossRef] [PubMed]
- Narkilahti, S.; Rajala, K.; Pihlajamäki, H.; Suuronen, R.; Hovatta, O.; Skottman, H. Monitoring and Analysis of Dynamic Growth of Human Embryonic Stem Cells: Comparison of Automated Instrumentation and Conventional Culturing Methods. BioMedical Eng. Online 2007, 6, 11. [Google Scholar] [CrossRef]
- Akhavan, O.; Ghaderi, E. Toxicity of Graphene and Graphene Oxide Nanowalls Against Bacteria. ACS Nano 2010, 4, 5731–5736. [Google Scholar] [CrossRef]
- Dutta, T.; Sarkar, R.; Pakhira, B.; Ghosh, S.; Sarkar, R.; Barui, A.; Sarkar, S. ROS Generation by Reduced Graphene Oxide (RGO) Induced by Visible Light Showing Antibacterial Activity: Comparison with Graphene Oxide (GO). RSC Adv. 2015, 5, 80192–80195. [Google Scholar] [CrossRef]
- Akhavan, O.; Ghaderi, E.; Esfandiar, A. Wrapping Bacteria by Graphene Nanosheets for Isolation from Environment, Reactivation by Sonication, and Inactivation by Near-Infrared Irradiation. J. Phys. Chem. B 2011, 115, 6279–6288. [Google Scholar] [CrossRef]
- Ickrath, P.; Wagner, M.; Scherzad, A.; Gehrke, T.; Burghartz, M.; Hagen, R.; Radeloff, K.; Kleinsasser, N.; Hackenberg, S. Time-Dependent Toxic and Genotoxic Effects of Zinc Oxide Nanoparticles after Long-Term and Repetitive Exposure to Human Mesenchymal Stem Cells. Int. J. Environ. Res. Public Health 2017, 14, 1590. [Google Scholar] [CrossRef]
- Brüstle, I.; Simmet, T.; Nienhaus, G.U.; Landfester, K.; Mailänder, V. Hematopoietic and Mesenchymal Stem Cells: Polymeric Nanoparticle Uptake and Lineage Differentiation. Beilstein J. Nanotechnol. 2015, 6, 383–395. [Google Scholar] [CrossRef]
- Accomasso, L.; Rocchietti, E.C.; Raimondo, S.; Catalano, F.; Alberto, G.; Giannitti, A.; Minieri, V.; Turinetto, V.; Orlando, L.; Saviozzi, S.; et al. Fluorescent Silica Nanoparticles Improve Optical Imaging of Stem Cells Allowing Direct Discrimination between Live and Early-Stage Apoptotic Cells. Small 2012, 8, 3192–3200. [Google Scholar] [CrossRef]
- Akhavan, O.; Ghaderi, E.; Emamy, H.; Akhavan, F. Genotoxicity of Graphene Nanoribbons in Human Mesenchymal Stem Cells. Carbon 2013, 54, 419–431. [Google Scholar] [CrossRef]
- Syama, S.; Aby, C.P.; Maekawa, T.; Sakthikumar, D.; Mohanan, P.V. Nano-Bio Compatibility of PEGylated Reduced Graphene Oxide on Mesenchymal Stem Cells. 2D Mater. 2017, 4, 025066. [Google Scholar] [CrossRef]
- Litvinova, L.S.; Shupletsova, V.V.; Khaziakhmatova, O.G.; Daminova, A.G.; Kudryavtseva, V.L.; Yurova, K.A.; Malashchenko, V.V.; Todosenko, N.M.; Popova, V.; Litvinov, R.I.; et al. Human Mesenchymal Stem Cells as a Carrier for a Cell-Mediated Drug Delivery. Front. Bioeng. Biotechnol. 2022, 10, 796111. [Google Scholar] [CrossRef] [PubMed]
- Vitale, E.; Rossin, D.; Perveen, S.; Miletto, I.; Lo Iacono, M.; Rastaldo, R.; Giachino, C. Silica Nanoparticle Internalization Improves Chemotactic Behaviour of Human Mesenchymal Stem Cells Acting on the SDF1α/CXCR4 Axis. Biomedicines 2022, 10, 336. [Google Scholar] [CrossRef] [PubMed]
- Khramtsov, P.; Bochkova, M.; Timganova, V.; Nechaev, A.; Uzhviyuk, S.; Shardina, K.; Maslennikova, I.; Rayev, M.; Zamorina, S. Interaction of Graphene Oxide Modified with Linear and Branched PEG with Monocytes Isolated from Human Blood. Nanomaterials 2021, 12, 126. [Google Scholar] [CrossRef]
- R Core Team. R: A Language and Environment for Statistical Computing; R Foundation for Statistical Computing: Vienna, Austria, 2021. [Google Scholar]
- Wickham, H. Ggplot2: Use R! Springer International Publishing: Cham, Switzerland, 2016; ISBN 978-3-319-24275-0. [Google Scholar]







| Notation | Diameter (nm) | Coating |
|---|---|---|
| P-GOs | 184 ± 73 | Linear PEG |
| bP-GOs | 287 ± 52 | Branched PEG |
| P-GOb | 569 ± 14 | Linear PEG |
| bP-GOb | 1376 ± 48 | Branched PEG |
Disclaimer/Publisher’s Note: The statements, opinions and data contained in all publications are solely those of the individual author(s) and contributor(s) and not of MDPI and/or the editor(s). MDPI and/or the editor(s) disclaim responsibility for any injury to people or property resulting from any ideas, methods, instructions or products referred to in the content. |
© 2023 by the authors. Licensee MDPI, Basel, Switzerland. This article is an open access article distributed under the terms and conditions of the Creative Commons Attribution (CC BY) license (https://creativecommons.org/licenses/by/4.0/).
Share and Cite
Lazarev, S.; Uzhviyuk, S.; Rayev, M.; Timganova, V.; Bochkova, M.; Khaziakhmatova, O.; Malashchenko, V.; Litvinova, L.; Zamorina, S. Interaction of Graphene Oxide Nanoparticles with Human Mesenchymal Stem Cells Visualized in the Cell-IQ System. Molecules 2023, 28, 4148. https://doi.org/10.3390/molecules28104148
Lazarev S, Uzhviyuk S, Rayev M, Timganova V, Bochkova M, Khaziakhmatova O, Malashchenko V, Litvinova L, Zamorina S. Interaction of Graphene Oxide Nanoparticles with Human Mesenchymal Stem Cells Visualized in the Cell-IQ System. Molecules. 2023; 28(10):4148. https://doi.org/10.3390/molecules28104148
Chicago/Turabian StyleLazarev, Sergey, Sofya Uzhviyuk, Mikhail Rayev, Valeria Timganova, Maria Bochkova, Olga Khaziakhmatova, Vladimir Malashchenko, Larisa Litvinova, and Svetlana Zamorina. 2023. "Interaction of Graphene Oxide Nanoparticles with Human Mesenchymal Stem Cells Visualized in the Cell-IQ System" Molecules 28, no. 10: 4148. https://doi.org/10.3390/molecules28104148
APA StyleLazarev, S., Uzhviyuk, S., Rayev, M., Timganova, V., Bochkova, M., Khaziakhmatova, O., Malashchenko, V., Litvinova, L., & Zamorina, S. (2023). Interaction of Graphene Oxide Nanoparticles with Human Mesenchymal Stem Cells Visualized in the Cell-IQ System. Molecules, 28(10), 4148. https://doi.org/10.3390/molecules28104148

