A New Self-Healing Degradable Copolymer Based on Polylactide and Poly(p-dioxanone)
Abstract
1. Introduction
2. Results and Discussion
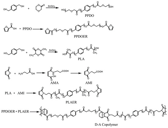
2.1. Synthesis and Characterizations
2.2. Thermal Stability of DA Copolymer
2.3. Crystallinity of DA Copolymers
2.4. Rheological Properties and Self-Healing Properties
2.5. Degradation Properties
3. Materials and Methods
3.1. Materials
3.2. Synthesis of PPDO Modified by Furan Groups
3.3. Synthesis of PLA Modified by Maleimide Groups
3.4. Synthesis of DA Copolymer
3.5. Characterization
3.5.1. Proton Nuclear Magnetic Resonance Spectroscopy (1H NMR)
3.5.2. Fourier Transform Infrared Spectroscopy (FT-IR)
3.5.3. Gel Permeation Chromatography (GPC)
3.5.4. X-ray Diffraction
3.5.5. Thermogravimetric Analysis (TG)
3.5.6. Differential Scanning Calorimetry (DSC)
3.5.7. Polarizing Optical Microscopy (POM)
3.5.8. Rheological Property
3.5.9. Degradation Property
4. Conclusions
Supplementary Materials
Author Contributions
Funding
Institutional Review Board Statement
Informed Consent Statement
Data Availability Statement
Acknowledgments
Conflicts of Interest
Sample Availability
References
- Kabir, E.; Kaur, R.; Lee, J.; Kim, K.-H.; Kwon, E. Prospects of biopolymer technology as an alternative option for non-degradable plastics and sustainable management of plastic wastes. J. Clean. Prod. 2020, 258, 120546. [Google Scholar] [CrossRef]
- Li, C.; Guo, C.; Fitzpatrick, V.; Ibrahim, A.; Zwierstra, M.J.; Hanna, P.; Lechtig, A.; Nazarian, A.; Lin, S.; Kaplan, D. Design of biodegradable, implantable devices towards clinical translation. Nat. Rev. Mater. 2020, 5, 61–81. [Google Scholar] [CrossRef]
- Wang, G.-X.; Huang, D.; Ji, J.-H.; Völker, C.; Wurm, F.R. Seawater-Degradable Polymers—Fighting the Marine Plastic Pollution. Adv. Sci. 2021, 8, 2001121. [Google Scholar] [CrossRef]
- Liu, S.; Qin, S.; He, M.; Zhou, D.; Qin, Q.; Wang, H. Current applications of poly (lactic acid) composites in tissue engineering and drug delivery. Compos. Part B Eng. 2020, 199, 108238. [Google Scholar] [CrossRef]
- Singhvi, M.S.; Zinjarde, S.S.; Gokhale, D.V. Polylactic acid: Synthesis and biomedical applications. J. Appl. Microbiol. 2019, 127, 1612–1626. [Google Scholar] [CrossRef]
- Vlachopoulos, A.; Karlioti, G.; Balla, E.; Daniilidis, V.; Kalamas, T.; Stefanidou, M.; Bikiaris, N.D.; Christodoulou, E.; Koumentakou, I.; Karavas, E.; et al. Poly(Lactic Acid)-Based Microparticles for Drug Delivery Applications: An Overview of Recent Advances. Pharmaceutics 2022, 14, 359. [Google Scholar] [CrossRef]
- Du, Y.; Xing, L.; Hou, P.; Qi, J.; Liu, X.; Zhang, Y.; Chen, D.; Li, Q.; Xiong, C.; Huang, T.; et al. Dual stimulus response mechanical properties tunable biodegradable and biocompatible PLCL/PPDO based shape memory composites. Colloids Surf. A Physicochem. Eng. Asp. 2022, 648, 129244. [Google Scholar] [CrossRef]
- Jia, T.; Chen, S.; Guo, M. Research progress of poly(p-dioxanone). Chem. Res. Appl. 2018, 30, 1751–1756. [Google Scholar]
- Keke, Y.; Yuzhong, W. A Recyclable and Biodegradable Polymer: Poly (p-dioxanone). Mater. China 2011, 30, 25–34. [Google Scholar]
- Liu, X.; Feng, S.; Wang, X.; Qi, J.; Lei, D.; Li, Y.; Bai, W. Tuning the mechanical properties and degradation properties of polydioxanone isothermal annealing. Turk. J. Chem. 2020, 44, 1430–1444. [Google Scholar] [CrossRef]
- Zhu, C.; Nicolas, J. Towards nanoparticles with site-specific degradability by ring-opening copolymerization induced self-assembly in organic medium. Polym. Chem. 2021, 12, 594–607. [Google Scholar] [CrossRef]
- Hedir, G.G.; Bell, C.A.; Ieong, N.S.; Chapman, E.; Collins, I.R.; O’reilly, R.K.; Dove, A.P. Functional Degradable Polymers by Xanthate-Mediated Polymerization. Macromolecules 2014, 47, 2847–2852. [Google Scholar] [CrossRef]
- Kuang, T.; Ju, J.; Liu, T.; Hejna, A.; Saeb, M.R.; Zhang, S.; Peng, X. A facile structural manipulation strategy to prepare ultra-strong, super-tough, and thermally stable polylactide/nucleating agent composites. Adv. Compos. Hybrid Mater. 2022, 5, 948–959. [Google Scholar] [CrossRef]
- Pholharn, D.; Srithep, Y.; Morris, J. Effect of initiators on synthesis of poly(L-lactide) by ring opening polymerization, Global Conference on Polymer and Composite Materials (PCM), Guangzhou, Peoples R China. IOP Conf. Ser. Mater. Sci. Eng. 2017, 213, 012022. [Google Scholar] [CrossRef]
- Stefaniak, K.; Masek, A. Green Copolymers Based on Poly(Lactic Acid)—Short Review. Materials 2021, 14, 5254. [Google Scholar] [CrossRef]
- Wang, Z.; Xiong, C.; Li, Q. Synthesis and crystallization properties of poly(p-dioxanone). Chin. J. Synth. Chem. 2015, 23, 974–976. [Google Scholar]
- Fuoco, T.; Ahlinder, A.; Jain, S.; Mustafa, K.; Finne-Wistrand, A. Poly(ε-caprolactone-co-p-dioxanone): A Degradable and Printable Copolymer for Pliable 3D Scaffolds Fabrication toward Adipose Tissue Regeneration. Biomacromolecules 2019, 21, 188–198. [Google Scholar] [CrossRef] [PubMed]
- Mu, H.; Zhou, G.; Hu, X.; Jian, Z. Recent advances in nickel mediated copolymerization of olefin with polar monomers. Coord. Chem. Rev. 2021, 435, 213802. [Google Scholar] [CrossRef]
- Steube, M.; Johann, T.; Barent, R.D.; Müller, A.H.; Frey, H. Rational design of tapered multiblock copolymers for thermoplastic elastomers. Prog. Polym. Sci. 2021, 124, 101488. [Google Scholar] [CrossRef]
- Zhang, Q.; Song, M.; Xu, Y.; Wang, W.; Wang, Z.; Zhang, L. Bio-based polyesters: Recent progress and future prospects. Prog. Polym. Sci. 2021, 120, 101430. [Google Scholar] [CrossRef]
- Ramasamy, M.S.; Bhaskar, R.; Narayanan, K.B.; Purohit, S.D.; Park, S.S.; Manikkavel, A.; Kim, B.; Han, S.S. Combination of polydopamine and carbon nanomaterials coating enhances the piezoelectric responses and cytocompatibility of biodegradable PLLA nanofiber scaffolds for tissue engineering applications. Mater. Today Commun. 2022, 33, 104659. [Google Scholar] [CrossRef]
- Chakma, P.; Konkolewicz, D. Dynamic Covalent Bonds in Polymeric Materials. Angew. Chem. Int. Ed. 2019, 58, 9682–9695. [Google Scholar] [CrossRef] [PubMed]
- Podgórski, M.; Fairbanks, B.D.; Kirkpatrick, B.E.; McBride, M.; Martinez, A.; Dobson, A.; Bongiardina, N.J.; Bowman, C.N. Toward Stimuli-Responsive Dynamic Thermosets through Continuous Development and Improvements in Covalent Adaptable Networks (CANs). Adv. Mater. 2020, 32, e1906876. [Google Scholar] [CrossRef]
- He, X.; Wang, F.; Zhao, H.; Wang, Y.; Feng, L. Preparation and Healing Behavior of Self-healing Epoxy Resins Based on Diels-Alder Reaction. Chin. J. Mater. Res. 2019, 33, 635–640. [Google Scholar]
- Zhu, S.; Guo, Z.; Huang, Z.; Jiang, H. Bioinspired Intramolecular Diels-Alder Reaction: A Rapid Access to the Highly-Strained Cyclopropane-Fused Polycyclic Skeleton. Chem. Eur. J. 2014, 20, 2425–2430. [Google Scholar] [CrossRef] [PubMed]
- Liu, Y.; Jia, Y.; Wu, Q.; Moore, J.S. Architecture-Controlled Ring-Opening Polymerization for Dynamic Covalent Poly(disulfide)s. J. Am. Chem. Soc. 2019, 141, 17075–17080. [Google Scholar] [CrossRef]
- Sun, H.; Kabb, C.P.; Dai, Y.; Hill, M.R.; Ghiviriga, I.; Bapat, A.P.; Sumerlin, B.S. Macromolecular metamorphosis via stimulus-induced transformations of polymer architecture. Nat. Chem. 2017, 9, 817–823. [Google Scholar] [CrossRef]
- Chen, X.; Dam, M.A.; Ono, K.; Mal, A.; Shen, H.; Nutt, S.R.; Sheran, K.; Wudl, F. A Thermally Re-mendable Cross-Linked Polymeric Material. Science 2002, 295, 1698–1702. [Google Scholar] [CrossRef]
- Zhao, J.; Xu, R.; Luo, G.; Wu, J.; Xia, H. A self-healing, re-moldable and biocompatible crosslinked polysiloxane elastomer. J. Mater. Chem. B 2016, 4, 982–989. [Google Scholar] [CrossRef] [PubMed]
- Li, X.-Y.; Zhou, Q.; Wen, Z.-B.; Hui, Y.; Yang, K.-K.; Wang, Y.-Z. The influence of coexisted monomer on thermal, mechanical, and hydrolytic properties of poly(p-dioxanone). J. Appl. Polym. Sci. 2016, 133, 43483. [Google Scholar] [CrossRef]
- Nagasawa, K.; Seto, N.; Hara, C.; Ito, K. Coumarin-Containing Chiral Discriminating Agents. VII. New Crystalline 1H-NMR Enantiomeric Excess Determination Reagent for Alcohols and Amines, (R)-(-)- and (S)-(+)-O-Coumarinylmandelic Acids. Yakugaku Zasshi J. Pharm. Soc. Jpn. 1997, 117, 786–799. [Google Scholar] [CrossRef]
- Gandini, A.; Coelho, D.; Silvestre, A.J. Reversible click chemistry at the service of macromolecular materials. Part 1: Kinetics of the Diels–Alder reaction applied to furan–maleimide model compounds and linear polymerizations. Eur. Polym. J. 2008, 44, 4029–4036. [Google Scholar] [CrossRef]
- Tsuji, H. Poly(lactic acid) stereocomplexes: A decade of progress. Adv. Drug Deliv. Rev. 2016, 107, 97–135. [Google Scholar] [CrossRef] [PubMed]
- Sanglard, P.; Adamo, V.; Bourgeois, J.-P.; Chappuis, T.; Vanoli, E. Poly(lactic acid) Synthesis and Characterization. Chimia 2012, 66, 951–954. [Google Scholar] [CrossRef]
- Lu, S.; Bi, W.; Du, Q.; Sinha, S.; Wu, X.; Subrata, A.; Bhattacharjya, S.; Xing, B.; Yeow, E.K.L. Lipopolysaccharide-affinity copolymer senses the rapid motility of swarmer bacteria to trigger antimicrobial drug release. Nat. Commun. 2018, 9, 4277. [Google Scholar] [CrossRef] [PubMed]
- Banella, M.B.; Gioia, C.; Vannini, M.; Colonna, M.; Celli, A.; Gandini, A. A new approach to the synthesis of monomers and polymers incorporating furan/maleimide Diels-Alder adducts. AIP Conf. Proc. 2016, 1736, 020010. [Google Scholar] [CrossRef]
- Stewart, S.A.; Backholm, M.; Burke NA, D.; Stoever HD, H. Cross-linked hydrogels formed through diels-alder coupling of furan and maleimide-modified poly (methyl vinyl ether-alt-maleic acid). Langmuir 2016, 32, 1863–1870. [Google Scholar] [CrossRef] [PubMed]
- Zhou, W.; Zhang, H.; Chen, F. Modified lignin: Preparation and use in reversible gel via Diels-Alder reaction. Int. J. Biol. Macromol. 2018, 107, 790–795. [Google Scholar] [CrossRef] [PubMed]
- Seok, J.H.; Enomoto, Y.; Iwata, T. Synthesis of paramylon ester-graft-PLA copolymers and its two-step enzymatic degradation by proteinase K and β-1,3-glucanase. Polym. Degrad. Stab. 2022, 197, 109855. [Google Scholar] [CrossRef]
- Kulkarni, A.; Reiche, J.; Hartmann, J.; Kratz, K.; Lendlein, A. Selective enzymatic degradation of poly(ε-caprolactone) containing multiblock copolymers. Eur. J. Pharm. Biopharm. 2008, 68, 46–56. [Google Scholar] [CrossRef]









| Samples | Tc (°C) | ΔHc (J/g) | Tcc (°C) | ΔHcc (J/g) | Tm (°C) | ΔHm (J/g) | Xc |
|---|---|---|---|---|---|---|---|
| PPDO2300 | 30.54 | 10.54 | 34.17 | 32.56 | 93.15 | 76.06 | 30.6 |
| PPDO3200 | 27.59 | 28.85 | 60.55 | 7.73 | 94.08 | 70.88 | 26.1 |
| PPDO4700 | 37.92 | 23.72 | 36.46 | 40.24 | 100.70 | 68.21 | 45.4 |
| PPDO5500 | 33.84 | 60.23 | - | - | 89.90 | 61.37 | 42.7 |
| DA4700 | 37.06 | 10.02 | 37.06 | 15.04 | 103.95 | 32.85 | 21.4 |
| DA5500 | - | - | 32.04 | 8.33 | 85.91 | 11.57 | 7.2 |
Disclaimer/Publisher’s Note: The statements, opinions and data contained in all publications are solely those of the individual author(s) and contributor(s) and not of MDPI and/or the editor(s). MDPI and/or the editor(s) disclaim responsibility for any injury to people or property resulting from any ideas, methods, instructions or products referred to in the content. |
© 2023 by the authors. Licensee MDPI, Basel, Switzerland. This article is an open access article distributed under the terms and conditions of the Creative Commons Attribution (CC BY) license (https://creativecommons.org/licenses/by/4.0/).
Share and Cite
Tong, L.; Zhou, M.; Chen, Y.; Lu, K.; Zhang, Z.; Mu, Y.; He, Z. A New Self-Healing Degradable Copolymer Based on Polylactide and Poly(p-dioxanone). Molecules 2023, 28, 4021. https://doi.org/10.3390/molecules28104021
Tong L, Zhou M, Chen Y, Lu K, Zhang Z, Mu Y, He Z. A New Self-Healing Degradable Copolymer Based on Polylactide and Poly(p-dioxanone). Molecules. 2023; 28(10):4021. https://doi.org/10.3390/molecules28104021
Chicago/Turabian StyleTong, Laifa, Mi Zhou, Yulong Chen, Kai Lu, Zhaohua Zhang, Yuesong Mu, and Zejian He. 2023. "A New Self-Healing Degradable Copolymer Based on Polylactide and Poly(p-dioxanone)" Molecules 28, no. 10: 4021. https://doi.org/10.3390/molecules28104021
APA StyleTong, L., Zhou, M., Chen, Y., Lu, K., Zhang, Z., Mu, Y., & He, Z. (2023). A New Self-Healing Degradable Copolymer Based on Polylactide and Poly(p-dioxanone). Molecules, 28(10), 4021. https://doi.org/10.3390/molecules28104021

