Antiviral Activities of Ethyl Pheophorbides a and b Isolated from Aster pseudoglehnii against Influenza Viruses
Abstract
1. Introduction
2. Results
2.1. Virucidal Activity of APE against IAV
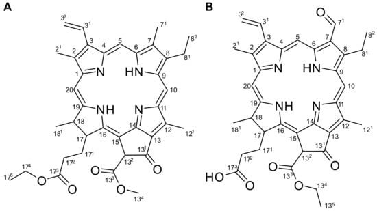
2.2. Isolation and Identification of Ethyl Pheophorbides a and b
2.3. Virucidal Activities of Ethyl Pheophorbides a and b against Influenza Virus
2.4. Effects of Ethyl Pheophorbides a and b on Major Surface Glycoproteins of Influenza Virus
2.5. Effects of Ethyl Pheophorbides a and b on Enveloped Viruses
3. Discussion
4. Materials and Methods
4.1. Cells, Viruses and Plant Materials
4.2. General Experimental Procedures
4.3. Isolation of Ethyl Pheophorbides a and b from APE
4.3.1. Ethyl Pheophorbide a
4.3.2. Ethyl Pheophorbide b
4.4. Time-of-Drug-Addition Assay
4.5. Plaque Reduction Assay
4.6. Immunofluorescence Assay
4.7. MTT Assay
4.8. Western Blot Analysis
4.9. Quantitative Reverse Transcription PCR (qRT-PCR)
4.10. NA Inhibition Assay
4.11. Hemagglutination Inhibition Assay
4.12. Hemolysis Inhibition Assay
Supplementary Materials
Author Contributions
Funding
Institutional Review Board Statement
Informed Consent Statement
Data Availability Statement
Conflicts of Interest
Sample Availability
References
- Rajasekaran, D.; Palombo, E.A.; Yeo, T.C.; Ley, D.L.S.; Tu, C.L.; Malherbe, F.; Grollo, L. Identification of traditional medicinal plant extracts with novel anti-influenza activity. PLoS ONE 2013, 8, e79293. [Google Scholar] [CrossRef] [PubMed]
- Flerlage, T.; Boyd, D.F.; Meliopoulos, V.; Thomas, P.G.; Schultz-Cherry, S. Influenza virus and SARS-CoV-2: Pathogenesis and host responses in the respiratory tract. Nat. Rev. Microbiol. 2021, 19, 425–441. [Google Scholar] [CrossRef] [PubMed]
- Petrova, V.N.; Russell, C.A. The evolution of seasonal influenza viruses. Nat. Rev. Microbiol. 2018, 16, 47–60. [Google Scholar] [CrossRef] [PubMed]
- Morens, D.M.; Taubenberger, J.K.; Fauci, A.S. The persistent legacy of the 1918 influenza virus. N. Engl. J. Med. 2009, 361, 225–229. [Google Scholar] [CrossRef] [PubMed]
- Cox, R.J.; Brokstad, K.A.; Ogra, P. Influenza virus: Immunity and vaccination strategies. Comparison of the immune response to inactivated and live, attenuated influenza vaccines. Scand. J. Immunol. 2004, 59, 1–15. [Google Scholar] [CrossRef]
- Medina, R.A.; García-Sastre, A. Influenza A viruses: New research developments. Nat. Rev. Microbiol. 2011, 9, 590–603. [Google Scholar] [CrossRef]
- Mehrbod, P.; Hudy, D.; Shyntum, D.; Markowski, J.; Łos, M.J.; Ghavami, S. Quercetin as a natural therapeutic candidate for the treatment of influenza virus. Biomolecules 2020, 11, 10. [Google Scholar] [CrossRef]
- Chen, X.; Liu, S.; Goraya, M.U.; Maarouf, M.; Huang, S.; Chen, J.-L. Host immune response to influenza A virus infection. Front. Immunol. 2018, 9, 320. [Google Scholar] [CrossRef]
- Kreijtz, J.; Fouchier, R.; Rimmelzwaan, G. Immune responses to influenza virus infection. Virus Res. 2011, 162, 19–30. [Google Scholar] [CrossRef]
- Rossman, J.S.; Lamb, R.A. Influenza virus assembly and budding. Virology 2011, 411, 229–236. [Google Scholar] [CrossRef]
- Biggerstaff, M.; Cauchemez, S.; Reed, C.; Gambhir, M.; Finelli, L. Estimates of the reproduction number for seasonal, pandemic, and zoonotic influenza: A systematic review of the literature. BMC Infect. Dis. 2014, 14, 1–20. [Google Scholar] [CrossRef]
- De Clercq, E.; Neyts, J. Avian influenza A (H5N1) infection: Targets and strategies for chemotherapeutic intervention. Trends Pharmacol. Sci. 2007, 28, 280–285. [Google Scholar] [CrossRef]
- Lagoja, I.M.; de Clercq, E. Anti-influenza virus agents: Synthesis and mode of action. Med. Res. Rev. 2008, 28, 1–38. [Google Scholar] [CrossRef]
- Leonov, H.; Astrahan, P.; Krugliak, M.; Arkin, I.T. How do aminoadamantanes block the influenza M2 channel, and how does resistance develop? J. Am. Chem. Soc. 2011, 133, 9903–9911. [Google Scholar] [CrossRef]
- Shaw, M.L. The next wave of influenza drugs. ACS Infect. Dis. 2017, 3, 691–694. [Google Scholar] [CrossRef]
- Moscona, A. Neuraminidase inhibitors for influenza. N. Engl. J. Med. 2005, 353, 1363–1373. [Google Scholar] [CrossRef]
- Ison, M.G. Antivirals and resistance: Influenza virus. Curr. Opin. Virol. 2011, 1, 563–573. [Google Scholar] [CrossRef]
- Prachanronarong, K.L.; Özen, A.; Thayer, K.M.; Yilmaz, L.S.; Zeldovich, K.B.; Bolon, D.N.; Kowalik, T.F.; Jensen, J.D.; Finberg, R.W.; Wang, J.P.; et al. Molecular basis for differential patterns of drug resistance in influenza N1 and N2 neuraminidase. J. Chem. Theory Comput. 2016, 12, 6098–6108. [Google Scholar] [CrossRef]
- Hayden, F.G.; Palese, P. Clinical Virology, 3rd ed.; ASM Press: Washington, DC, USA, 2016; Chapter 43: Influenza Virus; pp. 943–976. [Google Scholar]
- Shao, W.; Li, X.; Goraya, M.U.; Wang, S.; Chen, J.-L. Evolution of influenza a virus by mutation and re-assortment. Int. J. Mol. Sci. 2017, 18, 1650. [Google Scholar] [CrossRef]
- Bedford, T.; A Suchard, M.; Lemey, P.; Dudas, G.; Gregory, V.; Hay, A.J.; McCauley, J.W.; A Russell, C.; Smith, D.J.; Rambaut, A. Integrating influenza antigenic dynamics with molecular evolution. eLife 2014, 3, e01914. [Google Scholar] [CrossRef]
- Lee, H.; Kim, H.J.; Chae, H.; Yoon, N.E.; Jung, B.H. Aster glehni F. Schmidt Extract Modulates the Activities of HMG-CoA Reductase and Fatty Acid Synthase. Plants 2021, 10, 2287. [Google Scholar] [CrossRef] [PubMed]
- Kitazato, K.; Wang, Y.; Kobayashi, N. Viral infectious disease and natural products with antiviral activity. Drug Discov. Ther. 2007, 1, 14–22. [Google Scholar] [PubMed]
- Langeder, J.; Grienke, U.; Chen, Y.; Kirchmair, J.; Schmidtke, M.; Rollinger, J.M. Natural products against acute respiratory infections: Strategies and lessons learned. J. Ethnopharmacol. 2020, 248, 112298. [Google Scholar] [CrossRef] [PubMed]
- Park, J.-E.; Yeom, Z.; Park, K.-T.; Han, E.H.; Yu, H.J.; Kang, H.S.; Lim, Y.-H. Hypouricemic effect of ethanol extract of Aster glehni leaves in potassium oxonate-induced hyperuricemic rats. Clin. Nutr. Res. 2018, 7, 126–135. [Google Scholar] [CrossRef] [PubMed]
- Lee, H.M.; Yang, G.; Ahn, T.G.; Kim, M.D.; Nugroho, A.; Park, H.J.; Lee, K.T.; Park, W.; An, H.J. Antiadipogenic effects of Aster glehni extract: In vivo and in vitro effects. Evid.-Based Complement. Altern. Med. 2013, 2013, 859624. [Google Scholar] [CrossRef]
- Choi, J.H.; Chung, K.S.; Jin, B.R.; Cheon, S.Y.; Nugroho, A.; Roh, S.S.; An, H.J. Anti-inflammatory effects of an ethanol extract of Aster glehni via inhibition of NF-κB activation in mice with DSS-induced colitis. Food Funct. 2017, 8, 2611–2620. [Google Scholar] [CrossRef]
- Duan, H.; Takaishi, Y.; Momota, H.; Ohmoto, Y.; Taki, T. Immunosuppressive constituents from Saussurea medusa. Phytochemistry 2002, 59, 85–90. [Google Scholar] [CrossRef]
- Silva, D.A.; Silva, T.M.S.D.; Lins, A.C.D.S.; Costa, D.A.D.; Cavalcante, J.M.S.; Matias, W.N.; Souza, M.D.F.V.D.; Braz Filho, R. Constituintes químicos e atividade antioxidante de Sida galheirensis Ulbr. (Malvaceae). Química Nova 2006, 29, 1250–1254. [Google Scholar] [CrossRef]
- D’Abrosca, B.; Scognamiglio, M.; Tsafantakis, N.; Fiorentino, A.; Monaco, P. Phytotoxic chlorophyll derivatives from Petrorhagia velutina (Guss.) Ball et Heyw leaves. Nat. Prod. Commun. 2010, 5, 1934578X1000500124. [Google Scholar] [CrossRef]
- Brown, E. Influenza virus genetics. Biomed. Pharmacother. 2000, 54, 196–209. [Google Scholar] [CrossRef]
- Hörtensteiner, S. Update on the biochemistry of chlorophyll breakdown. Plant Mol. Biol. 2013, 82, 505–517. [Google Scholar] [CrossRef]
- Tang, P.M.-K.; Chan, J.Y.-W.; Au, S.W.-N.; Kong, S.-K.; Tsui, S.K.-W.; Waye, M.M.-Y.; Mak, T.C.-W.; Fong, W.-P.; Fung, K.-P. Pheophorbide a, an active compound isolated from Scutellaria barbata, possesses photodynamic activities by inducing apoptosis in human hepatocellular carcinoma. Cancer Biol. Ther. 2006, 5, 1111–1116. [Google Scholar] [CrossRef]
- Chen, T.-Y.; Chen, D.-Y.; Wen, H.-W.; Ou, J.-L.; Chiou, S.-S.; Chen, J.-M.; Wong, M.-L.; Hsu, W.-L. Inhibition of enveloped viruses infectivity by curcumin. PLoS ONE 2013, 8, e62482. [Google Scholar] [CrossRef]
- Kamei, Y.; Aoki, M. A chlorophyll c2 analogue from the marine brown alga Eisenia bicyclis inactivates the infectious hematopoietic necrosis virus, a fish rhabdovirus. Arch. Virol. 2007, 152, 861–869. [Google Scholar] [CrossRef]
- Kim, N.-E.; Kim, D.-K.; Song, Y.-J. SARS-CoV-2 nonstructural proteins 1 and 13 suppress caspase-1 and the NLRP3 inflammasome activation. Microorganisms 2021, 9, 494. [Google Scholar] [CrossRef]
- Stinski, M.F. Synthesis of proteins and glycoproteins in cells infected with human cytomegalovirus. J. Virol. 1977, 23, 751–767. [Google Scholar] [CrossRef]
- Yi, M. Hepatitis C virus: Propagation, quantification, and storage. Curr. Protoc. Microbiol. 2010, 19, 15D.1.1–15D.1.11. [Google Scholar] [CrossRef]
- Bae, S.; Kang, S.C.; Song, Y.-J. Inhibition of human cytomegalovirus immediate-early gene expression and replication by the ethyl acetate (EtOAc) fraction of Elaeocarpus sylvestris in vitro. BMC Complement. Altern. Med. 2017, 17, 428. [Google Scholar] [CrossRef]
- Kim, S.Y.; Kim, J.-E.; Won, J.; Song, Y.-J. Characterization of the rapamycin-inducible EBV LMP1 activation system. J. Microbiol. 2015, 53, 732–738. [Google Scholar] [CrossRef]






| Position | 1 | 2 | ||
|---|---|---|---|---|
| δH Multi (J in Hz) | δC | δC Multi (J in Hz) | δC | |
| 1 | – | 142.1 | – | 143.6 |
| 2 | – | 131.9 | – | 132.2 |
| 21 | 3.38 s | 12.1 | 3.39 s | 12.1 |
| 3 | – | 136.3 | – | 137.8 |
| 31 | 7.96 dd (18.0, 11.5) | 129.2 | 8.02 dd (17.5, 11.5) | 128.7 |
| 32 | 6.16 dd (11.5, 1.5)/6.27 dd (18.0, 1.5) | 122.9 | 6.24 dd (11.5, 1.0)/6.38 dd (18.0, 1.0) | 123.6 |
| 4 | – | 136.6 | – | 137.2 |
| 5 | 9.36 s | 97.5 | 10.31 s | 101.6 |
| 6 | – | 155.5 | – | 151.3 |
| 7 | – | 136.3 | – | 132.9 |
| 71 | 3.20 s | 11.2 | 11.17 s | 187.8 |
| 8 | – | 145.2 | – | 159.5 |
| 81 | 3.66 d (8.0) | 19.5 | 3.90 q (7.5) | 19.4 |
| 82 | 1.65 t (8.0) | 17.4 | 1.84 t (7.5) | 19.1 |
| 9 | – | 150.7 | – | 147.2 |
| 10 | 9.50 s | 104.5 | 9.68 s | 107.0 |
| 11 | – | 138.0 | – | 138.0 |
| 12 | – | 129.1 | – | 128.7 |
| 121 | 3.67 s | 12.2 | 3.70 s | 12.3 |
| 13 | – | 129.1 | – | 132.5 |
| 131 | – | 189.7 | – | 189.5 |
| 132 | 6.26 s | 64.7 | 6.23 s | 64.6 |
| 133 | – | 173.0 | – | 169.3 |
| 134 | 3.86 s | 52.9 | 4.46 q (7.0) | 66.9 |
| 135 | – | – | 1.12 t (6.5) | 14.1 |
| 14 | – | 149.7 | – | 150.7 |
| 15 | – | 105.3 | – | 104.9 |
| 16 | – | 161.4 | – | 164.0 |
| 17 | 4.20 ddd (9.0, 3.5, 2.0) | 51.1 | 4.20 m | 51.3 |
| 171 | 1.24 br s/2.7 ddd (15.5, 9.5, 6.5) | 29.8 | 2.23 m/2.50 m | 29.6 |
| 172 | 2.18 ddd (15.0, 10.0, 5.0)/2.47 ddd (16.0, 9.5, 6.5) | 31.2 | 2.33 m/2.64 m | 31.2 |
| 173 | – | 172.3 | – | 174.0 |
| 174 | 4.00 m | 60.5 | – | – |
| 175 | 1.09 t (7.0) | 14.1 | – | – |
| 18 | 4.45 qd (7.5, 2.0) | 50.1 | 4.46 qd (7.5, 2.0) | 50.1 |
| 181 | 1.80 d (7.5) | 23.1 | 1.84 d (7.5) | 23.1 |
| 19 | – | 169.6 | – | 172.8 |
| 20 | 8.56 s | 93.2 | 8.55 s | 93.4 |
Disclaimer/Publisher’s Note: The statements, opinions and data contained in all publications are solely those of the individual author(s) and contributor(s) and not of MDPI and/or the editor(s). MDPI and/or the editor(s) disclaim responsibility for any injury to people or property resulting from any ideas, methods, instructions or products referred to in the content. |
© 2022 by the authors. Licensee MDPI, Basel, Switzerland. This article is an open access article distributed under the terms and conditions of the Creative Commons Attribution (CC BY) license (https://creativecommons.org/licenses/by/4.0/).
Share and Cite
Park, S.; Kim, J.-Y.; Kwon, H.C.; Jang, D.S.; Song, Y.-J. Antiviral Activities of Ethyl Pheophorbides a and b Isolated from Aster pseudoglehnii against Influenza Viruses. Molecules 2023, 28, 41. https://doi.org/10.3390/molecules28010041
Park S, Kim J-Y, Kwon HC, Jang DS, Song Y-J. Antiviral Activities of Ethyl Pheophorbides a and b Isolated from Aster pseudoglehnii against Influenza Viruses. Molecules. 2023; 28(1):41. https://doi.org/10.3390/molecules28010041
Chicago/Turabian StylePark, Subin, Ji-Young Kim, Hak Cheol Kwon, Dae Sik Jang, and Yoon-Jae Song. 2023. "Antiviral Activities of Ethyl Pheophorbides a and b Isolated from Aster pseudoglehnii against Influenza Viruses" Molecules 28, no. 1: 41. https://doi.org/10.3390/molecules28010041
APA StylePark, S., Kim, J.-Y., Kwon, H. C., Jang, D. S., & Song, Y.-J. (2023). Antiviral Activities of Ethyl Pheophorbides a and b Isolated from Aster pseudoglehnii against Influenza Viruses. Molecules, 28(1), 41. https://doi.org/10.3390/molecules28010041

