Prototropy, Intramolecular Interactions, Electron Delocalization, and Physicochemical Properties of 1,8-dihydroxy-9-anthrone—DFT-D3 Study of Substituent Effects
Abstract
1. Introduction
Computational Details
2. Results
2.1. 1,8-Dihydroxy-9-anthrone Tautomers
2.2. Crystal Structures
2.3. Geometry of the Investigated Compounds
- Ro—the optimized CC bond length of a perfectly aromatic system equal to 1.388 Å.
- Ri—determined bond length.
- α—standardization constant of 257.7.
- n—number of bonds.
2.4. Electron Density and Ellipticity at Bond Critical Point
2.5. Selected Bands in the Theoretical IR Spectra of Dihydroanthrones
2.6. Dipole Moment, Average Local Ionization Energy, and Electrostatic Potential
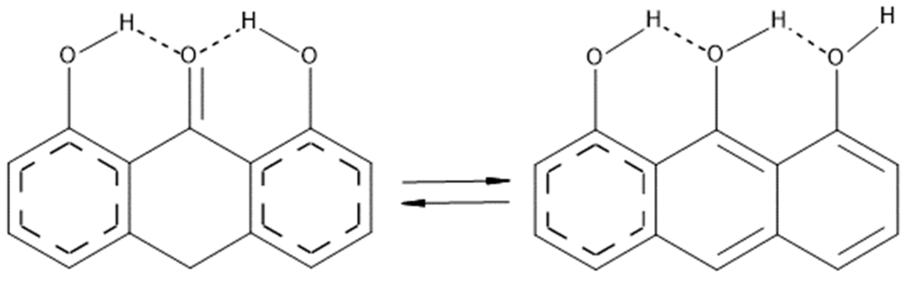
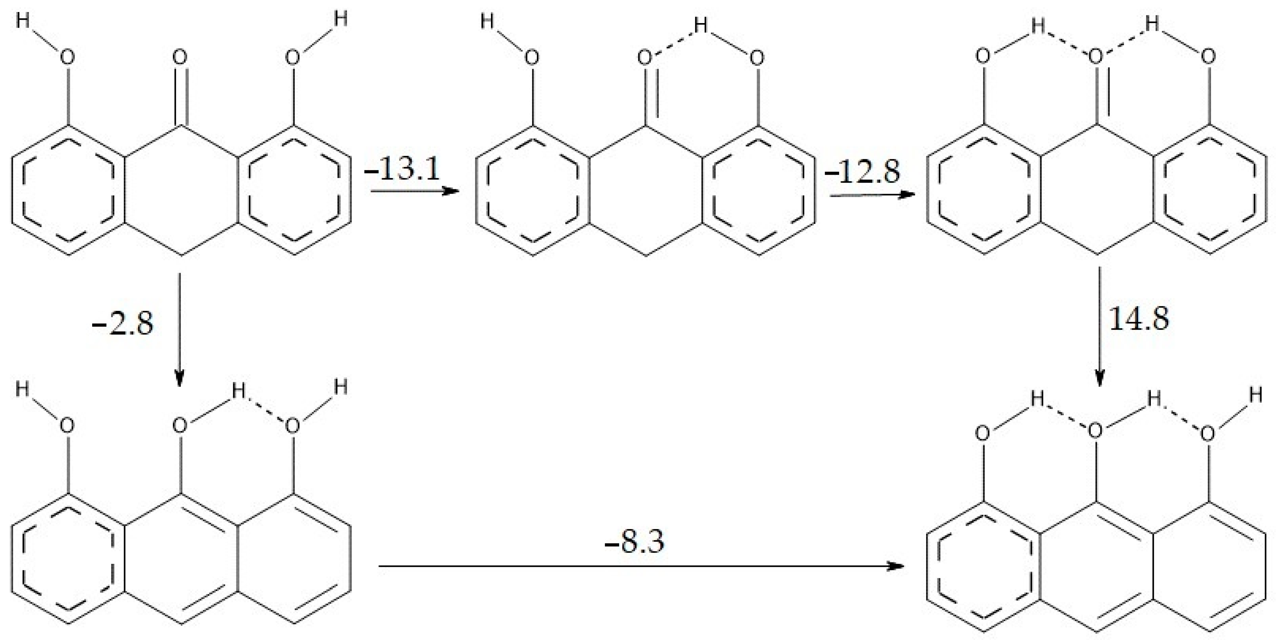
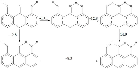
2.7. Prototropy
2.8. Antioxidant Activities
Investigation of the Substituents Effect on BDE (O-H) and BDE (C-H)
2.9. Hydrogen Bonds
2.10. Influence of the Substituent on the Transition State
2.11. Transition State for the Keto-Enol Reaction with Pyridine
2.12. Theoretical Reaction Rate Constants
3. Conclusions
Supplementary Materials
Author Contributions
Funding
Institutional Review Board Statement
Informed Consent Statement
Data Availability Statement
Acknowledgments
Conflicts of Interest
References
- Szymańska, M.; Majerz, I. Effect of Substitution of Hydrogen Atoms in the Molecules of Anthrone and Anthraquinone. Molecules 2021, 26, 502. [Google Scholar] [CrossRef]
- Marsden, J.; Coburn, P.; Marks, J.; Shuster, S. Measurement of the response of psoriasis to short-term application of anthralin. Br. J. Dermatol. 1983, 109, 209–218. [Google Scholar] [CrossRef]
- Ashton, R.E.; Andre, P.; Lowe, N.J.; Whitefield, M. Anthralin: Historical and current perspectives. J. Am. Acad. Dermatol. 1983, 9, 173–192. [Google Scholar] [CrossRef]
- Hellier, F.F.; Whitefield, M. The treatment of psoriasis with triacetoxyanthracene. Br. J. Dermatol. 1967, 79, 491–496. [Google Scholar] [CrossRef]
- Müller, K. Antipsoriatic and proinflammatory action of anthralin: Implications for the role of oxygen radicals. Biochem. Pharmacol. 1997, 53, 1215–1221. [Google Scholar] [CrossRef]
- Pečar, S.; Schara, M.; Müller, K.; Wiegrebe, W. Reduction of nitroxides by anthralin and some of its derivatives. Free Radic. Biol. Med. 1995, 18, 459–465. [Google Scholar] [CrossRef]
- Mueller, K.; Guerster, D.; Piwek, S.; Wiegrebe, W. Antipsoriatic anthrones with modulated redox properties. 1. Novel 10-substituted 1,8-dihydroxy-9(10H)-anthracenones as inhibitors of 5-lipoxygenase. J. Med. Chem. 1993, 36, 4099–4107. [Google Scholar] [CrossRef]
- Szymanski, S.; Majerz, I. Aromaticity and Electron Density of Hypericin. J. Nat. Prod. 2019, 82, 2106–2115. [Google Scholar] [CrossRef]
- Szymanski, S.; Majerz, I. In Silico Studies on Sennidines—Natural Dianthrones from Senna. Biology 2021, 10, 468. [Google Scholar] [CrossRef]
- Szymański, S.; Majerz, I. Theoretical Studies on the Structure and Intramolecular Interactions of Fagopyrins—Natural Photosensitizers of Fagopyrum. Molecules 2022, 27, 3689. [Google Scholar] [CrossRef]
- Limacher, P.A.; Lüthi, H.P. Cross-conjugation. WIREs Comput. Mol. Sci. 2011, 1, 477–486. [Google Scholar] [CrossRef]
- Korth, H.-G.; Mulder, P. Anthrone and Related Hydroxyarenes: Tautomerization and Hydrogen Bonding. J. Org. Chem. 2013, 78, 7674–7682. [Google Scholar] [CrossRef]
- Takemura, T.; Baba, H. Spectrophotometric investigations of the tautomeric reaction between anthrone and anthranol—II. Tetrahedron 1968, 24, 5311–5321. [Google Scholar] [CrossRef]
- Fain, V.Y.; Zaitsev, B.E.; Ryabov, M.A. Tautomerism of anthraquinones: IV. 1-Hydroxy-9,10-anthraquinone and its substituted derivatives. Russ. J. Org. Chem. 2006, 42, 1469–1472. [Google Scholar] [CrossRef]
- Marrero-Carballo, R.; Tun-Rosado, F.J.; Mena-Rejón, G.J.; Cáceres, D.; Barroso, J.; Murillo, F.; Merino, G.; Quijano-Quiñones, R.F. The base-catalyzed keto-enol tautomerism of chrysophanol anthrone. A DFT investigation of the base-catalyzed reaction. Mol. Simul. 2019, 45, 716–723. [Google Scholar] [CrossRef]
- Radi, S.; Tighadouini, S.; Feron, O.; Riant, O.; Bouakka, M.; Benabbes, R.; Mabkhot, Y.N. Synthesis of Novel β-Keto-Enol Derivatives Tethered Pyrazole, Pyridine and Furan as New Potential Antifungal and Anti-Breast Cancer Agents. Molecules 2015, 20, 20186–20194. [Google Scholar] [CrossRef]
- Gad, S.F.; El-Demerdash, S.H.; El-Mehasseb, I.M.; El-Nahas, A.M. Structure, stability and conversions of tautomers and rotamers of azulene-based uracil analogue. J. Mol. Struct. 2019, 1182, 271–282. [Google Scholar] [CrossRef]
- Brovarets’, O.O.; Hovorun, D.M. Prototropic tautomerism and basic molecular principles of hypoxanthine mutagenicity: An exhaustive quantum-chemical analysis. J. Biomol. Struct. Dyn. 2013, 31, 913–936. [Google Scholar] [CrossRef]
- Samijlenko, S.P.; Yurenko, Y.P.; Stepanyugin, A.V.; Hovorun, D.M. Tautomeric Equilibrium of Uracil and Thymine in Model Protein−Nucleic Acid Contacts. Spectroscopic and Quantum Chemical Approach. J. Phys. Chem. B 2010, 114, 1454–1461. [Google Scholar] [CrossRef]
- Ziółek, M.; Kubicki, J.; Maciejewski, A.; Naskrecki, R.; Grabowska, A. Enol-keto tautomerism of aromatic photochromic Schiff base N,N′-bis(salicylidene)-p-phenylenediamine: Ground state equilibrium and excited state deactivation studied by solvatochromic measurements on ultrafast time scale. J. Chem. Phys. 2006, 124, 124518. [Google Scholar] [CrossRef]
- Laurella, S.L.; Sierra, M.G.; Furlong, J.J.P.; Allegretti, P.E. Substituent, Temperature and Solvent Effects on the Keto-Enol EQUILIBRIUM in β-Ketoamides: A Nuclear Magnetic Resonance Study. Open J. Phys. Chem. 2013, 3, 138–149. [Google Scholar] [CrossRef]
- Wu, C.-C.; Lien, M.-H. Ab Initio Study on the Substituent Effect in the Transition State of Keto−Enol Tautomerism of Acetyl Derivatives. J. Phys. Chem. 1996, 100, 594–600. [Google Scholar] [CrossRef]
- Antonov, L.; Fabian, W.M.F.; Nedeltcheva, D.; Kamounah, F.S. Tautomerism of 2-hydroxynaphthaldehyde Schiff bases. J. Chem. Soc. Perkin Trans. 2000, 2, 1173–1179. [Google Scholar] [CrossRef]
- Taylor, P.J.; van der Zwan, G.; Antonov, L. Tautomerism: Introduction, History, and Recent Developments in Experimental and Theoretical Methods. Tautomerism 2013, 2013, 1–24. [Google Scholar] [CrossRef]
- Nazarparvar, E.; Zahedi, M.; Klein, E. Density Functional Theory (B3LYP) Study of Substituent Effects on O–H Bond Dissociation Enthalpies of trans-Resveratrol Derivatives and the Role of Intramolecular Hydrogen Bonds. J. Org. Chem. 2012, 77, 10093–10104. [Google Scholar] [CrossRef]
- Lucarini, M.; Pedulli, G.F. Free radical intermediates in the inhibition of the autoxidation reaction. Chem. Soc. Rev. 2010, 39, 2106–2119. [Google Scholar] [CrossRef]
- Szymańska, M.; Majerz, I. Geometry and electron density of phenothazines. J. Mol. Struct. 2020, 1200, 127095. [Google Scholar] [CrossRef]
- Frisch, M.J.; Trucks, G.W.; Schlegel, H.B.; Scuseria, G.E.; Robb, M.A.; Cheeseman, J.R.; Scalmani, G.; Barone, V.; Petersson, G.A.; Nakatsuji, H.; et al. Gaussian Inc. 16, Revision A.03; Gaussian Inc.: Wallingford, CT, USA, 2016. [Google Scholar]
- Becke, A.D. Density-functional thermochemistry. III. The role of exact exchange. J. Chem. Phys. 1993, 98, 5648–5652. [Google Scholar] [CrossRef]
- Lee, C.; Yang, W.; Parr, R.G. Development of the Colle-Salvetti correlation-energy formula into a functional of the electron density. Phys. Rev. B 1988, 37, 785–789. [Google Scholar] [CrossRef]
- Grimme, S.; Antony, J.; Ehrlich, S.; Krieg, H. A consistent and accurate ab initio parametrization of density functional dispersion correction (DFT-D) for the 94 elements H-Pu. J. Chem. Phys. 2010, 132, 154104–154119. [Google Scholar] [CrossRef]
- Keith, T.A. AIMALL (Version 19.10.12); TK Gristmill Software: Overland Park, KS, USA, 2019. [Google Scholar]
- Allen, F.H. The Cambridge Structural Database: A quarter of a million crystal structures and rising. Acta Crystallogr. Sect. B Struct. Sci. 2002, 58, 380–388. [Google Scholar] [CrossRef]
- Osmialowski, B.; Raczyńska, E.D.; Krygowski, T.M. Tautomeric Equilibria and Pi Electron Delocalization for Some MonohydroxyarenesQuantum Chemical Studies. J. Org. Chem. 2006, 71, 3727–3736. [Google Scholar] [CrossRef]
- Brown, C.J.; Colclough, M.L. 1,8-Dinitro-4,5-dihydroxyanthraquinone, C14H6N2O8. Acta Crystallogr. Sect. C Cryst. Struct. Commun. 1983, 39, 300–302. [Google Scholar] [CrossRef]
- Von Dreele, R.B.; Einck, J.J. The crystal and molecular structure of carminomycin I hydrochloride monohydrate. Acta Crystallogr. Sect. B Struct. Crystallogr. Cryst. Chem. 1977, 33, 3283–3288. [Google Scholar] [CrossRef]
- Rohl, A.; Moret, M.; Kaminsky, W.; Claborn, K.; McKinnon, J.; Kahr, B. Hirshfeld Surfaces Identify Inadequacies in Computations of Intermolecular Interactions in Crystals: Pentamorphic 1,8-Dihydroxyanthraquinone. Cryst. Growth Des. 2008, 8, 4517–4525. [Google Scholar] [CrossRef]
- Schmidt-Bäse, K.; Noltemeyer, M.; Egert, E.; Eigelt, E.; Zeeck, A. Structure of the anthracycline antibiotic aranciamycin. Acta Crystallogr. Sect. C Cryst. Struct. Commun. 1993, 49, 250–253. [Google Scholar] [CrossRef]
- Armaghan, M.; Amini, M.M.; Ng, S.W.; Tiekink, E.R.T. Co-crystals of 1,8-dihydroxy-2,4,5,7-tetranitro-9,10-anthraquinone with dibenzothiophene and 4,6-dimethyldibenzothiophene. Z. Kristallographie-Crystalline Mater. 2013, 228, 598–606. [Google Scholar] [CrossRef]
- Hernandez-Medel, M.D.R.; O Ramirez-Corzas, C.; Rivera-Dominguez, M.; Ramirez-Mendez, J.; Santillan, R.; Rojas-Lima, S. Diastereomeric C-glycosyloxanthrones from picramnia antidesma. Phytochemistry 1999, 50, 1379–1383. [Google Scholar] [CrossRef]
- Aoyama, T.; Naganawa, H.; Muraoka, Y.; Nakamura, H.; Aoyagi, T.; Takeuchi, T.; Iitaka, Y. Benastatins A and B, new inhibitors of glutathione S-transferase, produced by Streptomyces sp. MI384-DF12. II. Structure determination of benastatins A and B. J. Antibiot. 1992, 45, 1391–1396. [Google Scholar] [CrossRef][Green Version]
- Krygowski, T.M. Crystallographic studies of inter- and intramolecular interactions reflected in aromatic character of .pi.-electron systems. J. Chem. Inf. Comput. Sci. 1993, 33, 70–78. [Google Scholar] [CrossRef]
- Raczyńska, E.D.; Kosińska, W.; Ośmiałowski, B.; Gawinecki, R. Tautomeric Equilibria in Relation to Pi-Electron Delocalization. Chem. Rev. 2005, 105, 3561–3612. [Google Scholar] [CrossRef]











| X | Isomer | ΔG [kcal/mol] | α | HOMA (A) | HOMA (B) | HOMA (C) |
|---|---|---|---|---|---|---|
| H | E | 13.8 | 0.23 | 0.6188 | 0.6666 | 0.5957 |
| K1 | 9.1 | 0.03 | 0.7927 | 0.6583 | −0.7815 | |
| K2 | 10.7 | 0.01 | 0.7769 | 0.7006 | −0.8107 | |
| K3 | 0.0 | 6.73 | 0.9053 | −0.7159 | 0.9053 | |
| K4 | 12.4 | 0.01 | 0.8550 | 0.4044 | −0.5983 | |
| K5 | 10.2 | 0.01 | 0.8602 | 0.3176 | −0.5043 | |
| K6 | 0.0 | 6.72 | 0.9053 | −0.7159 | 0.9053 | |
| NH2 | E | 10.3 | 3.51 | 0.6190 | 0.6178 | 0.5807 |
| K1 | 4.9 | 3.04 | 0.7994 | 0.5773 | −0.7667 | |
| K2 | 5.6 | 2.79 | 0.7766 | 0.6521 | −0.7804 | |
| K3 | 0.0 | 12.01 | 0.9095 | −0.9130 | 0.9098 | |
| K4 | 7.3 | 3.04 | 0.8480 | 0.3583 | −0.5692 | |
| K5 | 6.1 | 4.29 | 0.8600 | 0.2443 | −0.5002 | |
| K6 | 0.0 | 12.02 | 0.9019 | −1.0218 | 0.9019 | |
| NO2 | E | 16.8 | 0.88 | 0.6223 | 0.6518 | 0.6053 |
| K1 | 13.0 | 0.73 | 0.7967 | 0.6358 | −0.7255 | |
| K2 | 12.9 | 2.53 | 0.7760 | 0.6861 | −0.7420 | |
| K3 | 0.0 | 14.93 | 0.9176 | −0.6255 | 0.9176 | |
| K4 | 14.0 | 3.21 | 0.8446 | 0.4079 | −0.4888 | |
| K5 | 13.8 | 0.80 | 0.8556 | 0.3158 | −0.4320 | |
| K6 | 0.0 | 14.97 | 0.9176 | −0.6255 | 0.9176 | |
| OH | E | 10.8 | 2.71 | 0.6159 | 0.6807 | 0.6067 |
| K1 | 6.4 | 1.95 | 0.8110 | 0.6111 | −0.7856 | |
| K2 | 7.6 | 0.89 | 0.7945 | 0.6725 | −0.8222 | |
| K3 | 0.0 | 13.81 | 0.9074 | −0.9632 | 0.9074 | |
| K4 | 9.3 | 0.81 | 0.8660 | 0.3664 | −0.6312 | |
| K5 | 7.5 | 1.53 | 0.8723 | 0.2799 | −0.5133 | |
| K6 | 0.0 | 13.83 | 0.9074 | −0.9632 | 0.9074 |
| X | Isomer | ΔG [kcal/mol] | α | HOMA (A) | HOMO (B) | HOMA (C) |
|---|---|---|---|---|---|---|
| H | 1Ea | 21.8 | 0.45 | 0.6129 | 0.6307 | 0.6091 |
| 1Eb | 13.8 | 0.23 | 0.6188 | 0.6666 | 0.5957 | |
| 1K6a | 24.6 | 28.08 | 0.9567 | −1.3219 | 0.9567 | |
| 1K6b | 12.1 | 13.70 | 0.9300 | −0.9360 | 0.9181 | |
| 1K6c | 0.0 | 6.72 | 0.9053 | −0.7159 | 0.9053 | |
| NH2 | 2Ea | 18.8 | 3.74 | 0.6088 | 0.5888 | 0.5984 |
| 2Eb | 10.3 | 3.51 | 0.6190 | 0.6178 | 0.5807 | |
| 2K6a | 27.2 | 40.59 | 0.9629 | −1.6549 | 0.9629 | |
| 2K6b | 16.2 | 31.66 | 0.9385 | −1.2796 | 0.9229 | |
| 2K6c | 0.0 | 12.02 | 0.9019 | −1.0218 | 0.9019 | |
| OH | 3Ea | 19.7 | 4.28 | 0.6036 | 0.6265 | 0.6220 |
| 3Eb | 10.8 | 2.71 | 0.6159 | 0.6622 | 0.6252 | |
| 3K6a | 23.6 | 28.70 | 0.9583 | −1.5692 | 0.9583 | |
| 3K6b | 11.5 | 17.62 | 0.9329 | −1.2003 | 0.9196 | |
| 3K6c | 0.0 | 13.83 | 0.9074 | −0.9632 | 0.9074 | |
| t−Bu | 4Ea | 24.5 | 22.57 | 0.5724 | 0.5100 | 0.5744 |
| 4Eb | 17.2 | 21.17 | 0.5649 | 0.5301 | 0.5467 | |
| 4K6a | 21.0 | 52.00 | 0.9593 | −2.1410 | 0.9595 | |
| 4K6b | 10.9 | 46.08 | 0.9314 | −1.7695 | 0.9175 | |
| 4K6c | 0.0 | 41.59 | 0.8914 | −1.5024 | 0.8914 | |
| Et | 5Ea | 23.7 | 3.72 | 0.5849 | 0.5661 | 0.5549 |
| 5Eb | 15.4 | 3.38 | 0.5854 | 0.6003 | 0.5647 | |
| 5K6a | 27.9 | 26.53 | 0.9549 | −1.6922 | 0.9549 | |
| 5K6b | 18.8 | 36.69 | 0.9332 | −1.4496 | 0.9248 | |
| 5K6c | 0.0 | 20.80 | 0.9083 | −0.8027 | 0.9098 | |
| Me | 6Ea | 23.2 | 0.96 | 0.6067 | 0.5682 | 0.5523 |
| 6Eb | 15.1 | 0.51 | 0.6066 | 0.5918 | 0.5384 | |
| 6K6a | 27.5 | 38.32 | 0.9599 | −1.6960 | 0.9599 | |
| 6K6b | 16.1 | 28.47 | 0.9305 | −1.3403 | 0.9194 | |
| 6K6c | 0.0 | 15.00 | 0.9097 | −0.8068 | 0.9097 | |
| Cl | 7Ea | 22.8 | 0.68 | 0.5990 | 0.5854 | 0.5947 |
| 7Eb | 14.9 | 0.43 | 0.6077 | 0.6258 | 0.5854 | |
| 7K6a | 27.0 | 30.39 | 0.9585 | −1.5386 | 0.9585 | |
| 7K6b | 11.3 | 20.47 | 0.9409 | −0.7715 | 0.9275 | |
| 7K6c | 0.0 | 17.12 | 0.9156 | −0.5278 | 0.9156 | |
| CHO | 8Ea | 21.9 | 6.80 | 0.6396 | 0.5081 | 0.6384 |
| 8Eb | 15.0 | 4.97 | 0.6224 | 0.5379 | 0.6198 | |
| 8K6a | 23.4 | 27.59 | 0.9567 | −1.3638 | 0.9567 | |
| 8K6b | 11.4 | 16.99 | 0.9324 | −1.0007 | 0.9207 | |
| 8K6c | 0.0 | 12.14 | 0.9088 | −0.7817 | 0.9088 | |
| COOH | 9Ea | 19.0 | 1.87 | 0.6211 | 0.6045 | 0.6146 |
| 9Eb | 11.8 | 1.45 | 0.6161 | 0.6361 | 0.6585 | |
| 9K6a | 25.8 | 30.29 | 0.9600 | −1.6422 | 0.9621 | |
| 9K6b | 7.9 | 15.43 | 0.9315 | −1.0756 | 0.9169 | |
| 9K6c | 0.0 | 17.85 | 0.9209 | −0.8243 | 0.9209 | |
| NO2 | 10Ea | 23.8 | 0.74 | 0.6304 | 0.6163 | 0.6264 |
| 10Eb | 16.8 | 0.88 | 0.6223 | 0.6518 | 0.6053 | |
| 10K6a | 23.3 | 26.59 | 0.9620 | −1.2132 | 0.9699 | |
| 10K6b | 11.3 | 18.68 | 0.9451 | −0.8550 | 0.9309 | |
| 10K6c | 0.0 | 14.97 | 0.9176 | −0.6255 | 0.9176 |
| Substituent | Wavenumber [cm−1] | Int. [km/mol] | Description |
|---|---|---|---|
| NO2 | 1381 | 109.2 | νCO; δOH; δCH; νCN; νNO; νCC |
| 1399 | 189.7 | νCO; δOH; δCH; νCN; νNO; νCC | |
| 1519 | 230.8 | νCO; δOH; δCH (side rings); νCC | |
| 1636 | 144.5 | νCO; δOH; δCH; νCC | |
| 1670 | 261.2 | νCO; δOH; δCH; νCC | |
| 3399 | 520.1 | νasOH | |
| 3427 | 50.2 | νsOH | |
| t-Bu | 1502 | 213.1 | νCO; δOH; δCH; νCC (rings) |
| 1634 | 286.5 | νCO; δOH; νCC (rings); δCH (rings) | |
| 1662 | 193.3 | νCO; δOH; νCC (rings); δCH (rings) | |
| 3386 | 436.3 | νasOH | |
| 3415 | 67.5 | νsOH | |
| COOH | 1394 | 144.3 | νCO; δOH; δCH; νCC |
| 1518 | 213.9 | νCO; δOH; δCH; νCC | |
| 1635 | 186.8 | νCO; δOH; δCH; νCC | |
| 1669 | 236.9 | νCO; δOH; δCH; νCC | |
| 3389 | 561.5 | νasOH | |
| 3418 | 51.6 | νsOH | |
| CH3 | 1389 | 96.2 | νCO; δOH; δCH; νCC (rings) |
| 1515 | 236.5 | νCO; δOH; δCH (rings); νCC (rings) | |
| 1633 | 254.5 | νCO; δOH; δCH (rings); νCC (rings) | |
| 1668 | 192.3 | νCO; δOH; δCH (rings); νCC (rings) | |
| 3372 | 601.1 | νasOH | |
| 3403 | 45.1 | νsOH | |
| CHO | 1514 | 209.6 | νCO; δOH; δCH (side rings); νCC |
| 1629 | 279.4 | νCO; δOH; δCH (side rings); νCC | |
| 1667 | 224.9 | νCO; δOH; δCH (side rings); νCC | |
| 3381 | 574.2 | νasOH | |
| 3411 | 46.4 | νsOH | |
| Cl | 1395 | 118.7 | νCO; δOH; δCH (C2, C7); νCC |
| 1517 | 237.3 | νCO; δOH; δCH (side rings); νCC | |
| 1634 | 171.1 | νCO; δOH; δCH (C3, C4, C5, C6); νCC | |
| 1669 | 231.5 | νCO; δOH; δCH (side rings); νCC | |
| 3381 | 504.5 | νasOH | |
| 3417 | 49.1 | νsOH | |
| Et | 1391 | 109.6 | νCO; δOH; δCH (C2, C7); νCC (rings) |
| 1514 | 223.9 | νCO; δOH; δCH; νCO; νCC (rings) | |
| 1633 | 264.5 | νCO; δOH; δCH (C3, C4, C5, C6); νCC (rings) | |
| 1666 | 193.6 | νCO; δOH; δCH (C2, C4, C5, C7); νCC (rings) | |
| 3377 | 559.1 | νasOH | |
| 3407 | 51.4 | νsOH | |
| OH | 1391 | 129.5 | νCO; δOH; δCH (C2, C7, C10); νCC (rings) |
| 1511 | 269.6 | νCO; δOH; δCH (rings); νCC | |
| 1633 | 205.3 | νCO; δOH (side rings); δCH (C3, C4, C5, C6); νCC | |
| 1668 | 200.7 | νCO; δOH (side rings); δCH (C2, C4, C5, C7); νCC | |
| 3377 | 586.9 | νasOH | |
| 3407 | 45.7 | νsOH | |
| NH2 | 1333 | 101.7 | νCO; δOH; δCH (C3, C4, C5, C6, C10); δNH; νCC |
| 1510 | 244.9 | νCO; δOH; δCH; δNH; νCC; νCN | |
| 1635 | 252.2 | νCO; δOH; δCH; δNH; νCC | |
| 1666 | 207.2 | νCO; δOH; δCH; δNH; νCC | |
| 3372 | νasOH | ||
| 3402 | νsOH | ||
| H | 1387 | 106.5 | νCO; δOH; δCH (C2, C7, C10); νCC |
| 1518 | 244.9 | νCO; δOH; δCH; νCC | |
| 1633 | 242.2 | νCO; δOH; δCH; νCC | |
| 1668 | 188.4 | νCO; δOH; δCH (C2, C4, C5, C7); νCC | |
| 3690 | 657.3 | νasOH | |
| 3401 | 40.7 | νsOH |
| X | Isomer | Dipol Moment [D] | ALIE | ESP |
|---|---|---|---|---|
| H | 1Eb | 1.79 | ![]() | ![]() |
| 1K6c | 1.76 | ![]() | ![]() | |
| NH2 | 2Eb | 1.80 | ![]() | ![]() |
| 2K6c | 1.74 | ![]() | ![]() | |
| OH | 3Eb | 1.33 | ![]() | ![]() |
| 3K6c | 1.13 | ![]() | ![]() | |
| t-Bu | 3Eb | 1.33 | ![]() | ![]() |
| 3K6c | 1.13 | ![]() | ![]() | |
| Et | 4Eb | 1.73 | ![]() | ![]() |
| 4K6c | 1.76 | ![]() | ![]() | |
| Me | 6Eb | 1.76 | ![]() | ![]() |
| 6K6c | 1.76 | ![]() | ![]() | |
| Cl | 7Eb | 1.95 | ![]() | ![]() |
| 7K6c | 1.41 | ![]() | ![]() | |
| CHO | 8Eb | 2.90 | ![]() | ![]() |
| 8K6c | 0.78 | ![]() | ![]() | |
| COOH | 9Eb | 2.84 | ![]() | ![]() |
| 9K6c | 2.41 | ![]() | ![]() | |
| NO2 | 10Eb | 2.66 | ![]() | ![]() |
| 10K6c | 1.54 | ![]() | ![]() |
| ΔH [kcal/mol] | ΔG [kcal/mol] | TΔS | BDE(C-H) | BDE(O-H) | |
|---|---|---|---|---|---|
| 10Eb | −17.3 | −16.8 | −7.82 × 104 | 79.0 | 96.3 |
| 4Eb | −18.2 | −17.2 | −1.61 × 103 | 59.8 | 78.0 |
| 9Eb | −12.0 | −11.8 | −2.94 × 104 | 69.2 | 81.1 |
| 6Eb | −17.1 | −15.1 | −3.18 × 103 | 61.8 | 78.9 |
| 8Eb | −15.4 | −15.0 | −6.81 × 104 | 65.5 | 80.9 |
| 7Eb | −15.9 | −14.9 | −1.58 × 103 | 64.0 | 79.9 |
| 5Eb | −16.7 | −15.4 | −2.15 × 103 | 62.6 | 79.4 |
| 3Eb | −11.9 | −10.8 | −1.73 × 103 | 65.6 | 77.5 |
| 2Eb | −7.0 | −5.6 | −2.11 × 103 | 68.7 | 75.6 |
| 1Eb | −14.6 | −13.8 | −1.27 × 103 | 65.6 | 80.1 |
| 10Ea | −12.9 | −12.5 | −5.57 × 104 | 76.0 | 88.9 |
| 4Ea | −14.8 | −13.6 | −1.89 × 103 | 69.7 | 84.5 |
| 9Ea | −11.5 | −11.2 | −5.28 × 104 | 76.7 | 88.2 |
| 6Ea | −9.3 | −7.1 | −3.51 × 103 | 76.4 | 85.7 |
| 8Ea | −10.6 | −10.4 | −2.90 × 104 | 78.4 | 89.0 |
| 7Ea | −12.1 | −11.4 | −1.04 × 103 | 74.8 | 86.8 |
| 5Ea | −6.1 | −4.9 | −1.83 × 103 | 80.2 | 86.3 |
| 3Ea | −8.7 | −8.1 | −1.01 × 103 | 75.7 | 84.4 |
| 2Ea | −4.1 | −2.7 | −2.25 × 103 | 78.5 | 82.6 |
| 1Ea | −10.1 | −9.8 | −5.64 × 104 | 76.9 | 87.0 |
| ΔE [kcal/mol] | |||
|---|---|---|---|
| Substituent | Reactant | Transition State | Product |
| H | 0 | 111.793 | 14.828 |
| OH | 0 | 105.881 | 12.503 |
| NH2 | 0 | 95.353 | 7.501 |
| NO2 | 0 | 111.648 | 17.800 |
| Substituent | Compound | ΔG [kcal/mol] | ΔH [kcal/mol] | TΔS |
|---|---|---|---|---|
| NO2 | K + Pyr | 0.00 | 0.00 | 0.00 |
| TS1 | 17.60 | 15.75 | −1.85 | |
| INT1 | 8.83 | 5.42 | −3.41 | |
| INT2 | 14.77 | 12.91 | −1.86 | |
| TS2 | 23.52 | 19.98 | −3.54 | |
| E + Pyr | 9.59 | 11.08 | 1.49 | |
| OH | K + Pyr | 0.00 | 0.00 | 0.00 |
| TS1 | 17.34 | 15.48 | −1.86 | |
| INT1 | 14.38 | 11.73 | −2.65 | |
| INT2 | 5.59 | 5.02 | −0.57 | |
| TS2 | 6.93 | 6.07 | −0.86 | |
| E + Pyr | 3.19 | 5.13 | 1.94 | |
| H | K + Pyr | 0.00 | 0.00 | 0.00 |
| TS1 | 8.37 | 7.89 | −0.48 | |
| INT1 | 19.34 | 17.04 | −2.30 | |
| INT2 | 10.86 | 10.68 | −0.18 | |
| TS2 | 17.60 | 17.60 | 0.00 | |
| E + Pyr | 7.42 | 10.08 | 2.66 |
| Substituent | ΔrH° (298 K) [kcal/mol] | ΔrG° (298 K) [kcal/mol] | k (298 K) |
|---|---|---|---|
| H | −14.58 | −13.78 | 3.13 × 10−66 |
| NH2 | −6.96 | −5.64 | 4.85 × 10−54 |
| NO2 | −17.32 | −16.83 | 8.49 × 10−66 |
| OH | −11.92 | −10.83 | 1.21 × 10−61 |
| Substituent | ΔrH1 (298 K) [kcal/mol] | ΔrG1 (298 K) [kcal/mol] | k1 (298) | ΔrH2 (298 K) [kcal/mol] | ΔrG2 (298 K) [kcal/mol] | k2 (298 K) |
|---|---|---|---|---|---|---|
| H | −17.04 | −19.34 | 1.42 × 10−2 | 0.59 | 3.44 | 7.09 × 107 |
| NO2 | −5.43 | −8.83 | 7.80 × 10−1 | 1.83 | 5.19 | 2.38 × 106 |
| OH | −11.73 | −14.38 | 1.21 × 100 | −0.11 | 2.41 | 3.66 × 1011 |
Disclaimer/Publisher’s Note: The statements, opinions and data contained in all publications are solely those of the individual author(s) and contributor(s) and not of MDPI and/or the editor(s). MDPI and/or the editor(s) disclaim responsibility for any injury to people or property resulting from any ideas, methods, instructions or products referred to in the content. |
© 2023 by the authors. Licensee MDPI, Basel, Switzerland. This article is an open access article distributed under the terms and conditions of the Creative Commons Attribution (CC BY) license (https://creativecommons.org/licenses/by/4.0/).
Share and Cite
Szymańska, M.; Majerz, I. Prototropy, Intramolecular Interactions, Electron Delocalization, and Physicochemical Properties of 1,8-dihydroxy-9-anthrone—DFT-D3 Study of Substituent Effects. Molecules 2023, 28, 344. https://doi.org/10.3390/molecules28010344
Szymańska M, Majerz I. Prototropy, Intramolecular Interactions, Electron Delocalization, and Physicochemical Properties of 1,8-dihydroxy-9-anthrone—DFT-D3 Study of Substituent Effects. Molecules. 2023; 28(1):344. https://doi.org/10.3390/molecules28010344
Chicago/Turabian StyleSzymańska, Małgorzata, and Irena Majerz. 2023. "Prototropy, Intramolecular Interactions, Electron Delocalization, and Physicochemical Properties of 1,8-dihydroxy-9-anthrone—DFT-D3 Study of Substituent Effects" Molecules 28, no. 1: 344. https://doi.org/10.3390/molecules28010344
APA StyleSzymańska, M., & Majerz, I. (2023). Prototropy, Intramolecular Interactions, Electron Delocalization, and Physicochemical Properties of 1,8-dihydroxy-9-anthrone—DFT-D3 Study of Substituent Effects. Molecules, 28(1), 344. https://doi.org/10.3390/molecules28010344








































