Improved Synthesis of Asymmetric Curcuminoids and Their Assessment as Antioxidants
Abstract
1. Introduction
2. Results and Discussion
2.1. Chemistry
2.2. Pharmacology/Biology
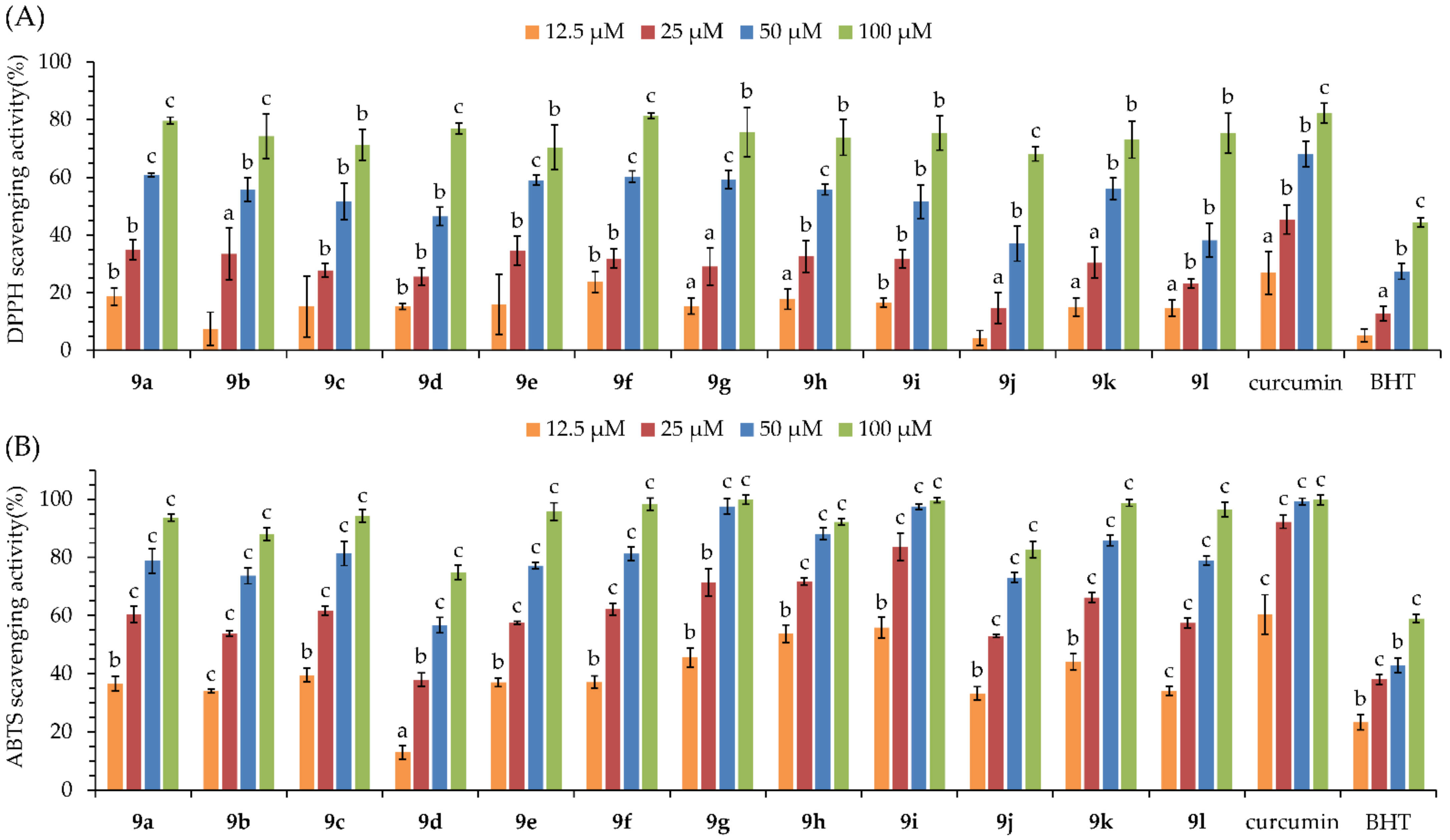
2.2.1. DPPH Free-Radical Scavenging Activity of Compounds 9a–l
2.2.2. ABTS Radical Cation Scavenging Activity of Compounds 9a–l
3. Materials and Methods
3.1. General Procedures
3.2. Synthesis of Monosubstituted 6 (Pabon’s Method)
3.3. Synthesis of Asymmetric Curcumin Analogs
3.4. Controlled Experiment
3.5. Biological Assay
3.5.1. Materials
3.5.2. DPPH Radical Scavenging Assay
3.5.3. ABTS Cation Radical Scavenging Activity
3.5.4. Statistical Analysis
3.6. Synthetic Compounds
3.6.1. (E)-6-(4-Hydroxy-3-methoxyphenyl)hex-5-ene-2,4-dione (6)
3.6.2. (1E,6E)-1-(4-Fluorophenyl)-7-(4-hydroxy-3-methoxyphenyl)hepta-1,6-diene-3,5-dione (9a)
3.6.3. (1E,6E)-1-(4-Chlorophenyl)-7-(4-hydroxy-3-methoxyphenyl)hepta-1,6-diene-3,5-dione (9b)
3.6.4. (1E,6E)-1-(4-Bromophenyl)-7-(4-hydroxy-3-methoxyphenyl)hepta-1,6-diene-3,5-dione (9c)
3.6.5. (1E,6E)-1-(4-Hydroxy-3-methoxyphenyl)-7-(4-nitrophenyl)hepta-1,6-diene-3,5-dione (9d)
3.6.6. (1E,6E)-1-(3-Fluorophenyl)-7-(4-hydroxy-3-methoxyphenyl)hepta-1,6-diene-3,5-dione (9e)
3.6.7. (1E,6E)-1-(3-Chlorophenyl)-7-(4-hydroxy-3-methoxyphenyl)hepta-1,6-diene-3,5-dione (9f)
3.6.8. (1E,6E)-1-(3-Bromophenyl)-7-(4-hydroxy-3-methoxyphenyl)hepta-1,6-diene-3,5-dione (9g)
3.6.9. (1E,6E)-1-(2-Fluorophenyl)-7-(4-hydroxy-3-methoxyphenyl)hepta-1,6-diene-3,5-dione (9h)
3.6.10. (1E,6E)-1-(2-Chlorophenyl)-7-(4-hydroxy-3-methoxyphenyl)hepta-1,6-diene-3,5-dione (9i)
3.6.11. (1E,6E)-1-(2-Bromophenyl)-7-(4-hydroxy-3-methoxyphenyl)hepta-1,6-diene-3,5-dione (9j)
3.6.12. (1E,6E)-1-(4-Hydroxy-3-methoxyphenyl)-7-(thiophen-2-yl)hepta-1,6-diene-3,5-dione (9k)
3.6.13. (1E,6E)-1-(4-Hydroxy-3-methoxyphenyl)-7-(5-methylthiophen-2-yl)hepta-1,6-diene-3,5-dione (9l)
4. Conclusions
Supplementary Materials
Author Contributions
Funding
Institutional Review Board Statement
Informed Consent Statement
Data Availability Statement
Acknowledgments
Conflicts of Interest
References and Notes
- Vogel, H.; Pelletier, J. Curcumin-biological and medicinal properties. J. Pharm. 1815, 2, 24–29. [Google Scholar]
- Milobedeska, J.; Kostanecki, S.; Lampe, V. Zur kenntnis des curcumins. Ber. Deut. Chem. Ges. 1910, 43, 2163–2170. [Google Scholar] [CrossRef]
- Lampe, V.; Milobedeska, J. Studien über curcumin. Eur. J. Pharm. Biopharm. 1913, 46, 2235–2240. [Google Scholar] [CrossRef]
- Hewlings, S.J.; Kalman, D.S. Curcumin: A review of its effects on human health. Foods 2017, 6, 92. [Google Scholar] [CrossRef]
- Sharma, O.P. Antioxidant activity of curcumin and related compounds. Biochem. Pharmacol. 1976, 25, 1811–1812. [Google Scholar] [CrossRef]
- Singh, S.; Aggarwal, B.B. Activation of transcription factor NF-κB is suppressed by curcumin (diferuloylmethane). J. Biol. Chem. 1995, 270, 24995–25000. [Google Scholar] [CrossRef] [PubMed]
- Stanić, Z. Curcumin, a compound from natural sources, a true scientific challenge—A review. Plant Foods Hum. Nutr. 2017, 72, 1–12. [Google Scholar] [CrossRef]
- Prasad, D.; Praveen, A.; Mahapatra, S.; Mogurampelly, S.; Chaudhari, S.R. Existence of β-diketone form of curcuminoids revealed by NMR spectroscopy. Food Chem. 2021, 360, 130000. [Google Scholar] [CrossRef]
- Noureddin, S.A.; El-Shishtawy, R.M.; Al-Footy, K.O. Curcumin analogues and their hybrid molecules as multifunctional drugs. Euro. J. Med. Chem. 2019, 182, 111631. [Google Scholar] [CrossRef]
- Hosseini-Zare, M.S.; Sarhadi, M.; Zarei, M.; Thilagavathi, R.; Selvam, C. Synergistic effects of curcumin and its analogs with other bioactive compounds: A comprehensive review. Euro. J. Med. Chem. 2021, 210, 113072. [Google Scholar] [CrossRef]
- Bairwa, K.; Grover, J.; Kania, M.; Jachak, S.M. Recent developments in chemistry and biology of curcumin analogues. RSC Adv. 2014, 4, 13946–13978. [Google Scholar] [CrossRef]
- Khor, P.Y.; Aluwi, M.F.F.M.; Rullah, K.; Lam, K.W. Insights on the synthesis of asymmetric curcumin derivatives and their biological activities. Euro. J. Med. Chem. 2019, 183, 111704. [Google Scholar] [CrossRef] [PubMed]
- Yang, J.; Cheng, R.; Fu, H.; Yang, J.; Kumar, M.; Lu, J.; Xu, Y.; Liang, S.H.; Cui, M.; Ran, C. Half-curcumin analogues as PET imaging probes for amyloid beta species. Chem. Commun. 2019, 55, 3630–3633. [Google Scholar] [CrossRef] [PubMed]
- Okuda, M.; Hijikuro, I.; Fujita, Y.; Teruya, T.; Kawakami, H.; Takahashi, T.; Sugimoto, H. Design and synthesis of curcumin derivatives as tau and amyloid β dual aggregation inhibitors. Bioorg. Med. Chem. Lett. 2016, 26, 5024–5028. [Google Scholar] [CrossRef] [PubMed]
- Konno, H.; Endo, H.; Ise, S.; Miyazaki, K.; Aoki, H.; Sanjoh, A.; Kobayashi, K.; Hattori, Y.; Akaji, K. Synthesis and evaluation of curcumin derivatives toward an inhibitor of beta-site amyloid precursor protein cleaving enzyme 1. Bioorg. Med. Chem. Lett. 2014, 24, 685–690. [Google Scholar] [CrossRef]
- Kim, B.R.; Park, J.-Y.; Jeong, H.J.; Kwon, H.-J.; Park, S.-J.; Lee, I.-C.; Ryu, Y.B.; Lee, W.S. Design, synthesis, and evaluation of curcumin analogues as potential inhibitors of bacterial sialidase J. Enzym. Inhib. Med. Chem. 2018, 33, 1256–1265. [Google Scholar] [CrossRef]
- Golonko, A.; Lewandowska, H.; Świsłocka, R.; Jasińska, U.T.; Priebe, W.; Lewandowski, W. Curcumin as tyrosine kinase inhibitor in cancer treatment. Euro. J. Med. Chem. 2019, 181, 111512. [Google Scholar] [CrossRef]
- Rodrigues, F.C.; Kumar, N.V.A.; Thakur, G. Developments in the anticancer activity of structurally modified curcumin: An up-to-date review. Euro. J. Med. Chem. 2019, 177, 76–104. [Google Scholar] [CrossRef]
- Zhao, S.; Pi, C.; Ye, Y.; Zhao, L.; Wei, Y. Recent advances of analogues of curcumin for treatment of cancer. Eur. J. Med. Chem. 2019, 180, 524–535. [Google Scholar] [CrossRef]
- Fang, X.; Fang, L.; Gou, S.; Cheng, L. Design and synthesis of dimethylaminomethyl-substituted curcumin derivatives/analogues: Potent antitumor and antioxidant activity, improved stability and aqueous solubility compared with curcumin. Bioorg. Med. Chem. Lett. 2013, 23, 1297–1301. [Google Scholar] [CrossRef]
- Shi, Q.; Wada, K.; Ohkoshi, E.; Lin, L.; Huang, R.; Morris-Natschke, S.L.; Goto, M.; Lee, K.-H. Antitumor agents 290. Design, synthesis, and biological evaluation of new LNCaP and PC-3 cytotoxic curcumin analogs conjugated with anti-androgens. Bioorg. Med. Chem. 2012, 20, 4020–4031. [Google Scholar] [CrossRef] [PubMed]
- Wichitnithad, W.; Nimmannit, U.; Wacharasindhu, S.; Rojsitthisak, P. Synthesis, characterization and biological evaluation of succinate prodrugs of curcuminoids for colon cancer treatment. Molecules 2011, 16, 1888–1900. [Google Scholar] [CrossRef] [PubMed]
- Lin, L.; Shi, Q.; Nyarko, A.K.; Bastow, K.F.; Wu, C.-C.; Su, C.-Y.; Shih, C.C.-Y.; Lee, K.-H. Antitumor agents. 250. Design and synthesis of new curcumin analogues as potential anti-prostate cancer agents. J. Med. Chem. 2006, 49, 3963–3972. [Google Scholar] [CrossRef] [PubMed]
- Chen, T.; Zhu, G.; Meng, X.; Zhang, X. Recent developments of small molecules with anti-inflammatory activities for the treatment of acute lung injury. Euro. J. Med. Chem. 2020, 207, 112660. [Google Scholar] [CrossRef]
- Ahmed, S.; Khan, H.; Mirzaei, H. Mechanics insights of curcumin in myocardial ischemia: Where are we standing? Euro. J. Med. Chem. 2019, 183, 111658. [Google Scholar] [CrossRef]
- Wal, P.; Saraswat, N.; Pal, R.S.; Wal, A.; Chaubey, M.A. Detailed insight of the anti-inflammatory effects of curcumin with the assessment of parameters, sources of ROS and associated mechanisms. Open Med. J. 2019, 6, 64–76. [Google Scholar] [CrossRef][Green Version]
- Leong, S.W.; Awin, T.; Faudzi, S.M.M.; Maulidiani, M.; Shaari, K.; Abas, F. Synthesis and biological evaluation of asymmetrical diarylpentanoids as antiinflammatory, anti-α-glucosidase, and antioxidant agents. Med. Chem. Res. 2019, 28, 2002–2009. [Google Scholar] [CrossRef]
- Sohilait, M.R.; Pranowo, H.D.; Haryadi, W. Synthesis, in vitro and molecular docking studies of 1-(3,4-dimethoxy-phenyl)-5-(4-hydroxy3-methoxy-phenyl)-penta-1,4-dien-3-one as new potential anti-inflammatory. Asian J. Chem. 2018, 30, 1765–1770. [Google Scholar] [CrossRef]
- Bandgar, B.P.; Kinkar, S.N.; Chavan, H.V.; Jalde, S.S.; Shaikh, R.U.; Gacche, R.N. Synthesis and biological evaluation of asymmetric indole curcumin analogs as potential anti-inflammatory and antioxidant agents. J. Enzym. Inhib. Med. Chem. 2014, 29, 7–11. [Google Scholar] [CrossRef]
- Zhang, Y.; Zhao, L.; Wu, J.; Jiang, X.; Dong, L.; Xu, F.; Zou, P.; Dai, Y.; Shan, X.; Yang, S.; et al. Synthesis and evaluation of a series of novel asymmetrical curcumin analogs for the treatment of inflammation. Molecules 2014, 19, 7287–7307. [Google Scholar] [CrossRef]
- Zhang, Y.; Jiang, X.; Peng, K.; Chen, C.; Fu, L.; Wang, Z.; Feng, J.; Liu, Z.; Zhang, H.; Liang, G.; et al. Discovery and evaluation of novel anti-inflammatory derivatives of natural bioactive curcumin. Drug Des. Dev. Ther. 2014, 8, 2161–2171. [Google Scholar]
- Salehi, B.; Stojanović-Radić, Z.; Matejić, J.; Sharifi-Rad, M.; Kumar, N.V.A.; Martins, N.; Sharifi-Rad, J. The therapeutic potential of curcumin: A review of clinical trials. Euro. J. Med. Chem. 2019, 163, 527–545. [Google Scholar] [CrossRef] [PubMed]
- Nelson, K.M.; Dahlin, J.L.; Bisson, J.; Graham, J.; Pauli, G.F.; Walters, M.A. The essential medicinal chemistry of curcumin. J. Med. Chem. 2017, 60, 1620–1637. [Google Scholar] [CrossRef] [PubMed]
- Priyadarsini, K.I. The chemistry of curcumin: From extraction to therapeutic agent. Molecules 2014, 19, 20091–20112. [Google Scholar] [CrossRef] [PubMed]
- Anand, P.; Thomas, S.G.; Kunnumakkara, A.B.; Sundaram, C.; Harikumar, K.B.; Sung, B.; Tharakan, S.T.; Misra, K.; Priyadarsini, I.K.; Rajasekharan, K.N.; et al. Biological activities of curcumin and its analogues (Congeners) made by man and Mother Nature. Biochem. Pharmacol. 2008, 76, 1590–1611. [Google Scholar] [CrossRef] [PubMed]
- Gaafary, M.E.; Lehner, J.; Fouda, A.M.; Hamed, A.; Ulrich, J.; Simmet, T.; Syrovets, T.; El-Agrody, A.M. The AMPA receptor biophysical gating properties and binding site: Focus on novel curcumin-based diazepines as non-competitive antagonists. Bioorg. Chem. 2021, 116, 105406. [Google Scholar]
- Her, C.; Venier-Julienne, M.-C.; Roger, E. Improvement of curcumin bioavailability for medical applications. Med. Aromat. Plants 2018, 7, 1000326. [Google Scholar] [CrossRef]
- Anand, P.; Kunnumakkara, A.B.; Newman, R.A.; Aggarwal, B.B. Bioavailability of curcumin: Problems and promises. Mol. Pharm. 2007, 4, 807–818. [Google Scholar] [CrossRef]
- Pabon, H.J.J. A synthesis of curcumin and related compounds. Recueil 1964, 83, 379–386. [Google Scholar] [CrossRef]
- Rao, E.V.; Sudheer, P. Revisiting curcumin chemistry Part I: A new strategy for the synthesis of curcuminoids. Indian J. Pharm. Sci. 2011, 73, 262–270. [Google Scholar]
- Hahm, E.-R.; Cheon, G.; Lee, J.; Kim, B.; Parka, C.; Yang, C.-H. New and known symmetrical curcumin derivatives inhibit the formation of Fos-Jun-DNA complex. Cancer Lett. 2002, 184, 89–96. [Google Scholar] [CrossRef]
- Nalli, M.; Ortar, G.; Moriello, A.S.; Marzo, V.D.; Petrocellis, L.D. Effects of curcumin and curcumin analogues on TRP channels. Fitoterapia 2017, 122, 126–131. [Google Scholar] [CrossRef] [PubMed]
- Shao, W.-Y.; Cao, Y.-N.; Yu, Z.-W.; Pan, W.-J.; Qiu, X.; Bu, X.-Z.; An, L.-K.; Huang, Z.-S.; Gu, L.-Q.; Chan, A.S.C. Facile preparation of new unsymmetrical curcumin derivatives by solid-phase synthesis strategy. Tetrahedron Lett. 2006, 47, 4085–4089. [Google Scholar] [CrossRef]
- Park, Y.D.; Kinger, M.; Min, C.; Lee, S.Y.; Byun, Y.; Park, J.W.; Jeon, J. Synthesis and evaluation of curcumin-based near-infrared fluorescent probes for the in vivo optical imaging of amyloid-β plaques. Bioorg. Chem. 2021, 115, 105167. [Google Scholar] [CrossRef]
- Wiseman, H.; Halliwell, B. Damage to DNA by reactive oxygen and nitrogen species: Role in inflammatory disease and progression to cancer. Biochem. J. 1996, 313, 17–29. [Google Scholar] [CrossRef]
- Bhat, A.H.; Dar, K.B.; Anees, S.; Zargar, M.A.; Masood, A.; Sofi, M.A.; Ganie, S.A. Oxidative stress, mitochondrial dysfunction and neurodegenerative diseases; a mechanistic insight. Biomed. Pharmacother. 2015, 74, 101–110. [Google Scholar] [CrossRef]
- Our explanation to the low-combined yields is due to compounds 7, 9a–l and 10a–l encompassed in the boronic mixture. This polymerized mixture is remained on the top of column chromatography on purification. This phenomenon is alleviated after MS 4Å added.
- Hung, S.-J.; Hong, Y.-A.; Lin, K.-Y.; Hua, Y.-W.; Kuo, C.-J.; Hu, A.; Shih, T.-L.; Chen, H.-P. Efficient photodynamic killing of Gram-positive bacteria by synthetic curcuminoids. Int. J. Mol. Sci. 2020, 21, 9024. [Google Scholar] [CrossRef]
- Soares, J.R.; Dins, T.C.P.; Cunha, A.P.; Ameida, L.M. Antioxidant activities of some extracts of Thymus zygis. Free Radic. Res. 1997, 26, 469–478. [Google Scholar] [CrossRef]
- Re, R.; Pellegrini, N.; Proteggente, A.; Pannala, A.; Yang, M.; Rice-Evans, C. Antioxidant activity applying an improved ABTS radical cation decolorization assay. Free Rad. Biol. Med. 1999, 26, 1231–1237. [Google Scholar] [CrossRef]
- Li, C.-W.; Chu, Y.-C.; Huang, C.-Y.; Fu, S.-L.; Chen, J.-J. Evaluation of antioxidant and anti-α-glucosidase activities of various solvent extracts and major bioactive components from the seeds of Myristica fragrans. Molecules 2020, 25, 5198. [Google Scholar] [CrossRef]







| Entry | Aldehyde | Compound | Yield% | Compound | Yield% | Compound | Yield% |
|---|---|---|---|---|---|---|---|
| 1 | 8a | 7 | 12 (9.2 a) | 9a | 28 (58 a) | 10a | 2 (NA a) |
| 2 | 8b | 7 | 8 (9.5 a) | 9b | 27 (36.7 a) | 10b | 3 (NA a) |
| 3 | 8c | 7 | 7 (12 a) | 9c | 22 (73 a) | 10c | 3 (NA a) |
| 4 | 8d | 7 | 14.3 (3.8 a) | 9d | 12.5 (20 a) | 10d | NA (NA a) |
| 5 | 8e | 7 | 8.4 (6 a) | 9e | 28.9 (51.6 a) | 10e | 3 (NA a) |
| 6 | 8f | 7 | 10 (12.7 a) | 9f | 34.8 (49.2 a) | 10f | 4 (NA a) |
| 7 | 8g | 7 | 9.4 (2.5 a) | 9g | 31.1 (34 a) | 10g | 9 (NA a) |
| 8 | 8h | 7 | 10.6 (3.1 a) | 9h | 36.8 (44.7 a) | 10h | 11 (NA a) |
| 9 | 8i | 7 | 11.6 (NA a) | 9i | 37.8 (52.1 a) | 10i | 9 (NA a) |
| 10 | 8j | 7 | 11 (22.2 a) | 9j | 20.7 (40.9 a) | 10j | 8 (NA a) |
| 11 | 8k | 7 | 17.5 (14 a) | 9k | 11.2 (48.6 a) | 10k | 11 (NA a) |
| 12 | 8l | 7 | 18.5 (25.4 a) | 9l | 28.8 (39.5 a) | 10l | 5 (NA a) |
| Compounds | IC50 (μM) a | |
|---|---|---|
| DPPH Radical | ABTS Radical Cation | |
| 9a | 37.57 ± 0.89 * | 18.79 ± 1.58 * |
| 9b | 40.55 ± 6.04 * | 22.05 ± 0.51 * |
| 9c | 49.22 ± 7.57 * | 17.47 ± 1.09 * |
| 9d | 54.47 ± 4.08 * | 46.17 ± 1.62 |
| 9e | 37.17 ± 1.76 * | 19.55 ± 0.08 * |
| 9f | 40.74 ± 0.97 ** | 17.91 ± 1.21 * |
| 9g | 40.47 ± 1.71 ** | 14.18 ± 1.44 * |
| 9h | 41.81 ± 3.11 * | 11.36 ± 0.65 ** |
| 9i | 48.12 ± 8.70 * | 10.91 ± 0.77 ** |
| 9j | 66.67 ± 8.60 | 22.80 ± 0.26 * |
| 9k | 42.18 ± 4.75 * | 15.05 ± 0.01* |
| 9l | 63.77 ± 10.92 * | 20.19 ± 1.08 * |
| curcumin | 28.56 ± 4.12 ** | 10.14 ± 1.04 ** |
| BHT b | 122.78 ± 0.96 * | 71.94 ± 1.81 * |
Publisher’s Note: MDPI stays neutral with regard to jurisdictional claims in published maps and institutional affiliations. |
© 2022 by the authors. Licensee MDPI, Basel, Switzerland. This article is an open access article distributed under the terms and conditions of the Creative Commons Attribution (CC BY) license (https://creativecommons.org/licenses/by/4.0/).
Share and Cite
Cheng, Y.-J.; Li, C.-W.; Kuo, C.-L.; Shih, T.-L.; Chen, J.-J. Improved Synthesis of Asymmetric Curcuminoids and Their Assessment as Antioxidants. Molecules 2022, 27, 2547. https://doi.org/10.3390/molecules27082547
Cheng Y-J, Li C-W, Kuo C-L, Shih T-L, Chen J-J. Improved Synthesis of Asymmetric Curcuminoids and Their Assessment as Antioxidants. Molecules. 2022; 27(8):2547. https://doi.org/10.3390/molecules27082547
Chicago/Turabian StyleCheng, Yang-Je, Cai-Wei Li, Cing-Ling Kuo, Tzenge-Lien Shih, and Jih-Jung Chen. 2022. "Improved Synthesis of Asymmetric Curcuminoids and Their Assessment as Antioxidants" Molecules 27, no. 8: 2547. https://doi.org/10.3390/molecules27082547
APA StyleCheng, Y.-J., Li, C.-W., Kuo, C.-L., Shih, T.-L., & Chen, J.-J. (2022). Improved Synthesis of Asymmetric Curcuminoids and Their Assessment as Antioxidants. Molecules, 27(8), 2547. https://doi.org/10.3390/molecules27082547

