Synthesis of New Spiro-Cyclopropanes Prepared by Non-Stabilized Diazoalkane Exhibiting an Extremely High Insecticidal Activity
Abstract
:1. Introduction
2. Results and Discussion
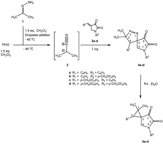
2.1. Synthesis of New Spiro-Cyclopropane
2.2. Biological Activity
2.3. Docking Studies
3. Conclusions
4. Experimental Section
4.1. General Information
4.2. Synthesis of Iodosylbenzene
4.3. Synthesis of 1,2,7-Triazaspiro[4.4]non-1-ene-8,9-Dione Derivatives (4a–d)
4.3.1. 3,3-Dimethyl-4,7-Diphenyl-1,2,7-Triazaspiro[4.4]non-1-ene-8,9-Dione (4a)
4.3.2. 4-(4-Methoxyphenyl)-3,3-Dimethyl-7-Phenyl-1,2,7-Triazaspiro[4.4]non-1-ene-8,9-Dione (4b)
4.3.3. 7-(4-Methoxyphenyl)-3,3-Dimethyl-4-Phenyl-1,2,7-Triazaspiro[4.4]non-1-ene-8,9-Dione (4c)
4.3.4. 4,7-bis(4-Methoxyphenyl)-3,3-Dimethyl-1,2,7-Triazaspiro[4.4]non-1-ene-8,9-Dione (4d)
4.4. General Procedure for the Irradiation of the Spiro-Pyrazolines (4a,b)
4.4.1. 1,1-Dimethyl-2,5-Diphenyl-5-Azaspiro[2.4]heptane-6,7-Dione (5a)
4.4.2. 5-(4-Methoxyphenyl)-1,1-Dimethyl-2-Phenyl-5-Azaspiro[2.4]heptane-6,7-Dione (5b)
4.4.3. 2-(4-Methoxyphenyl)-1,1-Dimethyl-5-Phenyl-5-Azaspiro[2.4]heptane-6,7-Dione (5c)
4.4.4. 2,5-bis(4-Methoxyphenyl)-1,1-Dimethyl-5-Azaspiro[2.4]heptane-6,7-Dione (5d)
4.5. Study of the Insecticidal Activity of Spiro-Cyclopropane 5a–d, the Trans-Chrysanthemic Acid and Pyrethrin
4.5.1. Effects of Cyclopropanes 5a–d at Contact Action against Aedes aegypti
4.5.2. Effects of Cyclopropanes 5a–d in the Vapor Phase against Aedes aegypti
4.5.3. Aerosols Effects of Cyclopropanes 5a–d Liquid Formulation against Aedes aegypti and Musca Domestica
4.6. Docking
4.6.1. Preparation of Cyclopropanes 5a–d and Trans-Chrysanthemic Acid for Docking Analysis
4.6.2. Preparation of Protein and Molecular Docking
Supplementary Materials
Author Contributions
Funding
Institutional Review Board Statement
Informed Consent Statement
Data Availability Statement
Acknowledgments
Conflicts of Interest
Sample Availability
References
- Mahapatra, A.; Prasad, T.; Sharma, T. Pyrimidine: A Review on Anticancer Activity with Key Emphasis on SAR. Future J. Pharm. Sci. 2021, 7, 123. [Google Scholar] [CrossRef]
- Salaün, J.; Baird, M.S. Biologically active cyclopropanes and cyclopropenes. Curr. Med. Chem. 1995, 2, 511–542. [Google Scholar] [CrossRef]
- Salaün, J. Cyclopropane Derivatives and their Diverse Biological Activities. Top. Curr. Chem. 2000, 207, 1–67. [Google Scholar]
- Donaldson, W.A. Synthesis of Cyclopropane Containing Natural Products. Tetrahedron 2001, 57, 8589–8627. [Google Scholar] [CrossRef]
- Wessjohann, L.A.; Brandt, W.; Thiemann, T. Biosynthesis and Metabolism of Cyclopropane Rings in Natural Compounds. Chem. Rev. 2003, 103, 1625–1648. [Google Scholar] [CrossRef]
- Ben Hamadi, N.; Msaddek, M. A facile and efficient ultrasound-assisted stereospecific synthesis of novel bicyclo-cyclopropanes. C. R. Chim. 2012, 15, 409–413. [Google Scholar] [CrossRef]
- Kulinkovich, O.G. Cyclopropanes in Organic Synthesis; John Wiley & Sons, Inc.: Hoboken, NJ, USA, 2015. [Google Scholar]
- Huang, Q.; Larock, R.C. Synthesis of Cyclopropanes by Pd-Catalyzed Activation of Alkyl C−H Bonds. Tetrahedron Lett. 2009, 50, 7235–7238. [Google Scholar] [CrossRef]
- Chung, D.S.; Lee, J.S.; Ryu, H.; Park, J.; Kim, H.; Lee, J.H.; Kim, U.B.; Lee, W.K.; Baik, M.-H.; Lee, S.-g. Palladium-Catalyzed Divergent Cyclopropanation by Regioselective Solvent-Driven C(sp3)−H Bond Activation. Angew. Chem. Int. Ed. 2018, 57, 15460–15464. [Google Scholar] [CrossRef]
- Ben Hamadi, N.; Lachheb, J.; Khemiss, A. Cycloaddition dipolaire-1,3 du 2-diazopropane sur des maléimides N-substitués. Photochimie des adduits résultants. J. Soc. Chim. Tun. 2003, 5, 213–218. [Google Scholar]
- Clemenceau, A.; Thesmar, P.; Gicquel, M.; Le Flohic, A.; Baudoin, O. Direct Synthesis of Cyclopropanes from gem-Dialkyl Groups through Double C–H Activation. J. Am. Chem. Soc. 2020, 142, 15355–15361. [Google Scholar] [CrossRef]
- Gnad, F.; Reiser, O. Synthesis and Applications of β-Aminocarboxylic Acids Containing a Cyclopropane Ring. Chem. Rev. 2003, 103, 1603–1624. [Google Scholar] [CrossRef]
- Brackmann, F.; de Meijere, A. Natural Occurrence, Syntheses, and Applications of Cyclopropyl-Group-Containing α-Amino Acids. 1. 1-Aminocyclopropanecarboxylic Acid and Other 2,3-Methanoamino Acids. Chem. Rev. 2007, 107, 4493–4537. [Google Scholar] [CrossRef]
- Krief, A. Synthesis of pyrethroic acids from natural products and from isomeric compounds: Strategy and practice. Pestic. Sci. 1994, 41, 237–257. [Google Scholar] [CrossRef]
- Fujitani, Y. Beiträge zur Chemie und Pharmakologie des Insektenpulvers. Arch. Exp. Pathol. Pharmakol. 1909, 61, 47–75. [Google Scholar] [CrossRef]
- Gauthier, L.; Olivier, C.; Janine, C.; Christophe, M. Radical Addition of SF5Cl to Cyclopropenes: Synthesis of (Pentafluorosulfanyl)cyclopropanes. Org. Lett. 2021, 23, 5491–5495. [Google Scholar]
- Alexander, J.B.; James, A. Stereoselective synthesis and applications of spirocyclic oxindoles. Org. Chem. Front. 2021, 8, 1026–1084. [Google Scholar]
- Zheng, Y.; Tice, C.M.; Singh, S.B. The use of spirocyclic scaffolds in drug discovery. Bioorg. Med. Chem. Lett. 2014, 24, 3673–3682. [Google Scholar] [CrossRef] [Green Version]
- Shichuang, M.; Weiqi, J.; Qi, L.; Tian, L.; Wenjun, W.; Hangyu, B.; Baojun, S. Design, Synthesis, and Study of the Insecticidal Activity of Novel Steroidal 1,3,4-Oxadiazoles. J. Agric. Food Chem. 2021, 69, 11572–11581. [Google Scholar]
- Sally, M.B.; Sarah, A.; Cage, A.T. Proudfoot and J. Allister Vale. Poisoning due to Pyrethroids. Toxicol. Rev. 2005, 24, 93–106. [Google Scholar]
- Elena, M.; Ona, I.; José, A.C.; Ángel, Á.L.; José, L.B.; Vicenç, B.; Rosa, M.O. Photolysis of Chiral 1-Pyrazolines to Cyclopropanes: Mechanism and Stereospecificity. J. Org. Chem. 2003, 68, 4906–4911. [Google Scholar]
- Louhichi, N.; Haouas, A.; Ben Hamadi, N.; Msaddek, M. Synthesis and chemistry of pyrazolines derived from diphenyldiazomethane. Heterocycl. Commun. 2011, 17, 215–218. [Google Scholar] [CrossRef]
- Hajlaoui, K.; Guesmi, A.; Ben Hamadi, N.; Msaddek, M. Synthesis of Novel Pyrazole–sucrose Derivatives by 1,3-dipolar Cycloaddition. J. Heterocycl. Chem. 2018, 55, 2069–2074. [Google Scholar] [CrossRef]
- Ben Hamadi, N.; Msaddek, M. The Swern Oxidation: First example of direct oxidation of 2-pyrazolines with “activated” DMSO. C. R. Chim. 2011, 14, 997–1001. [Google Scholar] [CrossRef]
- Ben Hamadi, N.; Louhichi, N.; Msaddek, M. Synthesis and photolysis of hexahydropyrrolo[3,4-c]pyrazole derivatives. J. Chem. Res. 2007, 10, 569–571. [Google Scholar] [CrossRef]
- Ben Hamadi, N.; Msaddek, M. Regio- and Stereoselectivity in 1,3-Dipolar Cycloaddition Reaction of 2-Diazopropane with Benzylidene-N-arylsuccinimide and Benzylidene-N-arylmethylsuccinimide Derivatives: Synthesis of gem-Dimethylcyclopropane. J. Chem. Res. 2007, 2, 121–123. [Google Scholar] [CrossRef]
- Day, A.C.; Whiting, M.C. Acetone hydrazone. Org. Synth. 1970, 50, 3. [Google Scholar]
- Sundberg, R.J.; Pearce, B.C.; Laurino, J.P. Pyrrolidine-2,3-dione, 1-allylpyrrolidine-2,3-dione and 1-ethoxypyrrolidine-2,3-dione. J. Heterocycl. Chem. 1986, 23, 537–539. [Google Scholar] [CrossRef]
- Southwick, P.L.; Crouch, R.T. The Condensation of Oxalic Esters with Esters of β-Alanine and N-Substituted β-Aminopropionic Acids. Synthesis of Some Derivatives of 2,3 Dioxopyrrolidine and 2-Oxo-3-methoxy-3-pyrroline. J. Am. Chem. Soc. 1953, 75, 3413–3417. [Google Scholar] [CrossRef]
- Southwick, P.L.; Barnas, E.F. Unsaturated Cyclic Sulfones. V. 3-Methyl-2,3-dihydrothiophene 1,1-Dioxide. J. Org. Chem. 1962, 27, 95–98. [Google Scholar]
- Emmanuelle, M.D.A.; André, B.C. Non-stabilized diazoalkane synthesis via the oxidation of free hydrazones by iodosylbenzene and application in in situ MIRC cyclopropanation. Chem. Sci. 2019, 10, 3802–3806. [Google Scholar]
- Louhichi, N.; Houas, A.; Ben Hamadi, N.; Msaddek, M. Synthesis and chemistry of new spiro-Δ1-pyrazoline. J. Heterocycl. Chem. 2012, 49, 267–271. [Google Scholar] [CrossRef]






| Number of Mosquitoes that Fell on the Ground | ||||||
|---|---|---|---|---|---|---|
| Products | Concentration | 1 min | 10 min | 30 min | 60 min | Number of Dead Mosquitoes after 24 h |
| Acetone | n/a | 8.3 | 0.3 | 0 | 0 | 0.6 |
| Trans-chrysanthemic acid (Reference) | 0.001 | 7.6 | 8.3 | 10 | 10 | 9.3 |
| 0.005 | 8 | 9.3 | 10 | 10 | 10 | |
| 0.01 | 9.3 | 10 | 10 | 10 | 10 | |
| Pyrethrin (Reference) | 0.001 | 8.3 | 8.9 | 10 | 10 | 10 |
| 0.005 | 9.3 | 9.5 | 10 | 10 | 10 | |
| 0.01 | 9.5 | 10 | 10 | 10 | 10 | |
| Cyclopropane 5a | 0.001 | 7.3 | 8.3 | 8.9 | 10 | 10 |
| 0.005 | 7.8 | 8.5 | 8.9 | 10 | 10 | |
| 0.01 | 8.5 | 8.9 | 10 | 10 | 10 | |
| Cyclopropane 5b | 0.001 | 7.6 | 8.3 | 8.9 | 10 | 10 |
| 0.005 | 8.3 | 8.9 | 9.8 | 10 | 10 | |
| 0.01 | 8.6 | 9.3 | 10 | 10 | 10 | |
| Cyclopropane 5c | 0.001 | 8.9 | 9.5 | 10 | 10 | 10 |
| 0.005 | 9.3 | 10 | 10 | 10 | 10 | |
| 0.01 | 9.8 | 10 | 10 | 10 | 10 | |
| Cyclopropane 5d | 0.001 | 7.3 | 7.6 | 8.3 | 9.3 | 10 |
| 0.005 | 7.6 | 8.3 | 8.9 | 9.8 | 10 | |
| 0.01 | 8.3 | 8.9 | 9.5 | 10 | 10 | |
| Products (5 mg per Cellulose Paper) | Insect Exposure (h) | Knockdown Time (min) | Percentage Knockdown (8 h) | Percentage Knockdown (24 h) | ||
|---|---|---|---|---|---|---|
| T10 | T50 | T90 | ||||
| Trans-chrysanthemic acid (reference) | 0 | 23 | 31 | 40 | 100 | 100 |
| 2 | 6 | 10 | 13 | 100 | 100 | |
| 4 | 5 | 9 | 12 | 100 | 100 | |
| Pyrethrin (reference) | 0 | 21 | 27 | 38 | 100 | 100 |
| 2 | 5 | 9 | 11 | 100 | 100 | |
| 4 | 4 | 8 | 10 | 100 | 100 | |
| Cyclopropane 5a | 0 | 22 | 33 | 41 | 100 | 100 |
| 2 | 14 | 23 | 33 | 100 | 100 | |
| 4 | 12 | 19 | 21 | 100 | 100 | |
| Cyclopropane 5b | 0 | 22 | 32 | 40 | 100 | 100 |
| 2 | 15 | 22 | 34 | 100 | 100 | |
| 4 | 12 | 18 | 19 | 100 | 100 | |
| Cyclopropane 5c | 0 | 19 | 21 | 24 | 100 | 100 |
| 2 | 4 | 8 | 10 | 100 | 100 | |
| 4 | 3 | 7 | 9 | 100 | 100 | |
| Cyclopropane 5d | 0 | 25 | 36 | 45 | 100 | 100 |
| 2 | 16 | 26 | 35 | 100 | 100 | |
| 4 | 14 | 21 | 26 | 100 | 100 | |
| Products (0.05 mg m−3) | Knockdown Time (min) | Percentage Knockdown (1 h) | Percentage Knockdown (24 h) | ||
|---|---|---|---|---|---|
| T10 | T50 | T90 | |||
| Trans-chrysanthemic acid | 0 min 46 s | 1 min 15 s | 1 min 37 s | 100 | 100 |
| Pyrethrin | 0 min 40 s | 1 min 10 s | 1 min 25 s | 100 | 100 |
| Cyclopropane 5a | 0 min 54 s | 1 min 40 s | 2 min 35 s | 100 | 100 |
| Cyclopropane 5b | 1 min 02 s | 1 min 55 s | 2 min 44 s | 100 | 100 |
| Cyclopropane 5c | 0 min 37 s | 1 min 00 s | 1 min 20 s | 100 | 100 |
| Cyclopropane 5d | 1 min 20 s | 1 min 50 s | 3 min 07 s | 100 | 99 |
| Products (0.05 mg m−3) | Knockdown Time (min) | Percentage Knockdown (1 h) | Percentage Knockdown (24 h) | ||
|---|---|---|---|---|---|
| T10 | T50 | T90 | |||
| Trans-chrysanthemic acid | 5 min 36 s | 7 min 20 s | 10 min 07 s | 100 | 78 |
| Pyrethrin | 5 min 13 s | 6 min 30 s | 8 min 09 s | 100 | 96 |
| Cyclopropane 5a | 0 min 54 s | 1 min 40 s | 2 min 35 s | 100 | 61 |
| Cyclopropane 5b | 1 min 02 s | 1 min 55 s | 2 min 44 s | 100 | 63 |
| Cyclopropane 5c | 0 min 37 s | 1 min 00 s | 1 min 20 s | 100 | 100 |
| Cyclopropane 5d | 1 min 20 s | 1 min 50 s | 3 min 07 s | 100 | 54 |
Publisher’s Note: MDPI stays neutral with regard to jurisdictional claims in published maps and institutional affiliations. |
© 2022 by the authors. Licensee MDPI, Basel, Switzerland. This article is an open access article distributed under the terms and conditions of the Creative Commons Attribution (CC BY) license (https://creativecommons.org/licenses/by/4.0/).
Share and Cite
Ben Hamadi, N.; Guesmi, A. Synthesis of New Spiro-Cyclopropanes Prepared by Non-Stabilized Diazoalkane Exhibiting an Extremely High Insecticidal Activity. Molecules 2022, 27, 2470. https://doi.org/10.3390/molecules27082470
Ben Hamadi N, Guesmi A. Synthesis of New Spiro-Cyclopropanes Prepared by Non-Stabilized Diazoalkane Exhibiting an Extremely High Insecticidal Activity. Molecules. 2022; 27(8):2470. https://doi.org/10.3390/molecules27082470
Chicago/Turabian StyleBen Hamadi, Naoufel, and Ahlem Guesmi. 2022. "Synthesis of New Spiro-Cyclopropanes Prepared by Non-Stabilized Diazoalkane Exhibiting an Extremely High Insecticidal Activity" Molecules 27, no. 8: 2470. https://doi.org/10.3390/molecules27082470
APA StyleBen Hamadi, N., & Guesmi, A. (2022). Synthesis of New Spiro-Cyclopropanes Prepared by Non-Stabilized Diazoalkane Exhibiting an Extremely High Insecticidal Activity. Molecules, 27(8), 2470. https://doi.org/10.3390/molecules27082470

