Bioactive Compounds from Terrestrial and Marine-Derived Fungi of the Genus Neosartorya † †
Abstract
:1. Introduction
2. Secondary Metabolites Produced by the Cultures of Fungi of the Genus Neosartorya
2.1. Indole Alkaloids
2.1.1. Simple Indoles
2.1.2. Prenylated Indoles
1,4-Benzodiazepene-2,5-dione-containing Prenylated Indoles
1,4-Diketopiperazine-containing Prenylated Indoles
Quinazolinone-Containing Prenylated Indoles
2.1.3. Anellated Indoles
β-Carboline Alkaloids
Pyrazino [1,2-a]indole-1,4-dione Derivatives
Quinazolinone-Containing Anellated Indoles
Pyrazinoquinazolinone-Containing Anellated Indoles
Pyridoquinazolinone-Containing Anellated Indoles
2.1.4. Bis-Indoles
2.2. Dibenzylpiperazine Alkaloids
2.3. Peptides
2.4. Terpenoids
2.5. Meroterpenoids
2.5.1. Merosesquiterpenes
2.5.2. Meroditerpenes
Meroditerpenes Containing 2-Pyrone
Meroditerpenes Containing 4-Pyrone
Meroditerpenes Containing a Linear Polyketide Moiety
2.6. Sterols and Sterones
2.7. Polyketides
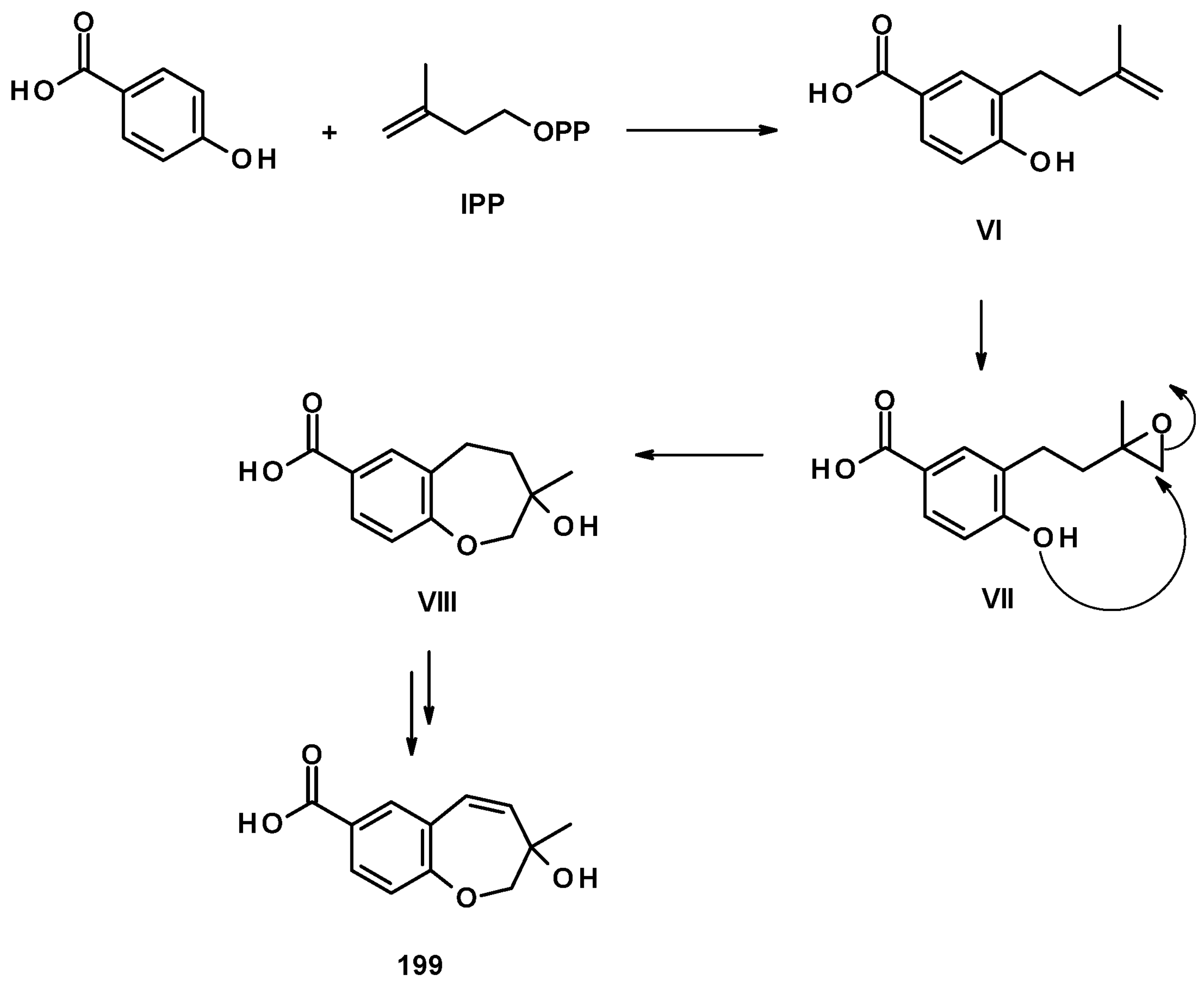
2.8. Benzoic Acid Derivatives
2.9. Nucleosides
2.10. Miscellaneous
3. Biological Activity of Secondary Metabolites Produced by Fungi of the Genus Neosartorya
3.1. Anticancer Activity/Cytotoxicity
3.2. Antibacterial and Antibiofilm Activities
3.3. Antiviral Activity
3.4. Antiplasmodial Activity
3.5. Anti-Inflammatory Activity
3.6. Immunosuppressive Activity
3.7. Neuroprotective Activity
3.8. Lipid-Lowering Activity
3.9. Enzyme Inhibitory Activities
3.10. Insecticidal Activity
3.11. Miscellaneous
4. Conclusions and Future Perspective
Author Contributions
Funding
Institutional Review Board Statement
Informed Consent Statement
Data Availability Statement
Acknowledgments
Conflicts of Interest
References
- Gaynes, R. The discovery of penicillin—New insights after more than 75 years of clinical use. Emerg. Infect. Dis. 2017, 23, 849–853. [Google Scholar] [CrossRef]
- Bo, G. Giuseppe Brotzu and the discovery of cephalosporins. Clin. Microbiol. Infect. 2000, 6, 6–8. [Google Scholar] [CrossRef] [PubMed] [Green Version]
- Endo, A. A historical perspective on the discovery of statins. Proc. Jpn. Acad. Ser. B 2010, 86, 484–493. [Google Scholar] [CrossRef] [PubMed] [Green Version]
- Aly, A.H.; Debbab, A.; Proksch, P. Fifty years of drug discovery from fungi. Fungal Divers. 2011, 50, 3–19. [Google Scholar] [CrossRef]
- Harms, H.; Schlosser, D.; Wick, L.Y. Untapped potential: Exploiting fungi in bioremediation of hazardous chemicals. Nat. Rev. Microbiol. 2011, 9, 177–192. [Google Scholar] [CrossRef]
- Akerman-Sanchez, G.; Rojas-Jimenez, K. Fungi for the bioremediation of pharmaceutical-derived pollutants: A bioengineering approach to water treatment. Environ. Adv. 2021, 4, 100071. [Google Scholar] [CrossRef]
- Copetti, M. Fungi as industrial producers of food ingredients. Curr. Opin. Food Sci. 2019, 25, 52–56. [Google Scholar] [CrossRef]
- Eakjamnong, W.; Keawsalong, N.; Dethoup, T. Novel ready-to-use dry powder formulation of Talaromyces tratensis KUFA0091 to control dirty panicle disease in rice. Biol. Control 2020, 152, 104454. [Google Scholar] [CrossRef]
- Frisvad, J.C.; Rank, C.; Nielsen, K.F.; Larsen, T.O. Metabolomics of Aspergillus fumigatus. Med. Mycol. 2009, 47, S53–S71. [Google Scholar] [CrossRef]
- Samson, R.; Hong, S.; Peterson, S.; Frisvad, J.; Varga, J. Polyphasic taxonomy of Aspergillus section Fumigati and its teleomorph Neosartorya. Stud. Mycol. 2007, 59, 147–203. [Google Scholar] [CrossRef]
- Hawksworth, D.L. A new dawn for the naming of fungi: Impacts of decisions made in Melbourne in July 2011 on the future publication and regulation of fungal names. IMA Fungus 2011, 2, 155–162. [Google Scholar] [CrossRef] [PubMed]
- McNeill, J.; Turland, N.J.; Monro, A.M.; Lepschi, B.J. XVIII International Botanical Congress: Preliminary mail vote and report of Congress action on nomenclature proposals. TAXON 2011, 60, 1507–1520. [Google Scholar] [CrossRef]
- Samson, R.A.; Visagie, C.M.; Houbraken, J.; Hong, S.-B.; Hubka, V.; Klaassen, C.H.W.; Perrone, G.; Seifert, K.A.; Susca, A.; Tanney, J.B.; et al. Phylogeny, identification and nomenclature of the genus Aspergillus. Stud. Mycol. 2014, 78, 141–173. [Google Scholar] [CrossRef] [PubMed] [Green Version]
- Zin, W.W.M.; Prompanya, C.; Buttachon, S.; Kijjoa, A. Bioactive secondary metabolites from a thai collection of soil and marine-derived fungi of the genera Neosartorya and Aspergillus. Curr. Drug Deliv. 2016, 13, 378–388. [Google Scholar] [CrossRef]
- Wibowo, J.T.; Ahmadi, P.; Rahmawati, S.I.; Bayu, A.; Putra, M.Y.; Kijjoa, A. Marine-derived indole alkaloids and their biological and pharmacological activities. Mar. Drugs 2021, 20, 3. [Google Scholar] [CrossRef]
- El-Demerdash, A.; Kumla, D.; Kijjoa, A. Chemical diversity and biological activities of meroterpenoids from marine derived-fungi: A comprehensive update. Mar. Drugs 2020, 18, 317. [Google Scholar] [CrossRef]
- Cox, R.J.; Skellam, E.; Williams, K. Biosynthesis of Fungal Polyketides. In Physiology and Genetics (A Comprehensive Treatise on Fungi as Experimental Systems for Basic and Applied Research); Anke, T., Schüffler, A., Eds.; Springer: Cham, Switzerland, 2018; pp. 385–412. [Google Scholar] [CrossRef]
- Wong, S.-M.; Musza, L.L.; Kydd, G.C.; Kullnig, R.; Gillum, A.M.; Cooper, R. Fiscalins. New substance p inhibitors produced by the fungus Neosartorya fischeri. Taxonomy, fermentation, structures, and biological properties. J. Antibiot. 1993, 46, 545–553. [Google Scholar] [CrossRef] [Green Version]
- Wu, B.; Chen, G.; Liu, Z.G.; Pei, Y. Two new alkaloids from a marine-derived fungus Neosartorya fischeri. Rec. Nat. Prod. 2015, 9, 271–275. [Google Scholar]
- Lin, S.; He, Y.; Li, F.; Yang, B.; Liu, M.; Zhang, S.; Liu, J.; Li, H.; Qi, C.; Wang, J.; et al. Structurally diverse and bioactive alkaloids from an insect-derived fungus Neosartorya fischeri. Phytochemistry 2020, 175, 112374. [Google Scholar] [CrossRef]
- Lan, W.-J.; Fu, S.-J.; Xu, M.-Y.; Liang, W.-L.; Lam, C.-K.; Zhong, G.-H.; Xu, J.; Yang, D.-P.; Li, H.-J. Five New Cytotoxic Metabolites from the Marine Fungus Neosartorya pseudofischeri. Mar. Drugs 2016, 14, 18. [Google Scholar] [CrossRef] [Green Version]
- Liang, W.-L.; Le, X.; Taglialatela-Scafati, O.; Yang, X.; Chen, J.-X.; Xu, J.; Liu, H.-L.; Wang, L.-Y.; Wang, K.-T.; Hu, K.-C.; et al. Exploring the Chemodiversity and Biological Activities of the Secondary Metabolites from the Marine Fungus Neosartorya pseudofischeri. Mar. Drugs 2014, 12, 5657–5676. [Google Scholar] [CrossRef] [PubMed] [Green Version]
- Zin, W.W.M.; Buttachon, S.; Dethoup, T.; Fernandes, C.; Cravo, S.; Pinto, M.M.M.; Gales, L.; Pereira, J.A.; Silva, A.M.S.; Sekeroglu, N.; et al. New Cyclotetrapeptides and a New Diketopiperzine Derivative from the Marine Sponge-Associated Fungus Neosartorya glabra KUFA 0702. Mar. Drugs 2016, 14, 136. [Google Scholar] [CrossRef] [PubMed] [Green Version]
- Wakana, D.; Hosoe, T.; Itabashi, T.; Nozawa, K.; Kawai, K.-I.; Okada, K.; Takaki, G.M.D.C.; Yaguchi, T.; Fukushima, K. Isolation of Isoterrein from Neosartorya fischeri. Mycotoxins 2006, 56, 3–6. [Google Scholar] [CrossRef] [Green Version]
- Eamvijarn, A.; Gomes, N.; Dethoup, T.; Buaruang, J.; Manoch, L.; Silva, A.; Pedro, M.; Marini, I.; Roussis, V.; Kijjoa, A. Bioactive meroditerpenes and indole alkaloids from the soil fungus Neosartorya fischeri (KUFC 6344), and the marine-derived fungi Neosartorya laciniosa (KUFC 7896) and Neosartorya tsunodae (KUFC 9213). Tetrahedron 2013, 69, 8583–8591. [Google Scholar] [CrossRef]
- Shan, W.; Wang, S.; Ying, Y.; Ma, L.; Zhan, Z. Indole-benzodiazepine-2,5-dione Derivatives from Neosartorya fischeri. J. Chem. Res. 2014, 38, 692–694. [Google Scholar] [CrossRef]
- Bang, S.; Song, J.H.; Lee, D.; Lee, C.; Kim, S.; Kang, K.S.; Lee, J.H.; Shim, S.H. Neuroprotective Secondary Metabolite Produced by an Endophytic Fungus, Neosartorya fischeri JS0553, Isolated from Glehnia littoralis. J. Agric. Food Chem. 2019, 67, 1831–1838. [Google Scholar] [CrossRef]
- Yim, T.; Kanokmedhakul, K.; Kanokmedhakul, S.; Sanmanoch, W.; Boonlue, S. A new meroterpenoid tatenoic acid from the fungus Neosartorya tatenoi KKU-2NK23. Nat. Prod. Res. 2014, 28, 1847–1852. [Google Scholar] [CrossRef]
- Zin, W.W.M.; Buttachon, S.; Buaruang, J.; Gales, L.; Pereira, J.A.; Pinto, M.M.M.; Silva, A.M.S.; Kijjoa, A. A New Meroditerpene and a New Tryptoquivaline Analog from the Algicolous Fungus Neosartorya takakii KUFC 7898. Mar. Drugs 2015, 13, 3776–3790. [Google Scholar] [CrossRef] [Green Version]
- Kumla, D.; Aung, T.S.; Buttachon, S.; Dethoup, T.; Gales, L.; Pereira, J.A.; Inácio, Â.; Costa, P.M.; Lee, M.; Sekeroglu, N.; et al. A New Dihydrochromone Dimer and Other Secondary Metabolites from Cultures of the Marine Sponge-Associated Fungi Neosartorya fennelliae KUFA 0811 and Neosartorya tsunodae KUFC 9213. Mar. Drugs 2017, 15, 375. [Google Scholar] [CrossRef] [Green Version]
- Chen, B.-Y.; Wang, Z.; Ying, Y.-M.; Jiang, L.-X.; Zhan, Z.-J.; Wang, J.-L.; Zhang, W. Neofipiperzine D, A New Prenylated Indole Alkaloid metabolite of the Fungus Neosartorya fischeri. J. Chem. Res. 2014, 38, 539–541. [Google Scholar] [CrossRef]
- Zheng, Z.-Z.; Shan, W.-G.; Wang, S.-L.; Ying, Y.-M.; Ma, L.-F.; Zhan, Z.-J. Three New Prenylated Diketopiperazines from Neosartorya fischeri. Helv. Chim. Acta 2014, 97, 1020–1026. [Google Scholar] [CrossRef]
- Ying, Y.-M.; Huang, L.; Tian, T.; Li, C.-Y.; Wang, S.-L.; Ma, L.-F.; Shan, W.-G.; Wang, J.-W.; Zhan, Z.-J. Studies on the Chemical Diversities of Secondary Metabolites Produced by Neosartorya fischeri via the OSMAC Method. Molecules 2018, 23, 2772. [Google Scholar] [CrossRef] [PubMed] [Green Version]
- Fujimoto, H.; Ikeda, M.; Yamamoto, K.; Yamazaki, M. Structure of Fischerin, a New Toxic Metabolite from an Ascomycete, Neosartorya fischeri var. fischeri. J. Nat. Prod. 1993, 56, 1268–1275. [Google Scholar] [CrossRef] [PubMed]
- Eamvijarn, A.; Kijjoa, A.; Bruyère, C.; Mathieu, V.; Manoch, L.; Lefranc, F.; Silva, A.; Kiss, R.; Herz, W. Secondary Metabolites from a Culture of the Fungus Neosartorya pseudofischeri and Their In Vitro Cytostatic Activity in Human Cancer Cells. Planta Med. 2012, 78, 1767–1776. [Google Scholar] [CrossRef] [PubMed] [Green Version]
- Jiao, R.H.; Xu, S.; Liu, J.Y.; Ge, H.M.; Ding, H.; Xu, C.; Zhu, A.H.L.; Tan, R.X. Chaetominine, a Cytotoxic Alkaloid Produced by Endophytic Chaetomium sp. IFB-E015. Org. Lett. 2006, 8, 5709–5712. [Google Scholar] [CrossRef] [PubMed]
- Liao, L.; You, M.; Chung, B.K.; Oh, D.-C.; Oh, K.-B.; Shin, J. Alkaloidal Metabolites from a Marine-Derived Aspergillus sp. Fungus. J. Nat. Prod. 2015, 78, 349–354. [Google Scholar] [CrossRef]
- Paluka, J.; Kanokmedhakul, K.; Soytong, M.; Soytong, K.; Kanokmedhakul, S. Meroditerpene pyrone, tryptoquivaline and brasiliamide derivatives from the fungus Neosartorya pseudofischeri. Fitoterapia 2019, 137, 104257. [Google Scholar] [CrossRef]
- Paluka, J.; Kanokmedhakul, K.; Soytong, M.; Soytong, K.; Yahuafai, J.; Siripong, P.; Kanokmedhakul, S. Meroterpenoid pyrones, alkaloid and bicyclic brasiliamide from the fungus Neosartorya hiratsukae. Fitoterapia 2020, 142, 104485. [Google Scholar] [CrossRef]
- Kijjoa, A.; Santos, S.; Dethoup, T.; Manoch, L.; Almeida, A.P.; Vasconcelos, M.H.; Silva, A.; Gales, L.; Herz, W. Sartoryglabrins, Analogs of Ardeemins, from Neosartorya glabra. Nat. Prod. Commun. 2011, 6, 807–812. [Google Scholar] [CrossRef] [Green Version]
- Masi, M.; Andolfi, A.; Mathieu, V.; Boari, A.; Cimmino, A.; Banuls, L.M.Y.; Vurro, M.; Kornienko, A.; Kiss, R.; Evidente, A. Fischerindoline, a pyrroloindole sesquiterpenoid isolated from Neosartorya pseudofischeri, with in vitro growth inhibitory activity in human cancer cell lines. Tetrahedron 2013, 69, 7466–7470. [Google Scholar] [CrossRef]
- Buttachon, S.; Chandrapatya, A.; Manoch, L.; Silva, A.; Gales, L.; Bruyère, C.; Kiss, R.; Kijjoa, A. Sartorymensin, a new indole alkaloid, and new analogues of tryptoquivaline and fiscalins produced by Neosartorya siamensis (KUFC 6349). Tetrahedron 2012, 68, 3253–3262. [Google Scholar] [CrossRef]
- Prata-Sena, M.; Ramos, A.; Buttachon, S.; Castro-Carvalho, B.; Marques, P.; Dethoup, T.; Kijjoa, A.; Rocha, E. Cytotoxic activity of Secondary Metabolites from Marine-derived Fungus Neosartorya siamensisin Human Cancer Cells. Phytotherapy Res. 2016, 30, 1862–1871. [Google Scholar] [CrossRef] [PubMed]
- Rajachan, O.-A.; Kanokmedhakul, K.; Sanmanoch, W.; Boonlue, S.; Hannongbua, S.; Saparpakorn, P.; Kanokmedhakul, S. Chevalone C analogues and globoscinic acid derivatives from the fungus Neosartorya spinosa KKU-1NK1. Phytochemistry 2016, 132, 68–75. [Google Scholar] [CrossRef] [PubMed]
- Yamazaki, M.; Fujimoto, H.; Okuyama, E. Structure determination of six fungal metabolites, tryptoquivaline E,F,G,H,I and J from Aspergillus fumigatus. Chem. Pharm. Bull. 1978, 26, 111–117. [Google Scholar] [CrossRef] [Green Version]
- Gomes, N.M.; Bessa, L.J.; Buttachon, S.; Costa, P.M.; Buaruang, J.; Dethoup, T.; Silva, A.M.S.; Kijjoa, A. Antibacterial and Antibiofilm Activities of Tryptoquivalines and Meroditerpenes Isolated from the Marine-Derived Fungi Neosartorya paulistensis, N. laciniosa, N. tsunodae, and the Soil Fungi N. fischeri and N. siamensis. Mar. Drugs 2014, 12, 822–839. [Google Scholar] [CrossRef] [Green Version]
- Sun, F.-Y.; Chen, G.; Bai, J.; Li, W.; Pei, Y.-H. Two new alkaloids from a marine-derived fungus Neosartorya sp.HN-M-3. J. Asian Nat. Prod. Res. 2012, 14, 1109–1115. [Google Scholar] [CrossRef]
- Yu, G.; Zhou, G.; Zhu, M.; Wang, W.; Zhu, T.; Gu, Q.; Li, D. Neosartoryadins A and B, Fumiquinazoline Alkaloids from a Mangrove-Derived Fungus Neosartorya udagawae HDN13-313. Org. Lett. 2015, 18, 244–247. [Google Scholar] [CrossRef]
- Shan, W.-G.; Wang, S.-L.; Lang, H.-Y.; Chen, S.-M.; Ying, Y.-M.; Zhan, Z.-J. Cottoquinazolines E and F from Neosartorya fischeri NRRL 181. Helv. Chim. Acta 2015, 98, 552–556. [Google Scholar] [CrossRef]
- Lin, S.; Yu, H.; Yang, B.; Li, F.; Chen, X.; Li, H.; Zhang, S.; Wang, J.; Hu, Y.; Hu, Z.; et al. Reisolation and Configurational Reinvestigation of Cottoquinazolines E–G from an Arthropod-Derived Strain of the Fungus Neosartorya fischeri. J. Nat. Prod. 2020, 83, 169–173. [Google Scholar] [CrossRef]
- Fujita, T.; Makishima, D.; Akiyama, K.; Hayashi, H. New Convulsive Compounds, Brasiliamides A and B, from Penicillium brasilianum Batista JV-379. Biosci. Biotechnol. Biochem. 2002, 66, 1697–1705. [Google Scholar] [CrossRef] [Green Version]
- Didier, C.; Critcher, D.J.; Walshe, N.D.; Kojima, Y.; Yamauchi, Y.; Barrett, A.G.M. Full Stereochemical Assignment and Synthesis of the Potent Anthelmintic Pyrrolobenzoxazine Natural Product CJ-12662. J. Org. Chem. 2004, 69, 7875–7879. [Google Scholar] [CrossRef] [PubMed]
- Liu, W.-H.; Zhao, H.; Li, R.-Q.; Zheng, H.-B.; Yu, Q. Polyketides and Meroterpenoids from Neosartorya glabra. Helv. Chim. Acta 2015, 98, 515–519. [Google Scholar] [CrossRef]
- Kaifuchi, S.; Mori, M.; Nonaka, K.; Masuma, R.; Ōmura, S.; Shiomi, K. Sartorypyrone D: A new NADH-fumarate reductase inhibitor produced by Neosartorya fischeri FO-5897. J. Antibiot. 2015, 68, 403–405. [Google Scholar] [CrossRef] [PubMed]
- Tan, Q.-W.; Ouyang, M.-A.; Shen, S.; Li, W. Bioactive metabolites from a marine-derived strain of the fungus Neosartorya fischeri. Nat. Prod. Res. 2011, 26, 1402–1407. [Google Scholar] [CrossRef]
- Li, G.; Kusari, S.; Spiteller, M. Natural products containing ‘decalin’ motif in microorganisms. Nat. Prod. Rep. 2014, 31, 1175–1201. [Google Scholar] [CrossRef] [Green Version]
- Prompanya, C.; Dethoup, T.; Gales, L.; Lee, M.; Pereira, J.A.C.; Silva, A.M.S.; Pinto, M.M.M.; Kijjoa, A. New Polyketides and New Benzoic Acid Derivatives from the Marine Sponge-Associated Fungus Neosartorya quadricincta KUFA 0081. Mar. Drugs 2016, 14, 134. [Google Scholar] [CrossRef] [Green Version]
- de Sá, J.D.M.; Pereira, J.A.; Dethoup, T.; Cidade, H.; Sousa, M.E.; Rodrigues, I.C.; Costa, P.M.; Mistry, S.; Silva, A.M.S.; Kijjoa, A. Anthraquinones, Diphenyl Ethers, and Their Derivatives from the Culture of the Marine Sponge-Associated Fungus Neosartorya spinosa KUFA 1047. Mar. Drugs 2021, 19, 457. [Google Scholar] [CrossRef]
- Ozoe, Y.; Kuriyama, T.; Tachibana, Y.; Harimaya, K.; Takahashi, N.; Yaguchi, T.; Suzuki, E.; Imamura, K.-I.; Oyama, K. Isocoumarin Derivative as a Novel GABA Receptor Ligand from Neosartorya quadricincta. J. Pestic. Sci. 2004, 29, 328–331. [Google Scholar] [CrossRef] [Green Version]
- Proksa, B.; Uhrin, D.; Liptaj, T.; Sturdikova, M. ChemInform Abstract: Neosartorin, an Ergochrome Biosynthesized by Neosartorya fischeri. ChemInform 2010, 29, 116–1164. [Google Scholar] [CrossRef]
- Yu, G.; Wang, Q.; Liu, S.; Zhang, X.; Che, Q.; Zhang, G.; Zhu, T.; Gu, Q.; Li, D. Methylsulfonylated Polyketides Produced by Neosartorya udagawae HDN13-313 via Exogenous Addition of Small Molecules. J. Nat. Prod. 2019, 82, 998–1001. [Google Scholar] [CrossRef]
- Jayasuriya, H.; Zink, D.; Basilio, A.; Vicente, F.; Collado, J.; Bills, G.; Goldman, M.L.; Motyl, M.; Huber, J.; Dezeny, G.; et al. Discovery and antibacterial activity of glabramycin A–C from Neosartorya glabra by an antisense strategy. J. Antibiot. 2009, 62, 265–269. [Google Scholar] [CrossRef] [PubMed] [Green Version]
- Hansson, D.; Menkis, A.; Olson, Å.; Stenlid, J.; Broberg, A.; Karlsson, M. Biosynthesis of fomannoxin in the root rotting pathogen Heterobasidion occidentale. Phytochemistry 2012, 84, 31–39. [Google Scholar] [CrossRef] [PubMed]
- Rajamani, S.; Bauer, W.D.; Robinson, J.B.; Farrow, J.; Pesci, E.; Teplitski, M.; Gao, M.; Sayre, R.; Phillips, D.A. The Vitamin Riboflavin and Its Derivative Lumichrome Activate the LasR Bacterial Quorum-Sensing Receptor. Mol. Plant-Microbe Interact. 2008, 21, 1184–1192. [Google Scholar] [CrossRef] [PubMed] [Green Version]
- Voser, T.M.; Campbell, M.D.; Carroll, A.R. How different are marine microbial natural products compared to their terrestrial counterparts? Nat. Prod. Rep. 2021, 39, 7–19. [Google Scholar] [CrossRef] [PubMed]






























| Neosartorya Species and Strains | Sources | Culture Medium | Isolated Compounds | References |
|---|---|---|---|---|
| N. fischeri var. fischeri CBM-FA-0156 | No source | Solid sterile rice | 24, 26, 153 | [34] |
| N. fischeri | Plant rhizosphere | Liquid medium (glycerol, dextrin, Bacto-soytone, yeast extract) | 1, 69, 73 | [18] |
| N. fischeri | River sediment | Liquid medium (glycerol, glucose, corn steep liquor) | 179 | [60] |
| N. fischeri IFM 52672 | No source | Solid medium containing moist rice | 8, 57, 150, 151 | [55] |
| N. fischeri KUFC 6344 | Coastal forest soil | Solid cooked rice | 8, 9a, 11, 25, 97, 118, 125 | [25] |
| N. fischeri CGMCC 3.5378 | Chinese Academy of Science | Solid medium containing dried wheat bran | 16, 17, 20, 21, 22, 27, 28, 29, 30 | [32] |
| N. fischeri CGMCC 3.5378 | Chinese Academy of Science | Solid medium containing dried wheat bran | 16, 31,139, 140 | [31] |
| N. fischeri CGMCC 3.5378 | Chinese Academy of Science | Solid medium containing moist corn germ | 8, 9, 10, 24, 27 | [26] |
| N. fischeri FO-5897 | Soil sample | Solid sodden rice | 118, 119, 125, 126 | [54] |
| N. fischeri NRRL 181 | DSMZ (DE-Braunschweig) | Moist wheat bran | 84, 85, 101 | [49] |
| N. fischeri NRRL 181 | DSMZ (DE-Braunschweig) | Liquid medium containing potato dextrose agar | 101, 102, 104, 105, 139, 142, 143, 148, 149, | [33] |
| N. fischeri JS0553 | Endophytic fungus isolated from the plant Glehnia littoralis (Family Apiaceae) | Solid rice medium | 8, 9a, 20, 26, 101, 125, 126, 127, 153 | [27] |
| N. fischeri TJ 403-CA8 | The insect Cryptotympana atrata | Solid rice medium | 84, 85, 86 | [50] |
| N. fischeri TJ 403-CA8 | The insect Cryptotympana atrata | Solid rice medium | 2, 3, 9a, 9b, 13, 14, 18, 19, 102, 211 | [20] |
| N. fischeri 1008F1 | Marine-derived | Solid rice, glucose-peptone-yeast medium | 152, 170, 171, 175, 176, 177,178, 205, 206 | [55] |
| N. fischeri | Marine mud | Liquid medium containing barley sugar, glucose, yeast extract, mannitol, ajinomoto | 1,78, 79 | [19] |
| N. pseudofischeri KUFC 6422 | Soil sample | Solid sterile rice | 36, 89, 90a/90b, 98, 103, 113, 189 | [35] |
| N. pseudofischeri strain CBS 404.67 | Centraal Bureauvoor Schimmelcultures of Baan | Solid medium (rice) and liquid medium (M1-D) | 49, 51, 98, 101, 107, 113, 117 | [41] |
| N. pseudofischeri (collection 2014F27-1) | Inner tissue of sea star (Acanthaster planci) | Liquid media: glycerol-yeast extract (GlyPY) and glycerol-yeast extract (GluPY) | 6, 43, 47, 51, 53, 54 | [22] |
| N. pseudofischeri | Inner tissue of starfish (A. planci) | Liquid medium (glucose-peptone, yeast extract) | 4, 5, 37, 41, 48, 98–102, 106, 108–110, 165, 169 | [21] |
| N. pseudofischeri | Soil sample | Potato dextrose liquid medium | 37, 64, 90a/b, 91, 101, 113–116, 121, 122, 128, 131, 133, 134, 136 | [38] |
| N. glabra | Soil sample | WS80 (whole wheat flour, xylose, fructose) | 190, 191, 192 | [62] |
| N. glabra | Soil sample | Cooked rice solid medium | 38, 39,49 | [40] |
| N. glabra CGMCC32286 | Chinese Academy of Science | Dried wheat bran | 111, 112, 157–160, 166. 186–188 | [53] |
| N. glabra KUFA0702 | Marine sponge Mycale sp. | Cooked rice solid medium | 7, 8,12, 87, 88, 93–95 | [23] |
| N. tsunodae KUFC 9213 | Marine sponge Aka coralliphaga | Cooked rice solid medium | 97, 125 | [25] |
| N. tsunodae KUFC 9213 | Marine sponge Aka coralliphaga | Cooked rice solid medium | 42, 96, 97, 125, 128, 144, 162, 207, 209 | [30] |
| N. laciniosa KUFC 7896 | Diseased coral Porites lutea | Cooked rice solid medium | 60, 62, 67, 118, 119 | [25,46] |
| N. paulistensis KUFC 7897 | Marine sponge Chondrilla austroliensis | Cooked rice solid medium | 58–60, 67, 120, 210 | [46] |
| N. fenelliae KUFA 70811 | Marine sponge Cathria reinwardtii | Cooked rice solid medium | 8, 87, 97, 122, 145–148, 168, 180, 207, 208 | [30] |
| N. siamensis KUFC 6364 | Soil sample | Cooked rice solid medium | 56, 58–61, 67, 68, 69–74, 154 | [42] |
| N. siamensis KUFA 0017 | Sea fan (Rumphella sp.) | Cooked rice solid medium | 57, 58, 59, 69, 70, 72, 74, 128, 154 | [43] |
| N. takakii KUFC 7898 | Marine alga Amphiroa sp. | Cooked rice solid medium | 8, 9a, 12, 58, 59, 60, 63, 67, 137, 163 | [29] |
| N. spinosa KKU-1NK1 | Soil sample | Malt extract peptone broth | 56, 57, 60, 77, 122, 128–133, 155, 156 | [44] |
| N. spinosa KUFA 1047 | Marine sponge Mycale sp. | Cooked rice solid medium | 163, 172, 173, 174, 182–185 | [48] |
| N. quadricincta strain 1PF1223 | The Meiji Seika Kaisha Collection | Water-soaked raw rice and soybean meal | 167 | [59] |
| N. quadricincta KUFA 0081 | Marine sponge Clathria reinwardti | Cooked rice solid medium | 161, 164, 197–203 | [57] |
| N. udagawae HDN13-313 | Mangrove plant Aricennia marina | Liquid medium (maltose, mannitol, glucose, monosodium glutamate) | 73, 80, 81, 82, 83 | [48] |
| N. udagawae HDN13-313 | Mangrove plant Aricennia marina | Liquid medium (glucose, peptone +5-azacytidine) | 190–192 | [48] |
| N. hiratsukae | Soil sample | Liquid medium (potato dextrose) | 37, 90a/90b, 92, 101, 113–115, 117, 121–128, 133, 181, 189, 212 | [39] |
| N. tatenoi KKU-2NK23 | Soil sample | Liquid medium (Potato dextrose) | 8, 118, 119, 138, 139, 213 | [28] |
| Neosartorya sp. HN-M-3 | Marine mud | Liquid medium (barley sugar, glucose, yeast extract | 65, 66 | [47] |
| Activity | Type of Cells/Organisms | Compounds | Reference |
|---|---|---|---|
| Anticancer/cytotoxic activity |
| 118, 119, 125, 135 | [25] |
| 178 | [55] | ||
| 3, 78, 79 | [19] | ||
| 98, 113 | [35] | ||
| 49, 107, 116 | [41] | ||
| 68 | [42] | ||
| 46, 49–52 | [22] | ||
| 115, 116 (weak) | [38] | ||
| 38 (MCF-7, NCI-H460), 39 (MCF-7), 40 (MCF-7) 157,186 | [40] | ||
| [53] | |||
| 57, 69, 70, 72, 74, 128 | [43] | ||
| 60, 129, 130, 132 | [44] | ||
| 117 | [39] | ||
| 118 | [28] | ||
| Antibacterial activity |
| 49, 52 | [22] |
| 85 | [50] | ||
| 113, 114, 115, 128 | [38] | ||
| 118, 119 (M. smegmatis), 125, 126 | [54] | ||
| 118, 125 | [46] | ||
| 168 | [30] | ||
| 184 | [58] | ||
| 193, 194, 95 | [62] | ||
| 15, 18, 20, 32, 33, 102, 211 | [20] | ||
| Antibiofilm activity |
| 118, 125 | [46] |
| 182, 183 | [58] | ||
| Antiviral activity |
| 178, 196 | [55] |
| 82, 83 | [48] | ||
| Antiplasmodial activity | Antimalarial activity against Plasmodium falciparum (K1, multidrug-resistant strain) | 56, 118, 130 | [28,44] |
| Anti-inflammatory activity | Inhibition of nitric oxide (NO) production induced by lipopolysaccharide (LPS) in RAW264.7 cells | 13 | [20] |
| Immunosuppressive activity | Immunosuppressive activity in LPS and anti-CD3/anti-CD28 mAbs-activated murine splenocytes | 13 | [20] |
| Neuroprotective activity | Decrease a glutamate-induced increase in intracellular reactive oxygen species (ROS) and Ca+ concentration and prevention of glutamate-induced apoptotic HT22 cell death | 153 | [27] |
| Lipid-lowering activity | Decrease the lipid accumulation in HepG2 liver cells triggered by oleic acid | 191 | [61] |
| Enzyme inhibitory activity |
| 118, 119, 125, 126 | [54] |
| 185 | [58] | ||
| Insecticidal activity |
| 167 | [59] |
| 98–100, 108, 109 | [21] | ||
| Miscellaneous | Inhibition of the binding of 125I-Bolton-Hunter substance P to human astrocytoma U-373MG intact cells | 1, 69, 74 | [44] |
Publisher’s Note: MDPI stays neutral with regard to jurisdictional claims in published maps and institutional affiliations. |
© 2022 by the authors. Licensee MDPI, Basel, Switzerland. This article is an open access article distributed under the terms and conditions of the Creative Commons Attribution (CC BY) license (https://creativecommons.org/licenses/by/4.0/).
Share and Cite
de Sá, J.D.M.; Kumla, D.; Dethoup, T.; Kijjoa, A.
Bioactive Compounds from Terrestrial and Marine-Derived Fungi of the Genus Neosartorya
de Sá JDM, Kumla D, Dethoup T, Kijjoa A.
Bioactive Compounds from Terrestrial and Marine-Derived Fungi of the Genus Neosartorya
de Sá, Joana D. M., Decha Kumla, Tida Dethoup, and Anake Kijjoa.
2022. "Bioactive Compounds from Terrestrial and Marine-Derived Fungi of the Genus Neosartorya
de Sá, J. D. M., Kumla, D., Dethoup, T., & Kijjoa, A.
(2022). Bioactive Compounds from Terrestrial and Marine-Derived Fungi of the Genus Neosartorya

