Synthesis, Herbicidal Activity, Crop Safety and Soil Degradation of Pyrimidine- and Triazine-Substituted Chlorsulfuron Derivatives
Abstract
1. Introduction
2. Materials and Methods
2.1. Instruments and Materials
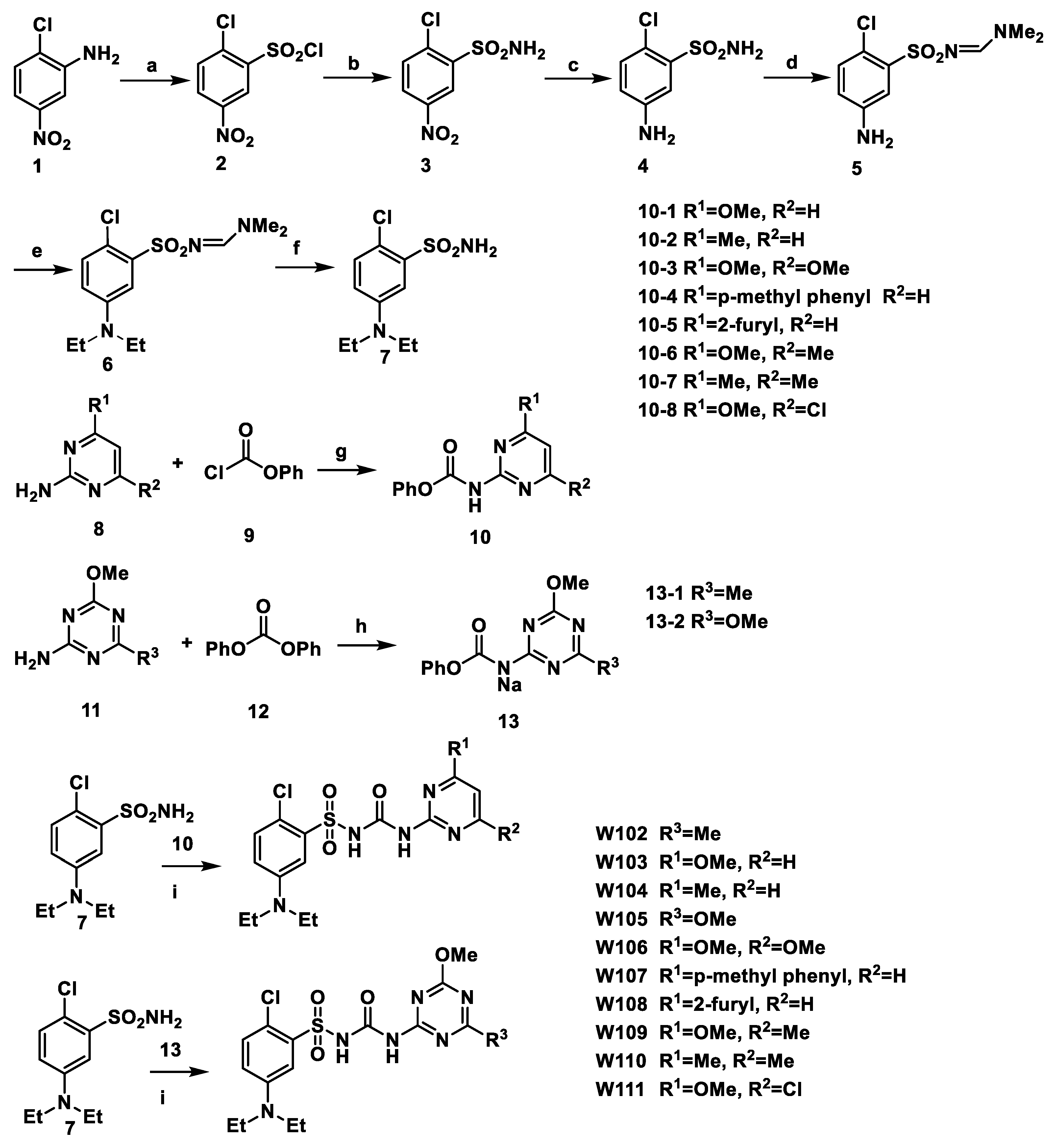
2.2. Synthetic Method
2.3. X-ray Diffraction
2.4. Herbicidal Activity
2.5. Soil Degradation
2.6. Crop Safety Assay
3. Results and Discussion
3.1. Chemistry
3.2. X-ray Diffraction
3.3. Herbicidal Activity
3.4. Soil Degradation
3.5. Crop Safety
4. Conclusions
Supplementary Materials
Author Contributions
Funding
Institutional Review Board Statement
Informed Consent Statement
Data Availability Statement
Conflicts of Interest
Sample Availability
References
- Levitt, G. Discovery of the Sulfonylurea Herbicides. In Synthesis and Chemistry of Agrochemicals II; ACS: Washington, DC, USA, 1991; Volume 443, pp. 16–31. [Google Scholar]
- Brown, H.M.J. Mode of Action, Crop Selectivity, and Soil Relations of the Sulfonylurea Herbicides. Pest. Manag. Sci. 2010, 29, 263–281. [Google Scholar] [CrossRef]
- Luo, Y.F. The Impact of Grain’S Land-Scaled Management on Land Productivity—Based on the Perspective of Mechanization and Quafity of Hired Labors. Master’s Thesis, Nanjing Agricultural University, Nanjing, China, 2017. (In Chinese). [Google Scholar]
- Yang, L. Analysis of China’s Grain Supply and Demand Balance. Master’s Thesis, Shandong University of Technology, Zibo, China, 2009. (In Chinese). [Google Scholar]
- Yang, Q.; Xue, S.; Zhu, R.; Han, S.; Yang, C. Conservation Tillage Techniques for Two Crops within One Year in North China. Trans. Chin. Soc. Agric. Eng. 2007, 23, 32–39. [Google Scholar]
- Ministry of Agriculture of the People’s Republic of China. Bulletin of the Ministry of Agriculture of the People’s Republic of China, Announcement No. 2032; Ministry of Agriculture: Beijing, China, 2014.
- Walker, A.; Brown, P.A. Measurement and Prediction of Chlorsulfuron Persistence in Soil. Bull. Environ. Contam. Toxicol. 1983, 30, 365–372. [Google Scholar] [CrossRef] [PubMed]
- Thirunarayanan, K.; Zimdahl, R.; Smika, D. Chlorsulfuron Adsorption and Degradation in Soil. Weed Sci. 1985, 33, 558–563. [Google Scholar] [CrossRef]
- Fredrickson, D.; Shea, P. Effect of Soil pH on Degradation, Movement, and Plant Uptake of Chlorsulfuron. Weed Sci. 1986, 34, 328–332. [Google Scholar] [CrossRef]
- Nicholls, P.H.; Evans, A.A.; Walker, A. The Behavior of Chlorsulfuron and Metsulfuron in Soils in Relation to Incidents of Injury to Sugar Beet. In Proceedings of the Brighton Crop Protection Conference–Weeds, Brighton, UK, 16–19 November 1987; Volume 2, pp. 549–556. [Google Scholar]
- Hua, X.W.; Zhou, S.; Chen, M.G.; Wei, W.; Liu, M.; Lei, K.; Zhou, S.; Li, Y.H.; Wang, B.L.; Li, Z.M. Controllable Effect of Structural Modification of Sulfonylurea Herbicides on Soil Degradation. Chin. J. Chem. 2016, 34, 1135–1142. [Google Scholar] [CrossRef]
- Hua, X.W.; Chen, M.G.; Zhou, S.; Zhang, D.K.; Liu, M.; Zhou, S.; Liu, J.B.; Lei, K.; Song, H.B.; Li, Y.H.; et al. Research on Controllable Degradation of Sulfonylurea Herbicides. RSC Adv. 2016, 6, 23038–23047. [Google Scholar] [CrossRef]
- Zhou, S.; Hua, X.W.; Wei, W.; Chen, M.G.; Gu, Y.C.; Zhou, S.; Song, H.B.; Li, Z.M. Research on Controllable Alkaline Soil Degradation of 5-Substituted Chlorsulfuron. Chin. Chem. Lett. 2018, 29, 945–948. [Google Scholar] [CrossRef]
- Zhou, S. The Research on Novel RyR Insecticides and Sulfonylurea Herbicides with Controllable Degradation. Ph.D. Thesis, Nankai University, Tianjin, China, 2018. (In Chinese). [Google Scholar]
- Wu, L.; Gu, Y.-C.; Li, Y.-H.; Meng, F.-F.; Zhou, S.; Li, Z.-M. Degradation of 5-DialkylaminoSubstituted Chlorsulfuron Derivatives in Alkaline Soil. Molecules 2022, 27, 1486. [Google Scholar] [CrossRef]
- Ma, H.J.; Li, Y.H.; Zhao, Q.F.; Zhang, T.; Xie, R.L.; Mei, X.D.; Ning, J. Synthesis and herbicidal activity of novel N-(2,2,2)-trifluoroethylpyrazole derivatives. J. Agric. Food Chem. 2010, 58, 4356–4360. [Google Scholar] [CrossRef]
- Ohno, R.; Watanabe, A.; Matsukawa, T.; Ueda, T.; Hirai, K. Synthesis and Herbicidal Activity of New Pyrazole-4-carboxamide Derivatives. J. Pestic. Sci. 2004, 29, 96–104. [Google Scholar] [CrossRef][Green Version]
- Pan, L.; Jiang, Y.; Liu, Z.; Liu, X.H.; Liu, Z.; Wang, G.; Li, Z.M.; Wang, D. Synthesis and evaluation of novel monosubstituted sulfonylurea derivatives as antituberculosis agents. Eur. J. Med. Chem. 2012, 50, 18–26. [Google Scholar] [CrossRef] [PubMed]
- Zhang, D.K.; Hua, X.W.; Liu, M.; Wu, C.C.; Wei, W.; Liu, Y.; Chen, M.G.; Zhou, S.; Li, Y.H.; Li, Z.M. Design, synthesis and herbicidal activity of novel sulfonylureas containing triazole and oxadiazole moieties. Chem. Res. Chin. Univ. 2016, 32, 607–614. [Google Scholar] [CrossRef]
- Wu, Z.X.; Liao, D.H.; Pi, H.J.; Li, C.; Wang, M.J.; Yang, F.; Shi, W.J. Synthesis of Oxasulfuron. Agrochemicals 2008, 47, 794–796. [Google Scholar]
- Yasuo, I.; Kazunari, O.; Tatsuo, N.; Harutoshi, Y. Sulfonylurea Compound and Herbicidal Use. US5017212A, 21 May 1991. [Google Scholar]
- Wang, J.G.; Li, Y.H. A Class of Sulfonylurea Compounds and Preparation Method Thereof Use in Herbicides. CN110642791A, 3 January 2020. [Google Scholar]
- Meng, F.F.; Wu, L.; Gu, Y.C.; Zhou, S.; Li, Y.H.; Chen, M.G.; Zhou, S.; Zhao, Y.Y.; Ma, Y.; Li, Z.M. Research on the Controllable Degradation of N-methylamido and Dialkylamino Substituted at the 5th Position of the Benzene Ring in Chlorsulfuron in Acidic Soil. RSC Adv. 2020, 10, 17870–17880. [Google Scholar] [CrossRef]
- Yoichi, K.; Hideo, A. Process for the Preparation of Phenyl (1,3,5-triazin-2-yl) Carbamates. EP1209153A2, 29 May 2002. [Google Scholar]
- Chen, W. Design, Synthesis and Biological Evaluation of Novel Sulfonylureas. Ph.D. Thesis, NanKai University, TianJin, China, 2015. (In Chinese). [Google Scholar]
- Wang, B.L.; Duggleby, R.G.; Li, Z.M.; Wang, J.G.; Li, Y.H.; Wang, S.H.; Song, H.B. Synthesis, crystal structure and herbicidal activity of mimics of intermediates of the KARI reaction. Pest Manag. Sci. 2005, 61, 407–412. [Google Scholar] [CrossRef]
- Zhou, S.; Meng, F.F.; Hua, X.W.; Li, Y.H.; Liu, B.; Wang, B.L.; Chen, J.; Chen, A.L.; Li, Z.M. Research on Controllable Degradation of Novel Sulfonylurea Herbicides in Acidic and Alkaline Soils. J. Agric. Food Chem. 2020, 68, 3017–3025. [Google Scholar] [CrossRef]
- Teaney, S.R.; Armstrong, L.; Bentley, K.; Cotterman, D.; Leep, D.; Liang, P.H.; Powley, C.; Summers, J.; Cranwell, S.; Lichtner, F.; et al. DPX-KE459 A new sulfonylurea for postemergence grass and broadleaf weed control in cereals. Brighton Crop Prot. Conf. Weeds 1995, 1, 49. [Google Scholar]
- Chinese National Standard GB/T 31270.1-2014; Test Guidelines on Environmental Safety Assessment for Chemical Pesticides—Part 1: Transformation in Soils. The Institute for the Control of Agrochemicals under the Ministry of Agriculture: Beijing, China, 2014.
- Dolomanov, O.V.; Bourhis, L.J.; Gildea, R.J.; Howard, J.A.K.; Puschmann, H. OLEX2: A complete structure solution, refinement and analysis program. J. Appl. Cryst. 2009, 42, 339–341. [Google Scholar] [CrossRef]
- Sheldrick, G.M. SHELXT—Integrated space-group and crystal-structure determination. Acta Cryst. 2015, A71, 3–8. [Google Scholar] [CrossRef]
- Sheldrick, G.M. SHELXT—Integrated space-group and crystal-structure determination. Acta Cryst. 2015, C71, 3–8. [Google Scholar]
- Anderson, R.L.; Barrett, M.R. Residual phytotoxicity of chlorsulfuron in two soils. J. Environ. Qual. 1985, 14, 111–114. [Google Scholar] [CrossRef]
- Rubin, B.; Casida, J.E. R-25788 Effects on Chlorsulfuron Injury and Acetohydroxyacid Synthase Activity. Weed Sci. 1985, 33, 462–468. [Google Scholar] [CrossRef]
- Chinese National Standard GB/T 16631-2008; General rules for high performance liquid chromatography. National Chemical Standardization Technical Committee: Beijing, China, 2008.
- Chinese Agricultural Industry Standard NY/T 788-2004; Guideline on pesticide residue trials. Ministry of Agriculture, Pesticide Testing Center: Beijing, China, 2004.
- Chinese Agricultural Industry Standard NY/T 788-2018; Guideline on pesticide residue trials. Ministry of Agriculture, Pesticide Testing Center: Beijing, China, 2018.




| Soils | Soil Texture | pH | Cation Exchange Capacity (cmol+·kg−1) | Organic Matter (g·kg−1) | Soil Separation (mm)/Mechanical Composition (%) | ||||||||
|---|---|---|---|---|---|---|---|---|---|---|---|---|---|
| Alkaline soils | Loam | 8.39 | 7.30 | 19.4 | 1–2 | 0.5–1 | 0.025–0.5 | 0.05–0.02 | 0.02–0.002 | <0.002 | 0.25–0.05 | 2.0–0.05 | 0.05–0.002 |
| 0.795 | 2.46 | 2.33 | 7.90 | 28.6 | 28.2 | 29.7 | 35.3 | 36.5 | |||||
| Acidic soils | Sandy loam | 5.46 | 14.4 | 8.37 | 0.075 | 0.381 | 0.708 | 12.5 | 17.9 | 10.5 | 57.9 | 59.1 | 30.4 |
| Compd. | Concentration (g·ha −1) | Herbicidal Activity, Inhibition Rates (%) | |||||||
|---|---|---|---|---|---|---|---|---|---|
| Pre-Emergence Treatment | Post-Emergence Treatment | ||||||||
| Brassica campestris | Amaranthus tricolor | Echinochloa crusgalli | Digitaria sanguinalis | Brassica campestris | Amaranthus tricolor | Echinochloa crusgalli | Digitaria sanguinalis | ||
| W101 (Chlorsulfuron) | 15 | 93.7 | 91.2 | 57.5 | 51.0 | 87.9 | 53.3 | 39.1 | 40.5 |
| 150 | 96.9 | 94.1 | 92.1 | 61.3 | 100.0 | 80.8 | 60.2 | 79.7 | |
| W102 | 15 | 82.5 | 70.6 | 89.0 | 47.6 | 88.4 | 14.2 | 38.3 | 20.0 |
| 150 | 98.7 | 95.9 | 96.8 | 65.1 | 100 | 98.3 | 59.4 | 82.4 | |
| W103 | 15 | 0 | 0 | 8.2 | 0 | 0.0 | 0 | 0 | 0 |
| 150 | 13.9 | 52.9 | 40.1 | 20.9 | 37.2 | 28.3 | 28.9 | 0 | |
| W104 | 15 | 4.9 | 41.2 | 29.5 | 21.1 | 40.9 | 11.7 | 0 | 16.2 |
| 150 | 70.8 | 70.6 | 65.3 | 42.0 | 97.5 | 61.7 | 33.9 | 48.6 | |
| W105 | 15 | 81.9 | 64.7 | 46.8 | 28.4 | 87.7 | 41.7 | 27.3 | 0 |
| 150 | 88.1 | 91.2 | 90.9 | 52.1 | 100.0 | 73.3 | 90.6 | 86.5 | |
| W106 | 15 | 57.2 | 85.3 | 73.2 | 0 | 78.3 | 53.3 | 31.3 | 0 |
| 150 | 87.5 | 97.1 | 87.4 | 47.8 | 100 | 90.8 | 76.6 | 79.7 | |
| W107 | 15 | 0 | 29.4 | 0 | 0 | 0.0 | 0 | 0 | 0 |
| 150 | 11.8 | 64.7 | 0 | 23.5 | 15.8 | 3.3 | 11.6 | 6.7 | |
| W108 | 15 | 0 | 0 | 0 | 0 | 0 | 0 | 0 | 0 |
| 150 | 2.4 | 0.0 | 0 | 14.2 | 16.6 | 9.2 | 10.8 | 0 | |
| W109 | 15 | 74.7 | 83.3 | 35.0 | 18.3 | 79.4 | 56.7 | 86.3 | 18.1 |
| 150 | 96.3 | 98.3 | 76.1 | 57.4 | 100 | 100 | 98.4 | 60.1 | |
| W110 | 15 | 65.7 | 58.3 | 20.8 | 0 | 35.9 | 16.3 | 66.3 | 0 |
| 150 | 88.4 | 88.3 | 80.5 | 52.5 | 94.2 | 86.5 | 79.4 | 42.6 | |
| W111 | 15 | 55.7 | 66.7 | 3.2 | 0 | 52.6 | 30.8 | 52.0 | 0 |
| 150 | 92.6 | 83.3 | 71.0 | 7.0 | 100 | 66.3 | 98.4 | 61.5 | |
| Compound | Kinetic Equations of Soil Degradation | Correlation Coefficient (R2) | DT50 (Days) |
|---|---|---|---|
| W101 (Chlorsulfuron) | Ct = 3.8317e−0.0393t | 0.9477 | 17.64 |
| W102 | Ct = 3.6838e−0.3700t | 0.9866 | 1.87 |
| W103 | Ct = 3.4989e−0.3666t | 0.9664 | 1.89 |
| W104 | Ct = 3.2440e−0.2414t | 0.9629 | 2.87 |
| W105 | Ct =3.2659e−0.2150t | 0.9575 | 3.22 |
| W106 | Ct = 3.3608e−0.0623t | 0.9973 | 11.13 |
| W107 | Ct = 3.5961e−0.0458t | 0.9909 | 15.13 |
| W109 | Ct = 3.6979e−0.1721t | 0.9760 | 4.03 |
| W110 | Ct= 3.4616e−0.1051t | 0.9594 | 6.60 |
| W111 | Ct= 3.4271e−0.0683t | 0.9614 | 10.15 |
| Compound | Kinetic Equations of Soil Degradation | Correlation Coefficient (R2) | DT50 (Days) |
|---|---|---|---|
| W101 (Chlorsulfuron) | Ct = 4.3043e−0.0044t | 0.9899 | 157.53 |
| W102 | Ct = 5.1771e−0.1091t | 0.9888 | 6.35 |
| W103 | Ct = 4.9927e−0.1100t | 0.9839 | 6.30 |
| W104 | Ct = 4.6088e−0.1095t | 0.9765 | 6.33 |
| W105 | Ct =5.3757e−0.1158t | 0.9795 | 5.99 |
| W106 | Ct = 5.0349e−0.1054t | 0.9787 | 6.58 |
| W109 | Ct = 5.4294e−0.1162t | 0.9761 | 5.97 |
| W110 | Ct= 5.5261e−0.1193t | 0.9857 | 5.81 |
| W111 | Ct= 4.3883e−0.0995t | 0.9892 | 6.97 |
| Compound | Concentration (g·ha−1) | Wheat (Xinong 529) | ||||||||
|---|---|---|---|---|---|---|---|---|---|---|
| Pre. (22 Days after Treatment) | Post. (28 Days after Treatment) | |||||||||
| Fresh Weight g/10 Strains | Analysis of Variance a | Inhibition (%) | Fresh Weight g/10 Strains | Analysis of Variance a | Inhibition (%) | |||||
| 5% | 1% | 5% | 1% | |||||||
| 0 | 2.879 | ab | AB | - | 3.168 | c | B | - | ||
| W101 (Chlorsulfuron) | 30 | 3.043 | a | A | 0 | 3.287 | a | A | 0 | |
| 60 | 2.697 | abcd | ABC | 6.3 | 3.287 | ab | AB | 0 | ||
| W102 | 30 | 2.340 | de | CD | 18.7 | 3.182 | ab | AB | 0 | |
| 60 | 2.207 | e | D | 23.3 | 3.236 | ab | AB | 0 | ||
| W103 | 30 | 2.942 | ab | AB | 0 | 3.427 | ab | AB | 0 | |
| 60 | 3.070 | a | A | 0 | 3.843 | abc | AB | 0 | ||
| W104 | 30 | 2.927 | ab | AB | 0 | 3.530 | abc | AB | 0 | |
| 60 | 2.843 | abc | AB | 1.2 | 3.443 | abc | AB | 0 | ||
| W105 | 30 | 2.924 | ab | AB | 0 | 3.447 | abc | AB | 0 | |
| 60 | 2.931 | ab | AB | 0 | 3.423 | abc | AB | 0 | ||
| W106 | 30 | 2.969 | ab | AB | 0 | 3.287 | abc | AB | 0 | |
| 60 | 2.917 | ab | AB | 0 | 3.575 | abc | AB | 0 | ||
| W107 | 30 | 2.950 | ab | AB | 0 | 3.244 | abc | AB | 0 | |
| 60 | 3.080 | a | A | 0 | 3.283 | abc | AB | 0 | ||
| W109 | 30 | 2.747 | a | AB | 4.6 | 2.703 | bcd | BC | 14.7 | |
| 60 | 2.544 | ab | AB | 11.6 | 2.674 | cd | BC | 15.6 | ||
| W110 | 30 | 2.607 | ab | AB | 9.4 | 3.082 | abc | AB | 2.7 | |
| 60 | 2.557 | ab | AB | 11.2 | 2.996 | abc | AB | 5.4 | ||
| W111 | 30 | 2.915 | a | A | 0 | 3.105 | abc | AB | 2.0 | |
| 60 | 2.890 | a | A | 0 | 2.784 | bc | BC | 12.1 | ||
| Compound | Concentration (g·ha−1) | Corn (Xindan 66) | ||||||||
|---|---|---|---|---|---|---|---|---|---|---|
| Pre. (16 Days after Treatment) | Post. (23 Days after Treatment) | |||||||||
| Fresh Weight g/5 Strains | Analysis of Variance a | Inhibition (%) | Fresh Weight g/5 Strains | Analysis of Variance a | Inhibition (%) | |||||
| 5% | 1% | 5% | 1% | |||||||
| 0 | 6.312 | abc | ABCD | - | 8.073 | a | A | - | ||
| W101 (Chlorsulfuron) | 30 | 4.043 | cdef | BCDE | 35.9 | 7.932 | a | A | 1.7 | |
| 60 | 3.361 | ef | DE | 46.7 | 7.370 | a | A | 8.7 | ||
| W102 | 30 | 4.060 | cdef | BCDE | 35.7 | 7.146 | a | A | 11.5 | |
| 60 | 4.000 | cdef | BCDE | 36.6 | 7.109 | a | A | 11.9 | ||
| W103 | 30 | 7.080 | ab | ABC | 0 | 8.419 | a | A | 0 | |
| 60 | 6.716 | ab | ABCD | 0 | 8.433 | a | A | 0 | ||
| W104 | 30 | 7.622 | a | A | 0 | 8.493 | a | A | 0 | |
| 60 | 6.787 | ab | ABC | 0 | 8.644 | a | A | 0 | ||
| W105 | 30 | 6.437 | abc | ABCD | 0 | 8.329 | a | A | 0 | |
| 60 | 7.222 | ab | AB | 0 | 7.764 | a | A | 3.8 | ||
| W106 | 30 | 7.109 | ab | ABC | 0 | 8.138 | a | A | 0 | |
| 60 | 6.360 | abc | ABCD | 0 | 7.454 | a | A | 7.7 | ||
| W107 | 30 | 6.902 | ab | ABC | 0 | 8.389 | a | A | 0 | |
| 60 | 6.200 | abcd | ABCD | 1.8 | 8.377 | a | A | 0 | ||
| W109 | 30 | 3.524 | cd | BCD | 44.2 | 7.871 | a | A | 2.5 | |
| 60 | 2.547 | de | DE | 59.7 | 7.514 | a | A | 6.9 | ||
| W110 | 30 | 3.521 | cd | BCD | 44.2 | 7.132 | a | A | 11.7 | |
| 60 | 3.314 | cde | BCD | 47.5 | 7.013 | a | A | 13.1 | ||
| W111 | 30 | 5.671 | ab | A | 10.2 | 8.095 | a | A | 0 | |
| 60 | 5.102 | ab | AB | 19.2 | 8.077 | a | A | 0 | ||
Publisher’s Note: MDPI stays neutral with regard to jurisdictional claims in published maps and institutional affiliations. |
© 2022 by the authors. Licensee MDPI, Basel, Switzerland. This article is an open access article distributed under the terms and conditions of the Creative Commons Attribution (CC BY) license (https://creativecommons.org/licenses/by/4.0/).
Share and Cite
Wu, L.; Gu, Y.-C.; Li, Y.-H.; Zhou, S.; Wang, Z.-W.; Li, Z.-M. Synthesis, Herbicidal Activity, Crop Safety and Soil Degradation of Pyrimidine- and Triazine-Substituted Chlorsulfuron Derivatives. Molecules 2022, 27, 2362. https://doi.org/10.3390/molecules27072362
Wu L, Gu Y-C, Li Y-H, Zhou S, Wang Z-W, Li Z-M. Synthesis, Herbicidal Activity, Crop Safety and Soil Degradation of Pyrimidine- and Triazine-Substituted Chlorsulfuron Derivatives. Molecules. 2022; 27(7):2362. https://doi.org/10.3390/molecules27072362
Chicago/Turabian StyleWu, Lei, Yu-Cheng Gu, Yong-Hong Li, Sha Zhou, Zhong-Wen Wang, and Zheng-Ming Li. 2022. "Synthesis, Herbicidal Activity, Crop Safety and Soil Degradation of Pyrimidine- and Triazine-Substituted Chlorsulfuron Derivatives" Molecules 27, no. 7: 2362. https://doi.org/10.3390/molecules27072362
APA StyleWu, L., Gu, Y.-C., Li, Y.-H., Zhou, S., Wang, Z.-W., & Li, Z.-M. (2022). Synthesis, Herbicidal Activity, Crop Safety and Soil Degradation of Pyrimidine- and Triazine-Substituted Chlorsulfuron Derivatives. Molecules, 27(7), 2362. https://doi.org/10.3390/molecules27072362

