Abstract
The adenosine A3 receptor is a promising target for treating and diagnosing inflammation and cancer. In this paper, a series of bicyclo[3.1.0]hexane-based nucleosides was synthesized and evaluated for their P1 receptor affinities in radioligand binding studies. The study focused on modifications at 1-, 2-, and 6-positions of the purine ring and variations of the 5′-position at the bicyclo[3.1.0]hexane moiety, closing existing gaps in the structure–affinity relationships. The most potent derivative 30 displayed moderate A3AR affinity (Ki of 0.38 μM) and high A3R selectivity. A subset of compounds varied at 5′-position was further evaluated in functional P2Y1R assays, displaying no off-target activity.
1. Introduction
The G protein-coupled adenosine (P1) receptors A1, A2A, A2B and A3 play a central role in the complex mechanisms of purinergic signaling. In general, adenosine, the endogenous agonist at P1 receptors, exhibits protective functions as a response to organ stress and release of damage-associated-molecular pattern (DAMP) molecules such as e.g., ATP and S100 proteins [1,2,3]. Various P1 receptor agonists have been in clinical trials; to name a few, capadenoson (A1AR agonist) for the treatment of atrial fibrillation (NCT00568945) [4], apadenoson (A2AAR agonist) for the SPECT-myocardial perfusion imaging (NCT01313572), the A3 receptor agonists namodenoson in phase III for liver cancer (NCT04697810) [5,6], and piclidenoson (IB-MECA) for the treatment of psoriasis (NCT03168256), rheumatoid arthritis, and most recently, COVID-19 infections (NCT04333472) [7]. We are particularly interested in targeting the A3 receptor due to its high overexpression in inflammatory and cancer cells compared to its low expression levels in healthy cells, thus making it a potentially promising therapeutic and diagnostic target [8,9,10]. The introduction of the bicyclo[3.1.0]hexane scaffold, also known as (N)-methanocarba (N for North), in place of the furanose ring of nucleoside agonists is known to increase the A3 receptor (A3AR) potency and selectivity in comparison to other adenosine receptor subtypes [11,12]. In 2005 Jacobson et al. reported compounds 1a and 1b as highly potent A3 receptor agonists [13] and most recently, the synthesis of S-thioether (N)-methanocarba adenosine derivatives such as compound 2 (Figure 1) [14]. We were interested in exploring these scaffolds further through various substitutions at 6-position of the purine ring (purine numbering), the introduction of the 1-deazapurine scaffold, and variations of the 5′-position (ribose numbering) at the methanocarba moiety (Figure 1, general structure I). Jacobson et al. have already established the methyl and ethyl carboxamides as highly efficient substituents at the 5′-position. There are only a few reports on introducing other functional moieties at the 5′-position of adenosine receptor ligands, one of them being the tetrazole compound 3 as a highly potent dual A1AR and A3AR ligand [15]. However, the introduction of other, in particular acidic, functional groups at the 5′-position was never investigated. Therefore, we decided to combine the (N)-methanocarba moiety (providing A3AR preference [12]) with various functional groups at the 5′-position to develop novel adenosine receptor ligands.
Figure 1.
(N)-methanocarba-based A3 receptor antagonists 1a,b, 2, the tetrazole derivative 3 and general structure I.
2. Results and Discussion
The synthesis of the bicyclo[3.1.0]hexane scaffold followed the reported procedure by Michel et al. [16], starting with D-ribose and leading to the TBDPS-protected bicyclo[3.1.0]hexan alcohol 4 as a central building block in 9 consecutive steps (see Supplementary Materials Scheme S1). First, we decided to explore the role of the nitrogen atom at the 1-position of the purine ring. Nitration of 6-chloro-1-deazapurine has led selectively to the formation of 2-nitro derivative 7. Mitsunobu reaction of either 2,6-dichloro-1-deazapurine (6) or 6-chloro-2-nitro-1-deazapurine (7) with the methanocarba building block 4 had led to the formation of the protected nucleoside derivatives 8 and 9, respectively, that were subsequently varied further at the 2-position of the purine ring through the introduction of either amino or methylthio groups (Scheme 1). The exocyclic amine at 6-position was introduced in a reaction of the 6-chloro derivative 9 and benzylamine (for compounds 13 and 14) or para-methoxybenzyl amine (PMB, for compound 15). Cleavage of the PMB group led to the derivatives 16 and 17 bearing a free exocyclic amine.
Scheme 1.
Synthesis of 1-deazapurine derivatives 11–17. Reagents and conditions: (a) (1) Boc2O, DMAP, CH2Cl2, RT. (2) TBAN, TFAA, CH2Cl2, CH3OH, rt ⭢ reflux. (b) compound 4, DIAD, PPh3, THF, rt ⭢ 70 °C. (c) Na2S2O4, CH3OH, H2O, rt. (d) TFA, CH3OH, H2O, 70 °C. (e) Benzylamine, DIPEA, NMP, 200 °C, then TFA, CH3OH, H2O, 70 °C. or p-methoxybenzylamine, DIPEA, NMP, 200 °C, then TFA, CH3OH, H2O, 70 °C. (f) NaSCH3, DMF, 90 °C, then TFA, CH3OH, H2O, 70 °C. (g) DDQ, H2O, CH2Cl2, rt, then TFA, CH3OH, H2O, 70 °C.
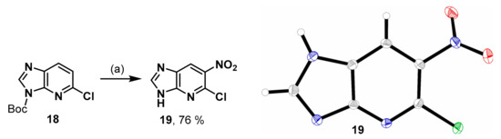
The attempt of introducing the nitro group at the Boc-protected 2-chloro-1-deazapurine (18), in order to introduce the electron-withdrawing nitro group at 6-position, has led to the formation of one single compound, the 2-chloro-1-nitro-1-deazapurine (19), in 76% yield and not the desired 6-nitro derivative (purine numbering). The position of the nitration was additionally proven by an X-ray structure of compound 19 (Scheme 2).
Scheme 2.
Nitration of Boc-protected 2-chloro-1-deazapurine (18) Reagents and conditions: (a) TBAN, TFAA, CH2Cl2, rt ⭢ reflux. Molecular structure of compound 19. Thermal ellipsoids are depicted at 30% probability. CCDC number: 2157452.
The reaction of the protected 6-chloro-2-nitro nucleoside 8 with dibenzylamine was sluggish; therefore, to synthesize the N,N-dibenzyl-1-deaza derivatives, we envisaged the introduction of the dibenzyl group at the tosyl-protected 6-chloro-2-nitro-1-deazapurine 20 followed by subsequent cleavage of the tosyl group and a Mitsunobu reaction with compound 4. Interestingly, the reaction of dibenzylamine with deazapurine 20 provided selectively the ring-opened product 21 in 78% yield. Due to the strong electron-withdrawing effect of the tosyl group, the dibenzylamine was able to perform a nucleophilic attack at the 8-position of the purine scaffold. The structure of compound 21 was additionally confirmed by X-ray crystal structure analysis (Scheme 3). Since the reaction of nucleoside 8 bearing a nitro group at the 2-position with dibenzylamine has led to the formation of various side-products, the synthesis of dibenzyl derivatives was skipped, and the nitro group was subsequently reduced to the primary amine function leading subsequently to the nucleoside 11.
Scheme 3.
Reaction of dibenzyl amine with compound 20. Reagents and conditions: (a) dibenzylamine, CH2Cl2, RT. Molecular structure of compound 21. Thermal ellipsoids are depicted at 30% probability. CCDC number: 2157453.
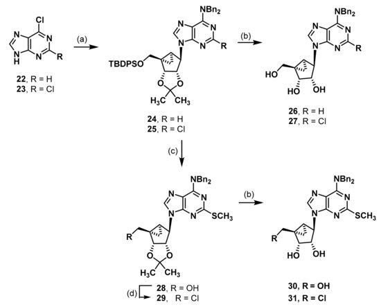
The purine derivatives 24 and 25, bearing two benzyl groups, were prepared through the reaction of 6-chloropurines 22 and 23 with dibenzyl amine and subsequent Mitsunobu reaction of the methanocarba building block 4, respectively. The methylthio group was introduced by reacting the protected 2-chloropurine nucleoside 25 with NaSCH3. Additionally, the 5′-hydroxy group was replaced by a chloride using cyanuric chloride. Cleavage of the acetonide and TBDPS groups has led to the formation of the respective nucleosides 26, 27, 30 and 31 in high yields (Scheme 4).
Scheme 4.
Synthesis of dibenzyl derivatives 26, 27, 30 and 31. Reagents and conditions: (a) (1) Dibenzylamine, isopropanol, 90 °C. (2) Compound 4, DIAD, PPh3 THF, 0 °C ⭢ RT. (b) TFA, CH3OH, H2O, 70 °C. (c) NaSCH3, DMF, 90 °C. (d) Cyanuric chloride, DMF, CH2Cl2, rt.
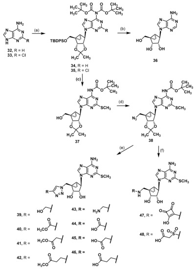
Intrigued by the high A3AR affinity of compound 1b and moderate affinity of compound 2, we selected the 2-methylthio substituted adenine scaffold for the evaluation of the modifications at the 5′-position. Also, (N)-methanocarba adenine 36 should be prepared as a reference compound for the SAR studies. Hereby adenine (32) or 2-chloro adenine (33) were subjected to the Mitsunobu reaction. Subsequent cleavage of the protecting groups of compound 34 furnished (N)-methanocarba adenosine 36, while the protected nucleoside 35 was used for the introduction of the methylthio group at the 2-position. Selective cleavage of the TBDPS protecting group and subsequent tosylation of the free alcohol and nucleophilic substitution of the tosylate led to the formation of the azide 38 as a central intermediate. Huisgen cycloaddition of the azide 38 with various alkynes and subsequent cleavage of the acetonide provided the triazole nucleosides 39–46 bearing neutral (39–42), basic (43), or acidic (44–46) functional groups. Reduction of the azide function using Pd/C, H2 led to the formation of an amine suitable for the reaction with squaric acid dimethyl ester or ethyl 2-(chlorosulfonyl)acetate to provide compounds 47 and 48, respectively (Scheme 5).
Scheme 5.
Synthesis of (N)-methanocarba adenosine 33 and derivatives modified at the 5′-position 39–48. (a) (1) Boc2O, DMAP, THF, rt., then sat. NaHCO3 solution, CH3OH, 50 °C. (2) Compound 4, DIAD, PPh3, THF, 0 °C ⭢ rt. (b) TFA, CH3OH, H2O, 70 °C. (c) NaSCH3, DMF, 90 °C. (d) (1) Tosyl chloride, Et3N, DMAP, CH2Cl2, RT. (2) NaN3, DMF, 70 °C. (e) Appropriate alkyne, Cu (II) acetylacetonate, sodium ascorbate, tert-butanol, H2O, rt, then TFA, CH3OH, H2O, 70 °C. (f) (1) Pd/C, H2 5 bar, CH3OH, rt. (2) For 47: squaric acid dimethyl ester, Et3N, CH2Cl2, rt., then TFA, CH3OH, H2O, 70 °C. For 48: (1) methyl 2-(chlorosulfonyl)acetate, Et3N, DMAP, CH2Cl2, RT, then TFA, CH3OH, H2O, 70 °C. (2) NaOH, CH3CN, H2O, 70 °C.
The compounds were evaluated for their P1 receptor affinity in A1, A2A, A2B, and A3 receptor binding studies (Table 1). From all synthesized compounds, the (N)-methanocarba adenosine 36 is the only derivative displaying affinity to more than one P1 receptor. Compound 36 shows a preference for the A3 receptor subtype with a Ki of 960 nM, 2- to 6-fold lower affinity towards A2A and A1 receptors, respectively, and no affinity at the A2B subtype. The nitrogen atom at 1-position is not required for A3 receptor affinity, as receptor binding appears to highly depend on substituents at 2- and 6-position. The derivatives 11 and 12 bearing a chloro substituent at 6-position show no P1 receptor affinity. The introduction of an amino group at the 6-position of the adenine ring as in compound 16 significantly increases the A3 receptor affinity (Ki = 1.60 μM) while not showing any binding at other subtypes. Replacing the chloro with a methylthio group as in 17 leads to a loss of P1 receptor affinity. Interestingly, benzylation of the exocyclic amine as in compounds 13 and 14 restores the A3R affinity irrespective of the substituent at the 2-position. Extending the benzyl to a para-methoxybenzyl group as in 15 has no effect on A3R binding (Ki = 0.50 μM). In the purine series, the dibenzylation of the exocyclic amine appears to work only in combination with the methylthio group (30, Ki (A3R) = 0.38 μM); derivatives 26, 27 and 31 were not potent at the A3 receptor. Most variations at the 5′-position were not tolerated. Only the triazole ester 42 displays a low A3R affinity of Ki 6.35 μM. Considering the potential of the introduced moieties in compounds 39–48 to serve as potential bioisosteres of mono- and diphosphate groups, the compounds 39–48 were tested for their functional activity (agonistic and antagonistic) at P2Y1 receptors; none of the derivatives displayed any functional activity at P2Y1 receptors up to a concentration of 10 μM.
Table 1.
Inhibitory activities of the novel compounds in human adenosine receptor binding assays (n = 3), a % displacement by the test compound at a concentration of 10 µM, or at 1 µM. Bn = benzyl, PMB = p-methoxybenzyl.
3. Conclusions
With the aim to further explore the SAR of (N)-methanocarba nucleosides at A3 receptor, a series of derivatives 11–17, 26, 27, 30, 31, 36, 39–48 varied at 1-, 2-, 6- and 5′-positions were prepared and evaluated for their affinity across all P1 receptor subtypes. The (N)-methanocarba adenosine 36 displayed affinity at A1, A2A, and A3 receptors combined with only moderate A3AR preference. The most potent compound 30, bearing dibenzylamino group at the 6-position and methylthio at the 2-position, displayed high A3R selectivity. The presence of the nitrogen atom at the 1-position of the purine ring was not required for the A3AR affinity, consistent with a recent report on hypermodified (N)-methanocarba derivatives [15]. The introduction of larger moieties at the 5′-position led to a complete loss of A3AR affinity, except for the triazole ester 42 displaying low A3AR affinity. Further structural modifications such as e.g., benzylation of the exocyclic amine function might restore the affinity of the 5′-triazoles at the A3 receptor.
In conclusion, based on the multiple potential applications of (N)-methanocarba nucleosides as therapeutic agents [17,18], we have introduced new lead compounds that bind to the A3AR and can be further elaborated to increase affinity and selectivity.
4. Materials and Methods
4.1. Experimental Section
4.1.1. Chemistry General
Unless otherwise noted, moisture-sensitive reactions were conducted under dry nitrogen. Flash column chromatography (fc): silica gel 60, 40–64 µm; parentheses include: diameter of the column, length of the column, fraction size, eluent, Rf value. Melting point: melting point apparatus Stuart Scientific® SMP 3 (Bibby Sterilin Ltd., Staffsordshire, UK), uncorrected. IR: IR spectrophotometer FT-ATR-IR (Jasco®, Cremella (Lc), Italy). 1H NMR (400 MHz): Unity Mercury Plus 400 spectrometer (Varian®, Palo Alto, CA, US), AV400 (Bruker®, Bremen, Germany), JEOL JNM-ECA-400 (Freising, Germany). 13C NMR (100 MHz): Unity Mercury plus 400 spectrometer (Varian®®) JEOL JNM-ECA-400; δ in ppm relative to tetramethylsilane; coupling constants are given with 0.5 Hz resolution, the assignments of 13C and 1H NMR signals were supported by 2D NMR techniques; MS: APCI = atmospheric pressure chemical ionization, EI = electron impact, ESI = electro-spray ionization: MicroTof (Bruker Daltronics, Bremen, Germany), calibration with sodium formate clusters before measurement. All solvents were of analytical grade quality and demineralized water was used. HPLC solvents were of gradient grade quality, and ultrapure water was used. All HPLC eluents were degassed by sonication prior to use. Thin-layer chromatography was conducted with silica gel F254 on aluminum plates in a saturated chamber at room temperature. The spots were visualized using UV light (254 nm) or reagents such as cerium molybdate dipping bath with additional heating using a standard heat gun. The retention factor values strongly depend on the temperature, the chamber saturation, and exact ratio of components of the eluent (highly volatile); the given retention factor values represent just approximate values. Flash column chromatography was conducted with silica gel 600 (40–63 μm, Macherey-Nagel). X-ray crystal structures: Equipment: Bruker APEX II CCD diffractometer (Bruker, Bremen, Germany): four circle diffractometer, Cu X-ray tube, graphite monochromator, APEX II CCD surface detector, Oxford Cryosystem 700 series (Oxford, UK) (N2 flow: 100–300 K).
4.1.2. X-ray Diffraction Measurements
Data sets for compounds 19 and 21 were collected with a Nonius Kappa CCD rotating anode diffractometer. Programs used: data collection, COLLECTxx (R. W. W. Hooft, Bruker AXS, 2008, Delft, The Netherlands); data reduction Denzo-SMN [19]; absorption correction, Denzo [20]; structure solution SHELXS-97 [21]; structure refinement SHELXL-97 [22]. Last-step refinement was done with the new software APEX3 V2019.1–0 (Bruker AXS (2019) APEX3 Version 2019.1–0, Bruker AXS Inc., Madison, WI, USA); structure refinement, SHELXL-2015 [23]; graphics, XP (Version 5.1, Bruker AXS Inc., Madison, WI, USA, 1998). R-values are given for observed reflections, and wR2 values are given for all reflections.
X-ray crystal structure analysis of 19: a colorless, plate-like specimen of C6H3ClN4O2, approximate dimensions 0.060 mm × 0.200 mm × 0.260 mm, was used for the X-ray crystallographic analysis. The X-ray intensity data were measured on a rotating anode Nonius FR591 system equipped with a Mo rotating anode Mo rotating anode (Mo Kα, λ = 0.71073 Å) and a Montel mirror monochromator. The integration of the data using an orthorhombic unit cell yielded a total of 3297 reflections to a maximum θ angle of 28.13° (0.75 Å resolution), of which 1804 were independent (average redundancy 1.828, completeness = 99.1%, Rint = 1.94%, Rsig = 2.27%) and 1633 (90.52%) were greater than 2σ(F2). The final cell constants of a = 11.3385(3) Å, b = 6.5407(2) Å, c = 20.0740(7) Å, volume = 1488.72(8) Å3, are based upon the refinement of the XYZ-centroids of reflections above 20 σ(I). Data were corrected for absorption effects using the multi-scan method (SADABS). The calculated minimum and maximum transmission coefficients (based on crystal size) are 0.8850 and 0.9720. The structure was solved and refined using the Bruker SHELXTL Software Package, using the space group Pbca, with Z = 8 for the formula unit, C6H3ClN4O2. The final anisotropic full-matrix least-squares refinement on F2 with 122 variables converged at R1 = 3.16% for the observed data and wR2 = 8.40% for all data. The goodness-of-fit was 1.101. The largest peak in the final difference electron density synthesis was 0.293 e−/Å3 and the largest hole was −0.263 e−/Å3 with an RMS deviation of 0.050 e−/Å3. On the basis of the final model, the calculated density was 1.772 g/cm3 and F(000), 800 e−. The hydrogen at N2 atom was refined freely.
X-ray crystal structure analysis of 21: A pale yellow, prism-like specimen of C27H24ClN5O4S, approximate dimensions 0.070 mm × 0.160 mm × 0.200 mm, was used for the X-ray crystallographic analysis. The X-ray intensity data were measured on a rotating anode Nonius FR591 system equipped with a Mo rotating anode (Mo Kα, λ = 0.71073 Å) and a Montel mirror monochromator. The integration of the data using a monoclinic unit cell yielded a total of 9321 reflections to a maximum θ angle of 26.73° (0.79 Å resolution), of which 5490 were independent (average redundancy 1.698, completeness = 98.2%, Rint = 2.98%, Rsig = 3.82%) and 4655 (84.79%) were greater than 2σ(F2). The final cell constants of a = 13.4033(2) Å, b = 9.4786(2) Å, c = 20.9689(4) Å, β = 98.6230(10)°, volume = 2633.87(8) Å3 are based upon the refinement of the XYZ-centroids of reflections above 20 σ(I). Data were corrected for absorption effects using the multi-scan method (SADABS). The calculated minimum and maximum transmission coefficients (based on crystal size) are 0.9480 and 0.9810. The structure was solved and refined using the Bruker SHELXTL Software Package, using the space group P21/n, with Z = 4 for the formula unit, C27H24ClN5O4S. The final anisotropic full-matrix least-squares refinement on F2 with 348 variables converged at R1 = 4.71% for the observed data and wR2 = 10.64% for all data. The goodness-of-fit was 1.076. The largest peak in the final difference electron density synthesis was 0.214 e−/Å3 and the largest hole was −0.339 e−/Å3 with an RMS deviation of 0.047 e−/Å3. On the basis of the final model, the calculated density was 1.387 g/cm3 and F(000), 1144 e−. The hydrogen atom at N1 was refined freely.
CCDC-2157452 (compound 19) and -2157453 (compound 21) contain the supplementary crystallographic data for this paper. These data can be obtained free of charge from The Cambridge Crystallographic Data Centre via www.ccdc.cam.ac.uk/data_request/cif.
4.1.3. HPLC Purity Measurements
Equipment: UV-detector: UltiMate 3000 variable Wavelength Detector; autosampler: UltiMate 3000; pump: Ultimate 3000; degasser: Ultimate 3000: data acquisition: Chromeleon Client 8.0.0 (Dionex Corpor., Sunnyvale, CA, USA). Method: column: guard column: Zorbax SB-Aq 12.5 × 4.6 mm catridge, column: Zorbax SB-Aq StableBond analytical 150 × 4.6 mm, flow rate: 1.00 mL/min; injection volume: 5.0 µL; detection at λ = 210 nm; Method A: solvents: A: Tetrabutylammonium phosphate buffer (5 mM) in H2O, B: CH3CN, gradient elution: (A%): 0–20 100 to 90%, 20–30 min: gradient from 90% to 100%. Method B: solvents: A: Tetrabutylammonium phosphate buffer (5 mM) in H2O, B: CH3CN, gradient elution: (A%): 0–20 min 80 to 20%, 20–30 min: gradient from 20% to 80%. Method C: solvents: A: Tetrabutylammonium phosphate buffer (5 mM) in H2O, B: CH3CN, gradient elution: (A%): 40–100%, 20–30 min: gradient from 100% to 40%. Method D: HPLC method for determination of the product purity: Merck Hitachi Equipment; UV detector: L-7400; autosampler: L-7200; pump: L-7100; degasser: L-7614; Method: column: LiChrospher®® 60 RP-select B (5 µm), 250 × 4 mm2 column; flow rate: 1.00 mL/min; injection volume: 5.0 µL; detection at λ = 210 nm; solvents: A: water with 0.05% (v/v) trifluoroacetic acid; B: acetonitrile with 0.05% (v/v) trifluoroacetic acid: gradient elution: (A%): 0–4 min: 90%, 4–29 min: gradient from 90% to 0%, 29–31 min: 0%, 31–31.5 min: gradient from 0% to 90%, 31.5–40 min: 90%.
4.1.4. Data Analysis
NMR spectra were processed with MestReNova 12.0 (MestreLab Research, Santiago de Compostela, Spain).
4.2. Adenosine Receptor Binding Studies
4.2.1. Cell Culture and Membrane Preparation
Chinese hamster ovary (CHO) cells stably expressing the human adenosine A1 receptor (CHOhA1R) were kindly provided by Prof. S. J. Hill and CHO cells stably expressing the human adenosine A3 receptor (CHOhA3R) were a gift from Dr. K.-N. Klotz (University of Würzburg, Germany). Chinese hamster ovary cells stably expressing the human A1-receptor (CHOhA1R) or the human A3-receptor (CHOhA3R) were grown in Dulbecco’s Modified Eagle’s Medium (DMEM) and Ham’s F12 medium (1:1) supplemented with 10% (v/v) newborn calf serum, 50 µg/mL streptomycin, 50 IU/mL penicillin, and 200 µg/mL G418 at 37 °C and 5% CO2. CHOhA1R cells were subcultured twice a week at a ratio of 1:20 on 10 cm Ø plates and 15 cm Ø plates. CHOhA3R cells were subcultured twice a week at a ratio of 1:8 on 10 cm Ø plates and 15 cm Ø plates.
Human embryonic kidney 293 cells stably expressing the human adenosine A2A receptor (HEK293hA2AR) were kindly provided by Dr. J. Wang (Biogen/IDEC, Cambridge, MA, USA), CHO-spap cells stably expressing the wild-type (WT) hA2B receptor (CHO-spap-hA2BR) were kindly provided by S. J. Dowell (GlaxoSmithKline, Brentfort, UK). Human embryonic kidney cells from the cell line 293 stably expressing the human A2A-receptor (HEK293hA2AR) were grown in culture medium consisting of DMEM supplemented with 10% (v/v) newborn calf serum, 50 µg/mL streptomycin, 50 IU/mL penicillin, and 500 µg/mL G418 at 37 °C and 7% CO2. Cells were subcultured twice a week at a ratio of 1:8 on 10 cm Ø plates and 15 cm Ø plates.
Chinese hamster ovary cells stably expressing the human A2A-receptor and a reporter gene, the secreted placental alkaline phosphatase, (CHO-spap-hA2BR) were grown in DMEM and Ham’s F12 medium (1:1) supplemented with 10% (v/v) newborn calf serum, 100 µg/mL streptomycin, 100 IU/mL penicillin, 1 mg/mL G418, and 0.4 mg/mL hygromycin at 37 °C and 5% CO2. Cells were subcultured at a ratio of 1:20 twice a week.
All cells were grown to 80–90% confluency and detached from plates by scraping them into 5 mL phosphate-buffered saline. Detached cells were collected and centrifuged at 200 g for 5 min. Pellets derived from 100 15 cm Ø plates were pooled and resuspended in 70 mL of ice-cold 50 mM tris(hydroxymethyl)aminomethane (Tris)-HCl buffer, pH 7.4. A Heidolph Diax 900 homogenizer was used to homogenize the cell suspension. Membranes and the cytosolic fraction were separated by centrifugation at 100,000 g in a Beckman Optima LE-80 K ultracentrifuge (Beckman Coulter, Fullerton, CA, USA) at 4 °C for 20 min. The pellet was resuspended in 35 mL of the Tris-HCl buffer, and the homogenization and centrifugation steps were repeated. Tris-HCl buffer (25 mL) was used to resuspend the pellet, and adenosine deaminase (ADA) was added (0.8 U/mL) to break down endogenous adenosine. Membranes were stored in 250 µL and 500 µL aliquots at −80 °C. Total protein concentrations were measured using the bicinchoninic acid (BCA) method.
4.2.2. Radioligand Displacement Assay
A1 Receptor: Membrane aliquots containing 5 µg (CHOhA1R) protein were incubated in a total volume of 100 µL assay buffer (50 mM Tris-HCl, pH 7.4) at 25 °C for 1 h. Radioligand displacement experiments were performed using six concentrations of competing ligand in the presence of 1.6 nM [3H]8-cyclopentyl-1,3-dipropylxanthine ([3H]DPCPX). At these concentrations, total radioligand binding did not exceed 10% of that added to prevent ligand depletion. Nonspecific binding was determined in the presence of 100 µM N6-cyclopentyladenosine (CPA). Incubations were terminated by rapid vacuum filtration to separate the bound and free radioligand through prewetted 96-well GF/B filter plates using a PerkinElmer Filtermate-harvester (Perkin Elmer, Groningen, the Netherlands). Filters were subsequently washed 12 times with ice-cold 50 mM Tris-HCl, pH 7.4.
A2A Receptor: Membrane aliquots containing 30 µg (HEK293hA2AR) total protein were incubated in a total volume of 100 µL assay buffer (50 mM Tris-HCl, pH 7.4) at 25 °C for 1 h. Radioligand displacement experiments were performed using six concentrations of competing ligand in the presence of 5.5 nM [3H]4-[2-[7-amino-2-(2-furyl)-1,2,4-triazolo[1,5-a][1,3,5]triazin-5-yl-amino]ethyl]phenol ([3H]ZM241385). At these concentrations, total radioligand binding did not exceed 10% of that added to prevent ligand depletion. Nonspecific binding was determined in the presence of 100 µM adenosine-5-N-ethyluronamide (NECA). Incubations were terminated by rapid vacuum filtration to separate the bound and free radioligand through prewetted 96-well GF/B filter plates using a PerkinElmer Filtermate-harvester (Perkin Elmer, Groningen, The Netherlands). Filters were subsequently washed 12 times with ice-cold 50 mM Tris-HCl, pH 7.4.
A2B Receptor: Membrane aliquots containing 30 µg (CHO-spap-hA2BR) total protein were incubated in a total volume of 100 µL assay buffer (0.1% CHAPS in 50 mM TrisHCl, pH 7.4) at 25 °C for 2 h. Radioligand displacement experiments were performed using six concentrations of competing ligand in the presence of 1.5 nM [3H]8-[4-[4-(4-chlorophenyl)piperazide-1-sulfonyl)phenyl]]-1-propylxanthine ([3H]PSB-603). At these concentrations, total radioligand binding did not exceed 10% of that added to prevent ligand depletion. Nonspecific binding was determined in the presence of 10 µM ZM241385. Incubations were terminated by rapid vacuum filtration to separate the bound and free radioligand through prewetted 96-well GF/B filter plates using a PerkinElmer Filtermate-harvester (Perkin Elmer, Groningen, the Netherlands). Filters were subsequently washed 12 times with ice-cold 0.1% BSA in 50 mM Tris-HCl, pH 7.4.
A3 Receptor: Membrane aliquots containing 15 µg (CHOhA3R) total protein were incubated in a total volume of 100 µL assay buffer (50 mM Tris-HCl, pH 8.0, supplemented with 10 mM MgCl2, 1 mM EDTA and 0.01% (w/v) CHAPS) at 25 °C for 2 h. Radioligand displacement experiments were performed using six concentrations of competing ligand in the presence of 10 nM [3H]8-ethyl-4-methyl-2-phenyl-(8R)-4,5,7,8-tetrahydro-1H-imidazo[2.1-i]purin-5-one ([3H]PSB11). At these concentrations, total radioligand binding did not exceed 10% of that added to prevent ligand depletion. Nonspecific binding was determined in the presence of 100 µM NECA. Incubations were terminated by rapid vacuum filtration to separate the bound and free radioligand through prewetted 96-well GF/B filter plates using a PerkinElmer Filtermate-harvester (Perkin Elmer, Groningen, The Netherlands). Filters were subsequently washed 12 times with ice-cold 50 mM Tris-HCl supplemented with 10 mM MgCl2, and 1 mM EDTA, pH 8.0 for CHOhA3R.
The plates of all four adenosine receptor assays were dried at 55 °C after which MicroscintTM-20-cocktail was added (Perkin Elmer, Groningen, The Netherlands). After 3 h the filter-bound radioactivity was determined by scintillation spectrometry using a 2450 MicroBeta Microplate Counter (Perkin Elmer, Groningen, The Netherlands).
4.2.3. Data Analysis
All experimental data were analyzed using the non-linear regression curve fitting program GraphPad Prism 7.0 (GraphPad Software Inc., San Diego, CA, USA). IC50 values obtained from competition displacement binding data were converted into Ki values using the Cheng–Prusoff equation. The KD value (1.6 nM) of [3H]DPCPX at CHOhA1R membranes was taken from Kourounakis et al. [24]. The KD value (1.0 nM) of [3H]ZM241385 at hA2AR membranes, the KD value (1.71 nM) of [3H]PSB603 at CHspap-hA2BR membranes, and the KD value (17.3 nM) of [3H]PSB11 at CHOhA3R membranes were taken from in-house determinations.
4.3. P2Y1 Receptor Studies
4.3.1. Cell Culture
Human astrocytoma cell lines expressing human P2Y1 receptor (1321N1-HA-P2Y1, Kerafast) were maintained in high-glucose Dulbecco’s modified Eagle’s medium (DMEM) supplemented with 10% fetal calf serum and 1% Penicillin/Streptomycin (10.000 units penicillin and 10 mg streptomycin per mL in 0.9% NaCl, Sigma Aldrich) in tissue culture 75 cm2 flasks and subcultured every 2–4 days (1:3, 1:10) once confluent.
4.3.2. Ca2+-Flux Assay
Fluo-4 Direct was prepared according to the manufacturer’s instructions. Human Astrocytoma cell line stably expressing the P2Y1 receptor (1321N1-HA-P2Y1, Kerafast) was seeded into black clear-bottom Nunc 96 well plates (Thermo Fisher Scientific) at 3.0–4.0 × 104 cells/well and incubated for 48 h at 37 °C and 5% CO2 until cells reach confluence level of at least 85–90%. The medium was removed, and the cells were washed using 100 µL HBSS containing 20 mM HEPES. Loading cells with the fluorescent Ca2+ indicator Fluo-4 were performed at 37 °C for 40 min and an additional 20 min at room temperature, followed by 30 min of incubation in the presence (antagonist mode) of five different concentrations of antagonists (10−4 to 10−8 M) or absence of antagonists (agonist mode, mock solution 50 µL HBSS containing 20 mM HEPES and 2% DMSO). Followed by the application of ADP (concentration of determined EC50-value, antagonist mode) or different concentrations of potential agonists (10−4 to 10−8 M, agonist mode) and the changes of intracellular Ca2+ concentrations were monitored over 200 s using a FlexStation®® 3 Multi-Mode Microplate Reader (Molecular Devices, San Jose, CA, USA, SoftMax7 Pro, excitation: 494 nm, emission: 516 nm). The concentration-dependent increase or decrease of Ca2+-flux was plotted against the logarithmic concentrations of compounds.
4.3.3. Data Analysis
The activation or inhibition curves of three independent measurements, each done in duplicates, were fitted to Hill equation using GraphPad Prism software version 9.3.1 (GraphPad Software Inc. San Diego, CA, USA).
4.4. Synthetic Procedures
(1R,2R,3S,4S,5S)-1-{[(tert-Butyldiphenylsilyl)oxy]methyl-2,3-O-isopropylidenebicyclo [3.1.0]hexan-2,3,4-triol (4). The procedure was modified according to reference [16]. The (1S,2S,3R)-4-{[(tert-Butyldiphenylsilyl)oxy]methyl}-2,3-O-isopropylidene-4-cyclopenten-1,2,3-triol (1.01 g, 2.37 mmol) was dissolved in dry CH2Cl2 (13 mL) under a nitrogen atmosphere. The reaction was cooled down to −18 °C with an ice/salt bath. Diethylzinc (1 mol/L in hexane, 2.60 mL, 2.60 mmol, 1.1 eq.) was added dropwise, and the mixture was stirred for 15 min. Diidomethane (0.22 mL, 2.73 mmol, 1.15 eq.) in dry CH2Cl2 (1.6 mL) was also added dropwise and the reaction was stirred for another 15 min. Both steps were repeated a second time. Then diethylzinc (1 mol/L in hexane, 2.60 mL, 2.60 mmol, 1.1 eq.) was added for the third time. After stirring for 15 min at −18 °C, the reaction was allowed to warm to rt and stirred overnight. The reaction was quenched with saturated NH4Cl-solution and was extracted five times with CH2Cl2. The organic phase was dried over anh. Na2SO4 and concentrated in vacuo. The residue was purified by fc (cyclohexane:ethyl acetate = 7:1, Ø = 5 cm, l = 22 cm, V = 30 mL) to afford the product 4 as a colorless oil (Rf = 0.20, cyclohexane: ethyl acetate = 5:1), yield 0.90 g (86%). C26H34O4Si (438.64 g/mol). Purity (HPLC: method B): > 99% (tR = 18.94 min). Exact mass (APCI): m/z calculated for C23H27O2Si [M-OH, -CO(CH3)2]+ 363.1775, found 363.1777. 1H-NMR (600 MHz, CDCl3) δ (ppm) = 7.66–7.60 (m, 4H, 2, 6-CHPh), 7.46–7.34 (m, 6H, 3, 4, 5CHPh), 5.00 (dd, J = 6.9, 1.2 Hz, 1H, 2-CH), 4.54 (td, J = 6.9, 0.8 Hz, 1H, 3-CH), 4.45 (dt, J = 9.6, 6.1 Hz, 1H, 4CH), 4.12 (q, J = 7.2 Hz, 0.2H, CH2, solvent: ethyl acetate), 4.07 (d, J = 11.0 Hz, 1H, OCHH), 3.29 (d, J = 11.0 Hz, 1H, OCHH), 2.33 (d, J = 9.7 Hz, 1H, OH), 2.04 (s, 0.3H, OCH3, solvent: ethyl acetate), 1.61 (dt, J = 9.3, 4.9 Hz, 1H, 5CH), 1.54 (s, 3H, C(CH3)2), 1.31 (s, 3H, C(CH3)2), 1.26 (t, J = 7.1 Hz, 0.5H, CH2CH3, solvent: ethyl acetate), 1.09 (t, J = 5.0 Hz, 1H, 6-CHH), 1.05 (s, 9H, C(CH3)3), 0.54 (ddt, J = 8.8, 5.3, 1.1 Hz, 1H, 6-CHH). 13C-NMR (151 MHz, CDCl3) δ (ppm) = 135.7 (4C, C-2, 6Ph), 133.8, 133.7 (2C, C-1Ph), 129.9 (2C, C-4Ph), 127.8 (4C, C-3, 5Ph), 113.0 (1C, C(CH3)2), 81.3 (1C, C2), 79.9 (1C, C3), 71.2 (1C, C4), 65.4 (1C, OCH2), 35.7 (1C, C-1), 33.0 (1C, C-5), 27.0 (3C, C(CH3)3), 26.3 (1C, C(CH3)2), 24.8 (1C, C(CH3)2), 19.4 (1C, C(CH3)3), 10.5 (1C, C-6). FT-IR (neat) ṽ (cm−1) = 2932, 2859 (C-Haliphat.), 1470 (C = Caromat.), 1107, 1080, 1042 (CO), 741, 702 (CHaromat., out of plane).
7-Chloro-5-nitro-3H-imidazo[4,5-b]pyridine (7). An amount of 6-chloro-1-deazapurine (1.01 g, 6.5 mmol) and di-tert-butyl dicarbonate (3.02 g, 16.6 mmol, 2.5 eq.) were suspended in CH2Cl2 (20 mL). DMAP (0.04 g, 0.3 mmol, 0.1 eq.) was added and the mixture was stirred for 1.5 h. The reaction was quenched with silica gel and filtered through a pad of Celite®®. The mixture was concentrated in vacuo and the residue was redissolved in CH2Cl2 (20 mL). Tetrabutylammonium nitrate (3.07 g, 10.1 mmol, 1.5 eq.) was added and the mixture cooled to 0 °C with an ice bath. Trifluoroacetic anhydride (1.8 mL, 10.1 mmol, 1.5 eq.) was added dropwise and the reaction stirred for 2.5 h at rt. The solvent was evaporated, and the residue was dissolved in CH3OH (40 mL). The solution was refluxed overnight. The mixture was concentrated until the product was precipitating but was still properly suspended. After cooling the suspension in the fridge for 1 h, the solid was filtered off, washed with ice cold CH3OH, and dried in vacuo to afford the product 77 as a beige solid (Rf = 0.43, CH2Cl2: CH3OH = 9:1), yield 1.02 g (78%). C6H3ClN4O2 (198.57 g/mol). Melting point: 295.9 °C. Purity (HPLC: method B): > 99% (tR = 5.67 min). Exact mass (APCI): m/z calculated for C6H4ClN4O2 [M + H]+ 199.0007, found 199.0017. 1H-NMR (600 MHz, DMSO-d6) δ (ppm) = 8.90 (s, 1H, 2-CH), 8.36 (s, 1H, 6-CH). 13C-NMR (151 MHz, DMSO-d6) δ (ppm) = 151.5 (1C, C-5), 149.6 (1C, C-2), 112.8 (1C, C-6); C-3a, C-7 and C-7a were not visible. FT-IR (neat) ṽ (cm−1) = 3098, 3013 (v C-Haromat.), 2743, 2677, 2612, 2554 (N-H), 1543, 1501 (C = Caromat.), 833, 880 (C-Haromat., out of plane).
(1R,2R,3S,4R,5S)-4-(5-Amino-7-chloro-3H-imidazo[4,5-b]pyridin-3-yl)-1-{[(tert-butyldiphenylsilyl)oxy]methyl}-2,3-O-isopropylidenebicyclo[3.1.0]hexane-2,3-diol (10). The deazapurine 7 (0.29g, 1.48 mmol, 1.3 eq.) and triphenylphospane (0.61 g, 2.31 mmol, 2.1 eq.) were dissolved in THF (10 mL) under nitrogen atmosphere. DIAD (0.42 mL, 2.14 mmol, 1.9 eq.) was added dropwise at 0 °C. The mixture was stirred for 15 min at rt. A solution of the alcohol 4 (0.49 g, 1.11 mmol) in THF (13 mL) was added and the mixture was stirred at 70 °C for 1 h in the microwave at a power of 200 W. DIAD (0.42 mL, 2.14 mmol, 1.9 eq.) was added and the mixture was stirred again at 70 °C for 1 h in the microwave at a power of 200 W. DIAD (0.42 mL, 2.14 mmol, 1.9 eq.) was added and the mixture was stirred at 70 °C for 1 h in the microwave at a power of 200 W for the third time. The solvent was evaporated and the residue was purified by fc (cyclohexane: ethyl acetate = 5:1, Ø = 5 cm, l = 20 cm, V = 30 mL), but the intermediate was still heavily contaminated with DIAD and was directly dissolved in CH3OH (40 mL). Na2S2O4 (1.51 g, 8.64 mmol, 7.8 eq.) and 10 mL H2O were added. The mixture was stirred for 3d at rt. The solvent was evaporated and the residue was purified by fc (cyclohexane: ethyl acetate = 5:1 ⭢ 4:1 ⭢ 2:1, Ø = 5 cm, l = 20 cm, V = 30 mL) to afford the product 10 as colorless solid (Rf = 0.42, cyclohexane: ethyl acetate = 1:1), yield 0.138 g (21%). C32H37ClN4O3Si (589.21 g/mol). Melting point: 88.9 °C. Purity (HPLC: method B): > 99% (tR = 21.36 min).
Exact mass (LC-MS-ESI): m/z calculated for C32H38ClN4O3Si [M + H]+ 589.2396, found 589.2401. 1H-NMR (600 MHz, DMSO-d6) δ (ppm) = 8.15 (s, 1H, 2-CHimidazopyridine), 7.63–7.58 (m, 4H, 2, 6CHPh), 7.47–7.43 (m, 2H, 4-CHPh), 7.41–7.37 (m, 4H, 3, 5-CHPh), 6.52 (s, 1H, 6-CHimidazopyridine), 6.26 (s, 2H, NH2), 5.33 (dd, J = 7.1, 1.3 Hz, 1H, 2-CH), 4.89 (s, 1H, 4-CH), 4.65 (dd, J = 7.1, 1.5 Hz, 1H, 3-CH), 4.10 (d, J = 10.8 Hz, 1H, OCHH), 3.64 (d, J = 10.8 Hz, 1H, OCHH), 1.66 (ddd, J = 9.2, 4.4, 1.5 Hz, 1H, 5CH), 1.44 (s, 3H, C(CH3)2), 1.19 (s, 3H, C(CH3)2), 1.02 (s, 9H, C(CH3)3), 0.97 (t, J = 4.7 Hz, 1H, 6CHH), 0.88 (ddd, J = 9.1, 5.0, 1.5 Hz, 1H, 6-CHH); the 1HNMR spectrum displayed small impurities in the range of about 5%. 13C-NMR (151 MHz, DMSO-d6) δ (ppm) = 157.4 (1C, C-5imidazopyridine), 145.9 (1C, C3aimidazopyridine), 138.3 (1C, C-2imidazopyridine), 135.1 (4C, C-2, 6Ph), 134.1 (1C, C7imidazopyridine), 132.7 (2C, C-1Ph), 129.9 (2C, C4Ph), 127.9 (4C, C3, 5Ph), 124.5 (1C, C7aimidazopyridine), 111.2 (1C, C(CH3)2), 104.1 (1C, C6imidazopyridine), 88.0 (1C, C3), 80.7 (1C, C2), 64.7 (1C, OCH2), 57.8 (1C, C-4), 38.1 (1C, C1), 29.9 (1C, C-5), 26.7 (3C, C(CH3)3), 25.9 (1C, C(CH3)2), 24.3 (1C, C(CH3)2), 18.8 (1C, C(CH3)3), 11.9 (1C, C-6); the 13C-NMR spectrum displayed small impurities in the range of about 5%. FT-IR (neat) ṽ (cm−1) = 3333 (N-H), 2932 (C-Haliphat.), 1601, 1570 (C = Caromat.), 1107, 1061, 1038 (C-O), 741, 702 (CHaromat., out of plane).
(1R,2R,3S,4R,5S)-4-(5-Amino-7-chloro-3H-imidazo[4,5-b]pyridin-3-yl)-1-(hydroxymethyl)bicyclo[3.1.0]hexane-2,3-diol (11). Compound 10 (0.068 g, 0.12 mmol) was dissolved in CH3OH (1.6 mL), trifluoroacetic acid (0.20 mL) and H2O (0.20 mL) were added. The mixture was heated to 70 °C for 1 d. The solvent was evaporated and the residue was purified by semi-preparative HPLC (method B) to afford the alcohol 11 as a colorless solid (Rf = 0.2, CH2Cl2: CH3OH = 9:1), yield 0.012 g (34%). C13H15ClN4O3 (310.74 g/mol). Purity (HPLC: method D): 99% (tR = 6.97 min). Exact mass (LC-MS-ESI): m/z calculated for C13H16ClN4O3 [M + H]+ 311.0905, found 311.0908. 1H-NMR (600 MHz, DMSO-d6) δ (ppm) = 8.32 (s, 1H, 2-CHimidazopyridine), 6.49 (s, 1H, 6-CHimidazopyridine), 6.23 (s, 2H, NH2), 5.02 (s, 2H, CH2OH, 3-OH), 4.71 (s, 1H, 4-CH), 4.57 (d, J = 6.3 Hz, 2H, 2-CH, 2-OH), 4.08 (d, J = 11.3 Hz, 1H, OCHH), 3.64 (d, J = 6.3 Hz, 1H, 3-CH), 3.12 (d, J = 11.3 Hz, 1H, OCHH), 1.41 (ddd, J = 8.7, 3.9, 1.4 Hz, 1H, 5-CH), 1.32 (t, J = 4.3 Hz, 1H, 6-CHH), 0.78 (ddd, J = 8.6, 4.7, 1.3 Hz, 1H, 6-CHH). 13C-NMR (151 MHz, DMSO-d6) δ (ppm) = 157.2 (1C, C-5imidazopyridine), 146.1 (1C, C-3aimidazopyridine), 138.5 (1C, C-2imidazopyridine), 133.9 (1C, C-7imidazopyridine), 124.4 (1C, C-7aimidazopyridine), 104.0 (1C, C-6imidazopyridine), 76.1 (1C, C-3), 70.2 (1C, C-2), 62.2 (1C, OCH2), 60.2 (1C, C-4), 36.3 (1C, C-1), 23.4 (1C, C-5), 11.1 (1C, C-6). FT-IR (neat) ṽ (cm−1) = 3321, 3206 (O-H), 2920 (C-Haliphat.), 1601, 1574 (C = Caromat.), 1061, 1003 (C-O).
(1R,2R,3S,4R,5S)-1-{[(tert-Butyldiphenylsilyl)oxy]methyl}-4-(5,7-dichloro-3H-imidazo[4,5-b]pyridin-3-yl)-2,3-O-isopropylidenebicyclo[3.1.0]hexane-2,3-diol (9). An amount of 2,6-dichloro-1-deazapurine (6, 0.16 g, 0.86 mmol, 1.2 eq.) and triphenylphospane (0.36 g, 1.37 mmol, 1.9 eq.) were dissolved in THF (7 mL) under nitrogen atmosphere. DIAD (0.27 mL, 1.38 mmol, 1.9 eq.) was added dropwise at 0 °C. The mixture was stirred for 30 min at rt. A solution of the alcohol 4 (0.32 g, 0.73 mmol) in THF (7 mL) was added and the mixture was stirred at 70 °C for 1 h in the microwave at a power of 200 W. DIAD (0.27 mL, 1.38 mmol, 1.9 eq.) was added and the mixture was stirred at 70 °C for 1 h in the microwave at a power of 200 W again. DIAD (0.27 mL, 1.38 mmol, 1.9 eq.) was added and the mixture was stirred at 70 °C for 1 h in the microwave at a power of 200 W for the third time. The solvent was evaporated and the residue was purified by fc (cyclohexane: ethyl acetate = 7:1, Ø = 5 cm, l = 20 cm, V = 30 mL) to afford the product 87 as a colorless solid (Rf = 0.26, cyclohexane: ethyl acetate = 5:1), yield 0.40 g (89%). C32H35Cl2N3O3Si (608.64 g/mol). Melting point: 75.7 °C. Purity (HPLC: method C): 98% (tR = 17.28 min). Exact mass (LC-MS-ESI): m/z calculated for C32H36Cl2N3O3Si [M + H]+ 608.1898, found 608.1899. 1H-NMR (600 MHz, DMSO-d6) δ (ppm) = 8.67 (s, 1H, 2-CHimidazopyridine), 8.16 (s, 1H, 6CHimidazopyridine), 7.59 (ddt, J = 10.6, 6.8, 1.4 Hz, 4H, 2, 6CHPh), 7.46–7.40 (m, 2H, 4CHPh), 7.40–7.37 (m, 2H, 3, 5-CHPh), 7.36–7.32 (m, 2H, 3, 5-CHPh), 5.23 (dd, J = 7.1, 1.3 Hz, 1H, 2CH), 5.04 (s, 1H, 4CH), 4.77 (dd, J = 7.1, 1.6 Hz, 1H, 3-CH), 4.02 (d, J = 10.6 Hz, 1H, OCHH), 3.90 (d, J = 10.6 Hz, 1H, OCHH), 1.72 (ddd, J = 9.2, 4.5, 1.6 Hz, 1H, 5CH), 1.46 (s, 3H, C(CH3)2), 1.18 (s, 3H, C(CH3)2), 1.01 (s, 10H, 6-CHH, C(CH3)3), 0.96 (ddd, J = 9.2, 5.1, 1.5 Hz, 1H, 6-CHH). 13C-NMR (151 MHz, DMSO-d6) δ (ppm) = 145.7 (1C, C-3aimidazopyridine), 144.9 (1C, C2imidazopyridine), 144.2 (1C, C-5imidazopyridine), 135.2 (1C, C-7imidazopyridine), 135.1 (4C, C2, 6Ph), 132.8 (2C, C-1Ph), 132.2 (1C, C7aimidazopyridine), 129.8 (2C, C4Ph), 127.8 (2C, C3, 5Ph), 127.8 (2C, C3, 5Ph), 118.1 (1C, C6imidazopyridine), 111.4 (1C, C(CH3)2), 87.9 (1C, C3), 81.6 (1C, C2), 64.5 (1C, OCH2), 59.3 (1C, C-4), 38.3 (1C, C1), 29.4 (1C, C-5), 26.7 (3C, C(CH3)3), 25.9 (1C, C(CH3)2), 24.2 (1C, C(CH3)2), 18.8 (1C, C(CH3)3), 12.0 (1C, C-6). FT-IR (neat) ṽ (cm−1) = 2978, 2932 (C-Haliphat.), 1589, 1562 (C = Caromat.), 1065, 1042 (CO), 741, 702 (CHaromat., out of plane).
(1R,2R,3S,4R,5S)-4-(5,7-Dichloro-3H-imidazo[4,5-b]pyridin-3-yl)-1-(hydroxymethyl)bicyclo[3.1.0]hexane-2,3-diol (12). Compound 9 (0.036 g, 0.06 mmol) was dissolved in CH3OH (1.1 mL), trifluoroacetic acid (0.14 mL) and H2O (0.14 mL) were added. The mixture was heated to 70 °C for 2 d. The solvent was evaporated and the residue was purified by fc (CH3CN: H2O = 5:95 ⭢ 100:0, 12 mL/min, Biotage®® SNAP Ultra C18, 12 g, V = 20 mL) to afford the alcohol 12 as a colorless solid (Rf = 0.34, CH2Cl2: CH3OH = 9:1), yield 0.016 g (84%). C13H13Cl2N3O3 (330.17 g/mol). Purity (HPLC: method B): 98% (tR = 5.95 min). Exact mass (APCI): m/z calculated for C13H14Cl2N3O3 [M + H]+ 330.0407, found 330.0406. 1H-NMR (600 MHz, CD3OD) δ (ppm) = 8.93 (s, 1H, 2-CHimidazopyridine), 7.47 (s, 1H, 6-CHimidazopyridin), 5.00 (s, 1H, 4-CH), 4.78 (dd, J = 6.6, 1.7 Hz, 1H, 2-CH), 4.28 (dd, J = 11.5, 0.9 Hz, 1H, OCHH), 3.91 (dt, J = 6.6, 1.3 Hz, 1H, 3-CH), 3.36 (d, J = 11.5 Hz, 1H, OCHH), 1.65 (ddd, J = 8.7, 3.9, 1.5 Hz, 1H, 5-CH), 1.58 (dd, J = 5.2, 3.9 Hz, 1H, 6-CHH), 0.78 (ddd, J = 8.7, 5.2, 1.8 Hz, 1H, 6-CHH). 13C-NMR (151 MHz, CD3OD) δ (ppm) = 147.2 (1C, C-3aimidazopyridine), 147.0 (1C, C-5imidazopyridine), 145.6 (1C, C-2imidazopyridine), 137.1 (1C, C-7imidazopyridine), 133.1 (1C, C-7aimidazopyridine), 119.9 (1C, C-6imidazopyridine), 77.5 (1C, C-3), 72.3 (1C, C-2), 64.3 (1C, OCH2), 63.6 (1C, C-4), 37.9 (1C, C-1), 24.5 (1C, C-5), 12.2 (1C, C-6). FT-IR (neat) ṽ (cm−1) = 3244 (O-H), 2978 (C-Haliphat.), 1593, 1562 (C = Caromat.), 1064, 1006 (C-O).
(1R,2R,3S,4R,5S)-4-[7-(Benzylamino)-5-chloro-3H-imidazo[4,5-b]pyridin-3-yl]-1-(hydroxymethyl)bicyclo[3.1.0]hexane-2,3-diol (13). Compound 9 (0.26 g, 0.43 mmol) was dissolved in N-methyl-2-pyrrolidone (NMP, 5.5 mL). Benzylamine (0.78 mL, 7.14 mmol, 17 eq.) and N,N-diisopropylethylamine (DIPEA, 0.52 mL, 3.06 mmol, 7 eq.) were added. The mixture was stirred at 200 °C for 1 h in the microwave at a power of 200 W. The solution was directly purified by fc (CH3CN: H2O = 30:70 ⭢ 100:0, 50 mL/min, Biotage®® SNAP C18, 120 g, V = 20 mL) to afford the protected product as a colorless solid (Rf = 0.44, cyclohexane: ethyl acetate = 1:1), yield 0.25 g (86%). C39H43ClN4O3Si (679.33 g/mol). Melting point: 81.4 °C. Purity (HPLC: method C): 97% (tR = 17.58 min). Exact mass (LC-MS-ESI): m/z calculated for C39H44ClN4O3Si [M + H]+ 678.2866, found 679.2898.1H-NMR (400 MHz, DMSO-d6) δ (ppm) = 8.25 (s, 1H, 2-CHimidazopyridine), 7.92 (t, J = 6.5 Hz, 1H, NH), 7.64–7.57 (m, 4H, 2, 6-CHPh), 7.47–7.28 (m, 10H, 3, 4, 5-CHPh, 2, 3, 5, 6-CHbenzyl), 7.26–7.19 (m, 1H, 4-CHbenzyl), 6.29 (s, 1H, 6-CHimidazopyridine), 5.26 (dd, J = 7.1, 1.4 Hz, 1H, 2-CH), 4.92 (s, 1H, 4-CH), 4.65 (dd, J = 7.2, 1.5 Hz, 1H, 3-CH), 4.62 (s, 2H, CH2 benzyl), 4.05 (d, J = 10.7 Hz, 1H, OCHH), 3.76 (d, J = 10.7 Hz, 1H, OCHH), 1.65 (ddd, J = 9.3, 4.4, 1.5 Hz, 1H, 5-CH), 1.44 (s, 3H, C(CH3)2), 1.18 (s, 3H, C(CH3)2), 1.01 (s, 10H, 6-CHH, C(CH3)3), 0.90 (ddd, J = 9.2, 5.1, 1.4 Hz, 1H, 6-CHH). 13C-NMR (101 MHz, DMSO-d6) δ (ppm) = 147.8 (1C, C-7imidazopyridine), 146.0 (1C, C-5imidazopyridine), 144.8 (1C, C-3aimidazopyridine), 139.2 (1C, C-1benzyl), 138.7 (1C, C-2imidazopyridine), 135.0 (4C, C-2, 6Ph), 132.8 (2C, C-1Ph), 129.8 (2C, C-4Ph), 128.4 (2C, C-3, 5benzyl), 127.8 (4C, C-3, 5Ph), 126.9 (2C, C-2, 6benzyl), 126.8 (1C, C-4benzyl), 122.2 (1C, C-7aimidazopyridine), 111.3 (1C, C(CH3)2), 98.0 (1C, C-6imidazopyridine), 88.2 (1C, C-3), 81.2 (1C, C-2), 64.7 (1C, OCH2), 58.2 (1C, C-4), 45.3 (1C, CH2 benzyl), 38.2 (1C, C-1), 29.8 (1C, C-5), 26.7 (3C, C(CH3)3), 25.9 (1C, C(CH3)2), 24.2 (1C, C(CH3)2), 18.8 (1C, C(CH3)3), 12.0 (1C, C-6). FT-IR (neat) ṽ (cm−1) = 2978, 2932 (C-Haliphat.), 1608, 1582 (C = Caromat.), 1111, 1069, 1038 (C-O), 737, 698 (C-Haromat., out of plane).
Next, the compound (0.080 g, 0.12 mmol) was dissolved in CH3OH (2.5 mL), trifluoroacetic acid (0.32 mL) and H2O (0.32 mL) were added. The mixture was heated to 70 °C for 2 d. The solvent was evaporated and the residue was purified by fc (CH3CN: H2O = 5:95 ⭢ 100:0, 12 mL/min, Biotage®® SNAP Ultra C18, 12 g, V = 20 mL) to afford the alcohol 13 as a colorless solid (Rf = 0.20, CH2Cl2: CH3OH = 95:5), yield 0.034 g (72%). C20H21ClN4O3 (400.86 g/mol). Purity (HPLC: method B): 99% (tR = 9.53 min). Exact mass (LC-MS-ESI): m/z calculated for C20H22ClN4O3 [M + H]+ 401.1375, found 401.1367. 1H-NMR (600 MHz, CD3OD) δ (ppm) = 8.47 (s, 1H, 2-CHimidazopyridine), 7.39–7.35 (m, 2H, 2, 6-CHbenzyl), 7.32 (dd, J = 8.5, 6.8 Hz, 2H, 3, 5-CHbenzyl), 7.28–7.23 (m, 1H, 4-CHbenzyl), 6.36 (s, 1H, 6-CHimidazopyridine), 5.48 (s, 0.2H, CH2Cl2, solvent: dichloromethane), 4.83 (s, 1H, 4-CH), 4.76 (dd, J = 6.7, 1.7 Hz, 1H, 2-CH), 4.57 (s, 2H, CH2 benzyl), 4.27 (dd, J = 11.6, 0.9 Hz, 1H, OCHH), 3.84 (dt, J = 6.7, 1.2 Hz, 1H, 3-CH), 3.32 (d, J = 11.5 Hz, 1H, OCHH), 1.62 (ddd, J = 8.8, 3.9, 1.5 Hz, 1H, 5-CH), 1.55 (dd, J = 5.2, 3.9 Hz, 1H, 6-CHH), 0.74 (ddd, J = 8.7, 5.2, 1.8 Hz, 1H, 6-CHH). 13C-NMR (151 MHz, CD3OD) δ (ppm) = 149.2 (1C, C-7imidazopyridine), 148.6 (1C, C-5imidazopyridine), 146.1 (1C, C-3aimidazopyridine), 140.3 (1C, C-2imidazopyridine), 139.4 (1C, C-1benzyl), 129.7 (2C, C-3, 5benzyl), 128.4 (2C, C-2, 6benzyl), 128.3 (1C, C-4benzyl), 123.4 (1C, C-7aimidazopyridine), 99.7 (1C, C-6imidazopyridine), 77.6 (1C, C-3), 72.3 (1C, C-2), 64.4 (1C, OCH2), 63.3 (1C, C-4), 47.5 (1C, CH2 benzyl), 38.0 (1C, C-1), 24.4 (1C, C-5), 12.2 (1C, C-6). FT-IR (neat) ṽ (cm−1) = 3325 (O-H), 2978 (C-Haliphat.), 1608, 1578 (C = Caromat.), 1119, 1072 (C-O), 733, 694 (C-Haromat., out of plane).
(1R,2R,3S,4R,5S)-4-[7-(Benzylamino)-5-methylthio-3H-imidazo[4,5-b]pyridin-3-yl]-1-(hydroxymethyl)bicyclo[3.1.0]hexane-2,3-diol (14). Compound 13 (0.10 g, 0.15 mmol) was dissolved in DMF (5.5 mL). NaSCH3 (0.21 g, 3.04 mmol, 20 eq.) was added. The mixture was stirred at 90 °C for 2 h in the microwave at a power of 200 W. The solvent was evaporated and the residue was purified by fc (CH3CN: H2O = 5:95 ⭢ 100:0, 12 mL/min, Biotage®® SNAP Ultra C18, 12 g, V = 20 mL). The purified intermediate was dissolved in CH3OH (1 mL), trifluoroacetic acid (0.12 mL) and H2O (0.12 mL) were added. The mixture was heated to 70 °C for 4 h. The solvent was evaporated and the residue was purified by fc (CH3CN: H2O = 5:95 ⭢ 100:0, 12 mL/min, Biotage®® SNAP Ultra C18, 12 g, V = 20 mL) to afford the product 93 as a colorless solid alongside an impurity due to the incomplete conversion during formation of the methylthio ether. The mixture was dissolved in DMF (0.5 mL) and NaSCH3 (0.041 g, 0.58 mmol, 4 eq.) was added. The mixture was stirred at 90 °C for 1 h in the microwave at a power of 200 W. The solvent was evaporated and the residue was purified by fc (CH3CN: H2O = 5:95 ⭢ 100:0, 12 mL/min, Biotage®® SNAP Ultra C18, 12 g, V = 20 mL) to afford the product 93 as a beige solid with a small contamination with starting material (Rf = 0.29, CH2Cl2: CH3OH = 9:1), yield 0.010 g (16%). C21H24N4O3S (412.51 g/mol). Purity (HPLC: method B): 93% (tR = 9.78 min). Exact mass (LC-MS-ESI): m/z calculated for C21H25N4O3S [M + H]+ 413.1642, found 413.1643. 1H-NMR (400 MHz, DMSO-d6) δ (ppm) = 8.28 (s, 1H, 2-CHimidazopyridine), 7.41 (t, J = 6.4 Hz, 1H, NH), 7.38–7.27 (m, 4H, 2, 3, 5, 6-CHbenzyl), 7.25–7.19 (m, 1H, 4CHbenzyl), 6.12 (s, 1H, 6CHimidazopyridine), 5.10 (s, 1H, 3-OH), 4.98 (s, 1H, CH2OH), 4.79 (s, 1H, 4-CH), 4.58 (s, 3H, 2CH, CH2 benzyl), 4.46 (s, 1H, 2-OH), 4.06 (d, J = 11.3 Hz, 1H, OCHH), 4.03 (q, J = 7.1 Hz, 0.3H, CH2, solvent: ethyl acetate), 3.68 (d, J = 6.5 Hz, 1H, 3-CH), 3.15 (d, J = 11.4 Hz, 1H, OCHH), 2.45 (s, 3H, SCH3), 2.08 (s, 0.1H, CH3CN, solvent: acetonitrile), 1.99 (s, 0.3H, OCH3, solvent: ethyl acetate), 1.43 (ddd, J = 8.7, 4.6, 1.4 Hz, 1H, 5-CH), 1.33 (t, J = 4.3 Hz, 1H, 6CHH), 1.17 (t, J = 7.1 Hz, 0.1H, CH2CH3, solvent: ethyl acetate), 0.59 (ddd, J = 8.6, 4.7, 1.6 Hz, 1H, 6-CHH); the 1HNMR spectrum displayed small impurities in the range of about 5% assigned to compound 13. 13C-NMR (101 MHz, DMSO-d6) δ (ppm) = 153.9 (1C, C-5imidazopyridine), 146.1 (1C, C7imidazopyridine), 146.0 (1C, C-3aimidazopyridine), 139.7 (1C, C-1benzyl), 137.2 (1C, C2imidazopyridine), 128.3 (2C, C-3, 5benzyl), 127.0 (2C, C-2, 6benzyl), 126.7 (1C, C4benzyl), 120.9 (1C, C7aimidazopyridine), 95.9 (1C, C6imidazopyridine), 76.2 (1C, C3), 70.3 (1C, C2), 62.3 (1C, OCH2), 60.2 (1C, C-4), 45.4 (1C, CH2 benzyl), 36.4 (1C, C-1), 23.3 (1C, C-5), 13.1 (1C, SCH3), 11.1 (1C, C-6); the 13C-NMR spectrum displayed small impurities in the range of about 5% assigned to compound 13. FT-IR (neat) ṽ (cm−1) = 3302 (O-H), 2978 (C-Haliphat.), 1605, 1582 (C = Caromat.), 1115, 1072, 1006 (C-O), 737, 698 (CHaromat., out of plane).
(1R,2R,3S,4R,5S)-4-{5-Chloro-7-[(4-methoxy)benzylamino]-3H-imidazo[4,5-b]pyridin-3-yl}-1-(hydroxymethyl)bicyclo[3.1.0]hexane-2,3-diol (15). Compound 9 (0.41 g, 0.68 mmol) was dissolved in NMP (8 mL). 4-methoxybenzylamine (1.3 mL, 9.95 mmol, 15 eq.) and DIPEA (0.56 mL, 3.29 mmol, 4.5 eq.) were added. The mixture was stirred at 200 °C for 5 min in the microwave at a power of 200 W and was directly purified by fc (CH3CN: H2O = 5:95 ⭢ 100:0, 50 mL/min, Biotage®® SNAP C18, 120 g, V = 20 mL) to afford the acetonide-protected product (1R,2R,3S,4R,5S)-4-(7-Amino-5-chloro-3H-imidazo[4,5-b]pyridin-3-yl)-1-{[(tert-butyldiphenylsilyl)oxy]methyl}-2,3-O-isopropylidenebicyclo[3.1.0]hexane-2,3-diol as a colorless solid (Rf = 0.35, cyclohexane: ethyl acetate = 1:1), yield 0.39 g (80%). C40H45ClN4O4Si (708.29 g/mol). Melting point: 82.3 °C. Purity (HPLC: method C): 96% (tR = 17.51 min). Exact mass (LC-MS-ESI): m/z calculated for C40H46ClN4O4Si [M + H]+ 709.2971, found 709.2958. 1H-NMR (400 MHz, DMSO-d6) δ (ppm) = 8.24 (s, 1H, 2-CHimidazopyridine), 7.85 (t, J = 5.2 Hz, 1H, NH), 7.637.56 (m, 4H, 2, 6-CHPh), 7.46–7.32 (m, 6H, 3, 4, 5-CHPh), 7.32–7.27 (m, 2H, 2, 6CHbenzyl), 6.91–6.86 (m, 2H, 3, 5-CHbenzyl), 6.29 (s, 1H, 6CHimidazopyridine), 5.25 (dd, J = 7.3, 1.2 Hz, 1H, 2CH), 4.91 (s, 1H, 4CH), 4.65 (dd, J = 7.1, 1.5 Hz, 1H, 3-CH), 4.53 (s, 2H, CH2 benzyl), 4.04 (d, J = 10.7 Hz, 1.2H, OCHH, CH2, solvent: ethyl acetate), 3.76 (d, J = 10.7 Hz, 1H, OCHH), 3.71 (s, 3H, OCH3), 2.07 (s, 0.1H, CH3CN, solvent: acetonitrile), 1.99 (s, 0.2H, OCH3, solvent: ethyl acetate), 1.65 (ddd, J = 9.3, 4.5, 1.5 Hz, 1H, 5CH), 1.45 (s, 3H, C(CH3)2), 1.18 (s, 3.2H, C(CH3)2, CH2CH3, solvent: ethyl acetate), 1.02 (s, 9H, C(CH3)3), 0.98 (t, J = 4.8 Hz, 1H, 6-CHH), 0.90 (ddd, J = 9.2, 5.2, 1.4 Hz, 1H, 6-CHH); the 1HNMR spectrum displayed small impurities in the range of about 5%.13C-NMR (101 MHz, DMSO-d6) δ (ppm) = 158.2 (1C, C4benzyl), 147.8 (1C, C7imidazopyridine), 146.0 (1C, C5imidazopyridine), 144.7 * (1C, C-3aimidazopyridine), 138.6 (1C, C2imidazopyridine), 135.0 (4C, C-2, 6Ph), 132.8 (2C, C-1Ph), 131.0 * (1C, C-1benzyl), 129.8 (2C, C4Ph), 128.3 (2C, C2, 6benzyl), 127.8 (4C, C3, 5Ph), 122.2 (1C, C7aimidazopyridine), 113.8 (2C, C3imidazopyridine, 5benzyl), 111.3 (1C, C(CH3)2), 98.0 * (1C, C6imidazopyridine), 88.2 (1C, C3), 81.2 (1C, C2), 64.8 (1C, OCH2, 58.2 (1C, C-4), 55.0 (1C, OCH3), 44.7 (1C, CH2 benzyl), 38.2 (1C, C-1), 29.8 (1C, C-5), 26.7 (3C, C(CH3)3), 25.9 (1C, C(CH3)2), 24.3 (1C, C(CH3)2), 18.8 (1C, C(CH3)3), 12.0 (1C, C-6); *: C-3aimidazopyridine, C-6imidazopyridine and C-1benzyl could only be seen in 2D NMR spectra. FT-IR (neat) ṽ (cm−1) = 3071 (v C-Haromat.), 2932 (C-Haliphat.), 1609, 1582 (C = Caromat.), 1111, 1065, 1038 (C-O), 741, 702 (CHaromat., out of plane).
Next, the acetonide-protected compound (0.050 g, 0.07 mmol) was dissolved in CH3OH (1.6 mL), trifluoroacetic acid (0.20 mL) and H2O (0.20 mL) were added. The mixture was heated to 70 °C for 1 d. The solvent was evaporated and the residue was purified by fc (CH3CN: H2O = 5:95 ⭢ 100:0, 12 mL/min, Biotage®® SNAP Ultra C18, 12 g, V = 20 mL) to afford the alcohol 95 as a colorless solid (Rf = 0.19, CH2Cl2: CH3OH = 95:5), yield 0.027 g (89%). C21H23ClN4O4 (430.89 g/mol). Purity (HPLC: method B): 98% (tR = 9.67 min). Exact mass (LC-MS-ESI): m/z calculated for C21H24ClN4O4 [M + H]+ 431.1481, found 431.1486.1H-NMR (400 MHz, DMSO-d6 δ (ppm) = 8.44 (s, 1H, 2-CHimidazopyridine), 7.73 (t, J = 6.8 Hz, 1H, NH), 7.31–7.25 (m, 2H, 2, 6-CHbenzyl), 6.94–6.83 (m, 2H, 3, 5-CHbenzyl), 6.30 (s, 1H, 6-CHimidazopyridine), 5.75 (s, 0.4H, CH2Cl2, solvent: dichloromethane), 4.72 (s, 1H, 4-CH), 4.58 (dd, J = 6.5, 1.5 Hz, 3H, 2-CH, CH2 benzyl), 4.09 (d, J = 11.4 Hz, 1H, OCHH), 3.71 (s, 3H, OCH3), 3.66 (dt, J = 6.4, 1.2 Hz, 1H, 3-CH), 3.15 (d, J = 11.4 Hz, 1H, OCHH), 1.44 (ddd, J = 8.8, 3.9, 1.4 Hz, 1H, 5-CH), 1.34 (t, J = 4.3 Hz, 1H, 6-CHH), 0.60 (ddd, J = 8.6, 4.7, 1.5 Hz, 1H, 6-CHH). 13C-NMR (101 MHz, DMSO-d6) δ (ppm) = 158.2 (1C, C-4benzyl), 147.7 (1C, C-7imidazopyridine), 145.9 (1C, C-5imidazopyridine), 145.0 (1C, C-3aimidazopyridine), 138.5 (1C, C-2imidazopyridine), 131.0 (1C, C-1benzyl), 128.3 (2C, C-2, 6benzyl), 121.8 (1C, C-7aimidazopyridine), 113.8 (2C, C-3, 5benzyl), 98.0 (1C, C-6imidazopyridine), 76.0 (1C, C-3), 70.3 (1C, C-2), 62.2 (1C, OCH2), 60.5 (1C, C-4), 55.0 (1C, OCH3), 54.9 (0.2C, CH2Cl2, solvent: dichloromethane), 44.9 (1C, CH2 benzyl), 36.4 (1C, C-1), 23.2 (1C, C-5), 11.0 (1C, C-6). FT-IR (neat) ṽ (cm−1) = 3318 (O-H), 2920 (C-Haliphat.), 1609 (C = Caromat.), 1119, 1080, 1030 (C-O), 737 (C-Haromat., out of plane).
(1R,2R,3S,4R,5S)-4-(7-Amino-5-chloro-3H-imidazo[4,5-b]pyridin-3-yl)-1-(hydroxymethyl)bicyclo[3.1.0]hexane-2,3-diol (16). The acetonide-protected intermediate (1R,2R,3S,4R,5S)-4-(7-amino-5-chloro-3H-imidazo[4,5-b]pyridin-3-yl)-1-{[(tert-butyldiphenylsilyl)oxy]methyl}-2,3-O-isopropylidenebicyclo[3.1.0]hexane-2,3-diol (0.26 g, 0.43 mmol) was dissolved in CH2Cl2 (2.7 mL). H2O (0.3 mL) and 2,3-dichloro-5,6-dicyano-1,4-benzoquinone (DDQ, 0.038 g, 0.17 mmol, 1.5 eq.) were added. The mixture was stirred at rt overnight. H2O was added and the mixture was extracted three times with CH2Cl2. The solvent was evaporated and the residue was purified by fc (CH3CN: H2O = 5:95 ⭢ 100:0, 12 mL/min, Biotage®® SNAP C18, 12 g, V = 20 mL) to afford the amine as a beige solid (Rf = 0.19, cyclohexane: ethyl acetate = 1:1), yield 0.049 g (74%). C32H37ClN4O3Si (588.23 g/mol). Melting point: 101.0 °C. Purity (HPLC: method B): 98% (tR = 22.35 min). Exact mass (LC-MS-ESI): m/z calculated for C32H38ClN4O3Si [M + H]+ 589.2396, found 589.2395. 1H-NMR (600 MHz, DMSO-d6) δ (ppm) = 8.21 (s, 1H, 2-CHimidazopyridine), 7.63–7.58 (m, 4H, 2, 6CHPh), 7.47–7.42 (m, 2H, 4-CHPh), 7.41–7.37 (m, 4H, 3, 5-CHPh), 6.80 (s, 2H, NH2), 6.38 (s, 1H, 6-CHimidazopyridine), 5.75 (s, 0.1H, CH2Cl2, solvent: dichloromethane), 5.27 (dd, J = 7.0, 1.3 Hz, 1H, 2-CH), 4.90 (s, 1H, 4CH), 4.64 (dd, J = 7.2, 1.5 Hz, 1H, 3-CH), 4.04 (d, J = 10.7 Hz, 1H, OCHH), 3.74 (d, J = 10.7 Hz, 1H, OCHH), 1.65 (ddd, J = 9.3, 4.4, 1.5 Hz, 1H, 5CH), 1.45 (s, 3H, C(CH3)2), 1.19 (s, 3H, C(CH3)2), 1.02 (s, 9H, C(CH3)3), 0.98 (t, J = 4.8 Hz, 1H, 6-CHH), 0.89 (ddd, J = 9.2, 5.1, 1.5 Hz, 1H, 6CHH). 13C-NMR (151 MHz, DMSO-d6) δ (ppm) = 148.9 (1C, C-7imidazopyridine), 145.7 (1C, C5imidazopyridine), 145.3 (1C, C-3aimidazopyridine), 138.7 (1C, C-2imidazopyridine), 135.1 (4C, C2, 6Ph), 132.8 (2C, C-1Ph), 129.9 (2C, C4Ph), 127.9 (4C, C3, 5Ph), 122.1 (1C, C7aimidazopyridine), 111.3 (1C, C(CH3)2), 100.5 (1C, C6imidazopyridine), 88.3 (1C, C3), 81.2 (1C, C2), 64.9 (1C, OCH2), 58.1 (1C, C-4), 38.3 (1C, C-1), 29.9 (1C, C-5), 26.8 (3C, C(CH3)3), 25.9 (1C, C(CH3)2), 24.3 (1C, C(CH3)2), 18.9 (1C, C(CH3)3), 12.1 (1C, C-6). FT-IR (neat) ṽ (cm−1) = 3360 (N-H), 2978, 2932 (C-Haliphat.), 1624, 1601 (C = Caromat.), 1111, 1065, 1038 (C-O), 741, 702 (CHaromat., out of plane).
Next the acetonide-protected intermediate (0.051 g, 0.09 mmol) was dissolved in CH3OH (1.6 mL), trifluoroacetic acid (0.20 mL) and H2O (0.20 mL) were added. The mixture was heated to 70 °C for 1 d. The solvent was evaporated and the residue was purified by semi-preparative HPLC (method B) to afford the alcohol 16 as a colorless solid (Rf = 0.24, CH2Cl2: CH3OH = 9:1), yield 0.016 g (60%). C13H15ClN4O3 (310.74 g/mol). Purity (HPLC: method B): > 99% (tR = 4.11 min). Exact mass (LC-MS-ESI): m/z calculated for C13H16ClN4O3 [M + H]+ 311.0905, found 311.0905. 1H-NMR (600 MHz, DMSO-d6) δ (ppm) = 8.45 (s, 1H, 2-CHimidazopyridine), 6.76 (s, 2H, NH2), 6.39 (s, 1H, 6-CHimidazopyridine), 4.72 (s, 1H, 4-CH), 4.57 (dd, J = 6.5, 1.6 Hz, 1H, 2-CH), 4.08 (d, J = 11.4 Hz, 1H, OCHH), 3.66 (d, J = 6.4 Hz, 1H, 3-CH), 3.14 (d, J = 11.4 Hz, 1H, OCHH), 1.44 (ddd, J = 8.8, 3.9, 1.4 Hz, 1H, 5-CH), 1.34 (t, J = 4.3 Hz, 1H, 6-CHH), 0.60 (ddd, J = 8.5, 4.7, 1.6 Hz, 1H, 6-CHH). 13C-NMR (151 MHz, DMSO-d6) δ (ppm) = 148.6 (1C, C-5imidazopyridine), 145.6 (1C, C-7imidazopyridine), 145.4 (1C, C-3aimidazopyridine), 138.7 (1C, C-2imidazopyridine), 121.4 (1C, C-7aimidazopyridine), 100.5 (1C, C-6imidazopyridine), 76.0 (1C, C-3), 70.3 (1C, C-2), 62.2 (1C, OCH2), 60.6 (1C, C-4), 36.4 (1C, C-1), 23.2 (1C, C-5), 11.1 (1C, C-6). FT-IR (neat) ṽ (cm−1) = 3345, 3217 (O-H), 2924 (C-Haliphat.), 1632, 1601 (C = Caromat.), 1115, 1069, 1007 (C-O).
(1R,2R,3S,4R,5S)-4-(7-Amino-5-methylthio-3H-imidazo[4,5-b]pyridin-3-yl)-1-(hydroxymethyl)bicyclo[3.1.0]hexane-2,3-diol (17). An amount of (1R,2R,3S,4R,5S)-4-(7-Amino-5-chloro-3H-imidazo[4,5-b]pyridin-3-yl)-1-{[(tert-butyldiphenylsilyl)oxy]methyl}-2,3-O-isopropylidenebicyclo[3.1.0]hexane-2,3-diol (0.030 g, 0.05 mmol) was dissolved in DMF (1.5 mL). NaSCH3 (0.078 g, 1.11 mmol, 22 eq.) was added. The mixture was stirred at 90 °C for 2 h in the microwave at a power of 200 W. H2O was added and the reaction was extracted three times with ethyl acetate. The organic phase was dried over anh. Na2SO4, filtered and concentrated in vacuo. Due to incomplete conversion, the residue was dissolved in DMF (1.5 mL), and NaSCH3 (0.054 g, 0.77 mmol, 15 eq.) was added. The mixture was stirred at 90 °C for 1 h in the microwave at a power of 200 W. H2O was added and the reaction was extracted three times with ethyl acetate. The organic phase was dried over anh. Na2SO4, filtered and concentrated in vacuo. The residue was purified by fc (CH3CN: H2O = 5:95 ⭢ 100:0, 12 mL/min, Biotage®® SNAP C18, 12 g, V = 20 mL) to afford the methylthio ether as a colorless oil (Rf = 0.23, CH2Cl2: CH3OH = 95:5), yield 0.011 g (58%). C17H22N4O3S (362.45 g/mol). Melting point: 109.2 °C. Purity (HPLC: method B): 94% (tR = 9.14 min). Exact mass (LC-MS-ESI): m/z calculated for C17H23N4O3S [M + H]+ 363.1485, found 363.1493. 1H-NMR (600 MHz, DMSO-d6) δ (ppm) = 8.15 (s, 1H, 2-CHimidazopyridine), 6.39 (s, 2H, NH2), 6.27 (s, 1H, 6-CHimidazopyridine), 5.75 (s, 0.4H, CH2Cl2, solvent: dichloromethane), 5.22 (dd, J = 7.0, 1.4 Hz, 1H, 2-CH), 4.98 (t, J = 5.2 Hz, 1H, OH), 4.94 (s, 1H, 4-CH), 4.55 (dd, J = 7.1, 1.5 Hz, 1H, 3CH), 3.86 (dd, J = 11.7, 3.2 Hz, 1H, OCHH), 3.36–3.31 (m, 1H, OCHH), 2.49 (s, 3H, SCH3), 1.61 (ddd, J = 9.2, 4.4, 1.5 Hz, 1H, 5-CH), 1.44 (s, 3.3H, C(CH3)2, 1.17 (s, 3.3H, C(CH3)2, 0.98 (t, J = 4.8 Hz, 1H, 6-CHH), 0.880.84 (m, 1H, 6-CHH): 13C-NMR (151 MHz, DMSO-d6) δ (ppm) = 153.9 (1C, C-5imidazopyridine), 147.1 (1C, C7imidazopyridine), 146.1 (1C, C-3aimidazopyridine), 137.5 (1C, C-2imidazopyridine), 121.1 (1C, C7aimidazopyridine), 111.2 (1C, C(CH3)2), 98.3 (1C, C6imidazopyridine), 88.5 (1C, C3), 80.8 (1C, C2), 62.6 (1C, OCH2), 57.7 (1C, C4), 54.9 (0.2C, CH2Cl2, solvent: dichloromethane), 38.7 (1C, C1), 29.8 (1C, C5), 25.9 (1C, C(CH3)2), 24.2 (1C, C(CH3)2), 13.2 (1C, SCH3), 12.6 (1C, C6): FT-IR (neat) ṽ (cm−1) = 3352, 3202 (O-H), 2986, 2924 (C-Haliphat.), 1624, 1582 (C = Caromat.), 1057, 1026, 1015 (C-O).
Next, the acetonide-protected methylthioether intermediate (0.025 g, 0.07 mmol) was dissolved in CH3OH (1.6 mL) and trifluoroacetic acid (0.20 mL) and H2O (0.20 mL) were added. The mixture was heated to 50 °C overnight. The solvent was evaporated and the residue was purified by semi-preparative HPLC (method C) to afford the product 17 as a colorless solid (Rf = 0.22, CH2Cl2: CH3OH = 9:1), yield 0.012 g (55%). C14H18N4O3S (322.38 g/mol). Purity (HPLC: method D): 99% (tR = 10.45 min). Exact mass (LC-MS-ESI): m/z calculated for C14H19N4O3S [M + H]+ 323.1172, found 323.1167. 1H-NMR (600 MHz, DMSO-d6) δ (ppm) = 8.43 (s, 1H, 2-CHimidazopyridine), 6.46 (s, 2H, NH2), 6.31 (s, 1H, 6-CHimidazopyridine), 4.81 (s, 1H, 4-CH), 4.57 (dd, J = 6.6, 1.5 Hz, 1H, 2-CH), 4.06 (d, J = 11.4 Hz, 1H, OCHH), 3.70 (d, J = 6.4 Hz, 1H, 3-CH), 3.15 (d, J = 11.4 Hz, 1H, OCHH), 2.54 (s, 0.4H, CH3, solvent: DMSO), 2.50 (s, 3H, SCH3), 2.07 (s, 0.1H, CH3CN, solvent: acetonitrile), 1.45 (ddd, J = 8.7, 3.9, 1.3 Hz, 1H, 5CH), 1.34 (t, J = 4.3 Hz, 1H, 6-CHH), 0.61 (ddd, J = 8.6, 4.6, 1.5 Hz, 1H, 6-CHH). 13C-NMR (151 MHz, DMSO-d6) δ (ppm) = 154.2 (1C, C-5imidazopyridine), 146.5 (1C, C7imidazopyridine), 145.9 (1C, C3aimidazopyridine), 137.2 (1C, C-2imidazopyridine), 119.4 (1C, C7aimidazopyridine), 98.7 (1C, C6imidazopyridine), 76.0 (1C, C3), 70.2 (1C, C2), 62.2 (1C, OCH2), 60.4 (1C, C-4), 40.5 (0.1C, CH3, solvent: DMSO), 36.4 (1C, C1), 23.2 (1C, C-5), 13.1 (1C, SCH3), 11.2 (1C, C6). FT-IR (neat) ṽ (cm−1) = 3341, 3217 (O-H), 2920 (C-Haliphat.), 1674, 1628, 1597 (C = Caromat.), 1119, 1069, 1011 (C-O).
5-Chloro-6-nitro-3H-imidazo[4,5-b]pyridine (19). 2-Chloro-1-deazapurine (0.10 g, 0.66 mmol) and di-tert-butyl dicarbonate (0.20 g, 0.91 mmol, 1.4 eq.) were suspended in CH2Cl2 (1 mL). A catalytic amount of DMAP (~1 mg) was added and the mixture was stirred for 2.5 h. The reaction was quenched with silica gel and filtered through a pad of Celite®®. The mixture was concentrated in vacuo and the residue was redissolved in CH2Cl2 (2 mL). Tetrabutylammonium nitrate (0.30 g, 0.98 mmol, 1.5 eq.) was added and the mixture cooled to 0 °C with an ice bath. Trifluoroacetic anhydride (0.14 mL, 0.99 mmol, 1.5 eq.) was added dropwise and the reaction stirred for 5 h at rt and under reflux overnight. The solvent was evaporated, and the residue was purified by fc (CH2Cl2:CH3OH = 97.5:2.5 ⭢ 96.5:3.5 ⭢ 95.5, Ø = 3 cm, l = 24 cm, V = 10 mL) to afford the product 19 as light brown solid (76%). C6H3ClN4O2 (198.57 g/mol). 1H-NMR (400 MHz, DMSO-d6) δ (ppm) = 8.87 (s, 1H, 7-CH), 8.80 (s, 1H, 2-CH), 3.17 (s, 0.4H, CH3OH, solvent: methanol). 13C-NMR (101 MHz, DMSO-d6) δ (ppm) = 149.6 (1C, C-2), 139.9 (1C, C-5), 135.6 (1C, C-6), 48.6 (0.1H, CH3OH, solvent: methanol); C-3a, C-7 and C-7a were not visible.
Crystal data for C6H3ClN4O2 (M = 198.57 g/mol): orthorhombic, Pbca (No. 61), a = 11.3385(3) Å, b = 6.5407(2) Å, c = 20.0740(7) Å, V = 1488.72(8) Å3, Z = 8, 1.772 mg/m3, T = 173(2) K, μ(CuKα) = 0.479 mm−1, final R indices [I > 2σ(I)] R1 = 0.0316, wR2 = 0.0798, R indices (all data) R1 = 0.0355, wR2 = 0.0827
7-Chloro-5-nitro-3-tosyl-3H-imidazo[4,5-b]pyridine (20). Compound 7 (0.50 g, 2.5 mmol) was suspended in CH2Cl2 (20 mL). Tosyl chloride (0.97 g, 5.1 mmol, 2 eq.) and DIPEA (0.88 mL, 5.1 mmol, 2 eq.) were added and the mixture stirred for 3 h at rt. The reaction was neutralized with saturated NH4Cl solution and was extracted with CH2Cl2. The organic phase was dried over anh. Na2SO4 and concentrated in vacuo. The residue was purified by fc (cyclohexane: ethyl acetate = 5:1 ⭢ 2:1, Ø = 6 cm, l = 22 cm, V = 65 mL). The mixed fractions were purified again using fc (cyclohexane: ethyl acetate = 5:1, Ø = 6 cm, l = 22 cm, V = 65 mL) to afford the product 20 as a colorless solid (Rf = 0.23, cyclohexane: ethyl acetate = 3:1), yield 0.81 g (91%). C13H9ClN4O4S (352.75 g/mol). Melting point: 200.2 °C. Purity (HPLC: method B): > 99% (tR = 15.72 min). Exact mass (APCI): m/z calculated for C13H10ClN4O4S [M + H]+ 353.0106, found 353.0105. 1H-NMR (400 MHz, CD3CN) δ (ppm) = 8.88 (s, 1H, 2-CH), 8.39 (s, 1H, 6-CH), 8.228.18 (m, 2H, 2, 6-CHtosyl), 7.48–7.43 (m, 2H, 3, 5-CHtosyl), 2.40 (s, 3H, CH3). 13C-NMR (101 MHz, CD3CN) δ (ppm) = 153.6 (1C, C-5), 148.9 (1C, C4tosyl), 147.9 (1C, C-2), 144.0 (1C, C-3a), 139.1 (1C, C7a), 138.5 (1C, C-7), 133.9 (1C, C-1tosyl), 131.3 (2C, C3, 5tosyl), 130.0 (2C, C-2, 6tosyl), 116.7 (1C, C6), 21.8 (1C, CH3). FT-IR (neat) ṽ (cm−1) = 3117, 3102 (v C-Haromat.), 2978 (C-Haliphat.), 1598, 1555 (C = Caromat.), 1373, 1327 (NO2), 1176 (S = O), 837, 814 (CHaromat., out of plane).
N,N-Dibenzyl-N’-[4-chloro-2-(4-methylphenyl)sulfonamido-6-nitropyridin-3-yl]formimidamide (21). Compound 20 (0.074 g, 0.21 mmol) was dissolved in CH2Cl2 (2 mL). Dibenzylamine (0.40 mL, 2.08 mmol, 10 eq.) was added and the mixture stirred overnight at rt. The reaction was washed with saturated NH4Cl solution and was extracted with CH2Cl2. The organic phase was dried over anh. Na2SO4 and concentrated in vacuo. The residue was purified by fc (cyclohexane:ethylacetate:CH3OH = 25:3:2 + 1% triethylamine, Ø = 2 cm, l = 25 cm, V = 10 mL) to afford the product 21 as a red solid. Red solid (Rf = 0.36, ethyl acetate = 100%), yield 0.090 g (78%). C27H24ClN5O4S (550.03 g/mol). Melting point: 171.2 °C. Purity (HPLC: method B): > 99% (tR = 21.02 min). Exact mass (LC-MS-ESI): m/z calculated for C27H25ClN5O4S [M + H]+ 550.1310, found 550.1285. 1H-NMR (600 MHz, DMSO-d6) δ (ppm) = 10.30 (s, 1H, NH), 8.44 (s, 1H, N = CH), 8.09 (d, 2H, J = 8.1 Hz, 2, 6-CHtosyl), 7.92 (s, 1H, 5-CHpyridine), 7.43–7.26 (m, 12H, 3, 5CHtosyl, 2, 3, 4, 5, 6CHbenzyl), 4.68 (s, 2H, CH2 benzyl), 4.46 (s, 2H, CH2 benzyl), 2.34 (s, 3H, CH3); the 1HNMR spectrum displayed small impurities in the range of about 5%. 13C-NMR (151 MHz, DMSO-d6) δ (ppm) = 157.6 (1C, C-1), 147.1 (1C, C-6pyridine), 142.9 (1C, C4tosyl), 139.8 (1C, C-4pyridine), 136.5 (3C, C-1tosyl, C-1benzyl), 132.8 (1C, C-3pyridine), 128.6 (2C, C3, 5tosyl), 128.5 (4C, C3, 5benzyl), 128.4 (2C, C-2, 6tosyl), 128.2 (2C, C2, 6benzyl), 128.0 (2C, C2, 6benzyl), 127.8 (1C, C4benzyl), 127.2 (1C, C4benzyl), 112.8 (1C, C5pyridine), 53.6 (1C, CH2 benzyl), 47.1 (1C, CH2 benzyl), 21.0 (1C, CH3); the signal for C-4pyridine could not be seen in 13CNMR spectrum. FT-IR (neat) ṽ (cm−1) = 3251 (N-H), 2978, 2924 (C-Haliphat.), 1616 (C = Caromat.), 1327(NO2), 1161 (S = O), 829, 814, 748, 737 (CHaromat., out of plane).
Crystal data for C27H24ClN5O4S (M = 550.02 g/mol): monoclinic, P21/n (No. 14), a = 13.4033(2) Å, b = 9.4786(2) Å, β = 98.623(1)°, c = 20.9689(4) Å, V = 2633.87(8) Å3, Z = 4, 1.387 mg/m3, T = 173(2), μ(CuKα) = 0.268 mm−1, Final R indices [I > 2σ(I)]R1 = 0.0424, wR2 = 0.0934, R indices (all data) R1 = 0.0502, wR2 = 0.0992
(1R,2R,3S,4R,5S)-4-[6-(Dibenzylamino)-9H-purin-9-yl]-1-{[(tert-butyldiphenylsilyl)oxy]methyl}-2,3-O-isopropylidenebicyclo[3.1.0]hexane-2,3-diol (24). An amount of 6-chloropurine (22, 1.00 g, 6.47 mmol) was suspended in isopropanol (60 mL). Dibenzylamine (5.0 mL, 26.0 mmol, 4 eq.) was added. The mixture was stirred at 90 °C under reflux for 7 h. The solvent was evaporated and the residue was purified by fc (CH2Cl2:CH3OH = 59:1 ⭢ 29:1 + 0.5% HCOOH, Ø = 6 cm, l = 20 cm, V = 65 mL) to afford the N,N-dibenzyladenine as a colorless solid (Rf = 0.36, ethyl acetate = 100%), yield 1.91 g (94%). C19H17N5 (315.38 g/mol). Melting point: 186.4 °C. Purity (HPLC: method B): > 99% (tR = 15.31 min). Exact mass (APCI): m/z calculated for C19H18N5 [M + H]+ 316.1557, found 316.1568. 1H-NMR (400 MHz, DMSO-d6) δ (ppm) = 13.14 (s, 1H, 9-NH), 8.28 (s, 1H, 2-CH), 8.14 (s, 1H, 8-CH), 7.46–7.34 (m, 10H, 2, 3, 4, 5, 6-CHbenzyl), 5.50 (s, 2H, CH2 benzyl), 4.94 (s, 2H, CH2 benzyl). 13C-NMR (101 MHz, DMSO-d6) δ (ppm) = 154.1 (1C, C-6), 151.9 (1C, C-2), 151.6 (1C, C-4), 138.5 (1C, C-8), 138.0 (1C, C1benzyl), 128.5 (4C, C3, 5benzyl), 127.4 (4C, C2, 6benzyl), 127.0 (2C, C4benzyl), 118.5 (1C, C-5), 50.6 (1C, CH2 benzyl), 48.5 (1C, CH2 benzyl). FT-IR (neat) ṽ (cm−1) = 3059 (v C-Haromat.), 2978, (C-Haliphat.), 1574 (C = Caromat.), 752, 737, 698 (CHaromat., out of plane).
The N,N-dibenzyladenine (0.47 g, 1.48 mmol, 1.3 eq.) and triphenylphospane (0.47 g, 1.78 mmol, 1.6 eq.) were dissolved in THF (10 mL) under nitrogen atmosphere. Diisopropyl azodicarboxylate (DIAD, 0.34 mL, 1.73 mmol, 1.5 eq.) was added dropwise at 0 °C. The mixture was stirred for 30 min at rt. A solution of the alcohol 4 (0.50 g, 1.15 mmol) in THF (10 mL) was added and the solution was stirred overnight. The solvent was evaporated and the residue was purified by fc (cyclohexane:ethyl acetate = 19:1 ⭢ 9:1, Ø = 6 cm, l = 20 cm, V = 65 mL) to afford the product 24 as a colorless solid (Rf = 0.29, cyclohexane:ethyl acetate = 9:1), yield 0.73 g (86%). C45H49N5O3Si (736.00 g/mol). Melting point: 77.6 °C. Purity (HPLC: method C): >99% (tR = 18.82 min). Exact mass (APCI): m/z calculated for C45H50N5O3Si [M + H]+ 736.3677, found 736.3707. 1H-NMR (600 MHz, DMSO-d6) δ (ppm) = 8.30 (s, 1H, 8-CHpurine), 8.25 (s, 1H, 2-CHpurine), 7.60–7.55 (m, 4H, 2, 6-CHPh), 7.42–7.37 (m, 2H, 4-CHPh), 7.36–7.32 (m, 4H, 3, 5-CHPh), 7.31–7.24 (m, 10H, 2, 3, 4, 5, 6-CHbenzyl), 5.60 (s, 1H, CHHbenzyl), 5.47 (s, 1H, CHHbenzyl), 5.28 (dd, J = 7.0, 1.3 Hz, 1H, 2-CH), 4.98 (s, 1H, 4-CH), 4.96 (s, 1H, CHHbenzyl), 4.88 (s, 1H, CHHbenzyl), 4.76 (dd, J = 7.1, 1.4 Hz, 1H, 3-CH), 4.04 (d, J = 10.7 Hz, 1H, OCHH), 3.72 (d, J = 10.8 Hz, 1H, OCHH), 1.67 (ddd, J = 9.3, 4.5, 1.6 Hz, 1H, 5-CH), 1.46 (s, 3H, C(CH3)2), 1.39 (s, 1.6H, CH2, solvent: cyclohexane), 1.20 (s, 3H, C(CH3)2), 1.01 (t, J = 4.8 Hz, 1H, 6-CHH), 0.98 (s, 9H, C(CH3)3), 0.90 (ddd, J = 9.1, 5.1, 1.5 Hz, 1H, 6-CHH). 13C-NMR (151 MHz, DMSO-d6) δ (ppm) = 154.1 (1C, C-6purine), 152.0 (1C, C-2purine), 150.0 (1C, C-4purine), 138.5 (1C, C-8purine), 137.9 (2C, C-1benzyl), 135.1 (4C, C-2, 6Ph), 132.8 (2C, C-1Ph), 129.8 (2C, C-4Ph), 128.5 (4C, C-3, 5benzyl), 127.8 (4C, C-3, 5Ph), 127.4 (4C, C-2, 6benzyl), 127.1 (2C, C-4benzyl), 119.0 (1C, C-5purine), 111.3 (1C, C(CH3)2), 87.9 (1C, C-2), 81.1 (1C, C-3), 64.7 (1C, OCH2), 58.4 (1C, C-4), 50.8 (1C, CH2 benzyl), 48.6 (1C, CH2 benzyl), 38.1 (1C, C-1), 29.9 (1C, C-5), 26.7 (3C, C(CH3)3), 26.3 (s, 0.8C, CH2, solvent: cyclohexane), 25.9 (1C, C(CH3)2), 24.3 (1C, C(CH3)2), 18.8 (1C, C(CH3)3), 12.2 (1C, C-6). FT-IR (neat) ṽ (cm−1) = 2978 (C-Haliphat.), 1574 (C = Caromat.), 1107, 1064, 1037 (C-O), 737, 698 (C-Haromat., out of plane).
(1R,2R,3S,4R,5S)-4-[6-(Dibenzylamino)-9H-purin-9-yl]-1-(hydroxymethyl)bicyclo[3.1.0]hexane-2,3-diol (26). Compound 24 (0.125 g, 0.17 mmol) was dissolved in CH3OH (3.6 mL) and trifluoroacetic acid (0.40 mL) and H2O (0.40 mL) were added. The mixture was heated to 70 °C for 2 d. The solvent was evaporated and the residue was purified by fc (CH3CN:H2O = 5:95 ⭢ 100:0, 12 mL/min, Biotage®® SNAP Ultra C18, 12 g, V = 20 mL) to afford the alcohol 106 as a colorless solid (Rf = 0.24, ethyl acetate = 100%), yield 0.051 g (65%). C26H27N5O3 (457.53 g/mol). Purity (HPLC: method B): > 99% (tR = 11.99 min). Exact mass (LC-MS-ESI): m/z calculated for C26H28N5O3 [M + H]+ 458.2187, found 458.2187. 1H-NMR (600 MHz, DMSO-d6) δ (ppm) = 8.49 (s, 1H, 8-CHpurine), 8.31 (s, 1H, 2CHpurine), 7.347.29 (m, 4H, 3, 5-CHbenzyl), 7.29–7.23 (m, 6H, 2, 4, 6-CHbenzyl), 5.63 (s, 1H, CHHbenzyl), 5.42 (s, 1H, CHHbenzyl), 5.25 (s, 1H, 3-OH), 5.03 (t, J = 5.0 Hz, 1H, CH2OH), 4.97 (s, 1H, CHHbenzyl), 4.82 (s, 2H, CHHbenzyl, 4-CH), 4.58 (t, J = 5.2 Hz, 1H, 2-CH), 4.49 (t, J = 6.8 Hz, 1H, 2-OH), 4.07 (dd, J = 11.4, 4.9 Hz, 1H, OCHH), 3.72 (d, J = 6.4 Hz, 1H, 3CH), 3.13 (dd, J = 11.4, 4.1 Hz, 1H, OCHH), 1.49 (ddd, J = 8.7, 3.9, 1.4 Hz, 1H, 5CH), 1.37 (dd, J = 4.7, 3.9 Hz, 1H, 6CHH), 0.61 (ddd, J = 8.5, 4.7, 1.6 Hz, 1H, 6CHH). 13C-NMR (151 MHz, DMSO-d6) δ (ppm) = 154.1 (1C, C-6purine), 151.9 (1C, C-2purine), 150.1 (1C, C-4purine), 138.3 (1C, C-8purine), 137.9 (2C, C-1benzyl), 128.5 (4C, C3, 5benzyl), 127.4 (4C, C2, 6benzyl), 127.1 (2C, C-4benzyl), 118.9 (1C, C-5purine), 75.9 (1C, C-3), 70.2 (1C, C2), 62.3 (1C, OCH2), 60.8 (1C, C-4), 50.7 (1C, CH2 benzyl), 48.6 (1C, CH2 benzyl), 36.4 (1C, C-1), 23.1 (1C, C5), 11.2 (1C, C-6). FT-IR (neat) ṽ (cm−1) = 3310 (O-H), 3028 (v C-Haromat.), 2978, 2920 (C-Haliphat.), 1578 (C = Caromat.), 1068 (C-O), 698 (CHaromat., out of plane).
(1R,2R,3S,4R,5S)-4-[6-(Dibenzylamino)-2-chloro-9H-purin-9-yl]-1-{[(tert-butyldiphenylsilyl)oxy]methyl}-2,3-O-isopropylidenebicyclo[3.1.0]hexane-2,3-diol (25). An amount of 2,6-dichloropurine (2.02 g, 10.47 mmol) was dissolved in isopropanol (100 mL). Dibenzylamine (8.0 mL, 41.6 mmol, 3.9 eq.) was added. The mixture was stirred at 90 °C under reflux for 1.5 h. The precipitated product was filtered off and purified by fc (CH2Cl2:CH3OH = 59:1 ⭢ 29:1 + 0.5% HCOOH, Ø = 8 cm, l = 20 cm, V = 100 mL) to afford the purine derivative as a colorless solid (Rf = 0.37, cyclohexane:ethyl acetate = 1:1), yield 3.27 g (88%). C19H16ClN5 (349.82 g/mol). Melting point: 260.0 °C. Purity (HPLC: method B): > 99% (tR = 16.17 min). Exact mass (APCI): m/z calculated for C19H17ClN5 [M + H]+ 350.1167, found 350.1167. 1H-NMR (400 MHz, DMSO-d6) δ (ppm) = 13.29 (s, 1H, 9-NH), 8.16 (s, 1H, 8-CH), 7.367.30 (m, 4H, 3, 5-CHbenzyl), 7.30–7.24 (m, 6H, 2, 4, 6-CHbenzyl), 5.53 (s, 2H, CH2 benzyl), 4.81 (s, 2H, CH2 benzyl). 13C-NMR (101 MHz, DMSO-d6) δ (ppm) = 154.5 (1C, C-6), 152.8 (1C, C-4), 152.4 (1C, C-2), 139.2 (1C, C-8), 137.3 (1C, C1benzyl), 128.5 (4C, C3, 5benzyl), 127.5 (4C, C2, 6benzyl), 127.2 (2C, C4benzyl), 117.6 (1C, C5), 50.8 (1C, CH2 benzyl), 48.9 (1C, CH2 benzyl). FT-IR (neat) ṽ (cm−1) = 3066 (v C-Haromat.), 2978, (C-Haliphat.), 1578 (C = Caromat.), 1076 (C-Cl), 741, 694 (CHaromat., out of plane).
Next, the purine derivative (1.04 g, 2.98 mmol, 1.3 eq.) and triphenylphospane (0.90 g, 3.44 mmol, 1.5 eq.) were dissolved in THF (20 mL) under nitrogen atmosphere. DIAD (0.67 mL, 3.41 mmol, 1.5 eq.) was added dropwise at 0 °C. The mixture was stirred for 15 min at rt. A solution of the alcohol 4 (1.03 g, 2.35 mmol) in THF (20 mL) was added and the solution was stirred overnight. The solvent was evaporated and the residue was purified by fc (cyclohexane:ethyl acetate = 19:1 ⭢ 9:1, Ø = 6 cm, l = 20 cm, V = 65 mL) to afford the product 26 as a colorless solid (Rf = 0.35, cyclohexane:ethyl acetate = 1:1), yield 1.67 g (92%). C45H48ClN5O3Si (770.45 g/mol). Melting point: 84.7 °C. Purity (HPLC: method C): >99% (tR = 19.49 min). Exact mass (LC-MS-ESI): m/z calculated for C45H49ClN5O3Si [M + H]+ 770.3288, found 770.3285. 1H-NMR (600 MHz, DMSO-d6) δ (ppm) = 8.29 (s, 1H, 8-CHpurine), 7.60–7.56 (m, 4H, 2, 6-CHPh), 7.42–7.25 (m, 16H, 2, 3, 4, 5, 6-CHbenzyl, 3, 4, 5-CHPh), 5.57 (d, J = 15.7 Hz, 1H, CHHbenzyl), 5.47 (d, J = 15.7 Hz, 1H, CHHbenzyl), 5.21 (dd, J = 7.1, 1.3 Hz, 1H, 2-CH), 4.91 (s, 1H, 4-CH), 4.86 (d, J = 15.4 Hz, 1H, CHHbenzyl), 4.79 (d, J = 15.4 Hz, 1H, CHHbenzyl), 4.75 (dd, J = 7.2, 1.5 Hz, 1H, 3-CH), 4.03 (d, J = 10.7 Hz, 1H, OCHH), 3.87 (d, J = 10.7 Hz, 1H, OCHH), 1.64 (ddd, J = 9.2, 4.5, 1.6 Hz, 1H, 5-CH), 1.46 (s, 3H, C(CH3)2), 1.43 (s, 0.7H, CH2, solvent: cyclohexane), 1.19 (s, 3H, C(CH3)2), 0.98 (s, 10H, 6-CHH, C(CH3)3), 0.93 (ddd, J = 9.1, 5.1, 1.4 Hz, 1H, 6-CHH). 13C-NMR (151 MHz, DMSO-d6) δ (ppm) = 154.5 (1C, C-6purine), 152.5 (1C, C-2purine), 151.1 (1C, C-4purine), 139.3 (1C, C-8purine), 137.4 (1C, C-1benzyl), 136.9 (1C, C-1benzyl), 135.0 (4C, C-2, 6Ph), 132.9 (2C, C-1Ph), 129.8 (2C, C-4Ph), 128.6 (4C, C-2, 6benzyl), 127.8 (4C, C-3, 5Ph), 127.7 (2C, C-2, 6benzyl), 127.5 (1C, C-2, 6benzyl), 127.3 (2C, C-4benzyl), 118.3 (1C, C-5purine), 111,3 (1C, C(CH3)2), 87.9 (1C, C-3), 81.6 (1C, C-2), 64.5 (1C, OCH2), 58.9 (1C, C-4), 50.9 (1C, CH2 benzyl), 49.2 (1C, CH2 benzyl), 38.3 (1C, C-1), 29.6 (1C, C-5), 26.7 (3C, C(CH3)3), 26.3 (0.4C, CH2, solvent: cyclohexane), 25.9 (1C, C(CH3)2), 24.3 (1C, C(CH3)2), 18.8 (1C, C(CH3)3), 12.0 (1C, C-6). FT-IR (neat) ṽ (cm−1) = 2978 (C-Haliphat.), 1574 (C = Caromat.), 1111, 1069, 1042 (C-O), 740, 698 (C-Haromat., out of plane).
(1R,2R,3S,4R,5S)-4-[6-(Dibenzylamino)-2-chloro-9H-purin-9-yl]-1-(hydroxymethyl)bicyclo[3.1.0]hexane-2,3-diol (27). Compound 25 (0.099 g, 0.13 mmol) was dissolved in CH3OH (3.6 mL), trifluoroacetic acid (0.40 mL) and H2O (0.40 mL) were added. The mixture was heated to 70 °C for 2 d. The solvent was evaporated and the residue was purified by fc (CH2Cl2:CH3OH = 96:4, Ø = 2 cm, l = 24 cm, V = 10 mL) but still showed a small impurity by 1H-NMR. The impure product was purified again by fc (CH3CN:H2O = 5:95 ⭢ 100:0, 12 mL/min, Biotage®® SNAP Ultra C18, 12 g, V = 20 mL) to afford the pure alcohol 27 as a colorless solid (Rf = 0.32, ethyl acetate = 100%), yield 0.052 g (82%). C26H26ClN5O3 (491.98 g/mol). Purity (HPLC: method B): > 99% (tR = 14.14 min). Exact mass (APCI): m/z calculated for C26H27ClN5O3 [M + H]+ 492.1797, found 492.1784. 1H-NMR (600 MHz, DMSO-d6) δ (ppm) = 8.51 (s, 1H, 8-CHpurine), 7.36–7.31 (m, 4H, 3, 5-CHbenzyl), 7.30–7.25 (m, 6H, 2, 4, 6-CHbenzyl), 5.61 (d, J = 15.7 Hz, 1H, CHHbenzyl), 5.41 (d, J = 15.8 Hz, 1H, CHHbenzyl), 5.27 (s, 1H, 3-OH), 4.99 (t, J = 5.0 Hz, 1H, CH2OH), 4.88 (d, J = 15.4 Hz, 1H, CHHbenzyl), 4.75 (s, 1H, CHHbenzyl), 4.72 (s, 1H, 4-CH), 4.56 (d, J = 6.5 Hz, 1H, 2-CH), 4.50 (s, 1H, 2-OH), 4.07 (d, J = 11.0 Hz, 1H, OCHH), 3.73 (d, J = 6.2 Hz, 1H, 3-CH), 3.13 (d, J = 11.3 Hz, 1H, OCHH), 1.47 (ddd, J = 8.8, 3.8, 1.5 Hz, 1H, 5-CH), 1.36 (t, J = 4.3 Hz, 1H, 6-CHH), 0.61 (ddd, J = 8.6, 4.7, 1.5 Hz, 1H, 6-CHH). 13C-NMR (151 MHz, DMSO-d6) δ (ppm) = 154.5 (1C, C-6purine), 152.5 (1C, C-2purine), 151.4 (1C, C-4purine), 138.9 (1C, C-8purine), 137.4 (1C, C-1benzyl), 136.9 (1C, C-1benzyl), 128.6 (4C, C-3, 5benzyl), 127.7 (2C, C-2, 6benzyl), 127.4 (2C, C-2, 6benzyl), 127.3 (2C, C-4benzyl), 118.0 (1C, C-5purine), 75.8 (1C, C-3), 70.2 (1C, C-2), 62.2 (1C, OCH2), 61.0 (1C, C-4), 50.8 (1C, CH2 benzyl), 49.1 (1C, CH2 benzyl), 36.4 (1C, C-1), 23.1 (1C, C-5), 11.1 (1C, C-6).
FT-IR (neat) ṽ (cm−1) = 3341 (O-H), 2978 (C-Haliphat.), 1574 (C = Caromat.), 1069 (C-O), 698 (C-Haromat., out of plane).
(1R,2R,3S,4R,5S)-4-[6-(Dibenzylamino)-2-methylthio-9H-purin-9-yl]-1-(hydroxymethyl)-2,3-O-isopropylidenebicyclo[3.1.0]hexane-2,3-diol (28). Compound 25 (0.30 g, 0.39 mmol) was dissolved in DMF (15 mL). NaSCH3 (0.41 g, 5.86 mmol, 15 eq.) was added. The mixture was stirred at 90 °C for 1 h in the microwave at a power of 200 W. The solvent was evaporated and the residue was purified by fc (cyclohexane:ethyl acetate = 6:4, Ø = 5 cm, l = 24 cm, V = 30 mL) to afford the product 28 as a colorless solid (Rf = 0.35, cyclohexane:ethyl acetate = 1:1), yield 0.227 g (89%). C30H33N5O3S (543.69 g/mol). Melting point: 97.8 °C. Purity (HPLC: method B): 93% (tR = 18.60 min). Exact mass (LC-MS-ESI): m/z calculated for C30H34N5O3S [M + H]+ 544.2377, found 544.2378. 1H-NMR (400 MHz, DMSO-d6) δ (ppm) = 8.24 (s, 1H, 8-CHpurine), 7.36–7.22 (m, 10H, 2, 3, 4, 5, 6-CHbenzyl), 5.11 (dd, J = 15.6, 15.1 Hz, 2H, CH2 benzyl), 5.20 (d, J = 7.1, 1.3 Hz, 1H, 2CH), 4.94 (s, 1H, OH), 4.92 (s, 1H, 4-CH), 4.91–4.74 (m, 2H, CH2 benzyl), 4.61 (dd, J = 7.2, 1.5 Hz, 1H, 3-CH), 3.84 (dd, J = 11.6, 4.0 Hz, 1H, OCHH), 3.35 (d, J = 11.6, 3.9 Hz, 1H, OCHH), 2.41 (s, 3H, SCH3), 1.65 (ddd, J = 9.2, 4.4, 1.5 Hz, 1H, 5CH), 1.45 (s, 3H, C(CH3)2), 1.15 (s, 3H, C(CH3)2), 0.98 (t, J = 4.9 Hz, 1H, 6CHH), 0.88 (ddd, J = 9.1, 5.1, 1.5 Hz, 1H, 6CHH); the 1H-NMR spectrum displayed small impurities in the range of about 5%. 13C-NMR (101 MHz, DMSO-d6) δ (ppm) = 163.6 (1C, C-2purine), 153.3 (1C, C-6purine), 150.9 (1C, C-4purine), 137.8 (1C, C-1benzyl), 137.6 (1C, C-8purine), 128.5 (4C, C3, 5benzyl), 127.4 (4C, C2, 6benzyl), 127.1 (2C, C-4benzyl), 116.6 (1C, C-5purine), 111.2 (1C, C(CH3)2), 88.3 (1C, C-3), 80.9 (1C, C-2), 62.6 (1C, OCH2), 58.1 (1C, C4), 50.9 (1C, CH2 benzyl), 48.9 (1C, CH2 benzyl), 38.7 (1C, C-1), 29.6 (1C, C5), 25.8 (1C, C(CH3)2), 24.2 (1C, C(CH3)2), 13.8 (1C, SCH3), 12.6 (1C, C-6); the 13C-NMR spectrum displayed small impurities in the range of about 5%. FT-IR (neat) ṽ (cm−1) = 3372 (O-H), 2982, 2924 (C-Haliphat.), 1562 (C = Caromat.), 1057, 1030 (CO), 748, 733, 698 (CHaromat., out of plane).
(1S,2R,3S,4R,5S)-4-[6-(Dibenzylamino)-2-methylthio-9H-purin-9-yl]-1-(chloromethyl)-2,3-O-isopropylidenebicyclo[3.1.0]hexane-2,3-diol (29). Cyanuric chloride (0.051 g, 0.28 mmol, 1.5 eq.) was stirred with DMF (0.08 mL, 1.04 mmol, 5.8 eq.) for 2 h at rt. Then CH2Cl2 (1 mL) and the alcohol 28 (0.098 g, 0.18 mmol) were added and the mixture was stirred overnight. Water was added and the phases were separated. The organic phase was washed with K2CO3 solution, 0.05 M HCl, and water. The organic phase was dried over anh. Na2SO4, and filtered and concentrated in vacuo. The residue was purified by fc (cyclohexane:ethyl acetate = 7:1, Ø = 2 cm, l = 20 cm, V = 10 mL) to afford the chloride 29 as a colorless solid (Rf = 0.35, cyclohexane:ethyl acetate = 5:1), yield 0.066 g (65%). C30H32ClN5O2S (562.13 g/mol). Melting point: 182.4 °C. Purity (HPLC: method B): > 99% (tR = 21.54 min). Exact mass (LC-MS-ESI): m/z calculated for C30H33ClN5O2S [M + H]+ 562.2038, found 562.2036. 1H-NMR (600 MHz, CDCl3) δ (ppm) = 7.86 (s, 1H, 8-CHpurine), 7.34–7.29 (m, 4H, 3, 5CHbenzyl), 7.29–7.24 (m, 6H, 2, 4, 6-CHbenzyl), 5.50 (s, 2H, CH2 benzyl), 5.38 (dd, J = 7.2, 1.5 Hz, 1H, 2CH), 5.01 (s, 1H, 4-CH), 4.95 (s, 2H, CH2 benzyl), 4.69 (dd, J = 7.2, 1.4 Hz, 1H, 3-CH), 3.94 (d, J = 11.6 Hz, 1H, ClCHH), 3.81 (d, J = 11.6 Hz, 1H, ClCHH), 2.50 (s, 3H, SCH3), 1.75 (ddd, J = 9.4, 4.7, 1.5 Hz, 1H, 5CH), 1.56 (s, 3H, C(CH3)2), 1.43 (s, 0.1H, CH2, solvent: cyclohexane), 1.35 (dd, J = 5.9, 4.8 Hz, 1H, 6CHH), 1.27 (s, 3H, C(CH3)2), 1.08 (ddd, J = 9.4, 5.9, 1.6 Hz, 1H, 6CHH). 13C-NMR (151 MHz, CDCl3) δ (ppm) = 165.0 (1C, C-2purine), 154.2 (1C, C-6purine), 151.6 (1C, C4purine), 137.9 (1C, C-1benzyl), 136.5 (1C, C-8purine), 128.7 (4C, C3, 5benzyl), 128.0 (4C, C2, 6benzyl), 127.5 (2C, C4benzyl), 117.5 (1C, C-5purine), 112.6 (1C, C(CH3)2), 89.4 (1C, C-3), 82.4 (1C, C2), 59.6 (1C, C-4), 51.2 (1C, CH2 benzyl), 49.2 (1C, ClCH2), 49.0 (1C, CH2 benzyl), 39.0 (1C, C-1), 33.0 (1C, C-5), 26.2 (1C, C(CH3)2), 24.4 (1C, C(CH3)2), 16.4 (1C, C-6), 14.8 (1C, SCH3). FT-IR (neat) ṽ (cm−1) = 2978, 2928 (C-Haliphat.), 1589, 1566 (C = Caromat.), 1072, 1049 (CO), 798 (C-Cl), 733, 694 (CHaromat., out of plane).
(1R,2R,3S,4R,5S)-4-[6-(Dibenzylamino)-2-methylthio-9H-purin-9-yl]-1-(hydroxymethyl)bicyclo[3.1.0]hexane-2,3-diol (30). Compound 28 (0.080 g, 0.15 mmol) was dissolved in CH3OH (2.5 mL), trifluoroacetic acid (0.32 mL) and H2O (0.32 mL) were added. The mixture was heated to 70 °C for 2 h. The solvent was evaporated and the residue was purified by fc (CH3CN:H2O = 5:95 ⭢ 100:0, 12 mL/min, Biotage®® SNAP Ultra C18, 12 g, V = 20 mL) to afford the alcohol 111 as a colorless solid (Rf = 0.32, ethyl acetate = 100%), yield 0.036 g (48%). C27H29N5O3S (503.62 g/mol). Purity (HPLC: method B): 98% (tR = 14.50 min). Exact mass (APCI): m/z calculated for C27H30N5O3S [M + H]+ 492.2064, found 492.2066. 1H-NMR (600 MHz, DMSO-d6) δ (ppm) = 8.35 (s, 1H, 8-CHpurine), 7.95 (s, 0.1H, CH, solvent: DMF), 7.31 (t, J = 7.5 Hz, 4H, 3, 5-CHbenzyl), 7.29–7.23 (m, 6H, 2, 4, 6-CHbenzyl), 5.61 (d, J = 15.8 Hz, 1H, CHHbenzyl), 5.41 (d, J = 15.8 Hz, 1H, CHHbenzyl), 5.19 (s, 1H, 3-OHl), 4.97 (t, J = 5.1 Hz, 1H, CH2OH), 4.92 (d, J = 14.7 Hz, 1H, CHHbenzyl), 4.78 (d, J = 14.7 Hz, 1H, CHHbenzyl), 4.75 (s, 1H, 4-CH), 4.57 (ddd, J = 8.1, 6.5, 1.6 Hz, 1H, 2CH), 4.49 (d, 7.9 Hz, 1H, 2-OH), 4.05 (dd, J = 11.3, 5.3 Hz, 1H, OCHH), 3.72 (ddt, J = 6.4, 4.7, 1.3 Hz, 1H, 3-CH), 3.13 (dd, J = 11.4, 4.8 Hz, 1H, OCHH), 2.89 (s, 0.4H, CH3, solvent: DMF), 2.73 (s, 0.3H, CH3, solvent: DMF), 2.41 (s, 3H, SCH3), 2.07 (s, 0.1H, CH3CN, solvent: acetonitrile), 1.45 (ddd, J = 8.8, 3.9, 1.4 Hz, 1H, 5CH), 1.34 (t, J = 4.3 Hz, 1H, 6CHH), 0.60 (ddd, J = 8.6, 4.7, 1.7 Hz, 1H, 6CHH); the 1HNMR spectrum displayed small impurities in the range of about 5%. 13C-NMR (151 MHz, DMSO-d6) δ (ppm) = 163.4 (1C, C-2purine), 162.3 (0.1C, CH, solvent: DMF), 153.3 (1C, C6purine), 151.1 (1C, C-4purine), 137.8 (2C, C-1benzyl), 137.4 (1C, C-8purine), 128.5 (4C, C3, 5benzyl), 127.4 (4C, C-2, 6benzyl), 127.1 (2C, C-4benzyl), 116.5 (1C, C-5purine), 76.0 (1C, C-3), 70.2 (1C, C2), 62.2 (1C, OCH2), 60.6 (1C, C-4), 50.8 (1C, CH2 benzyl), 48.9 (1C, CH2 benzyl), 36.4 (1C, C-1), 35.8 (0.1C, CH3, solvent: DMF), 30.8 (0.1C, CH3, solvent: DMF), 23.2 (1C, C5), 13.8 (1C, SCH3), 11.1 (1C, C6). FT-IR (neat) ṽ (cm−1) = 3368 (O-H), 2978, 2924 (C-Haliphat.), 1562 (C = Caromat.), 1069 (CO), 733, 698 (CHaromat., out of plane).
(1S,2R,3S,4R,5S)-4-[6-(Dibenzylamino)-2-methylthio-9H-purin-9-yl]-1-(chloromethyl)bicyclo[3.1.0]hexane-2,3-diol (31). Compound 29 (0.055 g, 0.10 mmol) was dissolved in a mixture of CH3OH (1.6 mL) and CH2Cl2 (1.5 mL). Trifluoroacetic acid (0.20 mL) and H2O (0.20 mL) were added. The mixture was heated to 70 °C for 6 h. The solvent was evaporated and the residue was purified by fc (CH3CN:H2O = 5:95 ⭢ 100:0, 12 mL/min, Biotage®® SNAP Ultra C18, 12 g, V = 20 mL) to afford the product 31 as a colorless solid (Rf = 0.31, cyclohexane:ethyl acetate = 1:1), yield 0.042 g (82%). C27H28ClN5O2S (522.06 g/mol). Purity (HPLC: method B): 97% (tR = 17.55 min). Exact mass (LC-MS-ESI): m/z calculated for C27H29ClN5O2S [M + H]+ 522.1725, found 522.1713. 1H-NMR (600 MHz, DMSO-d6) δ (ppm) = 8.09 (s, 1H, 8-CHpurine), 7.32 (t, J = 7.5 Hz, 4H, 3, 5-CHbenzyl), 7.27 (d, J = 7.4 Hz, 6H, 2, 4, 6-CHbenzyl), 5.54 (d, J = 15.2 Hz, 1H, CHHbenzyl), 5.48 (d, J = 15.4 Hz, 1H, CHHbenzyl), 5.30 (s, 1H, 3-OH), 4.87 (d, J = 14.9 Hz, 1H, CHHbenzyl), 4.82 (d, J = 14.9 Hz, 1H, CHHbenzyl), 4.79 (t, J = 7.5 Hz, 1H, 2-OH), 4.70 (s, 1H, 4-CH), 4.62 (ddd, J = 7.8, 6.7, 1.6 Hz, 1H, 2-CH), 4.16 (d, J = 11.4 Hz, 1H, ClCHH), 4.03 (q, J = 7.1 Hz, 0.2H, CH2, solvent: ethyl acetate), 3.94 (ddt, J = 6.4, 4.7, 1.5 Hz, 1H, 3-CH), 3.74 (d, J = 11.4 Hz, 1H, ClCHH), 2.41 (s, 3H, SCH3), 1.99 (s, 0.3H, OCH3, solvent: ethyl acetate), 1.69 (ddd, J = 9.2, 4.1, 1.2 Hz, 1H, 5-CH), 1.53 (t, J = 4.5 Hz, 1H, 6-CHH), 1.17 (t, J = 7.1 Hz, 0.1H, CH2CH3, solvent: ethyl acetate), 0.88 (ddd, J = 8.7, 4.8, 1.7 Hz, 1H, 6-CHH). 13C-NMR (151 MHz, DMSO-d6) δ (ppm) = 163.5 (1C, C-2purine), 153.4 (1C, C-6purine), 151.2 (1C, C-4purine), 137.9 (1C, C-1benzyl), 137.6 (1C, C-1benzyl), 137.0 (1C, C-8purine), 128.5 (4C, C-3, 5benzyl), 127.4 (4C, C-2, 6benzyl), 127.1 (2C, C-4purine), 116.5 (1C, C-5purine), 76.1 (1C, C-3), 70.9 (1C, C-2), 61.0 (1C, C-4), 59.8 (0.1C, CH2, solvent: ethyl acetate), 50.8 (1C, CH2 benzyl), 49.4 (1C, ClCH2), 48.8 (1C, CH2 benzyl), 35.9 (1C, C-1), 25.5 (1C, C-5), 20.8 (0.1C, OCH3, solvent: ethyl acetate), 14.8 (1C, C-6), 14.1 (0.1C, CH2CH3, solvent: ethyl acetate), 13.8 (1C, SCH3). FT-IR (neat) ṽ (cm−1) = 3341 (O-H), 2978 (C-Haliphat.), 1562 (C = Caromat.), 1072 (C-O), 783 (C-Cl), 733, 694 (C-Haromat., out of plane).
Di-(tert-butyl)-N-[9-((1R,2R,3S,4R,5S)-1-{[(tert-butyldiphenylsilyl)oxy]methyl}-2,3-dihydroxy-2,3-O-isopropylidenebicyclo[3.1.0]hex-4-yl)-2-chloro 9H-purin-6-yl]dicarbamate (35). An amount of 2-chloroadenine (3.02 g, 17.8 mmol) was suspended in THF (88 mL) and di-tert-butyl dicarbonate (15.9 g, 73.1 mmol, 4.1 eq.) and DMAP (0.22 g, 1.82 mmol, 0.1 eq.) were added. The mixture was stirred at rt overnight. The solvent was evaporated and the residue redissolved in ethyl acetate. The organic phase was washed with 1 M HCl and brine. After drying over anh. Na2SO4, the solvent was evaporated. The residue was dissolved in CH3OH (177 mL) and saturated NaHCO3 solution (80 mL) was added. The mixture was stirred for 2.5 h at 50 °C. CH3OH was evaporated and the aqueous residue diluted with H2O. The aqueous phase was extracted four times with CH2Cl2 After drying over anh. Na2SO4, the solvent was evaporated. The residue was purified by fc (cyclohexane:ethyl acetate = 1:4, Ø = 6 cm, l = 10 cm, V = 65 mL), but only a mixture of product and byproducts were obtained. It was purified again by fc (cyclohexane:ethyl acetate = 1:1, Ø = 6 cm, l = 10 cm, V = 65 mL) to afford the pure product as a colorless solid (Rf = 0.17, cyclohexane:ethyl acetate = 1:1), yield 4.85 g (74%). C15H20ClN5O4 (369.81 g/mol). Melting point: 85.9 °C. Purity (HPLC: method B): 99% (tR = 13.25 min). Exact mass (APCI): m/z calculated for C15H21ClN5O4 [M + H]+ 370.1277, found 370.1277. 1H-NMR (400 MHz, DMSO-d6) δ (ppm) = 13.60 (s, 1H, NH), 8.60 (s, 1H, 8-CHpurine), 1.41 (s, 18H, C(CH3)3). 13C-NMR (101 MHz, DMSO-d6) δ (ppm) = 150.7 (1C, C-2purine), 149.0 (2C, C = O), 146.5 (1C, C-8purine), 83.5 (2C, C(CH3)3), 27.0 (6C, C(CH3)3); C-1, C-3 and C-5 were not visible. FT-IR (neat) ṽ (cm−1) = 3244 (N-H), 2978 (C-Haliphat.), 1778, 1736 (C = O), 1134, 1107 (C-O).
Next, the purine (1.14 g, 3.08 mmol, 1.1 eq.) and triphenylphospane (1.05 g, 4.00 mmol, 1.5 eq.) were dissolved in THF (25 mL) under nitrogen atmosphere. DIAD (0.78 mL, 3.97 mmol, 1.5 eq.) was added dropwise at 0 °C. The mixture was stirred for 30 min at rt. A solution of the alcohol 4 (1.19 g, 2.70 mmol) in THF (22 mL) was added and the solution was stirred overnight. The solvent was evaporated and the residue was purified by fc (cyclohexane:ethyl acetate = 5:1 + 0.5% triethylamine, Ø = 6 cm, l = 10 cm, V = 65 mL) to afford the product 35 as a colorless solid (Rf = 0.32, cyclohexane:ethyl acetate = 5:1), yield 1.80 g (84%). C41H52ClN5O7Si (790.43 g/mol). Melting point: 88.6 °C. Purity (HPLC: method C): 98% (tR = 18.48 min). Exact mass (APCI): m/z calculated for C31H37ClN5O3Si [M + H+, -2 COOC(CH3)3, +2H]+ 590.2349, found 590.2362. 1H-NMR (400 MHz, DMSO-d6) δ (ppm) = 8.74 (s, 1H, 8-CHpurine), 7.59 (ddd, J = 7.9, 6.4, 1.5 Hz, 4H, 2, 6-CHPh), 7.47–7.31 (m, 6H, 3, 4, 5-CHPh), 5.23 (dd, J = 7.1, 1.2 Hz, 1H, 2-CHbicyclohexane), 5.04 (s, 1H, 4-CHbicyclohexane), 4.83 (dd, J = 7.2, 1.6 Hz, 1H, 3-CHbicyclohexane), 4.06 (d, J = 10.6 Hz, 1H, OCHH), 3.83 (d, J = 10.6 Hz, 1H, OCHH), 1.72 (ddd, J = 9.2, 4.5, 1.5 Hz, 1H, 5-CHbicyclohexane), 1.46 (s, 3H, C(CH3)2), 1.41 (s, 18H, OC(CH3)3), 1.39 (s, 0.4H, CH2, solvent: cyclohexane), 1.20 (s, 3H, C(CH3)2), 0.99 (s, 11H, 6-CH2 bicyclohexane, SiC(CH3)3). 13C-NMR (101 MHz, DMSO-d6) δ (ppm) = 153.8 (1C, C-4purine), 151.1 (1C, C-2purine), 149.9 (1C, C-6purine), 149.6 (2C, C = O), 144.8 (1C, C-8purine), 135.0 (4C, C-2, 6Ph), 132.7 (2C, C-1Ph), 129.8 (2C, C-4Ph), 127.8 (4C, C-3, 5Ph), 126.9 (1C, C-5purine), 111.5 (1C, C(CH3)2), 87.6 (1C, C-3bicyclohexane), 84.1 (2C, OC(CH3)3), 81.4 (1C, C-2bicyclohexane), 64.3 (1C, OCH2), 59.4 (1C, C-4bicyclohexane), 38.3 (1C, C-1bicyclohexane), 29.4 (1C, C-5bicyclohexane), 27.2 (6C, OC(CH3)3), 26.7 (3C, SiC(CH3)3), 26.3 (0.1C, CH2, solvent: cyclohexane), 25.8 (1C, C(CH3)2), 24.3 (1C, C(CH3)2), 18.8 (1C, SiC(CH3)3), 11.9 (1C, C-6bicyclohexane). FT-IR (neat) ṽ (cm−1) = 2978, 2932 (C-Haliphat.), 1759 (C = O), 1593, 1574 (C = Caromat.), 1107, 1069, 1038 (C-O), 741, 702 (C-Haromat., out of plane).
Tert-Butyl-N-{9-[(1R,2R,3S,4R,5S)-2,3-dihydroxy-1-(hydroxymethyl)-2,3-O-isopropylidenebicyclo[3.1.0]hex-4-yl]-2-methylthio-9H-purin-6-ylcarbamate (37). Compound 35 (1.00 g, 1.27 mmol) was dissolved in THF (20 mL). Tetrabutylammonium fluoride trihydrate (TBAF x 3H2O, 0.60 g, 1.91 mmol, 1.5 eq.) was added and the mixture was stirred at rt for 1 h. The solvent was evaporated, and the residue was dissolved in DMF (20 mL). NaSCH3 (1.35 g, 19.3 mmol, 15 eq.) was added, and the slurry was stirred overnight. Next, H2O (0.5 mL) was added, and the mixture was heated to 70 °C for 2 h. The reaction was concentrated in vacuo and the residue was purified by fc (CH3CN:H2O = 5:95 ⭢ 100:0, 50 mL/min, Biotage®® SNAP C18, 120 g, V = 20 mL) to afford the alcohol 37 as a colorless solid (Rf = 0.24, ethyl acetate = 100%), yield 0.37 g (63%). C21H29N5O5S (463.55 g/mol). Melting point: 110.1 °C. Purity (HPLC: method B): 94% (tR = 12.27 min). Exact mass (LC-MS-ESI): m/z calculated for C21H30N5O5S [M + H]+ 464.1962, found 464.1966. 1H-NMR (600 MHz, DMSO-d6) δ (ppm) = 10.90 (s, 1H, NH), 8.42 (s, 1H, 8-CHpurine), 5.75 (s, 0.6H, CH2Cl2, solvent: dichloromethane), 5.23 (dd, J = 7.1, 1.3 Hz, 1H, 2CHbicyclohexane), 4.99 (s, 1H, OH), 4.95 (s, 1H, 4-CHbicyclohexane), 4.65 (dd, J = 7.1, 1.5 Hz, 1H, 3-CHbicyclohexane), 3.84 (dd, J = 11.5, 4.0 Hz, 1H, OCHH), 3.37 (dd, J = 11.5, 3.9 Hz, 1H, OCHH), 2.59 (s, 3H, SCH3), 1.64 (ddd, J = 9.2, 4.4, 1.5 Hz, 1H, 5CHbicyclohexane), 1.48 (s, 9H, C(CH3)3), 1.45 (s, 3H, C(CH3)2), 1.18 (s, 3H, C(CH3)2), 0.98 (t, J = 4.8 Hz, 1H, 6CHHbicyclohexane), 0.89 (ddd, J = 9.1, 5.1, 1.5 Hz, 1H, 6CHHbicyclohexane); the 1HNMR spectrum displayed small impurities in the range of about 5%. 13C-NMR (151 MHz, DMSO-d6) δ (ppm) = 163.8 (1C, C-2purine), 151.9 (1C, C-4purine), 151.0 (1C, C = O), 149.7 (1C, C-6purine), 140.9 (1C, C-8purine), 120.6 (1C, C-5purine), 111.3 (1C, C(CH3)2), 88.1 (1C, C-3bicyclohexane), 80.9 (1C, C-2bicyclohexane), 80.2 (1C, C(CH3)3), 62.5 (1C, OCH2), 58.4 (1C, C-4bicyclohexane), 54.9 (0.3C, CH2Cl2, solvent: dichloromethane), 38.8 (1C, C-1bicyclohexane), 29.6 (1C, C5bicyclohexane), 27.9 (3C, C(CH3)3), 25.6 (1C, C(CH3)2), 24.2 (1C, C(CH3)2), 14.0 (1C, SCH3), 12.6 (1C, C6bicyclohexane); the 13C-NMR spectrum displayed small impurities in the range of about 5%. FT-IR (neat) ṽ (cm−1) = 3341 (O-H), 2978 (C-Haliphat.), 1759 (C = O), 1609, 1582 (C = Caromat.), 1134, 1061, 1015 (C-O).
Tert-Butyl-N-{9-[(1R,2R,3S,4R,5S)-1-(azidomethyl)-2,3-dihydroxy-2,3-O-isopropylidenebicyclo[3.1.0]hex-4-yl]-2-methylthio-9H-purin-6-yl}carbamate (38). The alcohol 37 (2.19 g, 4.72 mmol) was suspended in CH2Cl2 (110 mL), tosyl chloride (1.81 g, 9.49 mmol, 2 eq.), triethylamine (1.5 mL, 10.8 mmol, 2.3 eq.), and DMAP (0.066 g, 0.54 mmol, 0.1 eq.) were added. The mixture was stirred at rt overnight. Water was added and the mixture was extracted four times with CH2Cl2. The organic phase was dried over anh. Na2SO4 and concentrated in vacuo. The residue was dissolved in DMF (60 mL) and NaN3 (4.60 g, 70.8 mmol, 15 eq.) was added. The mixture was heated to 70 °C for 2 h. Water and brine were added and the reaction mixture was extracted four times with CH2Cl2. The organic phase was dried over anh. Na2SO4 and concentrated in vacuo. The residue was purified by fc (CH3CN:H2O = 5:95 ⭢ 80:20, 50 mL/min, Biotage®® SNAP C18, 120 g, V = 20 mL) to afford the azide 38 as a colorless solid (Rf = 0.27, cyclohexane:ethyl acetate = 1:1), yield 1.26 g (55%). C21H28N8O4S (488.57 g/mol). Melting point: 83.8 °C. Purity (HPLC: method B): 98% (tR = 16.55 min). Exact mass (APCI): m/z calculated for C31H37ClN5O3Si [M + H]+ 489.2027, found 489.2027. 1H-NMR (400 MHz, DMSO-d6) δ (ppm) = 10.08 (s, 1H, NH), 8.31 (s, 1H, 8-CHpurine), 5.75 (s, 0.2H, CH2Cl2, solvent: dichloromethane), 5.25 (dd, J = 7.1, 1.3 Hz, 1H, 2CHbicyclohexane), 4.97 (s, 1H, 4-CHbicyclohexane), 4.81 (dd, J = 7.1, 1.3 Hz, 1H, 3CHbicyclohexane), 3.74 (d, J = 13.0 Hz, 1H, NCHH), 3.47 (d, J = 13.0 Hz, 1H, NCHH), 2.60 (s, 3H, SCH3), 2.08 (s, 0.1H, CH3CN, solvent: acetonitrile), 1.71 (ddd, J = 9.3, 4.6, 1.5 Hz, 1H, 5CHbicyclohexane), 1.48 (s, 9H, C(CH3)3), 1.47 (s, 3H, C(CH3)2), 1.20 (s, 3H, C(CH3)2), 1.09 (t, J = 5.0 Hz, 1H, 6CHHbicyclohexane), 1.04 (ddd, J = 9.2, 5.3, 1.5 Hz, 1H, 6-CHHbicyclohexane). 13C-NMR (101 MHz, DMSO-d6) δ (ppm) = 163.7 (1C, C-2purine), 152.0 (1C, C-4purine), 150.8 (1C, C = O), 149.6 (1C, C-6purine), 141.5 (1C, C-8purine), 120.8 (1C, C-5purine), 111.5 (1C, C(CH3)2), 88.1 (1C, C-3bicyclohexane), 82.8 (1C, C-2bicyclohexane), 80.2 (1C, C(CH3)3), 59.0 (1C, C-4bicyclohexane), 54.1 (1C, NCH2), 36.3 (1C, C-1bicyclohexane), 30.0 (1C, C5bicyclohexane), 27.8 (3C, C(CH3)3), 25.8 (1C, C(CH3)2), 24.1 (1C, C(CH3)2), 14.0 (1C, SCH3), 13.9 (1C, C-6bicyclohexane). FT-IR (neat) ṽ (cm−1) = 2982, 2924 (C-Haliphat.), 2099 (N = N=N), 1751, 1712 (C = O), 1605, 1578 (C = Caromat.), 1138, 1053 (C-O).
(1R,2R,3S,4R,5S)-4-(6-Amino-2-methylthio-9H-purin-9-yl)-1-{[4-(hydroxymethyl)-1H-1,2,3-triazol-1-yl]methyl}bicyclo[3.1.0]hexane-2,3-diol (39). The azide 38 (0.030 g, 0.06 mmol) was dissolved in tert-butanol (0.5 mL). Propargyl alcohol (0.015 mL, 0.26 mmol, 4.2 eq.), copper(II) acetylacetonate (0.001 g, 0.004 mmol, 0.06 eq.), sodium ascorbate (0.007 g, 0.04 mmol, 0.6 eq.), and H2O (0.5 mL) were added. The mixture was stirred for 5 h at rt. The solvent was evaporated and the residue was purified by fc (CH3CN:H2O = 5:95 ⭢ 100:0, 12 mL/min, Biotage®® SNAP Ultra C18, 12 g, V = 20 mL) to afford the Boc-protected triazole as a colorless solid (Rf = 0.30, CH2Cl2:CH3OH = 95:5), yield 0.020 g (59%). C24H32N8O5S (544.63 g/mol). Purity (HPLC: method B): 97% (tR = 11.30 min). Exact mass (LC-MS-ESI): m/z calculated for C24H32DN8O5S [M + H]+ 546.2352, found 546.2337. Exact mass (APCI): m/z calculated for C19H25N8O3S [M + 2H+, -COOC(CH3)3]+ 445.1765, found 445.1765. 1H-NMR (400 MHz, CD3OD) δ (ppm) = 7.97 (s, 1H, 5-CHtriazole), 5.34 (dd, J = 7.1, 1.4 Hz, 1H, 2-CHbicyclohexane), 5.00 (s, 1H, 4-CHbicyclohexane), 4.95 (d, J = 14.6 Hz, 1H, NCHH), 4.87 (dd, J = 7.3, 1.5 Hz, 1H, 3-CHbicyclohexane), 4.69 (dd, J = 13.2, 2.1 Hz, 2H, OCH2), 4.52 (d, J = 14.6 Hz, 1H, NCHH), 3.35 (s, 0.8H, CH3OH, solvent: methanol), 2.63 (s, 3H, SCH3), 1.89 (ddd, J = 9.4, 4.7, 1.6 Hz, 1H, 5CHbicyclohexane), 1.58 (s, 9H, C(CH3)3), 1.47 (s, 3H, C(CH3)2), 1.26 (t, J = 5.2 Hz, 1H, 6-CHHbicyclohexane), 1.22 (s, 3H, C(CH3)2), 1.15 (ddd, J = 9.4, 5.7, 1.5 Hz, 1H, 6-CHHbicyclohexane); 8-CHpurine was not visible due to occurrence of deuterium exchange at this position. 13C-NMR (101 MHz, CD3OD) δ (ppm) = 167.3 (1C, C-2purine), 153.3 (1C, C-4purine), 152.5 (1C, C = O), 150.9 (1C, C-6purine), 149.2 (1C, C-4triazole), 124.4 (1C, C-5triazole), 120.8 (1C, C-5purine), 113.6 (1C, C(CH3)2), 90.2 (1C, C-3bicyclohexane), 84.6 (1C, C2bicyclohexane), 82.7 (1C, C(CH3)3), 61.7 (1C, C-4bicyclohexane), 56.6 (1C, OCH2), 54.8 (1C, NCH2), 38.2 (1C, C-1bicyclohexane), 33.4 (1C, C5bicyclohexane), 28.5 (3C, C(CH3)3), 26.2 (1C, C(CH3)2), 24.4 (1C, C(CH3)2), 15.2 (1C, C6bicyclohexane), 14.8 (1C, SCH3); C8purine was not visible. FT-IR (neat) ṽ (cm−1) = 3341 (O-H), 3148 (N-H), 2978 (C-Haliphat.), 1751, 1717 (C = O), 1605, 1578 (C = Caromat.), 1142, 1053 (C-O).
The triazole (0.015 g, 0.03 mmol) was dissolved in CH3OH (0.8 mL) and trifluoroacetic acid (0.10 mL) and H2O (0.10 mL) were added. The mixture was heated to 70 °C for 6 h. The solvent was evaporated and the residue was purified by semi-preparative HPLC (method B) to afford the product 39 as a colorless solid (Rf = 0.30, CH2Cl2:CH3OH = 8:2), yield 0.006 g (54%). C16H20N8O3S (404.14 g/mol). Purity (HPLC: method B): 97% (tR = 3.55 min). Exact mass (LC-MS-ESI): m/z calculated for C16H20DN8O3S [M + H]+ 406.1515, found 406.1515 and for C16H21N8O3S [M + H]+ 405.1452, found 405.1454. 1H-NMR (600 MHz, DMSO-d6) δ (ppm) = 8.00 (s, 1H, 5-CHtriazole), 7.42 (s, 0.3H, 8CHpurine), 7.32 (s, 1H, NH2), 4.73 (d, J = 14.5 Hz, 1H, NCHH), 4.61 (d, J = 1.8 Hz, 1H, 4-CH), 4.55–4.49 (m, 3H, NCHH, OCH2), 4.52 (dd, J = 6.6, 1.4 Hz, 1H, 2-CH), 4.03 (q, J = 7.1 Hz, 0.1H, CH2, solvent: ethyl acetate),3.81 (dt, J = 6.5, 1.6 Hz, 1H, 3-CH), 2.47 (s, 3H, SCH3), 1.99 (s, 0.1H, OCH3, solvent: ethyl acetate), 1.67 (dd, J = 8.5, 4.0 Hz, 1H, 5CH), 1.42 (t, J = 4.5 Hz, 1H, 6-CHH), 1.17 (t, J = 7.1 Hz, 0.1H, CH2CH3, solvent: ethyl acetate), 0.83 (ddd, J = 8.7, 4.9, 1.6 Hz, 1H, 6-CHH); 8-CHpurine showed a reduced intensity due to occurrence of deuterium exchange at this position. 13C-NMR (151 MHz, DMSO-d6) δ (ppm) = 163.8 (1C, C-2purine), 155.4 (1C, C-6Purine), 149.7 (1C, C-4purine), 148.0 (1C, C-4triazole), 137.4 (1C, C-8purine), 123.4 (1C, C-5triazole), 116.4 (1C, C-5purine), 76.5 (1C, C-3), 71.8 (1C, C-2), 61.1 (1C, C-4), 55.1 (1C, OCH2) 52.2 (1C, NCH2), 34.7 (1C, C1), 24.3 (1C, C-5), 13.7 (1C, SCH3), 12.8 (1C, C-6).
Methyl 1-{[(1R,2R,3S,4R,5S)-4-(6-amino-2-methylthio-9H-purin-9-yl)-2,3-dihydroxybicyclo[3.1.0]hex-1-yl]methyl}-1H-1,2,3-triazole-4-carboxylate (40). The azide 38 (0.054 g, 0.11 mmol) was dissolved in tert-butanol (0.8 mL) and methyl propiolate (0.045 mL, 0.51 mmol, 4.6 eq.), copper(II) acetylacetonate (0.004 g, 0.02 mmol, 0.1 eq.), sodium ascorbate (0.010 g, 0.05 mmol, 0.5 eq.), and H2O (0.8 mL) were added. The mixture was stirred at 80° C for 1.5 h. The solvent was evaporated and the residue was purified by fc (CH3CN:H2O = 5:95 ⭢ 100:0, 12 mL/min, Biotage®® SNAP Ultra C18, 12 g, V = 20 mL) to afford the triazole 125 as a colorless solid (Rf = 0.34, ethyl acetate = 100%), yield 0.042 g (66%). C25H32N8O6S (572.64 g/mol). Purity (HPLC: method B): 91% (tR = 14.38 min). Exact mass (APCI): m/z calculated for C20H25N8O4S [M + 2H, -COOC(CH3)3]+ 473.1714, found 473.1709. 1H-NMR (600 MHz, DMSO-d6) δ (ppm) = 10.11 (s, 1H, NH), 8.77 (s, 1H, 5-CH), 8.18 (s, 1H, 8CHpurine), 5.75 (s, 0.2H, CH2Cl2, solvent: dichloromethane), 5.24 (dd, J = 7.1, 1.4 Hz, 1H, 2CHbicyclohexane), 4.98 (s, 1H, 4-CHbicyclohexane), 4.97 (d, J = 14.5 Hz, 1H, NCHH), 4.83 (dd, J = 7.3, 1.5 Hz, 1H, 3-CHbicyclohexane), 4.49 (d, J = 14.5 Hz, 1H, NCHH), 3.84 (s, 3H, OCH3), 2.57 (s, 3H, SCH3), 2.01 (ddd, J = 9.4, 4.7, 1.6 Hz, 1H, 5CHbicyclohexane), 1.48 (s, 9H, C(CH3)3), 1.39 (s, 3H, C(CH3)2), 1.25 (ddd, J = 9.2, 5.4, 1.6 Hz, 1H, 6CHHbicyclohexane), 1.14 (s, 3H, C(CH3)2), 1.08 (t, J = 5.0 Hz, 1H, 6CHHbicyclohexane); the 1HNMR spectrum displayed small impurities in the range of about 5%. 13C-NMR (151 MHz, DMSO-d6) δ (ppm) = 163.8 (1C, C-2purine), 160.7 (1C, C-4carbonyl), 152.0 (1C, C-4purine), 150.8 (1C, C-Ncarbonyl), 149.6 (1C, C-6purine), 141.4 (1C, C-8purine), 138.7 (1C, C4), 129.1 (1C, C-5), 120.7 (1C, C-5purine), 111.5 (1C, C(CH3)2), 88.2 (1C, C-3bicyclohexane), 82.4 (1C, C-2bicyclohexane), 80.2 (1C, C(CH3)3), 59.1 (1C, C-4bicyclohexane), 54.9 (0.1C, CH2Cl2, solvent: dichloromethane), 53.3 (1C, NCH2), 51.8 (1C, OCH3), 36.7 (1C, C-1bicyclohexane), 31.8 (1C, C5bicyclohexane), 27.9 (3C, C(CH3)3), 25.8 (1C, C(CH3)2), 24.1 (1C, C(CH3)2), 14.1 (1C, C6bicyclohexane), 14.0 (1C, SCH3); the 13CNMR spectrum displayed small impurities in the range of about 5%. FT-IR (neat) ṽ (cm−1) = 2978 (C-Haliphat.), 1732 (C = O), 1605, 1578 (C = Caromat.), 1142, 1069, 1053 (C-O).
The triazole (0.038 g, 0.07 mmol) was dissolved in CH3OH (1.6 mL), trifluoroacetic acid (0.20 mL) and H2O (0.20 mL) were added. The mixture was heated to 70 °C overnight. The solvent was evaporated and the residue was purified by fc (CH3CN:H2O = 5:95 ⭢ 100:0, 12 mL/min, Biotage®® SNAP C18, 12 g, V = 20 mL) to afford the product 40 as a colorless solid (Rf = 0.32, CH2Cl2:CH3OH = 9:1), yield 0.013 g (44%). C17H20N8O4S (432.46 g/mol). Purity (HPLC: method B): 96% (tR = 4.86 min). Exact mass (LC-MS-ESI): m/z calculated for C17H21N8O4S [M + H]+ 433.1401, found 433.1402. 1H-NMR (600 MHz, DMSO-d6) δ (ppm) = 8.76 (s, 1H, 5-CH), 7.55 (s, 1H, 8-CHpurine), 7.31 (s, 2H, NH2), 5.26 (d, J = 4.8 Hz, 1H, 3-OHbicyclohexane), 4.76–4.72 (m, 2H, 2-OHbicyclohexane, NCHH), 4.69 (d, J = 14.5 Hz, 1H, NCHH), 4.63 (s, 1H, 4-CHbicyclohexane), 4.52 (td, J = 7.3, 1.5 Hz, 1H, 2-CHbicyclohexane), 4.09 (q, J = 5.3 Hz, 0.4H, CH3OH, solvent: methanol), 3.90 (ddt, J = 6.5, 4.8, 1.6 Hz, 1H, 3-CHbicyclohexane), 3.83 (s, 3H, OCH3), 3.17 (d, J = 5.2 Hz, 0.8H, CH3OH, solvent: methanol), 2.45 (s, 3H, SCH3), 1.77 (dd, J = 8.5, 4.0 Hz, 1H, 5-CHbicyclohexane), 1.43 (t, J = 4.5 Hz, 1H, 6-CHHbicyclohexane), 0.91 (ddd, J = 8.7, 4.9, 1.6 Hz, 1H, 6-CHHbicyclohexane). 13C-NMR (151 MHz, DMSO-d6) δ (ppm) = 163.9 (1C, C-2purine), 160.7 (1C, C = O), 155.4 (1C, C-6purine), 149.7 (1C, C-4purine), 138.5 (1C, C-4), 137.6 (1C, C-8purine), 129.4 (1C, C-5), 116.6 (1C, C-5purine), 76.3 (1C, C-3bicyclohexane), 72.2 (1C, C-2bicyclohexane), 61.4 (1C, C-4bicyclohexane), 53.2 (1C, NCH2), 51.7 (1C, OCH3), 48.6 (0.2C, CH3OH, solvent: methanol), 34.4 (1C, C-1bicyclohexane), 24.8 (1C, C-5bicyclohexane), 13.7 (1C, SCH3), 12.9 (1C, C-6bicyclohexane). FT-IR (neat) ṽ (cm−1) = 3341 (O-H), 3148 (N-H), 2978 (C-Haliphat.), 1678 (C = O), 1589 (C = Caromat.), 1130, 1080, 1053 (C-O).
Methyl 2-(1-{[(1R,2R,3S,4R,5S)-4-(6-amino-2-methylthio-9H-purin-9-yl)-2,3-dihydroxybicyclo[3.1.0]hex-1-yl]methyl}-1H-1,2,3-triazol-4-yl)acetate (41). The azide 38 (0.045 g, 0.09 mmol) was dissolved in tert-butanol (0.75 mL) and 3-butynoic acid (0.031 g, 0.37 mmol, 4 eq.), copper(II) acetylacetonate (0.001 g, 0.004 mmol, 0.04 eq.), sodium ascorbate (0.007 g, 0.04 mmol, 0.4 eq.), and H2O (0.75 mL) were added. The mixture was stirred at rt for 6 h. The solvent was evaporated and the residue was purified by fc (CH3CN:H2O = 5:95 ⭢ 100:0, 12 mL/min, Biotage®® SNAP Ultra C18, 12 g, V = 20 mL) to afford the triazole as a colorless solid (Rf = 0.18, CH2Cl2:CH3OH = 9:1), yield 0.017 g (33%). C25H32N8O6S (572.64 g/mol). Purity (HPLC: method B): 84% (tR = 12.93 min). Exact mass (LC-MS-ESI): m/z calculated for C25H33N8O6S [M + H]+ 573.2238, found 573.2223. 1H-NMR (600 MHz, DMSO-d6) δ (ppm) = 10.11 (s, 1H, NH), 8.14 (s, 1H, 8-CHpurine), 8.00 (s, 1H, 5-CHtriazole), 5.19 (s, 1H, 2-CHbicyclohexane), 4.97 (s, 1H, 4-CHbicyclohexane), 4.83 (d, J = 13.7 Hz, 1H, NCHH), 4.79 (d, J = 7.0 Hz, 1H, 3-CHbicyclohexane), 4.50 (d, J = 14.5 Hz, 1H, NCHH), 3.66 (s, 2H, 2-CH2), 3.17 (s, 0.1H, CH3OH, solvent: methanol), 2.58 (s, 3H, SCH3), 1.90 (s, 1H, 5-CHbicyclohexane), 1.49 (s, 9H, C(CH3)3), 1.42 (s, 3H, C(CH3)2), 1.15 (s, 4H, C(CH3)2, 6-CHHbicyclohexane), 1.09 (s, 1H, 6-CHHbicyclohexane). 13C-NMR (151 MHz, DMSO-d6) δ (ppm) = 171.5 (1C, C-1), 163.8 (1C, C-2purine), 152.0 (1C, C-4purine), 150.8 (1C, C-Ncarbonyl), 149.6 (1C, C-6purine), 141.3 (1C, C-8purine), 140.5 (1C, C-4triazole), 123.7 (1C, C-5triazole), 120.5 (1C, C-5purine), 111.5 (1C, C(CH3)2), 88.3 (1C, C-3bicyclohexane), 82.3 (1C, C-2bicyclohexane), 80.3 (1C, C(CH3)3), 58.9 (1C, C-4bicyclohexane), 52.5 (1C, NCH2), 36.6 (1C, C-1bicyclohexane), 31.7 (1C, C-5bicyclohexane), 31.6 (1C, C-2), 27.9 (3C, C(CH3)3), 25.8 (1C, C(CH3)2), 24.1 (1C, C(CH3)2), 14.0 (2C, C-6bicyclohexane, SCH3). FT-IR (neat) ṽ (cm−1) = 2986 (C-Haliphat.), 1721 (C = O), 1605, 1578 (C = Caromat.), 1142, 1053 (C-O).
The triazole (0.065 g, 0.11 mmol) was dissolved in CH3OH (1.7 mL) and trifluoroacetic acid (0.20 mL) and H2O (0.10 mL) were added. The mixture was heated to 60 °C for 1 d and then at rt overnight. The solvent was evaporated and the residue was purified by semi-preparative HPLC (method F) to afford the ester 41 as a colorless solid (Rf = 0.24, CH2Cl2:CH3OH = 9:1), yield 0.024 g (48%). C18H22N8O4S (446.15 g/mol). Melting point: 214.6 °C. Purity (HPLC: method B): 98% (tR = 5.15 min). Exact mass (LC-MS-ESI): m/z calculated for C18H23N8O4S [M + H]+ 447.1557, found 447.1558. The compound 41 shows two different rotamers a and b in the NMR spectra in a ratio of approximately 10:1. 1H-NMR (400 MHz, DMSO-d6) δ (ppm) = 8.58 (s, 0.1H, 5-CHtriazole, rotam. b), 8.04 (s, 1H, 5-CHtriazole, rotam. a), 7.72 (s, 0.1H, 8-CHpurine, rotam. b), 7.42 (s, 1H, 8-CHpurine, rotam. a), 7.30 (s, 2.1H, NH2, rotam. a, b), 5.25 (d, J = 4.3 Hz, 1H, 3a-OHbicyclohexane), 4.90 (d, J = 14.4 Hz, 0.1H, NCHHrotam. b), 4.82 (d, J = 7.3 Hz, 0.1H, 2-CHbicyclohexane, rotam. b), 4.81–4.72 (m, 2H, 2-OHbicyclohexane, rotam. a, NCHHrotam. a), 4.68 (s, 0.1H, 4-CHbicyclohexane, rotam. b), 4.61 (s, 1H, 4-CHbicyclohexane, rotam. a), 4.52 (d, J = 14.5 Hz, 1H, NCHHrotam. a), 4.42 (t, J = 5.7 Hz, 1.1H, 2-CHbicyclohexane, rotam. a, NCHHrotam. b), 3.97 (dd, J = 7.0, 1.7 Hz, 0.1H, 3-CHbicyclohexane, rotam. b), 3.86-3.72 (m, 3H, 3-CHbicyclohexane, rotam. a, 2-CH2, rotam. a), 3.63 (s, 3H, OCH3, rotam. a), 3.58 (s, 0.2H, OCH3, rotam. b), 3.52 (d, J = 16.8 Hz, 0.1H, 2-CHHrotam. b), 2.47 (s, 2.9H, SCH3, rotam. a, b), 1.85 (t, J = 4.7 Hz, 0.1H, 6-CHHbicyclohexane, rotam. b), 1.67 (dd, J = 8.7, 4.0 Hz, 1H, 5-CHbicyclohexane, rotam. a), 1.60 (dd, J = 9.1, 4.6 Hz, 0.1H, 5-CHbicyclohexane, rotam. b), 1.42 (t, J = 4.5 Hz, 1H, 6-CHHbicyclohexane, rotam. a), 0.83 (ddd, J = 8.7, 4.9, 1.5 Hz, 1H, 6-CHHbicyclohexane, rotam. a), 0.67–0.57 (m, 0.1H, 6-CHHbicyclohexane, rotam. b); the signal for 2-CHHrotam. b is located under the H2O signal and therefore only visible in 2D spectra. 13C-NMR (101 MHz, DMSO-d6) δ (ppm) = 170.4 (1C, C = O), 163.8 (1C, C-2purine), 155.4 (1C, C-6purine), 149.8 (1C, C-4purine), 139.8 (1C, C-4triazole), 137.4 (1C, C-8purine), 124.2 (1C, C-5triazole), 116.5 (1C, C-5purine), 76.5 (1C, C-3bicyclohexane), 71.8 (1C, C-2bicyclohexane), 61.2 (1C, C-4bicyclohexane), 52.2 (1C, NCH2), 51.9 (1C, OCH3), 34.7 (1C, C-1bicyclohexane), 31.1 (1C, C-2), 24.4 (1C, C-5bicyclohexane), 13.7 (1C, SCH3), 12.9 (1C, C-6bicyclohexane). The resolution was too low to identify the 13C signals for rotamer b, therefore only rotamer a is described here. FT-IR (neat) ṽ (cm−1) = 3352 (O-H), 3244 (N-H), 1751 (C = O), 1624, 1585 (C = Caromat.), 1142, 1119, 1084, 1057 (C-O).
Methyl 3-(1-{[(1R,2R,3S,4R,5S)-4-(6-amino-2-methylthio-9H-purin-9-yl)-2,3-dihydroxybicyclo[3.1.0]hex-1-yl]methyl}-1H-1,2,3-triazol-4-yl)propanoate (42). The azide 38 (0.028 g, 0.06 mmol) was dissolved in tert-butanol (0.5 mL) and 4-pentynoic acid (0.024 g, 0.24 mmol, 4.3 eq.), copper(II) acetylacetonate (0.001 g, 0.004 mmol, 0.07 eq.), sodium ascorbate (0.006 g, 0.03 mmol, 0.5 eq.), and H2O (0.5 mL) were added. The mixture was stirred at rt for 5 h. The solvent was evaporated and the residue was purified by fc (CH3CN:H2O = 5:95 ⭢ 100:0, 12 mL/min, Biotage®® SNAP Ultra C18, 12 g, V = 20 mL) to afford the triazole as a colorless solid (Rf = 0.27, CH2Cl2:CH3OH = 9:1), yield 0.018 g (54%). C26H34N8O6S (586.67 g/mol). Purity (HPLC: method B): 96% (tR = 12.64 min). Exact mass (LC-MS-ESI): m/z calculated for C26H34DN8O6S [M + H]+ 588.2458, found 588.2452. 1H-NMR (400 MHz, CD3OD) δ (ppm) = 7.99 (s, 0.1H, 8-CHpurine), 7.82 (s, 1H, 5-CHtriazole), 5.23 (dd, J = 7.1, 1.4 Hz, 1H, 2-CHbicyclohexane), 5.00 (s, 1H, 4-CHbicyclohexane), 4.88–4.82 (m, 1H, 3-CHbicyclohexane, NCHH), 4.52 (d, J = 14.6 Hz, 1H, NCHH), 3.35 (s, 0.2H, CH3OH, solvent: methanol), 2.99 (t, J = 7.4 Hz, 2H, 3-CH2), 2.67 (t, J = 7.4 Hz, 2H, 2-CH2), 2.63 (s, 3H, SCH3), 1.89 (ddd, J = 9.4, 4.6, 1.6 Hz, 1H, 5-CHbicyclohexane), 1.58 (s, 9H, C(CH3)3), 1.48 (s, 3H, C(CH3)2), 1.26 (dd, J = 5.7, 4.7 Hz, 1H, 6-CHHbicyclohexane), 1.22 (s, 3H, C(CH3)2), 1.13 (ddd, J = 9.4, 5.7, 1.5 Hz, 1H, 6-CHHbicyclohexane); 8-CHpurine showed a reduced intensity and no coupling interaction due to occurrence of deuterium exchange at this position. 13C-NMR (101 MHz, CD3OD) δ (ppm) = 176.3 (1C, C-1), 167.4 (1C, C-2purine), 153.3 (1C, C-4purine), 152.5 (1C, C-Ncarbonyl), 150.9 (1C, C-6purine), 147.9 (1C, C-4triazole), 142.6 (1C, C-8purine), 123.9 (1C, C-5triazole), 120.7 (1C, C-5purine), 113.6 (1C, C(CH3)2), 90.0 (1C, C-3bicyclohexane), 84.4 (1C, C-2bicyclohexane), 82.7 (1C, C(CH3)3), 61.6 (1C, C-4bicyclohexane), 54.7 (1C, NCH2), 38.2 (1C, C-1bicyclohexane), 34.5 (1C, C-2), 33.2 (1C, C-5bicyclohexane), 28.5 (3C, C(CH3)3), 26.2 (1C, C(CH3)2), 24.4 (1C, C(CH3)2), 22.0 (1C, C-3), 15.3 (1C, C-6bicyclohexane), 14.8 (1C, SCH3). FT-IR (neat) ṽ (cm−1) = 2978 (C-Haliphat.), 1717 (C = O), 1605, 1578 (C = Caromat.), 1142, 1053 (C-O).
The triazole acid (0.015 g, 0.03 mmol) was dissolved in CH3OH (0.4 mL) and trifluoroacetic acid (0.05 mL) and H2O (0.05 mL) were added. The mixture was stirred at rt for 3 d. The solvent was evaporated and the residue was purified by semi-preparative HPLC (method D) to afford the ester 42 as a colorless solid (Rf = 0.24, CH2Cl2:CH3OH = 9:1), yield 0.004 g (34%). C19H24N8O4S (460.16 g/mol). Purity (HPLC: method B): 98% (tR = 5.67 min). Exact mass (LC-MS-ESI): m/z calculated for C19H24DN8O4S [M + H]+ 462.1777, found 462.1775 and for C19H25N8O4S [M + H]+ 461.1714, found 461.1709. 1H-NMR (600 MHz, DMSO-d6) δ (ppm) = 7.88 (s, 1H, 5-CHtriazole), 7.30 (s, 0.4H, 8CHpurine), 7.29 (s, 2H, NH2), 5.24 (d, J = 4.7 Hz, 1H, 3-OHbicyclohexane), 4.76 (d, J = 7.3 Hz, 1H, 2OHbicyclohexane), 4.73 (d, J = 14.5 Hz, 1H, NCHH), 4.61 (d, J = 1.7 Hz, 1H, 4-CHbicyclohexane), 4.44 (d, J = 14.5 Hz, 1H, NCHH), 4.40 (td, J = 7.0, 1.7 Hz, 1H, 2CHbicyclohexane), 4.03 (q, J = 7.1 Hz, 0.1H, CH2, solvent: ethyl acetate), 3.81 (tt, J = 6.3, 1.6 Hz, 1H, 3-CHbicyclohexane), 3.58 (s, 3H, OCH3), 2.88 (t, J = 7.5 Hz, 2H, 3-CH2), 2.67 (t, J = 7.5 Hz, 2H, 2-CH2), 2.46 (s, 3H, SCH3), 1.99 (s, 0.1H, OCH3, solvent: ethyl acetate), 1.65 (dd, J = 8.3, 4.1 Hz, 1H, 5CHbicyclohexane), 1.42 (t, J = 4.5 Hz, 1H, 6CHHbicyclohexane), 1.17 (t, J = 7.1 Hz, 0.1H, CH2CH3, solvent: ethyl acetate), 0.81 (ddd, J = 8.7, 4.9, 1.6 Hz, 1H, 6-CHHbicyclohexane); 8-CHpurine showed a reduced intensity due to occurrence of deuterium exchange at this position. 13C-NMR (151 MHz, DMSO-d6) δ (ppm) = 172.6 (1C, C-1), 163.8 (1C, C-2purine), 155.4 (1C, C6purine), 149.7 (1C, C-4purine), 145.4 (1C, C-4triazole), 137.3 (1C, C-8purine), 122.7 (1C, C-5triazole), 116.4 (1C, C-5purine), 76.3 (1C, C-3bicyclohexane), 71.7 (1C, C-2bicyclohexane), 61.1 (1C, C-4bicyclohexane), 52.0 (1C, NCH2), 51.4 (1C, OCH3), 34.8 (1C, C-1bicyclohexane), 32.8 (1C, C-2), 24.2 (1C, C-5bicyclohexane), 20.7 (1C, C-3), 13.6 (1C, SCH3), 12.9 (1C, C6bicyclohexane).
(1R,2R,3S,4R,5S)-4-(6-Amino-2-methylthio-9H-purin-9-yl)-1-{[4-(aminomethyl)-1H-1,2,3-triazol-1-yl]methyl}bicyclo[3.1.0]hexane-2,3-diol (43). The azide 38 (0.029 g, 0.06 mmol) was dissolved in tert-butanol (0.5 mL) and propargylamine (0.016 mL, 0.25 mmol, 4.2 eq.), copper(II) acetylacetonate (0.001 g, 0.004 mmol, 0.06 eq.), sodium ascorbate (0.007 g, 0.04 mmol, 0.6 eq.), and H2O (0.5 mL) were added. The mixture was stirred for 5 h at rt. The solvent was evaporated and the residue was purified by fc (CH3CN:H2O = 5:95 ⭢ 100:0 + 0.1% trifluoroacetic acid, 12 mL/min, Biotage®® SNAP Ultra C18, 12 g, V = 20 mL). The intermediate already partly decomposed (deprotection) during this purification and was therefore dissolved in CH3OH (0.5 mL). Next, triflouroacetic acid (0.05 mL) and H2O (0.10 mL) were added and the mixture was heated to 70 °C for 1 d. The solvent was evaporated and the residue was purified by fc (CH3CN:H2O = 5:95 ⭢ 100:0 + 0.1% trifluoroacetic acid, 12 mL/min, Biotage®® SNAP Ultra C18, 12 g, V = 20 mL), but the product remained impure. The impure product was purified by semi-preparative HPLC (method D) to afford the pure product 43 as a colorless solid (Rf = 0.15, CH3OH = 100% + 1% triethylamine), yield 0.002 g (8%). C16H21N9O2S (403.47 g/mol). Purity (HPLC: method D): 95% (tR = 8.88 min). Exact mass (LC-MS-ESI): m/z calculated for C16H22N9O2S [M + H]+ 404.1612, found 404.1624. 1H-NMR (600 MHz, DMSO-d6) δ (ppm) = 7.94 (s, 1H, 5-CHtriazole), 7.30 (s, 2H, NH2), 7.29 (s, 1H, 8-CHpurine), 4.76 (d, J = 14.5 Hz, 1H, NCHH), 4.62 (s, 1H, 4-CH), 4.46 (d, J = 14.4 Hz, 1H, NCHH), 4.41 (dd, J = 6.6, 1.5 Hz, 1H, 2-CH), 3.81 (dt, J = 6.6, 1.6 Hz, 1H, 3-CH), 3.77 (s, 2H, NH2CH2), 2.46 (s, 3H, SCH3), 1.66 (dd, J = 8.7, 4.0 Hz, 1H, 5CH), 1.43 (t, J = 4.5 Hz, 1H, 6-CHH), 0.83 (ddd, J = 8.7, 4.9, 1.6 Hz, 1H, 6-CHH). 13C-NMR (151 MHz, DMSO-d6) δ (ppm) = 163.8 (1C, C-2purine), 155.4 (1C, C-6purine), 149.7 (1C, C-4purine), 149.1 (1C, C-4triazole), 137.3 (1C, C-8purine), 122.7 (1C, C-5triazole), 116.5 (1C, C-5purine), 76.3 (1C, C-3), 71.7 (1C, C-2), 61.1 (1C, C-4), 52.0 (1C, NCH2), 37.1 (1C, NH2CH2), 34.9 (1C, C-1), 24.3 (1C, C-5), 13.6 (1C, SCH3), 12.9 (1C, C-6).
1-{[(1R,2R,3S,4R,5S)-4-(6-Amino-2-methylthio-9H-purin-9-yl)-2,3-dihydroxybicyclo[3.1.0]hex-1-yl]methyl}-1H-1,2,3-triazole-4-carboxylic acid (44). The ester 40 (0.082 g, 0.19 mmol) was suspended in CH3CN (0.7 mL) and H2O (2 mL), and NaOH solution-(2 M, 0.30 mL) was added. The mixture was heated to 60 °C overnight. The solvent was evaporated and the residue was purified by semi preparative HPLC (method A) to afford the carboxylic acid 44 as a colorless solid (Rf = 0.44, CH2Cl2:CH3OH = 1:1), yield 0.036 g (45%). C16H18N8O4S (418.43 g/mol). Melting point: 139.3 °C. Purity (HPLC: method B): > 99% (tR = 7.05 min). Exact mass (LC-MS-ESI): m/z calculated for C16H19N8O4S [M + H]+ 419.1244, found 419.1241. 1H-NMR (600 MHz, DMSO-d6) δ (ppm) = 8.27 (s, 1H, 5-CH), 7.35 (s, 2H, NH2), 7.24 (s, 1H, 8-CHpurine), 5.50 (s, 2H, 2-OHbicyclohexane, 3-OHbicyclohexane), 4.71 (d, J = 14.6 Hz, 1H, NCHH), 4.63 (d, J = 2.0 Hz, 1H, 4-CHbicyclohexane), 4.53 (d, J = 14.5 Hz, 1H, NCHH), 4.44 (dd, J = 6.5, 1.5 Hz, 1H, 2-CHbicyclohexane), 3.76 (dt, J = 6.6, 1.5 Hz, 1H, 3-CHbicyclohexane), 2.47 (s, 3H, SCH3), 2.07 (s, 0.1H, CH3CN, solvent: acetonitrile), 1.67 (dd, J = 8.4, 3.7 Hz, 1H, 5-CHbicyclohexane), 1.46 (t, J = 4.4 Hz, 1H, 6-CHHbicyclohexane), 0.85 (ddd, J = 8.7, 4.8, 1.6 Hz, 1H, 6-CHHbicyclohexane). 13C-NMR (151 MHz, DMSO-d6) δ (ppm) = 164.2 (1C, C = O), 163.9 (1C, C-2purine), 155.4 (1C, C-6purine), 149.7 (1C, C-4purine), 148.3 (1C, C-4), 137.1 (1C, C-8purine), 126.5 (1C, C-5), 116.4 (1C, C-5purine), 76.8 (1C, C-3bicyclohexane), 71.7 (1C, C-2bicyclohexane), 60.8 (1C, C-4bicyclohexane), 52.2 (1C, NCH2), 34.7 (1C, C-1bicyclohexane), 24.1 (1C, C-5bicyclohexane), 13.7 (1C, SCH3), 13.0 (1C, C-6bicyclohexane). FT-IR (neat) ṽ (cm−1) = 3341 (O-H), 3198 (N-H), 1585 (C = O), 1539 (C = Caromat.), 1057 (C-O).
2-(1-{[(1R,2R,3S,4R,5S)-4-(6-Amino-2-methylthio-9H-purin-9-yl)-2,3-dihydroxybicyclo[3.1.0]hex-1-yl]methyl}-1H-1,2,3-triazol-4-yl)acetic acid (45). The azide 38 (0.045 g, 0.09 mmol) was dissolved in tert-butanol (0.75 mL) and 3-butynoic acid (0.031 g, 0.37 mmol, 4 eq.), copper(II) acetylacetonate (0.001 g, 0.004 mmol, 0.04 eq.), sodium ascorbate (0.007 g, 0.04 mmol, 0.4 eq.), and H2O (0.75 mL) were added. The mixture was stirred at rt for 6 h. The solvent was evaporated and the residue was purified by fc (CH3CN:H2O = 5:95 ⭢ 100:0, 12 mL/min, Biotage®® SNAP Ultra C18, 12 g, V = 20 mL) to afford the triazole as a colorless solid (Rf = 0.18, CH2Cl2:CH3OH = 9:1), yield 0.017 g (33%). C25H32N8O6S (572.64 g/mol). Purity (HPLC: method B): 84% (tR = 12.93 min). Exact mass (LC-MS-ESI): m/z calculated for C25H33N8O6S [M + H]+ 573.2238, found 573.2223. 1H-NMR (600 MHz, DMSO-d6) δ (ppm) = 10.11 (s, 1H, NH), 8.14 (s, 1H, 8-CHpurine), 8.00 (s, 1H, 5-CHtriazole), 5.19 (s, 1H, 2-CHbicyclohexane), 4.97 (s, 1H, 4CHbicyclohexane), 4.83 (d, J = 13.7 Hz, 1H, NCHH), 4.79 (d, J = 7.0 Hz, 1H, 3-CHbicyclohexane), 4.50 (d, J = 14.5 Hz, 1H, NCHH), 3.66 (s, 2H, 2-CH2), 3.17 (s, 0.1H, CH3OH, solvent: methanol), 2.58 (s, 3H, SCH3), 1.90 (s, 1H, 5CHbicyclohexane), 1.49 (s, 9H, C(CH3)3), 1.42 (s, 3H, C(CH3)2), 1.15 (s, 4H, C(CH3)2, 6CHHbicyclohexane), 1.09 (s, 1H, 6CHHbicyclohexane). 13C-NMR (151 MHz, DMSO-d6) δ (ppm) = 171.5 (1C, C-1), 163.8 (1C, C-2purine), 152.0 (1C, C4purine), 150.8 (1C, C-Ncarbonyl), 149.6 (1C, C-6purine), 141.3 (1C, C-8purine), 140.5 (1C, C-4triazole), 123.7 (1C, C-5triazole), 120.5 (1C, C-5purine), 111.5 (1C, C(CH3)2), 88.3 (1C, C-3bicyclohexane), 82.3 (1C, C-2bicyclohexane), 80.3 (1C, C(CH3)3), 58.9 (1C, C4bicyclohexane), 52.5 (1C, NCH2), 36.6 (1C, C1bicyclohexane), 31.7 (1C, C-5bicyclohexane), 31.6 (1C, C-2), 27.9 (3C, C(CH3)3), 25.8 (1C, C(CH3)2), 24.1 (1C, C(CH3)2), 14.0 (2C, C6bicyclohexane, SCH3). FT-IR (neat) ṽ (cm−1) = 2986 (C-Haliphat.), 1721 (C = O), 1605, 1578 (C = Caromat.), 1142, 1053 (CO).
The triazole (0.048 g, 0.08 mmol) was dissolved in CH3CN (0.4 mL) and H2O (1.4 mL), and trifluoroacetic acid (0.20 mL) was added. The mixture was heated to 60 °C overnight. The solvent was evaporated and the was purified by semi-preparative HPLC (method E) to afford the product 45 as a colorless solid, yield 0.019 g (51%). C17H20N8O4S (432.46 g/mol). Melting point: 179.2 °C. Purity (HPLC: D): 99% (tR = 9.71 min). Exact mass (LC-MS-ESI): m/z calculated for C17H21N8O4S [M + H]+ 433.1401, found 433.1411. The compound 45 shows two different rotamers a and b in the NMR spectra in a ratio of approximately 7:1. 1H-NMR (400 MHz, DMSO-d6) δ (ppm) = 8.54 (s, 0.2H, 5-CHtriazole, rotam. b), 8.02 (s, 1H, 5-CHtriazole, rotam. a), 7.70 (s, 0.1H, 8-CHpurine, rotam. b), 7.43 (s, 1H, 8-CHpurine, rotam. a), 7.30 (s, 2.4H, NH2, rotam. a, b), 4.86 (d, J = 14.4 Hz, 0.2H, NCHHrotam. b), 4.81 (d, J = 6.5 Hz, 0.2H, 2-CHbicyclohexane, rotam. b), 4.75 (d, 1H, J = 14.5 Hz, NCHHrotam. a), 4.68 (s, 0.2H, 4-CHbicyclohexane, rotam. b), 4.61 (s, 1H, 4-CHbicyclohexane, rotam. a), 4.52 (d, J = 14.5 Hz, 1H, NCHHrotam. a), 4.47 (s, 0.2H, NCHHrotam. b), 4.42 (d, J = 6.6 Hz, 1H, 2-CHbicyclohexane, rotam. a), 3.95 (d, J = 6.7 Hz, 0.2H, 3-CHbicyclohexane, rotam. b), 3.81 (d, 1H, J = 6.4 Hz, 3-CHbicyclohexane, rotam. a) 3.66 (t, J = 19.2 Hz, 2H, 2-CH2, rotam. a), 3.43 (d, J = 16.7 Hz, 0.1H, 2-CHHrotam. b), 3.18 (d, J = 16.9 Hz, 0.1H, 2-CHHrotam. b), 2.47 (s, 3.5H, SCH3, rotam. a, b), 1.85 (s, 0.2H, 6-CHHbicyclohexane, rotam. b), 1.66 (dd, J = 8.9, 3.9 Hz, 1H, 5-CHbicyclohexane, rotam. a), 1.59 (s, 0.2H, 5-CHbicyclohexane, rotam. b), 1.41 (t, J = 4.5 Hz, 1H, 6-CHHbicyclohexane, rotam. a), 0.82 (dd, J = 9.0, 4.9 Hz, 1H, 6-CHHbicyclohexane, rotam. a), 0.63 (s, 0.2H, 6-CHHbicyclohexane, rotam. b). 13C-NMR (101 MHz, DMSO-d6) δ (ppm) = 171.6 (1C, C = O), 163.8 (1C, C-2purine), 155.4 (1C, C-6purine), 149.8 (1C, C-4purine), 140.6 (1C, C-4triazole), 137.4 (1C, C-8purine), 124.1 (1C, C-5triazole), 116.5 (1C, C-5purine), 76.6 (1C, C-3bicyclohexane), 71.8 (1C, C-2bicyclohexane), 61.1 (1C, C-4bicyclohexane), 52.2 (1C, NCH2), 34.7 (1C, C-1bicyclohexane), 31.7 (1C, C-2), 24.4 (1C, C-5bicyclohexane), 13.7 (1C, SCH3), 12.9 (1C, C-6bicyclohexane); the resolution was too low to identify the 13C signals for rotamer b, therefore only rotamer a is described here. FT-IR (neat) ṽ (cm−1) = 3518, 3329, 3198 (O-H), 2920 (C-Haliphat.), 1651 (C = O), 1586 (C = Caromat.), 1123, 1092 (C-O).
3-[1-({(1R,2R,3S,4R,5S)-4-[6-(tert-Butoxycarbonyl)amino-2-methylthio-9H-purin-9-yl]-2,3-dihydroxy-2,3-O-isopropylidenebicyclo[3.1.0]hex-1-yl}methyl)-1H-1,2,3-triazol-4-yl]propanoic acid (46). The azide 38 (0.028 g, 0.06 mmol) was dissolved in tert-butanol (0.5 mL) and 4p-entynoic acid (0.024 g, 0.24 mmol, 4.3 eq.), copper(II) acetylacetonate (0.001 g, 0.004 mmol, 0.07 eq.), sodium ascorbate (0.006 g, 0.03 mmol, 0.5 eq.), and H2O (0.5 mL) were added. The mixture was stirred at rt for 5 h. The solvent was evaporated and the residue was purified by fc (CH3CN:H2O = 5:95 ⭢ 100:0, 12 mL/min, Biotage®® SNAP Ultra C18, 12 g, V = 20 mL) to afford the triazole as a colorless solid (Rf = 0.27, CH2Cl2:CH3OH = 9:1), yield 0.018 g (54%). C26H34N8O6S (586.67 g/mol). Purity (HPLC: method B): 96% (tR = 12.64 min). Exact mass (LC-MS-ESI): m/z calculated for C26H34DN8O6S [M + H]+ 588.2458, found 588.2452. 1H-NMR (400 MHz, CD3OD) δ (ppm) = 7.99 (s, 0.1H, 8-CHpurine), 7.82 (s, 1H, 5-CHtriazole), 5.23 (dd, J = 7.1, 1.4 Hz, 1H, 2-CHbicyclohexane), 5.00 (s, 1H, 4-CHbicyclohexane), 4.88–4.82 (m, 1H, 3-CHbicyclohexane, NCHH), 4.52 (d, J = 14.6 Hz, 1H, NCHH), 3.35 (s, 0.2H, CH3OH, solvent: methanol), 2.99 (t, J = 7.4 Hz, 2H, 3-CH2), 2.67 (t, J = 7.4 Hz, 2H, 2-CH2), 2.63 (s, 3H, SCH3), 1.89 (ddd, J = 9.4, 4.6, 1.6 Hz, 1H, 5-CHbicyclohexane), 1.58 (s, 9H, C(CH3)3), 1.48 (s, 3H, C(CH3)2), 1.26 (dd, J = 5.7, 4.7 Hz, 1H, 6-CHHbicyclohexane), 1.22 (s, 3H, C(CH3)2), 1.13 (ddd, J = 9.4, 5.7, 1.5 Hz, 1H, 6-CHHbicyclohexane); 8-CHpurine showed a reduced intensity and no coupling interaction due to occurrence of deuterium exchange at this position. 13C-NMR (101 MHz, CD3OD) δ (ppm) = 176.3 (1C, C-1), 167.4 (1C, C-2purine), 153.3 (1C, C-4purine), 152.5 (1C, C-Ncarbonyl), 150.9 (1C, C-6purine), 147.9 (1C, C-4triazole), 142.6 (1C, C-8purine), 123.9 (1C, C-5triazole), 120.7 (1C, C-5purine), 113.6 (1C, C(CH3)2), 90.0 (1C, C-3bicyclohexane), 84.4 (1C, C-2bicyclohexane), 82.7 (1C, C(CH3)3), 61.6 (1C, C-4bicyclohexane), 54.7 (1C, NCH2), 38.2 (1C, C-1bicyclohexane), 34.5 (1C, C-2), 33.2 (1C, C-5bicyclohexane), 28.5 (3C, C(CH3)3), 26.2 (1C, C(CH3)2), 24.4 (1C, C(CH3)2), 22.0 (1C, C-3), 15.3 (1C, C-6bicyclohexane), 14.8 (1C, SCH3). FT-IR (neat) ṽ (cm−1) = 2978 (C-Haliphat.), 1717 (C = O), 1605, 1578 (C = Caromat.), 1142, 1053 (C-O).
The triazole (0.070 g, 0.12 mmol) was dissolved in CH3CN (0.7 mL) and H2O (2 mL), and trifluoroacetic acid (0.30 mL) was added. The mixture was stirred at rt for 1 d. The solvent was evaporated and the residue was purified by semi-preparative HPLC (method E) to afford the carboxylic acid 46 as a colorless solid, yield 0.010 g (19%). C18H22N8O4S (446.49 g/mol). Melting point: 133.3 °C Purity (HPLC: D): 99% (tR = 10.32 min). Exact mass (LC-MS-ESI): m/z calculated for C18H23N8O4S [M + H]+ 447.1557, found 447.1557. The compound 46 shows three different rotamers a, b and c in the NMR spectra in a ratio of approximately 10:6:3. 1H-NMR (600 MHz, DMSO-d6) δ (ppm) = 8.40 (s, 0.6H, 5-CHtriazole, rotam. b), 7.97 (s, 0.3H, 5-CHtriazole, rotam. c), 7.89 (s, 1H, 5-CHtriazole, rotam. a), 7.58 (s, 0.6H, 8-CHpurine, rotam. b), 7.36 (s, 0.3H, 8-CHpurine, rotam. c), 7.30 (s, 2.5H, 8-CHpurine, rotam. a, NH2, rotam. b, c), 7.26 (s, 2H, NH2, rotam. a), 5.24 (s, 0.6H, 3-OHbicyclohexane), 4.80-4.75 (m, 1.3H, 2-CHbicyclohexane, rotam. b, NCHHrotam. b), 4.73 (d, J = 14.5 Hz, 1H, NCHHrotam. a), 4.69 (s, 0.3H, 4-CHbicyclohexane, rotam. c), 4.67 (s, 0.6H, 4-CHbicyclohexane, rotam. b), 4.64 (d, J = 7.1 Hz, 0.3H, 2-CHbicyclohexane, rotam. c), 4.62 (d, J = 1.7 Hz, 1H, 4-CHbicyclohexane, rotam. a), 4.57 (d, J = 14.5 Hz, 0.3H, NCHHrotam. c), 4.49–4.42 (m, 1.8H, NCHHrotam. a, b, c), 4.41 (dd, J = 6.7, 1.5 Hz, 1H, 2-CHbicyclohexane, rotam. a), 3.98 (d, J = 7.0 Hz, 0.2H, 3-CHbicyclohexane, rotam. c), 3.92 (dd, J = 6.9, 1.7 Hz, 0.6H, 3-CHbicyclohexane, rotam. b), 3.79 (dt, J = 6.6, 1.6 Hz, 1H, 3-CHbicyclohexane, rotam. a), 2.85 (t, J = 7.6 Hz, 2H, 3-CH2, rotam. a), 2.80 (t, J = 7.6 Hz, 0.6H, 3-CH2, rotam. c), 2.66 (t, J = 7.6 Hz, 1.2H, 3-CH2, rotam. b), 2.58 (dd, J = 8.3, 6.9 Hz, 2H, 2-CH2, rotam. a), 2.53 (t, J = 7.0 Hz, 0.6H, 2-CH2, rotam. c), 2.48 (s, 1.2H, 2-CH2, rotam. b), 2.46 (s, 4.5H, SCH3, rotam. a, b, c), 2.07 (s, 0.1H, CH3CN, solvent: acetonitrile), 1.85 (t, J = 4.6 Hz, 0.6H, 6-CHHbicyclohexane, rotam. b), 1.68–1.62 (m, 1.3H, 5-CHbicyclohexane, rotam. a, 6-CHHbicyclohexane, rotam. c), 1.58 (ddd, J = 9.1, 4.5, 1.7 Hz, 0.6H, 5-CHbicyclohexane, rotam. b), 1.44 (dd, J = 4.6, 3.6 Hz, 0.3H, 5-CHbicyclohexane, rotam. c), 1.42 (t, J = 4.5 Hz, 1H, 6-CHHbicyclohexane, rotam. a), 0.81 (ddd, J = 8.7, 4.9, 1.6 Hz, 1H, 6-CHHbicyclohexane, rotam. a), 0.68 (ddd, J = 8.5, 3.0, 1.6 Hz, 0.6H, 6-CHHbicyclohexane, rotam. b), 0.60 (dd, J = 9.4, 4.7 Hz, 0.3H, 6-CHHbicyclohexane, rotam. c); 3-OHbicyclohexane could not be clearly assigned to one of the three rotamers. 13C-NMR (151 MHz, DMSO-d6) δ (ppm) = 173.7 (0.6C, C-1rotam. a, c), 173.7 (0.3C, C-1rotam. b), 163.8 (1C, C-2purine, rotam. a), 163.7 (0.3C, C-2purine, rotam. b), 163.6 (0.2C, C-2purine, rotam. c), 155.4 (1C, C-6purine, rotam. a), 155.4 (0.5C, C-6purine, rotam. b, c), 149.7 (1C, C-4purine, rotam. a), 149.6 (0.5C, C-4purine, rotam. b c), 145.8 (0.6C, C-4triazole, rotam. a), 145.4 (0.1C, C-4triazole, rotam. c), 145.1 (0.4C, C-4triazole, rotam. b), 137.8 (0.3C, C-8purine, rotam. b), 137.6 (0.1C, C-8purine, rotam. c), 137.3 (1C, C-8purine, rotam. a), 122.9 (0.4C, C-5triazole, rotam. b), 122.8 (0.2C, C-5triazole, rotam. c), 122.7 (1C, C-5triazole, rotam. a), 116.5 (1C, C-5purine, rotam. a), 116.4 (0.4C, C-5purine, rotam. b), 116.4 (0.1C, C-5purine, rotam. c), 86.4 (0.4C, C-3bicyclohexane, rotam. b), 86.1 (0.1C, C-3bicyclohexane, rotam. c), 79.7 (0.5C, C-2bicyclohexane, rotam. b), 78.6 (0.1C, C-2bicyclohexane, rotam. c), 76.3 (1C, C-3bicyclohexane, rotam. a), 71.7 (1C, C-2bicyclohexane, rotam. a), 61.1 (1C, C-4bicyclohexane, rotam. a), 61.0 (0.2C, C-4bicyclohexane, rotam. c), 60.7 (0.5C, C-4bicyclohexane, rotam. b), 54.4 (0.4C, NCH2,rotam. b), 53.2 (0.2C, NCH2, rotam. c), 52.0 (1C, NCH2, rotam. a), 37.4 (0.1C, C-1bicyclohexane, rotam. c), 36.4 (0.4C, C-1bicyclohexane, rotam. b), 34.8 (1C, C-1bicyclohexane, rotam. a), 33.4 (0.9C, C-2rotam. b, c), 33.3 (1C, C-2rotam. a), 30.1 (0.5C, b-C-5bicyclohexane, rotam. b), 29.1 (0.2C, C-5bicyclohexane, rotam. c), 24.2 (1C, C-5bicyclohexane, rotam. a), 20.8 (0.3C, C-3rotam. c), 20.8 (1C, C-3rotam. a), 20.7 (0.6C, C-3rotam. b), 13.7 (1C, SCH3, rotam. a, c), 13.6 (0.4C, SCH3,rotam. b), 12.9 (1C, C-6bicyclohexane, rotam. a), 12.7 (0.2C, C-6bicyclohexane, rotam. c), 12.5 (1C, C-6bicyclohexane, rotam. b). FT-IR (neat) ṽ (cm−1) = 3098 (N-H), 2943 (C-Haliphat.), 1713, 1670 (C = O), 1539 (C = Caromat.), 1192, 1142 (C-O).
Triethylammonium 2-{[(1R,2R,3S,4R,5S)-4-(6-Amino-2-methylthio-9H-purin-9-yl)-2,3-dihydroxybicyclo[3.1.0]hex-1-yl]methyl}amino-3,4-dioxocyclobut-1-en-1-olate (47). The azide 38 (0.032 g, 0.07 mmol) was dissolved in CH3OH (2 mL) and Pd/C (10 wt%, 0.003 g, 0.003 mmol, 0.004 eq.) was added; the mixture was flushed several times with H2 gas. The reaction was stirred overnight at 5 bar H2 atmosphere. The solvent was evaporated and the residue was purified by fc (CH2Cl2:CH3OH = 95:5 + 1% triethylamine, Ø = 2 cm, l = 20 cm, V = 10 mL) to afford the amine as a colorless solid (Rf = 0.38, CH2Cl2:CH3OH = 95:5 + 1% triethylamine), yield 0.018 g (60%). C21H30N6O4S (462.57 g/mol). Melting point: 111.4 °C. Purity (HPLC: method D): 90% (tR = 15.74 min). Exact mass (LC-MS-ESI): m/z calculated for C21H31N6O4S [M + H]+ 463.2122, found 463.2125. 1H-NMR (600 MHz, DMSO-d6) δ (ppm) = 8.45 (s, 1H, 8-CHpurine), 5.26 (d, J = 7.1 Hz, 1H, 2CHbicyclohexane), 4.93 (s, 1H, 4-CHbicyclohexane), 4.73 (dd, J = 7.3, 1.5 Hz, 1H, 3CHbicyclohexane), 3.17 (s, 0.3H, CH3OH, solvent: methanol), 2.95 (d, J = 13.3 Hz, 1H, NCHH), 2.82 (d, J = 13.3 Hz, 1H, NCHH), 2.59 (s, 3H, SCH3), 1.68 (ddd, J = 8.3, 5.2, 1.5 Hz, 1H, 5CHbicyclohexane), 1.48 (s, 9H, C(CH3)3), 1.45 (s, 3H, C(CH3)2), 1.18 (s, 3H, C(CH3)2), 0.94–0.90 (m, 2H, 6CH2 bicyclohexane). 13C-NMR (151 MHz, DMSO-d6) δ (ppm) = 163.7 (1C, C-2purine), 152.0 (1C, C-4purine), 150.9 (1C, C = O), 149.6 (1C, C-6purine), 141.5 (1C, C-8purine), 120.7 (1C, C-5purine), 111.3 (1C, C(CH3)2), 88.3 (1C, C-3bicyclohexane), 82.1 (1C, C-2bicyclohexane), 80.2 (1C, C(CH3)3), 59.2 (1C, C-4bicyclohexane), 43.6 (1C, NCH2), 38.4 (1C, C-1bicyclohexane), 29.7 (1C, C5bicyclohexane), 27.9 (3C, C(CH3)3), 25.9 (1C, C(CH3)2), 24.2 (1C, C(CH3)2), 14.0 (1C, SCH3), 13.3 (1C, C-6bicyclohexane). FT-IR (neat) ṽ (cm−1) = 2978, 2928 (C-Haliphat.), 1751, 1721 (C = O), 1605, 1574 (C = Caromat.), 1142, 1053 (C-O).
The amine (0.105 g, 0.23 mmol) was dissolved in CH2Cl2 (2 mL). Dimethyl squarate (0.104 g, 0.73 mmol, 3.2 eq.) and triethylamine (0.20 mL, 1.44 mmol, 6.4 eq.) were added and the mixture was stirred at rt overnight. The solvent was evaporated and the residue was purified by fc (CH3CN:H2O = 5:95 ⭢ 100:0, 12 mL/min, Biotage®® SNAP Ultra C18, 12 g, V = 20 mL) to afford the squaramide as a colorless solid (Rf = 0.33, ethyl acetate = 100%), yield 0.087 g (67%). C26H32N6O7S (572.64 g/mol). Melting point: 148.4 °C. Purity (HPLC: method B): 90% (tR = 13.02 min). Exact mass (LC-MS-ESI): m/z calculated for C26H33N6O7S [M + H]+ 573.2126, found 573.2130. The compound shows two different rotamers a and b in the NMR spectra in a ratio of approximately 5:4. 1H-NMR (600 MHz, DMSO-d6) δ (ppm) = 10.09 (s, 1H, NHpurine, rotam. a/b), 8.94 (s, 0.5H, NHsquaramide, rotam. a), 8.74 (s, 0.4H, NHsquaramide, rotam. b), 8.26 (s, 1H, 8-CHpurine, rotam. a/b), 5.25 (t, J = 6.6 Hz, 1H, 2-CHbicyclohexane, rotam. a/b), 4.93 (s, 1H, 4-CHbicyclohexane, rotam. a/b), 4.88 (d, J = 7.1 Hz, 0.4H, 3-CHbicyclohexane, rotam. b), 4.83 (d, J = 7.2 Hz, 0.5H, 3-CHbicyclohexane, rotam. a), 4.29 (s, 1.2H, OCH3, rotam. b), 4.24 (s, 1.5H, OCH3, rotam. a), 3.77 (q, J = 14.2 Hz, 0.9H, NCH2, rotam. b), 3.69 (d, J = 13.2 Hz, 1H, NCHHrotam. a), 3.50 (d, J = 13.2 Hz, 1H, NCHHrotam. a), 3.17 (s, 0.2H, CH3OH, solvent: methanol), 2.58 (d, J = 4.0 Hz, 3H, SCH3, rotam. a/b), 1.77 (dt, J = 13.0, 6.7 Hz, 1H, 5-CHbicyclohexane, rotam. a/b), 1.48 (s, 9H, C(CH3)3, rotam. a/b), 1.45 (s, 3H, C(CH3)2,rotam. a/b), 1.18 (s, 3H, C(CH3)2,rotam. a/b), 0.98 (d, J = 7.0 Hz, 1H, 6-CH2 bicyclohexane, rotam. a/b). 13C-NMR (151 MHz, DMSO-d6) δ (ppm) = 189.3 (1C, C-1squaramide, rotam. a/b), 182.5 (0.3C, C-2squaramide, rotam. a), 182.1 (0.3C, C-2squaramide, rotam. b), 177.7 (0.3C, C-4squaramide, rotam. b), 176.7 (0.4C, C-4squaramide, rotam. a), 172.4 (0.4C, C-3squaramide, rotam. a), 171.9 (0.3C, C-3squaramide, rotam. a), 163.8 (1C, C-2purine, rotam. a/b), 152.0 (1C, C-4purine, rotam. a/b), 150.8 (1C, C-Ncarbonyl, rotam. a/b), 149.6 (1C, C-6purine, rotam. a/b), 141.4 (1C, C-8purine, rotam. a/b), 120.8 (0.2C, C-5purine, rotam. b), 120.7 (0.3C, C-5purine, rotam. a), 111.4 (1C, C(CH3)2,rotam. a/b), 88.2 (0.6C, C-3bicyclohexane, rotam. a), 88.0 (0.5C, C-3bicyclohexane, rotam. b), 82.4 (0.8C, C-2bicyclohexane, rotam. a), 82.1 (0.6C, C-2bicyclohexane, rotam. b), 80.2 (1C, C(CH3)3,rotam. a/b), 60.1 (0.6C, OCH3,rotam. a), 60.0 (0.5C, OCH3,rotam. b), 59.3 (1C, C-4bicyclohexane, rotam. a/b), 46.7 (0.7C, NCH2,rotam. a), 46.1 (0.5C, NCH2,rotam. b), 37.5 (0.4C, C-1bicyclohexane, rotam. b), 37.2 (0.5C, C-1bicyclohexane, rotam. a), 30.3 (1C, C-5bicyclohexane, rotam. a/b), 27.9 (3C, C(CH3)3, rotam. a/b), 25.9 (1C, C(CH3)2,rotam. a/b), 24.1 (1C, C(CH3)2,rotam. a/b), 14.0 (1C, SCH3,rotam. a/b), 13.2 (0.5C, C-6bicyclohexane, rotam. b), 13.0 (0.6C, C-6bicyclohexane, rotam. a). FT-IR (neat) ṽ (cm−1) = 3202 (N-H), 2986, 2936 (C-Haliphat.), 1802, 1755, 1709 (C = O), 1601 (C = Caromat.), 1138, 1049 (C-O).
The squaramide (0.085 g, 0.15 mmol) was dissolved in CH3OH (3.2 mL) and trifluoroacetic acid (0.40 mL) and H2O (0.40 mL) were added. The mixture was stirred at rt for 5 d and was then heated to 70° C for 1 d. The solvent was evaporated and the residue was purified by semi-preparative HPLC (method G) to afford the product 47 as a colorless solid, yield 0.021 g (27%). C23H33N7O5S (519.62 g/mol). Purity (HPLC: method D): 99% (tR = 6.26 min). Exact mass (LC-MS-ESI): m/z calculated for C17H17N6O5S [M-C6H16N]− 417.0987, found 417.0984. The compound 47 shows three different rotamers a, b and c in the NMR spectra in a ratio of approximately 10:2:1. 1H-NMR (600 MHz, DMSO-d6) δ (ppm) = 9.36 (s, 0.9H, NHtriethylammonium), 7.94 (s, 1H, 8-CHpurine, rotam. a), 7.90 (s, 0.2H, 8-CHpurine, rotam. b), 7.78 (s, 0.1H, 8-CHpurine, rotam. c), 7.40 (t, J = 6.6 Hz, 1H, NHsquaramide, rotam. a), 7.36 (s, 0.4H, NHsquaramide, rotam. b, c), 5.34 (d, J = 7.7 Hz, 1H, 2-CHbicyclohexane, rotam. b), 5.16 (s, 0.4H, 3-OHbicyclohexane, rotam. b, c), 5.02 (s, 1H, 3-OHbicyclohexane, rotam. a), 4.85 (s, 0.2H, 4-CHbicyclohexane, rotam. b), 4.72 (d, J = 7.1 Hz, 0.1H, 2-CHbicyclohexane, rotam. c), 4.67 (s, 0.1H, 4-CHbicyclohexane, rotam. c), 4.63 (d, J = 8.1 Hz, 0.2H, 3-CHbicyclohexane, rotam. b), 4.61 (d, J = 1.6 Hz, 1H, 4-CHbicyclohexane, rotam. a), 4.44 (d, J = 6.3 Hz, 1H, 2-CHbicyclohexane, rotam. a), 3.99 (dd, J = 14.2, 6.8 Hz, 1H, NCHHrotam. a), 3.89–3.80 (m, 0.3H, 3-CHbicyclohexane, rotam. c, NCHHrotam. c), 3.80–3.72 (m, 1.3H, NCHHrotam. b, 3-CHbicyclohexane, rotam. a), 3.69 (dd, J = 14.1, 6.1 Hz, 1H, NCHHrotam. b), 3.513.47 (m, 0.2H, -NCHHrotam. c), 3.30 (dd, J = 14.3, 6.2 Hz, 1H, NCHHrotam. a), 3.09 (q, J = 7.3 Hz, 6.6H, CH2, triethylammonium), 2.49 (s, 0.6H, SCH3, rotam. b), 2.48 (s, 0.2H, SCH3, rotam. c), 2.47 (s, 3H, SCH3, rotam. a), 1.84 (ddd, J = 9.0, 4.2, 1.5 Hz, 0.2H, 5-CHbicyclohexane, rotam. b), 1.58 (dd, J = 8.3, 3.8 Hz, 1H, 5-CHbicyclohexane, rotam. a), 1.52 (s, 0.1H, 6-CHHbicyclohexane, rotam. c), 1.48 (dd, J = 8.4, 4.3 Hz, 0.1H, 5-CHbicyclohexane, rotam. c), 1.34 (t, J = 4.3 Hz, 1H, 6-CHHbicyclohexane, rotam. a), 1.16 (t, J = 7.3 Hz, 9.9H, 3-CH3, triethylammonium), 1.09–1.06 (m, 0.3H, 6-CHHbicyclohexane, rotam. c), 0.66 (ddd, J = 8.5, 4.6, 1.5 Hz, 1H, 6-CHHbicyclohexane, rotam. a), 0.65–0.62 (m, 0.2H, 6-CHHbicyclohexane, rotam. b), 0.57 (dd, J = 9.0, 4.5 Hz, 0.1H, 6-CHHbicyclohexane, rotam. c). 13C-NMR (151 MHz, DMSO-d6) δ (ppm) = 198.1 (0.5C, C-4squaramide, rotam. a, b), 188.7 (2C, C-1squaramide, rotam. a, C-3squaramide, rotam. a), 188.4 (0.4C, C-1squaramide, rotam. b, C-3squaramide, rotam. b), 181.5 (1C, C-2squaramide, rotam. a), 181.4 (0.3C, C-2squaramide, rotam. b), 164.1 (0.1C, C-2purine, rotam. b), 163.7 (1C, C-2purine, rotam. a), 155.4 (1C, C-6purine, rotam. a), 155.4 (0.2C, C-6purine, rotam. b), 149.8 (1C, C-4purine, rotam. a), 149.5 (0.2C, C-4purine, rotam. b), 137.5 (0.1C, C-8purine, rotam. b), 137.3 (1C, C-8purine, rotam. a), 116.5 (0.1C, C-5purine, rotam. b), 116.5 (1C, C-5purine, rotam. a), 87.7 (0.2C, C-3bicyclohexane, rotam. b), 80.8 (0.2C, C-2bicyclohexane, rotam. b), 76.7 (1C, C-3bicyclohexane, rotam. a), 71.0 (1C, C-2bicyclohexane, rotam. a), 60.6 (1C, C-4bicyclohexane, rotam. a), 60.6 (0.3C, C-4bicyclohexane, rotam. b), 45.7 (5.0C, CH2, triethylammonium), 44.7 (1C, NCH2, rotam. a), 44.6 (0.2C, NCH2, rotam. b), 35.8 (1C, C-1bicyclohexane, rotam. a), 27.5 (0.2C, C-5bicyclohexane, rotam. b), 22.5 (C, C-5bicyclohexane, rotam. a), 13.7 (0.2C, SCH3, rotam. b), 13.6 (1C, SCH3, rotam. a), 11.8 (0.2C, C-6bicyclohexane, rotam. b), 11.7 (1C, C-6bicyclohexane, rotam. a), 8.6 (4.6C, CH3, triethylammonium); the signal for C-1bicyclohexane, rotam. b is located under the DMSO-d6 signal and therefore only visible in 2D spectra. The resolution was too low to identify the 13C signals for rotamer c, therefore only rotamer a and b are described here. FT-IR (neat) ṽ (cm−1) = 3321 (O-H), 3190 (N-H), 2924 (C-Haliphat.), 1786 (C = O), 1528 (C = Caromat.), 1065 (C-O).
Triethylammonium 2-(N-{[(1R,2R,3S,4R,5S)-4-(6-amino-2-methylthio-9H-purin-9-yl)-2,3-dihydroxybicyclo[3.1.0]hex-1-yl]methyl}sulfamoyl)acetate (48). The azide 38 (0.032 g, 0.07 mmol) was dissolved in CH3OH (2 mL) and Pd/C (10 wt%, 0.003 g, 0.003 mmol, 0.004 eq.) was added; the mixture was flushed several times with H2 gas. The reaction was stirred overnight at 5 bar H2 atmosphere. The solvent was evaporated and the residue was purified by fc (CH2Cl2:CH3OH = 95:5 + 1% triethylamine, Ø = 2 cm, l = 20 cm, V = 10 mL) to afford the amine as a colorless solid (Rf = 0.38, CH2Cl2:CH3OH = 95:5 + 1% triethylamine), yield 0.018 g (60%).
The amine (0.16 g, 0.35 mmol) was dissolved in CH2Cl2 (8 mL) and methyl 2-(chlorosulfonyl)acetate (0.068 g, 0.39 mmol, 1.1 eq.), triethylamine (0.10 mL, 0.72 mmol, 2 eq.), and a catalytic amount of DMAP (~5 mol%) were added. The mixture was stirred at rt overnight. The solvent was evaporated and the residue was purified by fc (CH3CN:H2O = 5:95 ⭢ 65:35, 12 mL/min, Biotage®® SNAP Ultra C18, 12 g, V = 20 mL) to afford the sulfonamide as a colorless solid (Rf = 0.49, ethyl acetate = 100%), yield 0.103 g (50%). C24H34N6O8S2 (598.69 g/mol). Purity (HPLC: method B): 90% (tR = 14.49 min). Exact mass (LC-MS-ESI): m/z calculated for C24H35N6O8S [M + H]+ 599.1952, found 599.1952. 1H-NMR (400 MHz, DMSO-d6) δ (ppm) = 10.09 (s, 1H, NHpurine), 8.33 (s, 1H, 8CHpurine), 7.76 (t, J = 6.4 Hz, 1H, NHsulfonamide), 5.75 (s, 0.2H, CH2Cl2, solvent: dichloromethane), 5.20 (dd, J = 7.2, 1.2 Hz, 1H, 2-CHbicyclohexane), 4.93 (s, 1H, 4CHbicyclohexane), 4.75 (dd, J = 7.3, 1.3 Hz, 1H, 3CHbicyclohexane), 4.23 (dd, J = 14.2, 1.6 Hz, 2H, 2-CH2), 3.69 (s, 1H, OCH3), 3.34–3.28 (m, 2H, NCH2), 2.59 (s, 3H, SCH3), 1.71 (ddd, J = 9.0, 4.7, 1.5 Hz, 1H, 5CHbicyclohexane), 1.48 (s, 9H, C(CH3)3), 1.46 (s, 3H, C(CH3)2), 1.21–1.15 (m, 3H, C(CH3)2), 1.03–0.95 (m, 2H, 6-CH2 bicyclohexane). 13C-NMR (101 MHz, DMSO-d6) δ (ppm) = 164.0 (1C, C-1), 163.8 (1C, C-2purine), 152.0 (1C, C4purine), 150.8 (1C, C-Ncarbonyl), 149.6 (1C, C-6purine), 141.1 (1C, C-8purine), 120.7 (1C, C-5purine), 111.4 (1C, C(CH3)2), 88.2 (1C, C-3bicyclohexane), 81.9 (1C, C-2bicyclohexane), 80.2 (1C, C(CH3)3), 58.9 (1C, C-4bicyclohexane), 56.1 (1C, C-2), 52.5 (1C, OCH3), 45.5 (1C, NCH2), 36.8 (1C, C-1bicyclohexane), 29.9 (1C, C5bicyclohexane), 27.8 (3C, C(CH3)3), 25.8 (1C, C(CH3)2), 24.2 (1C, C(CH3)2), 14.0 (1C, SCH3), 13.4 (1C, C-6bicyclohexane). FT-IR (neat) ṽ (cm−1) = 3283 (N-H), 2982, 2932 (C-Haliphat.), 1744 (C = O), 1605, 1578 (C = Caromat.), 1327, 1207 (S = O), 1138, 1053 (C-O).
The sulfonamide (0.090 g, 0.15 mmol) was dissolved in CH3OH (3.2 mL) and trifluoroacetic acid (0.40 mL) and H2O (0.40 mL) were added. The mixture was stirred at 70 °C overnight. The solvent was evaporated, and the residue was dissolved in CH3CN (3.2 mL), 2 M NaOH-solution and H2O (0.40 mL) were added. The mixture was stirred at 70° C overnight. The solvent was evaporated, and the residue was purified by semi-preparative HPLC (method E) to afford the product 48 as a colorless solid, yield 0.056 g (69%). C21H35N7O6S2 (545.21 g/mol). Purity (HPLC: method D): 99% (tR = 9.86 min). Exact mass (LC-MS-ESI): m/z calculated for C15H19N6O6S2 [M-C6H16N]− 443.0813, found 443.0826. The compound 48 shows two different rotamers a and b in the NMR spectra in a ratio of approximately 2:1. 1H-NMR (600 MHz, DMSO-d6) δ (ppm) = 8.10 (s, 1H, 8-CHpurine, rotam. a), 7.97 (s, 0.5H, 8CHpurine, rotam. b), 7.29 (s, 3H, NH2, rotam. a, NHrotam. a), 7.25 (s, 1.5H, NH2, rotam. b, NHrotam. b), 5.12 (s, 1H, 3OHbicyclohexane, rotam. a), 4.78 (s, 0.3H, 2CHbicyclohexane, rotam. b), 4.70 (s, 0.5H, 4CHbicyclohexane, rotam. b), 4.61 (d, J = 1.9 Hz, 1H, 4-CHbicyclohexane, rotam. a), 4.51 (dd, J = 6.5, 1.4 Hz, 1H, 2CHbicyclohexane, rotam. a), 4.01 (s, 0.3H, 3CHbicyclohexane, rotam. b), 3.91 (s, 0.5H, 2-CHHrotam. b), 3.84 (dt, J = 6.7, 1.6 Hz, 1H, 3CHbicyclohexane, rotam a), 3.73 (dd, J = 14.6, 5.1 Hz, 2H, 2-CH2 rotam. a, 2CHHrotam. b), 3.39 (d, J = 13.5 Hz, 1H, NCHHrotam a), 3.25 (s, 0.5H, NCHHrotam b), 3.13 (s, 0.5H, NCHHrotam b), 3.07 (d, J = 13.5 Hz, 1H, NCHHrotam a), 2.93 (q, J = 7.5 Hz, 7.8H, CH2, triethylammonium), 2.48 (s, 3H, SCH3, rotam. a), 1.54 (t, J = 4.6 Hz, 0.5H, 6CHHbicyclohexane, rotam. b), 1.48 (dd, J = 8.5, 3.8 Hz, 1H, 5CHbicyclohexane, rotam. a), 1.33 (dd, J = 8.7, 4.8 Hz, 0.5H, 5CHbicyclohexane, rotam. b), 1.30 (t, J = 4.4 Hz, 1H, 6CHHbicyclohexane, rotam. a), 1.11 (t, J = 7.3 Hz, 12.3H, CH3, triethylammonium), 0.72 (ddd, J = 8.6, 4.7, 1.5 Hz, 1H, 6CHHbicyclohexane, rotam. a), 0.62 (dd, J = 9.6, 4.8 Hz, 0.5H, 6CHHbicyclohexane, rotam. b); the signal for SCH3, rotam. b is located under the DMSO-d6 signal and therefore only visible in 2D spectra. 13C-NMR (151 MHz, DMSO-d6) δ (ppm) = 165.0 (0.7C, C-1rotam. a, b), 163.7 (1C, C2purine, rotam. a), 163.6 (0.4C, C-2purine, rotam. b), 155.4 (1C, C-6purine, rotam. a), 155.4 (0.4C, C6purine, rotam. b), 149.8 (1C, C4purine, rotam. a), 149.6 (0.4C, C4purine, rotam. b), 138.1 (0.2C, C8purine, rotam. b), 137.9 (1C, C8purine, rotam. a), 116.5 (0.8C, C-5purine, rotam. a, b), 76.9 (1C, C3bicyclohexane, rotam. a), 71.6 (1C, C2bicyclohexane, rotam. a), 61.0 (1C, C-4bicyclohexane, rotam. a), 57.4 (1C, C-2rotam. a), 45.7 (1C, NCH2, rotam. a), 45.3 (6.3C, CH2, triethylammonium), 34.5 (1C, C-1bicyclohexane, rotam. a), 27.6 (0.4C, C5bicyclohexane, rotam. b), 23.2 (1C, C5bicyclohexane, rotam. a), 13.7 (1.3C, SCH3, rotam. a, b), 12.6 (0.4C, C-6bicyclohexane, rotam. b), 12.5 (1C, C-6bicyclohexane, rotam. a), 9.0 (5.6C, CH3, triethylammonium); the resolution was too low to identify the 13C signals for rotamer b, therefore only those signals of rotamer b that are visible in the 13C-NMR spectrum are described here. FT-IR (neat) ṽ (cm−1) = 3306 (O-H), 3132 (N-H), 2982, 2928 (C-Haliphat.), 1612 (C = O), 1582 (C = Caromat.), 1300 (S = O), 1150, 1119 (C-O), 1065 (S = O).
Supplementary Materials
The following supporting information can be downloaded at: https://www.mdpi.com/article/10.3390/molecules27072283/s1. Synthetic procedures for the preparation of compound 4 and mass spectra and NMR spectra of compound 4.
Author Contributions
Conceptualization, A.J. and K.A.J.; compounds’ synthesis, J.P.L.; P1 receptor assays, R.L., M.K. and L.H.H.; P2Y1R assay, A.I.; X-ray analysis, C.G.D.; writing—original draft preparation, A.J. and J.P.L.; writing—review and editing, A.J.; funding acquisition, A.J. All authors have read and agreed to the published version of the manuscript.
Funding
A.J. thanks the German Research Foundation (DFG) for the financial support (JU 2966/2-1). K.A.J. thanks NIDDK Intramural Res. (ZIADK-31117).
Institutional Review Board Statement
Not applicable.
Informed Consent Statement
Not applicable.
Data Availability Statement
All data generated or analyzed during this study are included in this article.
Acknowledgments
A.J. and J.P.L. thank Umicore AG & Co. KG for supplying Rh-catalysts for the preparation of compound 4.
Conflicts of Interest
The authors declare no conflict of interest.
Sample Availability
Samples of the compounds 36, 39–48 are available from the authors.
Abbreviations
AR, adenosine receptor; ATP, adenosine 5′-triphosphate; Bn, benzyl; Boc2O, di-tert-butyl dicarbonate; CCDC, Cambridge Crystallographic Data Centre; CHO, Chinese hamster ovary; cV, column volume; DAMP, damage-associated-molecular pattern; dec., decomposition; DDQ, 2,3-dichloro-5,6-dicyano-1,4-benzoquinone; DIAD, diisopropyl azodicarboxylate; DIPEA, diisopropyl ethyl amine; DMEM, Dulbecco’s modified Eagle’s medium; DMF, N,N-dimethylformamide; DMSO, dimethylsulfoxide; EGTA ethylene glycol-bis(β-aminoethyl ether)-N,N,N′,N′-tetraacetic acid; ESI, electrospray ionization; HBSS, Hanks′ balanced salt solution; HEK, human embryonic kidney cells; HEPES, 4-(2-hydroxyethyl)-1-piperazineethanesulfonic acid; HPLC, high performance liquid chromatography; LC-MS, liquid chromatography-mass spectrometry; NMP, N-methyl morpholine; PBS, phosphate-buffered saline; PMB, para-methoxybenzyl; RT, room temperature; SAR, structure-activity relationship; SEM, standard error of the mean; TBAN, tetrabutylammonium nitrate; TBDPS, tert-butyldiphenylsilyl; TFAA, trifluoroacetic acid anhydride; TFA, trifluoroacetic acid; THF, tetrahydrofuran; TLC, Thin layer chromatography.
References
- Jacobson, K.A.; Gao, Z.-G. Adenosine receptors as therapeutic targets. Nat. Rev. Drug Discov. 2006, 5, 247–264. [Google Scholar] [CrossRef] [PubMed] [Green Version]
- Hasko, G.; Linden, J.; Cronstein, B.; Pacher, P. Adenosine receptors: Therapeutic aspects for inflammatory and immune diseases. Nat. Rev. Drug Discov. 2008, 7, 759–770. [Google Scholar] [CrossRef] [PubMed]
- Fredholm, B.B. Adenosine, an endogenous distress signal, modulates tissue damage and repair. Cell Death Differ. 2007, 14, 1315–1323. [Google Scholar] [CrossRef] [PubMed] [Green Version]
- Baltos, J.A.; Vecchio, E.A.; Harris, M.A.; Qin, C.X.; Ritchie, R.H.; Christopoulos, A.; White, P.J.; May, L.T. Capadenoson, a clinically trialed partial adenosine A(1) receptor agonist, can stimulate adenosine A(2B) receptor biased agonism. Biochem. Pharmacol. 2017, 135, 79–89. [Google Scholar] [CrossRef] [PubMed]
- Stemmer, S.M.; Manojlovic, N.S.; Marinca, M.V.; Petrov, P.; Cherciu, N.; Ganea, D.; Ciuleanu, T.E.; Pusca, I.A.; Beg, M.S.; Purcell, W.T.; et al. Namodenoson in Advanced Hepatocellular Carcinoma and Child-Pugh B Cirrhosis: Randomized Placebo-Controlled Clinical Trial. Cancers 2021, 13, 187. [Google Scholar] [CrossRef]
- Safadi, R.; Braun, M.; Francis, A.; Milgrom, Y.; Massarwa, M.; Hakimian, D.; Hazou, W.; Issachar, A.; Harpaz, Z.; Farbstein, M.; et al. Randomised clinical trial: A phase 2 double-blind study of namodenoson in non-alcoholic fatty liver disease and steatohepatitis. Aliment. Pharmacol. Ther. 2021, 54, 1405–1415. [Google Scholar] [CrossRef]
- Jacobson, K.A.; Tosh, D.K.; Jain, S.; Gao, Z.-G. Historical and Current Adenosine Receptor Agonists in Preclinical and Clinical Development. Front. Cell. Neurosci. 2019, 13, 124. [Google Scholar] [CrossRef] [Green Version]
- Gessi, S.; Cattabriga, E.; Avitabile, A.; Gafa’, R.; Lanza, G.; Cavazzini, L.; Bianchi, N.; Gambari, R.; Feo, C.; Liboni, A.; et al. Elevated Expression of A3 Adenosine Receptors in Human Colorectal Cancer Is Reflected in Peripheral Blood Cells. Clin. Cancer Res. 2004, 10, 5895–5901. [Google Scholar] [CrossRef] [Green Version]
- Fishman, P.; Bar-Yehuda, S.; Ardon, E.; Rath-Wolfson, L.; Barrer, F.; Ochaion, A.; Madi, L. Targeting the A3 adenosine receptor for cancer therapy: Inhibition of prostate carcinoma cell growth by A3AR agonist. Anticancer. Res. 2003, 23, 2077–2083. [Google Scholar]
- Mazziotta, C.; Rotondo, J.C.; Lanzillotti, C.; Campione, G.; Martini, F.; Tognon, M. Cancer biology and molecular genetics of A3 adenosine receptor. Oncogene 2022, 41, 301–308. [Google Scholar] [CrossRef]
- Tosh, D.K.; Rao, H.; Bitant, A.; Salmaso, V.; Mannes, P.; Lieberman, D.I.; Vaughan, K.L.; Mattison, J.A.; Rothwell, A.C.; Auchampach, J.A.; et al. Design and in Vivo Characterization of A1 Adenosine Receptor Agonists in the Native Ribose and Conformationally Constrained (N)-Methanocarba Series. J. Med. Chem. 2019, 62, 1502–1522. [Google Scholar] [CrossRef] [PubMed]
- Jacobson, K.A.; Salmaso, V.; Suresh, R.R.; Tosh, D.K. Expanding the repertoire of methanocarba nucleosides from purinergic signaling to diverse targets. RSC Med. Chem. 2021, 12, 1808–1825. [Google Scholar] [CrossRef] [PubMed]
- Tchilibon, S.; Joshi, B.V.; Kim, S.-K.; Duong, H.T.; Gao, Z.-G.; Jacobson, K.A. (N)-Methanocarba 2,N6-Disubstituted Adenine Nucleosides as Highly Potent and Selective A3 Adenosine Receptor Agonists. J. Med. Chem. 2005, 48, 1745–1758. [Google Scholar] [CrossRef] [PubMed] [Green Version]
- Suresh, R.R.; Poe, R.B.; Lin, B.; Lv, K.; Campbell, R.G.; Gao, Z.-G.; Liston, T.E.; Toti, K.S.; Jacobson, K.A. Convergent synthesis of 2-thioether-substituted (N)-methanocarba-adenosines as purine receptor agonists. RSC Adv. 2021, 11, 27369–27380. [Google Scholar] [CrossRef]
- Petrelli, R.; Torquati, I.; Kachler, S.; Luongo, L.; Maione, S.; Franchetti, P.; Grifantini, M.; Novellino, E.; Lavecchia, A.; Klotz, K.-N.; et al. 5′-C-Ethyl-tetrazolyl-N6-Substituted Adenosine and 2-Chloro-adenosine Derivatives as Highly Potent Dual Acting A1 Adenosine Receptor Agonists and A3 Adenosine Receptor Antagonists. J. Med. Chem. 2015, 58, 2560–2566. [Google Scholar] [CrossRef]
- Michel, B.Y.; Strazewski, P. Total Syntheses of a Conformationally Locked North-Type Methanocarba Puromycin Analogue and a Dinucleotide Derivative. Chem. Eur. J. 2009, 15, 6244–6257. [Google Scholar] [CrossRef]
- Liston, T.E.; Hinz, S.; Müller, C.E.; Holstein, D.M.; Wendling, J.; Melton, R.J.; Campbell, M.; Korinek, W.S.; Suresh, R.R.; Sethre-Hofstad, D.A.; et al. Nucleotide P2Y(1) receptor agonists are in vitro and in vivo prodrugs of A(1)/A(3) adenosine receptor agonists: Implications for roles of P2Y(1) and A(1)/A(3) receptors in physiology and pathology. Purinergic Signal. 2020, 16, 543–559. [Google Scholar] [CrossRef]
- Tosh, D.K.; Crane, S.; Chen, Z.; Paoletta, S.; Gao, Z.G.; Gizewski, E.; Auchampach, J.A.; Salvemini, D.; Jacobson, K.A. Rigidified A3 Adenosine Receptor Agonists: 1-Deazaadenine Modification Maintains High in Vivo Efficacy. ACS Med. Chem. Lett. 2015, 6, 804–808. [Google Scholar] [CrossRef] [Green Version]
- Otwinowski, Z.; Minor, W. Processing of X-ray diffraction data collected in oscillation mode. Methods Enzymol. 1997, 276, 307–326. [Google Scholar]
- Otwinowski, Z.; Borek, D.; Majewski, W.; Minor, W. Multiparametric scaling of diffraction intensities. Acta Crystallogr. A 2003, 59, 228–234. [Google Scholar] [CrossRef]
- Sheldrick, G. Phase annealing in SHELX-90: Direct methods for larger structures. Acta Crystallogr. A 1990, 46, 467–473. [Google Scholar] [CrossRef]
- Sheldrick, G. A short history of SHELX. Acta Crystallogr. A 2008, 64, 112–122. [Google Scholar] [CrossRef] [PubMed] [Green Version]
- Sheldrick, G. Crystal structure refinement with SHELXL. Acta Crystallogr. C 2015, 71, 3–8. [Google Scholar] [CrossRef] [PubMed]
- Kourounakis, A.; Visser, C.; de Groote, M.; IJzerman, A.P. Differential effects of the allosteric enhancer (2-amino-4, 5-dimethyl-trienyl)[3-(trifluoromethyl) phenyl] methanone (PD81, 723) on agonist and antagonist binding and function at the human wild-type and a mutant (T277A) adenosine A1 receptor. Biochem. Pharmacol. 2001, 61, 137–144. [Google Scholar] [CrossRef]
Publisher’s Note: MDPI stays neutral with regard to jurisdictional claims in published maps and institutional affiliations. |
© 2022 by the authors. Licensee MDPI, Basel, Switzerland. This article is an open access article distributed under the terms and conditions of the Creative Commons Attribution (CC BY) license (https://creativecommons.org/licenses/by/4.0/).










