Abstract
Some new pyrimidine derivatives comprising arylsulfonylhydrazino, ethoxycarbonylhydrazino, thiocarbamoylhydrazino and substituted hydrazone and thiosemicarbazide functionalities were prepared from Biginelli-derived pyrimidine precursors. Heterocyclic ring systems such as pyrazole, pyrazolidinedione, thiazoline and thiazolidinone ring systems were also incorporated into the designed pyrimidine core. Furthermore, fused triazolopyrimidine and pyrimidotriazine ring systems were prepared. The synthesized compounds were evaluated for their calcium channel blocking activity as potential hypotensive agents. Compounds 2, 3a, 3b, 4, 11 and 13 showed the highest ex vivo calcium channel blocking activities compared with the reference drug nifedipine. Compounds 2 and 11 were selected for further biological evaluation. They revealed good hypotensive activities following intravenous administration in dogs. Furthermore, 2 and 11 displayed drug-like in silico ADME parameters. A ligand-based pharmacophore model was developed to provide adequate information about the binding mode of the newly synthesized active compounds 2, 3a, 3b, 4, 11 and 13. This may also serve as a reliable basis for designing new active pyrimidine-based calcium channel blockers.
1. Introduction
The American Heart Association reported an average of one death every 40 s due to cardiovascular diseases (CVDs) [1]. The WHO Global Atlas on Cardiovascular Disease Prevention and Control confirmed that CVDs are the leading cause of mortality worldwide [2]. In response to the burden posed by CVDs, the European Society of Cardiology (ESC) and the European Society of Hypertension (ESH) published their guidelines and recommended several cardiovascular agents in the clinic. However, in many cases, their clinical use is limited by their side effects [3]. Therefore, there is a continuous need for developing novel efficient cardiovascular agents.
Based on their chemical structures, many cardiovascular agents are pyrimidine derivatives (Figure 1), such as darusentan, a selective endothelin receptor antagonist [4]; minoxidil, a direct vasodilator [5]; rosuvastatin, a competitive inhibitor of HMG-CoA reductase [6]; and trapidil, a fused pyrimidine vasodilator [7]. Extensive exploration of the pyrimidine ring system led to the synthesis of novel orally active angiotensin II antagonists [8] and efficient calcium channel blockers (CCBs) which gained considerable interest [9]. Such a large representation of this heterocyclic nucleus in cardiovascular agents suggests that this heterocyclic moiety, if properly decorated with substituents, could lead to novel potential cardiovascular agents.
Figure 1.
Pyrimidine-derived cardiovascular agents.
Here we report the synthesis of novel pyrimidine derivatives (Figure 2) designed by taking advantage of the high diversity initially generated on the pyrimidine core through Biginelli multicomponent reaction [10]. Inspired by the Biginelli-derived CCBs that are considered aza-analogs of dihydropyridine (DHP) CCBs [11,12,13,14,15] (Figure 2), the newly synthesized derivatives were rationalized as potential CCBs. This hypothesis was also supported by the representation of the pyrimidine ring in efficient CCBs [9]. Accordingly, all the target compounds were evaluated for their in vitro calcium channel blocking activity relative to the prototype CCB nifedipine. The most active derivatives were then evaluated for possible hypotensive activities in dogs, then subjected to molecular modeling studies. The substitution pattern was rationalized to keep the basic pharmacophoric core while modifying the C2 position. In this regard, various alkyl and aryl moieties were introduced at the core’s C2 via different functionalized linkers (hydrazones, thiosemicarbazides, etc.) following the SAR of previously reported CCBs [12,13,14,15]. Heterocyclic ring systems such as pyrazole, pyrazolidinedione, thiazoline and thiazolidinone were also incorporated. Furthermore, it was also aimed to synthesize fused pyrimidine ring systems such as triazolopyrimidine and pyrimidotriazine rings to extend the deduced structure–activity relationship study. It is worth mentioning that these nitrogenous heterocycles are obviously represented in various lead CCBs [12,13,14,15,16,17,18].
Figure 2.
The design strategy of the target Biginelli-derived pyrimidines and fused pyrimidines.
The synthesized pyrimidine and fused pyrimidine derivatives were evaluated for their potential calcium channel blocking activity as hypotensive agents. The compounds showing promising ex vivo calcium channel blocking activities were then tested for their hypotensive activity following intravenous administration in dogs. Nifedipine was selected as a reference as it is the prototype DHP CCB and the lead for Biginelli-derived dihydropyrimidine (DHPM) CCBs and pyrimidine-based CCBs. Additionally, a ligand-based pharmacophore model was developed to provide adequate information about the binding mode of the newly synthesized active compounds. This may also serve as a reliable basis for designing new active pyrimidine-based CCBs.
2. Results and Discussion
2.1. Chemistry
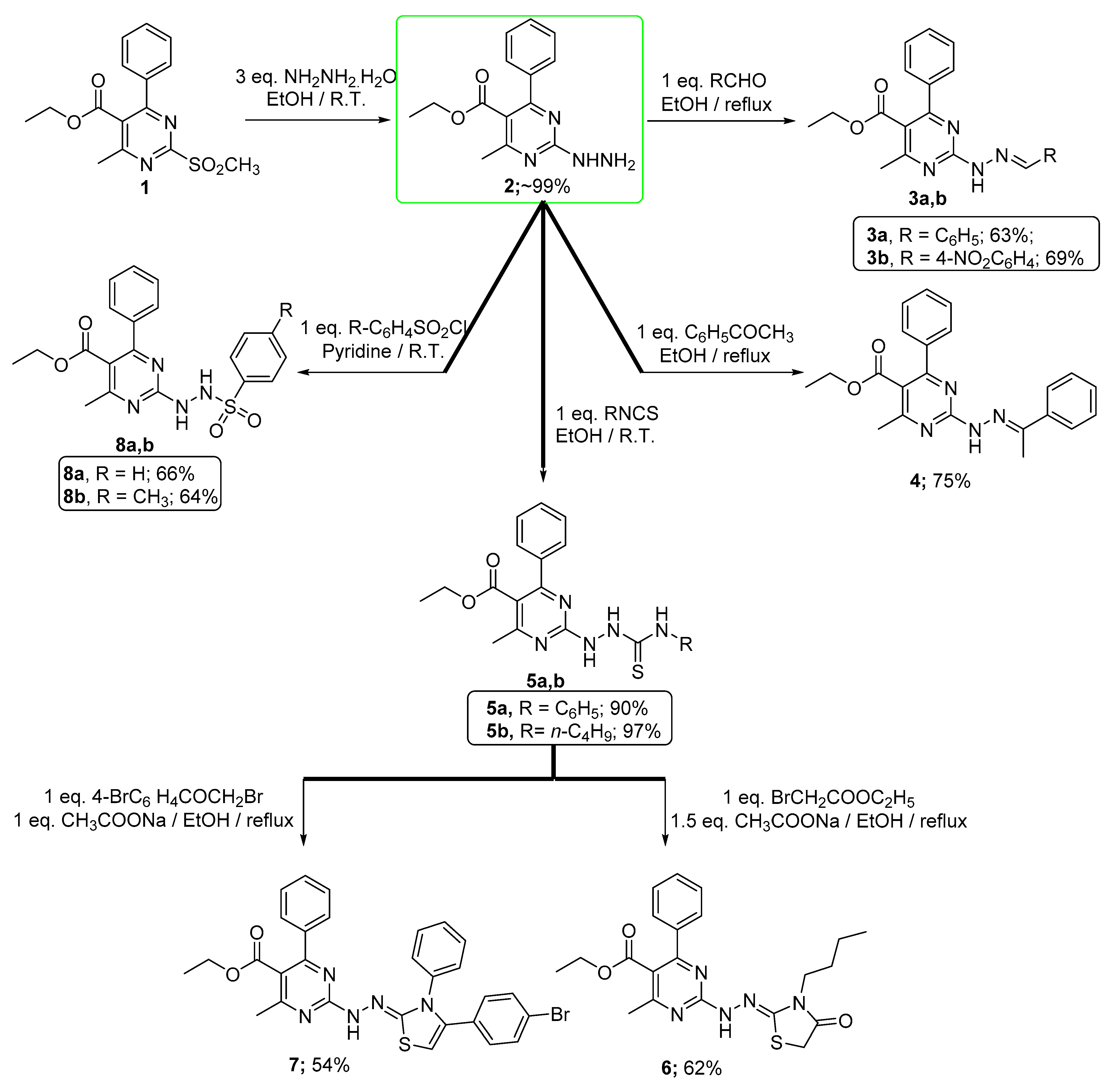
The synthetic strategies adopted for the preparation of the intermediate and final compounds are depicted in Scheme 1 and Scheme 2. As shown in Scheme 1, the starting compound ethyl 6-methyl-2-methylsulfonyl-4-phenylpyrimidine-5-carboxylate 1 [19] was conveniently converted to ethyl 2-hydrazino-6-methyl-4-phenylpyrimidine-5-carboxylate 2 by reaction with 99% hydrazine hydrate in ethanol. 1H-NMR showed the absence of the methyl singlet and the appearance of the D2O exchangeable signals at 4.33 and 8.62 ppm assigned to NH2 and NH, respectively. Condensing equimolar amounts of hydrazine derivative 2 with aromatic aldehydes and acetophenone as representative ketone in refluxing EtOH following a conventional method [20] afforded the corresponding hydrazones 3a,b and 4, respectively. The IR spectra of these compounds lacked stretching absorption bands due to NH2 and showed stretching absorption bands due to NH and C=N, while 1H-NMR lacked the upfield D2O-exchangeable singlet assigned for hydrazine NH2 protons and showed a downfield D2O-exchangeable singlet assigned for hydrazone NH proton. The structure of compound 4 was further verified by 13C-NMR spectral data. The new thiosemicarbazides 5a,b were prepared by reaction of the key intermediate 2 with representative aryl- and alkyl-substituted isothiocyanates at room temperature. Reaction of 5b with ethyl bromoacetate in boiling EtOH containing anhydrous sodium acetate [21] afforded the corresponding thiazolidinone derivative 6b. 1H-NMR showed a highly deshielded D2O-exchangeable singlet assigned for NH proton. In addition, a multiplet integrated for two protons was assigned for thiazolidinone C5 protons, while the 13C-NMR spectrum provided further confirmation of the structure. Moreover, condensing the thiosemicarbazides 5a with bromophenacyl bromide in presence of sodium acetate in absolute EtOH [21] afforded the thiazoline derivatives 7 in acceptable yields. Its 1H-NMR spectrum showed a deshielded singlet, integrated for one proton assigned for thiazoline C5 proton. Compounds 8a,b were synthesized by stirring equimolecular amounts of the hydrazine 2 with the aryl sulfonyl chlorides in dry pyridine following a previously reported procedure [22]. Products were identified by IR, 1H-NMR and 13C-NMR in addition to MS spectrum of 8b which showed a molecular ion peak at m/z 426 (20%) that matched its molecular weight.
Scheme 1.
Synthesis of the desired compounds 2–8.
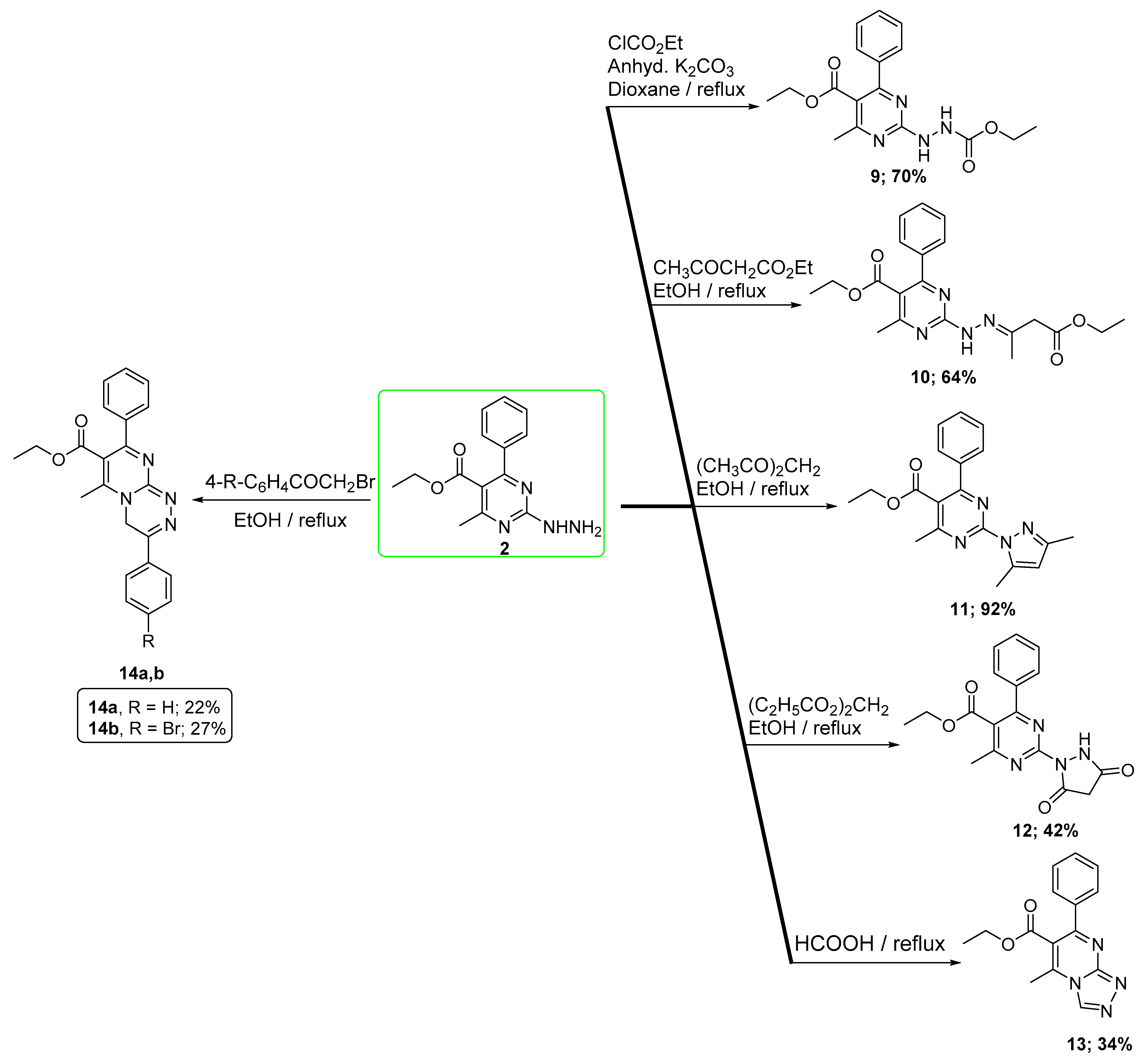
Scheme 2.
Synthesis of the desired compounds 9–14.
Referring to Scheme 2, the key intermediate 2 was heated with ethyl chloroformate in dry dioxane in accordance with conventional procedure [23] affording ethyl 2-[2-(ethoxycarbonyl)hydrazino]-6-methyl-4-phenylpyrimidine-5-carboxylate 9. The 1H-NMR spectrum showed an extra triplet and quartet characteristic of the ethyl moiety, while its MS spectrum revealed a molecular ion peak at m/z 344 (14%) which matched its molecular weight. Condensation of hydrazino derivative 2 with ethyl acetoacetate yielded the corresponding hydrazone 10. The chemical structure of 10 was confirmed by IR, 1H-NMR, 13C-NMR and MS spectral data. The pyrazolyl derivatives 11 and 12 were successfully produced by heating 2 with acetylacetone and diethylmalonate, respectively, in ethanol/glacial acetic acid. 1H-NMR spectra of compounds 11 and 12 were characterized by pyrazolyl C4 protons. 13C-NMR spectra for these compounds revealed a signal at 110.80 ppm due to pyrazolyl C4. Moreover, the MS spectrum of 11 showed a molecular ion peak at m/z 336 (100%) which is in accordance with its molecular formula.
Heating compound 2 with formic acid [24] gave the corresponding ethyl 5-methyl-7-phenyl-1,2,4-triazolo[4,3-a]pyrimidine-6-carbxylate 13. Its 1H-NMR spectrum lacked the two D2O-exchangeable singlets assigned for NHNH2 protons and showed a new downfield singlet assigned for triazole C3-H proton, confirming cyclization. Its 13C-NMR spectrum revealed two signals at 148.48 and 160.86 ppm corresponding to triazolopyrimidine C3 and C8a, respectively. Additionally, its MS spectrum showed a molecular ion peak at m/z 282 (54%) which is in accordance with its molecular formula. Cyclization regioselectivity of 13 was unequivocally established by HMBC showing a correlation between C5-CH3 at 2.9 ppm and the C3 at 148.48 ppm (Figure 3a), confirming cyclization at N1 rather than N3 of the pyrimidine core. On the other hand, compound 2 was cyclized with the appropriate phenacyl bromides in boiling absolute ethanol [25] to give the pyrimido[2,1-c]-1,2,4-triazine derivatives 14a,b. 1H-NMR spectra of these compounds showed the presence of singlets at 5.54–5.56 ppm assigned to the triazino C4 protons. The 13C-NMR spectrum of compound 14b revealed signals due to pyrimidotriazine C3 and C4 at their expected chemical shifts. Moreover, the MS spectrum of 14a showed a molecular ion peak at m/z 372 (65%) which matched its molecular weight. Similarly, cyclization regioselectivity of 14b was unequivocally established by HMBC showing a correlation between C6-CH3 carbon at 17.47 ppm and the C4-H at 5.54 ppm (Figure 3b), confirming cyclization at N1 rather than N3 of the pyrimidine core.
Figure 3.
(a) HMBC spectrum of compound 13; (b) HMBC spectrum of compound 14b.
2.2. Biological Evaluation
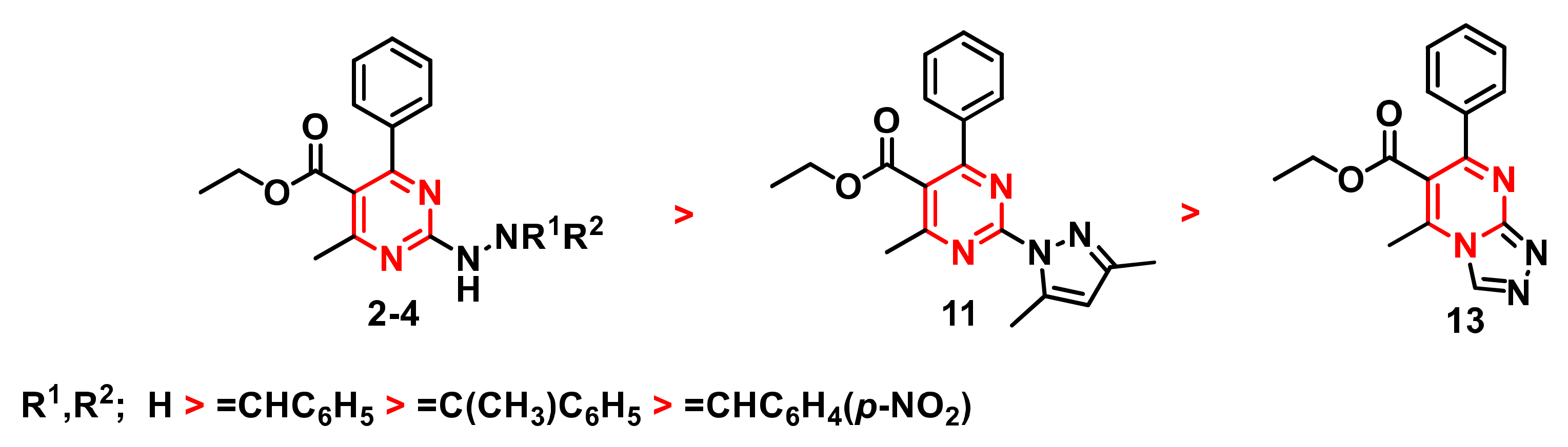
All the newly synthesized derivatives were screened for calcium channel blocking activity by determining their ability to antagonize KCl-induced contractions of isolated rabbit jejunum and rat colon at a concentration of 10−5 M [26] (Table 1). Results of the preliminary screening revealed that six compounds (2, 3a, 3b, 4, 11 and 13) showed inhibition of KCl-induced contractions, whereas other compounds failed to initiate any detectable activity. Candidate compounds were then evaluated at increasing doses (2 × 10−5, 4 × 10−5 and 6 × 10−5 M) (Table 2). Active compounds were less potent than nifedipine. However, they showed dose-dependent inhibition of KCl-induced contractions. The highest calcium channel blockade was exhibited by the hydrazine derivative 2 and the p-nitrophenylhydrazone 3b. They were equipotent, showing 100% inhibition of KCl-induced contractions at a concentration of 6 × 10−5 M. The hydrazones 3a and 4 lacking the nitro group showed lower activity at the same concentration. Moderate activity was exhibited when the hydrazine functionality was encaged in a planar heterocyclic pyrazole ring to furnish compound 11. The lowest detected activity was elicited when a triazole ring was fused to the pyrimidine ring in compound 13. For further quantitative assessment, IC50 and pIC50 were statistically calculated (Table 3). Results showed that the lead compound 2 was the most potent. The hydrazones 3a, 3b and 4 as well as the pyrazole derivative 11 showed moderate activities. The fused triazolopyrimidine derivative 13 showed the least calcium channel blocking activity.
Table 1.
Preliminary screening of calcium channel blocking activity of the tested compounds at a concentration of 10−5 M in DMSO on isolated rat colon and rabbit jejunum (n = 4) a.
Table 2.
Quantitative assessment of active compounds expressed as % inhibition of KCl-induced contractions on isolated rabbit jejunum at different concentrations (n = 4) a.
Table 3.
Quantitative assessment of active compounds expressed as IC50 and PIC50 on isolated rabbit jejunum. (n = 3–4) a.
In addition, compounds 2 and 11 were evaluated for hypotensive activity (mg/kg, i.v.) in normotensive anesthetized dogs at different doses [27] (Table 4). Results are represented by the change in mean arterial blood pressure (MAP) (mmHg). The data indicated a poor correlation between in vitro calcium channel blocking activity and hypotensive activity in normotensive anesthetized dogs following i.v. administration of compounds 2 and 11 at doses up to 12 mg/kg. Additional studies were performed at higher doses, where both compounds exhibited approximately the same potency at 24 mg/kg i.v. dose.
Table 4.
Hypotensive activity of selected test compounds (mg/kg, i.v.) in normotensive anesthetized dogs represented by change in MAP (mmHg) as mean ± SE (n = 3–5) a.
2.3. Molecular Modeling
2.3.1. Pharmacophore Modeling
In the present investigation, a ligand-based pharmacophore model was developed for representative DHP CCBs, including the prototype nifedipine and its lead aza-analogs; DHPM CCBs; and pyrimidine-based CCBs [9,28,29,30] as a training set (Supplementary File Figure S29) in order to map common structural features of highly active CCBs (Figure 4).
Figure 4.
(a) The best query displaying pharmacophoric features shared by representative DHP, DHPM and pyrimidine-based CCBs as colored spheres (green for hydrophobic feature, cyan for H-bond acceptor and pink for H-bond acceptor/donor as well as hydrophobic centers with H-bond acceptor or donor functions. (b) Linear distances between various pharmacophore features are measured in angstroms and displayed as green lines.
In absence of the 3D structure of LCC, this hypothesis was employed as a valuable tool to provide adequate information about the binding mode of the newly synthesized active compounds. This may also provide a reliable basis for the design of new potentially active molecules of the pyrimidine type. All structures were built using MOE Builder in the Molecular Operating Environment program (MOE) [31]. The selected 3D-pharmacophore model (pharmacophore query) showed 100% accuracy and 7.8 overlap and was composed of five main features (Figure 4a):
- Hydrophobic center (green sphere) involving C4 phenyl ring (F1: Hyd).
- Hydrophobic center (green sphere) involving C6 methyl group (F2: Hyd).
- Hydrogen bond acceptor function (cyan sphere) involving C5 carbonyl group (F3: Acc).
- Hydrogen bond acceptor/donor function (pink sphere) involving ring N (F4: Acc/Don).
- Hydrophobic center with H-bond acceptor or donor function (pink sphere) involving C2 substitutions (F5: Hyd/Acc/Don).
The 3D spatial relationship between these key features, identified by pharmacophore analysis, was reported as linear distances in angstroms (Figure 4b).
The selected pharmacophore model was validated for its predictive efficacy as a calcium channel model utilizing representative derivatives of DHP, DHPM [29] and pyrimidine [9] CCBs as a validation set (Supplementary File Figures S30 and S31). Biologically active compounds were subjected to conformational search and energy minimization and were superimposed onto the pharmacophore hypothesis. The most suitable alignment for each compound (lowest RMSD) was selected (Table 5).
Table 5.
RMSD values of hit compounds.
Results (Figure 5a–e) indicated that all compounds showing in vitro calcium channel blocking activity except compound 13 were able to satisfy pharmacophoric features of the model with RMSD values in the range 0.5678–0.8392, suggesting that they may share the same binding site on the receptor. Although compound 13 is active, it failed to fit the model, and this non-agreement might suggest a different binding mode.


Figure 5.
(a) Mapping of compound 2 on the pharmacophore model. (b) Mapping of compound 3a on the pharmacophore model. (c) Mapping of compound 3b on the pharmacophore model. (d) Mapping of compound 4 on the pharmacophore model. (e) Mapping of compound 11 on the pharmacophore model.
2.3.2. In Silico Physicochemical Properties, Drug-Likeness and ADME
Recent drug discovery programs utilize in silico prediction of physicochemical and ADME parameters as useful lead identification tools. In this study, the physicochemical parameters formulating Lipinski’s rule [32] were computed for the most active compounds utilizing Molinspiration software [33] (Table 6). Interestingly, the selected compounds 2 and 11 were in full accordance with Lipinski’s parameters. Molinspiration [33] was also employed to calculate topological polar surface area (TPSA), which is utilized to calculate the estimated absorption percentage [34] as an additional bioavailability descriptor [35]. Herein, compounds 2 and 11 displayed drug-like TPSA values (<140–150 A2) [36,37] and reasonable absorption percentages (77–84%), predicting promising oral bioavailability. Aqueous solubility of 2 and 11 and their drug-likeness scores (Table 6) were predicted utilizing Molsoft software [38]. Both compounds recorded excellent drug-like predicted solubility and drug-likeness model scores.
Table 6.
In silico physicochemical properties, drug-likeness and ADME data of the most active compounds.
Furthermore, Pre-ADMET software [39] was used for ADME prediction of the selected compounds. Accordingly, CaCo2 and MDCK cell permeability coefficients, human intestinal absorption (HIA), blood–brain barrier penetration (BBB), plasma protein binding (PPB) and inhibition of cytochromes P450 2D6 (CYP2D6) and P450 3A4 (CYP3A4) were computed and listed in Table 6. Both 2 and 11 displayed acceptable CaCo2 cell model permeability values (20.44 and 33.73 nm/s, respectively) and MDCK cell model permeability values (77.38 and 18.32 nm/s, respectively). Their HIA (92–98%) and BBB (0.67 and 1.58, respectively) values demonstrated excellent predicted intestinal absorption and acceptable CNS bioavailability of both compounds. Additionally, 2 was predicted to be devoid of the undesirable CYP3A4 and CYP2D6 inhibition activities, and hence potential drug–drug interactions are most probably excluded.
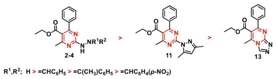
2.4. Structure–Activity Relationship
The preliminary calcium channel blockade screening (Table 2) revealed that the designed 2-substituted Biginelli-derived scaffolds (Figure 2), when appropriately substituted, conserved the intrinsic calcium channel blocking activities of their DHP mimics [40], DHPM precursors [11,12,13,14,15,20] and pyrimidine-based leads [9]. It is worth mentioning this observation echoes previous structure–activity relation (SAR) studies showing that nifedipine [40] and DHPM CCBs [15,28,29,41] tolerate various C2 substituents. The promising group (Figure 6) included the 2-hydrazino derivative 2, its hydrazones 3a,b and 4, the dimethyl-1H-pyrazol-1-yl derivative 11 and the triazolopyrimidine derivative 13. Quantitative assessment of active compounds (Table 3) showed that most of the derivatives, namely 2, 3a, 3b and 4, that can display (donate) hydrogen bond(s) within the vicinity of the heterocyclic core showed notable calcium channel blockade activities. This correlation is consistent with previous SAR studies highlighting the critical hydrogen bonding interaction offered by the heterocyclic core of various DHP and DHPM CCBs. [42,43]. Herein, this hypothesis was supported by the elucidated pharmacophore model (Figure 4). However, it seems that the C2 substituent’s size and the number of possible hydrogen bond donors tuned the compounds’ potency (Table 3). The hydrazino moiety in compound 2 conferred the highest potency (IC50 = 0.96 µM) to the Biginelli-derived scaffold, followed by 2-benzylidenehydrazino (IC50 = 1.089 µM) and 2-(phenylethylidene)hydrazino (IC50 = 1.889 µM) groups in thee hydrazones 3a and 4, respectively. Notably, the introduction of the p-nitro group to the 2-benzylidenehydrazino motif in 3b critically decreased the potency (IC50 = 2.82 µM) by approximately 2.5-fold relative to the unsubstituted derivative 3a. Obviously, thiocarbamoylation, sulfonation, acylation and condensation with ethyl acetoacetate afforded the inactive derivatives 5a,b, 8a,b, 9 and 10, respectively. These results point to the unfavorable effect of introducing electron-withdrawing and/or bulky groups to the hydrazino group on calcium channel antagonism. Another correlation between C2 flexibility and the calcium channel blockade could be deduced from monitoring the activity of the pyrazolyl 11 and the triazolopyrimidine 13 derivatives, where the free hydrazino group was encaged in isolated or fused ring systems, respectively. Results (Table 3) showed that the pyrazolyl derivative 11 (IC50 = 2.594 µM) was 2.7-fold less potent than the hydrazino derivative 2, whereas the triazolopyrimidine derivative 13 was the least potent (IC50 = 3.199 µM) among the group (3-fold less potent than 2). These findings clarified the influence of C2 substituent flexibility on calcium channel antagonism. Again, introducing electron-withdrawing moieties to the ring systems was detrimental to activity, as evidenced by loss of activity in the case of the dioxopyrazolidin-1-yl derivative 12 and the pyrimidotriazine derivatives 14a,b. Collectively, it could be concluded that the designed Biginelli-derived scaffold was optimized as the 2-hydrazino derivative 2. It may tolerate hydrazones or isolated heterocycles of suitable size and electronic environment. On the other hand, it may be deduced that derivatizing the C2 hydrazino group into various electron-withdrawing functionalities either flexible (thiosemicarbzides 5a,b, arylsulfonylhydrazines 8a,b, ethoxycarbonylhydrazine 9 and ethoxyoxobutan-3-ylidene hydrazine 10), in ring systems (thiazolidinone 6, thiazoline 7 and pyrazolidinedione 12) or fused with the heterocyclic core (pyrimidotriazines 14a,b) was detrimental to activity.
Figure 6.
Summarized SAR pattern of the Biginelli-derived pyrimidine and fused pyrimidine CCBs.
In other words, the hydrazino group may be utilized as a spacer to introduce aromatic moieties taking into consideration keeping the linker flexible while avoiding electron-withdrawing groups.
Further evaluation of selected CCBs (2 and 11) for their hypotensive activities (mg/kg, i.v.) in normotensive anesthetized dogs at different doses (Table 4) revealed that the pyrazolyl derivative 11 exhibited superior in vivo hypotensive activity relative to the hydrazino derivative 2, at doses up to 12 mg/kg, despite being less active as a CCB according to in vitro studies. This poor correlation between the in vitro calcium channel blockade and in vivo hypotensive activities when prioritizing the evaluated derivatives refers to the influence of a secondary hypotensive mechanism that might have contributed to the in vivo potency of the pyrazolyl derivative 11. Interestingly, higher doses (at 24 mg/kg i.v.) of both compounds exhibited approximately the same potency.
3. Materials and Methods
3.1. Chemistry
Melting points were determined in open-glass capillaries using a Griffin melting point apparatus and are uncorrected. IR spectra (KBr) were recorded using a Bruker Vector 22 spectrophotometer at the Microanalytical Center, Faculty of Science, Cairo University. 1H NMR spectra were scanned on a Mercury spectrometer (300 MHz) at the Faculty of Science, Cairo University. 13C NMR, distortionless enhancement by polarization transfer (DEPT) and heteronuclear multiple bond coherence (HMBC) spectra were recorded on Jeol spectrometer (500 MHz) at the National Research Centre, Dokki, Cairo, using tetramethylsilane (TMS) as internal standard and DMSO-d6 as the solvent (chemical shifts are given in δ ppm). Splitting patterns were designated as follows: s = singlet, d = doublet, t = triplet, q = quartet, m = multiplet, br = broad, dist = distorted. Mass spectra were recorded using a Shimadzu GCMS-Qp2010 plus (70 ev) at the Faculty of Science, Cairo University. Microanalyses were performed at the Microanalytical Unit, Faculty of Science, Cairo University. Results of the microanalyses were within ±0.4% of the calculated values. Follow-up of the reactions and checking the purity of the compounds were performed by thin-layer chromatography (TLC) on aluminum sheets precoated with silica gel (Type 60 GF254; Merck, Germany) and the spots were detected by exposure to UV lamp at 254 nm for a few seconds. Compound 1 was synthesized as described in [19].
Ethyl 2-hydrazino-6-methyl-4-phenylpyrimidine-5-carboxylate (2): Hydrazine hydrate 99% (3.75 g, 75 mmol) was slowly added to a solution of the methylsulfonyl derivative 1 (8 g, 25 mmol) in absolute EtOH (15 mL). The reaction mixture was stirred at RT for 30 min, during which complete dissolution and reprecipitation occurred. The obtained product was filtered, washed thoroughly with H2O, dried and crystallized from EtOH/H2O (5:1). Yield: (quantitative), m.p: 94–96 °C. IR (KBr, cm−1): 3254, 3221, 3060 (NH2, NH), 1710 (C=O), 1553 (C=N and C=C Ar), 1436 (C=C Ar), 1260, 1082 (υas and υs C-O-C). 1H-NMR (DMSO-d6, 300 MHz) δ ppm: 0.91 (t, J = 7.2 Hz, 3H, CH3CH2), 2.39 (s, 3H, C6-CH3), 4.01 (q, J = 7.2 Hz, 2H, CH3CH2), 4.33 (s, br, 2H, NH2, D2O-exchangeable), 7.40–7.55 (m, 5H, Ar-Hs), 8.62 (s, 1H, NH, D2O-exchangeable). EI-MS m/z (relative intensity): 272 ([M+], 100). Anal. Calcd. for C14H16N4O2 (272.3): C 61.75, H 5.92, N 20.58. Found: C 62.02, H 5.88, N 21.00.
Ethyl 2-(2-arylidenehydrazino)-6-methyl-4-phenylpyrimidine-5-carboxylates (3a,b): A solution of hydrazine derivative 2 (0.27 g, 1 mmol) in absolute EtOH (5 mL) was treated with a solution of an equimolar amount of the appropriate aromatic aldehyde in absolute EtOH. The reaction mixture was heated under reflux for 15 h and cooled. The separated product was filtered, washed with petroleum ether (40–60°), dried and crystallized from EtOH.
Ethyl 2-(2-benzylidenehydrazino)-6-methyl-4-phenylpyrimidine-5-carboxylate (3a): Yield: 63%, m.p: 133–135 °C. IR (KBr, cm−1): 3199 (NH), 1719 (C=O), 1578, 1541 (C=N occasionally mixed with C=C Ar), 1443 (C=C Ar), 1268, 1081 (υas and υs C-O-C). 1H-NMR (DMSO-d6, 300 MHz) δ ppm: 0.94 (t, J = 7.2 Hz, 3H, CH3CH2), 2.47 (s, 3H, C6-CH3), 4.06 (q, J = 7.2 Hz, 2H, CH3CH2), 7.34–7.71 (m, 10H, Ar-Hs), 8.20 (s, 1H, N=CH), 11.64 (s, 1H, NH, D2O-exchangeable). Anal. Calcd. for C21H20N4O2 (360.41): C 69.98, H 5.59, N 15.55. Found: C 70.08, H 6.00, N 15.50.
Ethyl 6-methyl-2-(2-(4-nitrobenzylidene)hydrazino)-4-phenylpyrimidine-5-carboxylate (3b): Yield: 69%, m.p: 220–222 °C. IR (KBr, Cm-1): 3325 (NH), 1706 (C=O), 1544 (C=N occasionally mixed with C=C Ar), 1434 (C=C Ar), 1257, 1082 (υas and υs C-O-C). 1H-NMR (DMSO-d6, 300 MHz) δ ppm: 0.96 (t, dist, J = 7.2 Hz, 3H, CH3CH2), 2.50 (s, 3H, C6-CH3), 4.09 (q, dist, J = 7.5 Hz, 2H, CH3CH2), 7.50–7.58 (m, 5H, Ar-Hs), 7.93 (d, dist, J = 8.7 Hz, 2H, Ha, C2′,6′-Hs), 8.25 (s, 1H, N=CH), 8.27 (d, J = 9 Hz, 2H, Hb, C3′,5′-Hs), 11.95 (s, 1H, NH, D2O-exchangeable). EI-MS m/z (relative intensity): 405 ([M+], 14), 228 (100). Anal. Calcd. for C21H19N5O4 (405.41): C 62.22, H 4.72, N 17.27. Found: C 62.09, H 4.83, N 16.91.
Ethyl 2-[2-(1-phenylethylidene)hydrazino]-6-methyl-4-phenylpyrimidine-5-carboxylate (4): A solution of hydrazine 2 (0.27 g, 1 mmol) in absolute EtOH (5 mL) was treated with a solution of an equimolar amount of acetophenone in absolute EtOH. The reaction mixture was heated under reflux for 19 h and cooled to RT. The separated product was filtered, washed with petroleum ether (40–60°), dried and crystallized from EtOH unless otherwise stated. Yield: 75%, m.p: 162–164 °C. IR (KBr, cm−1): 3223 (NH), 1717 (C=O), 1551 (C=N occasionally mixed with C=C Ar), 1438 (C=C Ar), 1259, 1082 (υas and υs C-O-C). 1H-NMR (DMSO-d6, 300 MHz) δ ppm: 0.94 (t, J = 7.2 Hz, 3H, CH3CH2), 2.35 (s, 3H, N=C-CH3(Ar)), 2.49 (s, 3H, C6-CH3 overlapping with DMSO), 4.06 (q, J = 7.5 Hz, 2H, CH3CH2), 7.36–7.83 (m, 10H, Ar-Hs), 10.50 (s, 1H, NH, D2O-exchangeable). 13C-NMR (DMSO-d6, 125 MHz) δ ppm: 14.0, 14.4, 23.1, 61.5, 117.5, 126.6, 128.4, 128.9, 129.2, 130.2, 138.8, 139.1, 149.4, 160.0, 165.7, 167.1, 168.4; EI-MS m/z (relative intensity): 374 ([M+], 64), 373 (100). Anal. Calcd. for C22H22N4O2 (374.44): C 70.57, H 5.92, N 14.96. Found: C 70.79, H 6.02, N 15.05.
Ethyl 6-methyl-4-phenyl-2-[2-(substituted thiocarbamoyl)hydrazino]pyrimidine-5-carboxylates (5a,b): The appropriate isothiocyanate derivative (0.01 mol) was added to a well-stirred suspension of hydrazine derivative 2 (2.7 g, 0.01 mol) in absolute EtOH (20 mL). The reaction mixture was stirred at RT for 2 h, during which dissolution and reprecipitation occurred. The obtained precipitate was filtered, washed with petroleum ether (40–60°), dried and crystallized from EtOH.
Ethyl 6-methyl-4-phenyl-2-[2-(phenylthiocarbamoyl)hydrazino]pyrimidine-5-carboxylates (5a): Yield: 90%, mp: 140–142 °C. IR (KBr, cm−1): 3274, 3151 (NH), 1715 (C=O), 1557 (C=N mixed with C=C Ar), 1438 (C=C Ar), 1526, 1358, 1219, 1016 (N-C=S amide I, II, III, IV bands), 1252, 1089 (υas and υs C-O-C).1H-NMR (DMSO-d6, 300 MHz) δ ppm: 0.97 (t, J = 7.2 Hz, 3H, CH3CH2), 2.44 (s, 3H, C6-CH3), 4.08 (q, J = 7.2 Hz, 2H, CH3CH2), 7.13–7.56 (m, 10H, Ar-Hs), 9.52 (s, 1H, NHNHC=S, D2O-exchangeable), 9.73 (s, 1H, NHC6H5, D2O-exchangeable), 9.75 (s, 1H, C2-NH, D2O-exchangeable). 13C-NMR (DMSO-d6, 125 MHz) δ ppm: 14.0, 23.0, 61.7, 117.7, 125.4, 126.1, 128.4, 128.9, 130.4, 138.5, 139.9, 162.2, 165.0, 166.9, 168.5, 181.6; Anal. Calcd. for C21H21N5O2S.H2O (425.50): C 59.28, H 5.45, N 16.46. Found: C 59.47, H 5.05, N 15.75.
Ethyl 2-[2-(butyl thiocarbamoyl)hydrazino]-6-methyl-4-phenylpyrimidine-5-carboxylates (5b): Yield: 97%, m.p: 125–127 °C. IR (KBr, cm−1): 3226 (NH), 1724 (C=O), 1565 (C=N mixed with C=C Ar), 1439 (C=C Ar), 1539, 1377, 1171, 1020 (N-C=S amide I, II, III, IV bands), 1253, 1088 (υas and υs C-O-C). 1H-NMR (DMSO-d6, 300 MHz) δ ppm: 0.83 (t, J = 7.2 Hz, 3H, CdH3), 0.96 (t, J = 7.2 Hz, 3H, ester CH3), 1.24 (m, 2H, CcH2), 1.47 (m, 2H, CbH2), 2.41 (s, 3H, C6-CH3), 3.44 (q, J = 6.6 Hz, 2H, CaH2, appearing as t after deuteration), 4.08 (q, J = 7.2 Hz, 2H, ester CH2), 7.40–7.46 (m, 5H, C4-Ar-Hs), 8.02 (t, J = 6.9 Hz, br, 1H, NHC4H9, D2O-exchangeable), 9.23 (s, 1H, NHC=S, D2O-exchangeable), 9.30 (s, 1H, C2-NH, D2O-exchangeable). Anal. Calcd. for C19H25N5O2S (387.5): C 58.89, H 6.50, N 18.07. Found: C 58.77, H 6.37, N 18.69.
Ethyl 6-methyl-2-[2-(3-butyl-4-oxothiazolidin-2-ylidene)-hydrazino]-4 phenylpyrimidine-5-carboxylate (6): Ethyl bromoacetate (0.167 g, 1 mmol) was added to a suspension of thiosemicarbazide derivative 5b (1 mmol) in absolute EtOH (5 mL) containing anhydrous NaOAc (0.12 g, 1.5 mmol). The reaction mixture was heated under reflux for 3 h, concentrated to half its volume, allowed to attain RT and poured onto ice-cold H2O (10 mL). The obtained precipitate was filtered, dried and crystallized from EtOH. Yield: 62%, m.p: 121–123 °C. IR (KBr, cm−1): 3159 (NH), 1710 (C=O ester), 1624 (C=O amide), 1553 (C=N), 1470 (C=C Ar), 1262, 1092 (υas and υs C-O-C), 1168, 1018 (υas and υs C-S-C). 13C-NMR (DMSO-d6, 125 MHz) δ ppm: 13.9, 14.2, 20.0, 23.1, 29.2, 33.0, 42.8, 61.4, 116.4, 128.4, 128.8, 130.2, 138.9, 159.4, 161.1, 165.3, 166.9, 168.5, 172.1; Anal. Calcd. for C21H25N5O3S (427.54): C 59.00, H 5.89, N 16.38. Found: C 59.13, H 5.94, N 16.47
Ethyl 2-[2-(4-(4-bromophenyl)-3-phenylthiazol-2(3H)-ylidene)hydrazino]-6-methyl-4-phenylpyrimidine-5-carboxylate (7): A solution of 4-bromophenacyl bromide (1 mmol) in absolute EtOH (5 mL) was gradually added to a suspension of the thiosemicarbazide derivative 5a (1 mmol) and the equimolar amount of anhydrous NaOAc (0.082 g, 1 mmol) in absolute EtOH (5 mL). The reaction mixture was heated under reflux for 3–4 h, concentrated to half its volume and left to attain RT. The obtained precipitate was filtered, washed with H2O and crystallized from EtOH. Yield: 54%, m.p: 172–174 °C. IR (KBr, cm−1): 3161 (NH), 1713 (C=O), 1627 (C=N), 1584, 1497 (C=C Ar), 1259, 1087 (υas and υs C-O-C), 1150, 1039 (υas and υs C-S-C). 1H-NMR (DMSO-d6, 300 MHz) δ ppm: 0.97 (t, J = 7.2 Hz, 3H, CH3CH2), 2.41 (s, 3H, C6-CH3), 4.08 (q, J = 7.2 Hz, 2H, CH3CH2), 6.47 (s, 1H, thiazoline-H), 6.82–7.55 (m, 12 H, Ar-Hs), 7.64 (d, J = 8.4 Hz, 2H, Hb), 10.38, 10.43 (2 s, 1H, NH, D2O exchangeable). Anal. Calcd. for C29H24BrN5O2S (586.5): C 59.39, H 4.12, N 11.94. Found: C 59.15, H 3.87, N 11.83.
2-[2-(Arylsulfonyl)hydrazino]-6-methyl-4-phenylpyrimidine-5-carboxylates (8a,b): A mixture of hydrazine 2 (0.27 g, 1 mmol) and the appropriate arylsulfonyl chloride (1 mmol) in dry pyridine (5 mL) was stirred at RT for 24 h. The reaction mixture was diluted with crushed ice and neutralized with dilute HCl (10%). The obtained precipitate was filtered, dried and crystallized from benzene.
Ethyl 6-methyl-4-phenyl-2-[2-(phenylsulfonyl)hydrazino]-pyrimidine-5-carboxylate (8a): Yield: 66%, m.p: 98–100 °C. IR (KBr, Cm-1): 3218 (NH), 1719 (C=O), 1556 (C=N mixed with C=C Ar), 1438 (C=C Ar), 1342, 1170 (υas and υs SO2), 1268, 1089 (υas and υs C-O-C). 1H-NMR (DMSO-d6, 300 MHz) δ ppm: 0.93 (t, J = 7.5 Hz, 3H, CH3CH2), 2.22 (s, br, 3H, C6-CH3), 4.03 (q, J = 7.2 Hz, 2H, CH3CH2), 7.28–7.80 (m, 10H, Ar-Hs), 9.71 (s, 1H, C2-NH, D2O-exchangeable), 9.85 (s, 1H, NHSO2, D2O-exchangeable). Anal. Calcd. for C20H20N4O4S (412.46): C 58.24, H 4.89, N 13.58. Found: C 58.51, H 5.20, N 15.32.
Ethyl 6-methyl-4-phenyl-2-[2-(4-tolylsulfonyl)hydrazino]-pyrimidine-5-carboxylate (8b): Yield: 64%, m.p: 127–129 °C. IR (KBr, cm−1): 3211 (NH), 1721 (C=O), 1555 (C=N mixed with C=C Ar), 1438 (C=C Ar), 1345, 1165 (υas and υs SO2), 1266, 1088 (υas and υs C-O-C).1H-NMR (DMSO-d6, 300 MHz) δ ppm: 0.92 (t, J = 7.5 Hz, 3H, CH3CH2), 2.22 (s, br, 6H, C6-CH3 + C4′’-CH3), 4.02 (q, J = 7.5 Hz, 2H, CH3CH2), 7.33 (d, J = 7.8 Hz, dist, 2H, Ha), 7.40–7.51 (m, 5H, Ar-Hs), 7.60 (d, J = 7.8 Hz, 2H, Hb), 9.71 (s, 1H, C2-NH, D2O-exchangeable), 9.80 (s, 1H, NHSO2, D2O-exchangeable). 13C-NMR (DMSO-d6, 125 MHz) δ ppm: 13.9, 21.4, 22.6, 61.6, 116.9, 127.9, 128.2, 128.6, 129.5, 130.3, 137.2, 138.2, 143.4, 161.3, 164.6, 166.7, 168.3; EI-MS m/z (relative intensity): 426 ([M+], 20), 242 (100). Anal. Calcd. for C21H22N4O4S (426.49): C 59.14, H 5.20, N 13.14. Found: C 59.49, H 5.00, N 13.00.
Ethyl 2-[2-(ethoxycarbonyl)hydrazino]-6-methyl-4-phenylpyrimidine-5-carboxylate (9): Ethyl chloroformate (0.165 g, 1.5 mmol) was added to a suspension of the hydrazine 2 (0.27 g, 1 mmol) and anhydrous K2CO3 (0.27 g, 2 mmol) in dry dioxane (5 mL). The reaction mixture was heated under reflux while stirring for 5 h, left to cool to RT, diluted with ice-cold H2O (30 mL) and refrigerated overnight. The separated product was filtered, dried and crystallized from CH2Cl2/petroleum ether (40–60°) (1:4). Yield: 70%, m.p: 112–114 °C. IR (KBr, cm−1): 3332, 3307 (NH), 1710 (C=O), 1557 (C=N mixed with C=C Ar), 1444 (C=C Ar), 1256, 1089 (υas and υs C-O-C).1H-NMR (DMSO-d6, 300 MHz) δ ppm: 0.97 (t, J = 7.2 Hz, 3H, C5-ester CH2CH3), 1.21 (t, J = 7.2 Hz, 3H, carbamate CH2CH3), 2.49 (s, 3H, C6-CH3), 4.07 (2 overlapping q, J = 7.2 Hz, 4H, 2 × CH2), 7.40–7.55 (m, 5H, Ar-Hs), 8.76 and 9.13 (2s, br, 1H, C2-NH, D2O-exchangeable), 9.33 (d, dist, 1H, NHCOOEt, D2O-exchangeable). EI-MS m/z (relative intensity): 344 ([M+], 14), 242 (100). Anal. Calcd. for C17H20N4O4 (344.37): C 59.29, H 5.85, N 16.27. Found: C 59.00, H 5.60, N 16.50.
Ethyl 2-[2-(1-ethoxy-1-oxobutan-3-ylidene)hydrazino]-6-methyl-4- phenylpyrimidine-5-carboxylate (10): A mixture of hydrazine derivative 2 (0.27 g, 1 mmol) and ethyl acetoacetate (0.13 g, 1 mmol) in absolute EtOH (5 mL) was heated under reflux for 4 h. the reaction mixture was concentrated and cooled to RT. The obtained precipitate was filtered, washed with petroleum ether (40–60°), dried and crystallized from EtOH. Yield: 64%, m.p: 98–100 °C. IR (KBr, cm−1): 3196 (NH), 1721 (C=O), 1577 (C=N mixed with C=C Ar), 1544 (C=C Ar), 1255, 1087 (υas and υs C-O-C).1H-NMR (DMSO-d6, 300 MHz) δ ppm: 0.93 (t, J = 7.2 Hz, 3H, C5-CO2CH2CH3), 1.20 (t, J = 7.2 Hz, 3H, CH2CO2CH2CH3), 2.00 (s, 3H, CH3-C=N), 2.44 (s, 3H, C6-CH3), 3.36 (s, 2H, CH2CO2C2H5), 4.05 (q, J = 7.2 Hz, 2H, C5-CO2CH2CH3), 4.11 (q, J = 7.2 Hz, 2H, CH2CO2CH2CH3), 7.49–7.51 (m, 5H, Ar-Hs), 10.17 (s, 1H, NH, D2O-exchangeable). 13C-NMR (DMSO-d6, 125 MHz) δ ppm: 13.9, 14.6, 17.1, 22.9, 40.2, 61.0, 61.5, 117.3, 128.3, 128.8, 130.2, 138.8, 148.5, 159.9, 165.7, 167.0, 168.3, 170.5; EI-MS m/z (relative intensity): 384 ([M+], 6), 297 (100). Anal. Calcd. for C20H24N4O4 (384.43): C 62.49 H 6.29, N 14.57. Found: C 62.56, H 6.38, N 15.00.
Ethyl 6-methyl-2-(3,5-dimethyl-1H-pyrazol-1-yl)-4-phenylpyrimidine-5-carboxylate (11): A mixture of hydrazine derivative 2 (0.27 g, 1 mmol) and acetylacetone (0.1 g, 1 mmol) in absolute EtOH (5 mL) was heated under reflux for 5 h. The reaction mixture was concentrated, diluted with ice-cold H2O (20 mL) and refrigerated overnight. The obtained precipitate was filtered, dried and crystallized from petroleum ether (40–60°). Yield: 92%, m.p: 60–62 °C. IR υ (KBr, cm−1): 1719 (C=O), 1550 (C=N mixed with C=C Ar), 1437 (C=C Ar), 1263, 1093 (υas and υs C-O-C). 1H-NMR (DMSO-d6, 300 MHz) δ ppm: 1.04 (t, J = 7.2 Hz, 3H, CH3CH2), 2.21 (s, 3H, C6-CH3), 2.59 (s, 3H, C3″-CH3), 2.62 (s, 3H, C5″-CH3), 4.20 (q, J = 7.2 Hz, 2H, CH3CH2), 6.19 (s, 1H, C4′’-H), 7.51–7.67 (m, 5H, Ar-Hs). 13C-NMR (DMSO-d6, 125 MHz) δ ppm: 14.0, 15.5, 23.0, 62.3, 110.8, 122.4, 128.7, 129.2, 131.0, 137.4, 143.2, 150.9, 156.2, 164.8, 167.6, 167.8; EI-MS m/z (relative intensity): 336 ([M+], 100). Anal. Calcd. for C19H20N4O2 (336.39): C 67.84, H 5.99, N 16.66. Found: C 67.79, H 6.13, N 16.54
Ethyl 6-methyl-2-(3,5-dioxopyrazolidin-1-yl)-4-phenylpyrimidine-5-carboxylate (12): A mixture of hydrazine 2 (0.27 g, 1 mmol) and diethyl malonate (0.32 g, 2 mmol) in absolute EtOH/glacial HOAc (4:1) (5 mL) was heated under reflux for 11 h, concentrated to a small volume and diluted with ice-cold H2O. The separated product was filtered, dried and crystallized from CH2Cl2/petroleum ether (40–60°) (1:4). Yield: 42%, m.p: 166–168 °C. IR (KBr, cm−1): 3327, 3276 (OH, NH), 1710 (C=O ester), 1668 (C=O amide), 1557 (C=N mixed with C=C Ar), 1440 (C=C Ar), 1263, 1091 (υas and υs C-O-C). 1H-NMR (DMSO-d6, 300 MHz) δ ppm: 0.90 (t, J = 6.85 Hz, 3H, CH2CH3), 1.87 (s, 3H, C6-CH3), 4.01 (q, J = 6.75 Hz, 2H, CH2CH3), 4.13 (s, 1H, C4′’-H), 7.44 (s, 5H, Ar-Hs), 9.25 (s, 1H, NH, D2O-exchangeable), 9.83 (s, br, 1H, OH, D2O-exchangeable). 13C-NMR (DMSO-d6, 125 MHz) δ ppm: 13.91, 21.1, 61.5, 116.8, 128.3, 128.9, 130.3, 138.7, 162.1, 162.5, 165.2, 167.0, 168.5, 169.7; Anal. Calcd. for C17H16N4O4 (340.33): C 59.99, H 4.74, N 16.46. Found: C 59.54, H 5.10, N 16.68.
Ethyl 5-methyl-7-phenyl-1,2,4-triazolo[4,3-a]pyrimidine-6-carbxylate (13): A solution of hydrazine derivative 2 (0.27 g, 1 mmol) in formic acid (5 mL) was heated under reflux for 27 h. The reaction mixture was concentrated to a small volume and diluted with ice-cold H2O. The obtained precipitate was filtered, washed with H2O, dried and crystallized from EtOH/H2O. Yield 34%, m.p: 104–106 °C. IR (KBr, cm−1): 1724 (C=O), 1608 (C=N), 1520, 1442 (C=C Ar), 1285, 1087 (υas and υs C-O-C). 1H-NMR (DMSO-d6, 300 MHz) δ ppm: 0.96 (t, J = 7.5 Hz, 3H, CH3CH2), 2.90 (s, 3H, C5-CH3), 4.15 (q, J = 7.5 Hz, 2H, CH3CH2), 7.50–7.63 (m, 5H, Ar-Hs), 8.80 (s, 1H, C3-H). 13C-NMR (DMSO-d6, 125 MHz) δ ppm: 13.4, 15.4, 62.2, 116.9, 128.1, 128.7, 130.2, 138.0, 148.5, 153.7, 157.0, 160.9, 165.5; EI-MS m/z (relative intensity): 282 ([M+], 54), 253 (100). Anal. Calcd. for C15H14N4O2 (282.3): C 63.82, H 5.00. N 19.85. Found: C 63.86, H 5.05, N 19.00
Ethyl 6-methyl-8-phenyl-3-(substituted phenyl)-4H-pyrimido[2,1-c]-1,2,4-triazine-7-carboxylates (14a,b): The appropriate 4-substituted phenacyl bromide (1 mmol) was added to a solution of the hydrazine derivative 2 (0.27 g, 1 mmol) in absolute EtOH (5 mL). The reaction mixture was heated under reflux for 2 h, concentrated to half its volume and then left to cool to RT. The obtained precipitate was filtered, washed with petroleum ether (40–60°), dried and crystallized from EtOH.
Ethyl 6-methyl-3,8-diphenyl-4H-pyrimido[2,1-c]-1,2,4-triazine-7-carboxylate (14a): Yield: 22%, m.p: 234–236 °C (charring). IR (KBr, cm−1): 1724 (C=O), 1611 (C=N), 1553, 1446 (C=C Ar), 1257, 1049 (υas and υs C-O-C). 1H-NMR (DMSO-d6, 300 MHz) δ ppm: 1.00 (t, J = 7.2 Hz, 3H, CH3CH2), 2.80 (s, 3H, C6-CH3), 4.20 (q, J = 7.2 Hz, 2H, CH3CH2), 5.56 (s, 2H, C4-H2), 7.57–7.96 (m, 10 H, Ar-Hs), 13.26 (s, 1H, NH, D2O-exchangeable). EI-MS m/z (relative intensity): 372 ([M+], 65), 77 (100). Anal. Calcd. for C22H20N4O2 (372.42): C 70.95, H 5.41, N 15.04. Found: C 58.86, H 5.02, N 14.89.
Ethyl 3-(4-bromophenyl)-6-methyl-8-phenyl-4H-pyrimido[2,1-c]-1,2,4-triazine-7-carboxylate (14b): Yield: 27%, m.p: 242–244 °C (charring). IR (KBr, cm−1): 1725 (C=O), 1615 (C=N), 1548, 1446(C=C Ar), 1256, 1056 (υas and υs C-O-C). 1H-NMR (DMSO-d6, 500 MHz) δ ppm: 0.97 (t, J = 6.9 Hz, 3H, CH3CH2), 2.79 (s, 3H, C6-CH3), 4.17 (q, J = 6.9 Hz, 2H, CH3CH2), 5.54 (s, 2H, C4-H2), 7.54–7.64 (m, 3H, Ar-Hs), 7.64–7.70 (m, 2H, Ar-Hs), 7.74 (d, J = 8.4Hz, 2H, Ha), 7.88 (d, J = 8.4Hz, 2H, Hb), 13.28 (s, 1H, NH, D2O-exchangeable). 13C-NMR (DMSO-d6, 125 MHz) δ ppm: 13.3, 17.5, 39.7, 62.9, 120.1, 125.7, 128.5, 128.6, 129.7, 131.6, 132.4, 133.0, 135.6, 144.7, 147.7, 160.6, 164.9, 169.6; Anal. Calcd. for C22H19BrN4O2 (451.32): C 58.55, H 4.24, N 12.41. Found: C 53.11, H 4.29, N 12.20.
3.2. Biological Evaluation
3.2.1. Experimental Animals
Animals were obtained and housed in Moassat Hospital Animal House, Pharmacology Department, Faculty of Medicine, Alexandria University. Rats and rabbits were kept in cages with wide mesh wire bottoms under standard conditions of light and temperature and allowed food and H2O ad libitum (dogs were kept at separate theatres). The experimental protocol was approved by the Animal Care and Use Committee, Faculty of Pharmacy, Alexandria University (ACUC project number 15).
3.2.2. Data Recoding
Intestinal responses were recorded using an isometric transducer (Model TRI 201, Panlab S.I.) connected to an amplifier (Model Iso 510, Panlab S.I.). Tissues were mounted in a Bioscience organ bath.
In normotensive anesthetized dog experiments, mean arterial blood pressure (MAP) was recorded on a Grass polygraph via a pressure transducer (Model TRA 021, Panlab S.I.) triggered by an amplifier (Model Iso 510, Panlab S.I.) and connected to a mercury manometer.
3.2.3. Statistical Analysis and Data Interpretation
Statistical analysis was conducted using GraphPad Prism version 3.02 software package [44] to calculate IC50, mean, standard deviation and standard error of each mean and for comparison between different groups involved. One-way test was used for comparison between independent samples.
3.2.4. In Vitro Calcium Channel Blocking Activity
Rat Colon
Thirty Wistar albino rats (200–250 g) of either sex were starved with free access to H2O for 24 h prior to experiments and sacrificed by cervical dislocation on the day of the experiment; the abdominal cavity was opened and the ascending colon was rapidly removed and immersed in Kreb’s solution of the following composition (mM): NaCl 118.4, KCl 4.7, MgSO4.H2O 1.2, KH2PO4.2H2O 1.2, NaHCO3 25, CaCl2 1.25 and glucose 11.1.
Segments (1.5–2 cm) were mounted vertically under 1g tension in a 25 mL organ bath containing Kreb’s solution maintained at 37 °C and aerated with carbogen (95% O2 and 5% CO2). Preparations were allowed to equilibrate for about 30 min with regular washes.
Solutions of nifedipine and test compounds in DMSO, selected for in vitro calcium channel blocking activity [26], were freshly prepared, protected from light and added to the organ bath to give a final concentration of 10−5 M.
Tissues were contracted with 100 mM KCl and the maximum response was recorded. Tissues were then washed thoroughly with Kreb’s solution and, after reaching a steady state, were preincubated for 5 min with test compounds (10−5 M); again, KCl was added with the same final concentration and maximum contractions were recorded.
Rabbit Jejunum
Eight white New Zealand rabbits (1.5–2 kg) of either sex were starved with free access to H2O for 24 h prior to experiments and then slaughtered; the abdomen was opened and the jejunal portion was immediately isolated and kept in Tyrode’s solution of the following composition (mM): KCl 2.68, NaCl 136.9, MgCl2 1.05, NaHCO3 11.90, NaH2PO4 0.42, CaCl2 1.8 and glucose 5.55.
Segments (1.5–2 cm) were mounted vertically under 1g tension in a 25 mL organ bath containing Tyrode’s solution maintained at 37 °C and aerated with carbogen (95% O2 and 5% CO2). Preparations were allowed to equilibrate for about 30 min with regular washes. The same steps were followed as in rat colon for preliminary screening.
For quantitative studies, contractions produced by KCl (100 mM) were recorded in the absence and presence of different concentrations of active compounds. The percentage of inhibition of KCl-induced contractions was plotted against the concentration of the compounds for the determination of IC50.
3.2.5. In Vivo Hypotensive Activity on Normotensive Anesthetized Dogs
Eight adult normotensive dogs (15–25 kg) of either sex were anesthetized with thiopental sodium (35 mg/kg, i.v.), and additional doses were administered when needed. A 5 cm incision was made in the skin of the groin and underlying muscles were cut. Both femoral vein and artery were exposed, and each was cannulated for drug administration and determination of arterial blood pressure, respectively. The arterial cannula was connected to the pressure transducer, and arterial blood pressure was then recorded on the manometer and changes were displayed on the polygraph. Normal saline (0.90% w/v NaCl) was infused slowly throughout the experiments.
Solutions of nifedipine and test compounds (0.7 M) in DMSO were injected i.v. [27], DMSO alone did not influence the dogs’ mean MAP in control experiments. At least 15 min was allowed between challenge doses and appropriate vehicle controls. Records for test compounds were compared to the corresponding control values.
4. Conclusions
The Biginelli-derived pyrimidines and fused pyrimidines 2, 3a, 3b, 4, 11 and 13 showed the highest ex vivo calcium channel blocking activities. It was noticed that the potency among the promising compounds could be a function of the number and size of possible hydrogen bond donors/acceptors at C2. The substituent flexibility also critically contributed to the detected activity. Moreover, 2 and 11 revealed good hypotensive activities in dogs. A ligand-based pharmacophore model described the binding mode of the newly synthesized active compounds. This may also serve as a reliable basis for designing new active pyrimidine-based CCBs. Finally, the selected most active compounds 2 and 11 displayed drug-like in silico ADME parameters.
Supplementary Materials
The following supporting information can be downloaded at: https://www.mdpi.com/article/10.3390/molecules27072240/s1; Figures S1–S28: Spectra of compounds 2-14; Figures S29–S31: Pharmacophore elucidation.
Author Contributions
Conceptualization: A.M.F., O.H.R. and M.T.; methodology: M.T., O.H.R., I.D. and M.H.; software: M.T.; validation: M.S.A. and A.B.; formal analysis: O.H.R., I.D. and M.H.; investigation: M.S.A.; resources: M.S.A. and A.B.; data curation: A.M.F., A.B. and M.T.; writing—original draft preparation: M.T. and O.H.R.; writing—review and editing: A.M.F., A.B. and M.T.; visualization: A.B. and M.S.A.; supervision: A.M.F. and O.H.R.; project administration, M.T. and M.S.A.; funding acquisition: M.S.A. and M.T. All authors have read and agreed to the published version of the manuscript.
Funding
Princess Nourah bint Abdulrahman University Researchers Supporting Project number (PNURSP2022R86), Princess Nourah bint Abdulrahman University, Riyadh, Saudi Arabia. The Young Researcher Grant (Project ID 43024) from the Science, Technology & Innovation Funding Authority (STIFA), Egypt.
Institutional Review Board Statement
Not applicable.
Informed Consent Statement
Not applicable.
Data Availability Statement
Not applicable.
Acknowledgments
Princess Nourah bint Abdulrahman University Researchers Supporting Project number (PNURSP2022R86), Princess Nourah bint Abdulrahman University, Riyadh, Saudi Arabia. The authors thank the Science, Technology & Innovation Funding Authority (STIFA) for partially funding this work through the Young Researcher Grant (Proposal ID 43024).
Conflicts of Interest
The authors declare no conflict of interest.
References
- Mozaffarian, D.; Benjamin, E.J.; Go, A.S.; Arnett, D.K.; Blaha, M.J.; Cushman, M.; de Ferranti, S.; Després, J.P.; Fullerton, H.J.; Howard, V.J.; et al. Heart disease and stroke statistics—2015 update: A report from the American Heart Association. Circulation 2015, 131, e29–e322. [Google Scholar] [CrossRef] [PubMed] [Green Version]
- World Health Organization. Global Atlas on Cardiovascular Disease Prevention and Control; World Health Organization: Geneva, Switzerland, 2011. [Google Scholar]
- Williams, B.; Mancia, G.; Spiering, W.; Agabiti Rosei, E.; Azizi, M.; Burnier, M.; Clement, D.L.; Coca, A.; De Simone, G.; Dominiczak, A.; et al. 2018 ESC/ESH Guidelines for the management of arterial hypertension: The Task Force for the management of arterial hypertension of the European Society of Cardiology (ESC) and the European Society of Hypertension (ESH). Eur. Heart J. 2018, 39, 3021–3104. [Google Scholar] [CrossRef] [PubMed]
- Nakov, R.; Pfarr, E.; Eberle, S. Darusentan: An effective endothelinA receptor antagonist for treatment of hypertension. Am. J. Hypertens. 2002, 15, 583–589. [Google Scholar] [CrossRef] [Green Version]
- Enseleit, F.; Luscher, T.F.; Ruschitzka, F. Darusentan, a selective endothelin A receptor antagonist, for the oral treatment of resistant hypertension. Ther. Adv. Cardiovasc. Dis. 2010, 111, 231–240. [Google Scholar] [CrossRef] [Green Version]
- Aggarwal, R.K.; Showkathali, R. Rosuvastatin calcium in acute coronary syndromes. Expert Opin. Pharmacother. 2013, 14, 1215–1227. [Google Scholar] [CrossRef]
- Selvam, T.P.; James, C.R.; Dniandev, P.V.; Valzita, S.K. A mini review of pyrimidine and fused pyrimidine marketed drugs. Res. Pharm. 2012, 2, 1–9. [Google Scholar]
- Nicolai, E.; Cure, G.; Goyard, J.; Kirchner, M.; Teulon, J.M.; Versigny, A.; Cazes, M.; Caussade, F.; Virone-Oddos, A.; Cloarec, A. Synthesis and SAR Studies of novel triazolopyrimidine derivatives as potent, orally active angiotensin II receptor antagonists. J. Med. Chem. 1994, 37, 2371–2386. [Google Scholar] [CrossRef]
- Ohno, S.; Otani, K.; Niwa, S.; Iwayama, S.; Takahara, A.; Koganei, H.; Ono, Y.; Fujita, S.; Takeda, T.; Hagihara, M.; et al. Pyrimidine Derivatives and New Pyridine Derivatives. International Patent WO/2002/022588, 21 March 2002. [Google Scholar]
- Biginelli, P. Synthesis of 3,4-dihydropyrimidin-2(1H)-ones. Gazz. Chim. Ital. 1893, 23, 360–416. [Google Scholar]
- Kappe, C.O. Biologically active dihydropyrimidones of the Biginelli-type-a literature survey. Eur. J. Med. Chem. 2000, 35, 1043–1052. [Google Scholar] [CrossRef]
- Teleb, M.; Zhang, F.X.; Farghaly, A.M.; Wafa, O.M.; Fronczek, F.R.; Zamponi, G.W.; Fahmy, H. Synthesis of new N3-substituted dihydropyrimidine derivatives as L-/T-type calcium channel blockers. Eur. J. Med. Chem. 2017, 134, 52–61. [Google Scholar] [CrossRef]
- Teleb, M.; Zhang, F.X.; Junting, H.; Vinicius, M.G.; Farghaly, A.M.; Wafa, O.M.; Zamponi, G.W.; Fahmy, H. Synthesis and biological evaluation of novel N3-substituted dihydropyrimidine derivatives as T-type calcium channel blockers and their efficacy as analgesics in mouse models of inflammatory pain. Bioorg. Med. Chem. 2017, 25, 1926–1938. [Google Scholar] [CrossRef] [PubMed]
- Teleb, M.; Rizk, O.H.; Zhang, F.X.; Fronczek, F.R.; Zamponi, G.W.; Fahmy, H. Design, synthesis and pharmacological evaluation of some substituted dihydropyrimidines with L-/T-type calcium channel blocking activities. Bioorg. Chem. 2019, 83, 354–366. [Google Scholar] [CrossRef] [PubMed]
- Teleb, M.; Rizk, O.H.; Zhang, F.X.; Fronczek, F.R.; Zamponi, G.W.; Fahmy, H. Synthesis of some new C2 substituted dihydropyrimidines and their electrophysiological evaluation as L-/T-type calcium channel blockers. Bioorg. Chem. 2019, 88, 102915. [Google Scholar] [CrossRef]
- Bezencon, O.; Heidmann, B.; Siegrist, R.; Stamm, S.; Richard, S.; Pozzi, D.; Corminboeuf, O.; Roch, C.; Kessler, M.; Ertel, E.A.; et al. Discovery of a potent, selective T-type calcium channel blocker as a drug candidate for the treatment of generalized epilepsies. J. Med. Chem. 2017, 60, 9769–9789. [Google Scholar] [CrossRef] [PubMed]
- Remen, L.; Bezencon, O.; Simons, L.; Gaston, R.; Downing, D.; Gatfield, J.; Roch, C.; Kessler, M.; Mosbacher, J.; Pfeifer, T.; et al. Preparation, antiepileptic activity, and cardiovascular safety of dihydropyrazoles as brain-penetrant T-type calcium channel blockers. J. Med. Chem. 2016, 59, 8398–8411. [Google Scholar] [CrossRef]
- Han, M.; Nam, K.D.; Shin, D.; Jeong, N.; Hahn, H.G. Exploration of novel 2-alkylimino-1,3-thiazolines: T-type calcium channel inhibitory activity. J. Comb. Chem. 2010, 12, 518–530. [Google Scholar] [CrossRef]
- Matloobi, M.; Kappe, C.O. Microwave-assisted solution-and solid-phase synthesis of 2-amino-4-arylpyrimidine derivatives. J. Comb. Chem. 2007, 9, 275–284. [Google Scholar] [CrossRef]
- El-Wakil, M.; Teleb, M.; Abu-Serie, M.A.; Huang, S.; Zamponi, G.; Fahmy, H. Structural optimization, synthesis and in vitro synergistic anticancer activities of combinations of new N3-substituted dihydropyrimidine calcium channel blockers with cisplatin and etoposide. Bioorg. Chem. 2021, 115, 105262. [Google Scholar] [CrossRef]
- Bonde, C.G.; Gaikwad, N.J. Synthesis and preliminary evaluation of some pyrazine containing thiazolines and thiazolidinones as antimicrobial agents. Bioorg. Med. Chem. 2004, 12, 2151–2161. [Google Scholar] [CrossRef]
- Kamal, A.; Khan, M.N.; Reddy, K.S.; Rohini, K. Synthesis of a new class of 2-anilino substituted nicotinyl arylsulfonylhydrazides as potential anticancer and antibacterial agents. Bioorg. Med. Chem. 2007, 15, 1004–1013. [Google Scholar] [CrossRef]
- Kumar, Y.; Green, R.; Borysko, K.Z.; Wise, D.S.; Wotring, L.L.; Townsend, L.B. Synthesis of 2,4-disubstituted thiazoles and selenazoles as potential antitumor and antifilarial agents. 1. Methyl 4-(isothiocyanatomethyl) thiazole-2-carbamates,-selenazole-2-carbamates, and related derivatives. J. Med. Chem. 1993, 36, 3843–3848. [Google Scholar] [CrossRef] [PubMed]
- Kamal, A.M.; Radwan, S.M.; Zaki, R.M. Synthesis and biological activity of pyrazolothienotetrahydroisoquinoline and [1,2, 4]triazolo[3,4-a]thienotetrahydroisoquinoline derivatives. Eur. J. Med. Chem. 2011, 46, 567–578. [Google Scholar] [CrossRef] [PubMed]
- Nishigaki, S.; Ichiba, M.; Sato, J.; Senga, K.; Noguchi, M.; Yoneda, F. Synthesis of pyrimido[4,5-c]pyridazine derivatives. Heterocycles 1978, 9, 11. [Google Scholar]
- Rauwald, H.W.; Brehm, O.; Odenthal, K.-P. Screening of nine vasoactive medicinal plants for their possible calcium antagonistic activity. Strategy of selection and isolation for the active principles of Olea europaea and Peucedanum ostruthium. Phytother. Res. 1994, 8, 135–140. [Google Scholar] [CrossRef]
- Hsu, W.H.; Lu, Z.-X.; Hembrough, F.B. Effect of amitraz on heart rate and aortic blood pressure in conscious dogs: Influence of atropine, prazosin, tolazoline, and yohimbine. Toxicol. Appl. Pharmacol. 1986, 84, 418–422. [Google Scholar] [CrossRef]
- Atwal, K.S.; Rovnyak, G.C.; Schwartz, J.; Moreland, S.; Hedberg, A.; Gougoutas, J.Z.; Malley, M.F.; Floyd, D.M. Dihydropyrimidine calcium channel blockers: 2-heterosubstituted 4-aryl-1,4-dihydro-6-methyl-5-pyrimidinecarboxylic acid esters as potent mimics of dihydropyridines. J. Med. Chem. 1990, 33, 1510–1515. [Google Scholar] [CrossRef]
- Atwal, K.S.; Rovnyak, G.C.; Kimball, S.D.; Floyd, D.M.; Moreland, S.; Swanson, B.N.; Gougoutas, J.Z.; Schwartz, J.; Smillie, K.M.; Malley, M.F. Dihydropyrimidine calcium channel blockers. II. 3-Substituted-4-aryl-1,4-dihydro-6-methyl-5-pyrimidinecarboxylic acid esters as potent mimics of dihydropyridines. J. Med. Chem. 1990, 33, 2629–2635. [Google Scholar] [CrossRef]
- Atwal, K.S.; Swanson, B.N.; Unger, S.E.; Floyd, D.M.; Moreland, S.; Hedberg, A.; O’Reilly, B.C. Dihydropyrimidine calcium channel blockers. 3. 3-Carbamoyl-4-aryl-1,2,3,4-tetrahydro-6-methyl-5-pyrimidinecarboxylic acid esters as orally effective antihypertensive agents. J. Med. Chem. 1991, 34, 806–811. [Google Scholar] [CrossRef]
- Molecular Operating Environment (MOE), Chemical Computing Group, Montreal, Canada. Available online: https://www.chemcomp.com (accessed on 11 December 2019).
- Lipinski, C.A.; Lombardo, F.; Dominy, B.W.; Feeney, P.J. Experimental and computational approaches to estimate solubility and permeability in drug discovery and development settings. Adv. Drug Deliv. Rev. 2012, 64, 4–17. [Google Scholar] [CrossRef]
- Molinspiration Cheminformatics. Available online: https://www.molinspiration.com/ (accessed on 1 August 2019).
- Zhao, Y.; Abraham, M.H.; Lee, J.; Hersey, A.; Luscombe, N.C.; Beck, G.; Sherborne, B.; Cooper, I. Rate-limited steps of human oral absorption and QSAR studies. Pharm. Res. 2002, 19, 1446–1457. [Google Scholar] [CrossRef]
- Veber, D.F.; Johnson, S.R.; Cheng, H.-Y.; Smith, B.R.; Ward, K.W.; Kopple, K.D. Molecular properties that influence the oral bioavailability of drug candidates. J. Med. Chem. 2002, 45, 2615–2623. [Google Scholar] [CrossRef] [PubMed]
- Polinsky, A.; Shaw, G.B. High-speed chemistry libraries: Assessment of drug-likeness. In Practice of Medicinal Chemistry, 2nd ed.; Wermuth, C.G., Ed.; Elsevier: London, UK, 2003; pp. 147–157. [Google Scholar]
- Ertl, P.; Rohde, B.; Selzer, P. Fast calculation of molecular polar surface area as a sum of fragment-based contributions and its application to the prediction of drug transport properties. J. Med. Chem. 2000, 43, 3714–3717. [Google Scholar] [CrossRef] [PubMed]
- Molsoft LLC. Drug-Likeness and Molecular Property Prediction. Available online: http://molsoft.com/mprop/ (accessed on 1 August 2019).
- PreADMET. Available online: https://preadmet.bmdrc.kr/adme/ (accessed on 1 August 2019).
- Iqbal, N.; Akula, M.R.; Vo, D.; Matowe, W.C.; McEwen, C.A.; Wolowyk, M.W.; Knaus, E.E. Synthesis, rotamer orientation, and calcium channel modulation activities of alkyl and 2-phenethyl-1,4-dihydro-2,6-dimethyl-3-nitro-4-(3-or 6-substituted-2-pyridyl)-5-pyridinecarboxylates. J. Med. Chem. 1998, 41, 1827–1837. [Google Scholar] [CrossRef] [PubMed]
- Cho, H.; Ueda, M.; Shima, K.; Mizuno, A.; Hayashimatsu, M.; Ohnaka, Y.; Takeuchi, Y.; Hamaguchi, M.; Aisaka, K.; Hidaka, T.; et al. Novel calcium antagonists with potent and long-lasting vasodilative and anti-hypertensive activity. J. Med. Chem. 1989, 32, 2399–2406. [Google Scholar] [CrossRef] [PubMed]
- Arrowsmith, J.E.; Campbell, S.F.; Cross, P.E.; Stubbs, J.K.; Burges, R.A.; Gardiner, D.G.; Blackburn, K.J. Long-acting dihydropyridine calcium antagonists. 1. 2-Alkoxymethyl derivatives incorporating basic substituents. J. Med. Chem. 1986, 29, 1696–1702. [Google Scholar] [CrossRef]
- Zhorov, B.S.; Folkman, E.V.; Ananthanarayanan, V.S. Homology model of dihydropyridine receptor: Implications for L-type Ca2+ channel modulation by agonists and antagonists. Arch. Biochem. Biophys. 2001, 393, 22–41. [Google Scholar] [CrossRef]
- GraphPad Prism, Version 3.02 for Windows; GraphPad Software: La Jolla, CA, USA. Available online: http://www.graphpad.com(accessed on 10 June 2019).
Publisher’s Note: MDPI stays neutral with regard to jurisdictional claims in published maps and institutional affiliations. |
© 2022 by the authors. Licensee MDPI, Basel, Switzerland. This article is an open access article distributed under the terms and conditions of the Creative Commons Attribution (CC BY) license (https://creativecommons.org/licenses/by/4.0/).









