Three New Dihydrophenanthrene Derivatives from Cymbidium ensifolium and Their Cytotoxicity against Cancer Cells
Abstract
:1. Introduction
2. Results and Discussion
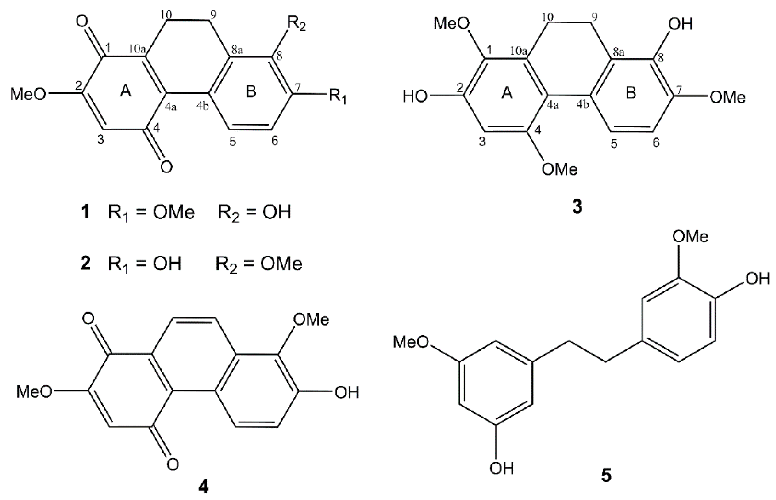
2.1. Structure Determination
2.2. Cytotoxic Effects against Various Cancer Cells
3. Materials and Methods
3.1. General Experimental Procedures
3.2. Plant Material
3.3. Extraction and Isolation
3.4. Cell Culture
3.5. Cell Viability Assay
3.6. Detection of Mode of Cell Death
3.7. Statistical Analysis
4. Conclusions
Supplementary Materials
Author Contributions
Funding
Institutional Review Board Statement
Informed Consent Statement
Data Availability Statement
Acknowledgments
Conflicts of Interest
Sample Availability
References
- Shah, S.; Thapa, B.B.; Chand, K.; Pradhan, S.; Singh, A.; Varma, A.; Thakuri, L.S.; Joshi, P.; Pant, B. Piriformospora indica promotes the growth of the in-vitro-raised Cymbidium aloifolium plantlet and their acclimatization. Plant Signal. Behav. 2019, 14, e1596716. [Google Scholar] [CrossRef] [PubMed]
- Chuakul, W. Ethnomedical uses of Thai Orchidaceous plants. Mahidol J. Pharm. Sci. 2002, 29, 41–45. [Google Scholar]
- Yoshikawa, K.; Baba, C.; Iseki, K.; Ito, T.; Asakawa, Y.; Kawano, S.; Hashimoto, T. Phenanthrene and phenylpropanoid constituents from the roots of Cymbidium Great Flower “Marylaurencin” and their antimicrobial activity. J. Nat. Med. 2014, 68, 743–747. [Google Scholar] [CrossRef] [PubMed]
- Lertnitikul, N.; Pattamadilok, C.; Chansriniyom, C.; Suttisri, R. A new dihydrophenanthrene from Cymbidium finlaysonianum and structure revision of cymbinodin-A. J. Asian Nat. Prod. Res. 2020, 22, 83–90. [Google Scholar] [CrossRef] [PubMed]
- Lv, S.; Fu, Y.; Chen, J.; Jiao, Y.; Chen, S. Six phenanthrenes from the roots of Cymbidium faberi Rolfe. and their biological activities. Nat. Prod. Res. 2020. [Google Scholar] [CrossRef]
- Smitinand, T. Thai Plant. Names (Botanical Names-Vernacular Names), Revised ed.; The Forest Herbarium, Royal Forest Department: Bangkok, Thailand, 2001; p. 163. [Google Scholar]
- Siripiyasing, P.; Kaenratana, K.; Mokkamul, P.; Tanee, T.; Sudmoon, R.; Chaveerach, A. DNA barcoding of the Cymbidium species (Orchidaceae) in Thailand. Afr. J. Agric. Res. 2012, 7, 393–404. [Google Scholar]
- Chiakul, W.; Boonpleng, A. Survey on medicinal plants in Ubon Ratchathani province (Thailand). Thai J. Phytopharm. 2004, 11, 33–54. [Google Scholar]
- San, H.T.; Chatsumpun, N.; Juengwatanatrakul, T.; Pornputtapong, N.; Likhitwitayawuid, K.; Sritularak, B. Four novel phenanthrene derivatives with α-glucosidase inhibitory activity from Gastrochilus bellinus. Molecules 2021, 26, 418. [Google Scholar] [CrossRef]
- Thant, M.T.; Khine, H.E.E.; Nealiga, J.Q.L.; Chatsumpun, N.; Chaotham, C.; Sritularak, B.; Likhitwitayawuid, K. α-Glucosidase inhibitory activity and anti-adipogenic effect of compounds from Dendrobium delacourii. Molecules 2022, 27, 1156. [Google Scholar]
- Wattanathamsan, O.; Treesuwan, S.; Sritularak, B.; Pongrakhananon, V. Cypripedin, a phenanthrenequinone from Dendrobium densiflorum, sensitizes non-small cell lung cancer H460 cells to cisplatin-mediated apoptosis. J. Nat. Med. 2018, 72, 503–513. [Google Scholar] [CrossRef]
- Chen, Y.; Xu, J.; Yu, H.; Chen, Q.; Zhang, Y.; Wang, L.; Liu, Y.; Wang, J. Cytotoxic phenolics from Bulbophyllum odoratissimum. Food Chem. 2008, 107, 169–173. [Google Scholar] [CrossRef]
- Sritularak, B.; Anuwat, M.; Likhitwitayawuid, K. A new phenanthrenequinone from Dendrobium draconis. J. Asian Nat. Prod. Res. 2011, 13, 251–255. [Google Scholar] [CrossRef] [PubMed]
- Lin, Y.; Wang, F.; Yang, L.J.; Chun, Z.; Bao, J.K.; Zhang, G.L. Anti-inflammatory phenanthrene derivatives from Dendrobium denneanum. Phytochemistry 2013, 95, 242–251. [Google Scholar] [CrossRef] [PubMed]
- Charoenrungruang, S.; Chanvorachote, P.; Sritularak, B.; Pongrakhananon, V. Gigantol, a bibenzyl from Dendrobium draconis, inhibits the migratory behavior of non-small cell lung cancer cells. J. Nat. Prod. 2014, 77, 1359–1366. [Google Scholar] [CrossRef] [PubMed]
- Ghosh, S. Cisplatin: The first metal based anticancer drug. Bioorg. Chem. 2019, 88, 102925. [Google Scholar] [CrossRef] [PubMed]
- Jaki, B.U.; Franzblau, S.G.; Chadwick, L.R.; Lankin, D.C.; Zhang, F.; Wang, Y.; Pauli, G.F. Purity-activity relationships of natural products: The case of anti-TB active ursolic acid. J. Nat. Prod. 2008, 71, 1742–1748. [Google Scholar] [CrossRef]
- Botchkarev, V.A. Molecular mechanisms of chemotherapy-induced hair loss. J. Investig. Dermatol. Symp. Proc. 2003, 8, 72–75. [Google Scholar] [CrossRef] [Green Version]
- Khine, H.E.E.; Ecoy, G.A.U.; Roytrakul, S.; Phaonakrop, N.; Pornputtapong, N.; Prompetchara, E.; Chanvorachote, P.; Chaotham, C. Chemosensitizing activity of peptide from Lentinus squarrosulus (Mont.) on cisplatin-induced apoptosis in human lung cancer cells. Sci. Rep. 2021, 11, 4060. [Google Scholar] [CrossRef]
- Lica, J.J.; Wieczór, M.; Grabe, G.J.; Heldt, M.; Jancz, M.; Misiak, M.; Gucwa, K.; Brankiewicz, W.; Maciejewska, N.; Stupak, A.; et al. Effective drug concentration and selectivity depends on fraction of primitive cells. Int. J. Mol. Sci. 2021, 22, 4931. [Google Scholar] [CrossRef]
- Marks, D.C.; Belov, L.; Davey, M.W.; Davey, R.A.; Kidman, A.D. The MTT cell viability assay for cytotoxicity testing in multidrug-resistant human leukemic cells. Leuk. Res. 1992, 16, 1165–1173. [Google Scholar] [CrossRef]
- Kabakov, A.E.; Gabai, V.L. Cell death and survival assays. Methods Mol. Biol. 2018, 1709, 107–127. [Google Scholar] [PubMed]






| 1 | 2 | 3 | ||||
|---|---|---|---|---|---|---|
| Position | δH (Multiplicity, J in Hz) | δC | δH (Multiplicity, J in Hz) | δC | δH (Multiplicity, J in Hz) | δC |
| 1 | - | 181.9 | - | 181.8 | - | 139.3 |
| 2 | - | 159.5 | - | 159.5 | - | 149.8 |
| 3 | 5.99 (s) | 108.6 | 5.99 (s) | 108.5 | 6.52 (s) | 99.9 |
| 4 | - | 188.0 | - | 188.0 | - | 154.9 |
| 4a | - | 137.3 | - | 137.2 | - | 116.7 |
| 4b | - | 123.8 | - | 123.0 | - | 127.6 |
| 5 | 7.63 (d, J = 8.8 Hz) | 123.8 | 7.75 (d, J = 8.8 Hz) | 128.4 | 7.70 (d, J = 8.8 Hz) | 120.4 |
| 6 | 6.90 (d, J = 8.8 Hz) | 109.3 | 6.83 (d, J = 8.8 Hz) | 114.9 | 6.78 (d, J = 8.8 Hz) | 109.0 |
| 7 | - | 150.0 | - | 153.1 | - | 146.3 |
| 8 | - | 143.4 | - | 145.3 | - | 142.9 |
| 8a | - | 125.6 | - | 134.0 | - | 124.8 |
| 9 | 2.80 (m) | 20.1 | 2.78 (m) | 20.8 | 2.71 (br s) | 23.1 |
| 10 | 2.59 (dd, J = 8.4, 7.2 Hz) | 20.0 | 2.59 (dd, J = 8.4, 7.6 Hz) | 20.5 | 2.71 (br s) | 21.8 |
| 10a | - | 137.9 | - | 137.4 | - | 133.6 |
| MeO-1 | - | - | - | - | 3.69 (s) | 61.1 |
| MeO-2 | 3.86 (s) | 56.6 | 3.86 (s) | 56.6 | - | - |
| MeO-4 | - | - | - | - | 3.79 (s) | 56.1 |
| MeO-7 | 3.91 (s) | 56.3 | - | - | 3.85 (s) | 56.3 |
| MeO-8 | - | - | 3.76 (s) | 61.0 | - | - |
| HO-2 | - | - | - | - | 8.16 (s) | - |
| HO-7 | - | - | 8.59 (s) | - | - | - |
| HO-8 | 7.71 (s) | - | - | - | 7.36 (s) | - |
| Cell Type | % Cell Viability | ||||
|---|---|---|---|---|---|
| Extract (50 µg/mL) | 1 (50 µM) | 2 (50 µM) | 3 (50 µM) | Cisplatin (50 µM) | |
| H460 | 43.49 ± 6.42 * | 57.65 ± 1.39 *,# | 79.48 ± 1.11 # | 99.12 ± 2.91 # | 46.02 ± 2.07 * |
| MCF7 | 52.76 ± 2.09 * | 61.51 ± 5.46 * | 100.45 ± 9.85 # | 96.45 ± 5.11 # | 74.05 ± 5.69 * |
| CaCo2 | 95.37 ± 2.21 | 56.92 ± 6.35 *,# | 95.26 ± 5.05 | 90.96 ± 1.44 | 90.20 ± 4.27 |
| DPCs | 73.41 ± 4.72 * | 75.66 ± 1.28 * | 84.39 ± 5.78 *,# | 92.68 ± 2.22 # | 66.18 ± 6.44 * |
| Cell Type | 1 | Cisplatin | ||
|---|---|---|---|---|
| IC50 (µM) | S.I. | IC50 (µM) | S.I. | |
| H460 | 66.71 ± 6.62 | >3.00 | 21.57 ± 4.13 | 5.48 ± 0.25 |
| MCF7 | 93.04 ± 0.86 | >2.15 | >200 | <0.59 |
| CaCo2 | 55.14 ± 3.08 | >3.62 | >200 | <0.59 |
| DPCs | >200 | N/A | 117.63 ± 17.19 | N/A |
Publisher’s Note: MDPI stays neutral with regard to jurisdictional claims in published maps and institutional affiliations. |
© 2022 by the authors. Licensee MDPI, Basel, Switzerland. This article is an open access article distributed under the terms and conditions of the Creative Commons Attribution (CC BY) license (https://creativecommons.org/licenses/by/4.0/).
Share and Cite
Jimoh, T.O.; Costa, B.C.; Chansriniyom, C.; Chaotham, C.; Chanvorachote, P.; Rojsitthisak, P.; Likhitwitayawuid, K.; Sritularak, B. Three New Dihydrophenanthrene Derivatives from Cymbidium ensifolium and Their Cytotoxicity against Cancer Cells. Molecules 2022, 27, 2222. https://doi.org/10.3390/molecules27072222
Jimoh TO, Costa BC, Chansriniyom C, Chaotham C, Chanvorachote P, Rojsitthisak P, Likhitwitayawuid K, Sritularak B. Three New Dihydrophenanthrene Derivatives from Cymbidium ensifolium and Their Cytotoxicity against Cancer Cells. Molecules. 2022; 27(7):2222. https://doi.org/10.3390/molecules27072222
Chicago/Turabian StyleJimoh, Tajudeen O., Bruno Cesar Costa, Chaisak Chansriniyom, Chatchai Chaotham, Pithi Chanvorachote, Pornchai Rojsitthisak, Kittisak Likhitwitayawuid, and Boonchoo Sritularak. 2022. "Three New Dihydrophenanthrene Derivatives from Cymbidium ensifolium and Their Cytotoxicity against Cancer Cells" Molecules 27, no. 7: 2222. https://doi.org/10.3390/molecules27072222
APA StyleJimoh, T. O., Costa, B. C., Chansriniyom, C., Chaotham, C., Chanvorachote, P., Rojsitthisak, P., Likhitwitayawuid, K., & Sritularak, B. (2022). Three New Dihydrophenanthrene Derivatives from Cymbidium ensifolium and Their Cytotoxicity against Cancer Cells. Molecules, 27(7), 2222. https://doi.org/10.3390/molecules27072222

