Impact of Charge Transfer Complex on the Dielectric Relaxation Processes in Poly(methyl methacrylate) Polymer
Abstract
:1. Introduction
2. Materials and Methods
3. Results and Discussion
3.1. Thermogravimetric Analysis
3.2. Kinetic Thermodynamic Study
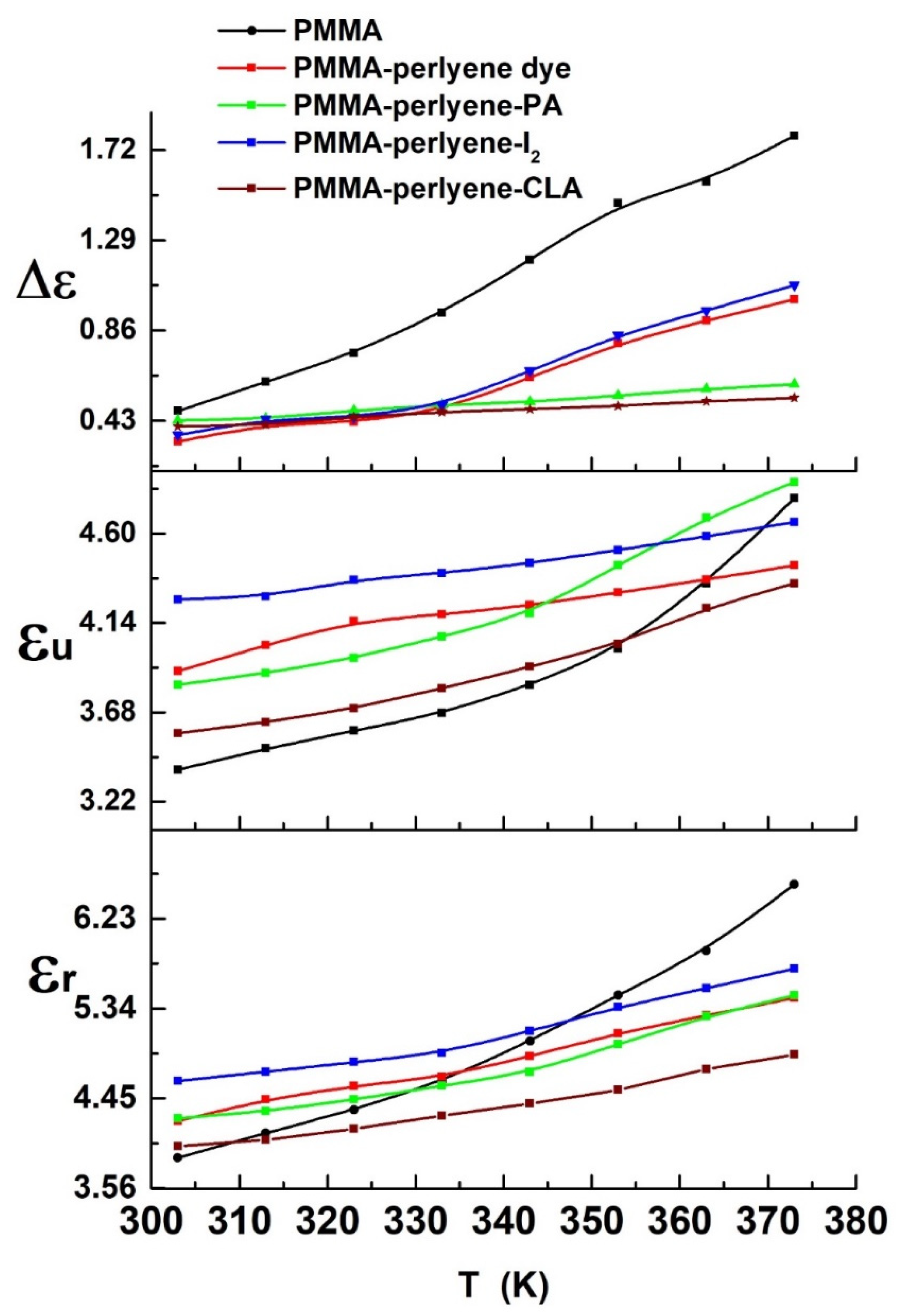
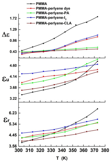
3.3. Dielectric Polarization and Relaxation Processes
3.4. AC Electrical Conductivity Dispersion
4. Conclusions
Author Contributions
Funding
Institutional Review Board Statement
Informed Consent Statement
Data Availability Statement
Acknowledgments
Conflicts of Interest
References
- Sumana, V.; Sudhakar, Y.; Anitha, V.; Nagaraja, G. Microcannular electrode/polymer electrolyte interface for high performance supercapacitor. Electrochim. Acta 2020, 353, 136558. [Google Scholar] [CrossRef]
- Anju, V.; Narayanankutty, S.K. High dielectric constant polymer nanocomposite for embedded capacitor applications. Mater. Sci. Eng. B 2019, 249, 114418. [Google Scholar] [CrossRef]
- Aziz, S.B.; Abdullah, O.G.; Hussein, A.M.; Ahmed, H.M. From Insulating PMMA Polymer to Conjugated Double Bond Behavior: Green Chemistry as a Novel Approach to Fabricate Small Band Gap Polymers. Polymers 2017, 9, 626. [Google Scholar] [CrossRef] [PubMed] [Green Version]
- Aguilar, M.R.; Román, J.S. Smart Polymers and Their Applications; Woodhead Publishing: Sawston, UK, 2019; pp. 1–11. [Google Scholar]
- Khalifeh, S. Polymers in Organic Electronics: Polymer selECTION FOR ELEctronic, Mechatronic & Optoelectronic Systems; ChemTec Publishing: Scarborough, ON, Canada, 2020; pp. 1–48. [Google Scholar]
- Narain, R. Polymer Science and Nanotechnology: Fundamentals & Applications; Elsevier: Amsterdam, The Netherlands, 2020; pp. 3–19. [Google Scholar]
- Sengwa, R.; Choudhary, S. Dielectric properties and fluctuating relaxation processes of poly(methyl methacrylate) based polymeric nanocomposite electrolytes. J. Phys. Chem. Solids 2014, 75, 765–774. [Google Scholar] [CrossRef]
- Qian, D.; Zheng, Z.; Yao, H.; Tress, W.; Hopper, T.R.; Chen, S.; Li, S.; Liu, J.; Chen, S.; Zhang, J.; et al. Design rules for minimizing voltage losses in high-efficiency organic solar cells. Nat. Mater. 2018, 17, 703–709. [Google Scholar] [CrossRef]
- Wang, Z.; Zhu, L.; Shuai, Z.; Wei, Z. A–π–D–π–A Electron-donating small molecules for solution-processed organic solar cells: A Review. Macromol. Rapid Commun. 2017, 38, 1700470. [Google Scholar] [CrossRef]
- Gedefaw, D.; Prosa, M.; Bolognesi, M.; Seri, M.; Andersson, M.R. Recent Development of Quinoxaline Based Polymers/Small Molecules for Organic Photovoltaics. Adv. Energy Mater. 2017, 7, 1700575. [Google Scholar] [CrossRef]
- Arzhakov, M. Relaxation in Physical and Mechanical Behavior of Polymers; CRC Press: Boca Raton, FL, USA, 2019; pp. 30–59. [Google Scholar]
- Farea, M.O.; Abdelghany, A.M.; Oraby, A.H. Optical and dielectric characteristics of polyethylene oxide/sodium alginate-modified gold nanocomposites. RSC Adv. 2020, 10, 37621–37630. [Google Scholar] [CrossRef]
- Matin, R.; Bhuiyan, A.; Hossain, T. Carrier transport behavior in as-deposited and iodine-doped plasma polymerized 2, 6-diethylaniline thin films. Thin Solid Films 2018, 668, 38–44. [Google Scholar] [CrossRef]
- Hassanien, A.M.; Atta, A.A.; Azza, A.W.; Ahmed, E.M.A.; Alsubaie, A.; El-Nahass, M.M.; Altalhi, T. Investigation of structural, electrical and optical properties of chitosan/fullerene composites. Mater. Res. Express 2019, 6, 125304. [Google Scholar] [CrossRef]
- Ul-Haq, Y.; Murtaza, I.; Mazhar, S.; Ullah, R.; Iqbal, M.; Zeeshan-ul-Huq; Qarni, A.A.; Amin, S. Dielectric, thermal and mechanical properties of hybrid PMMA/RGO/Fe2O3 nanocomposites fabricated by in-situ polymerization. Ceram. Int. 2020, 46, 5828–5840. [Google Scholar] [CrossRef]
- Sengwa, R.; Dhatarwal, P. Polymer nanocomposites comprising PMMA matrix and ZnO, SnO2, and TiO2 nanofillers: A comparative study of structural, optical, and dielectric properties for multifunctional technological applications. Opt. Mater. 2021, 113, 110837. [Google Scholar] [CrossRef]
- Mzir, T.; Khemici, M.W.; Dahmane, M.; Mzir, M.; Doulache, N. Dielectric characterization of polyvinyl chloride/polymethyl methacrylate (PVC/PMMA) blends by TSDC technique. Int. J. Polym. Anal. Charact. 2018, 23, 675–683. [Google Scholar] [CrossRef]
- Altalhi, T.; Gobouri, A.; Refat, M.S.; El-Nahass, M.; Hassanien, A.; Atta, A.; Al Otaibi, S.; Kamal, A. Optical spectroscopic studies on poly(methyl methacrylate) doped by charge transfer complex. Opt. Mater. 2021, 117, 111152. [Google Scholar] [CrossRef]
- Evstropiev, S.; Karavaeva, A.; Dukelskii, K.; Kiselev, V.; Evstropyev, K.; Nikonorov, N.; Kolobkova, E. Transparent bactericidal coatings based on zinc and cerium oxides. Ceram. Int. 2017, 43, 14504–14510. [Google Scholar] [CrossRef]
- Altalhi, T.; Gobouri, A.A.; Refat, M.S.; El-Nahass, M.M.; Hassanien, A.M.; Atta, A.A.; Saad, H.A.; Al-Hazaa, A.N. Structural, electrochemical and optical properties of 1,2,4-Triazine derivative. Appl. Phys. A 2020, 126, 815. [Google Scholar] [CrossRef]
- Jaroslav, S.; Sătava, V.; Wendlandt, W.M. The study of heterogeneous processes by thermal analysis. Chem. Inf. 1973, 7, 333–556. [Google Scholar]
- Coats, A.W.; Redfern, J.P. Kinetic Parameters from Thermogravimetric Data. Nature 1964, 201, 68–69. [Google Scholar] [CrossRef]
- Takeo, O. A new method of analyzing thermogravimetric data. Bull. Chem. Soc. Jpn. 1965, 38, 1881–1886. [Google Scholar]
- Vyazovkin, S.; Koga, N.; Schick, C. Handbook of Thermal Analysis and Calorimetry: Recent Advances, Techniques and Applications; Elsevier: Amsterdam, The Netherlands, 2018. [Google Scholar]
- Menczel, J.D.; Prime, R.B. Thermal Analysis of Polymers: Fundamentals and Applications; John Wiley & Sons, Inc.: Hoboken, NJ, USA, 2009. [Google Scholar]
- Flynn, J.H.; Wall, L.A. A quick, direct method for the determination of activation energy from thermogravimetric data. J. Polym. Sci. Part B Polym. Lett. 1966, 4, 323–328. [Google Scholar] [CrossRef]
- Katariya-Jain, A.; Deshmukh, R. Effects of dye doping on electro-optical, thermo-electro-optical and dielectric properties of polymer dispersed liquid crystal films. J. Phys. Chem. Solids 2021, 160, 110363. [Google Scholar] [CrossRef]
- Zhang, Y.; Wang, W.; Zhang, J.; Ni, Y. Dielectric relaxation processes in PVDF composite. Polym. Test. 2020, 91, 106801. [Google Scholar] [CrossRef]
- Fahim, Z.M.E.; Bouzzine, S.M.; Aicha, Y.A.; Bouachrine, M.; Hamidi, M. The bridged effect on the geometric, optoelectronic and charge transfer properties of the triphenylamine–bithiophene-based dyes: A DFT study. Res. Chem. Intermed. 2018, 44, 2009–2023. [Google Scholar] [CrossRef]
- Lunkenheimer, P.; Schneider, U.; Brand, R.; Loidl, A. Glassy dynamics. Contemp. Phys. 2000, 41, 15–36. [Google Scholar] [CrossRef]
- Lunkenheimer, P.; Loidl, A. Dielectric spectroscopy on organic charge-transfer salts. J. Phys. Condens. Matter 2015, 27, 373001. [Google Scholar] [CrossRef] [Green Version]
- Khazaka, R.; Locatelli, M.L.; Diaham, S.; Bidan, P.; Dupuy, L.; Grosset, G. Broadband dielectric spectroscopy of BPDA/ODA polyimide films. J. Phys. D Appl. Phys. 2013, 46, 065501. [Google Scholar] [CrossRef]
- Raicu, V.; Feldman, Y. Dielectric Relaxation in Biological Systems: Physical Principles, Methods, and Applications; Oxford University Press: Oxford, UK, 2015; pp. 33–59. [Google Scholar]
- Alvarez, F.; Alegra, A.; Colmenero, J. Relationship between the time-domain Kohlrausch-Williams-Watts and frequency-domain Havriliak-Negami relaxation functions. Phys. Rev. B 1991, 44, 7306–7312. [Google Scholar] [CrossRef]
- Füllbrandt, M.; Wellert, S.; von Klitzing, R.; Schönhals, A. Thermal and corrosion (in)stability of polyamide 6 studied by broadband dielectric spectroscopy. Polymer 2015, 75, 34–43. [Google Scholar] [CrossRef]
- Zhang, H.; Wei, X.; Qu, J.-P. Microstructure evolution and mechanism of PLA/PVDF hybrid dielectrics fabricated under elongational flow. Polymer 2021, 224, 123719. [Google Scholar] [CrossRef]
- Kononov, A.A.; Castro, R.A.; Glavnaya, D.D.; Anisimova, N.I.; Bordovsky, G.A.; Kolobov, A.V.; Saito, Y.; Fons, P. Dielectric relaxation and charge transfer in amorphous MoS2 thin films. Phys. Status Solidi B 2020, 257, 2000114. [Google Scholar] [CrossRef]
- Slutsker, A.I.; Polikarpov, Y.I.; Vasil’Eva, K.V. Determination of the activation energy for complicated relaxation processes. Phys. Solid State 2002, 44, 1604–1610. [Google Scholar] [CrossRef]
- Ang, T.T.; Dunell, B.A. A Proton Spin–Lattice Relaxation Study of Molecular Motion in Several Addition Complexes of Trimethylamine and Trimethylphosphine. Can. J. Chem. 1974, 52, 1840–1847. [Google Scholar] [CrossRef]
- Person, W.B. Electron Affinities of Some Halogen Molecules and the Charge-Transfer Frequency. J. Chem. Phys. 1963, 38, 109. [Google Scholar] [CrossRef]
- Hoffman, B.M.; Eames, T.B. Free-radical molecular complexes. II. Boron halides and aluminum chloride. J. Am. Chem. Soc. 1971, 93, 3141–3146. [Google Scholar] [CrossRef]
- Clippard, P.H.; Hanson, J.C.; Taylor, R.C. Crystal and molecular structures of three trimethylamine-boron halide adducts: (CH3)3NBCl3, (CH3)3NBBr3, and (CH3)3NBI3. J. Cryst. Mol. Struct. 1971, 1, 363–371. [Google Scholar] [CrossRef]
- Tsuneyoshi, T.; Nakamura, N.; Chihara, H. Proton magnetic relaxation in tetramethylammonium chlorate. J. Magn. Reson. 1977, 27, 191–195. [Google Scholar] [CrossRef]
- Tsonos, C. Comments on frequency dependent AC conductivity in polymeric materials at low frequency regime. Curr. Appl. Phys. 2019, 19, 491–497. [Google Scholar] [CrossRef] [Green Version]
- Ke, S.; Huang, H.; Ren, L.; Wang, Y. Nearly constant dielectric loss behavior in poly(3-hydroxybutyrate-co-3-hydroxyvalerate) biodegradable polyester. J. Appl. Phys. 2009, 105, 96103. [Google Scholar] [CrossRef] [Green Version]
- Das, A.; Thakur, A.K.; Kumar, K. Origin of near constant loss (NCL) in ion conducting polymer blends. J. Phys. Chem. Solids 2015, 80, 62–66. [Google Scholar] [CrossRef]
- Kubo, E.; Minoguchi, A.; Sotokawa, H.; Nozaki, R. Nearly constant dielectric loss of polyhydric alcohols. J. Non-Cryst. Solids 2006, 352, 4724–4728. [Google Scholar] [CrossRef]
- Mott, N.F.; Davis, E.A. Electronic Processes in Non-Crystalline Materials; Oxford University Press: Oxford, UK, 2012. [Google Scholar]
- Elbayoumy, E.; El-Ghamaz, N.A.; Mohamed, F.S.; Diab, M.A.; Nakano, T. Dielectric permittivity, AC electrical conductivity and conduction mechanism of high crosslinked-vinyl polymers and their Pd(OAc)2 composites. Polymers 2021, 13, 3005. [Google Scholar] [CrossRef] [PubMed]
- El-Ghamaz, N.A.; Ahmed, T.S.; Salama, D.A. Optical, dielectrical properties and conduction mechanism of copolymer (N,N’-bissulphinyl-m-benzenediamine-p-phenylenediamine). Eur. Polym. J. 2017, 93, 8–20. [Google Scholar] [CrossRef]
- Mansour, S.A.; Al-ghoury, M.E.; Shalaan, E.; El Eraki, M.H.I.; Abdel-Bary, E.M. Dielectric dispersion and AC conductivity of acrylonitrile butadiene rubber-poly(vinyl chloride)/graphite composite. J. Appl. Polym. Sci. 2011, 122, 1226–1235. [Google Scholar] [CrossRef]
- Mariappan, C.R.; Govindaraj, G.; Roling, B. Lithium and potassium ion conduction in A3TiB′P3O12 (A = Li, K; B′ = Zn, Cd) NASICON-type glasses. Solid State Ion. 2005, 176, 723–729. [Google Scholar] [CrossRef]
- Barsoukov, E.; Macdonald, J.R. Impedance Spectroscopy Theory, Experiment & Applications; John Wiley & Sons, Inc.: Hoboken, NJ, USA, 2005. [Google Scholar]
- Moguš-Milanković, A.; Šantić, B.; Day, D.E.; Ray, C.S. Dielectric behavior and impedance spectroscopy of bismuth iron phosphate glasses. J. Non-Cryst. Solids 2005, 351, 3235–3245. [Google Scholar] [CrossRef]























| Compounds | Parameter | r | ||||
|---|---|---|---|---|---|---|
| E (kJ mol−1) | A (s−1) | ΔS (J mol−1 K−1) | ΔH (kJ mol−1) | ΔG (kJ mol−1) | ||
| I | 99 | 3.99 × 108 | −82 | 96 | 138 | 0.9954 |
| II | 46 | 2.67 × 104 | −155 | 44 | 99 | 0.9943 |
| III | 65 | 4.05 × 1010 | −26 | 54 | 54 | 0.9962 |
| Polymer Sheet Sample | Activation Energy (eV) | ||
|---|---|---|---|
| From ε2 Peak Value | From M2 Peak Value | From tanδ Peak Value | |
| Free PMMA | 0.85 | 0.88 | 0.91 |
| PMMA-perylene dye | 0.52 | 0.50 | 0.54 |
| PMMA-perylene-PA | 0.79 | 0.76 | 0.76 |
| PMMA-perylene-I2 | 0.53 | 0.51 | 0.56 |
| PMMA-perylene-CLA | 0.74 | 0.76 | 0.74 |
Publisher’s Note: MDPI stays neutral with regard to jurisdictional claims in published maps and institutional affiliations. |
© 2022 by the authors. Licensee MDPI, Basel, Switzerland. This article is an open access article distributed under the terms and conditions of the Creative Commons Attribution (CC BY) license (https://creativecommons.org/licenses/by/4.0/).
Share and Cite
Alrooqi, A.; Al-Amshany, Z.M.; Al-Harbi, L.M.; Altalhi, T.A.; Refat, M.S.; Hassanien, A.M.; Atta, A.A. Impact of Charge Transfer Complex on the Dielectric Relaxation Processes in Poly(methyl methacrylate) Polymer. Molecules 2022, 27, 1993. https://doi.org/10.3390/molecules27061993
Alrooqi A, Al-Amshany ZM, Al-Harbi LM, Altalhi TA, Refat MS, Hassanien AM, Atta AA. Impact of Charge Transfer Complex on the Dielectric Relaxation Processes in Poly(methyl methacrylate) Polymer. Molecules. 2022; 27(6):1993. https://doi.org/10.3390/molecules27061993
Chicago/Turabian StyleAlrooqi, Arwa, Zahra M. Al-Amshany, Laila M. Al-Harbi, Tariq A. Altalhi, Moamen S. Refat, A. M. Hassanien, and A. A. Atta. 2022. "Impact of Charge Transfer Complex on the Dielectric Relaxation Processes in Poly(methyl methacrylate) Polymer" Molecules 27, no. 6: 1993. https://doi.org/10.3390/molecules27061993
APA StyleAlrooqi, A., Al-Amshany, Z. M., Al-Harbi, L. M., Altalhi, T. A., Refat, M. S., Hassanien, A. M., & Atta, A. A. (2022). Impact of Charge Transfer Complex on the Dielectric Relaxation Processes in Poly(methyl methacrylate) Polymer. Molecules, 27(6), 1993. https://doi.org/10.3390/molecules27061993

