Coagulation Behavior of Antimony Oxyanions in Water: Influence of pH, Inorganic and Organic Matter on the Physicochemical Characteristics of Iron Precipitates
Abstract
:1. Introduction
2. Results and Discussion
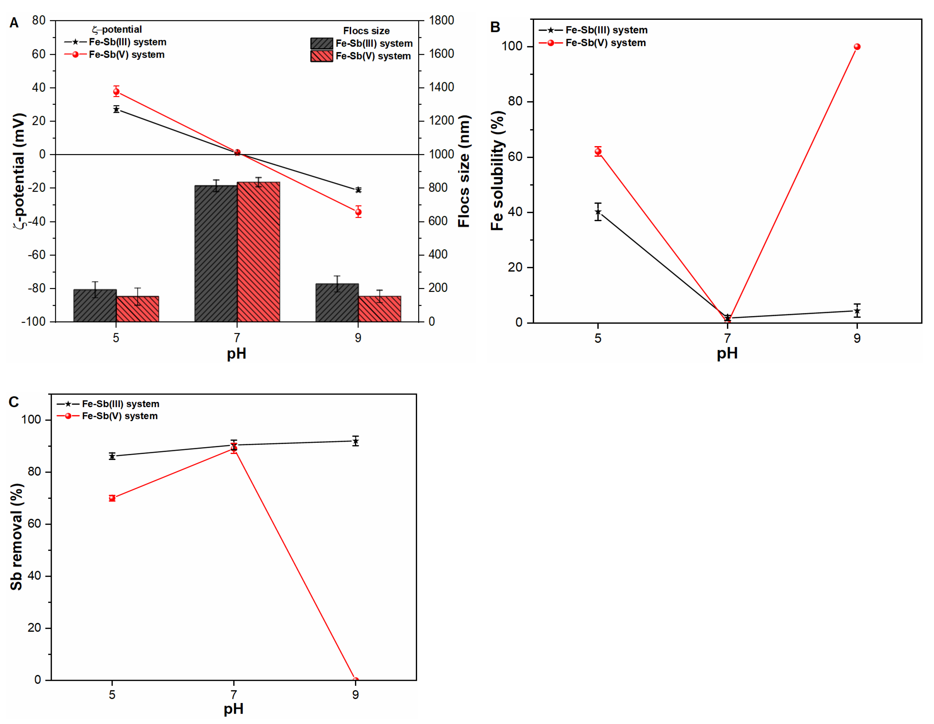
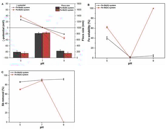
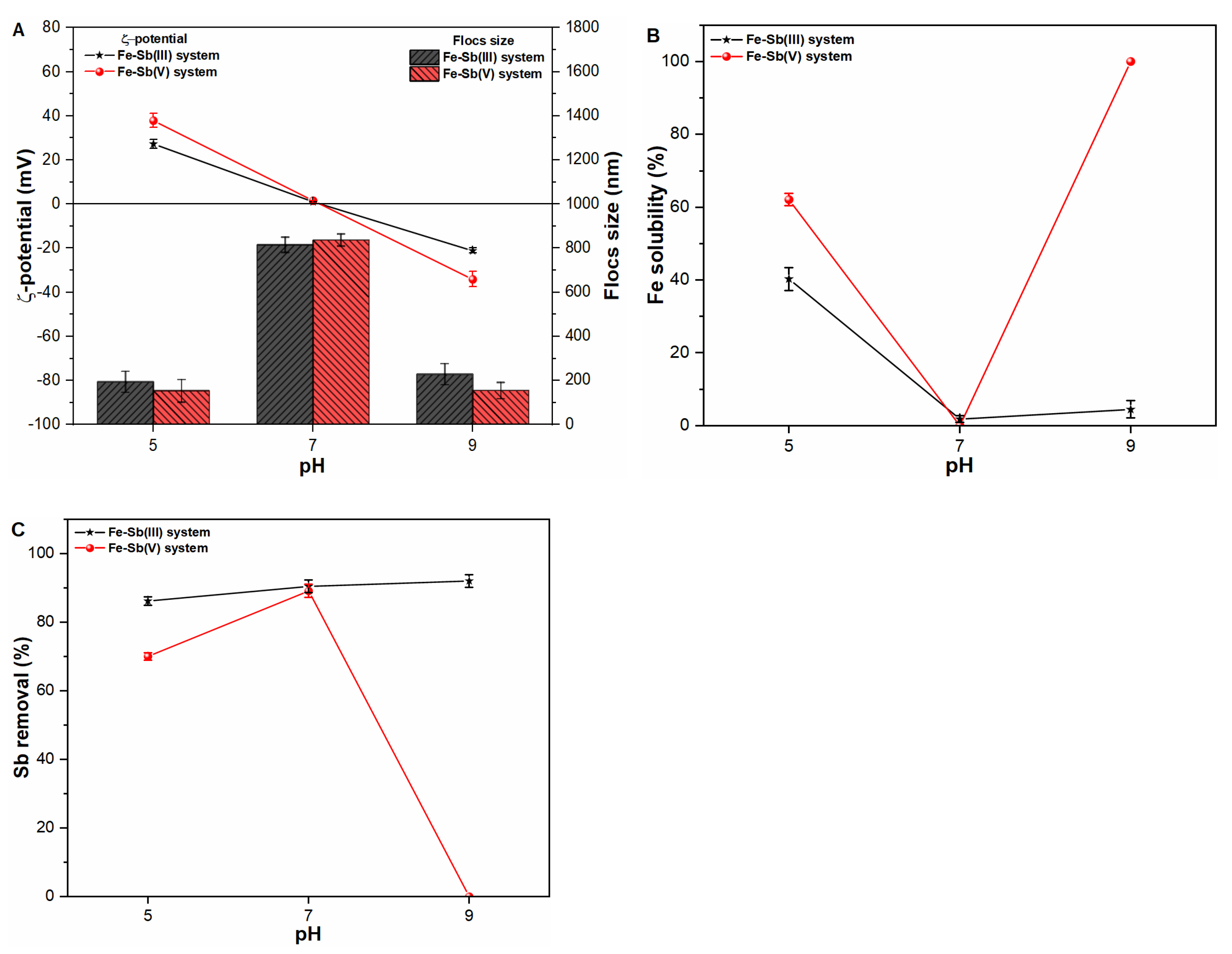
2.1. Influence of pH on Fe Precipitates Properties and Sb Coagulation
2.2. Influence of FC Dosages on Fe Precipitate Properties and Sb Coagulation
2.3. Aggregation Behavior of Fe Precipitates
2.4. Influence of Contaminant Loading on Fe Precipitates Properties and Sb Coagulation
2.5. Influence of Phosphates on Fe Precipitates Properties and Sb Coagulation
2.6. Influence of Organics on Fe Precipitates Properties and Sb Coagulation
2.6.1. Humic Acid
2.6.2. Salicylic Acid
3. Materials and Methods
3.1. Chemicals and Stock Solutions Preparation
3.2. Experimental Design and Procedures
4. Conclusions
Supplementary Materials
Author Contributions
Funding
Institutional Review Board Statement
Informed Consent Statement
Data Availability Statement
Acknowledgments
Conflicts of Interest
Sample Availability
References
- Davis, C.C.; Edwards, M. Coagulation with hydrolyzing metal salts: Mechanisms and water quality impacts. Crit. Rev. Environ. Sci. Technol. 2014, 44, 303–347. [Google Scholar] [CrossRef]
- Zhang, Z.; Wang, J.; Liu, D.; Li, J.; Wang, X.; Song, B.; Yue, B.; Zhao, K.; Song, Y. Hydrolysis of polyaluminum chloride prior to coagulation: Effects on coagulation behavior and implications for improving coagulation performance. J. Environ. Sci. 2017, 57, 162–169. [Google Scholar] [CrossRef] [PubMed]
- Gregory, J. Particles in Water: Properties and Processes; CRC Press: Boca Raton, FL, USA, 2005; ISBN 0203508459. [Google Scholar] [CrossRef]
- Dentel, S.K. Application of the precipitation-charge neutralization model of coagulation. Environ. Sci. Technol. 1988, 22, 825–832. [Google Scholar] [CrossRef] [PubMed]
- Mullin, J.W. Crystallization; Elsevier: Amsterdam, The Netherlands, 2001; ISBN 0080530117. [Google Scholar]
- Inam, M.A.; Khan, R.; Inam, M.W.; Yeom, I.T. Kinetic and isothermal sorption of antimony oxyanions onto iron hydroxide during water treatment by coagulation process. J. Water Process Eng. 2021, 41, 102050. [Google Scholar] [CrossRef]
- Inam, M.A.; Khan, R.; Akram, M.; Khan, S.; Yeom, I.T. Effect of Water Chemistry on Antimony Removal by Chemical Coagulation: Implications of ζ-Potential and Size of Precipitates. Int. J. Mol. Sci. 2019, 20, 2945. [Google Scholar] [CrossRef] [Green Version]
- Mitrakas, M.; Mantha, Z.; Tzollas, N.; Stylianou, S.; Katsoyiannis, I.; Zouboulis, A. Removal of antimony species, Sb (III)/Sb (V), from water by using iron coagulants. Water 2018, 10, 1328. [Google Scholar]
- Guo, W.; Fu, Z.; Wang, H.; Liu, S.; Wu, F.; Giesy, J.P. Removal of antimonate (Sb (V)) and antimonite (Sb (III)) from aqueous solutions by coagulation-flocculation-sedimentation (CFS): Dependence on influencing factors and insights into removal mechanisms. Sci. Total Environ. 2018, 644, 1277–1285. [Google Scholar] [CrossRef]
- Guo, X.; Wu, Z.; He, M. Removal of antimony(V) and antimony(III) from drinking water by coagulation-flocculation-sedimentation (CFS). Water Res. 2009, 43, 4327–4335. [Google Scholar] [CrossRef]
- Liu, Y.; Lou, Z.; Yang, K.; Wang, Z.; Zhou, C.; Li, Y.; Cao, Z.; Xu, X. Coagulation removal of Sb (V) from textile wastewater matrix with enhanced strategy: Comparison study and mechanism analysis. Chemosphere 2019, 237, 124494. [Google Scholar] [CrossRef]
- Cheng, M.; Fang, Y.; Li, H.; Yang, Z. Review of recently used adsorbents for antimony removal from contaminated water. Environ. Sci. Pollut. Res. 2022, 1–24. [Google Scholar] [CrossRef]
- Wu, Z.; He, M.; Guo, X.; Zhou, R. Removal of antimony (III) and antimony (V) from drinking water by ferric chloride coagulation: Competing ion effect and the mechanism analysis. Sep. Purif. Technol. 2010, 76, 184–190. [Google Scholar] [CrossRef]
- Wang, Y.; Duan, J.; Liu, S.; Li, W.; van Leeuwen, J.; Mulcahy, D. Removal of As (III) and As (V) by ferric salts coagulation–Implications of particle size and zeta potential of precipitates. Sep. Purif. Technol. 2014, 135, 64–71. [Google Scholar] [CrossRef]
- Hsu, P.H. Comparison of iron (III) and aluminum in precipitation of phosphate from solution. Water Res. 1976, 10, 903–907. [Google Scholar] [CrossRef]
- Inam, M.A.; Khan, R.; Yeom, I.T.; Buller, A.S.; Akram, M.; Inam, M.W. Optimization of antimony removal by coagulation-flocculation-sedimentation process using response surface methodology. Processes 2021, 9, 117. [Google Scholar] [CrossRef]
- Wang, H.; Tsang, Y.F.; Wang, Y.; Sun, Y.; Zhang, D.; Pan, X. Adsorption capacities of poorly crystalline Fe minerals for antimonate and arsenate removal from water: Adsorption properties and effects of environmental and chemical conditions. Clean Technol. Environ. Policy 2018, 20, 2169–2179. [Google Scholar] [CrossRef]
- Lin, J.; Zhao, Y.; Zhan, Y.; Wang, Y. Influence of coexisting calcium and magnesium ions on phosphate adsorption onto hydrous iron oxide. Environ. Sci. Pollut. Res. 2020, 27, 11303–11319. [Google Scholar] [CrossRef]
- Martin, S.T. Precipitation and dissolution of iron and manganese oxides. Environ. Catal. 2005, 1, 61–82. [Google Scholar]
- Cheng, K.; Wang, H.; Li, J.; Li, F. An effective method to remove antimony in water by using iron-based coagulants. Water 2020, 12, 66. [Google Scholar] [CrossRef] [Green Version]
- Wu, D.; Sun, S.-P.; He, M.; Wu, Z.; Xiao, J.; Chen, X.D.; Wu, W.D. As (V) and Sb (V) co-adsorption onto ferrihydrite: Synergistic effect of Sb (V) on As (V) under competitive conditions. Environ. Sci. Pollut. Res. 2018, 25, 14585–14594. [Google Scholar] [CrossRef]
- Duan, J.; Wang, J.; Guo, T.; Gregory, J. Zeta potentials and sizes of aluminum salt precipitates–effect of anions and organics and implications for coagulation mechanisms. J. Water Process Eng. 2014, 4, 224–232. [Google Scholar] [CrossRef]
- Gregory, J.; O’Melia, C.R. Fundamentals of flocculation. Crit. Rev. Environ. Sci. Technol. 1989, 19, 185–230. [Google Scholar] [CrossRef]
- Matijevic, E.; Good, R.J. Surface and Colloid Science; Springer Science & Business Media, 2012; Volume 12, ISBN 1461332044. Available online: https://books.google.com.pk/books?hl=en&lr=&id=YJvzBwAAQBAJ&oi=fnd&pg=PA1&dq=Matijevic,+E.%3B+Good,+R.J.+Surface+and+Colloid+Science%3B+Springer+Science+%26+Business+Media:+2012%3B+Volume+12%3B+ISBN+1461332044.&ots=BF-7fkOGfM&sig=FLFZxqTNHCZcq-GGUdqRsrqkM-Q&redir_esc=y#v=onepage&q=Matijevic%2C%20E.%3B%20Good%2C%20R.J.%20Surface%20and%20Colloid%20Science%3B%20Springer%20Science%20%26%20Business%20Media%3A%202012%3B%20Volume%2012%3B%20ISBN%201461332044.&f=false (accessed on 10 February 2022).
- Guo, X.; Wu, Z.; He, M.; Meng, X.; Jin, X.; Qiu, N.; Zhang, J. Adsorption of antimony onto iron oxyhydroxides: Adsorption behavior and surface structure. J. Hazard. Mater. 2014, 276, 339–345. [Google Scholar] [CrossRef] [PubMed]
- Yan, D.; Li, H.-J.; Cai, H.-Q.; Wang, M.; Wang, C.-C.; Yi, H.-B.; Min, X.-B. Microscopic insight into precipitation and adsorption of As (V) species by Fe-based materials in aqueous phase. Chemosphere 2018, 194, 117–124. [Google Scholar] [CrossRef] [PubMed]
- Okkenhaug, G.; Zhu, Y.-G.; He, J.; Li, X.; Luo, L.; Mulder, J. Antimony (Sb) and arsenic (As) in Sb mining impacted paddy soil from Xikuangshan, China: Differences in mechanisms controlling soil sequestration and uptake in rice. Environ. Sci. Technol. 2012, 46, 3155–3162. [Google Scholar] [CrossRef] [PubMed]
- He, Z.; Ohno, T.; Cade-Menun, B.J.; Erich, M.S.; Honeycutt, C.W. Spectral and chemical characterization of phosphates associated with humic substances. Soil Sci. Soc. Am. J. 2006, 70, 1741–1751. [Google Scholar] [CrossRef] [Green Version]
- Evangelou, V.P.; Marsi, M.; Chappell, M.A. Potentiometric–spectroscopic evaluation of metal-ion complexes by humic fractions extracted from corn tissue. Spectrochim. Acta Part A Mol. Biomol. Spectrosc. 2002, 58, 2159–2175. [Google Scholar] [CrossRef]
- Alberts, J.J.; Filip, Z. Metal binding in estuarine humic and fulvic acids: Ftir analysis of humic acid-metal complexes. Environ. Technol. 1998, 19, 923–931. [Google Scholar] [CrossRef]
- Tang, W.-W.; Zeng, G.-M.; Gong, J.-L.; Liang, J.; Xu, P.; Zhang, C.; Huang, B.-B. Impact of humic/fulvic acid on the removal of heavy metals from aqueous solutions using nanomaterials: A review. Sci. Total Environ. 2014, 468, 1014–1027. [Google Scholar] [CrossRef]
- Inam, M.A.; Khan, R.; Park, D.R.; Khan, S.; Uddin, A.; Yeom, I.T. Complexation of Antimony with Natural Organic Matter: Performance Evaluation during Coagulation-Flocculation Process. Int. J. Environ. Res. Public Health 2019, 16, 1092. [Google Scholar] [CrossRef] [Green Version]
- Bian, S.W.; Mudunkotuwa, I.A.; Rupasinghe, T.; Grassian, V.H. Aggregation and dissolution of 4 nm ZnO nanoparticles in aqueous environments: Influence of pH, ionic strength, size, and adsorption of humic acid. Langmuir 2011, 27, 6059–6068. [Google Scholar] [CrossRef]
- Zhang, Y.; Chen, Y.; Westerhoff, P.; Crittenden, J. Impact of natural organic matter and divalent cations on the stability of aqueous nanoparticles. Water Res. 2009, 43, 4249–4257. [Google Scholar] [CrossRef] [PubMed]
- Sillanpää, M.; Ncibi, M.C.; Matilainen, A.; Vepsäläinen, M. Removal of natural organic matter in drinking water treatment by coagulation: A comprehensive review. Chemosphere 2018, 190, 54–71. [Google Scholar] [CrossRef] [PubMed]
- Yang, H.; Lu, X.; He, M. Effect of organic matter on mobilization of antimony from nanocrystalline titanium dioxide. Environ. Technol. 2018, 39, 1515–1521. [Google Scholar] [CrossRef] [PubMed]
- Liu, N.; Liu, C.; Zhang, J.; Lin, D. Removal of dispersant-stabilized carbon nanotubes by regular coagulants. J. Environ. Sci. 2012, 24, 1364–1370. [Google Scholar] [CrossRef]
- Khan, R.; Inam, M.; Park, D.; Zam Zam, S.; Shin, S.; Khan, S.; Akram, M.; Yeom, I. Influence of Organic Ligands on the Colloidal Stability and Removal of ZnO Nanoparticles from Synthetic Waters by Coagulation. Processes 2018, 6, 170. [Google Scholar] [CrossRef] [Green Version]
- Buschmann, J.; Sigg, L. Antimony (III) binding to humic substances: Influence of pH and type of humic acid. Environ. Sci. Technol. 2004, 38, 4535–4541. [Google Scholar] [CrossRef]
- Akram, M.; Gao, B.; Pan, J.; Khan, R.; Inam, M.A.; Xu, X.; Guo, K.; Yue, Q. Enhanced removal of phosphate using pomegranate peel-modified nickel--lanthanum hydroxide. Sci. Total Environ. 2021, 809, 151181. [Google Scholar] [CrossRef]
- Shang, Y.; Xu, X.; Qi, S.; Zhao, Y.; Ren, Z.; Gao, B. Preferable uptake of phosphate by hydrous zirconium oxide nanoparticles embedded in quaternary-ammonium Chinese reed. J. Colloid Interface Sci. 2017, 496, 118–129. [Google Scholar] [CrossRef]








Publisher’s Note: MDPI stays neutral with regard to jurisdictional claims in published maps and institutional affiliations. |
© 2022 by the authors. Licensee MDPI, Basel, Switzerland. This article is an open access article distributed under the terms and conditions of the Creative Commons Attribution (CC BY) license (https://creativecommons.org/licenses/by/4.0/).
Share and Cite
Inam, M.A.; Lee, K.H.; Soni, H.L.; Mangi, K.H.; Channa, A.S.; Khan, R.; Wie, Y.M.; Lee, K.G. Coagulation Behavior of Antimony Oxyanions in Water: Influence of pH, Inorganic and Organic Matter on the Physicochemical Characteristics of Iron Precipitates. Molecules 2022, 27, 1663. https://doi.org/10.3390/molecules27051663
Inam MA, Lee KH, Soni HL, Mangi KH, Channa AS, Khan R, Wie YM, Lee KG. Coagulation Behavior of Antimony Oxyanions in Water: Influence of pH, Inorganic and Organic Matter on the Physicochemical Characteristics of Iron Precipitates. Molecules. 2022; 27(5):1663. https://doi.org/10.3390/molecules27051663
Chicago/Turabian StyleInam, Muhammad Ali, Kang Hoon Lee, Hira Lal Soni, Kashif Hussain Mangi, Abdul Sami Channa, Rizwan Khan, Young Min Wie, and Ki Gang Lee. 2022. "Coagulation Behavior of Antimony Oxyanions in Water: Influence of pH, Inorganic and Organic Matter on the Physicochemical Characteristics of Iron Precipitates" Molecules 27, no. 5: 1663. https://doi.org/10.3390/molecules27051663
APA StyleInam, M. A., Lee, K. H., Soni, H. L., Mangi, K. H., Channa, A. S., Khan, R., Wie, Y. M., & Lee, K. G. (2022). Coagulation Behavior of Antimony Oxyanions in Water: Influence of pH, Inorganic and Organic Matter on the Physicochemical Characteristics of Iron Precipitates. Molecules, 27(5), 1663. https://doi.org/10.3390/molecules27051663

