Effect of Ultrasound-Assisted, Microwave-Assisted and Ultrasound-Microwave-Assisted Extraction on Pectin Extraction from Industrial Tomato Waste
Abstract
:1. Introduction
2. Results
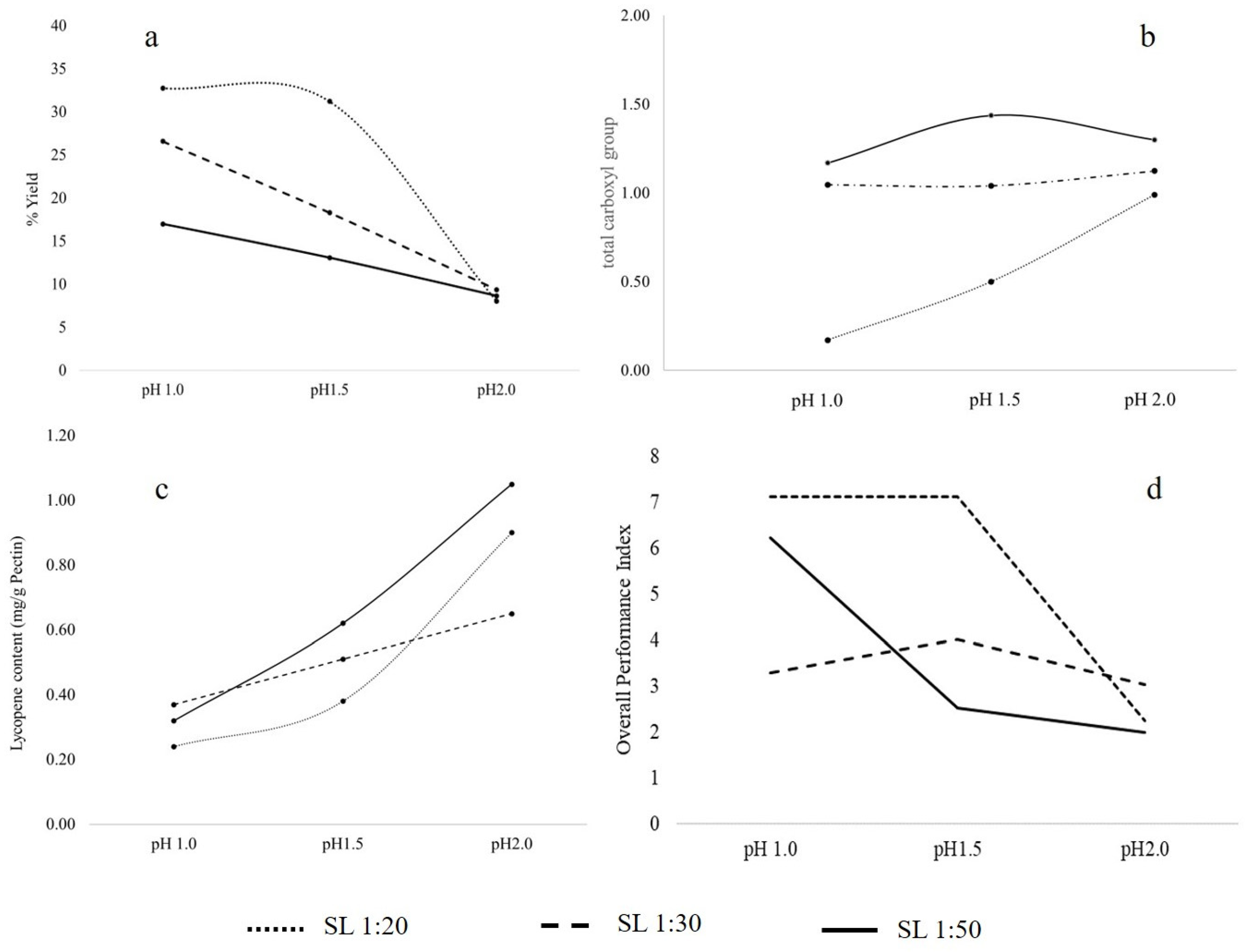
2.1. Ultrasound-Assisted Extraction (UAE)
2.2. Microwave-Assisted Extraction (MAE)
2.3. Ultrasound-Microwave-Assisted Extraction (UMAE)
3. Discussion
3.1. Ultrasound-Assisted Extraction (UAE)
3.2. Microwave-Assisted Extraction (MAE)
3.3. Ultrasound-Microwave-Assisted Extraction (UMAE)
4. Materials and Methods
4.1. Materials
4.2. Pectin Extraction
4.3. Chemical Properties of Pectin
4.3.1. Lycopene Contents
4.3.2. Total Carboxyl Groups
4.3.3. Galacturonic Acid Content
4.3.4. Structural Analysis
4.4. Statistical Analysis
4.5. Fuzzy Analytical Method (FAM)
5. Conclusions
Author Contributions
Funding
Institutional Review Board Statement
Informed Consent Statement
Data Availability Statement
Acknowledgments
Conflicts of Interest
Sample Availability
References
- Sengkhamparn, N.; Phonkerd, N. Phenolic Compound Extraction from Industrial Tomato Waste by Ultrasound-Assisted Extraction. IOP Conf. Ser. Mater. Sci. Eng. 2019, 639, 012040. [Google Scholar] [CrossRef]
- WPTC—World Processing Tomato Council. 2018. Available online: http://www.wptc.to/releases-wptc/ (accessed on 31 January 2022).
- Kaur, D.; Wani, A.A.; Oberoi, D.P.S.; Sogi, D.S. Effect of extraction conditions on lycopene extractions from tomato processing waste skin using response surface methodology. Food Chem. 2008, 108, 711–718. [Google Scholar] [CrossRef] [PubMed]
- Poojary, M.M.; Passamonti, P. Optimization of extraction of high purity all-trans-lycopene from tomato pulp waste. Food Chem. 2015, 188, 84–91. [Google Scholar] [CrossRef]
- Grassino, A.N.; Brnčić, M.; Vikić-Topić, D.; Roca, S.; Dent, M.; Brnčić, S.R. Ultrasound assisted extraction and characterization of pectin from tomato waste. Food Chem. 2016, 198, 93–100. [Google Scholar] [CrossRef]
- Grassino, A.N.; Halambek, J.; Djaković, S.; Brnčić, S.R.; Dent, M.; Grabarić, Z. Utilization of tomato peel waste from canning factory as a potential source for pectin production and application as tin corrosion inhibitor. Food Hydrocoll. 2016, 52, 265–274. [Google Scholar] [CrossRef]
- Sengkhamparn, N.; Lasunon, P.; Tettawong, P. Effect of Ultrasound Assisted Extraction and Acid Type Extractant on Pectin from Industrial Tomato Waste. Chiang Mai Univ. J. Nat. Sci. 2019, 18, 214–225. [Google Scholar] [CrossRef]
- Voragen, A.G.J.; Pilnik, W.; Thibault, J.F.; Axelos, M.A.V.; Renard, C.M.G.C. Pectins. In Food Polysaccharide and Their Application; Stephen, A.M., Ed.; Marcel Dekker: New York, NY, USA, 1997; pp. 287–339. [Google Scholar]
- Georgiev, Y.; Ognyanov, M.; Yanakieva, I.; Kussovski, V.; Kratchanova, M. Isolation, characterization and modification of citrus pectins. J. Biosci. Biotechnol. 2012, 1, 223–233. [Google Scholar]
- Koubala, B.B.; Mbome, L.I.; Kansci, G.; Mbiapo, F.T.; Crepeau, M.J.; Thibault, J.F.; Ralet, M.C. Physicochemical properties of pectins from ambarella peels (Spondias cytherea) obtained using different extraction conditions. Food Chem. 2008, 106, 1202–1207. [Google Scholar] [CrossRef]
- Guo, X.; Guo, X.; Meng, H.; Zhang, B.; Yu, S. Using the high temperature resistant pH electrode to auxiliary study the sugar beet pectin extraction under different extraction condition. Food Hydrocoll. 2017, 70, 105–113. [Google Scholar] [CrossRef] [Green Version]
- Jamsazzadeh Kermani, Z.; Shpigelman, A.; Kyomugasho, C.; Van Buggenhout, S.; Ramezani, M.; Van Loey, A.M.; Hendrickx, M.E. The impact of extraction with a chelating agent under acidic conditions on the cell wall polymers of mango peel. Food Chem. 2014, 161, 199–207. [Google Scholar] [CrossRef]
- Wang, M.; Huang, B.; Fan, C.; Zhao, K.; Hu, H.; Xu, X.; Pan, S.; Liu, F. Characterization and functional properties of mango peel pectin extracted by ultrasound assisted citric acid. Int. J. Biol. Macromol. 2016, 91, 794–803. [Google Scholar] [CrossRef]
- Guo, X.; Han, D.; Xi, H.; Rao, L.; Liao, X.; Hu, X.; Wu, J. Extraction of pectin from navel orange peel assisted by ultra-high pressure, microwave or traditional heating: A comparison. Carbohydr. Polym. 2012, 88, 441–448. [Google Scholar] [CrossRef]
- Roselló-Soto, E.; Galanakis, C.M.; Brnčić, M.; Orlien, V.; Trujillo, F.J.; Mawson, R.; Knoerzer, K.; Tiwari, B.K.; Barba, F.J. Clean recovery of antioxidant compounds from plant foods, by-products and algae assisted by ultrasounds processing. Modeling approaches to optimize processing conditions. Trends Food Sci. Technol. 2015, 42, 134–149. [Google Scholar] [CrossRef]
- Zinoviadou, K.G.; Galanakis, C.M.; Brnčić, M.; Grimi, N.; Boussetta, N.; Mota, M.J.; Saraiva, J.A.; Patras, A.; Tiwari, B.; Barba, F.J. Fruit juice sonication: Implications on food safety and physicochemical and nutritional properties. Food Res. Int. 2015, 77, 743–752. [Google Scholar] [CrossRef]
- Moorthy, I.G.; Prakash Maran, J.; Ilakya, S.; Anitha, S.L.; Pooja Sabarima, S.; Priya, B. Ultrasound assisted extraction of pectin from waste Artocarpus heterophyllus fruit peel. Ultrason. Sonochem. 2017, 34, 525–530. [Google Scholar] [CrossRef] [PubMed]
- Barba, F.J.; Zhu, Z.; Koubaa, M.; Sant′Ana, A.S.; Orlien, V. Green alternative methods for the extraction of antioxidant bioactive compounds from winery wastes and by-products: A review. Trends Food Sci. Technol. 2016, 49, 96–109. [Google Scholar] [CrossRef]
- Koubala, M.; Rosello-Sotó, E.; Šic Žlabur, J.; Režek Jambrak, A.; Brnčić, M.; Grimi, N.; Boussetta, N.; Barba, F.J. Current and new insights in the sustainable and green recovery of nutritionally valuable compounds from Stevia rebaudiana Bertoni. J. Agric. Food Chem. 2015, 63, 6835–6846. [Google Scholar] [CrossRef] [PubMed]
- Roselló-Soto, E.; Parniakov, O.; Deng, Q.; Patras, A.; Koubaa, M.; Grimi, N.; Boussetta, N.; Tiwari, B.K.; Vorobiev, E.; Lebovka, N.; et al. Application of non-conventional extraction methods: Toward a sustainable and green production of valuable compounds from mushrooms. Food Eng. Rev. 2016, 8, 214–234. [Google Scholar] [CrossRef]
- Wang, H.; Ding, J.; Ren, N. Recent advances in microwave-assisted extraction of trace organic pollutants from food and environmental samples. TrAC. Trends Anal. Chem. 2016, 75, 197–208. [Google Scholar] [CrossRef]
- Marić, M.; Grassino, A.N.; Zhu, Z.; Barba, F.J.; Brnčić, M.; Brnčić, S.R. An overview of the traditional and innovative approaches for pectin extraction from plant food wastes and by-products: Ultrasound-, microwaves-, and enzyme-assisted extraction. Trends Food Sci. Technol. 2018, 76, 28–37. [Google Scholar] [CrossRef]
- Tongkham, N.; Juntasalay, B.; Lasunon, P.; Sengkhamparn, N. Dragon Fruit Peel Pectin: Microwave-Assisted Extraction and Fuzzy Assessment Method. Agric. Nat. Resour. 2017, 51, 262–267. [Google Scholar] [CrossRef]
- Rodsamran, P.; Sothornvit, R. Microwave heating extraction of pectin from lime peel: Characterization and properties compared with the conventional heating method. Food Chem. 2019, 278, 364–372. [Google Scholar] [CrossRef] [PubMed]
- Dranca, F.; Vargas, M.; Oroian, M. Physicochemical properties of pectin from Malus domestica “Fălticeni” apple pomace as affected by non-conventional extraction techniques. Food Hydrocoll. 2020, 100, 105383–105396. [Google Scholar] [CrossRef]
- Bagherian, H.; Zokaee Ashtiani, F.; Fouladitajar, A.; Mohtashamy, M. Comparisons between conventional, microwave- and ultrasound-assisted methods for extraction of pectin from grapefruit. Chem. Eng. Process. 2011, 50, 1237–1243. [Google Scholar] [CrossRef]
- Liew, S.-Q.; Ngoh, G.-C.; Yusoff, R.; Teoh, W.H. Sequential ultrasound-microwave assisted acid extraction (UMAE) of pectin from pomelo peels. Int. J. Biol. Macromol. 2016, 93, 426–435. [Google Scholar] [CrossRef]
- Perrot, N.; Ioannou, I.; Allais, I.; Curt, C.; Hossenlopp, J.; Trystram, G. Fuzzy concepts applied to food product quality control: A review. Fuzzy Sets Syst. 2006, 157, 1145–1154. [Google Scholar] [CrossRef]
- Singh, K.P.; Mishra, A.; Mishra, H.N. Fuzzy analysis of sensory attributes of bread prepared from millet-based composite flours. LWT-Food Sci. Technol. 2012, 48, 276–282. [Google Scholar] [CrossRef]
- Routray, W.; Mishra, H.N. Sensory evaluation of different drinks formulated from dahi (Indian yogurt) powder using fuzzy logic. J. Food Process Preserv. 2012, 36, 1–10. [Google Scholar] [CrossRef]
- Lasunon, P.; Sengkhamparn, N. Fuzzy analytical modeling for sensory evaluation of water meal (Wolffia arrhiza (L.) Wimm.)—Rice cracker. KKU Eng. J. 2016, 43, 291–293. [Google Scholar] [CrossRef]
- Lasunon, P.; Phonkerd, N.; Tettawong, P.; Sengkhamparn, N. Effect of microwave-assisted extraction on bioactive compounds from industrial tomato waste and its antioxidant activity. Food Res. 2021, 5, 468–474. [Google Scholar] [CrossRef]
- Moorthy, I.G.; Maran, J.P.; Surya, S.M.; Naganyashree, S.; Shivamathi, C.S. Response surface optimization of ultrasound assisted extraction of pectin from pomegranate peel. Int. J. Biol. Macromol. 2015, 72, 1323–1328. [Google Scholar] [CrossRef]
- Wang, W.; Ma, X.; Xu, Y.; Cao, Y.; Jiang, Z.; Ding, T.; Ye, X.; Liu, D. Ultrasound-assisted heating extraction of pectin from grapefruit peel: Optimization and comparison with the conventional method. Food Chem. 2015, 178, 106–114. [Google Scholar] [CrossRef]
- Jazaeri, S.; Mohammadi, A.; Kermani, A.M.P.; Paliyath, G.; Kakuda, Y. Characterization of lycopene hydrocolloidal structure induced by tomato processing. Food Chem. 2018, 245, 958–965. [Google Scholar] [CrossRef] [PubMed]
- Dranca, F.; Talón, E.; Vargas, M.; Oroian, M. Microwave vs. conventional extraction of pectin from Malus domestica ‘Falticeni pomace and its potential use in hydrocolloid-based films. Food Hydrocoll. 2021, 121, 107026–107037. [Google Scholar] [CrossRef]
- Thirugnanasambandham, K.; Sivakumar, V.; Maran, P.J. Process optimization and analysis of microwave assisted extraction of pectin from dragon fruit peel. Carbohydr. Polym. 2014, 112, 622–626. [Google Scholar] [CrossRef] [PubMed]
- Maran, P.J.; Sivakumar, V.; Thirugnanasambandham, K.; Sridhar, R. Microwave assisted extraction of pectin from waste Citrullus lanatus fruit rinds. Carbohydr. Polym. 2014, 101, 786–791. [Google Scholar] [CrossRef]
- Thu Dao, T.A.; Webb, H.K.; Malherbe, F. Optimization of pectin extraction from fruit peels by response surface method: Conventional versus microwave-assisted heating. Food Hydrocoll. 2021, 113, 106475–106487. [Google Scholar] [CrossRef]
- Sucheta; Misra, N.N.; Yadav, S.K. Extraction of pectin from black carrot pomace using intermittent microwave, ultrasound and conventional heating: Kinetics, characterization and process economics. Food Hydrocoll. 2021, 102, 105592–105601. [Google Scholar] [CrossRef]
- Raji, Z.; Khodaiyan, F.; Rezaei, K.; Kiani, H.; Hosseini, S.S. Extraction optimization and physicochemical properties of pectin from melon peel. Int. J. Biol. Macromol. 2017, 98, 709–716. [Google Scholar] [CrossRef]
- Xu, S.-Y.; Liu, J.-P.; Huang, X.; Du, L.-P.; Shi, F.-L.; Dong, R.; Huang, X.-T.; Zheng, K.; Liu, Y.; Cheong, K.-L. Ultrasonic-microwave assisted extraction, characterization and biological activity of pectin from jackfruit peel. LWT-Food Sci. Technol. 2018, 90, 577–582. [Google Scholar] [CrossRef]
- Lasunon, P. Scilab software package for the fuzzy analytical method (FAM). Far East J. Math. Sci. 2016, 100, 209–225. [Google Scholar] [CrossRef]



| MAE Conditions | Pectin Yield (%) 1 | GalA Content (µg/L) 1 | Lycopene Content (µg/g Pectin) 1 | Overall Performance Index |
|---|---|---|---|---|
| 300 W 3 min | 9.43 ± 0.13 h | 24.91 ± 1.44 a | 27.89 ± 0.48 a | 2.50 |
| 300 W 5 min | 15.10 ± 0.97 f | 19.01 ± 2.64 cd | 27.05 ± 0.65 bcd | 2.72 |
| 300 W 10 min | 31.58 ± 0.48 a | 19.24 ± 1.67 cd | 26.74 ± 0.18 d | 7.23 |
| 450 W 3 min | 12.57 ± 0.37 g | 17.56 ± 1.63 d | 27.57 ± 0.36 ab | 2.54 |
| 450 W 5 min | 26.83 ± 0.46 d | 18.01 ± 1.25 d | 26.74 ± 0.36 d | 5.74 |
| 450 W 10 min | 29.89 ± 1.75 b | 20.81 ± 2.50 bc | 26.74 ± 0.18 d | 6.83 |
| 600 W 3 min | 22.85 ± 0.64 e | 20.54 ± 1.42 bc | 27.47 ± 0.31 abc | 5.70 |
| 600 W 5 min | 29.67 ± 0.25 b | 14.91 ± 1.45 e | 26.85 ± 0.31 cd | 6.50 |
| 600 W 10 min | 28.28 ± 0.56 c | 22.44 ± 0.47 b | 27.16 ± 0.00 bcd | 7.00 |
| Extraction Conditions | Pectin Yield (%) 1 | GalA Content (µg/L) 1 | Lycopene Content (µg/g Pectin) 1 | Overall Performance Index |
|---|---|---|---|---|
| UAE | 28.25 ± 2.14 bc | 13.41 ± 1.14 c | 9.99 ± 1.08 bc | 6.20 |
| MAE | 30.12 ± 0.12 b | 16.86 ± 1.08 b | 27.05 ± 0.18 a | 5.07 |
| UAE + MAE | 34.06 ± 1.11 a | 16.86 ± 0.76 b | 10.82 ± 0.18 b | 8.61 |
| UAE + 1/2 MAE | 34.39 ± 1.12 a | 19.59 ± 1.43 a | 8.53 ± 0.79 d | 8.99 |
| 1/2UAE + MAE | 26.49 ± 0.18 c | 16.24 ± 2.47 b | 26.85 ± 0.00 a | 3.66 |
| 1/2UAE + 1/2 MAE | 19.68 ± 1.61 d | 16.54 ± 0. 80 b | 9.26 ± 1.18 cd | 3.57 |
Publisher’s Note: MDPI stays neutral with regard to jurisdictional claims in published maps and institutional affiliations. |
© 2022 by the authors. Licensee MDPI, Basel, Switzerland. This article is an open access article distributed under the terms and conditions of the Creative Commons Attribution (CC BY) license (https://creativecommons.org/licenses/by/4.0/).
Share and Cite
Lasunon, P.; Sengkhamparn, N. Effect of Ultrasound-Assisted, Microwave-Assisted and Ultrasound-Microwave-Assisted Extraction on Pectin Extraction from Industrial Tomato Waste. Molecules 2022, 27, 1157. https://doi.org/10.3390/molecules27041157
Lasunon P, Sengkhamparn N. Effect of Ultrasound-Assisted, Microwave-Assisted and Ultrasound-Microwave-Assisted Extraction on Pectin Extraction from Industrial Tomato Waste. Molecules. 2022; 27(4):1157. https://doi.org/10.3390/molecules27041157
Chicago/Turabian StyleLasunon, Patareeya, and Nipaporn Sengkhamparn. 2022. "Effect of Ultrasound-Assisted, Microwave-Assisted and Ultrasound-Microwave-Assisted Extraction on Pectin Extraction from Industrial Tomato Waste" Molecules 27, no. 4: 1157. https://doi.org/10.3390/molecules27041157
APA StyleLasunon, P., & Sengkhamparn, N. (2022). Effect of Ultrasound-Assisted, Microwave-Assisted and Ultrasound-Microwave-Assisted Extraction on Pectin Extraction from Industrial Tomato Waste. Molecules, 27(4), 1157. https://doi.org/10.3390/molecules27041157
