Cytotoxicity of Mahanimbine from Curry Leaves in Human Breast Cancer Cells (MCF-7) via Mitochondrial Apoptosis and Anti-Angiogenesis
Abstract
1. Introduction
2. Results
2.1. MN Inhibited Breast Cancer Cells Proliferation
2.2. MN Induced Breast Cancer Cells Apoptosis
2.3. MN Induced Intracellular ROS
2.4. MN Mediated Loss of Mitochondrial Membrane Potential (Δψm)
2.5. MN Increased Activity of Caspase-3/7 and -9 Enzymes
2.6. MN Suppresses Migration of MCF-7 cells
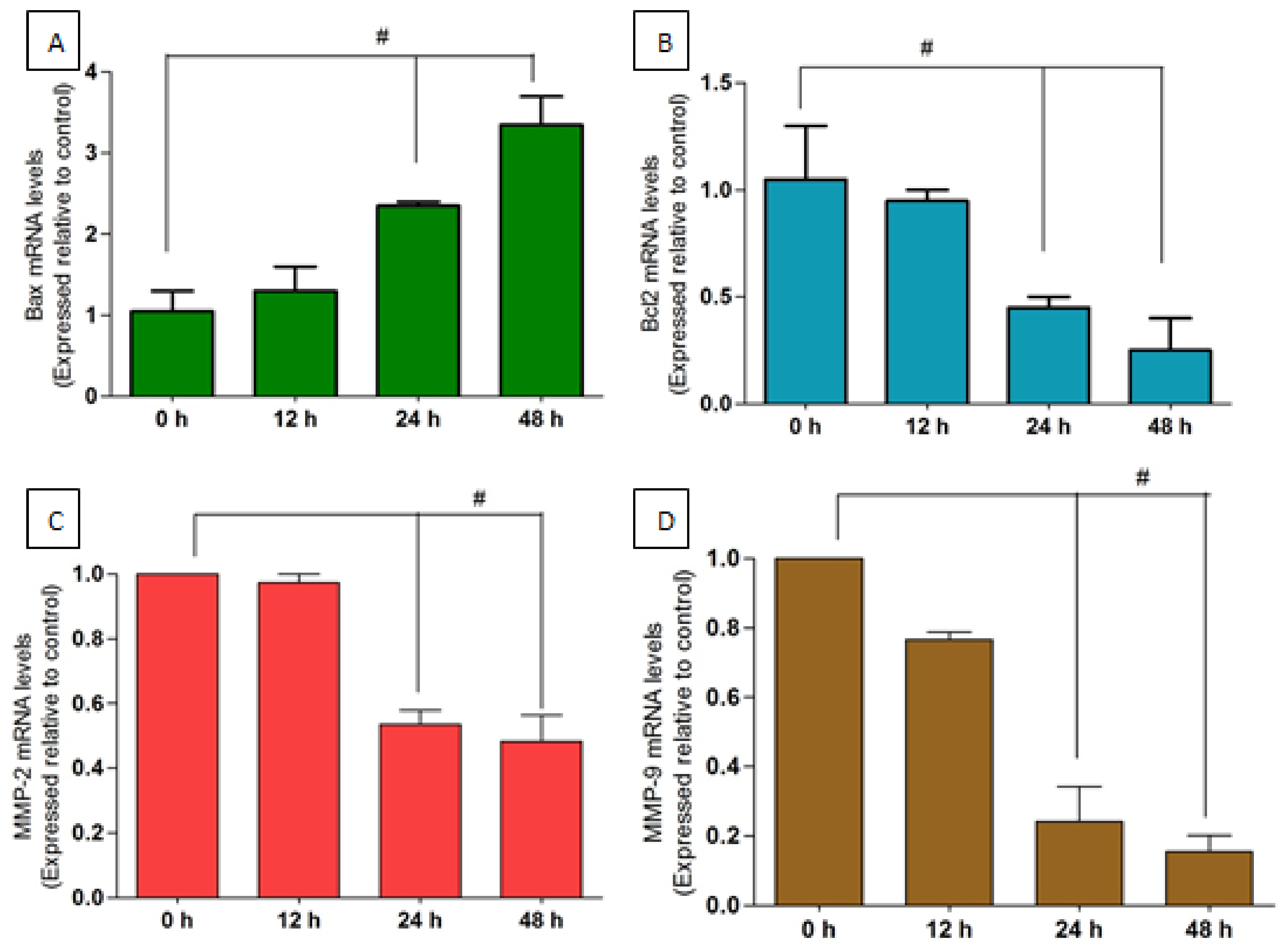
2.7. Effects of MN on Apoptotic and Invasion Gene and Protein Expression in MCF-7 Cells
3. Discussion
4. Materials and Methods
4.1. Materials
4.2. Cell Culture and Cell Viability Measurement by MTT Assay
4.3. Morphological Detection of Apoptosis
4.4. Determination of Intracellular ROS Generation by DCFDA
4.5. Determination of Mitochondrial Membrane Potential
4.6. Determination of Caspase Activity
4.7. Wound Healing Assays
4.8. Gene Expression Analysis
4.9. Protein Expression Analysis
4.10. Statistical Analysis
5. Conclusions
Funding
Institutional Review Board Statement
Informed Consent Statement
Data Availability Statement
Conflicts of Interest
Sample Availability
Abbreviations
| AO | Acrdine orange |
| Bax | Bcl-2-associated X protein |
| Bcl2 | B-cell lymphoma 2 |
| cDNA | Complementary DNA |
| CT | Cycle threshold |
| DCFDA | Dichlorofluorescin Diacetate |
| ECM | Extracellular matrix |
| MMP | Matrix metalloproteinases |
| PI | Propidium iodide |
| ROS | Reactive oxygen species |
| RT | Real time |
References
- Łukasiewicz, S.; Czeczelewski, M.; Forma, A.; Baj, J.; Sitarz, R.; Stanisławek, A. Breast Cancer—Epidemiology, Risk Factors, Classification, Prognostic Markers, and Current Treatment Strategies—An Updated Review. Cancers 2021, 13, 4287. [Google Scholar] [CrossRef] [PubMed]
- Lima, Z.S.; Ghadamzadeh, M.; Arashloo, F.T.; Amjad, G.; Ebadi, M.R.; Younesi, L. Recent advances of therapeutic targets based on the molecular signature in breast cancer: Genetic mutations and implications for current treatment paradigms. J. Hematol. Oncol. 2019, 12, 38. [Google Scholar] [CrossRef] [PubMed]
- Ferlay, J.; Ervik, M.; Lam, F.; Colombet, M.; Mery, L.; Piñeros, M.; Znaor, A.; Soerjomataram, I.; Bray, F. Global Cancer Observatory: Cancer Today. Lyon, France: International Agency for Research on Cancer: Lyon, France. 2020. Available online: https://gco.iarc.fr/today (accessed on 20 December 2021).
- Sinicropi, M.S.; Tavani, C.; Rosano, C.; Ceramella, J.; Iacopetta, D.; Barbarossa, A.; Bianchi, L.; Benzi, A.; Maccagno, M.; Ponassi, M. A Nitrocarbazole as a New Microtubule-Targeting Agent in Breast Cancer Treatment. Appl. Sci. 2021, 11, 9139. [Google Scholar] [CrossRef]
- Sanoff, H.K.; Deal, A.M.; Krishnamurthy, J.; Torrice, C.; Dillon, P.; Sorrentino, J.; Ibrahim, J.G.; Jolly, T.A.; Williams, G.; Carey, L.A. Effect of cytotoxic chemotherapy on markers of molecular age in patients with breast cancer. J. Natl. Cancer Inst. 2014, 106, dju057. [Google Scholar] [CrossRef]
- Geck, R.C.; Foley, J.R.; Stewart, T.M.; Asara, J.M.; Casero, R.A.; Toker, A. Inhibition of the polyamine synthesis enzyme ornithine decarboxylase sensitizes triple-negative breast cancer cells to cytotoxic chemotherapy. J. Biol. Chem. 2020, 295, 6263–6277. [Google Scholar] [CrossRef]
- Venkatadri, R.; Muni, T.; Iyer, A.; Yakisich, J.; Azad, N. Role of apoptosis-related miRNAs in resveratrol-induced breast cancer cell death. Cell Death Dis. 2016, 7, e2104. [Google Scholar] [CrossRef]
- Sadeghi, S.; Davoodvandi, A.; Pourhanifeh, M.H.; Sharifi, N.; ArefNezhad, R.; Sahebnasagh, R.; Moghadam, S.A.; Sahebkar, A.; Mirzaei, H. Anti-cancer effects of cinnamon: Insights into its apoptosis effects. Eur. J. Med. Chem. 2019, 178, 131–140. [Google Scholar] [CrossRef]
- Hassan, M.; Watari, H.; AbuAlmaaty, A.; Ohba, Y.; Sakuragi, N. Apoptosis and molecular targeting therapy in cancer. BioMed Res. Int. 2014, 2014, 150845. [Google Scholar] [CrossRef]
- Yang, J.; Zhao, X.; Tang, M.; Li, L.; Lei, Y.; Cheng, P.; Guo, W.; Zheng, Y.; Wang, W.; Luo, N. The role of ROS and subsequent DNA-damage response in PUMA-induced apoptosis of ovarian cancer cells. Oncotarget 2017, 8, 23492. [Google Scholar] [CrossRef]
- Suski, J.; Lebiedzinska, M.; Bonora, M.; Pinton, P.; Duszynski, J.; Wieckowski, M.R. Relation between mitochondrial membrane potential and ROS formation. In Mitochondrial Bioenergetics; Springer: Berlin/Heidelberg, Germany, 2018; pp. 357–381. [Google Scholar]
- Mohan, S.; Abdelwahab, S.I.; Kamalidehghan, B.; Syam, S.; May, K.S.; Harmal, N.S.M.; Shafifiyaz, N.; Hadi, A.H.A.; Hashim, N.M.; Rahmani, M. Involvement of NF-κB and Bcl2/Bax signaling pathways in the apoptosis of MCF7 cells induced by a xanthone compound Pyranocycloartobiloxanthone A. Phytomedicine 2012, 19, 1007–1015. [Google Scholar] [CrossRef]
- Mortezaee, K. Organ tropism in solid tumor metastasis: An updated review. Future Oncol. 2021, 17, 1943–1961. [Google Scholar] [CrossRef] [PubMed]
- Kim, S.-J.; Pham, T.-H.; Bak, Y.; Ryu, H.-W.; Oh, S.-R.; Yoon, D.-Y. Orientin inhibits invasion by suppressing MMP-9 and IL-8 expression via the PKCα/ERK/AP-1/STAT3-mediated signaling pathways in TPA-treated MCF-7 breast cancer cells. Phytomedicine 2018, 50, 35–42. [Google Scholar] [CrossRef] [PubMed]
- Xu, B.; Li, K.-P.; Shen, F.; Xiao, H.-Q.; Cai, W.-S.; Li, J.-L.; Liu, Q.-C.; Jia, L. Ulinastatin reduces cancer recurrence after resection of hepatic metastases from colon cancer by inhibiting MMP-9 activation via the antifibrinolytic pathway. BioMed Res. Int. 2013, 2013, 437950. [Google Scholar] [CrossRef] [PubMed][Green Version]
- Zubair, M.; Wang, S.; Ali, N. Advanced Approaches to Breast Cancer Classification and Diagnosis. Front. Pharmacol. 2021, 11, 2487. [Google Scholar] [CrossRef] [PubMed]
- Li, H.; Qiu, Z.; Li, F.; Wang, C. The relationship between MMP-2 and MMP-9 expression levels with breast cancer incidence and prognosis. Oncol. Lett. 2017, 14, 5865–5870. [Google Scholar] [CrossRef] [PubMed]
- Ho, Y.-L.; Li, K.-C.; Chao, W.; Chang, Y.-S.; Huang, G.-J. Korean red ginseng suppresses metastasis of human hepatoma SK-Hep1 cells by inhibiting matrix metalloproteinase-2/-9 and urokinase plasminogen activator. Evid.-Based Complementary Altern. Med. 2012, 2012, 965846. [Google Scholar] [CrossRef]
- Bhandari, P.R. Curry leaf (Murraya koenigii) or cure leaf: Review of its curative properties. J. Med. Nutr. Nutraceuticals 2012, 1, 92. [Google Scholar] [CrossRef]
- Tan, S.-P.; Lim, S.-M.; Wong, M.-K.; Lim, C.-Y.; Nafiah, M.A. Chemical Constituents of Murraya koenigii Berries. Chem. Nat. Compd. 2020, 56, 962–963. [Google Scholar] [CrossRef]
- Ismail, A.; Noolu, B.; Gogulothu, R.; Perugu, S.; Rajanna, A.; Babu, S.K. Cytotoxicity and proteasome inhibition by alkaloid extract from Murraya koenigii leaves in breast cancer cells—molecular docking studies. J. Med. Food 2016, 19, 1155–1165. [Google Scholar] [CrossRef]
- Noolu, B.; Gogulothu, R.; Bhat, M.; SYH Qadri, S.; Sudhakar Reddy, V.; Bhanuprakash Reddy, G.; Ismail, A. In vivo inhibition of proteasome activity and tumour growth by Murraya koenigii leaf extract in breast cancer xenografts and by its active flavonoids in breast cancer cells. Anti-Cancer Agents Med. Chem. (Former. Curr. Med. Chem. -Anti-Cancer Agents) 2016, 16, 1605–1614. [Google Scholar] [CrossRef]
- Nadaf, S.; Desai, R.; More, T.; Shinde, P.; Dakare, S.; Killedar, S. Antiproliferative and caspase-mediated apoptosis inducing effects of Murraya koenigii seeds against cancer cells. South Afr. J. Bot. 2020, 132, 328–337. [Google Scholar] [CrossRef]
- Amna, U.; Halimatussakdiah, H.; Wahyuningsih, P.; Saidi, N.; Nasution, R.; Astryna, S. Phytochemical Screening and In Vitro Cytotoxic Activity of Hexane Extract of Temurui (Murraya Koenigii (Linn.) Spreng) Leaves against Human Cervical Cancer (HeLa) Cell Line. In IOP Conference Series: Materials Science and Engineering; IOP Publishing: Bristol, UK, 2019; p. 012018. [Google Scholar]
- Chakrabarty, M.; Nath, A.C.; Khasnobis, S.; Chakrabarty, M.; Konda, Y.; Harigaya, Y.; Komiyama, K. Carbazole alkaloids from Murraya koenigii. Phytochemistry 1997, 46, 751–755. [Google Scholar] [CrossRef]
- Li, L.; Huizhi, L.; Binu, W.; Xinxin, D.; Longjun, W.; Liping, Y.; Yingying, Z. Anticancer activity of mukonal against human laryngeal cancer cells involves apoptosis, cell cycle arrest, and inhibition of PI3K/AKT and MEK/ERK signalling pathways. Med Sci. Monit. Int. Med J. Exp. Clin. Res. 2018, 24, 7295. [Google Scholar] [CrossRef] [PubMed]
- Wang, W.; Zhou, Z.; Zhou, X.; Chen, L.; Bie, S.; Jing, Z. Mukonal exerts anticancer effects on the human breast cancer cells by inducing autophagy and apoptosis and inhibits the tumor growth in vivo. Amb Express 2020, 10, 148. [Google Scholar] [CrossRef] [PubMed]
- Yang, L.; Yu, X. Naturally occurring Girinimbine alkaloid inhibits the proliferation, migration, and invasion of human breast cancer cells via induction of apoptosis and inhibition of MEK/ERK and STAT3 signalling pathways. Acta Biochim. Pol. 2021, 68, 647–652. [Google Scholar] [CrossRef]
- Das, M.; Kandimalla, R.; Gogoi, B.; Dutta, K.N.; Choudhury, P.; Devi, R.; Dutta, P.P.; Talukdar, N.C.; Samanta, S.K. Mahanine, A dietary phytochemical, represses mammary tumor burden in rat and inhibits subtype regardless breast cancer progression through suppressing self-renewal of breast cancer stem cells. Pharmacol. Res. 2019, 146, 104330. [Google Scholar] [CrossRef]
- Jagtap, S.; Khare, P.; Mangal, P.; Kondepudi, K.K.; Bishnoi, M.; Bhutani, K.K. Effect of mahanimbine, an alkaloid from curry leaves, on high-fat diet-induced adiposity, insulin resistance, and inflammatory alterations. BioFactors 2017, 43, 220–231. [Google Scholar] [CrossRef]
- Birari, R.; Javia, V.; Bhutani, K.K. Antiobesity and lipid lowering effects of Murraya koenigii (L.) Spreng leaves extracts and mahanimbine on high fat diet induced obese rats. Fitoterapia 2010, 81, 1129–1133. [Google Scholar] [CrossRef]
- Mani, V.; Mohd Azahan, N.S.; Ramasamy, K.; Lim, S.M.; Abdul Majeed, A.B. Mahanimbine Improved Aging-Related Memory Deficits in Mice through Enhanced Cholinergic Transmission and Suppressed Oxidative Stress, Amyloid Levels, and Neuroinflammation. Brain Sci. 2022, 12, 12. [Google Scholar] [CrossRef]
- Dahiya, J.; Singh, J.; Kumar, A.; Sharma, A. Isolation, characterization and quantification of an anxiolytic constituent-mahanimbine, from Murraya koenigii Linn. Spreng Leaves. J. Ethnopharmacol. 2016, 193, 706–711. [Google Scholar] [CrossRef]
- Pei, C.; He, Q.; Liang, S.; Gong, X. Mahanimbine exerts anticancer effects on human pancreatic cancer cells by triggering cell cycle arrest, apoptosis, and modulation of AKT/mammalian target of rapamycin (mTOR) and signal transducer and activator of transcription 3 (STAT3) signalling pathways. Med Sci. Monit. Int. Med J. Exp. Clin. Res. 2018, 24, 6975. [Google Scholar] [CrossRef] [PubMed]
- Xie, H.; Zhang, T.; Yang, N.; Li, Z.; Liu, Y. Anticancer effects of Mahanimbine alkaloid on the human bladder cancer cells are due to the induction of G0/G1 cell cycle arrest, apoptosis and autophagy. J. Bu On. Off. J. Balk. Union Oncol. 2020, 25, 1166–1171. [Google Scholar]
- Tantapakul, C.; Phakhodee, W.; Laphookhieo, S.; Ritthiwigrom, T.; Cheenpracha, S. Cytotoxic carbazole alkaloids from the stems of Murraya koenigii. Chem. Nat. Compd. 2014, 50, 186–188. [Google Scholar] [CrossRef]
- Nagappan, T.; Ramasamy, P.; Wahid, M.E.A.; Segaran, T.C.; Vairappan, C.S. Biological activity of carbazole alkaloids and essential oil of Murraya koenigii against antibiotic resistant microbes and cancer cell lines. Molecules 2011, 16, 9651–9664. [Google Scholar] [CrossRef] [PubMed]
- Baecker, D.; Obermoser, V.; Kirchner, E.A.; Hupfauf, A.; Kircher, B.; Gust, R. Fluorination as tool to improve bioanalytical sensitivity and COX-2-selective antitumor activity of cobalt alkyne complexes. Dalton Trans. 2019, 48, 15856–15868. [Google Scholar] [CrossRef]
- Lamalice, L.; Le Boeuf, F.; Huot, J. Endothelial cell migration during angiogenesis. Circ. Res. 2007, 100, 782–794. [Google Scholar] [CrossRef] [PubMed]
- Abdulrahman, G.O.; Rahman, G.A. Epidemiology of breast cancer in Europe and Africa. J. Cancer Epidemiol. 2012, 2012, 915610. [Google Scholar] [CrossRef]
- Shapiro, C.L.; Recht, A. Side effects of adjuvant treatment of breast cancer. New Engl. J. Med. 2001, 344, 1997–2008. [Google Scholar] [CrossRef]
- Aliarab, A.; Abroon, S.; Rasmi, Y.; Aziz, S.G.-G. Application of sesquiterpene lactone: A new promising way for cancer therapy based on anticancer activity. Biomed. Pharmacother. 2018, 106, 239–246. [Google Scholar]
- Elmore, S. Apoptosis: A review of programmed cell death. Toxicol. Pathol. 2007, 35, 495–516. [Google Scholar] [CrossRef]
- Volpe, C.M.O.; Villar-Delfino, P.H.; Dos Anjos, P.M.F.; Nogueira-Machado, J.A. Cellular death, reactive oxygen species (ROS) and diabetic complications. Cell Death Dis. 2018, 9, 119. [Google Scholar] [CrossRef] [PubMed]
- Wang, C.; Youle, R.J. The role of mitochondria in apoptosis. Annu. Rev. Genet. 2009, 43, 95–118. [Google Scholar] [CrossRef] [PubMed]
- Armstrong, J.S. Mitochondria: A target for cancer therapy. Br. J. Pharmacol. 2006, 147, 239–248. [Google Scholar] [CrossRef] [PubMed]
- Verma, A.K.; Singh, S. Phytochemical analysis and in vitro cytostatic potential of ethnopharmacological important medicinal plants. Toxicol. Rep. 2020, 7, 443–452. [Google Scholar] [CrossRef]
- Ito, C.; Itoigawa, M.; Nakao, K.; Murata, T.; Tsuboi, M.; Kaneda, N.; Furukawa, H. Induction of apoptosis by carbazole alkaloids isolated from Murraya koenigii. Phytomedicine 2006, 13, 359–365. [Google Scholar] [CrossRef]
- Hobani, Y.H. The role of oxidative stress in koenimbine-induced DNA damage and heat shock protein modulation in HepG2 cells. Integr. Cancer Ther. 2017, 16, 563–571. [Google Scholar] [CrossRef]
- Sun, S.-L.; Guo, L.; Ren, Y.-C.; Wang, B.; Li, R.-H.; Qi, Y.-S.; Yu, H.; Chang, N.-D.; Li, M.-H.; Peng, H.-S. Anti-apoptosis effect of polysaccharide isolated from the seeds of Cuscuta chinensis Lam on cardiomyocytes in aging rats. Mol. Biol. Rep. 2014, 41, 6117–6124. [Google Scholar] [CrossRef]
- Yu, L.; Sun, Y.; Su, J.; Li, X. Bismahanine exerts anti-cancer effects on human cervical cancer cells by inhibition of growth, migration and invasion via suppression of NF-kB signalling pathway. J. Buon 2020, 25, 93–98. [Google Scholar]
- Xu, A.; Yang, G.-G.; Zhang, Y.; Zhao, S.-T. Heptaphylline suppresses the proliferation and migration of human bladder cancer cells via induction of intrinsic apoptosis, autophagy and inhibition of β-catenin signalling pathway. J. Buon 2020, 25, 274–279. [Google Scholar]
- Yang, H.; Tian, S.-T.; Wu, R.-Y.; Chen, Y.; Mei, Z.-N.; Wang, C.-Y.; Yang, G.-Z. Glycoborinine induces apoptosis through mitochondrial pathway in HepG2 cells. J. Asian Nat. Prod. Res. 2014, 16, 991–999. [Google Scholar] [CrossRef]
- Zhou, H.; Li, H.; Cao, Y.; Sang, X.; Liu, X. Murrayanine exerts antiproliferative effects on human oral cancer cells through inhibition of AKT/mTOR and Raf/MEK/ERK signalling pathways In vitro and inhibits tumor growth in vivo. J. Buon Off. J. Balk. Union Oncol 2019, 24, 2423–2428. [Google Scholar]
- Anson, F.; Thayumanavan, S.; Hardy, J.A. Exogenous Introduction of Initiator and Executioner Caspases Results in Different Apoptotic Outcomes. JACS Au. 2021, 1, 1240–1256. [Google Scholar] [CrossRef] [PubMed]
- McComb, S.; Chan, P.K.; Guinot, A.; Hartmannsdottir, H.; Jenni, S.; Dobay, M.P.; Bourquin, J.-P.; Bornhauser, B.C. Efficient apoptosis requires feedback amplification of upstream apoptotic signals by effector caspase-3 or-7. Sci. Adv. 2019, 5, eaau9433. [Google Scholar] [CrossRef] [PubMed]
- Suen, D.-F.; Norris, K.L.; Youle, R.J. Mitochondrial dynamics and apoptosis. Genes Dev. 2008, 22, 1577–1590. [Google Scholar] [CrossRef] [PubMed]
- Xue, L.-y.; Chiu, S.-m.; Oleinick, N.L. Photodynamic therapy-induced death of MCF-7 human breast cancer cells: A role for caspase-3 in the late steps of apoptosis but not for the critical lethal event. Exp. Cell Res. 2001, 263, 145–155. [Google Scholar] [CrossRef]
- Miles, M.A.; Hawkins, C.J. Executioner caspases and CAD are essential for mutagenesis induced by TRAIL or vincristine. Cell Death Dis. 2017, 8, e3062. [Google Scholar] [CrossRef]
- Roy, M.K.; Thalang, V.N.; Trakoontivakorn, G.; Nakahara, K. Mahanine, a carbazole alkaloid from Micromelum minutum, inhibits cell growth and induces apoptosis in U937 cells through a mitochondrial dependent pathway. Br. J. Pharmacol. 2005, 145, 145–155. [Google Scholar] [CrossRef]
- Circu, M.L.; Aw, T.Y. Reactive oxygen species, cellular redox systems, and apoptosis. Free Radic. Biol. Med. 2010, 48, 749–762. [Google Scholar] [CrossRef]
- Kroemer, G.; Galluzzi, L.; Brenner, C. Mitochondrial membrane permeabilization in cell death. Physiol. Rev. 2007, 87, 99–163. [Google Scholar] [CrossRef]
- Al-Zhoughbi, W.; Huang, J.; Paramasivan, G.S.; Till, H.; Pichler, M.; Guertl-Lackner, B.; Hoefler, G. Tumor macroenvironment and metabolism. In Seminars in Oncology; Elsevier: Amsterdam, The Netherlands, 2014; pp. 281–295. [Google Scholar]
- Hulkower, K.I.; Herber, R.L. Cell migration and invasion assays as tools for drug discovery. Pharmaceutics 2011, 3, 107–124. [Google Scholar] [CrossRef]
- Iman, V.; Karimian, H.; Mohan, S.; Hobani, Y.H.; Noordin, M.I.; Mustafa, M.R.; Noor, S.M. In vitro and in vivo anti-angiogenic activity of girinimbine isolated from Murraya koenigii. Drug Des. Dev. Ther. 2015, 9, 1281. [Google Scholar]
- Lu, S.; Zhang, Z.; Chen, M.; Li, C.; Liu, L.; Li, Y. Silibinin inhibits the migration and invasion of human gastric cancer SGC7901 cells by downregulating MMP-2 and MMP-9 expression via the p38MAPK signaling pathway. Oncol. Lett. 2017, 14, 7577–7582. [Google Scholar] [CrossRef] [PubMed]
- Sun, X.; Lin, L.; Chen, Y.; Liu, T.; Liu, R.; Wang, Z.; Mou, K.; Xu, J.; Li, B.; Song, H. Nitidine chloride inhibits ovarian cancer cell migration and invasion by suppressing MMP-2/9 production via the ERK signaling pathway. Mol. Med. Rep. 2016, 13, 3161–3168. [Google Scholar] [CrossRef] [PubMed]
- Fatunmbi, M.; Shelton, J.; Aronica, S.M. MMP-9 increases HER2/neu expression and alters apoptosis levels in human mammary epithelial cells (HMEC). Breast Cancer Res. Treat. 2012, 135, 519–530. [Google Scholar] [CrossRef] [PubMed]
- Quaranta, M.; Daniele, A.; Coviello, M.; Venneri, M.; Abbate, I.; Caringella, M.; Di Tardo, S.; Divella, R.; Trerotoli, P.; Di Gennaro, M. MMP-2, MMP-9, VEGF and CA 15.3 in breast cancer. Anticancer Res. 2007, 27(5B), 3593–3600. [Google Scholar]
- Bakar, N.H.A.; Sukari, M.A.; Rahmani, M.; Sharif, A.M.; Khalid, K.; Yusuf, U.K. Chemical constituents from stem barks and roots of Murraya koenigii (Rutaceae). Malays. J. Anal. Sci. 2007, 11, 173–176. [Google Scholar]
- Ahmad, K. Chemical Constituents of Murraya Koenigii (Rutaceae) and Their Biological Activities; Universiti Putra Malaysia: Putrajaya, Malaysia, 1999. [Google Scholar]
- Ahmad, K.; Tan, S.-P.; Sukari, M.A.; Ali, A.M.; Nafiah, M.A. Cytotoxic and anti-tumour promoting activities of carbazole alkaloids from Malayan Murraya koenigii (L.) Spreng. Am. J. Plant Sci. 2014, 5, 2869. [Google Scholar] [CrossRef]
- Song, F.; Liu, D.; Huo, X.; Qiu, D. The anticancer activity of carbazole alkaloids. Arch. Der Pharm. 2022, 355, 2100277. [Google Scholar] [CrossRef]
- Makeen, H.A.; Mohan, S.; Al-Kasim, M.A.; Attafi, I.M.; Ahmed, R.A.; Syed, N.K.; Sultan, M.H.; Al-Bratty, M.; Alhazmi, H.A.; Safhi, M.M. Gefitinib loaded nanostructured lipid carriers: Characterization, evaluation and anti-human colon cancer activity in vitro. Drug Deliv. 2020, 27, 622–631. [Google Scholar] [CrossRef]
- Mohan, S.; Bustamam, A.; Ibrahim, S.; Al-Zubairi, A.S.; Aspollah, M.; Abdullah, R.; Elhassan, M.M. In vitro ultramorphological assessment of apoptosis on CEMss induced by linoleic acid-rich fraction from Typhonium flagelliforme tuber. Evid.-Based Complementary Altern. Med. 2011, 2011, 421894. [Google Scholar] [CrossRef]
- Jiang, G.; Liu, J.; Ren, B.; Zhang, L.; Owusu, L.; Liu, L.; Zhang, J.; Tang, Y.; Li, W. Anti-tumor and chemosensitization effects of Cryptotanshinone extracted from Salvia miltiorrhiza Bge. on ovarian cancer cells in vitro. J. Ethnopharmacol. 2017, 205, 33–40. [Google Scholar] [CrossRef] [PubMed]
- Kianpour, F.; Mohseni, M.; Beigmohamadi, M.; Yazdinezhad, A.; Ramazani, A.; Hosseini, M.-J.; Sharafi, A. The protective effects of Ziziphora tenuior L. against chlorpyrifos induced toxicity: Involvement of inflammatory and cell death signaling pathways. J. Ethnopharmacol. 2021, 272, 113959. [Google Scholar] [CrossRef] [PubMed]
- Buranrat, B.; Bootha, S. Antiproliferative and antimigratory activities of bisphosphonates in human breast cancer cell line MCF-7. Oncol. Lett. 2019, 18, 1246–1258. [Google Scholar] [CrossRef] [PubMed]









Publisher’s Note: MDPI stays neutral with regard to jurisdictional claims in published maps and institutional affiliations. |
© 2022 by the author. Licensee MDPI, Basel, Switzerland. This article is an open access article distributed under the terms and conditions of the Creative Commons Attribution (CC BY) license (https://creativecommons.org/licenses/by/4.0/).
Share and Cite
Hobani, Y.H. Cytotoxicity of Mahanimbine from Curry Leaves in Human Breast Cancer Cells (MCF-7) via Mitochondrial Apoptosis and Anti-Angiogenesis. Molecules 2022, 27, 971. https://doi.org/10.3390/molecules27030971
Hobani YH. Cytotoxicity of Mahanimbine from Curry Leaves in Human Breast Cancer Cells (MCF-7) via Mitochondrial Apoptosis and Anti-Angiogenesis. Molecules. 2022; 27(3):971. https://doi.org/10.3390/molecules27030971
Chicago/Turabian StyleHobani, Yahya Hasan. 2022. "Cytotoxicity of Mahanimbine from Curry Leaves in Human Breast Cancer Cells (MCF-7) via Mitochondrial Apoptosis and Anti-Angiogenesis" Molecules 27, no. 3: 971. https://doi.org/10.3390/molecules27030971
APA StyleHobani, Y. H. (2022). Cytotoxicity of Mahanimbine from Curry Leaves in Human Breast Cancer Cells (MCF-7) via Mitochondrial Apoptosis and Anti-Angiogenesis. Molecules, 27(3), 971. https://doi.org/10.3390/molecules27030971

