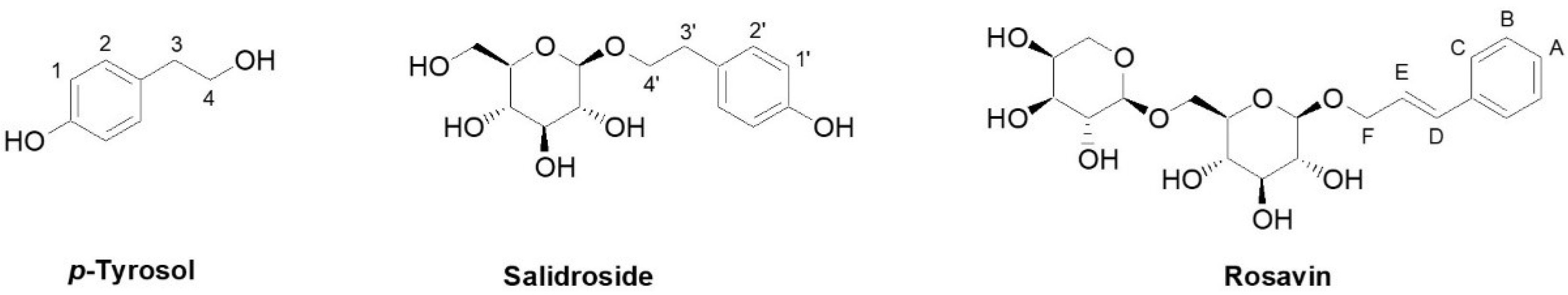
Qualitative and Quantitative Evaluation of Rosavin, Salidroside, and p-Tyrosol in Artic Root Products via TLC-Screening, HPLC-DAD, and NMR Spectroscopy
Abstract
1. Introduction
2. Results and Discussion
2.1. TLC Screening
2.2. HPLC-DAD Analysis
2.3. NMR
3. Materials and Methods
3.1. Reagents and Materials
3.2. Sample Preparation
3.3. TLC-Chromatography
3.4. TLC-Chemical Screening
3.4.1. AS Reagent Assay
3.4.2. Thymol Reagent Assay
3.4.3. NP-PEG Reagent Assay
3.4.4. DPPH Assay
3.5. TLC-Biochemical Screening
3.5.1. Tyrosinase Bioassay
3.5.2. Lipase Bioassay
3.5.3. α-Glucosidase Bioassay
3.6. HPLC-DAD
3.7. NMR
4. Conclusions
Supplementary Materials
Author Contributions
Funding
Institutional Review Board Statement
Informed Consent Statement
Data Availability Statement
Conflicts of Interest
Sample Availability
References
- Kelly, G.S. Rhodiola rosea: A possible plant adaptogen. Altern. Med. Rev. 2001, 6, 293–302. [Google Scholar]
- Panossian, A.; Wikman, G.; Sarris, J. Rosenroot (Rhodiola rosea): Traditional use, chemical composition, pharmacology and clinical efficacy. Phytomedicine 2010, 17, 481–493. [Google Scholar] [CrossRef] [PubMed]
- Chiang, H.M.; Chen, H.C.; Wu, C.S.; Wu, P.Y.; Wen, K.C. Rhodiola plants: Chemistry and biological activity. J. Food Drug Anal. 2015, 23, 359–369. [Google Scholar] [CrossRef] [PubMed]
- Booker, A.; Jalil, B.; Frommenwiler, D.; Reich, E.; Zhai, L.; Kulic, Z.; Heinrich, M. The authenticity and quality of Rhodiola rosea products. Phytomedicine 2016, 23, 754–762. [Google Scholar] [CrossRef] [PubMed]
- Darbinyan, V.; Kteyan, A.; Panossian, A.; Gabrielian, E.; Wikman, G.; Wagner, H. Rhodiola rosea in stress induced fatigue—A double blind cross-over study of a standardized extract SHR-5 with a repeated low-dose regimen on the mental performance of healthy physicians during night duty. Phytomedicine 2000. [Google Scholar] [CrossRef] [PubMed]
- Barnes, J.; Anderson, L.A.; David, J.; Barnes, P.; Phillipson, A.; Phillipson, J.D. Herbal Medicines, 3rd ed.; Pharmaceutical Press: London, UK, 2007. [Google Scholar]
- Bauer, R.; Franz, G. Modern European monographs for quality control of Chinese herbs. Planta Med. 2010, 76, 2004–2011. [Google Scholar] [CrossRef]
- Bejar, B.E.; Upton, R.; John, H. Adulteration of Rhodiola (Rhodiola rosea) Rhizome and Root and Extracts. Bot. Adulterants Bull. 2017, 1–8. [Google Scholar]
- Marchev, A.S.; Koycheva, I.K.; Aneva, I.Y.; Georgiev, M.I. Authenticity and quality evaluation of different Rhodiola species and commercial products based on NMR-spectroscopy and HPLC. Phytochem. Anal. 2020, 31, 756–769. [Google Scholar] [CrossRef] [PubMed]
- Kosakowska, O.; Bączek, K.; Przybył, J.L.; Pióro-Jabrucka, E.; Czupa, W.; Synowiec, A.; Gniewosz, M.; Costa, R.; Mondello, L.; Węglarz, Z. Antioxidant and antibacterial activity of roseroot (Rhodiola rosea L.) dry extracts. Molecules 2018, 23, 1767. [Google Scholar] [CrossRef] [PubMed]
- Nikolaichuk, H.; Typek, R.; Gnat, S.; Studziński, M.; Choma, I.M. Effect-directed analysis as a method for quality and authenticity estimation of Rhodiola rosea L. preparations. J. Chromatogr. A 2021, 1649. [Google Scholar] [CrossRef] [PubMed]
- Nikolaichuk, H.; Choma, I.M. TLC screening in searching for active components in Rhodiola rosea L. roots. Ann. Univ. Mariae Curie-Sklodowska, Sect. AA–Chem. 2019, 55–64. [Google Scholar]
- Reich, E.; Widmer, V. Plant analysis 2008-Planar chromatography. Planta Med. 2009, 75, 711–718. [Google Scholar] [CrossRef] [PubMed]
- Marston, A. Thin-layer chromatography with biological detection in phytochemistry. J. Chromatogr. A 2011, 1218, 2676–2683. [Google Scholar] [CrossRef]
- Taibon, J.; Ankli, A.; Schwaiger, S.; Magnenat, C.; Boka, V.I.; Simões-Pires, C.; Aligiannis, N.; Cuendet, M.; Skaltsounis, A.L.; Reich, E.; et al. Prevention of False-Positive Results: Development of an HPTLC Autographic Assay for the Detection of Natural Tyrosinase Inhibitors. Planta Med. 2015, 81, 1198–1204. [Google Scholar] [CrossRef]
- Hassan, A.M.S. TLC bioautographic method for detecting lipase inhibitors. Phytochem. Anal. 2012, 23, 405–407. [Google Scholar] [CrossRef] [PubMed]
- Jamshidi-Aidji, M.; Macho, J.; Mueller, M.B.; Morlock, G.E. Effect-directed profiling of aqueous, fermented plant preparations via high-performance thin-layer chromatography combined with in situ assays and high-resolution mass spectrometry. J. Liq. Chromatogr. Relat. Technol. 2019, 42, 266–273. [Google Scholar] [CrossRef]






| Compound | Retention Time (min) | Calibration Range 2 (µg/mL) | Regression Equation 1 | R 2 (n = 3) | LOD (µg/mL) | LOQ (µg/mL) |
|---|---|---|---|---|---|---|
| Rosavin | 17.2 | 1–200 | y = 33071x +413,929 | R² = 0.993 | 3.76 | 11.41 |
| Salidroside | 4.0 | 1–200 | y = 13110x + 14,399 | R² = 0.989 | 1.04 | 3.16 |
| p-Tyrosol | 5.4 | 1–100 | y = 57136x − 186,643 | R² = 0.998 | 0.01 | 0.02 |
| ID | Content ± SD (µg/mL) | ||
|---|---|---|---|
| Rosavin | Salidroside | p-Tyrosol | |
| S1 | 59.99 ± 3.74 | 26.37 ± 0.72 | 2.73 ± 0.50 |
| S2 | ND | 13.12 ± 0.89 | 4.25 ± 0.33 |
| S3 | ND | ND | ND |
| S4 | ND | ND | ND |
| S5 | 100.46 ± 5.44 | 37.86 ± 3.94 | 4.94 ± 0.12 |
| S6 | 84.71 ± 5.54 | 21.33 ± 4.51 | 2.61 ± 0.52 |
| S7 | ND | ND | ND |
| ID | Rosavin | Salidroside | p-Tyrosol |
|---|---|---|---|
| S1 | + | + | + |
| S2 | ND | + | + |
| S3 | ND | Traces | ND |
| S4 | ND | Traces | ND |
| S5 | + | + | + |
| S6 | + | + | + |
| S7 | ND | Traces | ND |
Publisher’s Note: MDPI stays neutral with regard to jurisdictional claims in published maps and institutional affiliations. |
© 2022 by the authors. Licensee MDPI, Basel, Switzerland. This article is an open access article distributed under the terms and conditions of the Creative Commons Attribution (CC BY) license (https://creativecommons.org/licenses/by/4.0/).
Share and Cite
Nikolaichuk, H.; Studziński, M.; Stankevič, M.; Choma, I.M. Qualitative and Quantitative Evaluation of Rosavin, Salidroside, and p-Tyrosol in Artic Root Products via TLC-Screening, HPLC-DAD, and NMR Spectroscopy. Molecules 2022, 27, 8299. https://doi.org/10.3390/molecules27238299
Nikolaichuk H, Studziński M, Stankevič M, Choma IM. Qualitative and Quantitative Evaluation of Rosavin, Salidroside, and p-Tyrosol in Artic Root Products via TLC-Screening, HPLC-DAD, and NMR Spectroscopy. Molecules. 2022; 27(23):8299. https://doi.org/10.3390/molecules27238299
Chicago/Turabian StyleNikolaichuk, Hanna, Marek Studziński, Marek Stankevič, and Irena M. Choma. 2022. "Qualitative and Quantitative Evaluation of Rosavin, Salidroside, and p-Tyrosol in Artic Root Products via TLC-Screening, HPLC-DAD, and NMR Spectroscopy" Molecules 27, no. 23: 8299. https://doi.org/10.3390/molecules27238299
APA StyleNikolaichuk, H., Studziński, M., Stankevič, M., & Choma, I. M. (2022). Qualitative and Quantitative Evaluation of Rosavin, Salidroside, and p-Tyrosol in Artic Root Products via TLC-Screening, HPLC-DAD, and NMR Spectroscopy. Molecules, 27(23), 8299. https://doi.org/10.3390/molecules27238299

