Aquaphotomic Study of Effects of Different Mixing Waters on the Properties of Cement Mortar
Abstract
1. Introduction
2. Results and Discussion
2.1. Mineral Content of Waters Used for Preparation of Cement
2.2. Aquaphotomic Characterization of Mixing Water
2.3. Aquaphotomic Characterization of Cement Mortar
2.3.1. Raw and Transformed near Infrared Spectra of Cement Mortar
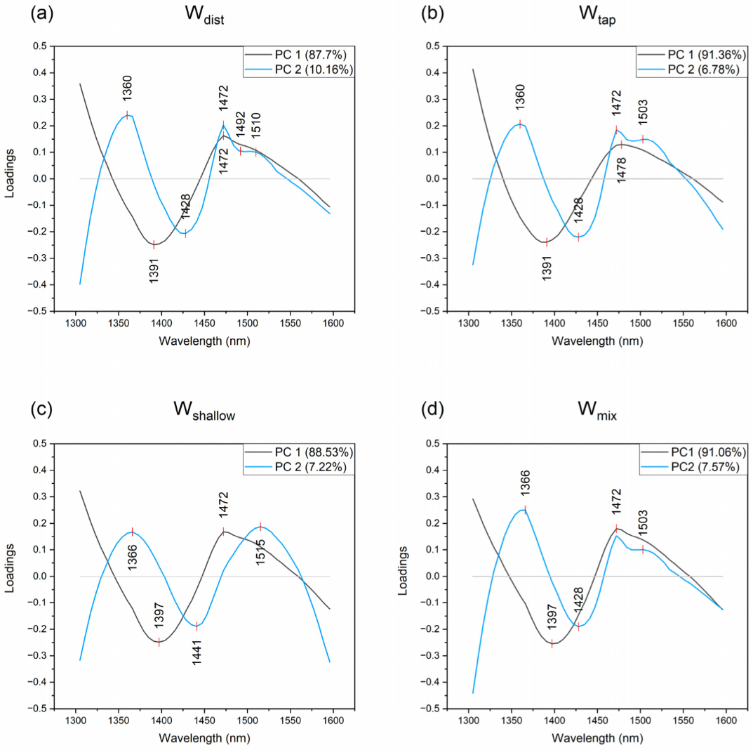
2.3.2. Principal Component Analysis (PCA) of Cement Mortar
2.3.3. Soft Modeling of Class Analogies (SIMCA) of Cement Mortar
2.3.4. Aquagrams of Cement Mortar
2.4. Characterization of the Internal Temperature Change and Thermal Strain in Cement Paste
2.5. Characteristics of Drying Shrinkage Strain
3. Materials and Methods
3.1. Water Samples
3.2. Cement and Fine Aggregate (Sand)
3.3. Preparation of Hardened Cement Specimens
- Add water and cement to the container for mixing.
- Mix at a low speed for 30 s.
- Add fine aggregate.
- Mix at a high speed for 30 s.
- Scrape the mortar adhering to the walls and bottom of the mixing container (Stop for 90 s).
- Mix at high speed for 60 s and then take out.
3.4. NIR Spectroscopy
3.4.1. NIR Spectroscopy Measurement of Water Samples
3.4.2. NIR Spectroscopy Measurement of Cement Paste and Mortar
3.5. Aquaphotomic Spectral Data Analysis
3.5.1. Water Characterization
3.5.2. Cement Paste and Mortar Characterization
3.6. Physical Test Method for Cement Mortar
3.6.1. Temperature Change and Thermal Strain
3.6.2. Dry Shrinkage Test
4. Conclusions
- The results of the standard analysis of mineral constituents in four mixing waters demonstrated small differences considered negligible and irrelevant for the cement production according to the standards for the most countries. However, aquaphotomics’ characterization demonstrated that mixing waters have a higher solvation ability compared to the pure water and the largest differences between the four types of waters were found at the 1448 nm water absorbance band, assigned to the absorption of water molecules in solvation shells with four or five water molecules.
- The PCA analysis of cement paste and mortar created by different mixing waters demonstrated that the major variation in the spectra can be described by only two principal components, related to the changes of cement mortar during curing (in terms of days) and to the changes during early hydration reaction in the first 24 h. The most important water absorbance bands for the description of changes during curing were identified at 1391, 1397, 1472, and 1478 nm. The first two can be attributed to the absorbance of the confined water molecules in the interlayer between the crystal lattice, while the latter two to water molecular species with three hydrogen bonds indicated the semi-crystalline state of cement. For the description of the initial hydration reaction, the most important absorbance bands were found at 1360 and 1366 nm assigned to water solvation shells around ions, located at the edge and the corners of crystal lattices, and at 1472 nm, the water molecules bonded with three hydrogen bonds. There are indications that first two bands could be related to the hardness, which agrees well with the understanding of cement curing as the process of hardening of cement. The process of cement curing was described as a transformation of weakly hydrogen-bonded water to hydrogen-bonded water, which agrees with the release of heat during the reaction of cement hydration. Despite the common absorbance bands present in developed PCA models, each cement mortar demonstrated a specific time evolution depending on the water used for its preparation.
- The results of the SIMCA discriminating analysis confirmed that it is possible to discriminate the age of cement mortar with an accuracy higher than 90%, and to discriminate between mortars made with different mixing waters with accuracy higher than 82%. The discriminating powers of SIMCA demonstrated the importance of the absorbance band of 1472 nm (water molecules with three hydrogen bonds) for discrimination. The differences were found mostly in the area of hydrogen-bonded water and strongly bound water, which indicates differences in the water bound to cement components, i.e., the cement matrix differences as well.
- The entirety of aquaphotomics analysis discovered 18 water absorbance bands: 1342, 1354, 1366, 1379, 1385, 1391, 1397, 1410, 1428, 1441, 1447, 1460, 1472, 1490, 1503, 1515, 1534, and 1559 nm as absorbance bands that could be used to measure the state of water directly and the state of cement mortar during curing indirectly, over time. These absorbance bands can be considered as WAMACS, i.e., Water Matrix Coordinates and their combination was used to depict Water Spectral Patterns—WASPs of cement mortar in aquagrams. The aquagrams revealed that Wshallow and Wmix water mortars were similar, and Wtap and Wdist mortars were similar, indicating similar properties of the mortars on the macroscale. The aquagrams demonstrated differences at such a detailed scale in the water molecular matrix of the paste and mortar, practically from the very start when paste is mixed, providing a possibility for the prediction of mortar properties at the earliest possible stage.
- The measured values of thermal strain revealed that Wshallow and Wmix water mortars were similar, and Wtap and Wdist mortars were similar, strongly resembling grouping two-by-two, which is observed in the WASPs of mortars. Judging by the WASPs, it was concluded that hardened paste created by Wshallow and Wmix water has a less porous and more compact structure. The results of the drying shrinkage strain measurements performed over the period of 91 days after casting demonstrate considerably reduced drying shrinkage strain in specimens prepared with Wshallow and Wmix water. The drying shrinkage strain was about the same for the Wshallow and Wmix cement mortar, and Wdist and Wtap followed in increasing order. Similar to the results of thermal stress, grouping two-by-two was also observed in drying shrinkage properties closely matching the pattern observed in WASPs of cement paste.
Author Contributions
Funding
Institutional Review Board Statement
Informed Consent Statement
Data Availability Statement
Acknowledgments
Conflicts of Interest
Sample Availability
References
- Popovics, S.; Ujhelyi, J. Contribution to the Concrete Strength versus Water-Cement Ratio Relationship. J. Mater. Civ. Eng. 2008, 20, 459–463. [Google Scholar] [CrossRef]
- Popovic, S. Analysis of the concrete strength versus water cement ratio relationship. ACI Mater. J. 1990, 87, 517–529. [Google Scholar]
- Bentz, D.P.; Aïtcin, P.-C. The Hidden Meaning of Water- Cement Ratio. Concr. Int. 2008, 30, 51–54. [Google Scholar]
- Kohno, K.; Tazava, E.; Monji, T. Atarashii Konkurîto Kougaku, 1st ed.; Asakura Shoten: Tokyo, Japan, 1987. [Google Scholar]
- Lee, H.J.; Kim, D.G.; Lee, J.H.; Cho, M.S. A Study for Carbonation Degree on Concrete using a Phenolphthalein Indicator and Fourier-Transform Infrared Spectroscopy. Int. J. Civ. Environ. Eng. 2012, 6, 95–101. [Google Scholar]
- He, Z.; Han, X.; Zhang, M.; Yuan, Q.; Shi, J.; Zhan, P. A novel development of green UHPC containing waste concrete powder derived from construction and demolition waste. Powder Technol. 2022, 398, 117075. [Google Scholar] [CrossRef]
- Ting, L.; Qiang, W.; Shiyu, Z. Effects of ultra-fine ground granulated blast-furnace slag on initial setting time, fluidity and rheological properties of cement pastes. Powder Technol. 2019, 345, 54–63. [Google Scholar] [CrossRef]
- Li, J.; Wu, Z.; Shi, C.; Yuan, Q.; Zhang, Z. Durability of ultra-high performance concrete—A review. Constr. Build. Mater. 2020, 255, 119296. [Google Scholar] [CrossRef]
- Mo, Z.; Wang, R.; Gao, X. Hydration and mechanical properties of UHPC matrix containing limestone and different levels of metakaolin. Constr. Build. Mater. 2020, 256, 119454. [Google Scholar] [CrossRef]
- Ma, C.; Chen, G.; Shi, J.; Zhou, H.; Ren, W.; Du, Y. Improvement mechanism of water resistance and volume stability of magnesium oxychloride cement: A comparison study on the influences of various gypsum. Sci. Total Environ. 2022, 829, 154546. [Google Scholar] [CrossRef]
- Rougelot, T.; Skoczylas, F.; Burlion, N. Water desorption and shrinkage in mortars and cement pastes: Experimental study and poromechanical model. Cem. Concr. Res. 2009, 39, 36–44. [Google Scholar] [CrossRef]
- Pichler, C.; Lackner, R.; Mang, H.A. A multiscale micromechanics model for the autogenous-shrinkage deformation of early-age cement-based materials. Eng. Fract. Mech. 2007, 74, 34–58. [Google Scholar] [CrossRef]
- Hua, C.; Acker, P.; Ehrlacher, A. Analyses and models of the autogenous shrinkage of hardening cement paste: I. Modelling at macroscopic scale. Cem. Concr. Res. 1995, 25, 1457–1468. [Google Scholar] [CrossRef]
- Xi, Y.; Jennings, H.M. Shrinkage of cement paste and concrete modelled by a multiscale effective homogeneous theory. Mater. Struct. 1997, 30, 329–339. [Google Scholar] [CrossRef]
- Liu, J.; Shi, C.; Ma, X.; Khayat, K.H.; Zhang, J.; Wang, D. An overview on the effect of internal curing on shrinkage of high performance cement-based materials. Constr. Build. Mater. 2017, 146, 702–712. [Google Scholar] [CrossRef]
- Comité Euro-International du Béton. Model Code 1990; Comité Euro-International du Béton: Paris, France, 1991; pp. 87–109. [Google Scholar]
- Bazant, Z.P.; Baweja, S. Creep and shrinkage prediction model for analysis and design of concrete structures—Model B3—Northwestern Scholars. Mater. Constr. 1995, 28, 357–365. [Google Scholar]
- Shimomura, T.; Maekawa, K. Drying shrinkage model or concrete based on micromechanism in concrete. Doboku Gakkai Ronbunshu 1995, 1995, 35–45. [Google Scholar] [CrossRef]
- Zhu, Y.; Ishida, T.; Maekawa, K. Multi-scale constitutive model or concrete based on thermodynamic states of moisture in micro-pores. Doboku Gakkai Ronbunshu 2004, 2004, 241–260. [Google Scholar] [CrossRef][Green Version]
- Ishida, T.; Luan, Y. An Enhanced model for shrinkage behavior based on early age hydration and moisture state in pore structure. J. Jpn. Soc. Civ. Eng. Ser. E2 2012, 68, 422–436. [Google Scholar] [CrossRef][Green Version]
- Montanari, L.; Amirkhanian, A.N.; Suraneni, P.; Weiss, J. Design Methodology for Partial Volumes of Internal Curing Water Based on the Reduction of Autogenous Shrinkage. J. Mater. Civ. Eng. 2018, 30, 04018137. [Google Scholar] [CrossRef]
- Lura, P.; Jensen, O.M.; Van Breugel, K. Autogenous shrinkage in high-performance cement paste: An evaluation of basic mechanisms. Cem. Concr. Res. 2003, 33, 223–232. [Google Scholar] [CrossRef]
- Tang, S.; Huang, D.; He, Z. A review of autogenous shrinkage models of concrete. J. Build. Eng. 2021, 44, 103412. [Google Scholar] [CrossRef]
- Powers, T.C. The thermodynamics of volume change and creep. Matér. Constr. 1968, 1, 487–507. [Google Scholar] [CrossRef]
- Shimomurat, T.; Maekawa, K. Analysis of the drying shrinkage behaviour of concrete using a micromechanical model based on the micropore structure of concrete. Mag. Concr. Res. 2015, 49, 303–322. [Google Scholar] [CrossRef]
- Beltzung, F.; Wittmann, F.H. Role of disjoining pressure in cement based materials. Cem. Concr. Res. 2005, 35, 2364–2370. [Google Scholar] [CrossRef]
- Maruyama, I. Origin of Drying Shrinkage of Hardened Cement Paste: Hydration Pressure. J. Adv. Concr. Technol. 2010, 8, 187–200. [Google Scholar] [CrossRef]
- Feldman, R.H. Sorption and Length-Change Scanning Isotherms of Methanol and Water on Hydrated Portland Cement. In Proceedings of the Fifth International Symposium on the Chemistry of Cement, National Research Council Canada, Tokyo, Japan, 7–11 October 1968; Volume 3, pp. 53–66. [Google Scholar]
- Japanese Standards Association (JSA). Japanese Industrial Standards (JIS) A 5308, Ready-Mixed Concrete; Japanese Standards Association: Tokyo, Japan, 2019; p. 7. [Google Scholar]
- ASTM C94. Standard Specification for Ready-Mixed Concrete; ASTM International: West Conshohocken, PA, USA, 1996.
- Japanese Standards Association (JSA). Japanese Industrial Standard (JIS) R 5210 Portland Cement; Japanese Standards Association: Tokyo, Japan, 2019; Volume 1607, p. 5. [Google Scholar]
- Maheshwari, R.K.; Rani, B.; Rani, B.; Maheshwari, R.; Garg, A.; Prasad, M. Bottled Water—A Global Market Overview Bottled Water—A Global Market Overview. Bull. Environ. Pharmacol. Life Sci. 2012, 1, 1–4. [Google Scholar]
- Brei, V.A. How is a bottled water market created? Wiley Interdiscip. Rev. Water 2018, 5, e1220. [Google Scholar] [CrossRef]
- Kubota, M.; Nishimoto, Y. Koredewakaru Mizu no Kisotishiki; Maruzen Corp.: Tokyo, Japan, 2003. [Google Scholar]
- Toda, M. Shohokaramanabu Kinousui; Nihon Sangyo Senjou Kyougikai, Kougyo Chousakai Corp.: Tokyo, Japan, 2002. [Google Scholar]
- Al-Haq, M.I.; Sugiyama, J.; Isobe, S. Applications of Electrolyzed Water in Agriculture & Food Industries. Food Sci. Technol. Res. 2005, 11, 135–150. [Google Scholar] [CrossRef]
- Teixeira da Silva, J.A.; Dobránszki, J. Impact of magnetic water on plant growth. Environ. Exp. Biol. 2014, 12, 137–142. [Google Scholar]
- Johnson, K.E.; Sanders, J.J.; Gellin, R.G.; Palesch, Y.Y. The effectiveness of a magnetized water oral irrigator (Hydro Fioss®) on plaque, calculus and gingival health. J. Clin. Periodontol. 1998, 25, 316–321. [Google Scholar] [CrossRef]
- Hafizi, L.; Gholizadeh, M.; Karimi, M.; Hosseini, G.; Mostafavi-Toroghi, H.; Haddadi, M.; Rezaiean, A.; Ebrahimi, M.; Meibodi, N.E. Effects of magnetized water on ovary, pre-implantation stage endometrial and fallopian tube epithelial cells in mice. Iran. J. Reprod. Med. 2014, 12, 243. [Google Scholar] [PubMed]
- Kim, Y.-H.; Park, Y.; Bae, S.; Kim, S.Y.; Han, J.-G. Compressive Strength Evaluation of Ordinary Portland Cement Mortar Blended with Hydrogen Nano-Bubble Water and Graphene. J. Nanosci. Nanotechnol. 2019, 20, 647–652. [Google Scholar] [CrossRef] [PubMed]
- Grzegorczyk-Frańczak, M.; Barnat-Hunek, D.; Andrzejuk, W.; Zaburko, J.; Zalewska, M.; Łagód, G. Physical Properties and Durability of Lime-Cement Mortars Prepared with Water Containing Micro-Nano Bubbles of Various Gases. Materials 2021, 14, 1902. [Google Scholar] [CrossRef] [PubMed]
- Kim, W.K.; Hong, G.; Kim, Y.H.; Kim, J.M.; Kim, J.; Han, J.G.; Lee, J.Y. Mechanical Strength and Hydration Characteristics of Cement Mixture with Highly Concentrated Hydrogen Nanobubble Water. Materials 2021, 14, 2735. [Google Scholar] [CrossRef]
- Kim, W.K.; Kim, Y.H.; Hong, G.; Kim, J.M.; Han, J.G.; Lee, J.Y. Effect of Hydrogen Nanobubbles on the Mechanical Strength and Watertightness of Cement Mixtures. Materials 2021, 14, 1823. [Google Scholar] [CrossRef]
- Abdel-Magid, T.I.M.; Hamdan, R.M.; Abdelgader, A.A.B.; Omer, M.E.A.; Ahmed, N.M.R.A. Effect of Magnetized Water on Workability and Compressive Strength of Concrete. Procedia Eng. 2017, 193, 494–500. [Google Scholar] [CrossRef]
- Prabakaran, E.; Vijayakumar, A.; Rooby, J.; Nithya, M. A comparative study of polypropylene fiber reinforced concrete for various mix grades with magnetized water. Mater. Today Proc. 2021, 45, 123–127. [Google Scholar] [CrossRef]
- Zhang, Z.; Li, B.; Song, N.; Venkatesh, S.; Jagannathan, P.; Prasath Kumar, V.R. An Experimental Study on the Effect of Magnetized Water on Mechanical Properties of Concrete. IOP Conf. Ser. Mater. Sci. Eng. 2020, 912, 032081. [Google Scholar] [CrossRef]
- Lal, P.; Kavitha, P.E. Modified Magnetized Water Concrete Using Nanosilica. Lect. Notes Civ. Eng. 2021, 97, 421–431. [Google Scholar] [CrossRef]
- Mohammadnezhad, A.; Azizi, S.; Sousanabadi Farahani, H.; Tashan, J.; Habibnejad Korayem, A. Understanding of the Magnetizing Process of Water and its Effects on Properties of Cementitious Composites—A Critical Review. SSRN Electron. J. 2022, 47. [Google Scholar] [CrossRef]
- Takigawa, M.; Konaka, T.; Tsunokake, H.; Tamura, S. Basic research on the effects of various mixed water on the physical characteristics or mortar. In Proceedings of the Reiwa 3th annual Meeting of the Japan Society of Civil Engineers, Tokyo, Japan, 6–10 September 2021. [Google Scholar]
- Bullard, J.W.; Jennings, H.M.; Livingston, R.A.; Nonat, A.; Scherer, G.W.; Schweitzer, J.S.; Scrivener, K.L.; Thomas, J.J. Mechanisms of cement hydration. Cem. Concr. Res. 2011, 41, 1208–1223. [Google Scholar] [CrossRef]
- Tsenkova, R. Aquaphotomics: Dynamic spectroscopy of aqueous and biological systems describes peculiarities of water. J. Near Infrared Spectrosc. 2009, 17, 303–313. [Google Scholar] [CrossRef]
- Muncan, J.; Tsenkova, R. Aquaphotomics-From Innovative Knowledge to Integrative Platform in Science and Technology. Molecules 2019, 24, 2742. [Google Scholar] [CrossRef] [PubMed]
- Tsenkova, R.; Muncan, J.; Kovacs, Z. Aquaphotomics. In Handbook of Near-Infrared Analysis; Ciurczak, E.W., Igne, B., Workman, J., Jr., Burns, D.A., Eds.; CRC Press: Boca Raton, Florida, USA, 2022; p. 917. ISBN 9781138576483. [Google Scholar]
- van de Kraats, E.B.; Munćan, J.; Tsenkova, R.N. Aquaphotomics—Origin, concept, applications and future perspectives. Substantia 2019, 3, 13–28. [Google Scholar] [CrossRef]
- Roger, J.; Mallet, A.; Marini, F. Preprocessing NIR Spectra for Aquaphotomics. Molecules 2022, 27, 6795. [Google Scholar] [CrossRef]
- Tan, J.; Sun, Y.; Ma, L.; Feng, H.; Guo, Y.; Cai, W.; Shao, X. Knowledge-based genetic algorithm for resolving the near-infrared spectrum and understanding the water structures in aqueous solution. Chemom. Intell. Lab. Syst. 2020, 206, 104150. [Google Scholar] [CrossRef]
- Cui, X.; Sun, Y.; Cai, W.; Shao, X. Chemometric methods for extracting information from temperature-dependent near-infrared spectra. Sci. China Chem. 2019, 62, 583–591. [Google Scholar] [CrossRef]
- Shao, X.; Cui, X.; Liu, Y.; Xia, Z.; Cai, W. Understanding the molecular interaction in solutions by chemometric resolution of near−infrared spectra. ChemistrySelect 2017, 2, 10027–10032. [Google Scholar] [CrossRef]
- Cui, X.; Zhang, J.; Cai, W.; Shao, X. Chemometric algorithms for analyzing high dimensional temperature dependent near infrared spectra. Chemom. Intell. Lab. Syst. 2017, 170, 109–117. [Google Scholar] [CrossRef]
- Shao, X.; Cui, X.; Wang, M.; Cai, W. High order derivative to investigate the complexity of the near infrared spectra of aqueous solutions. Spectrochim. Acta Part A Mol. Biomol. Spectrosc. 2019, 213, 83–89. [Google Scholar] [CrossRef]
- Su, T.; Sun, Y.; Han, L.; Cai, W.; Shao, X. Revealing the interactions of water with cryoprotectant and protein by near–infrared spectroscopy. Spectrochim. Acta Part A Mol. Biomol. Spectrosc. 2022, 266, 120417. [Google Scholar] [CrossRef] [PubMed]
- Babu, G.R.; Reddy, B.M.; Ramana, N.V. Quality of mixing water in cement concrete. A review. Mater. Today Proc. 2018, 5, 1313–1320. [Google Scholar] [CrossRef]
- Tsenkova, R.; Munćan, J.; Pollner, B.; Kovacs, Z. Essentials of Aquaphotomics and Its Chemometrics Approaches. Front. Chem. 2018, 6, 363. [Google Scholar] [CrossRef]
- Martens, H.; Martens, M. Multivariate Analysis of Quality: An Introduction; Wiley: Chichester, UK, 2001; ISBN 9780471974284. [Google Scholar]
- Wold, S.; Sjostrom, M. SIMCA: A Method for Analyzing Chemical Data in Terms of Similarity and Analogy. In Chemometrics: Theory and Application; Kowalski, B.R., Ed.; American Chemical Society at New York University: New York, NY, USA, 1977; pp. 243–282. [Google Scholar]
- Tsenkova, R. Aquaphotomics: Water in the biological and aqueous world scrutinised with invisible light. Spectrosc. Eur. 2010, 22, 6–10. [Google Scholar]
- Kovacs, Z.; Muncan, J.; Veleva, P.; Oshima, M.; Shigeoka, S.; Tsenkova, R. Aquaphotomics for monitoring of groundwater using short-wavelength near-infrared spectroscopy. Spectrochim. Acta Part A Mol. Biomol. Spectrosc. 2022, 279, 121378. [Google Scholar] [CrossRef] [PubMed]
- Rinnan, Å.; Nørgaard, L.; van den Berg, F.; Thygesen, J.; Bro, R.; Engelsen, S.B. Data Pre-Processing. In Infrared Spectroscopy for Food Quality Analysis and Control; Sun, D.-W., Ed.; Academic Press: Cambridge, MA, USA, 2009; ISBN 9780123741363. [Google Scholar]
- Kojić, D.; Tsenkova, R.; Tomobe, K.; Yasuoka, K.; Yasui, M. Water confined in the local field of ions. ChemPhysChem 2014, 15, 4077–4086. [Google Scholar] [CrossRef] [PubMed]
- Muncan, J.; Kovacs, Z.; Pollner, B.; Ikuta, K.; Ohtani, Y.; Terada, F.; Tsenkova, R. Near infrared aquaphotomics study on common dietary fatty acids in cow’s liquid, thawed milk. Food Control 2020, 122, 107805. [Google Scholar] [CrossRef]
- Gowen, A.A.; Tsenkova, R.; Esquerre, C.; Downey, G.; O’Donnell, C.P. Use of near infrared hyperspectral imaging to identify water matrix co-ordinates in mushrooms (Agaricus bisporus) subjected to mechanical vibration. J. Near Infrared Spectrosc. 2009, 17, 363–371. [Google Scholar] [CrossRef]
- Malegori, C.; Muncan, J.; Mustorgi, E.; Tsenkova, R.; Oliveri, P. Analysing the water spectral pattern by near-infrared spectroscopy and chemometrics as a dynamic multidimensional biomarker in preservation: Rice germ storage monitoring. Spectrochim. Acta Part A Mol. Biomol. Spectrosc. 2022, 265, 120396. [Google Scholar] [CrossRef]
- Tsenkova, R.N.; Iordanova, I.K.; Toyoda, K.; Brown, D.R. Prion protein fate governed by metal binding. Biochem. Biophys. Res. Commun. 2004, 325, 1005–1012. [Google Scholar] [CrossRef]
- Kovacs, Z.; Pollner, B.; Bazar, G.; Muncan, J.; Tsenkova, R. A Novel Tool for Visualization of Water Molecular Structure and Its Changes, Expressed on the Scale of Temperature Influence. Molecules 2020, 25, 2234. [Google Scholar] [CrossRef] [PubMed]
- Geladi, P.; Dåbakk, E. Computational Methods and Chemometrics in Near Infrared Spectroscopy. In Encyclopedia of Spectroscopy and Spectrometry, 2nd ed.; Lindon, J.C., Ed.; Academic Press: Cambridge, MA, USA, 1999; pp. 386–391. [Google Scholar] [CrossRef]
- Savitzky, A.; Golay, M.J.E. Smoothing and Differentiation of Data by Simplified Least Squares Procedures. Anal. Chem. 1951, 36, 1627–1639. [Google Scholar] [CrossRef]
- Fujimoto, T.; Yamamoto, H.; Tsuchikawa, S. Estimation of wood stiffness and strength properties of hybrid larch by near-infrared spectroscopy. Appl. Spectrosc. 2007, 61, 882–888. [Google Scholar] [CrossRef] [PubMed]
- Kondo, A.; Kurosawa, R.; Ryu, J.; Matsuoka, M.; Takeuchi, M. Investigation on the Mechanisms of Mg(OH)2Dehydration and MgO Hydration by Near-Infrared Spectroscopy. J. Phys. Chem. C 2021, 125, 10937–10947. [Google Scholar] [CrossRef]
- Hong, B.H.; Rubenthaler, G.L.; Allan, R.E. Wheat pentosans. II. Estimating kernel hardness and pentosans in water extracts by near-infrared reflectance. Cereal Chem. 1989, 66, 374–377. [Google Scholar]
- Kuroki, S.; Tsenkova, R.; Moyankova, D.P.; Muncan, J.; Morita, H.; Atanassova, S.; Djilianov, D. Water molecular structure underpins extreme desiccation tolerance of the resurrection plant Haberlea rhodopensis. Sci. Rep. 2019, 9, 3049. [Google Scholar] [CrossRef]
- Blomquist, G.; Johansson, E.; Söderström, B.; Wold, S. Data analysis of pyrolysis—Chromatograms by means of simca pattern recognition. J. Anal. Appl. Pyrolysis 1979, 1, 53–65. [Google Scholar] [CrossRef]
- Kvalheim, O.M.; Karstang, T.V. SIMCA—Classification by means of disjoint cross validated principal components models. In Multivariate Pattern Recognition in Chemometrics: Illustrated by Case Studies; Brereton, R.G., Ed.; Elsevier: Amsterdam, The Netherlands, 1992; Volume 9, pp. 209–248. [Google Scholar]
- Headrick, J.M.; Diken, E.G.; Walters, R.S.; Hammer, N.I.; Christie, R.A.; Cui, J.; Myshakin, E.M.; Duncan, M.A.; Johnson, M.A.; Jordan, K.D. Spectral signatures of hydrated proton vibrations in water clusters. Science 2005, 308, 1765–1769. [Google Scholar] [CrossRef]
- Mizuse, K.; Fujii, A. Tuning of the Internal Energy and Isomer Distribution in Small Protonated Water Clusters H + (H2O) 4–8: An Application of the Inert Gas Messenger Technique. J. Phys. Chem. A 2012, 116, 4868–4877. [Google Scholar] [CrossRef]
- Bázár, G.; Romvári, R.; Szabó, A.; Somogyi, T.; Éles, V.; Tsenkova, R. NIR detection of honey adulteration reveals differences in water spectral pattern. Food Chem. 2016, 194, 873–880. [Google Scholar] [CrossRef]
- Kurashige, J.; Takaoka, K.; Takasago, M. State of Dissolved Water in Triglycerides as Determined by Fourier Transform Infrared and Near Infrared Spectroscopy. J. Jpn. Oil Chem. Soc. 1991, 40, 549–553. [Google Scholar] [CrossRef][Green Version]
- Hofmann, D.W.M.; Kuleshova, L.; D’Aguanno, B.; Di Noto, V.; Negro, E.; Conti, F.; Vittadello, M. Investigation of water structure in Nafion membranes by infrared spectroscopy and molecular dynamics simulation. J. Phys. Chem. B 2009, 113, 632–639. [Google Scholar] [CrossRef] [PubMed]
- Robertson, W.H.; Diken, E.G.; Price, E.A.; Shin, J.-W.; Johnson, M.A. Spectroscopic determination of the OH- solvation shell in the OH-.(H2O)n clusters. Science 2003, 299, 1367–1372. [Google Scholar] [CrossRef] [PubMed]
- Davis, J.G.; Gierszal, K.P.; Wang, P.; Ben-Amotz, D. Water structural transformation at molecular hydrophobic interfaces. Nature 2012, 491, 582–585. [Google Scholar] [CrossRef] [PubMed]
- Abd. el.aleem, S.; Heikal, M.; Morsi, W.M. Hydration characteristic, thermal expansion and microstructure of cement containing nano-silica. Constr. Build. Mater. 2014, 59, 151–160. [Google Scholar] [CrossRef]
- Okumura, M.; Yeh, L.I.; Myers, J.D.; Lee, Y.T. Infrared spectra of the solvated hydronium ion: Vibrational predissociation spectroscopy of mass-selected H3O+·(H2O)n·(H2)m. J. Phys. Chem. 1990, 94, 3416–3427. [Google Scholar] [CrossRef]
- Yeh, L.I.; Okumura, M.; Myers, J.D.; Price, J.M.; Lee, Y.T. Vibrational spectroscopy of the hydrated hydronium cluster ions H3O+·(H2O)n (n = 1, 2, 3). J. Chem. Phys. 1989, 91, 7319–7330. [Google Scholar] [CrossRef]
- Zhang, L.; Noda, I.; Czarnik-Matusewicz, B.; Wu, Y. Multivariate estimation between mid and near-infrared spectra of hexafluoroisopropanol-water mixtures. Anal. Sci. 2007, 23, 901–905. [Google Scholar] [CrossRef][Green Version]
- Iwahashi, M.; Suzuki, M.; Katayama, N.; Matsuzawa, H.; Czarnecki, M.A.; Ozaki, Y.; Wakisaka, A. Molecular self-assembling of butan-1-ol, butan-2-ol, and 2-methylpropan-2-ol in carbon tetrachloride solutions as observed by near-infrared spectroscopic measurements. Appl. Spectrosc. 2000, 54, 268–276. [Google Scholar] [CrossRef]
- Maeda, H.; Ozaki, Y.; Tanaka, M.; Hayashi, N.; Kojima, T. Near Infrared Spectroscopy and Chemometrics Studies of Temperature-Dependent Spectral Variations of Water: Relationship between Spectral Changes and Hydrogen Bonds. J. Near Infrared Spectrosc. 1995, 3, 191–201. [Google Scholar] [CrossRef]
- Shin, J.-W.; Hammer, N.I.; Diken, E.G.; Johnson, M.A.; Walters, R.S.; Jaeger, T.D.; Duncan, M.A.; Christie, R.A.; Jordan, K.D. Infrared Signature of Structures Associated with the H+(H2O)n (n = 6 to 27) Clusters. Science 2004, 304, 1137–1140. [Google Scholar] [CrossRef] [PubMed]
- Sagawa, N.; Shikata, T. Hydration Behavior of Poly(ethylene oxide)s in Aqueous Solution As Studied by Near-Infrared Spectroscopic Techniques. J. Phys. Chem. B 2013, 117, 10883–10888. [Google Scholar] [CrossRef] [PubMed]
- Czarnecki, M.A.; Morisawa, Y.; Katsumoto, Y.; Takaya, T.; Singh, S.; Sato, H.; Ozaki, Y. Solvent effect on the competition between weak and strong interactions in phenol solutions studied by near-infrared spectroscopy and DFT calculations. Phys. Chem. Chem. Phys. 2021, 23, 19188–19194. [Google Scholar] [CrossRef] [PubMed]
- Gotić, M.; Musić, S. Mössbauer, FT-IR and FE SEM investigation of iron oxides precipitated from FeSO4 solutions. J. Mol. Struct. 2007, 834–836, 445–453. [Google Scholar] [CrossRef]
- Frost, R.L.; Dickfos, M.J.; Čejka, J. Raman spectroscopic study of the uranyl carbonate mineral zellerite. J. Raman Spectrosc. 2008, 39, 582–586. [Google Scholar] [CrossRef]
- Bertie, J.E.; Whalley, E. Infrared spectra of ices II, III, and V in the range 4000 to 350 cm−1. J. Chem. Phys. 1964, 40, 1646–1659. [Google Scholar] [CrossRef]
- Solcaniova, E.; Kovac, S. Hydrogen Bonding in Phenols. IV. Intramolecular OH… n Hydrogen Bonds of Some Alkyl Derivatives. Chem. Zvesti 1969, 691, 687–691. [Google Scholar]
- Frost, R.L.; Scholz, R.; Lõpez, A. Raman and infrared spectroscopic characterization of the arsenate-bearing mineral tangdanite–and in comparison with the discredited mineral clinotyrolite. J. Raman Spectrosc. 2015, 46, 920–926. [Google Scholar] [CrossRef]
- Rémazeilles, C.; Refait, P. Fe(II) hydroxycarbonate Fe2(OH)2CO3 (chukanovite) as iron corrosion product: Synthesis and study by Fourier Transform Infrared Spectroscopy. Polyhedron 2009, 28, 749–756. [Google Scholar] [CrossRef]
- Litasov, K.; Ohtani, E. Systematic Study Of Hydrogen Incorporation Into Fe-bearing Wadsleyite and Water Storage Capacity Of The Transition Zone. AIP Conf. Proc. 2008, 987, 113. [Google Scholar] [CrossRef]
- Walker, A.M.; Demouchy, S.; Wright, K. Computer modelling of the energies and vibrational properties of hydroxyl groups in α- and β-Mg2SiO4. Eur. J. Mineral. 2006, 18, 529–543. [Google Scholar] [CrossRef]
- Shi, G.A.; Saboktakin, M.; Stavola, M.; Pearton, S.J. “Hidden hydrogen” in as-grown ZnO. Appl. Phys. Lett. 2004, 85, 5601. [Google Scholar] [CrossRef]
- Herklotz, F.; Chaplygin, I.; Lavrov, E.V.; Neiman, A.; Reeves, R.J.; Allen, M.W. Bistability of a hydrogen defect with a vibrational mode at 3326 cm−1 in ZnO. Phys. Rev. B 2019, 99, 115203. [Google Scholar] [CrossRef]
- Som, T.; Karmakar, B. Structure and properties of low-phonon antimony glasses and nano glass-ceramics in K2O–B2O3–Sb2O3 system. J. Non. Cryst. Solids 2010, 356, 987–999. [Google Scholar] [CrossRef]
- Wei, J.; Zhao, L.; Peng, S.; Shi, J.; Liu, Z.; Wen, W. Wettability of urea-doped TiO2 nanoparticles and their high electrorheological effects. J. Sol-Gel Sci. Technol. 2008, 47, 311–315. [Google Scholar] [CrossRef]
- Cai, C.B.; Tao, Y.Y.; Wang, B.; Wen, M.Q.; Yang, H.W.; Cheng, Y.J. Investigating the adsorption process of isoamyl alcohol vapor onto silica gel with near-infrared process analytical technology. Spectrosc. Lett. 2014, 48, 190–197. [Google Scholar] [CrossRef]
- Kakuda, H.; Okada, T.; Hasegawa, T. Temperature-Induced Molecular Structural Changes of Linear Poly(ethylene imine) in Water Studied by Mid-Infrared and Near-Infrared Spectroscopies. J. Phys. Chem. B 2009, 113, 13910–13916. [Google Scholar] [CrossRef]
- Rubenthaler, G.L.; Pomeranz, Y. Near-Infrared reflectance spectra of hard red winter wheats varying widely in protein content and breadmaking potential. Cereal Chem. 1987, 64, 407–411. [Google Scholar]
- Awatani, T.; Midorikawa, H.; Kojima, N.; Ye, J.; Marcott, C. Morphology of water transport channels and hydrophobic clusters in Nafion from high spatial resolution AFM-IR spectroscopy and imaging. Electrochem. Commun. 2013, 30, 5–8. [Google Scholar] [CrossRef]
- Frost, R.L.; Erickson, K.L.; Čejka, J.; Reddy, B.J. A Raman spectroscopic study of the uranyl sulphate mineral johannite. Spectrochim. Acta Part A Mol. Biomol. Spectrosc. 2005, 61, 2702–2707. [Google Scholar] [CrossRef]
- Wenz, J.J. Influence of steroids on hydrogen bonds in membranes assessed by near infrared spectroscopy. Biochim. Biophys. Acta—Biomembr. 2021, 1863, 183553. [Google Scholar] [CrossRef] [PubMed]
- Mastrapa, R.M.E.; Moore, M.H.; Hudson, R.L.; Ferrante, R.L.; Brown, R.H.; Mastrapa, R.M.E.; Moore, M.H.; Hudson, R.L.; Ferrante, R.L.; Brown, R.H. Proton Irradiation of Crystalline Water Ice: Timescales for Amorphization in the Kuiper Belt. DPS 2005, 37, 745. [Google Scholar]
- Parrott, L.J.; Geiker, M.; Gutteridge, W.A.; Killoh, D. Monitoring Portland cement hydration: Comparison of methods. Cem. Concr. Res. 1990, 20, 919–926. [Google Scholar] [CrossRef]
- Sha, W.; O’Neill, E.A.; Guo, Z. Differential scanning calorimetry study of ordinary Portland cement. Cem. Concr. Res. 1999, 29, 1487–1489. [Google Scholar] [CrossRef]
- Alarcon-Ruiz, L.; Platret, G.; Massieu, E.; Ehrlacher, A. The use of thermal analysis in assessing the effect of temperature on a cement paste. Cem. Concr. Res. 2005, 35, 609–613. [Google Scholar] [CrossRef]
- Swaddiwudhipong, S.; Chen, D.; Zhang, M.H. Simulation of the exothermic hydration process of Portland cement. Adv. Cem. Res. 2015, 14, 61–69. [Google Scholar] [CrossRef]
- Fu, Y.F.; Wong, Y.L.; Tang, C.A.; Poon, C.S. Thermal induced stress and associated cracking in cement-based composite at elevated temperatures––Part I: Thermal cracking around single inclusion. Cem. Concr. Compos. 2004, 26, 113–126. [Google Scholar] [CrossRef]
- Shui, Z.H.; Zhang, R.; Chen, W.; Xuan, D.X. Effects of mineral admixtures on the thermal expansion properties of hardened cement paste. Constr. Build. Mater. 2010, 24, 1761–1767. [Google Scholar] [CrossRef]
- Shimasaki, I.; Rokugo, K.; Morimoto, H. On thermal expansion coefficient of concrete at very early age. In Proceedings of International, Workshop on Control of Cracking in Early-Age Concrete; Tohoku University: Sendai, Japan, 1999. [Google Scholar]
- Ghabezloo, S.; Sulem, J.; Saint-Marc, J. The effect of undrained heating on a fluid-saturated hardened cement paste. Cem. Concr. Res. 2009, 39, 54–64. [Google Scholar] [CrossRef]
- Abbasnia, R.; Shekarchi, M.; Ahmadi, J. Evaluation of concrete drying shrinkage related to moisture loss. ACI Mater. J. 2013, 110, 269–277. [Google Scholar] [CrossRef]
- Parveen, S.; Rana, S.; Fangueiro, R. Macro- and nanodimensional plant fiber reinforcements for cementitious composites. In Sustainable and Nonconventional Construction Materials Using Inorganic Bonded Fiber Composites; Savastano Junior, H., Fiorelli, J., dos Santos, S.F., Eds.; Woodhead Publishing: Sawston, UK, 2017; pp. 343–382. [Google Scholar] [CrossRef]
- Larosche, C.J. Types and causes of cracking in concrete structures. Fail. Distress Repair Concr. Struct. 2009, 57–83. [Google Scholar] [CrossRef]
- Jianxia, S. Durability Design of Concrete Hydropower Structures. Compr. Renew. Energy 2012, 6, 377–403. [Google Scholar] [CrossRef]
- Demirboga, R.; Farhan, K.Z. Palm oil fuel ash (POFA). Sustainable Concrete Made with Ashes and Dust from Different Sources; Springer: Berlin/Heidelberg, Germany, 2022; pp. 279–330. [Google Scholar] [CrossRef]
- Muthukrishnan, S.; Gupta, S.; Kua, H.W. Application of rice husk biochar and thermally treated low silica rice husk ash to improve physical properties of cement mortar. Theor. Appl. Fract. Mech. 2019, 104, 102376. [Google Scholar] [CrossRef]
- Bagheri, A.R.; Alibabaie, M.; Babaie, M. Reduction in the permeability of plastic concrete for cut-off walls through utilization of silica fume. Constr. Build. Mater. 2008, 22, 1247–1252. [Google Scholar] [CrossRef]
- Bentz, D.P.; Jensen, O.M.; Coats, A.M.; Glasser, F.P. Influence of silica fume on diffusivity in cement-based materials: I. Experimental and computer modeling studies on cement pastes. Cem. Concr. Res. 2000, 30, 953–962. [Google Scholar] [CrossRef]
- Japanese Standards Association. (JSA). Japanese Industrial Standards (JIS) R 5201—Physical Testing Methods for Cement; Japanese Standards Association: Tokyo, Japan, 2019; p. 107. [Google Scholar]
- Dhanoa, M.S.; Barnes, R.J.; Lister, S.J. Standard Normal Variate Transformation and De-trending of Near-Infrared Diffuse Reflectance Spectra. Appl. Spectrosc. 1989, 43, 772–777. [Google Scholar]

















| Contained Elements (ppm) | Wdist | Wtap | Wshallow | Wmix |
|---|---|---|---|---|
| Li | 0.000 | 0.000 | 0.000 | 0.000 |
| B | 0.000 | 0.014 | 0.057 | 0.540 |
| Na | 0.000 | 13.220 | 17.340 | 39.300 |
| Mg | 0.002 | 2.074 | 4.364 | 12.105 |
| Al | 0.000 | 0.014 | 0.000 | 0.006 |
| Si | 0.000 | 2.870 | 24.400 | 20.570 |
| K | 0.000 | 2.234 | 1.679 | 3.094 |
| Ca | 0.107 | 11.315 | 11.555 | 28.750 |
| Ti | 0.000 | 0.000 | 0.000 | 0.000 |
| Mn | 0.000 | 0.000 | 0.001 | 0.108 |
| Fe | 0.000 | 0.013 | 0.001 | 0.006 |
| Cu | 0.000 | 0.000 | 0.006 | 0.000 |
| Zn | 0.000 | 0.003 | 0.012 | 0.002 |
| Sr | 0.000 | 0.526 | 0.133 | 0.273 |
| Ag | 0.000 | 0.000 | 0.000 | 0.000 |
| Ba | 0.000 | 0.012 | 0.019 | 0.046 |
| Mixing Water | PC1 (%) | PC2 (%) | PC1 and PC2 (%) |
|---|---|---|---|
| Wdist | 87.7 | 10.16 | 97.86 |
| Wtap | 91.06 | 7.57 | 98.63 |
| Wshallow | 88.53 | 7.22 | 95.75 |
| Wmix | 91.36 | 6.78 | 98.14 |
| Water | Interclass Distance Compared to the Day 0 | Discrimination Accuracy (%) | ||
|---|---|---|---|---|
| After 1 Day | After 3 Days | After 7 Days | ||
| Wtap | 10.392 | 6.342 | 5.191 | 91.03 |
| Wdist | 9.511 | 4.977 | 6.312 | 93.53 |
| Wshallow | 9.807 | 4.539 | 4.030 | 94.12 |
| Wmix | 8.945 | 6.471 | 7.204 | 98.18 |
| Day | Interclass Distance Range Min to Max | Discrimination Accuracy (%) |
|---|---|---|
| Day 0 | 0.319–0.606 | 82.64 |
| After 1 day | 0.244–2.056 | 88.33 |
| After 3 days | 0.256–1.589 | 94.36 |
| After 7 days | 0.244–1.013 | 91.68 |
| Absorbance Band [nm] | Assignment/Remark |
|---|---|
| 1342 | (1342.6 nm, 1st overt. of 3724 cm−1) proton hydrates [H+·(H2O)3]—H2O asymmetric stretch, 1st overt. [83] WAMACS C1: 1336–1348 nm: 1st overtone ν3 asymmetric stretch [51] |
| 1354 | (1353.18 nm, 1st over. of 3695 cm−1) two to four nonbonded OH stretches in 2 to 11 member cluster of hydrated proton [83] (1353.55 nm, 1st overt. of 3694 cm−1) free OH stretch (OH-·(H2O)2) [88] |
| 1366 | (1366.12 nm, 1st overt. of 3660 cm−1)—proton hydrates [H+·(H2O)2]—H2O asymmetric stretch [83] (1366.12 nm 1st overt. of 3660 cm−1) OH-stretch in (OH-·(H2O)2) [88] (1366.1 nm) Dangling -OH (non-hydrogen-bonded), 1st overt. [89] (1362 nm (7339 cm−1)) OH-coordinated with 1 or 2 Mg2+ on the corner and edge of the Mg(OH)2 surface [78] (1368 nm (7306 cm−1)) OH-coordinated with 3 Mg2+ [78] (1366 nm)—absorbance band of a compound highly correlated with hardness [79] WAMACS C2: 1360–1366 nm—water solvation shell OH-(H2O)1,2,4 [51] |
| 1379 | WAMACS C3: 1370–1376 nm—combination symmetric asymmetric stretch ν1+ ν3 [51] or WAMACS C4: 1380–1388 nm—water solvation shell OH-(H2O)1,4 [51] (1374 nm)—-OH group of Ca(OH)2 [90] (1373–1375 nm)—-OH of portlandite phase; this band is useful for diagnosis of the initiation of hydration process [90] (1379.31 nm, 1st overt. of 3625 cm−1)—proton oscillation, H2O symmetric stretch in H+·(H2O)6 [83] |
| 1385 | (1383.13 nm 1st overt. of 3615 cm−1)—H2O symmetric stretch in H+·(H2O)5 [83] (1383.13 nm, 1st overt. of 3615 cm−1) Interwater/Double donor stretch (OH- (H2O)4) [88] (1385.12 nm, 1st overt. of 3609.8 cm−1) H2O symmetric stretch in proton hydrate H+(H2O)4 [91] (1385.50 nm, 1st over. of 3608.8 cm−1) H2O symmetric stretch in proton hydrate H+(H2O)4 [92] WAMACS C4: 1380–1388 nm—water solvation shell OH-(H2O)1,4 [51] |
| 1391 | (1391.21 nm 1st overt. of 3594 cm−1) H2O symmetric stretch in proton hydrate H+(H2O)4 [91,92] or trapped water 1396–1403 nm [69] |
| 1397 | (1396.6 nm, 1st overt. of 3580 cm−1) proton hydrates [H+·(H2O)3]—H3O+ free-OH stretch, 1st overt. [83] (1397 nm (7158 cm−1))—1st overtone of the free OH group trapped in the hydrophobic interior [93] WAMACS C5: water confined in the local field of ions 1396–1403 nm [52,69] (1397.23 nm (7157 cm−1))—interlayer OH- (stacked between sheets of Mg(OH)2) [78] |
| 1410 | 1st overt. band of the OH stretching mode of free OH monomer [94] (1410.6 nm)—water species with no hydrogen bonds S0 [95] WAMACS C5: 1398–1418 nm—free water molecules S0 |
| 1428 | (1428.6 nm) isolated H3O+ -OH stretch vibration, 1st overt. [96] 1st overtone of the fundamental OH stretching vibration in water; the water molecules are condensed in one or more layers on sorption sites in the amorphous region; related to stiffness and strength [77] |
| 1441 | WAMACS C7: 1432–1444 nm—water molecules with 1 hydrogen bond S1 |
| 1447 | (1447 nm (6910 cm−1))—1st overt. of O−H stretching of the water OH hydrated to other water molecules (bulk state) [97] (1447.18 nm (6910 cm−1))—OH group involved in the OH⋯OH hydrogen bonding [98] (1447.18 nm, 1st overt. of 3445 cm−1)—stretching modes of surface H2O molecules or to an envelope of hydrogen-bonded surface OH groups [99] (1450.11 nm, 1st overt. of 3448 cm−1)—OH stretching vibrations of the water lattice in the hydrated calcium silicates and aluminosilicates (C–S–H and C–A–S–H) [90] WAMACS C8: 1448–1454 nm—solvation shell OH-(H2O)4,5 |
| 1460 | WAMACS C9: 1458–1468 nm—water molecules with 2 hydrogen bonds S2 |
| 1472 | (1470 nm)—chemically bound water in the hydrated calcium silicate phases [90] WAMACS C10: 1472–1482 nm—water molecules with 3 hydrogen bonds S3 |
| 1490 | WAMACS C11: 1482–1495 nm—water molecules with 4 hydrogen bonds S4 |
| 1503 | (1503.3 nm 1st overt. of 3326 cm−1)—OH stretching vibrations of hydrogen bonded water molecules participating in the crystal structure [100] (1503.3 nm 1st overt. of 3326 cm−1)—OH stretching vibration in Ice III [101] (1503.3 nm 1st overt. of 3326 cm−1)—strong intermolecular hydrogen bond [102] (1503.3 nm 1st overt. of 3326 cm−1)—water stretching vibrations in minerals, in connection with hydrogen defects (incorporation of hydrogen (protonation)) [103,104,105,106,107,108] |
| 1515 | WAMACS C12: 1506–1516 nm—combination of symmetric stretching and bending vibration ν1 + ν2, strongly bound water [51] |
| 1534 | (1534.21 nm, 1st overt. of 3259 cm−1)—hydrogen bonded hydroxyl groups (–O–Hδ+⋯Oδ−–) [109] (1534.21 nm, 1st overt. of 3259 cm−1)—the H–O stretching vibrations of the absorbent water [110] (1534.21 nm (6518 cm−1))—1st over. of hydrogen bonded O–H stretching [111] (1534.21 nm, 1st overt. of 3259 cm−1)—one of the 3 water stretching bands observed in carbonate mineral huanghoite by Raman spectroscopy (the other two being 1435 nm (3484 cm−1) and 1393 nm (3589 cm−1)) [103] (1534.21 nm, 1st overt. of 3259 cm−1)—sesquihydrate crystallite [112] (hydrate whose solid contains 3 molecules of water of crystallization per two molecules) (1534 nm)—one of 3 wavelengths used in multiple linear regression for predicting bread loaf volume (1506, 1534 and 1618 nm); measurement of some parameter related to volume independent of protein [113] |
| 1559 | (1557 nm) ionic bound water molecules 1st overt. [114] (1560 nm (3205 cm−1))—strongly hydrogen bonded water, water coordinated to cations [115] (1560 nm)—hydrogen bonded water [116] (1560 nm (6410 cm−1)) crystalline water ice feature [117] |
| Water | Collection Site | Characteristics |
|---|---|---|
| Wdist | — | High purity Wdist purified by ion exchange method and followed by distillation |
| Wtap | Osaka City, Osaka Prefecture, Japan | Tap water collected mainly from the surface water of Lake Biwa and purified at a water treatment facility |
| Wshallow | Water from the shallow underground source located at the dept of 40 m | Natural hot spring Yunosato, Hashimoto City, Wakayama Prefecture, Japan (https://www.spa-yunosato.com/yunosato_eng/ accessed on 1 November 2022) |
| Wmix | Water that is a blend of two types of spring waters (90% water from the shallow source located at 50 m depth and 10% water from the deep source at 1187 m depth) | Natural hot spring Yunosato, Hashimoto City, Wakayama Prefecture, Japan (https://www.spa-yunosato.com/yunosato_eng/ accessed on 1 November 2022); |
| Chemical Name | Maximum Content Allowed (%) |
|---|---|
| MgO | 5.0 |
| SO3 | 3.5 |
| Ignition Loss | 5.0 |
| Total alkali content | 0.75 |
| Chemical Name | Content (%) |
|---|---|
| SiO2 | 98.4 |
| Al2O3 | 0.4 |
| Fe2O3 | 0.4 |
| CaO | 0.2 |
| MgO | 0.00 |
| Na2O | 0.01 |
| K2O | 0.01 |
| Property | Value |
|---|---|
| Specific gravity in oven-dried condition | 2.64 |
| Sater absorption rate | 0.42% |
| Unit volume mass | 1.76 kg/L |
| Solid content | 66.7% |
Publisher’s Note: MDPI stays neutral with regard to jurisdictional claims in published maps and institutional affiliations. |
© 2022 by the authors. Licensee MDPI, Basel, Switzerland. This article is an open access article distributed under the terms and conditions of the Creative Commons Attribution (CC BY) license (https://creativecommons.org/licenses/by/4.0/).
Share and Cite
Muncan, J.; Tamura, S.; Nakamura, Y.; Takigawa, M.; Tsunokake, H.; Tsenkova, R. Aquaphotomic Study of Effects of Different Mixing Waters on the Properties of Cement Mortar. Molecules 2022, 27, 7885. https://doi.org/10.3390/molecules27227885
Muncan J, Tamura S, Nakamura Y, Takigawa M, Tsunokake H, Tsenkova R. Aquaphotomic Study of Effects of Different Mixing Waters on the Properties of Cement Mortar. Molecules. 2022; 27(22):7885. https://doi.org/10.3390/molecules27227885
Chicago/Turabian StyleMuncan, Jelena, Satoshi Tamura, Yuri Nakamura, Mizuki Takigawa, Hisao Tsunokake, and Roumiana Tsenkova. 2022. "Aquaphotomic Study of Effects of Different Mixing Waters on the Properties of Cement Mortar" Molecules 27, no. 22: 7885. https://doi.org/10.3390/molecules27227885
APA StyleMuncan, J., Tamura, S., Nakamura, Y., Takigawa, M., Tsunokake, H., & Tsenkova, R. (2022). Aquaphotomic Study of Effects of Different Mixing Waters on the Properties of Cement Mortar. Molecules, 27(22), 7885. https://doi.org/10.3390/molecules27227885

