2-Imidazoline Nitroxide Derivatives of Cymantrene
Abstract
1. Introduction
2. Results and Discussion
3. Materials and Methods
3.1. General Procedures
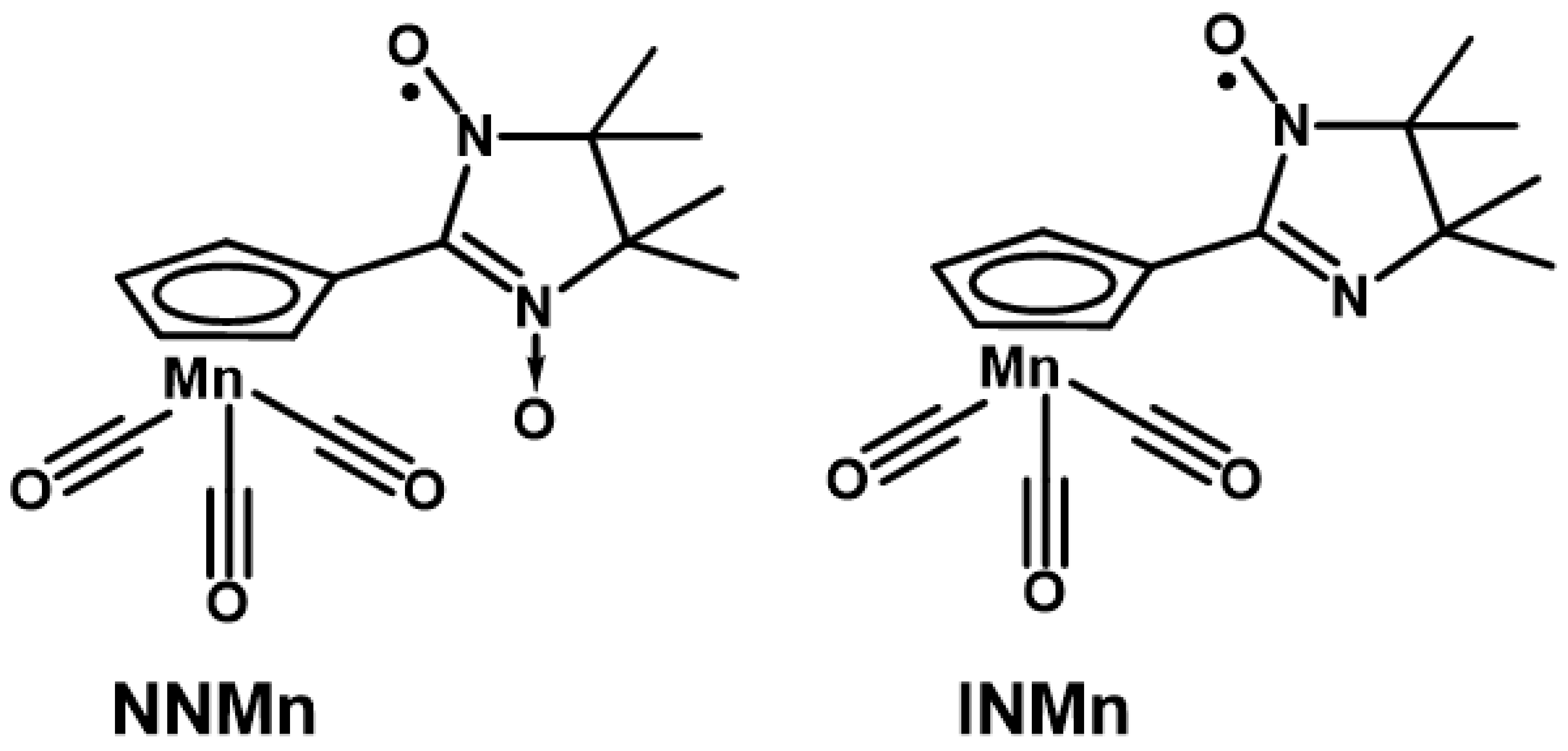
3.2. Synthesis of Spin-Labeled Cymantrenes (Scheme 3)
- 2-(η5-cyclopentadienyl)tricarbonylmanganese(I)-4,4,5,5-tetramethyl-4,5-dihydro-1H-imidazole-3-oxide-1-oxyl (NNMn). The mixture of freshly obtained [(CHOCp)Mn(CO)3] (0.580 g; 2.50 mmol) and BHA (0.555 g; 3.75 mmol) in dry EtOH (10 mL) was kept under Ar at room temperature for 72 h. Then, EtOH was evaporated, and the colorless residue was purified by column chromatography (Al2O3 1.5 × 15 cm, Et2O as an eluent). After evaporation it was dried in a vacuum to obtain 0.760 g whitish powder of 2-(η5-cyclopentadienyl)tricarbonylmanganese(I)-4,4,5,5-tetramethylimidazolidine-1,3-diole (BHAMn). MnO2 (1.00 g) was added to a solution of BHAMn (0.760 g) in toluene (~15 mL) and the mixture was stirred for ~40 min at the 20 °C water bath. Then, the resultant dark-blue solution was filtered, the filtrate was evaporated, and the residue was purified by column chromatography (Al2O3 1.5 × 15 cm, Et2O as an eluent). Gradual concentration of an Et2O:n-C6H14 = 1:5 solution by solvents evaporation from open flask at 15 °C gave aggregates of dark-blue elongated prismatic crystals. Yield: 0.570 g (75% per [(CHOCp)Mn(CO)3)]. Rf ~0.50 (Et2O) on the Aluminium oxide N/UV254 plates. NNMn is soluble in aromatic hydrocarbons, halogen-substituted hydrocarbons, acetone, Et2O and alcohols, moderately soluble in saturated hydrocarbons, and insoluble in water. IR spectrum (KBr) ν: 2994, 2023, 1934, 1560, 1453, 1429, 1398, 1372, 1143, 1037, 869, 631, 542 cm−1. Mp 139–141 °C (decomp). Found (%): C, 50.22; H, 4.83; N, 7.75. Calculated for C15H16MnN2O5 (%): C, 50.15; H, 4.49; N, 7.80.
- 2-(η5-cyclopentadienyl)tricarbonylmanganese(I)-4,4,5,5-tetramethyl-4,5-dihydro-1H-imidazole-1-oxyl (INMn). Oxidation of the condensation product of [(CHOCp)Mn(CO)3] (0.235 g; 1.01 mmol) and BHA (0.300 g; 2.03 mmol) omitting its purification by column chromatography resulted in INMn as a main product and NNMn as an admixture. INMn was separated by column chromatography (Al2O3 1.5 × 15 cm, Et2O as an eluent) and recrystallized from an Et2O:n-C6H14 mixture. Yield: 0.073 g (25% per [(CHOCp)Mn(CO)3]), orange elongated plates. INMn soluble in aromatic hydrocarbons, halogen-substituted hydrocarbons, saturated hydrocarbons, acetone, Et2O, alcohols, insoluble in water. Rf ~0.95 (Et2O) on the Aluminium oxide N/UV254 plates. Mp 89–92 °C (decomp). IR spectrum (KBr) ν: 2982, 2023, 1933, 1587, 1437, 1413, 1377, 1165, 1038, 843, 633, 542 cm−1. Found (%): C, 52.47; H, 4.65; N, 8.11. Calculated for C15H16MnN2O5 (%): C, 52.49; H, 4.70; N, 8.16.

3.3. Single Crystals X-ray Crystallography
3.4. Variable-Temperature SQUID Magnetometry
3.5. Quantum-Chemical Calculations
3.6. EPR Spectroscopy
3.7. Cyclic Voltammetry
Supplementary Materials
Author Contributions
Funding
Institutional Review Board Statement
Informed Consent Statement
Data Availability Statement
Conflicts of Interest
Sample Availability
References
- Ovcharenko, V. 13. Metal-Nitroxide Complexes: Synthesis and Magnetostructural Correlations. In Radicals: Fundamentals and Applied Aspects of Odd Electron Compounds; Hicks, R.G., Ed.; John Wiley & Sons, Ltd.: Hoboken, NJ, USA, 2010; pp. 461–506. [Google Scholar]
- Tretyakov, E.V.; Ovcharenko, V.I.; Terent’ev, A.O.; Krylov, I.B.; Magdesieva, T.V.; Mazhukin, D.G.; Gritsan, N.P. Conjugated nitroxides. Russ. Chem. Rev. 2022, 91, RCR5025. [Google Scholar] [CrossRef]
- Tretyakov, E.V.; Ovcharenko, V.I. The chemistry of nitroxide radicals in the molecular design of magnets. Russ. Chem. Rev. 2009, 78, 971–1012. [Google Scholar] [CrossRef]
- Boocock, D.G.B.; Darcy, R.; Ullman, E.F. Studies of Free Radicals. II. Chemical Properties of Nitronylnitroxides. A Unique Radical Anion. J. Am. Chem. Soc. 1968, 90, 5945–5946. [Google Scholar] [CrossRef]
- Tretyakov, E.V.; Romanenko, G.V.; Stass, D.V.; Mareev, A.V.; Medvedeva, A.S.; Ovcharenko, V.I. Key influence of the nature of the substituent in the propynal molecule on the outcome of its reaction with vicinal di(N-hydroxyamine). Russ. Chem. Bull. 2008, 57, 601–607. [Google Scholar] [CrossRef]
- Ovcharenko, V.I.; Chupakhin, O.N.; Kovalev, I.S.; Tretyakov, E.V.; Romanenko, G.V.; Stass, D.V. SNH Reaction of lithiated nitronyl nitroxide with quinoline N-oxide. Russ. Chem. Bull. 2008, 57, 2227–2229. [Google Scholar] [CrossRef]
- Suzuki, S.; Furui, T.; Kuratsu, M.; Kozaki, M.; Shiomi, D.; Sato, K.; Takui, T.; Okada, K. Nitroxide-Substituted Nitronyl Nitroxide and Iminonitroxide. J. Am. Chem. Soc. 2010, 132, 15908–15910. [Google Scholar] [CrossRef]
- Tretyakov, E.V.; Tolstikov, S.E.; Romanenko, G.V.; Bogomyakov, A.S.; Stass, D.V.; Maryasov, A.G.; Gritsan, N.P.; Ovcharenko, V.I. Method for the synthesis of a stable heteroatom analog of trimethylenemethane. Russ. Chem. Bull. 2011, 60, 2608–2612. [Google Scholar] [CrossRef]
- Tsujimoto, H.; Suzuki, S.; Kozaki, M.; Shiomi, D.; Sato, K.; Takui, T.; Okada, K. Synthesis and Magnetic Properties of (Pyrrolidin-1-oxyl)–(Nitronyl Nitroxide)/(Iminonitroxide)-Dyads. Chem. Asian J. 2019, 14, 1801–1806. [Google Scholar] [CrossRef] [PubMed]
- Kumagai, T.; Suzuki, S.; Kanzaki, Y.; Shiomi, D.; Sato, K.; Takui, T.; Tanaka, R.; Okada, K.; Kozaki, M. Heteroatom-incorporated Trimethylenemethane: Synthesis and Properties of Triphenylphenylnitroxide-(Nitronyl Nitroxide) Dyad. Chem. Lett. 2022, 51, 458–460. [Google Scholar] [CrossRef]
- Zhang, X.; Suzuki, S.; Kozaki, M.; Okada, K. NCN Pincer−Pt Complexes Coordinated by (Nitronyl Nitroxide)-2-ide Radical Anion. J. Am. Chem. Soc. 2012, 134, 17866–17868. [Google Scholar] [CrossRef]
- Tanimoto, R.; Suzuki, S.; Kozaki, M.; Okada, K. Nitronyl Nitroxide as a Coupling Partner: Pd-Mediated Cross-coupling of (Nitronyl nitroxide-2-ido)(triphenylphosphine)gold(I) with Aryl Halides. Chem. Lett. 2014, 43, 678–680. [Google Scholar] [CrossRef]
- Suzuki, S.; Kira, S.; Kozaki, M.; Yamamura, M.; Hasegawa, T.; Nabeshima, T.; Okada, K. An efficient synthetic method for organometallic radicals: Structures and properties of gold(I)-(nitronyl nitroxide)-2-ide complexes. Dalton Trans. 2017, 46, 2653–2659. [Google Scholar] [CrossRef] [PubMed]
- Haraguchi, M.; Tretyakov, E.; Gritsan, N.; Romanenko, G.; Gorbunov, D.; Bogomyakov, A.; Maryunina, K.; Suzuki, S.; Kozaki, M.; Shiomi, D.; et al. (Azulene-1,3-diyl)-bis(nitronyl nitroxide) and bis(iminonitroxide) and Their Copper Complexes. Chem. Asian J. 2017, 12, 2929–2941. [Google Scholar] [CrossRef]
- Slota, M.; Keerthi, A.; Myers, W.K.; Tretyakov, E.; Baumgarten, M.; Ardavan, A.; Sadeghi, H.; Lambert, C.J.; Narita, A.; Müllen, K.; et al. Magnetic edge states and coherent manipulation of graphene nanoribbons. Nature 2018, 557, 691–695. [Google Scholar] [CrossRef]
- Shu, C.; Pink, M.; Junghoefer, T.; Nadler, E.; Rajca, S.; Casu, M.B.; Rajca, A. Synthesis and Thin Films of Thermally Robust Quartet (S = 3/2) Ground State Triradical. J. Am. Chem. Soc. 2021, 143, 5508–5518. [Google Scholar] [CrossRef]
- Tretyakov, E.V.; Zhivetyeva, S.I.; Petunin, P.V.; Gorbunov, D.E.; Gritsan, N.P.; Bagryanskaya, I.Y.; Bogomyakov, A.S.; Postnikov, P.S.; Kazantsev, M.S.; Trusova, M.E.; et al. Ferromagnetically Coupled S = 1 Chains in Crystals of Verdazyl-Nitronyl Nitroxide Diradicals. Angew. Chem. Int. Ed. 2020, 59, 20704–20710. [Google Scholar] [CrossRef] [PubMed]
- Weiss, R.; Kraut, N. Dinitroxide Carbenes, A New Class of Carbenes with Autoumpolung Character: Preparation in Solution and Stabilization in Transition Metal Complexes. Angew. Chem. Int. Ed. 2002, 41, 311–314. [Google Scholar] [CrossRef]
- Fokin, S.V.; Romanenko, G.V.; Baumgarten, M.; Ovcharenko, V.I. Crystal structure of Cu(hfac)2 complexes with organomercury binitroxide. J. Struct. Chem. 2003, 44, 864–869. [Google Scholar] [CrossRef]
- Tanimoto, R.; Yamada, K.; Suzuki, S.; Kozaki, M.; Okada, K. Group 11 Metal Complexes Coordinated by the (Nitronyl Nitroxide)-2-ide Radical Anion: Facile Oxidation of Stable Radicals Controlled by Metal–Carbon Bonds in Radical Metalloids. Eur. J. Inorg. Chem. 2018, 1198–1203. [Google Scholar] [CrossRef]
- Suzuki, S.; Wada, T.; Tanimoto, R.; Kozaki, M.; Shiomi, D.; Sugisaki, K.; Sato, K.; Takui, T.; Miyake, Y.; Hosokoshi, Y.; et al. Cyclic Triradicals Composed of Iminonitroxide–Gold(I) with Intramolecular Ferromagnetic Interactions. Angew. Chem. Int. Ed. 2016, 55, 10791–10794. [Google Scholar] [CrossRef]
- Kira, S.; Miyamae, T.; Yoshida, K.; Kanzaki, Y.; Sugisaki, K.; Shiomi, D.; Sato, K.; Takui, T.; Suzuki, S.; Kozaki, M.; et al. Aurophilic Interactions in Multi-Radical Species: Electronic-Spin and Redox Properties of Bis- and Tris-[(Nitronyl Nitroxide)-Gold(I)] Complexes with Phosphine-Ligand Scaffolds. Chem. Eur. J. 2021, 27, 11450–11457. [Google Scholar] [CrossRef] [PubMed]
- Tanimoto, R.; Wada, T.; Okada, K.; Shiomi, D.; Sato, K.; Takui, T.; Suzuki, S.; Naota, T.; Kozaki, M. A Molecule Having 13 Unpaired Electrons: Magnetic Property of a Gadolinium(III) Complex Coordinated with Six Nitronyl Nitroxide Radicals. Inorg. Chem. 2022, 61, 3018–3023. [Google Scholar] [CrossRef] [PubMed]
- Kokhanov, Y.V.; Rozantsev, É.G.; Nikolenko, L.N.; Maksimova, L.A. Synthesis of some hetrocyclic radicals of the iminoxyl class. Chem. Heterocycl. Compd. 1971, 7, 1421–1423. [Google Scholar] [CrossRef]
- Rendina, L.M.; Vittal, J.J.; Puddephatt, R.J. Stable Organoplatinum(IV) Complexes with Pendant Free Radicals. Organometallics 1995, 14, 2188–2193. [Google Scholar] [CrossRef]
- Stroh, C.; Mayor, M.; von Hänisch, C.; Turek, P. Intramolecular exchange interaction in twofold spin-labelled platinum complexes. Chem. Commun. 2004, 18, 2050–2051. [Google Scholar] [CrossRef]
- Jiang, W.-L.; Peng, Z.; Huang, B.; Zhao, X.-L.; Sun, D.; Shi, X.; Yang, H.-B. TEMPO Radical-Functionalized Supramolecular Coordination Complexes with Controllable Spin−Spin Interactions. J. Am. Chem. Soc. 2021, 143, 433–441. [Google Scholar] [CrossRef]
- Forrester, A.R.; Hepburn, S.P.; Dunlop, R.S.; Mills, H.H. t-Butylferrocenylnitroxide, a Stable Ferrocenyl Radical. J. Chem. Soc. D 1969, 13, 698–699. [Google Scholar] [CrossRef]
- Owtscharenko, W.I.; Huber, W.; Schwarzhans, K.E. Synthesis of 4,4,5,5-Tetramethyl-3-oxide-2-ferrocenyl-imidazoline-1-oxyl. Zeitschrift für Naturforschung B 1986, 41, 1587–1588. [Google Scholar] [CrossRef]
- Owtscharenko, W.I.; Huber, W.; Schwarzhans, K.E. Synthesis of a spinlabel-ferrocene. Monatsh. Chem. 1987, 118, 955–957. [Google Scholar] [CrossRef]
- Sporer, C.; Ruiz-Molina, D.; Wurst, K.; Kopacka, H.; Veciana, J.; Jaitner, P. Ferrocene substituted nitronyl nitroxide and imino nitroxide radicals. Synthesis, X-ray structure and magnetic properties. J. Organomet. Chem. 2001, 637–639, 507–513. [Google Scholar] [CrossRef]
- Jürgens, O.; Vidal-Gancedo, J.; Rovira, C.; Wurst, K.; Sporer, C.; Bildstein, B.; Schottenberger, H.; Jaitner, P.; Veciana, J. Transmission of Magnetic Interactions through an Organometallic Coupler: A Novel Family of Metallocene-Substituted α-Nitronyl Aminoxyl Radicals. Inorg. Chem. 1998, 37, 4547–4558. [Google Scholar] [CrossRef] [PubMed]
- Suzuki, S.; Mochida, T.; Moriyama, H. Structure and Magnetic Properties of Biferrocenyl Nitronyl Nitroxide Radicals. Mol. Cryst. Liq. Cryst. 2000, 343, 211–214. [Google Scholar] [CrossRef]
- Le Poul, P.; Caro, B.; Cabon, N.; Guen, F.R.-L.; Golhen, S. Synthesis and characterization of novel nitroxide organometallic Fischer-type carbene complexes. J. Organomet. Chem. 2013, 745–746, 57–63. [Google Scholar] [CrossRef]
- Nakamura, Y.; Koga, N.; Iwamura, H. Synthesis and Characterization of 2-Ferrocenyl-4,4,5,5-tetramethyl-2-imidazolin-1-oxyl 3-Oxide and Its CT-Complex with DDQ. Chem. Lett. 1991, 20, 69–72. [Google Scholar] [CrossRef]
- Gurskaya, L.Y.; Polienko, Y.F.; Rybalova, T.V.; Gritsan, N.P.; Dmitriev, A.A.; Kazantsev, M.S.; Zaytseva, E.V.; Parkhomenko, D.A.; Beregovaya, I.V.; Zakabluk, G.A.; et al. Multispin Systems with a Rigid Ferrocene-1,1’-diylSubstituted 1,3-Diazetidine-2,4-diimine Coupler: A General Approach. Eur. J. Org. Chem. 2022, e202101234. [Google Scholar] [CrossRef]
- Yi, S.; Captain, B.; Ottaviani, M.F.; Kaifer, A.E. Controlling the Extent of Spin Exchange Coupling in 2,2,6,6-Tetramethylpiperidine-1-oxyl (TEMPO) Biradicals via Molecular Recognition with Cucurbit[n]uril Hosts. Langmuir 2011, 27, 5624–5632. [Google Scholar] [CrossRef]
- Fujiwara, K.; Akutsu, H.; Yamada, J.; Satoh, M.; Nakatsuji, S. Structures and charge–discharge properties of spin-carrying ferrocene derivatives. Tetrahedron Lett. 2011, 52, 6655–6658. [Google Scholar] [CrossRef]
- Nakatsuji, S.; Fujiwara, K.; Akutsu, H.; Yamada, J.; Satoh, M. Structures and properties of ferrocene derivatives with different kinds of nitroxide radicals. New J. Chem. 2013, 37, 2468–2472. [Google Scholar] [CrossRef]
- Qiu, X.; Zhao, H.; Lan, M. Novel ferrocenyl nitroxides: Synthesis, structures, electrochemistry and antioxidative activity. J. Organomet. Chem. 2009, 694, 3958–3964. [Google Scholar] [CrossRef]
- Maryunina, K.; Letyagin, G.; Bogomyakov, A.; Morozov, V.; Tumanov, S.; Veber, S.; Fedin, M.; Saverina, E.; Syroeshkin, M.; Egorov, M.; et al. Re(I)-nitroxide complexes. RSC Adv. 2021, 11, 19902–19907. [Google Scholar] [CrossRef]
- Bauer, E.B.; Haase, A.A.; Reich, R.M.; Crans, D.C.; Kühn, F.E. Organometallic and coordination rhenium compounds and their potential in cancer therapy. Coord. Chem. Rev. 2019, 393, 79–117. [Google Scholar] [CrossRef]
- Lepareur, N.; Lacoeuille, F.; Bouvry, C.; Hindré, F.; Garcion, E.; Chérel, M.; Noiret, N.; Garin, E.; Knapp, F.F.R. Rhenium-188 Labeled Radiopharmaceuticals: Current Clinical Applications in Oncology and Promising Perspectives. Front. Med. 2019, 6, 132. [Google Scholar] [CrossRef] [PubMed]
- Ovcharenko, V.I.; Fursova, E.Y.; Tolstikova, T.G.; Sorokina, K.N.; Letyagin, A.Y.; Savelov, A.A. Imidazol-4-yl 2-Imidazoline Nitroxide Radicals, a New Class of Promising Contrast Agents for Magnetic Resonance Imaging. Dokl. Chem. 2005, 404, 171–173. [Google Scholar] [CrossRef]
- Artyukhova, N.A.; Romanenko, G.V.; Fursova, E.Y.; Ovcharenko, V.I. Method of producing nitronylnitroxyl radical 2-(5-methyl-1N-imidazole-4-yl)-4,5-bis(spiropentane)-4,5-dihydro-1N-imidazol-3-oxid-1-oxyl. Patent RF RU2642468C2, 25 January 2018. [Google Scholar]
- Jabłoński, A.; Matczak, K.; Koceva-Chyła, A.; Durka, K.; Steverding, D.; Jakubiec-Krześniak, K.; Solecka, J.; Trzybiński, D.; Woźniak, K.; Andreu, V.; et al. Cymantrenyl-Nucleobases: Synthesis, Anticancer, Antitrypanosomal and Antimicrobial Activity Studies. Molecules 2017, 22, 2220. [Google Scholar] [CrossRef]
- Huentupil, Y.; Chung, P.; Novoa, N.; Arancibia, R.; Roussel, P.; Oyarzo, J.; Klahn, A.H.; Silva, C.P.; Calvis, C.; Messeguer, R.; et al. Novel multifunctional and multitarget homo-(Fe2) and heterobimetallic-[(Fe,M) with M = Re or Mn] sulfonyl hydrazones. Dalton Trans. 2020, 49, 12249–12265. [Google Scholar] [CrossRef] [PubMed]
- Cambridge Structural Database; Version 5.43; University of Cambridge: Cambridge, UK, 2021.
- Boča, R. A Handbook of Magnetochemical Formulae; Elsevier Inc.: Amsterdam, The Netherlands, 2012; 1010p. [Google Scholar]
- Giannozzi, P.; Baroni, S.; Bonini, N.; Calandra, M.; Car, R.; Cavazzoni, C.; Ceresoli, D.; Chiarotti, G.L.; Cococcioni, M.; Dabo, I.; et al. QUANTUM ESPRESSO: A modular and open-source software project for quantum simulations of materials. J. Phys. Condens. Matter. 2009, 21, 395502. [Google Scholar] [CrossRef]
- Stoll, S.; Schweiger, A. EasySpin, a comprehensive software package for spectral simulation and analysis in EPR. J. Magn. Reson. 2006, 178, 42–55. [Google Scholar] [CrossRef] [PubMed]
- Mendkovich, A.S.; Luzhkov, V.B.; Syroeshkin, M.A.; Sen’, V.D.; Khartsii, D.I.; Rusakov, A.I. Influence of the nature of solvent and substituents on the oxidation potential of 2,2,6,6-tetramethylpiperidine 1-oxyl derivatives. Russ. Chem. Bull. 2017, 66, 683–689. [Google Scholar] [CrossRef]
- Neese, F.; Wennmohs, F.; Becker, U.; Riplinger, C. The ORCA quantum chemistry program package. J. Chem. Phys. 2020, 152, 224108. [Google Scholar] [CrossRef]
- Ovcharenko, V.I.; Fokin, S.V.; Romanenko, G.V.; Korobkov, I.V.; Rey, P. Synthesis of vicinal bishydroxylamine. Russ. Chem. Bull. 1999, 48, 1519–1525. [Google Scholar] [CrossRef]
- Kolobova, N.E.; Valueva, Z.P.; Solodova, M.Y. Synthesis of formylcyclopentadienyltricarbonylrhenium and some of its properties. Russ. Chem. Bull. 1980, 29, 1701–1705. [Google Scholar] [CrossRef]
- Heldt, J.-M.; Fischer-Durand, N.; Salmain, M.; Vessières, A.; Jaouen, G. Preparation and characterization of poly(amidoamine) dendrimers functionalized with a rhenium carbonyl complex and PEG as new IR probes for carbonyl metallo immunoassay. J. Organomet. Chem. 2004, 689, 25–4775. [Google Scholar] [CrossRef]
- Perrin, D.D.; Armarego, W.L.F.; Perrin, D.R. Purification of Laboratory Chemicals; Pergamon Press: Oxford, UK, 1980. [Google Scholar]
- Boudreaux, E.A.; Mulay, L.N. Theory and Application of Molecular Paramagnetism; John Wiley & Sons: New York, NY, USA, 1976; 491p. [Google Scholar]
- Shoji, M.; Koizumi, K.; Kitagawa, Y.; Kawakami, T.; Yamanaka, S.; Okumura, M.; Yamaguchi, K. A general algorithm for calculation of Heisenberg exchange integrals J in multispin systems. Chem. Phys. Lett. 2006, 432, 343–347. [Google Scholar] [CrossRef]
- Streltsov, S.V.; Petrova, M.V.; Morozov, V.A.; Romanenko, G.V.; Anisimov, V.I.; Lukzen, N.N. Interplay between lattice, orbital, and magnetic degrees of freedom in the chain-polymer Cu(II) breathing crystals. Phys. Rev. B 2013, 87, 024425. [Google Scholar] [CrossRef]
- Monkhorst, H.J.; Pack, J.D. Special points for Brillouin-zone integrations. Phys. Rev. B 1976, 13, 5188–5192. [Google Scholar] [CrossRef]
- Dudarev, S.L.; Botton, G.A.; Savrasov, S.Y.; Humphreys, C.J.; Sutton, A.P. Electron-energy-loss spectra and the structural stability of nickel oxide: An LSDA+U study. Phys. Rev. B 1998, 57, 1505–1509. [Google Scholar] [CrossRef]
- Nakamura, K.; Arita, R.; Yoshimoto, Y.; Tsuneyuki, S. First-principles calculation of effective onsite Coulomb interactions of 3d transition metals: Constrained local density functional approach with maximally localized Wannier functions. Phys. Rev. B 2006, 74, 235113. [Google Scholar] [CrossRef]
- Morozov, V.A.; Petrova, M.V.; Lukzen, N.N. Exchange coupling transformations in Cu (II) heterospin complexes of “breathing crystals” under structural phase transitions. AIP Adv. 2015, 5, 087161. [Google Scholar] [CrossRef]
- Sen’, V.D.; Tikhonov, I.V.; Borodin, L.I.; Pliss, E.M.; Golubev, V.A.; Syroeshkin, M.A.; Rusakov, A.I. Kinetics and thermodynamics of reversible disproportionation–comproportionation in redox triad oxoammonium cations–nitroxyl radicals–hydroxylamines. J. Phys. Org. Chem. 2015, 28, 17–24. [Google Scholar] [CrossRef]





Publisher’s Note: MDPI stays neutral with regard to jurisdictional claims in published maps and institutional affiliations. |
© 2022 by the authors. Licensee MDPI, Basel, Switzerland. This article is an open access article distributed under the terms and conditions of the Creative Commons Attribution (CC BY) license (https://creativecommons.org/licenses/by/4.0/).
Share and Cite
Maryunina, K.; Letyagin, G.; Romanenko, G.; Bogomyakov, A.; Morozov, V.; Tumanov, S.; Veber, S.; Fedin, M.; Saverina, E.; Syroeshkin, M.; et al. 2-Imidazoline Nitroxide Derivatives of Cymantrene. Molecules 2022, 27, 7545. https://doi.org/10.3390/molecules27217545
Maryunina K, Letyagin G, Romanenko G, Bogomyakov A, Morozov V, Tumanov S, Veber S, Fedin M, Saverina E, Syroeshkin M, et al. 2-Imidazoline Nitroxide Derivatives of Cymantrene. Molecules. 2022; 27(21):7545. https://doi.org/10.3390/molecules27217545
Chicago/Turabian StyleMaryunina, Kseniya, Gleb Letyagin, Galina Romanenko, Artem Bogomyakov, Vitaly Morozov, Sergey Tumanov, Sergey Veber, Matvey Fedin, Evgeniya Saverina, Mikhail Syroeshkin, and et al. 2022. "2-Imidazoline Nitroxide Derivatives of Cymantrene" Molecules 27, no. 21: 7545. https://doi.org/10.3390/molecules27217545
APA StyleMaryunina, K., Letyagin, G., Romanenko, G., Bogomyakov, A., Morozov, V., Tumanov, S., Veber, S., Fedin, M., Saverina, E., Syroeshkin, M., Egorov, M., & Ovcharenko, V. (2022). 2-Imidazoline Nitroxide Derivatives of Cymantrene. Molecules, 27(21), 7545. https://doi.org/10.3390/molecules27217545

