Biological Properties of Latex, Aqueous Extracts and Bee Products of Euphorbia officinarum L.: A Short Review
Abstract
1. Introduction
2. Secondary Metabolites Isolated from Euphorbia officinarum L. of Morocco
3. Biosynthesis of Diterpenes, Triterpenes and Sterols
4. Hemisynthesis of Triterpene Derivatives Isolated from E. officinarum Latex and Their Biological Properties
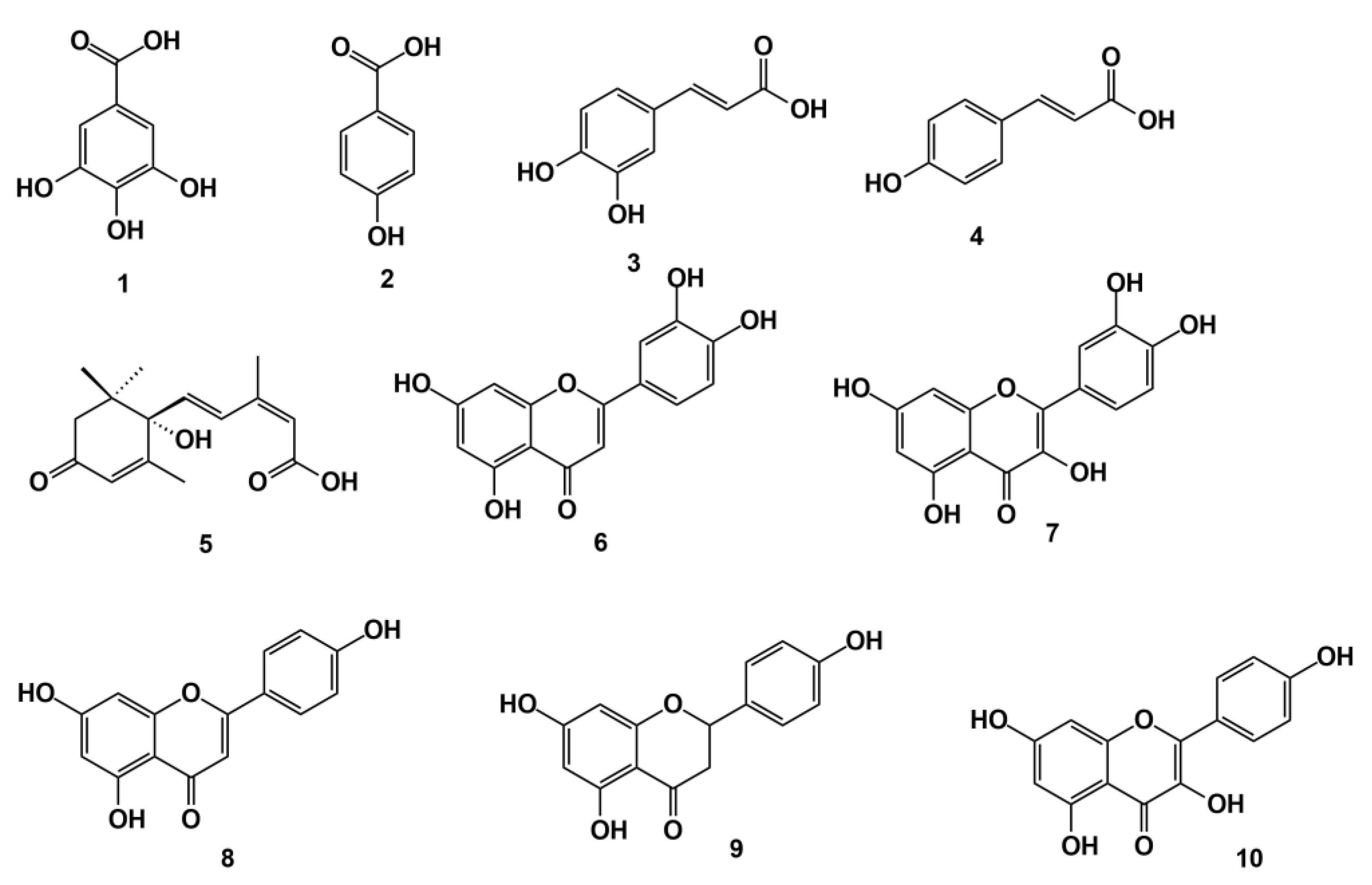
5. Extracts and Bee Products from Euphorbia Origin
6. Conclusions
Author Contributions
Funding
Institutional Review Board Statement
Informed Consent Statement
Data Availability Statement
Conflicts of Interest
References
- Chamkhi, I.; Hnini, M.; Aurag, J. Conventional medicinal uses, phytoconstituents, and biological activities of Euphorbia officinarum L.: A systematic review. Adv. Pharmacol. Pharm. Sci. 2022, 2022, 1–9. [Google Scholar] [CrossRef] [PubMed]
- Daoubi, M.; Marquez, N.; Mazoir, N.; Benharref, A.; Hernández-Galán, R.; Muñoz, E.; Collado, I.G. Isolation of new phenylacetylingol derivatives that reactivate HIV-1 latency and a novel spirotriterpenoid from Euphorbia officinarum latex. Bioorg. Med. Chem. 2007, 15, 4577–4584. [Google Scholar] [CrossRef] [PubMed]
- Binoj Kumar, M.S.; Balakrishan, N.P. Ethnobotanical studies of the genus Euphorbia L. (Euphorbiaceae). J. Econ. Taxon. Bot. Addit. Ser. 1996, 12, 46–49. [Google Scholar]
- The Plant List. Available online: http://www.theplantlist.org/tpl1.1/record/kew-81211 (accessed on 12 September 2022).
- Singh, A.; Singh, M.K.; Singh, R. Traditional medicinal flora of the district Buxar (Bihar, India). J. Pharmacogn. Phytochem. 2013, 2, 41–49. [Google Scholar]
- Mackonochie, M.; Heinrich, M. Materia medica chests: Investigating the 19th century use of botanicals by different medical professions. J. Herb. Med. 2019, 16, 100255. [Google Scholar] [CrossRef]
- Ouhaddou, H.; Alaoui, A.; Laaribya, S.; Ayan, S. Ethnobotanical survey of medicinal plants used for treating diabetes in Agadir Ida Outaname region, Southwestern Morocco. Arab. J. Med. Aromat. Plants 2020, 6, 72–86. [Google Scholar]
- Abouri, M.; El Mousadik, A.; Msanda, F.M.; Boubaker, H.; Saadi, B.; Cherifi, K. An ethnobotanical survey of medicinal plants used in the Tata Province, Morocco. J. Med. Plants Res. 2012, 1, 99–123. [Google Scholar]
- Barkaoui, M.; Katiri, A.; Boubaker, H.; Msanda, F. Ethnobotanical survey of medicinal plants used in the traditional treatment of diabetes in Chtouka Ait Baha and Tiznit (Western Anti-Atlas), Morocco. J. Ethnopharmacol. 2017, 198, 338–350. [Google Scholar] [CrossRef]
- Boufous, H.; Marhoume, F.; Chait, A.; Bagri, A. Ethnopharmacological survey of medicinal plants with hallucinogenic effect and used against pain, inflammatory diseases, diabetes and urinary lithiasis in Zagora “Morocco”. J. Intercult. Ethnopharmacol. 2017, 6, 342–350. [Google Scholar] [CrossRef]
- Idm’hand, E.; Msanda, F.; Cherifi, K. Ethnopharmacological review of medicinal plants used to manage diabetes in Morocco. Clin. Phytosci. 2020, 6, 18. [Google Scholar] [CrossRef]
- Bouyahya, A.; El Omari, N.; Elmenyiy, N.; Guaouguaou, F.-E.; Balahbib, A.; Belmehdi, O.; Salhi, N.; Imtara, H.; Mrabti, H.N.; El-Shzly, M.; et al. Moroccan antidiabetic medicinal plants: Ethnobotanical studies, phytochemical bioactive compounds, preclinical investigations, toxicological validations and clinical evidences; challenges, guidance and perspectives for future management of diabetes worlwide. Trends Food Sci. Technol. 2021, 115, 147–254. [Google Scholar]
- Chetoui, A.; Kaoutar, K.; Boutahar, K.; El Kardoudi, A.; BenChaoucha-Chekir, R.; Chigr, F.; Najimi, M. Herbal medicine use among Moroccan type 2 diabetes patients in the Beni Mellal-Khenifra region. J. Herb. Med. 2021, 29, 100480. [Google Scholar] [CrossRef]
- Ghourri, M.; Zidane, L.; Douira, A. La phytothérapie et les inféctions urinaires (la pyélonéphrite et la cystite) au Sahara marocain (Tan-Tan). J. Anim. Plant Sci. 2014, 20, 3171–3193. [Google Scholar]
- Noureddine, B.; Mostafa, E.; Mandal, S.C. Ethnobotanical, pharmacological, phytochemical, and clinical investigations on Moroccan medicinal plants traditionally used for the management of renal dysfunctions. J. Ethnopharmacol. 2022, 292. [Google Scholar] [CrossRef]
- Idm’Hand, E.; Msanda, F.; Cherifi, K. Ethnobotanical study and biodiversity of medicinal plants used in the Tarfaya Province, Morocco. Acta Ecol. Sin. 2020, 40, 134–144. [Google Scholar] [CrossRef]
- Ajjoun, M.; Kharchoufa, L.; Merrouni, I.A.; Elachouri, M. Moroccan medicinal plants traditionally used for the treatment of skin diseases: From ethnobotany to clinical trials. J. Ethnopharmacol. 2022, 297. [Google Scholar] [CrossRef]
- Mekkaoui, M.; Assaggaf, H.; Qasem, A.; El-Shemi, A.; Abdallah, E.M.; Bouidida, E.H.; Mrabti, H.N.; Cherrah, Y.; Alaoui, K. Ethnopharmacological Survey and Comparative Study of the Healing Activity of Moroccan Thyme Honey and Its Mixture with Selected Essential Oils on Two Types of Wounds on Albino Rabbits. Foods 2021, 11, 28. [Google Scholar] [CrossRef]
- Volpato, G.; Kourková, P.; Zelený, V. Healing war wounds and perfuming exile: The use of vegetal, animal, and mineral products for perfumes, cosmetics, and skin healing among Sahrawi refugees of Western Sahara. J. Ethnobiol. Ethnomed. 2012, 8, 49. Available online: http://www.ethnobiomed.com/content/8/1/49 (accessed on 1 July 2022). [CrossRef]
- El Hafian, M.; Benlamdini, N.; Elyacoubi, H.; Zidane, L.; Rochdi, A. Étude floristique et ethobotanique des plantes médicinales utilisées au niveau de la préfecture d’Agadir-Ida-Outanane (Maroc). J. Appl. Biosci. 2014, 81, 7198–7213. [Google Scholar] [CrossRef]
- Merrouni, I.A.; Elachouri, M. Anticancer medicinal plants used by Moroccan people: Ethnobotanical, preclinical, phytochemical and clinical evidence. J. Ethnopharmacol. 2021, 266, 113435. [Google Scholar] [CrossRef]
- Blanco, J.; Carrière, S.M. Sharing local ecological knowledge as a human adaptation strategy to arid environments: Evidence from na ethnobotany survey in Morocco. J. Arid Environ. 2016, 127, 30–43. [Google Scholar] [CrossRef]
- Ouhaddou, H.; Boubaker, H.; Msanda, F.; El Mousadik, A. An ethnobotanical stydy of medicinal plants of the Agadir Ida Ou Tanane province (Southwest Morocco). J. Appl. Biosci. 2014, 84, 7707–7722. [Google Scholar] [CrossRef]
- Abolhasanzadeh, Z.; Ashrafi, H.; Badr, P.; Azadi, A. Traditional neurotherapeutics approach intended for direct nose to brain delivery. J. Ethnopharmacol. 2017, 209, 116–123. [Google Scholar] [CrossRef]
- Nassif, F.; Tanji, A. Gathered food plants in Morocco: The long forgotten species in ethnobotanical research. Life Sci. Leafl. 2013, 3, 17–54. [Google Scholar]
- Geraci, A.; Amato, F.; di Noto, G.; Bazan, G.; Schcchi, R. The wild taxa utilized as vegetables in Sicily (Italy): A traditional componente of the Mediterranean diet. J. Ethnobiol. Ethnomed. 2018, 14, 14. [Google Scholar] [CrossRef] [PubMed]
- Benharref, A.; Lavergne, J.P. Triterpenes issus des latex des euphorbes cactóides marocaines E. resinífera, E.echinus et E. officinarum: Isolement, étude comparative par RMN 13C des quatres classes tetracycliques eupho-lanostane, elemolanostane, lanostane et nor-31-lanostane. Bull. Soc. Chim. Fr. 1985, 5, 965–972. [Google Scholar]
- Daoubi, M.; Benharref, A.; Hernandez-Galán, R.; Macías-Sánchez, A.J.; Collado, I.G. Two novel steroids from Euphorbia officinarum latex. Nat. Prod. Res. 2004, 18, 177–181. [Google Scholar] [CrossRef]
- Mazoir, N.; Giorgi, M.; Auhmani, A. (3 S,5 S,10 S,13 S,14 S,17 S )-Methyl 3?-acetyl-25,26,27-trisnorlanost-8-en-24-oate. Acta Crystallogr. Sect. E Struct. Rep. Online 2005, 61. [Google Scholar] [CrossRef]
- Karunanithi, P.S.; Zerbe, P. Terpene Synthases as Metabolic Gatekeepers in the Evolution of Plant Terpenoid Chemical Diversity. Front. Plant Sci. 2019, 10, 1166. [Google Scholar] [CrossRef]
- Duarte, N. Structural Characterization and Biological Activities of Terpenic and Phenolic Compounds Isolated from Euphorbia lagascae and Euphorbia tuckeyana. Ph.D. Thesis, Universidade de Lisboa, Lisboa, Portugal, 2008. Available online: http://hdl.handle.net/10451/270 (accessed on 1 July 2022).
- Fattahian, M.; Ghanadian, M.; Ali, Z.; Khan, I.A. Jatrophane and rearranged jatrophane-type diterpenes: Biogenesis, structure, isolation, biological activity and SARs (1984–2019). Phytochem. Rev. 2020, 19, 265–336. [Google Scholar] [CrossRef]
- Kemboi, D.; Siwe-Noundou, X.; Krause, R.W.M.; Langat, M.K.; Tembu, V.J. Euphorbia Diterpenes: An Update of Isolation, Structure, Pharmacological Activities and Structure–Activity Relationship. Molecules 2021, 26, 5055. [Google Scholar] [CrossRef] [PubMed]
- Vela, F.; Ezzanad, A.; Hunter, A.C.; Macías-Sánchez, A.J.; Hernández-Galán, R. Pharmacological Potential of Lathyrane-Type Diterpenoids from Phytochemical Sources. Pharmaceuticals 2022, 15, 780. [Google Scholar] [CrossRef] [PubMed]
- Thimmappa, R.; Geisler, K.; Louveau, T.; O’Maille, P.; Osbourn, A. Triterpene Biosynthesis in Plants. Annu. Rev. Plant Biol. 2014, 65, 225–257. [Google Scholar] [CrossRef] [PubMed]
- Dewick, P.M. The Mevalonate and Metylerythritol Phosphate Pathways: Terpenoids and Sterois. In Medicinal Natural Products: A Biosynthetic Approach; John Wiley & Sons. Ltd.: Hoboken, NJ, USA, 2009; pp. 187–306. ISBN 978-0-470-74168-9. [Google Scholar]
- Forestier, E.; Romero-Segura, C.; Pateraki, I.; Centeno, E.; Compagnon, V.; Preiss, M.; Berna, A.; Boronat, A.; Bach, T.J.; Darnet, S.; et al. Distinct triterpene synthases in the laticifers of Euphorbia lathyris. Sci. Rep. 2019, 9, 4840. [Google Scholar] [CrossRef]
- Avila, L.; Perez, M.; Sánchez-Duffhues, G.; Hernández-Galán, R.; Muñoz, E.; Cabezas, F.; Quiñones, W.; Torres, F.; Echeverri, F. Effects of diterpenes from latex of Euphorbia lactea and Euphorbia laurifolia on human immunodeficiency vírus type 1 reactivation. Phytochemistry 2010, 71, 243–248. [Google Scholar] [CrossRef]
- Singh, I.P.; Bodiwala, H.S. Recent advances in anti-HIV natural products. Nat. Prod. Rep. 2010, 27, 1781–1800. [Google Scholar] [CrossRef]
- Sanchez-Duffhues, G.; Vo, M.Q.; Perez, M.; Calzado, M.A.; Moreno, S.; Appendino, G.B.; Munoz, E. Activation of Latent HIV-1 Expression by Protein Kinase C Agonists. A Novel Therapeutic Approach to Eradicate HIV-1 Reservoirs. Curr. Drug Targets 2011, 12, 348–356. [Google Scholar] [CrossRef]
- El-Hawary, S.S.; Mohammed, R.; Tawfike, A.F.; Lithy, N.M.; Abouzid, S.F.; Amin, M.N.; Abdelmohsen, U.R.; Amin, E. Cytotoxic Activity and Metabolic Profiling of Fifteen Euphorbia Species. Metabolites 2020, 11, 15. [Google Scholar] [CrossRef]
- Mazoir, N.; Auhmani, A.; Itto, M.Y.A.; Benharref, A. (3S)-acetyl-24-methyl-elemo-lanosta-8,24-diene-7,11-dione. Molbank 2004, 2004, M365. [Google Scholar] [CrossRef]
- Mazoir, N.; Auhmani, A.; Dakir, M.; Itto, M.Y.A.; Benharref, A. (3S)-Tosyl-24-methyl-elemo-lanosta-8,24(31)-diene-7,11-dione. Molbank 2004, 2004, M366. [Google Scholar] [CrossRef]
- Mazoir, N.; Liazid, A.; Auhmani, A.; Daoubi, M.; Dakir, M.; Benharref, A.; Kenz, A.; Pierrot, M. 1H and 13C-NMR structural study of products obtained by hemisynthesis on the triterpenes isolated from latex of Euphorbia officinarum. Phys. Chem. News 2005, 21, 123–128. [Google Scholar]
- Mazoir, N.; Berraho, M.; Fraisse, B.; Benharref, A.; Bouhmaida, N. (3S,4S,5S,10S,13R,14R,17R)-4α,14α-Dimethyl-3β-tosyl-5α-ergost-8-ene-7,11,24-trione at 100 K. Acta Crystallogr. Sect. E Struct. Rep. Online 2006, E62, o2153–o2155. [Google Scholar] [CrossRef]
- Mazoir, N.; Giorgi, M.; Benharref, A. (4S,5S,10S,13R,14R,17R)-8α,9α-epoxy-4α,14α-dimethyl-5α-cholestan-3-one. Acta Crystallogr. Sect. E Struct. Rep. Online 2005, E61, o3709–o3711. [Google Scholar] [CrossRef]
- Mazoir, N.; Auhmani, A.; Daoubi, M.; Collado, I.G.; Benharref, A. Hemisynthesis of New Triterpene Derivatives using Oxidation by CrO3 and NaIO4-(RuCl3, 3H2O). Synth. Commun. 2007, 37, 1289–1299. [Google Scholar] [CrossRef]
- Daoui, O.; Mazoir, N.; Bakhouch, M.; Salah, M.; Benharref, A.; Gonzalez-Coloma, A.; Elkhattabi, S.; El Yazidi, M.; Chtita, S. 3D-QSAR, ADME-Tox, and molecular docking of semisynthetic triterpene derivatives as antibacterial and insecticide agents. Struct. Chem. 2022, 33, 1063–1084. [Google Scholar] [CrossRef]
- Mazoir, N.; Itto, M.Y.A.; Artiles, M.R.; Benharref, A. 4α,14α-Dimethyl-5α-cholest-8-en-3-one. Molbank 2006, 2006, M504. [Google Scholar] [CrossRef]
- López-Rodríguez, M.; Mazoir, N.; Daoubi, M.; Reina, M.; Benharref, A. 1-(1,5-dimethylhexyl)-3a,5b,12a,14atetramethyl-2,3,3a,4,5,5a,5b,11,12,13,-14,14a-dodecahydro-1H,12aH-cyclopenta [1,2]-phenanthro [7,8-b]índole. Acta Crystallogr. Sect. E Struct. Rep. Online 2007, E63, 04911. [Google Scholar] [CrossRef]
- Dzubak, P.; Hajduck, M.; Vydra, D.; Hustova, A.; Kvasnica, M.; Biedermann, D.; Markova, L.; Urban, M.; Sarek, J. Pharmacological activities of natural triterpenoids and their therapeutic implications. Nat. Prod. Rep. 2005, 22, 394–411. [Google Scholar]
- Mazoir, N.; Benharref, A.; Bailén, M.; Reina, M.; González-Coloma, A. Bioactive triterpene derivatives from latex of two Euphorbia species. Phytochemistry 2008, 69, 1328–1338. [Google Scholar] [CrossRef]
- Mazoir, N.; Benharref, A.; Bailén, M.; Reina, M.; González-Coloma, A.; Martínez-Díaz, R.A. Antileishmanial and antitrypanosomal activity of triterpene derivatives from latex of two Euphorbia species. Z. Naturforsch. 2011, 66, 360–366. [Google Scholar] [CrossRef]
- Mazoir, N.; Benharref, A. Hemisynthesis of new thiosemicarbazone derivatives resulting from latex of Moroccan endemic plant: Euphorbia officinarum. J. Mater. Environ. Sci. 2015, 6, 592–597. [Google Scholar]
- Mazoir, N.; Belahyan, A.; Benharref, A. New 1,3,4—Thiadiazolines hemisynthesized from Moroccan endemic plants: Euphorbia Officinarum latex. J. Mater. Environ. Sci. 2015, 6, 3604–3608. [Google Scholar]
- Bailen, M.; Khamlichi, M.D.; Benharref, A.; Martinez-Diaz, R.A.; Gonzalez-Coloma, A. New bioactive semisynthetic derivatives of 31-norlanosterol and obtusifoliol from Euphorbia officinarum. Nat. Prod. Commun. 2016, 11, 733–738. [Google Scholar] [PubMed]
- Mazoir, N.; Benharref, A.; Vaca, L.; Reina, M.; González-Coloma, A. Optimization of insecticidal triterpene derivatives by biomimetic oxidations with hydrogen peroxide and iodosobenzene catalyzed by MnIII and FeIII porphyrin complexes. Chem. Biochem. 2020, 17, e2000287. [Google Scholar] [CrossRef]
- Smaili, A.; Mazoir, N.; Rifai, A.L.; Koussa, T.; Makroum, K.; Benharref, A.; Faize, L.; Albuquerque, N.; Burgos, L.; Belfaiza, M.; et al. Antimicrobial activity of two semisynthetic triterpene derivatives from Euphorbia officinarum latex against fungal and bacterial phytopathogens. Nat. Prod. Commun. 2017, 12, 331–336. [Google Scholar] [CrossRef]
- Smaili, A.; Mazoir, N.; Rifai, A.L.; Koussa, T.; Makroum, K.; Kabil, E.M.; Benharref, A.; Faize, M. Triterpene derivatives from Euphorbia enhance resistance against Verticillium wilt of tomato. Phytochemistry 2017, 135, 169–180. [Google Scholar] [CrossRef]
- Smaili, A.; Mazoir, N.; Rifai, A.L.; Koussa, T.; Makroum, K.; Belfaiza, M.; Benharref, A.; Faize, M. Induced resistance to wild fire disease of Nicotiana benthamiana using seed treated with triterpene derivatives from Euphorbia. J. Plant Pathol. 2018, 100, 75–83. [Google Scholar] [CrossRef]
- Smaili, A.; Rifai, L.A.; Mazoir, N.; Koussa, T.; Faize, L.; Albuquerque, N.; Burgos, L.; Makroum, K.; Malika, B.; Benharref, A.; et al. Semisynthetic triterpenes derived from Euphorbia officinarum as plant growth promoters and inducers of disease resistance. J. Plant Growth Regul. 2019, 38, 262–272. [Google Scholar] [CrossRef]
- Battistini, A.; Sgarbanti, M. HIV-latency: An update of molecular mechanisms and therapeutic strategies. Viruses 2014, 6, 1715–1758. [Google Scholar] [CrossRef]
- Boutoub, O.; El-Guendouz, S.; Estevinho, L.M.; Paula, V.B.; Aazza, S.; El Ghadraoui, L.; Rodrigues, B.; Raposo, S.; Carlier, J.; Costa, M.C.; et al. Antioxidant activity and enzyme inhibitory potential of Euphorbia resinifera and E. officinarum honeys from Morocco and plant aquous extracts. Environ. Sci. Pollut. Res. 2020, 28, 503–517. [Google Scholar] [CrossRef]
- Boutoub, O.; Aazza, S.; El-Guendouz, S.; El Ghadraoui, L.; Miguel, M.G. Response surface methodology (RSM) for optimization of Euphorbia resinifera and Euphorbia officinarum extracts with antioxidant and antidiabetic activities. Pharmacogn. Mag. 2022, 18, 151–163. [Google Scholar]
- Boutoub, O.; El-Guendouz, S.; Manhita, A.; Dias, C.B.; Estevinho, L.M.; Paula, V.B.; Carlier, J.; Costa, M.C.; Rodrigues, B. Comparative study of the antioxidante and enzyme inhibitory activities of two types of Moroccan Euphorbia entire honey and their phenolic extracts. Foods 2021, 10, 1909. [Google Scholar] [CrossRef] [PubMed]
- Bettar, I.; González-Miret, M.; Hernanz, D.; Marconi, A.; Heredia, F.; Terrab, A. Characterisation of Moroccan spurge (Euphorbia) honeys by their physicochemical characteristics, mineral contents and colour. Arab. J. Chem. 2019, 12, 2052–2060. [Google Scholar] [CrossRef]
- Terrab, A.; Marconi, A.; Bettar, I.; Msanda, F.; Díez, M.J. Palynological characterisation of Euphorbia honeys from Morocco. Palynology 2014, 38, 138–146. [Google Scholar] [CrossRef]
- Terrab, A.; Moujanni, A.; Essamadi, A.K.; Hernanz, D.; Díez, M.J.; Berjano, R. A palynological and geographical characterization of labeled resin spurge honey: Euphorbia resinifera. Palynology 2021, 46, 1–10. [Google Scholar] [CrossRef]
- Chakir, A.; Romane, A.; Marcazzan, G.L.; Ferrazzi, P. Physicochemical properties of some honeys produced from different plants in Morocco. Arab. J. Chem. 2016, 9, S946–S954. [Google Scholar] [CrossRef]
- Moujanni, A.; Partida, L.; Essamadi, A.K.; Hernanz, D.; Heredia, F.J.; Terrab, A. Physicochemical characterisation of unique unifloral honey: Euphorbia resinifera. Cyta. J. Food 2018, 16, 27–35. [Google Scholar] [CrossRef]
- Abderrahim, L.A.; Taïbi, K.; Abderrahim, N.A.; Boussaid, M.; Rios-Navarro, C.; Ruiz-Saurí, A. Euphorbia honey and garlic: Biological activity and burn wound recovery. Burns 2019, 45, 1695–1706. [Google Scholar] [CrossRef]
- Chimshirova, R.; Popova, M.; Chakir, A.; Valcheva, V.; Dimitrov, S.; Trusheva, B.; Romane, A.; Bankova, V. Antimicrobial Triterpenoids and Ingol Diterpenes from Propolis of Semi-Arid Region of Morocco. Molecules 2022, 27, 2206. [Google Scholar] [CrossRef]














Publisher’s Note: MDPI stays neutral with regard to jurisdictional claims in published maps and institutional affiliations. |
© 2022 by the authors. Licensee MDPI, Basel, Switzerland. This article is an open access article distributed under the terms and conditions of the Creative Commons Attribution (CC BY) license (https://creativecommons.org/licenses/by/4.0/).
Share and Cite
Boutoub, O.; Ghadraoui, L.E.; Miguel, M.G. Biological Properties of Latex, Aqueous Extracts and Bee Products of Euphorbia officinarum L.: A Short Review. Molecules 2022, 27, 7200. https://doi.org/10.3390/molecules27217200
Boutoub O, Ghadraoui LE, Miguel MG. Biological Properties of Latex, Aqueous Extracts and Bee Products of Euphorbia officinarum L.: A Short Review. Molecules. 2022; 27(21):7200. https://doi.org/10.3390/molecules27217200
Chicago/Turabian StyleBoutoub, Oumaima, Lahsen El Ghadraoui, and Maria Graça Miguel. 2022. "Biological Properties of Latex, Aqueous Extracts and Bee Products of Euphorbia officinarum L.: A Short Review" Molecules 27, no. 21: 7200. https://doi.org/10.3390/molecules27217200
APA StyleBoutoub, O., Ghadraoui, L. E., & Miguel, M. G. (2022). Biological Properties of Latex, Aqueous Extracts and Bee Products of Euphorbia officinarum L.: A Short Review. Molecules, 27(21), 7200. https://doi.org/10.3390/molecules27217200

