Polarity Directed Appraisal of Pharmacological Potential and HPLC-DAD Based Phytochemical Profiling of Polygonum glabrum Willd
Abstract
:1. Introduction
2. Material and Method
2.1. Preparation of Crude Extracts
2.2. Phytochemical Analysis
2.2.1. Total Phenolic Content (TPC)
2.2.2. Total Flavonoid Content (TFC)
2.2.3. Quantitative Analysis by HPLC-DAD
2.3. Pharmacological Evaluation
2.3.1. Antioxidant Assays
DPPH Radical Scavenging Assay
Total Reducing Power (TRP) Determination
Total Antioxidant Capacity (TAC) Determination
2.3.2. Antimicrobial Assays
Antibacterial Assay
Antifungal Assay
2.3.3. Enzyme Inhibition Assay
α-Amylase Inhibition Assay
2.3.4. Cytotoxicity Assays
Brine Shrimp Lethality Assay
Protein Kinase Inhibition (PKI) Assay
2.4. Data Analysis
3. Results
3.1. Percent Extract Recovery
3.2. Phytochemical Analysis
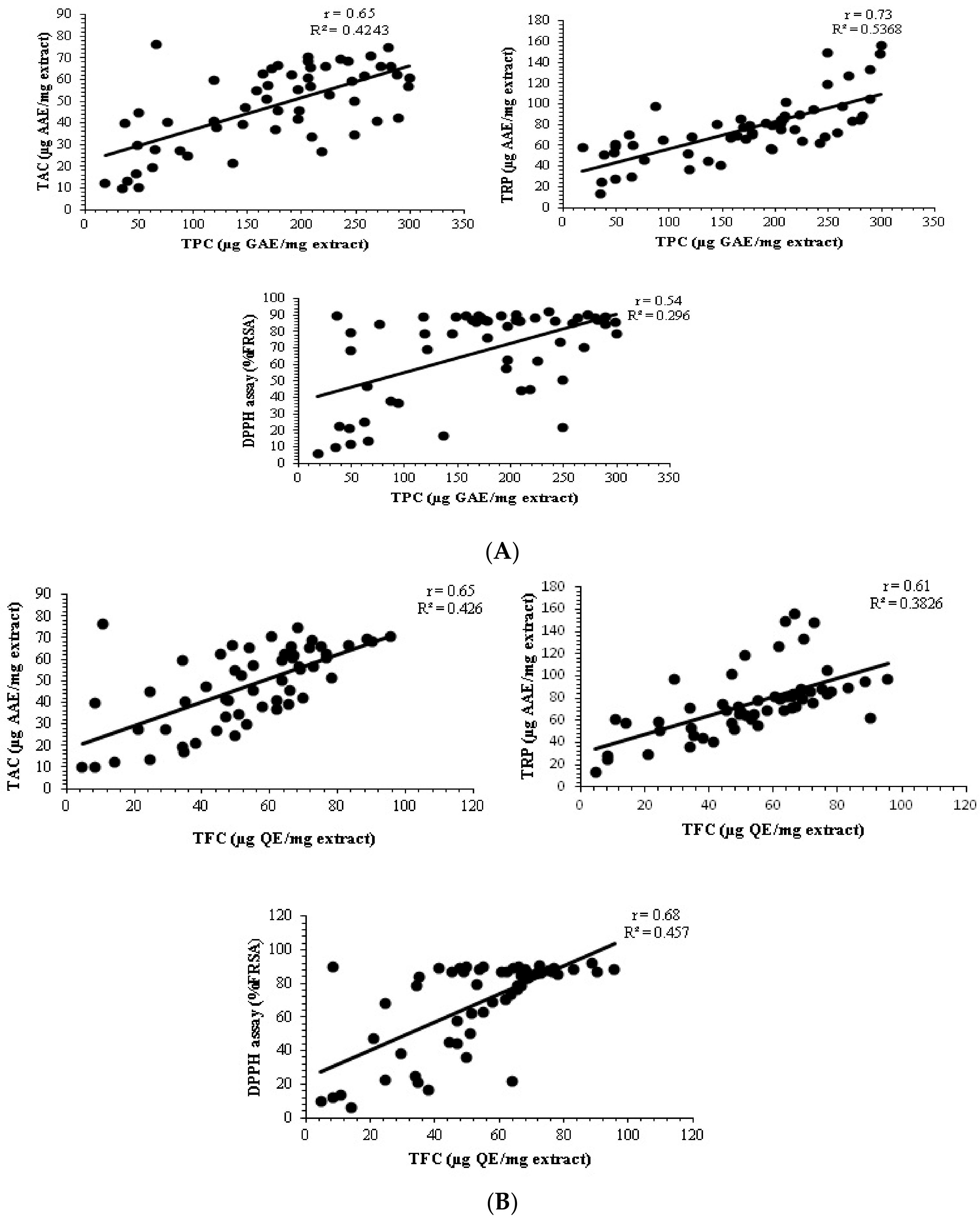
3.3. Antioxidant Potential
3.4. Antimicrobial Assays
3.5. Enzyme Inhibition Assay
3.6. Cytotoxicity Assays
4. Conclusions
Author Contributions
Funding
Institutional Review Board Statement
Informed Consent Statement
Data Availability Statement
Acknowledgments
Conflicts of Interest
Sample Availability
References
- Hamdan, I.; Afifi, F. Studies on the in vitro and in vivo hypoglycemic activities of some medicinal plants used in treatment of diabetes in Jordanian traditional medicine. J. Ethnopharmacol. 2004, 93, 117–121. [Google Scholar] [CrossRef] [PubMed]
- Cars, O.; Hedin, A.; Heddini, A. The global need for effective antibiotics—Moving towards concerted action. Drug Resist. Updates 2011, 14, 68–69. [Google Scholar] [CrossRef] [PubMed]
- Galappathie, S.; Palombo, E.A.; Yeo, T.C.; Ley, D.L.S.; Tu, C.L.; Malherbe, F.M.; Mahon, P.J. Comparative antimicrobial activity of South East Asian plants used in Bornean folkloric medicine. J. Herb. Med. 2014, 4, 96–105. [Google Scholar] [CrossRef]
- Brandbyge, J. Polygonaceae, in Flowering Plants·Dicotyledons; Springer: Berlin/Heidelberg, Germany, 1993; pp. 531–544. [Google Scholar]
- Granica, S.; Czerwińska, M.E.; Żyżyńska-Granica, B.; Kiss, A.K. Antioxidant and anti-inflammatory flavonol glucuronides from Polygonum aviculare L. Fitoterapia 2013, 91, 180–188. [Google Scholar] [CrossRef]
- Duwiejua, M.; Zeitlin, I.J.; Gray, A.I.; Waterman, P.G. The anti-inflammatory compounds of Polygonum bistorta: Isolation and characterisation. Planta Med. 1999, 65, 371–374. [Google Scholar] [CrossRef] [PubMed]
- Zhang, H.; Zhang, Q.W.; Wang, L.; Zhang, X.Q.; Ye, W.C.; Wang, Y.T. Two new anthraquinone malonylglucosides from Polygonum cuspidatum. Nat. Prod. Res. 2012, 26, 1323–1327. [Google Scholar] [CrossRef] [PubMed]
- Narasimhulu, G.; Reddy, K.K.; Mohamed, J. The genus Polygonum (Polygonaceae): An ethnopharmacological and phytochemical perspectives: Review. Int. J. Pharm. Pharm. Sci. 2014, 6, 21–45. [Google Scholar]
- Seimandi, G.; Álvarez, N.; Stegmayer, M.I.; Fernández, L.; Ruiz, V.; Favaro, M.A.; Derita, M. An Update on Phytochemicals and Pharmacological Activities of the Genus Persicaria and Polygonum. Molecules 2021, 26, 5956. [Google Scholar] [CrossRef]
- Gautam, D. Ethnopharmacology, phytochemistry, and pharmacology of Polygonum glabrum Willd. Int. J. Green Pharm. (IJGP) 2017, 11, 248–255. [Google Scholar]
- Sivakumar, P.; Senthilkumar, K.; Varma, J.P. Phytochemical studies on Polygonum glabrum (WILLD). Int. J. Pharma Bio Sci. 2011, 2, 169–175. [Google Scholar]
- Ahmed, M.; Ahmed, M.; Fatima, H.; Qasim, M.; Gul, B. Polarity directed optimization of phytochemical and in vitro biological potential of an indigenous folklore: Quercus dilatata Lindl. ex Royle. BMC Complement. Altern. Med. 2017, 17, 386. [Google Scholar] [CrossRef] [PubMed]
- Fatima, H.; Khan, K.; Zia, M.; Ur-Rehman, T.; Mirza, B.; Haq, I.U. Extraction optimization of medicinally important metabolites from Datura innoxia Mill.: An in vitro biological and phytochemical investigation. BMC Complement. Altern. Med. 2015, 15, 376. [Google Scholar] [CrossRef] [PubMed] [Green Version]
- Yao, G.; Sebisubi, F.M.; Voo, L.Y.C.; Ho, C.C.; Tan, G.T.; Chang, L.C. Citrinin derivatives from the soil filamentous fungus Penicillium sp. H9318. J. Braz. Chem. Soc. 2011, 22, 1125–1129. [Google Scholar] [CrossRef] [Green Version]
- Hsu, B.; Coupar, I.M.; Ng, K. Antioxidant activity of hot water extract from the fruit of the Doum palm, Hyphaene thebaica. Food Chem. 2006, 98, 317–328. [Google Scholar] [CrossRef]
- Sultana, B.; Anwar, F.; Ashraf, M. Effect of extraction solvent/technique on the antioxidant activity of selected medicinal plant extracts. Molecules 2009, 14, 2167–2180. [Google Scholar] [CrossRef]
- Kim, H.J.; Chen, F.; Wang, X.; Choi, J.H. Effect of methyl jasmonate on phenolics, isothiocyanate, and metabolic enzymes in radish sprout (Raphanus sativus L.). J. Agric. Food Chem. 2006, 54, 7263–7269. [Google Scholar] [CrossRef]
- Devasagayam, T.P.A.; Tilak, J.C.; Boloor, K.K.; Sane, K.S.; Ghaskadbi, S.S.; Lele, R.D. Free radicals and antioxidants in human health: Current status and future prospects. JAPI 2004, 52, 4. [Google Scholar]
- Afshar, F.H.; Delazar, A.; Nazemiyeh, H.; Esnaashari, S.; Moghadam, S.B. Comparison of the total phenol, flavonoid contents and antioxidant activity of methanolic extracts of Artemisia spicigera and A. splendens growing in Iran. Pharm. Sci. 2012, 18, 165–170. [Google Scholar]
- Soong, Y.-Y.; Barlow, P.J. Quantification of gallic acid and ellagic acid from longan (Dimocarpus longan Lour.) seed and mango (Mangifera indica L.) kernel and their effects on antioxidant activity. Food Chem. 2006, 97, 524–530. [Google Scholar] [CrossRef]
- Vellosa, J.C.R.; Regasini, L.O.; Khalil, N.M.; Bolzani, V.D.S.; Khalil, O.A.; Manente, F.A.; Pasquini Netto, H.; Oliveira, O.M. Antioxidant and cytotoxic studies for kaempferol, quercetin and isoquercitrin. Eclética Quim. 2011, 36, 7–20. [Google Scholar] [CrossRef]
- Hendra, R.; Ahmad, S.; Sukari, A.; Shukor, M.Y.; Oskoueian, E. Flavonoid analyses and antimicrobial activity of various parts of Phaleria macrocarpa (Scheff.) Boerl fruit. Int. J. Mol. Sci. 2011, 12, 3422–3431. [Google Scholar] [CrossRef] [Green Version]
- Lupaşcus, D.; Tuchiluş, C.; Profire, L. Physico-chemical and antimicrobial properties of novel rutin derivatives with 6-aminopenicillanic acid. Farmacia 2010, 56, 501–506. [Google Scholar]
- Nijveldt, R.J.; Van Nood, E.L.S.; Van Hoorn, D.E.; Boelens, P.G.; Van Norren, K.; Van Leeuwen, P.A. Flavonoids: A review of probable mechanisms of action and potential applications. Am. J. Clin. Nutr. 2001, 74, 418–425. [Google Scholar] [CrossRef] [PubMed]
- Ezhilan, B.; Neelamegam, R. HPTLC analysis of flavonoid compound profile in the whole-plant methanol extract of Polygonum species. Int. J. Adv. Res. Biol. Sci. 2015, 2, 26–33. [Google Scholar]
- Krishnaraju, A.V.; Rao, T.V.; Sundararaju, D.; Vanisree, M.; Tsay, H.S.; Subbaraju, G.V. Biological screening of medicinal plants collected from Eastern Ghats of India using Artemia salina (brine shrimp test). Int. J. Appl. Sci. Eng. 2006, 4, 115–125. [Google Scholar]
- Jadhav, N.; Kulkarni, S.; Mane, A.; Kulkarni, R.; Palshetker, A.; Singh, K.; Joshi, S.; Risbud, A.; Kulkarni, S. Antimicrobial activity of plant extracts against sexually transmitted pathogens. Nat. Prod. Res. 2015, 29, 1562–1566. [Google Scholar] [CrossRef] [PubMed]
- Jani, M.; Shah, S.; Prajapati, S. Antibacterial screening and qualitative phytochemical estimation of selected aquatic plants. Int. J. Res. Pharm. Sci. 2011, 2, 648–652. [Google Scholar]
- Charu, A.; Kaushik, R. Fungicidal activity of plants extracts from Uttaranchal hills against soybean fungal pathogens. Allelopath. J. 2003, 11, 217–228. [Google Scholar]
- Ghazal, S.; Abuzarqa, M.; Mahasneh, A. Antimicrobial activity of Polygonum equisetiforme extracts and flavonoids. Phytother. Res. 1992, 6, 265–269. [Google Scholar] [CrossRef]
- Ali, H.; Houghton, P.; Soumyanath, A. α-Amylase inhibitory activity of some Malaysian plants used to treat diabetes; with particular reference to Phyllanthus amarus. J. Ethnopharmacol. 2006, 107, 449–455. [Google Scholar] [CrossRef]
- Etxeberria, U.; de la Garza, A.L.; Campión, J.; Martínez, J.A.; Milagro, F.I. Antidiabetic effects of natural plant extracts via inhibition of carbohydrate hydrolysis enzymes with emphasis on pancreatic alpha amylase. Expert Opin. Ther. Targets 2012, 16, 269–297. [Google Scholar] [CrossRef] [Green Version]
- Smyth, L.A.; Collins, I. Measuring and interpreting the selectivity of protein kinase inhibitors. J. Chem. Biol. 2009, 2, 131–151. [Google Scholar] [CrossRef] [Green Version]
- Aggarwal, B.B.; Shishodia, S. Molecular targets of dietary agents for prevention and therapy of cancer. Biochem. Pharmacol. 2006, 71, 1397–1421. [Google Scholar] [CrossRef]
- Edwards, A.M.; Isserlin, R.; Bader, G.D.; Frye, S.V.; Willson, T.M.; Frank, H.Y. Too many roads not taken. Nature 2011, 470, 163–165. [Google Scholar] [CrossRef] [PubMed] [Green Version]
- Khan, I.; Yasinzai, M.M.; Mehmood, Z.; Ilahi, I.; Khan, J.; Khalil, A.; Saqib, M.S.; Rahman, W.U. Comparative study of green fruit extract of Melia azedarach Linn. with its ripe fruit extract for antileishmanial, larvicidal, antioxidant and cytotoxic activity. Am. J. Phytomed Clin. Ther. 2014, 2, 442–454. [Google Scholar]
- Ramamoorthy, P.K.T.; LakshmanaShetty, R.H.; Devidas, S.; Mudduraj, V.T.; Vinayaka, K.S. Antifungal and cytotoxic activity of Everniastrum cirrhatum (Fr.) Hale. Chiang Mai. J. Sci. 2012, 39, 76–83. [Google Scholar]
- Ullah, R.; Ibrar, M.; Shah, S.; Hameed, I. Phytotoxic, cytotoxic and insecticidal activities of Calendula arvensis L. J. Biotechnol. Pharm. Res. 2012, 3, 104–111. [Google Scholar]
- Aziz, M.A.; Shawn, M.M.A.K.; Rahman, S.; Islam, T.; Mita, M.; Faruque, A.; Rana, M.S. Secondary metabolites, antimicrobial, brine shrimp lethality & 4th instar Culex quinquefasciatus mosquito larvicidal screening of organic & inorganic root extracts of Microcos paniculata. IOSR J. Pharm. Biol. Sci. 2013, 8, 58–65. [Google Scholar]
- Saravanakumar, A.; Gandhimathi, R. Acute and chronic toxicity studies on Polygonum glabrum in experimental animals. Int. J. Pharmacomet. Integr. Biosci. 2018, 3, 7–10. [Google Scholar] [CrossRef]






| S. No. | Standards | Retention Time-RT (min) | Calibration Curve Equation | Correlation Coefficient (r2) | LOD (μg/mL) | LOQ (μg/mL) |
|---|---|---|---|---|---|---|
| 1 | Gallic acid | 4.34 | y = 24.857x − 45.174 | 0.9979 | 7.2 | 21.9 |
| 2 | Catechin | 7.64 | y = 7.985x − 17.565 | 0.9995 | 3.5 | 10.7 |
| 3 | Caffeic acid | 10.09 | y = 26.097x + 95.435 | 0.9924 | 13.7 | 41.4 |
| 4 | Rutin | 13.43 | y = 8.336x + 22.217 | 0.9966 | 9.9 | 27.8 |
| 5 | Myricetin | 15.76 | y = 5.227x − 6.304 | 0.9988 | 5.4 | 16.3 |
| 6 | Quercetin | 18.80 | y = 12.210x − 20.348 | 0.9978 | 7.3 | 22.2 |
| 7 | Kaempferol | 21.56 | y = 9.994x + 15.261 | 0.9998 | 2.3 | 7.0 |
| 8 | Apigenin | 22.38 | y = 18.111x + 25.565 | 0.997 | 5.0 | 15.2 |
| Extract | Polyphenols (µg/mg Extract) | |||||
|---|---|---|---|---|---|---|
| Gallic Acid | Rutin | Catechin | Apigenin | Quercetin | Kaempferol | |
| Stem | ||||||
| EA | 0.43 ± 0.01 ** | - | - | 0.10 ± 0.00 *** | - | - |
| AC | - | - | - | 0.07 ± 0.00 | - | - |
| M | 0.22 ± 0.01 *** | - | - | 0.09 ± 0.00 | - | - |
| ET | 0.46 ± 0.01** | - | - | 0.11 ± 0.01 *** | - | - |
| W | 0.12 ± 0.03 *** | - | - | - | - | - |
| EA:M | 0.26 ± 0.01 *** | - | - | 1.26 ± 0.02 * | - | - |
| AC:M | 0.44 ± 0.03 ** | - | - | - | - | - |
| W:AC | 0.07 ± 0.00 | - | - | 1.10 ± 0.02 * | - | - |
| W:M | 0.10 ± 0.02 *** | - | - | - | - | - |
| Root | ||||||
| EA | 0.40 ± 0.03 ** | - | - | - | - | - |
| M | 0.44 ± 0.02 ** | - | - | - | - | - |
| ET | 0.51 ± 0.01 | - | - | - | - | - |
| W | 0.2 ± 0.03 *** | - | - | - | - | - |
| EA:M | 0.46 ± 0.02 ** | - | - | - | - | - |
| AC:M | 0.16 ± 0.01 *** | - | - | - | - | - |
| W:AC | 0.09 ± 0.00 | - | - | - | - | - |
| W:M | 0.13 ± 0.05 *** | - | - | - | - | |
| Seed | ||||||
| EA | - | - | 0.98 ± 0.10 * | - | - | - |
| AC | - | - | 0.93 ± 0.30 * | - | - | - |
| M | 0.40 ± 0.10 ** | - | 0.81 ± 0.21 * | - | 1.30 ± 0.50 * | 0.59 ± 0.05 ** |
| ET | 0.46 ± 0.10 ** | - | 2.06 ± 0.32 * | - | - | - |
| W | 0.18 ± 0.05 *** | - | - | - | - | - |
| EA:M | 0.19 ± 0.03 *** | - | 1.87 ± 0.1 1* | - | 3.28 ± 0.10 * | 0.52 ± 0.30 ** |
| AC:M | 0.42 ± 0.05 ** | - | 2.55 ± 0.10 * | - | 3.10 ± 0.11 * | 0.76 ± 0.10 ** |
| W:AC | 0.10 ± 0.00 | - | 1.02 ± 0.10 * | - | 0.7 ± 0.05 ** | 0.09 ± 0.00 |
| W:M | 0.21 ± 0.02 *** | - | - | - | - | - |
| Leaves | ||||||
| EA | 0.09 ± 0.00 | 0.21 ± 0.03 *** | - | 0.8 ± 0.05 * | 0.5 ± 0.02 ** | 1.6 ± 0.04 * |
| AC | 0.06 ± 0.01 | - | - | - | - | 1.21 ± 0.05 * |
| M | 0.09 ± 0.00 | - | - | - | - | 0.5 ± 0.05 ** |
| ET | 0.25 ± 0.02 *** | - | - | - | - | 1.36 ± 0.10 * |
| W | - | - | - | - | - | - |
| EA:M | 0.43 ± 0.10 ** | 0.15 ± 0.05 *** | - | 1.45 ± 0.02 * | 0.39 ± 0.03 ** | 2.71 ± 0.04 * |
| AC:M | 0.26 ± 0.05 *** | - | - | 0.06 ± 0.00 | 0.27 ± 0.01 ** | 2.29 ± 0.05 * |
| W:AC | 0.03 ± 0.00 | - | - | 0.92 ± 0.04 * | - | - |
| W:M | 0.06 ± 0.01 | - | - | - | - | - |
| Extract | Diameter of Growth Inhibition Zone (mm ± SD) at 100 µg/disc, MIC (µg/mL) | |||||||
|---|---|---|---|---|---|---|---|---|
| Gram-Negative | Gram-Positive | |||||||
| K. pneumoniae | MIC | S. typhimurium | MIC | M. luteus | MIC | S. aureus | MIC | |
| Stem | ||||||||
| NH | 10 ± 0.58 ** | 100 | 9 ± 0.00 ** | 100 | 7 ± 0.58 | >100 | 9 ± 0.76 ** | >100 |
| CH | 8 ± 0.58 | >100 | 7 ± 0.58 | >100 | 8 ± 0.58 *** | >100 | 8 ± 0.76 | >100 |
| EA | 9 ± 0.58 ** | >100 | 9 ± 0.00 ** | >100 | 11 ± 0.00 ** | 33.3 | 9 ± 0.50 | >100 |
| AC | 9 ± 0.29 ** | >100 | 10 ± 0.58 ** | 33.3 | 11 ± 0.58 ** | 100 | - | >100 |
| M | 9 ± 0.58 ** | >100 | 8 ± 0.58 *** | 100 | 7 ± 0.58 | >100 | 10 ± 0.58 ** | 100 |
| ET | 8 ± 0.58 | >100 | 7 ± 1.00 | >100 | 10 ± 0.58 ** | 100 | - | >100 |
| W | 8.5 ± 0.50 *** | >100 | 9 ± 0.58 ** | >100 | 6 ± 0.00 | 100 | 8 ± 0.58 *** | >100 |
| NH:EA | 10 ± 0.58 ** | 100 | 11 ± 0.58 ** | 33.3 | 9 ± 0.58 ** | >100 | 8 ± 0.58 *** | >100 |
| NH:ET | 10 ± 0.58 ** | 100 | 11 ± 1.00 ** | 33.3 | 7 ± 0.00 *** | >100 | 9 ± 0.58 ** | >100 |
| CH:M | 8 ± 0.58 | >100 | - | >100 | 9 ± 0.58 ** | >100 | 8 ± 1.00 | >100 |
| EA:M | 11 ± 0.58 ** | 33.3 | 13 ± 0.58 * | 33.3 | 8 ± 0.00 | >100 | 8 ± 0.58 | >100 |
| AC:M | 10 ± 0.58 ** | 100 | 14 ± 0.58 * | 11.1 | 8 ± 0.58 *** | >100 | 7 ± 0.58 *** | >100 |
| W:AC | 8 ± 0.58 *** | 100 | 10 ± 0.58 ** | 33.3 | - | >100 | 8 ± 0.29 | >100 |
| W:M | 8 ± 0.58 *** | >100 | 10 ± 1.15 ** | 33.3 | 9 ± 0.58 ** | >100 | 9 ± 0.00 ** | >100 |
| Root | ||||||||
| NH | 10 ± 0.58 ** | 100 | 9 ± 0.58 | >100 | 7 ± 0.58 | >100 | 8 ± 0.58 *** | >100 |
| CH | 10 ± 0.58 ** | 100 | 10 ± 0.58 ** | 100 | 9 ± 0.00 ** | >100 | 7 ± 1.00 | >100 |
| EA | 10 ± 0.58 ** | 100 | 11 ± 0.58 ** | 33.3 | 9 ± 0.58 ** | >100 | 8 ± 0.58 *** | >100 |
| AC | 10 ± 0.00 ** | 33.3 | 11 ± 0.58 ** | 33.3 | 9 ± 0.58 ** | >100 | 6 ± 0.00 | >100 |
| M | 11 ± 0.58 ** | 33.3 | 13 ± 0.58 * | 33.3 | 9 ± 0.58 ** | >100 | 7 ± 1.00 *** | >100 |
| ET | 12 ± 0.29 ** | 100 | 11 ± 0.58 ** | 94 | 8 ± 0.00 *** | >100 | 9 ± 1.15 ** | >100 |
| W | 7 ± 0.58 | >100 | 10 ± 0.58 | 100 | 7 ± 0.58 | >100 | 7 ± 1.00 | >100 |
| NH:EA | 7 ± 0.58 *** | >100 | 13 ± 0.58 * | 33.3 | 10 ± 0.58 ** | 100 | 8 ± 0.58 *** | >100 |
| NH:ET | 7 ± 0.58 | >100 | 14 ± 0.58 * | 11.1 | - | >100 | 8 ± 0.58 | >100 |
| CH:M | 9 ± 1.73 ** | >100 | 14 ± 0.58 * | 11.1 | 11 ± 0.00 ** | 100 | 8 ± 1.00 *** | >100 |
| EA:M | 8 ± 0.58 *** | >100 | 14 ± 1.00 * | 11.1 | 8 ± 0.58 | >100 | 8 ± 0.58 *** | >100 |
| AC:M | 7 ± 0.58 *** | >100 | 14 ± 1.15* | 33.3 | 14 ± 0.58 * | 11.1 | 8 ± 0.58 | >100 |
| W:AC | 7 ± 0.58 *** | >100 | 13 ± 0.58 * | 33.3 | 10 ± 0.58 ** | 100 | 9 ± 0.58 ** | >100 |
| W:M | 7 ± 0.00 | >100 | 10 ± 0.58 ** | 100 | 10 ± 0.58 ** | 100 | 8 ± 0.58 *** | >100 |
| Seeds | ||||||||
| NH | 10 ± 0.58 | 100 | 13 ± 0.58 * | 11.1 | 9 ± 0.58 | >100 | 9 ± 0.58 | >100 |
| CH | 10 ± 0.58 ** | 100 | 20 ± 1.00 * | 3.7 | 9 ± 0.58 ** | >100 | 9 ± 0.58 ** | >100 |
| EA | 7 ± 0.58 *** | >100 | 14 ± 1.00 * | 4.7 | 10 ± 0.00 ** | 100 | 8 ± 1.00 *** | >100 |
| AC | 9 ± 0.58 ** | >100 | 9 ± 1.00 | >100 | 10 ± 0.58 ** | 100 | 6 ± 0.58 *** | >100 |
| M | 10 ± 0.58 | 100 | 16 ± 0.58 * | 3.7 | 7 ± 0.58 | >100 | 9 ± 0.00 ** | >100 |
| ET | 9 ± 0.58 ** | >100 | 14 ± 0.58 * | 11.1 | 10 ± 0.58 ** | 100 | 8 ± 0.58 | >100 |
| W | 10 ± 0.58 ** | 100 | 7 ± 0.58 | >100 | 7 ± 0.00 *** | >100 | 7 ± 0.58 | >100 |
| NH:EA | 12 ± 0.58 ** | 33.3 | 10 ± 0.58 ** | 100 | 9 ± 0.58 ** | >100 | 9 ± 0.58 ** | >100 |
| NH:ET | 10 ± 0.58 ** | 100 | 12 ± 1.00 ** | 33.3 | 8 ± 0.58 | >100 | 10 ± 0.58 ** | 100 |
| CH:M | 9 ± 0.58 ** | >100 | 15 ± 0.58 * | 3.7 | 9 ± 0.00 ** | >100 | 10 ± 0.58 ** | 100 |
| EA:M | 11 ± 0.58 ** | 100 | 10 ± 0.58 ** | 100 | 8 ± 0.00 | >100 | 9 ± 0.00 ** | >100 |
| AC:M | 9 ± 0.55 | >100 | 12 ± 0.58 ** | 33.3 | 8 ± 0.58 *** | >100 | 8 ± 1.00 | >100 |
| W:AC | 9 ± 1.15** | >100 | 9 ± 1.00 ** | >100 | 7 ± 0.58 | >100 | 9 ± 1.00 ** | >100 |
| W:M | 9 ± 0.58 ** | >100 | 8 ± 0.58 | >100 | 9 ± 0.58 ** | >100 | 8 ± 0.58 | >100 |
| Leaves | ||||||||
| NH | 9 ± 0.58 ** | >100 | 9 ± 0.58 | >100 | 9 ± 0.58 ** | >100 | 10 ± 0.58 ** | 100 |
| CH | 8 ± 0.58 | >100 | 15 ± 0.58 * | 3.7 | 9 ± 0.00 | >100 | 8 ± 0.58 | >100 |
| EA | 10 ± 0.58 ** | 100 | 10 ± 1.53** | 100 | 10 ± 0.58 ** | 100 | 8 ± 0.58 *** | >100 |
| AC | 10 ± 0.58 ** | 100 | 12 ± 0.58 ** | 33.3 | - | >100 | 10 ± 0.58 ** | 100 |
| M | 10 ± 0.58 ** | 100 | 10 ± 0.58 | 100 | 9 ± 0.58 ** | >100 | 8 ± 0.58 | >100 |
| ET | 9 ± 0.58 | >100 | 8 ± 0.58 *** | >100 | 8 ± 0.58 *** | >100 | 8 ± 0.58 *** | >100 |
| W | 9 ± 0.58 ** | >100 | 11 ± 0.58 ** | 100 | - | >100 | 8 ± 1.15 *** | >100 |
| NH:EA | 9 ± 0.58 ** | >100 | 16 ± 0.58 * | 3.7 | 8 ± 0.58 | >100 | 8 ± 0.58 | >100 |
| NH:ET | 10 ± 0.58 ** | 100 | 8 ± 0.58 | >100 | 8 ± 0.58 *** | >100 | 9 ± 1.00 ** | >100 |
| CH:M | 8 ± 0.58 | >100 | 10 ± 1.00 ** | 100 | 6 ± 0.00 | >100 | 8 ± 0.58 *** | >100 |
| EA:M | 7 ± 0.58 *** | >100 | 10 ± 0.58 ** | 100 | 11 ± 0.58 ** | 100 | 10 ± 0.58 ** | 100 |
| AC:M | 8 ± 0.58 | >100 | 10 ± 1.15** | 100 | 7 ± 0.58 *** | >100 | 8 ± 0.58 | >100 |
| W:AC | 12 ± 0.58 ** | 33.3 | 10 ± 1.15** | 100 | 6 ± 0.00 | >100 | 8 ± 0.58 | >100 |
| W:M | 10 ± 0.58 | 100 | 10 ± 0.58 ** | 100 | 7 ± 0.00 *** | >100 | 8 ± 0.58 *** | >100 |
| Standards | ||||||||
| Ciprofloxacin | 17 ± 1.6 | 0.06 | 10 ± 0.07 | 0.06 | 24 ± 0.95 | 0.8 | 15 ± 0.85 | 0.125 |
| Cefixime | 19.5 ± 1.3 | 0.2 | 21 ± 0.85 | 0.02 | 24.6 ± 0.6 | 0.8 | 22.5 ± 0.11 | 0.25 |
| Extract | Diameter of Growth Inhibition Zone (mm) at 100 µg/disc, MIC (µg/disc) | |||||||||
|---|---|---|---|---|---|---|---|---|---|---|
| A. flavus | MIC | A. niger | MIC | F. solani | MIC | A. fumigatus | MIC | Mucor sp. | MIC | |
| Stem | ||||||||||
| NH | 9 ± 1.00 ** | - | 7 ± 0.00 *** | - | 9 ± 0.00 ** | - | 13 ± 0.58 * | 100 | 7 ± 0.58 | - |
| CH | 8 ± 0.58 | - | - | - | 10 ± 0.58 ** | - | 7 ± 0.00 | - | - | - |
| EA | 7 ± 0.58 *** | - | 7 ± 0.58 *** | - | - | - | 8 ± 0.58 *** | - | - | - |
| AC | - | - | 9 ± 0.58 ** | - | 8 ± 0.58 *** | - | 13 ± 0.58 * | 100 | - | - |
| M | - | - | - | - | - | - | 11 ± 0.58 ** | - | - | - |
| ET | - | - | - | - | 8 ± 0.58 | - | 8 ± 1.00 | - | - | - |
| W | 10 ± 1.73 ** | - | 8 ± 0.58 *** | - | 9 ± 0.58 ** | - | 13 ± 1.52 * | 100 | 7 ± 1.00 *** | - |
| NH:EA | 9 ± 1.73 ** | - | - | - | 13 ± 0.58 * | 100 | - | - | - | - |
| NH:ET | - | - | 11 ± 0.00 ** | - | 12 ± 0.58 * | 100 | 7 ± 0.58 | - | - | - |
| CH:M | 8 ± 0.00 *** | - | - | - | - | - | - | - | - | - |
| EA:M | 8 ± 1.15 *** | - | - | - | 7 ± 0.00 *** | - | 9 ± 1.15 ** | - | - | - |
| AC:M | - | - | - | - | 8 ± 0.00 | - | - | - | - | - |
| W:AC | 11 ± 1.00 ** | - | - | - | - | - | 12 ± 1.00 * | 100 | - | - |
| W:M | 9 ± 0.58 ** | - | - | - | - | - | 12 ± 1.52 * | 100 | - | - |
| Root | ||||||||||
| NH | 8.5 ± 0.5 | - | - | - | 6.5 ± 0.00 | - | 9 ± 1.73 ** | - | 6.5 ± 0.50 | - |
| CH | 8 ± 1.52 *** | - | - | 7 ± 0.58 *** | - | 7 ± 0.58 *** | - | 8 ± 0.58 *** | - | |
| EA | - | - | - | - | 8 ± 0.58 | - | 8 ± 1.15 | - | - | - |
| AC | - | - | - | - | 8 ± 0.58 *** | - | 9 ± 1.52 ** | - | 8 ± 0.58 *** | - |
| M | 10 ± 0.58 ** | - | - | - | 8 ± 0.58 *** | - | - | - | - | - |
| ET | - | - | - | - | 8 ± 0.00 | - | 10 ± 1.52 ** | - | - | - |
| W | 9 ± 0.58 ** | - | - | - | 6.5 ± 0.02 | - | 9 ± 0.58 ** | - | - | - |
| NH:EA | 10 ± 0.58 ** | - | 7 ± 0.58 | - | 9 ± 0.58 ** | - | 12 ± 0.58 * | 100 | - | - |
| NH:ET | 8 ± 1.15 | - | - | - | 8 ± 0.58 *** | - | 6 ± 0.00 | - | - | - |
| CH:M | 9 ± 1.15 ** | - | 8 ± 0.58 *** | - | 7 ± 0.58 *** | - | 7 ± 0.58 | - | - | - |
| EA:M | - | - | 7 ± 0.00 *** | - | 7 ± 0.00 | - | 11 ± 0.58 ** | - | 12 ± 0.58 * | 100 |
| AC:M | - | - | 11 ± 0.58 ** | - | 8 ± 0.15 *** | - | 12 ± 1.15 * | 100 | - | - |
| W:AC | 10 ± 1.15 ** | - | 9 ± 0.58 | - | 12 ± 0.58 * | 100 | 12 ± 0.00 * | 100 | 12 ± 0.58 * | 100 |
| W:M | 13 ± 1.73 * | 100 | 10 ± 0.58 ** | - | 8 ± 0.58 *** | - | 13 ± 0.58 * | 100 | 10 ± 1.15 ** | - |
| Seed | ||||||||||
| NH | 10 ± 1.00 ** | - | 11 ± 0.58 ** | - | - | - | - | - | - | - |
| CH | - | - | 9 ± 0.58 ** | - | - | - | - | - | - | - |
| EA | - | - | 8 ± 0.58 | - | - | - | - | - | - | - |
| AC | - | - | 8 ± 0.00 *** | - | - | - | - | - | - | - |
| M | - | - | 9 ± 0.58 ** | - | - | - | - | - | - | - |
| ET | - | - | 8 ± 0.58 | - | - | - | - | - | - | - |
| W | - | - | 11 ± 1.67 ** | - | - | - | - | - | - | - |
| NH:EA | - | - | 9 ± 1.00 ** | - | - | - | 7 ± 0.58 | - | - | - |
| NH:ET | - | - | 8 ± 0.00 | - | - | - | - | - | - | - |
| CH:M | - | - | 11 ± 0.58 ** | - | - | - | 7 ± 0.58 *** | - | - | - |
| EA:M | - | - | 8 ± 0.58 | - | - | - | - | - | - | - |
| AC:M | - | - | 7 ± 0.00 *** | - | - | - | - | - | - | - |
| W:AC | - | - | 10 ± 0.58 ** | - | - | - | - | - | - | - |
| W:M | - | - | 11 ± 1.15 | - | - | - | - | - | - | - |
| Leaves | ||||||||||
| NH | 8 ± 1.15 *** | - | 10 ± 0.58 ** | - | 8 ± 0.58 | - | 10 ± 0.58 ** | - | 10 ± 1.52 ** | - |
| CH | 9 ± 0.58 ** | - | 9 ± 0.00 ** | - | 9 ± 0.58 ** | - | 11 ± 0.58 ** | - | 15 ± 1.00 * | 100 |
| EA | 9 ± 1.73** | - | 9 ± 0.00 | - | 8 ± 0.58 *** | - | 10 ± 0.58 | - | 12 ± 0.58 * | 100 |
| AC | 9 ± 0.58 ** | - | 7 ± 1.00 | - | 10 ± 0.00 | - | 9 ± 0.58 ** | - | 8 ± 0.58 | - |
| M | 8 ± 1.15 | - | 10 ± 1.53 ** | - | 9 ± 0.58 ** | - | 9 ± 0.58 ** | - | 9 ± 0.58 ** | - |
| ET | 10 ± 1.52 ** | - | 9 ± 0.00 ** | - | 9 ± 0.15 ** | - | 9 ± 0.58 ** | - | 11 ± 0.58 | - |
| W | 7 ± 0.58 | - | 7 ± 1.53 | - | 11 ± 0.58 | - | 9 ± 1.15** | - | 9 ± 0.58 ** | - |
| NH:EA | 9 ± 0.58 ** | - | 10 ± 0.58 ** | - | 11 ± 0.58 ** | - | 9 ± 1.15 | - | 8 ± 0.58 | - |
| NH:ET | 9 ± 0.58 | - | 7 ± 0.58 *** | - | 9 ± 0.58 ** | - | 10 ± 0.58 ** | - | 13 ± 0.58 * | 100 |
| CH:M | 11 ± 0.58 ** | - | 7 ± 1.15 | - | 10 ± 0.58 ** | - | 9 ± 0.58 ** | - | 9 ± 0.58 ** | - |
| EA:M | 10 ± 0.58 ** | - | 8 ± 1.15*** | - | 11 ± 0.58 | - | - | - | 10 ± 1.53** | - |
| AC:M | 9 ± 0.58 ** | - | 9 ± 0.58 ** | - | 11 ± 1.15 ** | - | - | - | 11 ± 0.58 | - |
| W:AC | 9 ± 0.00 ** | - | 10 ± 1.52 ** | - | 8 ± 0.58 | - | 7 ± 0.58 | - | 11 ± 0.58 ** | - |
| W:M | 7 ± 0.00 | - | 11 ± 1.52 ** | - | 8 ± 0.58 *** | - | 9 ± 0.58 ** | - | 6.5 ± 0.50 *** | - |
| Standard | ||||||||||
| Clotrimazole | 30 ± 0.58 | 1.11 | 35 ± 2.30 | 1.11 | 28 ± 0.00 | 1.11 | 34 ± 0.58 | 1.11 | 31 ± 1.00 | 1.11 |
| Extracts | Percent Mortality at Various Concentrations (µg/mL) | |||||
|---|---|---|---|---|---|---|
| 500 | 250 | 125 | 63 | 32 | LC50 (µg/mL) | |
| Stem | ||||||
| NH | 53 ± 0.58 | 34 ± 1.15 | - | - | - | 351 |
| CH | 42 ± 0.58 | 41 ± 1.00 | - | - | - | >500 |
| EA | 41 ± 0.58 | 31 ± 1.15 | - | - | - | >500 |
| AC | 76 ± 1.53 | 54 ± 1.73 | 27 ± 1.53 | 20 ± 1.53 | 17 ± 1.15 | 200 |
| M | 69 ± 1.15 | 40 ± 1.00 | - | - | - | 300 |
| ET | 74 ± 1.15 | 65 ± 1.53 | 33 ± 1.53 | 25 ± 2.52 | 4 ± 1.53 | 248 |
| W | 25 ± 0.58 | 14 ± 1.00 | - | - | - | >500 |
| NH:EA | 20 ± 0.58 | 20 ± 1.53 | - | - | - | >500 |
| NH:ET | 50 ± 0.00 | 44 ± 0.58 | - | - | - | >500 |
| CH:M | 54 ± 1.53 | 36 ± 0.53 | - | - | - | 405 |
| EA:M | 69 ± 1.00 | 61 ± 1.00 | 55 ± 2.00 | 40 ± 2.00 | 30 ± 2.00 | 100 |
| AC:M | 62 ± 0.58 | 55 ± 0.58 | 60 ± 1.53 | 31 ± 3.61 | 13 ± 2.52 | 81 |
| W:AC | 31 ± 1.15 | 11 ± 0.58 | - | - | - | >500 |
| W:M | 30 ± 1.00 | 25 ± 1.00 | - | - | - | >500 |
| Root | ||||||
| NH | 72 ± 0.58 | 31 ± 1.00 | - | - | - | 347 |
| CH | 21 ± 0.58 | 20 ± 0.58 | - | - | - | >500 |
| EA | 95 ± 1.53 | 83 ± 1.53 | 49 ± 1.15 | 41 ± 3.61 | 23 ± 1.53 | 130 |
| AC | 89 ± 1.00 | 78 ± 10.9 | 89 ± 1.15 | 84 ± 3.61 | 43 ± 1.15 | 40 |
| M | 75 ± 1.15 | 61 ± 0.00 | 43 ± 2.08 | 32 ± 2.00 | 13 ± 2.65 | 180 |
| ET | 74 ± 1.53 | 70 ± 0.58 | 62 ± 2.52 | 51 ± 3.21 | 32 ± 2.52 | 65 |
| W | 75 ± 1.15 | 61 ± 1.15 | 23 ± 2.08 | 13 ± 2.52 | 5 ± 0.58 | 60 |
| NH:EA | 66 ± 0.58 | 63 ± 1.00 | 34 ± 2.08 | 22 ± 2.65 | 9 ± 1.00 | 200 |
| NH:ET | 51 ± 0.58 | 31 ± 1.53 | - | - | - | 500 |
| CH:M | 82 ± 1.00 | 75 ± 1.00 | 18 ± 2.00 | 15 ± 2.00 | 9 ± 1.15 | 180 |
| EA:M | 80 ± 1.00 | 73 ± 1.53 | 67 ± 3.00 | 39 ± 2.08 | 9 ± 1.00 | 78 |
| AC:M | 87 ± 0.58 | 56 ± 1.00 | 50 ± 0.58 | 22 ± 2.52 | 20 ± 0.58 | 125 |
| W:AC | 29 ± 1.00 | 14 ± 1.00 | - | - | - | >500 |
| W:M | 24 ± 1.00 | 14 ± 1.15 | - | - | - | >500 |
| Seeds | ||||||
| NH | 88 ± 1.00 | 85 ± 0.58 | 77 ± 3.51 | 68 ± 2.52 | 37 ± 2.52 | 43 |
| CH | 64 ± 1.00 | 48 ± 0.00 | - | - | - | 261 |
| EA | 71 ± 1.00 | 64 ± 1.15 | 52 ± 1.53 | 28 ± 2.00 | 19 ± 1.53 | 110 |
| AC | 83 ± 0.58 | 67 ± 0.58 | 53 ± 2.52 | 31 ± 9.87 | 28 ± 2.52 | 107 |
| M | 52 ± 1.53 | 43 ± 1.53 | - | - | - | 500 |
| ET | 62 ± 0.58 | 44 ± 1.73 | - | - | - | 289 |
| W | 20 ± 0.58 | 16 ± 1.00 | - | - | - | >500 |
| NH:EA | 97 ± 0.58 | 89 ± 1.73 | 93 ± 2.52 | 78 ± 2.08 | 28 ± 2.65 | 51 |
| NH:ET | 47 ± 1.53 | 44 ± 1.15 | - | - | - | >500 |
| CH:M | 64 ± 0.58 | 32 ± 0.58 | - | - | - | 310 |
| EA:M | 55 ± 0.58 | 54 ± 1.15 | - | - | - | 300 |
| AC:M | 51 ± 1.00 | 40 ± 0.58 | - | - | - | 500 |
| W:AC | 55 ± 0.58 | 47 ± 1.15 | - | - | - | 333 |
| W:M | 42 ± 0.58 | 37 ± 0.00 | - | - | - | >500 |
| Leaves | ||||||
| NH | 94 ± 0.58 | 70 ± 0.00 | 78 ± 1.53 | 49 ± 1.53 | 36 ± 3.61 | 67 |
| CH | 96 ± 1.00 | 90 ± 0.00 | 82 ± 2.52 | 78 ± 2.08 | 49 ± 1.53 | 35 |
| EA | 99 ± 0.58 | 94 ± 0.58 | 86 ± 1.00 | 48 ± 1.53 | 39 ± 1.15 | 71 |
| AC | 91 ± 1.00 | 80 ± 0.00 | 30 ± 0.58 | 21 ± 1.00 | 11 ± 1.00 | 190 |
| M | 69 ± 1.15 | 64 ± 1.00 | 58 ± 1.53 | 42 ± 1.53 | 30 ± 1.00 | 97 |
| ET | 75 ± 1.53 | 60 ± 1.53 | 50 ± 1.00 | 31 ± 1.00 | 19 ± 1.53 | 125 |
| W | 43 ± 1.53 | 20 ± 0.58 | - | - | - | >500 |
| NH:EA | 94 ± 1.00 | 89 ± 1.00 | 89 ± 1.53 | 63 ± 2.52 | 51 ± 1.15 | 30 |
| NH:ET | 83 ± 1.53 | 76 ± 1.53 | 71 ± 1.53 | 67 ± 0.58 | 50 ± 0.58 | 32 |
| CH:M | 81 ± 1.53 | 63 ± 1.53 | 63 ± 2.00 | 51 ± 1.53 | 41 ± 1.53 | 62 |
| EA:M | 84 ± 1.00 | 78 ± 1.53 | 62 ± 2.00 | 39 ± 1.53 | 32 ± 2.00 | 76 |
| AC:M | 82 ± 1.53 | 73 ± 1.00 | 69 ± 1.53 | 63 ± 1.53 | 54 ± 2.65 | 30 |
| W:AC | 90 ± 0.00 | 74 ± 1.53 | 60 ± 1.00 | 38 ± 1.53 | 30 ± 0.58 | 83 |
| W:M | 93 ± 2.00 | 90 ± 0.58 | 58 ± 2.00 | 56 ± 1.53 | 28 ± 2.00 | 52 |
Publisher’s Note: MDPI stays neutral with regard to jurisdictional claims in published maps and institutional affiliations. |
© 2022 by the authors. Licensee MDPI, Basel, Switzerland. This article is an open access article distributed under the terms and conditions of the Creative Commons Attribution (CC BY) license (https://creativecommons.org/licenses/by/4.0/).
Share and Cite
Sultana, T.; Ahmed, M.; Akhtar, N.; Okla, M.K.; Al-Hashimi, A.; Al-Qahtani, W.H.; Abdelgawad, H.; Ihsan-ul-Haq. Polarity Directed Appraisal of Pharmacological Potential and HPLC-DAD Based Phytochemical Profiling of Polygonum glabrum Willd. Molecules 2022, 27, 474. https://doi.org/10.3390/molecules27020474
Sultana T, Ahmed M, Akhtar N, Okla MK, Al-Hashimi A, Al-Qahtani WH, Abdelgawad H, Ihsan-ul-Haq. Polarity Directed Appraisal of Pharmacological Potential and HPLC-DAD Based Phytochemical Profiling of Polygonum glabrum Willd. Molecules. 2022; 27(2):474. https://doi.org/10.3390/molecules27020474
Chicago/Turabian StyleSultana, Tahira, Madiha Ahmed, Nosheen Akhtar, Mohammad K. Okla, Abdulrahman Al-Hashimi, Wahidah H. Al-Qahtani, Hamada Abdelgawad, and Ihsan-ul-Haq. 2022. "Polarity Directed Appraisal of Pharmacological Potential and HPLC-DAD Based Phytochemical Profiling of Polygonum glabrum Willd" Molecules 27, no. 2: 474. https://doi.org/10.3390/molecules27020474
APA StyleSultana, T., Ahmed, M., Akhtar, N., Okla, M. K., Al-Hashimi, A., Al-Qahtani, W. H., Abdelgawad, H., & Ihsan-ul-Haq. (2022). Polarity Directed Appraisal of Pharmacological Potential and HPLC-DAD Based Phytochemical Profiling of Polygonum glabrum Willd. Molecules, 27(2), 474. https://doi.org/10.3390/molecules27020474

