Biosynthesis of DNA-Alkylating Antitumor Natural Products
Abstract
1. Introduction
2. Spirocyclopropane-Containing Cyclohexadienone Natural Products
3. DNA-Alkylating Natural Products with Heterocyclic Propane as Pharmacophore
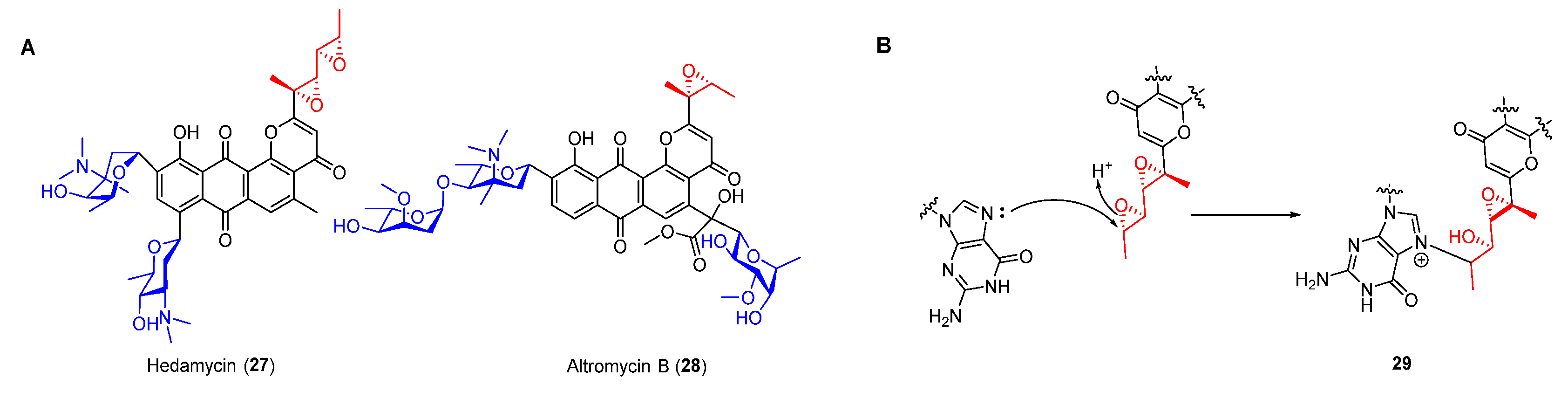
3.1. Pluramycins
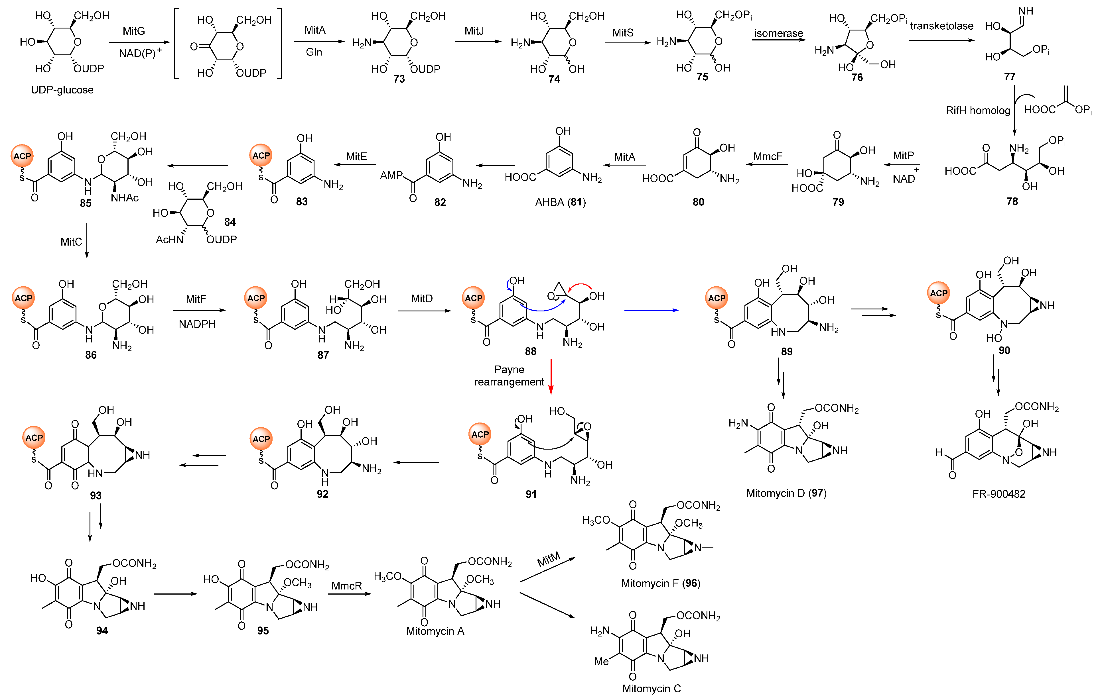
3.2. Mitomycins
3.3. Azinomycins
4. DNA-Alkylating Natural Products with Imine as Warheads
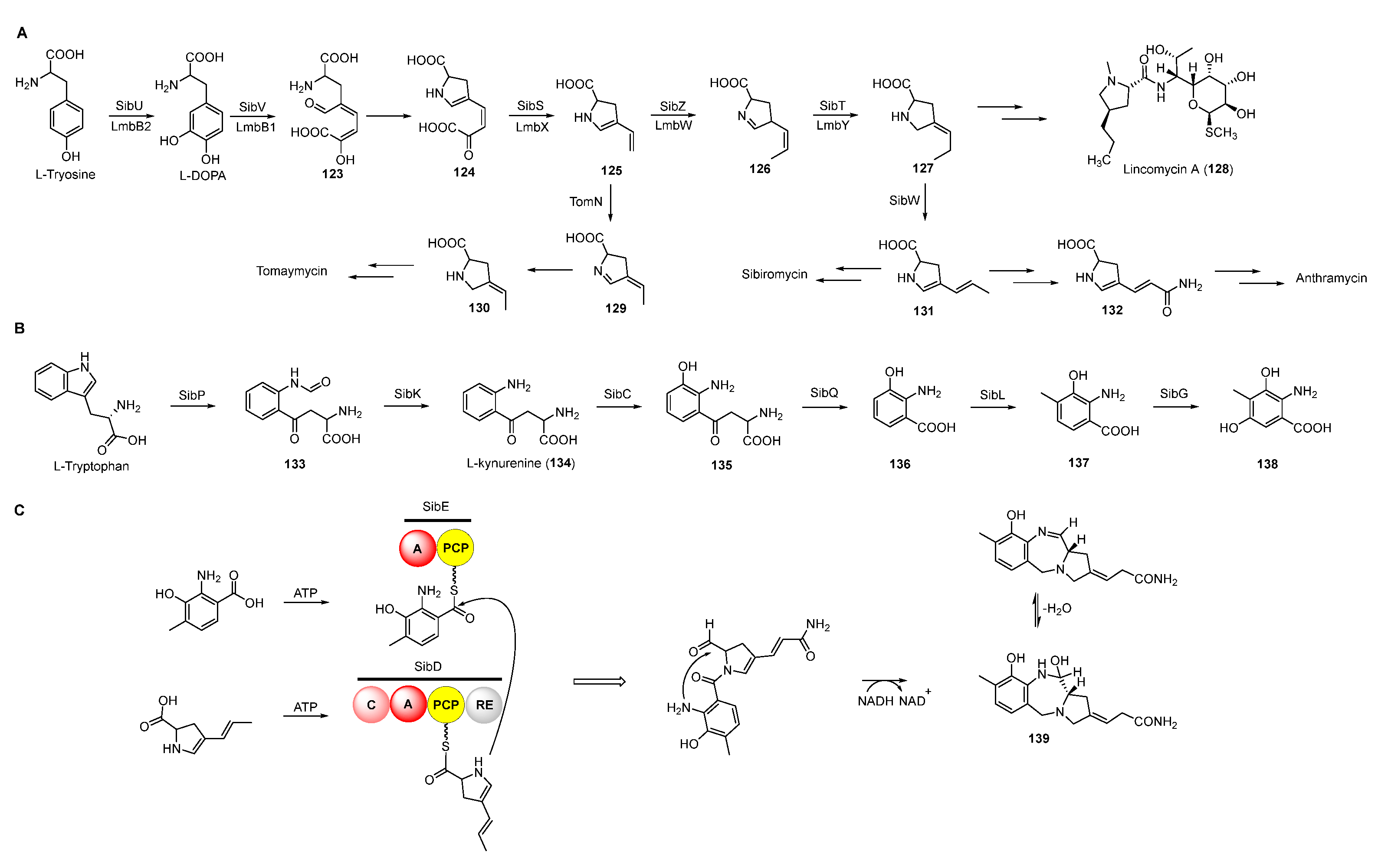
4.1. Pyrrolobenzodiazepines
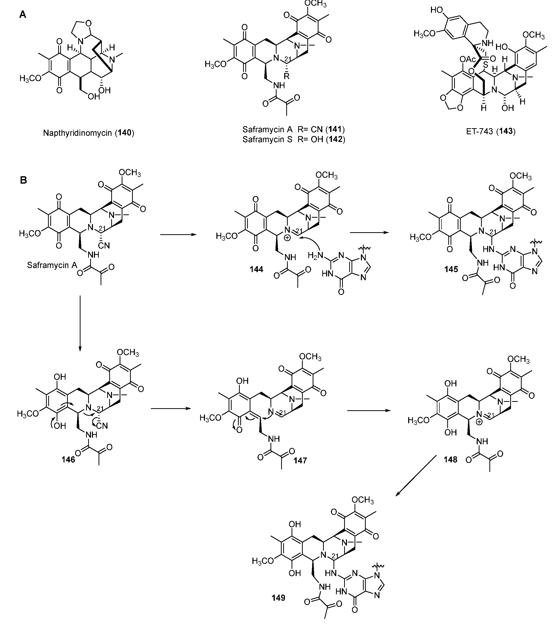
4.2. Tetrahydroisoquinolines
5. Others
5.1. Leinamycin
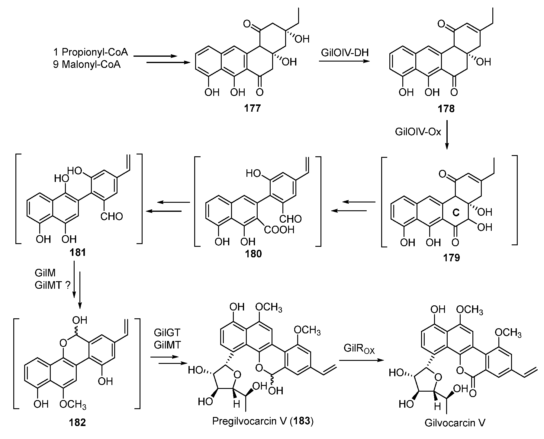
5.2. Gilvocarcins
6. Perspective
Author Contributions
Funding
Institutional Review Board Statement
Informed Consent Statement
Data Availability Statement
Conflicts of Interest
References
- Newman, D.J.; Cragg, G.M. Natural Products as Sources of New Drugs over the Nearly Four Decades from 01/1981 to 09/2019. J. Nat. Prod. 2020, 83, 770–803. [Google Scholar] [CrossRef] [PubMed]
- Rajski, S.R.; Williams, R.M. DNA Cross-Linking Agents as Antitumor Drugs. Chem. Rev. 1998, 98, 2723–2796. [Google Scholar] [CrossRef] [PubMed]
- Klaunig, J.E.; Kamendulis, L.M. Carcinogenicity. In Comprehensive Toxicology; Elsevier: Amsterdam, The Netherlands, 2010; pp. 117–138. ISBN 978-0-08-046884-6. [Google Scholar]
- Nougayrède, J.-P.; Homburg, S.; Taieb, F.; Boury, M.; Brzuszkiewicz, E.; Gottschalk, G.; Buchrieser, C.; Hacker, J.; Dobrindt, U.; Oswald, E. Escherichia Coli Induces DNA Double-Strand Breaks in Eukaryotic Cells. Science 2006, 313, 848–851. [Google Scholar] [CrossRef] [PubMed]
- Xue, M.; Kim, C.S.; Healy, A.R.; Wernke, K.M.; Wang, Z.; Frischling, M.C.; Shine, E.E.; Wang, W.; Herzon, S.B.; Crawford, J.M. Structure Elucidation of Colibactin and Its DNA Cross-Links. Science 2019, 365, eaax2685. [Google Scholar] [CrossRef]
- Wilson, M.R.; Jiang, Y.; Villalta, P.W.; Stornetta, A.; Boudreau, P.D.; Carrá, A.; Brennan, C.A.; Chun, E.; Ngo, L.; Samson, L.D.; et al. The Human Gut Bacterial Genotoxin Colibactin Alkylates DNA. Science 2019, 363, eaar7785. [Google Scholar] [CrossRef]
- Wolkenberg, S.E.; Boger, D.L. Mechanisms of in Situ Activation for DNA-Targeting Antitumor Agents. Chem. Rev. 2002, 102, 2477–2496. [Google Scholar] [CrossRef]
- Barr, J.R.; Van Atta, R.B.; Natrajan, A.; Hecht, S.M.; Van der Marel, G.A.; Van Boom, J.H. Iron(II) Bleomycin-Mediated Reduction of Oxygen to Water: An Oxygen-17 NMR Study. J. Am. Chem. Soc. 1990, 112, 4058–4060. [Google Scholar] [CrossRef]
- Konishi, M.; Ohkuma, H.; Tsuno, T.; Oki, T.; VanDuyne, G.D.; Clardy, J. Crystal and Molecular Structure of Dynemicin A: A Novel 1,5-Diyn-3-Ene Antitumor Antibiotic. J. Am. Chem. Soc. 1990, 112, 3715–3716. [Google Scholar] [CrossRef]
- Snyder, J.P.; Tipsword, G.E. Proposal for Blending Classical and Biradical Mechanisms in Antitumor Antibiotics: Dynemicin A. J. Am. Chem. Soc. 1990, 112, 4040–4042. [Google Scholar] [CrossRef]
- Ellestad, G.A.; Hamann, P.R.; Zein, N.; Morton, G.O.; Siegel, M.M.; Pastel, M.; Borders, D.B.; McGahren, W.J. Reactions of the Trisulfide Moiety in Calicheamicin. Tetrahedron Lett. 1989, 30, 3033–3036. [Google Scholar] [CrossRef]
- Myers, A.G.; Cohen, S.B.; Kwon, B.M. A Study of the Reaction of Calicheamicin.Gamma.1 with Glutathione in the Presence of Double-Stranded DNA. J. Am. Chem. Soc. 1994, 116, 1255–1271. [Google Scholar] [CrossRef]
- Ng, T.L.; Rohac, R.; Mitchell, A.J.; Boal, A.K.; Balskus, E.P. An N-Nitrosating Metalloenzyme Constructs the Pharmacophore of Streptozotocin. Nature 2019, 566, 94–99. [Google Scholar] [CrossRef]
- McBride, M.J.; Sil, D.; Ng, T.L.; Crooke, A.M.; Kenney, G.E.; Tysoe, C.R.; Zhang, B.; Balskus, E.P.; Boal, A.K.; Krebs, C.; et al. A Peroxodiiron(III/III) Intermediate Mediating Both N -Hydroxylation Steps in Biosynthesis of the N -Nitrosourea Pharmacophore of Streptozotocin by the Multi-Domain Metalloenzyme SznF. J. Am. Chem. Soc. 2020, 142, 11818–11828. [Google Scholar] [CrossRef]
- Veglia, F.; Matullo, G.; Vineis, P. Bulky DNA Adducts and Risk of Cancer: A Meta-Analysis. Cancer Epidemiol. Biomark. Prev. 2003, 12, 157–160. [Google Scholar]
- Motwani, H.V. DNA as an in Vitro Trapping Agent for Detection of Bulky Genotoxic Metabolites. J. Chromatogr. B 2020, 1152, 122276. [Google Scholar] [CrossRef]
- O’Neill, E.C.; Schorn, M.; Larson, C.B.; Millán-Aguiñaga, N. Targeted Antibiotic Discovery through Biosynthesis-Associated Resistance Determinants: Target Directed Genome Mining. Crit. Rev. Microbiol. 2019, 45, 255–277. [Google Scholar] [CrossRef]
- Galm, U.; Hager, M.H.; Van Lanen, S.G.; Ju, J.; Thorson, J.S.; Shen, B. Antitumor Antibiotics: Bleomycin, Enediynes, and Mitomycin. Chem. Rev. 2005, 105, 739–758. [Google Scholar] [CrossRef]
- Igarashi, Y.; Futamata, K.; Fujita, T.; Sekine, A.; Senda, H.; Naoki, H.; Furumai, T. Yatakemycin, a Novel Antifungal Antibiotic Produced by Streptomyces Sp. TP-A0356. J. Antibiot. 2003, 56, 107–113. [Google Scholar] [CrossRef]
- Hanka, L.J.; Dietz, A.; Gerpheide, S.A.; Kuentzel, S.L.; Martin, D.G. CC-1065 (NSC-298223), a New Antitumor Antibiotic. Production, in Vitro Biological Activity, Microbiological Assays and Taxonomy of the Producing Microorganism. J. Antibiot. 1978, 31, 1211–1217. [Google Scholar] [CrossRef]
- Ichimura, M.; Ogawa, T.; Takahashi, K.-I.; Kobayashi, E.; Kawamoto, I.; Yasuzawa, T.; Takahashi, I.; Nakano, H. Duocarmycin SA, a New Antitumor Antibiotic from Streptomyces Sp. J. Antibiot. 1990, 43, 1037–1038. [Google Scholar] [CrossRef]
- Martin, D.G.; Chidester, C.G.; Duchamp, D.J.; Mizsak, S.A. Structure of CC-1065 (NSC-298223), a New Antitumor Antibiotic. J. Antibiot. 1980, 33, 902–903. [Google Scholar] [CrossRef]
- Menderes, G.; Bonazzoli, E.; Bellone, S.; Black, J.; Predolini, F.; Pettinella, F.; Masserdotti, A.; Zammataro, L.; Altwerger, G.; Buza, N.; et al. SYD985, a Novel Duocarmycin-Based HER2-Targeting Antibody–Drug Conjugate, Shows Antitumor Activity in Uterine and Ovarian Carcinosarcoma with HER2/Neu Expression. Clin. Cancer Res. 2017, 23, 5836–5845. [Google Scholar] [CrossRef]
- Gerber, H.-P.; Koehn, F.E.; Abraham, R.T. The Antibody-Drug Conjugate: An Enabling Modality for Natural Product-Based Cancer Therapeutics. Nat. Prod. Rep. 2013, 30, 625. [Google Scholar] [CrossRef]
- Boger, D.L.; Garbaccio, R.M. Shape-Dependent Catalysis: Insights into the Source of Catalysis for the CC-1065 and Duocarmycin DNA Alkylation Reaction. Acc. Chem. Res. 1999, 32, 1043–1052. [Google Scholar] [CrossRef]
- Mullins, E.A.; Dorival, J.; Tang, G.-L.; Boger, D.L.; Eichman, B.F. Structural Evolution of a DNA Repair Self-Resistance Mechanism Targeting Genotoxic Secondary Metabolites. Nat. Commun. 2021, 12, 6942. [Google Scholar] [CrossRef]
- Xu, H.; Huang, W.; He, Q.-L.; Zhao, Z.-X.; Zhang, F.; Wang, R.; Kang, J.; Tang, G.-L. Self-Resistance to an Antitumor Antibiotic: A DNA Glycosylase Triggers the Base-Excision Repair System in Yatakemycin Biosynthesis. Angew. Chem. Int. Ed. 2012, 51, 10532–10536. [Google Scholar] [CrossRef]
- Mullins, E.A.; Shi, R.; Eichman, B.F. Toxicity and Repair of DNA Adducts Produced by the Natural Product Yatakemycin. Nat. Chem. Biol. 2017, 13, 1002–1008. [Google Scholar] [CrossRef]
- Yuan, H.; Zhang, J.; Cai, Y.; Wu, S.; Yang, K.; Chan, H.C.S.; Huang, W.; Jin, W.-B.; Li, Y.; Yin, Y.; et al. GyrI-like Proteins Catalyze Cyclopropanoid Hydrolysis to Confer Cellular Protection. Nat. Commun. 2017, 8, 1485. [Google Scholar] [CrossRef]
- Hurley, L.H.; Rokem, J.S. Biosynthesis of the Antitumor Antibiotic CC-1065 by Streptomyces zelensis. J. Antibiot. 1983, 36, 383–390. [Google Scholar] [CrossRef]
- Wu, S.; Jian, X.-H.; Yuan, H.; Jin, W.-B.; Yin, Y.; Wang, L.-Y.; Zhao, J.; Tang, G.-L. Unified Biosynthetic Origin of the Benzodipyrrole Subunits in CC-1065. ACS Chem. Biol. 2017, 12, 1603–1610. [Google Scholar] [CrossRef]
- Tichenor, M.S.; Boger, D.L. Yatakemycin: Total Synthesis, DNA Alkylation, and Biological Properties. Nat. Prod. Rep. 2008, 25, 220–226. [Google Scholar] [CrossRef] [PubMed]
- Jin, W.-B.; Wu, S.; Xu, Y.-F.; Yuan, H.; Tang, G.-L. Recent Advances in HemN-like Radical S-Adenosyl-L-Methionine Enzyme-Catalyzed Reactions. Nat. Prod. Rep. 2020, 37, 17–28. [Google Scholar] [CrossRef] [PubMed]
- Jin, W.-B.; Wu, S.; Jian, X.-H.; Yuan, H.; Tang, G.-L. A Radical S-Adenosyl-L-Methionine Enzyme and a Methyltransferase Catalyze Cyclopropane Formation in Natural Product Biosynthesis. Nat. Commun. 2018, 9, 2771. [Google Scholar] [CrossRef] [PubMed]
- Hertweck, C.; Luzhetskyy, A.; Rebets, Y.; Bechthold, A. Type II Polyketide Synthases: Gaining a Deeper Insight into Enzymatic Teamwork. Nat. Prod. Rep. 2007, 24, 162–190. [Google Scholar] [CrossRef]
- Das, A.; Khosla, C. Biosynthesis of Aromatic Polyketides in Bacteria. Acc. Chem. Res. 2009, 42, 631–639. [Google Scholar] [CrossRef]
- Wang, A.H.J.; Ughetto, G.; Quigley, G.J.; Rich, A. Interactions between an Anthracycline Antibiotic and DNA: Molecular Structure of Daunomycin Complexed to d(CpGpTpApCpG) at 1.2-.ANG. Resolution. Biochemistry 1987, 26, 1152–1163. [Google Scholar] [CrossRef]
- Williams, L.D.; Egli, M.; Qi, G.; Bash, P.; van der Marel, G.A.; van Boom, J.H.; Rich, A.; Frederick, C.A. Structure of Nogalamycin Bound to a DNA Hexamer. Proc. Natl. Acad. Sci. USA 1990, 87, 2225–2229. [Google Scholar] [CrossRef]
- Hansen, M.; Yun, S.; Hurley, L. Hedamycin Intercalates the DNA Helix and, through Carbohydrate-Mediated Recognition in the Minor Groove, Directs N7-Alkylation of Guanine in the Major Groove in a Sequence-Specific Manner. Chem. Biol. 1995, 2, 229–240. [Google Scholar] [CrossRef]
- Sun, D.; Hansen, M.; Clement, J.J.; Hurley, L.H. Structure of the Altromycin B (N7-Guanine)-DNA Adduct. A Proposed Prototypic DNA Adduct Structure for the Pluramycin Antitumor Antibiotics. Biochemistry 1993, 32, 8068–8074. [Google Scholar] [CrossRef]
- Pavlopoulos, S.; Bicknell, W.; Wickham, G.; Craik, D.J. Characterization of the Sequential Non-Covalent and Covalent Interactions of the Antitumour Antibiotic Hedamycin with Double Stranded DNA by NMR Spectroscopy. J. Mol. Recognit. 1999, 12, 346–354. [Google Scholar] [CrossRef]
- Bililign, T.; Griffith, B.R.; Thorson, J.S. Structure, Activity, Synthesis and Biosynthesis of Aryl-C-Glycosides. Nat. Prod. Rep. 2005, 22, 742. [Google Scholar] [CrossRef]
- Das, A.; Khosla, C. In Vivo and In Vitro Analysis of the Hedamycin Polyketide Synthase. Chem. Biol. 2009, 16, 1197–1207. [Google Scholar] [CrossRef]
- Bililign, T.; Hyun, C.-G.; Williams, J.S.; Czisny, A.M.; Thorson, J.S. The Hedamycin Locus Implicates a Novel Aromatic PKS Priming Mechanism. Chem. Biol. 2004, 11, 959–969. [Google Scholar] [CrossRef]
- Zhang, M.; Hou, X.-F.; Qi, L.-H.; Yin, Y.; Li, Q.; Pan, H.-X.; Chen, X.-Y.; Tang, G.-L. Biosynthesis of Trioxacarcin Revealing a Different Starter Unit and Complex Tailoring Steps for Type II Polyketide Synthase. Chem. Sci. 2015, 6, 3440–3447. [Google Scholar] [CrossRef]
- Pfoh, R.; Laatsch, H.; Sheldrick, G.M. Crystal Structure of Trioxacarcin A Covalently Bound to DNA. Nucleic Acids Res. 2008, 36, 3508–3514. [Google Scholar] [CrossRef]
- Dong, L.; Shen, Y.; Hou, X.-F.; Li, W.-J.; Tang, G.-L. Discovery of Druggability-Improved Analogues by Investigation of the LL-D49194α1 Biosynthetic Pathway. Org. Lett. 2019, 21, 2322–2325. [Google Scholar] [CrossRef]
- Pröpper, K.; Dittrich, B.; Smaltz, D.J.; Magauer, T.; Myers, A.G. Crystalline Guanine Adducts of Natural and Synthetic Trioxacarcins Suggest a Common Biological Mechanism and Reveal a Basis for the Instability of Trioxacarcin A. Bioorg. Med. Chem. Lett. 2014, 24, 4410–4413. [Google Scholar] [CrossRef]
- Fitzner, A.; Frauendorf, H.; Laatsch, H.; Diederichsen, U. Formation of Gutingimycin: Analytical Investigation of Trioxacarcin A-Mediated Alkylation of DsDNA. Anal. Bioanal. Chem. 2008, 390, 1139–1147. [Google Scholar] [CrossRef]
- Chen, X.; Bradley, N.P.; Lu, W.; Wahl, K.L.; Zhang, M.; Yuan, H.; Hou, X.-F.; Eichman, B.F.; Tang, G.-L. Base Excision Repair System Targeting DNA Adducts of Trioxacarcin/LL-D49194 Antibiotics for Self-Resistance. Nucleic Acids Res. 2022, 50, 2417–2430. [Google Scholar] [CrossRef]
- Hou, X.-F.; Song, Y.-J.; Zhang, M.; Lan, W.; Meng, S.; Wang, C.; Pan, H.-X.; Cao, C.; Tang, G.-L. Enzymology of Anthraquinone-γ-Pyrone Ring Formation in Complex Aromatic Polyketide Biosynthesis. Angew. Chem. Int. Ed. 2018, 57, 13475–13479. [Google Scholar] [CrossRef]
- Yin, Y.; Shen, Y.; Meng, S.; Zhang, M.; Pan, H.; Tang, G. Characterization of a Membrane-Bound O-acetyltransferase Involved in Trioxacarcin Biosynthesis Offers Insights into Its Catalytic Mechanism. Chin. J. Chem. 2020, 38, 1607–1611. [Google Scholar] [CrossRef]
- Bass, P.D.; Gubler, D.A.; Judd, T.C.; Williams, R.M. Mitomycinoid Alkaloids: Mechanism of Action, Biosynthesis, Total Syntheses, and Synthetic Approaches. Chem. Rev. 2013, 113, 6816–6863. [Google Scholar] [CrossRef]
- Suresh Kumar, G.; Lipman, R.; Cummings, J.; Tomasz, M. Mitomycin C−DNA Adducts Generated by DT-Diaphorase. Revised Mechanism of the Enzymatic Reductive Activation of Mitomycin C. Biochemistry 1997, 36, 14128–14136. [Google Scholar] [CrossRef]
- Hirai, O.; Shimomura, K.; Mizota, T.; Matsumoto, S.; Mori, J.; Kikuchi, H. A New Antitumor Antibiotic, FR-900482. IV. Hematological Toxicity in Mice. J. Antibiot. 1987, 40, 607–611. [Google Scholar] [CrossRef]
- August, P.R.; Flickinger, M.C.; Sherman, D.H. Cloning and Analysis of a Locus (Mcr) Involved in Mitomycin C Resistance in Streptomyces lavendulae. J. Bacteriol. 1994, 176, 4448–4454. [Google Scholar] [CrossRef]
- Sheldon, P.J.; Johnson, D.A.; August, P.R.; Liu, H.W.; Sherman, D.H. Characterization of a Mitomycin-Binding Drug Resistance Mechanism from the Producing Organism, Streptomyces lavendulae. J. Bacteriol. 1997, 179, 1796–1804. [Google Scholar] [CrossRef]
- Johnson, D.A.; August, P.R.; Shackleton, C.; Liu, H.; Sherman, D.H. Microbial Resistance to Mitomycins Involves a Redox Relay Mechanism. J. Am. Chem. Soc. 1997, 119, 2576–2577. [Google Scholar] [CrossRef]
- He, M.; Sheldon, P.J.; Sherman, D.H. Characterization of a Quinone Reductase Activity for the Mitomycin C Binding Protein (MRD): Functional Switching from a Drug-Activating Enzyme to a Drug-Binding Protein. Proc. Natl. Acad. Sci. USA 2001, 98, 926–931. [Google Scholar] [CrossRef]
- Namiki, H.; Chamberland, S.; Gubler, D.A.; Williams, R.M. Synthetic and Biosynthetic Studies on FR900482 and Mitomycin C: An Efficient and Stereoselective Hydroxymethylation of an Advanced Benzazocane Intermediate. Org. Lett. 2007, 9, 5341–5344. [Google Scholar] [CrossRef]
- Hornemann, U.; Kehrer, J.P.; Nunez, C.S.; Ranieri, R.L. D-Glucosamine and L-Citrulline, Precursors in Mitomycin Biosynthesis by Streptomyces verticillatus. J. Am. Chem. Soc. 1974, 96, 320–322. [Google Scholar] [CrossRef]
- Mao, Y.; Varoglu, M.; Sherman, D.H. Molecular Characterization and Analysis of the Biosynthetic Gene Cluster for the Antitumor Antibiotic Mitomycin C from Streptomyces lavendulae NRRL 2564. Chem. Biol. 1999, 6, 251–263. [Google Scholar] [CrossRef]
- Kim, C.-G.; Yu, T.-W.; Fryhle, C.B.; Handa, S.; Floss, H.G. 3-Amino-5-Hydroxybenzoic Acid Synthase, the Terminal Enzyme in the Formation of the Precursor of MC7N Units in Rifamycin and Related Antibiotics. J. Biol. Chem. 1998, 273, 6030–6040. [Google Scholar] [CrossRef] [PubMed]
- Guo, J.; Frost, J.W. Kanosamine Biosynthesis: A Likely Source of the Aminoshikimate Pathway’s Nitrogen Atom. J. Am. Chem. Soc. 2002, 124, 10642–10643. [Google Scholar] [CrossRef] [PubMed]
- Nguyen, H.P.; Yokoyama, K. Characterization of Acyl Carrier Protein-Dependent Glycosyltransferase in Mitomycin C Biosynthesis. Biochemistry 2019, 58, 2804–2808. [Google Scholar] [CrossRef]
- Thibodeaux, C.J.; Chang, W.; Liu, H. Enzymatic Chemistry of Cyclopropane, Epoxide, and Aziridine Biosynthesis. Chem. Rev. 2012, 112, 1681–1709. [Google Scholar] [CrossRef]
- Ogasawara, Y.; Nakagawa, Y.; Maruyama, C.; Hamano, Y.; Dairi, T. In Vitro Characterization of MitE and MitB: Formation of N-Acetylglucosaminyl-3-Amino-5-Hydroxybenzoyl-MmcB as a Key Intermediate in the Biosynthesis of Antitumor Antibiotic Mitomycins. Bioorg. Med. Chem. Lett. 2019, 29, 2076–2078. [Google Scholar] [CrossRef]
- Wang, S.; Cheng, Y.; Wang, X.; Yang, Q.; Liu, W. Tracing of Acyl Carrier Protein-Channeled Mitomycin Intermediates in Streptomyces caespitosus Facilitates Characterization of the Biosynthetic Steps for AHBA–GlcN Formation and Processing. J. Am. Chem. Soc. 2022, 144, 14945–14956. [Google Scholar] [CrossRef]
- Grüschow, S.; Chang, L.-C.; Mao, Y.; Sherman, D.H. Hydroxyquinone O-Methylation in Mitomycin Biosynthesis. J. Am. Chem. Soc. 2007, 129, 6470–6476. [Google Scholar] [CrossRef]
- Varoglu, M.; Mao, Y.; Sherman, D.H. Mapping the Mitomycin Biosynthetic Pathway by Functional Analysis of the MitM Aziridine N -Methyltransferase. J. Am. Chem. Soc. 2001, 123, 6712–6713. [Google Scholar] [CrossRef]
- Foulke-Abel, J.; Agbo, H.; Zhang, H.; Mori, S.; Watanabe, C.M.H. Mode of Action and Biosynthesis of the Azabicycle-Containing Natural Products Azinomycin and Ficellomycin. Nat. Prod. Rep. 2011, 28, 693–704. [Google Scholar] [CrossRef]
- Zang, H.; Gates, K.S. DNA Binding and Alkylation by the “Left Half” of Azinomycin B. Biochemistry 2000, 39, 14968–14975. [Google Scholar] [CrossRef]
- Alcaro, S.; Ortuso, F.; Coleman, R.S. Molecular Modeling of DNA Cross-Linking Analogues Based on the Azinomycin Scaffold. J. Chem. Inf. Model. 2005, 45, 602–609. [Google Scholar] [CrossRef]
- Coleman, R.S.; Perez, R.J.; Burk, C.H.; Navarro, A. Studies on the Mechanism of Action of Azinomycin B: Definition of Regioselectivity and Sequence Selectivity of DNA Cross-Link Formation and Clarification of the Role of the Naphthoate. J. Am. Chem. Soc. 2002, 124, 13008–13017. [Google Scholar] [CrossRef]
- Foulke-Abel, J.; Kelly, G.T.; Zhang, H.; Watanabe, C.M.H. Characterization of AziR, a Resistance Protein of the DNA Cross-Linking Agent Azinomycin B. Mol. BioSyst. 2011, 7, 2563. [Google Scholar] [CrossRef]
- Wang, S.; Liu, K.; Xiao, L.; Yang, L.; Li, H.; Zhang, F.; Lei, L.; Li, S.; Feng, X.; Li, A.; et al. Characterization of a Novel DNA Glycosylase from S. sahachiroi Involved in the Reduction and Repair of Azinomycin B Induced DNA Damage. Nucleic Acids Res. 2016, 44, 187–197. [Google Scholar] [CrossRef]
- Chen, X.; Sun, Y.; Wang, S.; Ying, K.; Xiao, L.; Liu, K.; Zuo, X.; He, J. Identification of a Novel Structure-Specific Endonuclease AziN That Contributes to the Repair of Azinomycin B-Mediated DNA Interstrand Crosslinks. Nucleic Acids Res. 2020, 48, 709–718. [Google Scholar] [CrossRef]
- Mullins, E.A.; Warren, G.M.; Bradley, N.P.; Eichman, B.F. Structure of a DNA Glycosylase That Unhooks Interstrand Cross-Links. Proc. Natl. Acad. Sci. USA 2017, 114, 4400–4405. [Google Scholar] [CrossRef]
- Kelly, G.T.; Sharma, V.; Watanabe, C.M.H. An Improved Method for Culturing Streptomyces sahachiroi: Biosynthetic Origin of the Enol Fragment of Azinomycin B. Bioorg. Chem. 2008, 36, 4–15. [Google Scholar] [CrossRef]
- Kelly, G.T.; Washburn, L.A.; Watanabe, C.M.H. The Fate of Molecular Oxygen in Azinomycin Biosynthesis. J. Org. Chem. 2019, 84, 2991–2996. [Google Scholar] [CrossRef]
- Sharma, V.; Kelly, G.T.; Watanabe, C.M.H. Exploration of the Molecular Origin of the Azinomycin Epoxide: Timing of the Biosynthesis Revealed. Org. Lett. 2008, 10, 4815–4818. [Google Scholar] [CrossRef]
- Zhao, Q.; He, Q.; Ding, W.; Tang, M.; Kang, Q.; Yu, Y.; Deng, W.; Zhang, Q.; Fang, J.; Tang, G.; et al. Characterization of the Azinomycin B Biosynthetic Gene Cluster Revealing a Different Iterative Type I Polyketide Synthase for Naphthoate Biosynthesis. Chem. Biol. 2008, 15, 693–705. [Google Scholar] [CrossRef]
- Mori, S.; Simkhada, D.; Zhang, H.; Erb, M.S.; Zhang, Y.; Williams, H.; Fedoseyenko, D.; Russell, W.K.; Kim, D.; Fleer, N.; et al. Polyketide Ring Expansion Mediated by a Thioesterase, Chain Elongation and Cyclization Domain, in Azinomycin Biosynthesis: Characterization of AziB and AziG. Biochemistry 2016, 55, 704–714. [Google Scholar] [CrossRef]
- Ding, W.; Deng, W.; Tang, M.; Zhang, Q.; Tang, G.; Bi, Y.; Liu, W. Biosynthesis of 3-Methoxy-5-Methyl Naphthoic Acid and Its Incorporation into the Antitumor Antibiotic Azinomycin B. Mol. BioSyst. 2010, 6, 1071. [Google Scholar] [CrossRef]
- Miyashita, K.; Park, M.; Adachi, S.; Seki, S.; Obika, S.; Imanishi, T. A 3,4-Epoxypiperidine Structure as a Novel and Simple DNA-Cleavage Unit. Bioorg. Med. Chem. Lett. 2002, 12, 1075–1077. [Google Scholar] [CrossRef]
- Nepal, K.K.; Lee, R.P.; Rezenom, Y.H.; Watanabe, C.M.H. Probing the Role of N -Acetyl-Glutamyl 5-Phosphate, an Acyl Phosphate, in the Construction of the Azabicycle Moiety of the Azinomycins. Biochemistry 2015, 54, 4415–4418. [Google Scholar] [CrossRef]
- Mori, S.; Nepal, K.K.; Kelly, G.T.; Sharma, V.; Simkhada, D.; Gowda, V.; Delgado, D.; Watanabe, C.M.H. Priming of Azabicycle Biosynthesis in the Azinomycin Class of Antitumor Agents. Biochemistry 2017, 56, 805–808. [Google Scholar] [CrossRef]
- Washburn, L.A.; Foley, B.; Martinez, F.; Lee, R.P.; Pryor, K.; Rimes, E.; Watanabe, C.M.H. Transketolase Activity in the Formation of the Azinomycin Azabicycle Moiety. Biochemistry 2019, 58, 5255–5258. [Google Scholar] [CrossRef]
- Kurosawa, S.; Hasebe, F.; Okamura, H.; Yoshida, A.; Matsuda, K.; Sone, Y.; Tomita, T.; Shinada, T.; Takikawa, H.; Kuzuyama, T.; et al. Molecular Basis for Enzymatic Aziridine Formation via Sulfate Elimination. J. Am. Chem. Soc. 2022, 144, 16164–16170. [Google Scholar] [CrossRef] [PubMed]
- Hasebe, F.; Matsuda, K.; Shiraishi, T.; Futamura, Y.; Nakano, T.; Tomita, T.; Ishigami, K.; Taka, H.; Mineki, R.; Fujimura, T.; et al. Amino-Group Carrier-Protein-Mediated Secondary Metabolite Biosynthesis in Streptomyces. Nat. Chem. Biol. 2016, 12, 967–972. [Google Scholar] [CrossRef] [PubMed]
- Sharma, V.; Kelly, G.T.; Foulke-Abel, J.; Watanabe, C.M.H. Aminoacetone as the Penultimate Precursor to the Antitumor Agent Azinomycin A. Org. Lett. 2009, 11, 4006–4009. [Google Scholar] [CrossRef] [PubMed]
- Antonow, D.; Thurston, D.E. Synthesis of DNA-Interactive Pyrrolo [2,1-c][1,4]Benzodiazepines (PBDs). Chem. Rev. 2011, 111, 2815–2864. [Google Scholar] [CrossRef]
- Gerratana, B. Biosynthesis, Synthesis, and Biological Activities of Pyrrolobenzodiazepines: Activities of Pyrrolobenzodiazepines. Med. Res. Rev. 2012, 32, 254–293. [Google Scholar] [CrossRef]
- Barkley, M.D.; Cheatham, S.; Thurston, D.E.; Hurley, L.H. Pyrrolo[1,4]Benzodiazepine Antitumor Antibiotics: Evidence for Two Forms of Tomaymycin Bound to DNA. Biochemistry 1986, 25, 3021–3031. [Google Scholar] [CrossRef]
- Kopka, M.L.; Goodsell, D.S.; Baikalov, I.; Grzeskowiak, K.; Cascio, D.; Dickerson, R.E. Crystal Structure of a Covalent DNA-Drug Adduct: Anthramycin Bound to C-C-A-A-C-G-T-T-G-G and a Molecular Explanation of Specificity. Biochemistry 1994, 33, 13593–13610. [Google Scholar] [CrossRef]
- Arora, S.K. Structure of Tomaymycin, a DNA Binding Antitumor Antibiotic. J. Antibiot. 1981, 34, 462–464. [Google Scholar] [CrossRef]
- Campbell, A.D.; Tomasi, S.; Tiberghien, A.C.; Parker, J.S. An Isomerization Approach to Tesirine and Pyrrolobenzodiazepines. Org. Process Res. Dev. 2019, 23, 2543–2548. [Google Scholar] [CrossRef]
- Mantaj, J.; Jackson, P.J.M.; Rahman, K.M.; Thurston, D.E. From Anthramycin to Pyrrolobenzodiazepine (PBD)-Containing Antibody-Drug Conjugates (ADCs). Angew. Chem. Int. Ed. 2017, 56, 462–488. [Google Scholar] [CrossRef]
- Li, W.; Khullar, A.; Chou, S.; Sacramo, A.; Gerratana, B. Biosynthesis of Sibiromycin, a Potent Antitumor Antibiotic. Appl. Environ. Microbiol. 2009, 75, 2869–2878. [Google Scholar] [CrossRef]
- Kamenik, Z.; Gazak, R.; Kadlcik, S.; Steiningerova, L.; Rynd, V.; Janata, J. C-C Bond Cleavage in Biosynthesis of 4-Alkyl-L-Proline Precursors of Lincomycin and Anthramycin Cannot Precede C-Methylation. Nat. Commun. 2018, 9, 3167. [Google Scholar] [CrossRef]
- Hurley, L.H. Elucidation and Formulation of Novel Biosynthetic Pathways Leading to the Pyrrolo[1,4]Benzodiazepine Antibiotics Anthramycin, Tomaymycin, and Sibiromycin. Acc. Chem. Res. 1980, 13, 263–269. [Google Scholar] [CrossRef]
- Li, W.; Chou, S.; Khullar, A.; Gerratana, B. Cloning and Characterization of the Biosynthetic Gene Cluster for Tomaymycin, an SJG-136 Monomeric Analog. Appl. Environ. Microbiol. 2009, 75, 2958–2963. [Google Scholar] [CrossRef]
- Saha, S.; Li, W.; Gerratana, B.; Rokita, S.E. Identification of the Dioxygenase-Generated Intermediate Formed during Biosynthesis of the Dihydropyrrole Moiety Common to Anthramycin and Sibiromycin. Bioorg. Med. Chem. 2015, 23, 449–454. [Google Scholar] [CrossRef]
- Keller, U. Acyl Pentapeptide Lactone Synthesis in Actinomycin-Producing Streptomycetes by Feeding with Structural Analogs of 4-Methyl-3-Hydroxyanthranilic Acid. J. Biol. Chem. 1984, 259, 8226–8231. [Google Scholar] [CrossRef]
- Matthijs, S.; Baysse, C.; Koedam, N.; Tehrani, K.A.; Verheyden, L.; Budzikiewicz, H.; Schäfer, M.; Hoorelbeke, B.; Meyer, J.-M.; De Greve, H.; et al. The Pseudomonas Siderophore Quinolobactin Is Synthesized from Xanthurenic Acid, an Intermediate of the Kynurenine Pathway: Quinolobactin Siderophore from P. Fluorescens. Mol. Microbiol. 2004, 52, 371–384. [Google Scholar] [CrossRef]
- Nguyen, K.T.; Kau, D.; Gu, J.-Q.; Brian, P.; Wrigley, S.K.; Baltz, R.H.; Miao, V. A Glutamic Acid 3-Methyltransferase Encoded by an Accessory Gene Locus Important for Daptomycin Biosynthesis in Streptomyces roseosporus. Mol. Microbiol. 2006, 61, 1294–1307. [Google Scholar] [CrossRef]
- Hu, Y.; Phelan, V.; Ntai, I.; Farnet, C.M.; Zazopoulos, E.; Bachmann, B.O. Benzodiazepine Biosynthesis in Streptomyces refuineus. Chem. Biol. 2007, 14, 691–701. [Google Scholar] [CrossRef]
- Giessen, T.W.; Kraas, F.I.; Marahiel, M.A. A Four-Enzyme Pathway for 3,5-Dihydroxy-4-Methylanthranilic Acid Formation and Incorporation into the Antitumor Antibiotic Sibiromycin. Biochemistry 2011, 50, 5680–5692. [Google Scholar] [CrossRef]
- Scott, J.D.; Williams, R.M. Chemistry and Biology of the Tetrahydroisoquinoline Antitumor Antibiotics. Chem. Rev. 2002, 102, 1669–1730. [Google Scholar] [CrossRef]
- Le, V.H.; Inai, M.; Williams, R.M.; Kan, T. Ecteinascidins. A Review of the Chemistry, Biology and Clinical Utility of Potent Tetrahydroisoquinoline Antitumor Antibiotics. Nat. Prod. Rep. 2015, 32, 328–347. [Google Scholar] [CrossRef]
- Lown, J.W.; Joshua, A.V.; Lee, J.S. Molecular Mechanisms of Binding and Single-Strand Scission of DNA by the Antitumor Antibiotics Saframycins A and C. Biochemistry 1982, 21, 419–428. [Google Scholar] [CrossRef]
- Hill, G.C.; Remers, W.A. Computer Simulation of the Binding of Saframycin A to d(GATGCATC)2. J. Med. Chem. 1991, 34, 1990–1998. [Google Scholar] [CrossRef] [PubMed]
- Zhang, Y.; Wen, W.-H.; Pu, J.-Y.; Tang, M.-C.; Zhang, L.; Peng, C.; Xu, Y.; Tang, G.-L. Extracellularly Oxidative Activation and Inactivation of Matured Prodrug for Cryptic Self-Resistance in Naphthyridinomycin Biosynthesis. Proc. Natl. Acad. Sci. USA 2018, 115, 11232–11237. [Google Scholar] [CrossRef] [PubMed]
- Wen, W.-H.; Zhang, Y.; Zhang, Y.-Y.; Yu, Q.; Jiang, C.-C.; Tang, M.-C.; Pu, J.-Y.; Wu, L.; Zhao, Y.-L.; Shi, T.; et al. Reductive Inactivation of the Hemiaminal Pharmacophore for Resistance against Tetrahydroisoquinoline Antibiotics. Nat. Commun. 2021, 12, 7085. [Google Scholar] [CrossRef] [PubMed]
- Mikami, Y.; Takahashi, K.; Yazawa, K.; Arai, T.; Namikoshi, M.; Iwasaki, S.; Okuda, S. Biosynthetic Studies on Saframycin A, a Quinone Antitumor Antibiotic Produced by Streptomyces lavendulae. J. Biol. Chem. 1985, 260, 344–348. [Google Scholar] [CrossRef]
- Arai, T.; Yazawa, K.; Takahashi, K.; Maeda, A.; Mikami, Y. Directed Biosynthesis of New Saframycin Derivatives with Resting Cells of Streptomyces lavendulae. Antimicrob. Agents Chemother. 1985, 28, 5–11. [Google Scholar] [CrossRef] [PubMed]
- Tang, M.-C.; Fu, C.-Y.; Tang, G.-L. Characterization of SfmD as a Heme Peroxidase That Catalyzes the Regioselective Hydroxylation of 3-Methyltyrosine to 3-Hydroxy-5-Methyltyrosine in Saframycin A Biosynthesis. J. Biol. Chem. 2012, 287, 5112–5121. [Google Scholar] [CrossRef]
- Fu, C.-Y.; Tang, M.-C.; Peng, C.; Li, L.; He, Y.-L.; Liu, W.; Tang, G.-L. Biosynthesis of 3-Hydroxy-5-Methyl-o-Methyltyrosine in the Saframycin/ Safracin Biosynthetic Pathway. J. Microbiol. Biotechnol. 2009, 19, 439–446. [Google Scholar] [CrossRef]
- Koketsu, K.; Watanabe, K.; Suda, H.; Oguri, H.; Oikawa, H. Reconstruction of the Saframycin Core Scaffold Defines Dual Pictet-Spengler Mechanisms. Nat. Chem. Biol. 2010, 6, 408–410. [Google Scholar] [CrossRef]
- Stöckigt, J.; Antonchick, A.P.; Wu, F.; Waldmann, H. The Pictet-Spengler Reaction in Nature and in Organic Chemistry. Angew. Chem. Int. Ed. 2011, 50, 8538–8564. [Google Scholar] [CrossRef]
- Song, L.-Q.; Zhang, Y.-Y.; Pu, J.-Y.; Tang, M.-C.; Peng, C.; Tang, G.-L. Catalysis of Extracellular Deamination by a FAD-Linked Oxidoreductase after Prodrug Maturation in the Biosynthesis of Saframycin A. Angew. Chem. Int. Ed. 2017, 129, 9244–9248. [Google Scholar] [CrossRef]
- Gates, K.S. Mechanisms of DNA Damage by Leinamycin. Chem. Res. Toxicol. 2000, 13, 953–956. [Google Scholar] [CrossRef]
- Fekry, M.I.; Szekely, J.; Dutta, S.; Breydo, L.; Zang, H.; Gates, K.S. Noncovalent DNA Binding Drives DNA Alkylation by Leinamycin: Evidence That the Z, E -5-(Thiazol-4-Yl)-Penta-2,4-Dienone Moiety of the Natural Product Serves as an Atypical DNA Intercalator. J. Am. Chem. Soc. 2011, 133, 17641–17651. [Google Scholar] [CrossRef]
- Asai, A.; Hara, M.; Kakita, S.; Kanda, Y.; Yoshida, M.; Saito, H.; Saitoh, Y. Thiol-Mediated DNA Alkylation by the Novel Antitumor Antibiotic Leinamycin. J. Am. Chem. Soc. 1996, 118, 6802–6803. [Google Scholar] [CrossRef]
- Breydo, L.; Zang, H.; Mitra, K.; Gates, K.S. Thiol-Independent DNA Alkylation by Leinamycin. J. Am. Chem. Soc. 2001, 123, 2060–2061. [Google Scholar] [CrossRef]
- Huang, S.-X.; Yun, B.-S.; Ma, M.; Basu, H.S.; Church, D.R.; Ingenhorst, G.; Huang, Y.; Yang, D.; Lohman, J.R.; Tang, G.-L.; et al. Leinamycin E1 Acting as an Anticancer Prodrug Activated by Reactive Oxygen Species. Proc. Natl. Acad. Sci. USA 2015, 112, 8278–8283. [Google Scholar] [CrossRef]
- Tang, G.-L.; Cheng, Y.-Q.; Shen, B. Chain Initiation in the Leinamycin-Producing Hybrid Nonribosomal Peptide/Polyketide Synthetase from Streptomyces Atroolivaceus S-140. Discrete, Monofunctional Adenylation Enzyme and Peptidyl Carrier Protein That Directly Load D-Alanine. J. Biol. Chem. 2007, 282, 20273–20282. [Google Scholar] [CrossRef]
- Cheng, Y.-Q.; Tang, G.-L.; Shen, B. Type I Polyketide Synthase Requiring a Discrete Acyltransferase for Polyketide Biosynthesis. Proc. Natl. Acad. Sci. USA 2003, 100, 3149–3154. [Google Scholar] [CrossRef]
- Helfrich, E.J.N.; Piel, J. Biosynthesis of Polyketides by Trans-AT Polyketide Synthases. Nat. Prod. Rep. 2016, 33, 231–316. [Google Scholar] [CrossRef]
- Tang, G.-L.; Cheng, Y.-Q.; Shen, B. Polyketide Chain Skipping Mechanism in the Biosynthesis of the Hybrid Nonribosomal Peptide−Polyketide Antitumor Antibiotic Leinamycin in Streptomyces atroolivaceus S-140. J. Nat. Prod. 2006, 69, 387–393. [Google Scholar] [CrossRef][Green Version]
- Huang, Y.; Tang, G.-L.; Pan, G.; Chang, C.-Y.; Shen, B. Characterization of the Ketosynthase and Acyl Carrier Protein Domains at the LnmI Nonribosomal Peptide Synthetase–Polyketide Synthase Interface for Leinamycin Biosynthesis. Org. Lett. 2016, 18, 4288–4291. [Google Scholar] [CrossRef]
- Cheng, Y.-Q.; Tang, G.-L.; Shen, B. Identification and Localization of the Gene Cluster Encoding Biosynthesis of the Antitumor Macrolactam Leinamycin in Streptomyces atroolivaceus S-140. J. Bacteriol. 2002, 184, 7013–7024. [Google Scholar] [CrossRef]
- Dunbar, K.L.; Scharf, D.H.; Litomska, A.; Hertweck, C. Enzymatic Carbon–Sulfur Bond Formation in Natural Product Biosynthesis. Chem. Rev. 2017, 117, 5521–5577. [Google Scholar] [CrossRef]
- Ma, M.; Lohman, J.R.; Liu, T.; Shen, B. C-S Bond Cleavage by a Polyketide Synthase Domain. Proc. Natl. Acad. Sci. USA 2015, 112, 10359–10364. [Google Scholar] [CrossRef]
- Huang, Y.; Huang, S.-X.; Ju, J.; Tang, G.; Liu, T.; Shen, B. Characterization of the LnmKLM Genes Unveiling Key Intermediates for β-Alkylation in Leinamycin Biosynthesis. Org. Lett. 2011, 13, 498–501. [Google Scholar] [CrossRef][Green Version]
- Meng, S.; Steele, A.D.; Yan, W.; Pan, G.; Kalkreuter, E.; Liu, Y.-C.; Xu, Z.; Shen, B. Thiocysteine Lyases as Polyketide Synthase Domains Installing Hydropersulfide into Natural Products and a Hydropersulfide Methyltransferase. Nat. Commun. 2021, 12, 5672. [Google Scholar] [CrossRef]
- Kwong, T.; Ma, M.; Pan, G.; Hindra; Yang, D.; Yang, C.; Lohman, J.R.; Rudolf, J.D.; Cleveland, J.L.; Shen, B. P450-Catalyzed Tailoring Steps in Leinamycin Biosynthesis Featuring Regio- and Stereoselective Hydroxylations and Substrate Promiscuities. Biochemistry 2018, 57, 5005–5013. [Google Scholar] [CrossRef]
- Kharel, M.K.; Pahari, P.; Shepherd, M.D.; Tibrewal, N.; Nybo, S.E.; Shaaban, K.A.; Rohr, J. Angucyclines: Biosynthesis, Mode-of-Action, New Natural Products, and Synthesis. Nat. Prod. Rep. 2012, 29, 264–325. [Google Scholar] [CrossRef]
- Chen, J.-M.; Shepherd, M.D.; Horn, J.; Leggas, M.; Rohr, J. Enzymatic Methylation and Structure-Activity-Relationship Studies on Polycarcin V, a Gilvocarcin-Type Antitumor Agent. ChemBioChem 2014, 15, 2729–2735. [Google Scholar] [CrossRef]
- McGee, L.R.; Misra, R. Gilvocarcin Photobiology. Isolation and Characterization of the DNA Photoadduct. J. Am. Chem. Soc. 1990, 112, 2386–2389. [Google Scholar] [CrossRef]
- Ueberschaar, N.; Xu, Z.; Scherlach, K.; Metsä-Ketelä, M.; Bretschneider, T.; Dahse, H.-M.; Görls, H.; Hertweck, C. Synthetic Remodeling of the Chartreusin Pathway to Tune Antiproliferative and Antibacterial Activities. J. Am. Chem. Soc. 2013, 135, 17408–17416. [Google Scholar] [CrossRef]
- Fischer, C.; Lipata, F.; Rohr, J. The Complete Gene Cluster of the Antitumor Agent Gilvocarcin V and Its Implication for the Biosynthesis of the Gilvocarcins. J. Am. Chem. Soc. 2003, 125, 7818–7819. [Google Scholar] [CrossRef] [PubMed]
- Liu, T.; Fischer, C.; Beninga, C.; Rohr, J. Oxidative Rearrangement Processes in the Biosynthesis of Gilvocarcin V. J. Am. Chem. Soc. 2004, 126, 12262–12263. [Google Scholar] [CrossRef] [PubMed]
- Kharel, M.K.; Zhu, L.; Liu, T.; Rohr, J. Multi-Oxygenase Complexes of the Gilvocarcin and Jadomycin Biosyntheses. J. Am. Chem. Soc. 2007, 129, 3780–3781. [Google Scholar] [CrossRef] [PubMed]
- Kharel, M.K.; Nybo, S.E.; Shepherd, M.D.; Rohr, J. Cloning and Characterization of the Ravidomycin and Chrysomycin Biosynthetic Gene Clusters. ChemBioChem 2010, 11, 523–532. [Google Scholar] [CrossRef] [PubMed]
- Noinaj, N.; Bosserman, M.A.; Schickli, M.A.; Piszczek, G.; Kharel, M.K.; Pahari, P.; Buchanan, S.K.; Rohr, J. The Crystal Structure and Mechanism of an Unusual Oxidoreductase, GilR, Involved in Gilvocarcin V Biosynthesis. J. Biol. Chem. 2011, 286, 23533–23543. [Google Scholar] [CrossRef] [PubMed]
- Chiang, C.-Y.; Ohashi, M.; Tang, Y. Deciphering Chemical Logic of Fungal Natural Product Biosynthesis Through Heterologous Expression and Genome Mining. Nat. Prod. Rep. 2022. [Google Scholar] [CrossRef] [PubMed]
- Bradley, N.P.; Wahl, K.L.; Steenwyk, J.L.; Rokas, A.; Eichman, B.F. Resistance-Guided Mining of Bacterial Genotoxins Defines a Family of DNA Glycosylases. mBio 2022, 13, e0329721. [Google Scholar] [CrossRef]
























Publisher’s Note: MDPI stays neutral with regard to jurisdictional claims in published maps and institutional affiliations. |
© 2022 by the authors. Licensee MDPI, Basel, Switzerland. This article is an open access article distributed under the terms and conditions of the Creative Commons Attribution (CC BY) license (https://creativecommons.org/licenses/by/4.0/).
Share and Cite
Nie, Q.-Y.; Hu, Y.; Hou, X.-F.; Tang, G.-L. Biosynthesis of DNA-Alkylating Antitumor Natural Products. Molecules 2022, 27, 6387. https://doi.org/10.3390/molecules27196387
Nie Q-Y, Hu Y, Hou X-F, Tang G-L. Biosynthesis of DNA-Alkylating Antitumor Natural Products. Molecules. 2022; 27(19):6387. https://doi.org/10.3390/molecules27196387
Chicago/Turabian StyleNie, Qiu-Yue, Yu Hu, Xian-Feng Hou, and Gong-Li Tang. 2022. "Biosynthesis of DNA-Alkylating Antitumor Natural Products" Molecules 27, no. 19: 6387. https://doi.org/10.3390/molecules27196387
APA StyleNie, Q.-Y., Hu, Y., Hou, X.-F., & Tang, G.-L. (2022). Biosynthesis of DNA-Alkylating Antitumor Natural Products. Molecules, 27(19), 6387. https://doi.org/10.3390/molecules27196387

