Synthesis, Molecular Docking Study, and Cytotoxicity Evaluation of Some Novel 1,3,4-Thiadiazole as Well as 1,3-Thiazole Derivatives Bearing a Pyridine Moiety
Abstract
1. Introduction

2. Results and Discussion

2.1. Anti-Cancer Activity
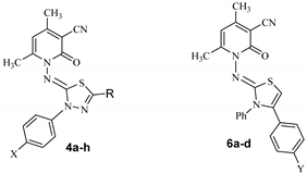
![]() | ||||
|---|---|---|---|---|
| Tested Compounds | R | X (or Y) | IC50 (µM) | |
| HCT-116 | HepG2 | |||
| 4a | COCH3 | H | 13.39 ± 1.04 | 16.44 ± 1.06 |
| 4b | COCH3 | CH3 | 32.57 ± 2.37 | 37.56 ± 1.24 |
| 4c | COCH3 | Cl | 7.91 ± 0.83 | 9.18 ± 0.91 |
| 4d | COCH3 | 2,4-diCl | 5.04 ± 0.59 | 7.32 ± 0.75 |
| 4e | COOEt | CH3 | 16.25 ± 1.05 | 19.35 ± 1.30 |
| 4f | COOEt | Cl | 4.37 ± 0.28 | 6.94 ± 0.69 |
| 4g | COOEt | NO2 | 3.35 ± 0.46 | 3.94 ± 0.80 |
| 4h | CONHPh | H | 2.03 ± 0.72 | 2.17 ± 0.83 |
| 6a | -- | H | 15.57 ± 1.30 | 19.12 ± 1.36 |
| 6b | -- | CH3 | 36.29 ± 1.32 | 25.90 ± 0.70 |
| 6c | -- | OCH3 | 21.00 ± 1.28 | 19.37 ± 1.29 |
| 6d | -- | Cl | 9.61 ± 0.88 | 7.36 ± 0.85 |
| Harmine | -- | -- | 2.40 ± 0.12 | 2.54 ± 0.82 |
2.2. Docking Study for Cytotoxicity
| Compounds | Binding Scores (kcal/mol) | Hydrogen Bond Interactions | Distance (Å) | Hydrophobic Interactions | Distance (Å) |
|---|---|---|---|---|---|
| 4a | −8.5 | MET769 | 2.08 | LEU694 VAL702 LYS721 LEU820 THR830 | 3.78 3.75 3.46, 3.93 3.24, 3.90 3.77 |
| 4b | −9.2 | MET769 | 1.96 | LEU694 VAL702 ALA719 LYS721 LEU764 LEU820 | 3.74 3.69 3.89 3.48, 3.71 3.77 3.39 |
| 4c | −8.9 | MET769 | 2.07 | LEU694 VAL702 ALA719 LYS721 LEU820 THR830 | 3.78 3.69 3.87 3.47 3.21, 3.94 3.75 |
| 4d | −9.2 | GLU738 THR830 ASP831 PHE832 | 2.71 2.64 2.20 3.17 | LEU694 PHE699 VAL702 ALA719 LYS721 LEU764 THR766 LEU820 | 3.55 3.66 3.04 3.56 3.95 3.59 3.50 3.58 |
| 4e | −8.7 | GLU738 THR830 ASP831 PHE832 | 2.71 2.64 2.20 3.17 | LEU694 PHE699 VAL702 ALA719 LYS721 LEU764 THR766 LEU820 | 3.55 3.66 3.04 3.56 3.95 3.59 3.50 3.58 |
| 4f | −8.8 | MET769 | 2.10 | LEU694 VAL702 ALA719 LYS721 LEU820 THR830 | 3.88 3.58 3.87 3.42 3.33, 3.86 3.92 |
| 4g | −9.1 | MET769 | 2.56 | LEU694 VAL702 ALA719 LYS721 LEU820 | 3.74 3.38 3.68 3.59 3.31, 3.81 |
| 4h | −10.8 | ARG841 ASN842 LYS745 THR854 | 2.08 2.27 3.48 3.45 | LEU718 VAL726 ALA743 LYS745 LEU788 THR790 | 3.74, 3.50 3.61, 3.30 3.67 3.36, 3.89 3.66 3.80 |
| 6a | −8.8 | LEU694 VAL702 ALA719 LYS721 LEU820 | 3.69 3.13, 3.91 3.61 3.73, 3.87 3.41, 3.64 | ||
| 6b | −8.9 | CYS797 | 2.29 | LEU718 VAL726 ASP855 LEU777 LEU788 THR790 LEU844 PHE997 | 3.90, 3.39, 3.47 3.64 3.67 3.08 3.48 3.48 3.53 3.29 |
| 6c | −7.9 | THR766 | 2.38 | LEU694 VAL702 LYS721 LEU820 | 3.39 3.32, 3.51 3.69, 3.73 3.39 |
| 6d | −8.8 | THR766 | 2.58 | PHE699 VAL702 ALA719 MET769 ARG817 LEU820 | 3.57 3.95 3.50 3.93 3.78 3.91, 3.48 |
| Harmine | −7.1 | LEU718 VAL726 LYS745 THR790 LEU792 | 3.61 3.58, 3.64 3.76 3.63 3.72 | ||
| W19 | −10.8 | LYS745 | 2.36 | LEU718 VAL726 LYS745 LEU777 LEU788 THR790 THR845 | 3.67 3.65, 3.94 3.85 3.79 3.97 3.73 3.79 |
3. Experimental
- Synthesis of 1-(3-cyano-4,6-dimethyl-2-oxopyridin-1(2H)-yl)-3-phenylthiourea (2)
- Synthesis of 4,6-dimethyl-2-oxo-1-((3-aryl-5-substituted-1,3,4-thiadiazol-2(3H)-ylidene)amino)-1,2-dihydropyridine-3-carbonitriles (4a–h).
- 1-((5-Acetyl-3-phenyl-1,3,4-thiadiazol-2(3H)-ylidene)amino)-4,6-dimethyl-2-oxo-1,2-dihydropyridine-3-carbonitrile (4a).
- 1-((5-Acetyl-3-(p-tolyl)-1,3,4-thiadiazol-2(3H)-ylidene)amino)-4,6-dimethyl-2-oxo-1,2-dihydropyridine-3-carbonitrile (4b).
- 1-((5-Acetyl-3-(4-chlorophenyl)-1,3,4-thiadiazol-2(3H)-ylidene)amino)-4,6-dimethyl-2-oxo-1,2-dihydropyridine-3-carbonitrile (4c).
- 1-((5-Acetyl-3-(2,4-dichlorophenyl)-1,3,4-thiadiazol-2(3H)-ylidene)amino)-4,6-dimethyl-2-oxo-1,2-dihydropyridine-3-carbonitrile (4d).
- Ethyl 5-((3-cyano-4,6-dimethyl-2-oxopyridin-1(2H)-yl)imino)-4-(p-tolyl)-4,5-dihydro-1,3,4-thiadiazole-2-carboxylate (4e).
- Ethyl 4-(4-chlorophenyl)-5-((3-cyano-4,6-dimethyl-2-oxopyridin-1(2H)-yl)imino)-4,5-dihydro-1,3,4-thiadiazole-2-carboxylate (4f).
- Ethyl 5-((3-cyano-4,6-dimethyl-2-oxopyridin-1(2H)-yl)imino)-4-(4-nitrophenyl)-4,5-dihydro-1,3,4-thiadiazole-2-carboxylate (4g).
- 5-((3-Cyano-4,6-dimethyl-2-oxopyridin-1(2H)-yl)imino)-N,4-diphenyl-4,5-dihydro-1,3,4-thiadiazole-2-carboxamide (4h).
- Synthesis of thiazoles 6a–d or 8a,b.
- 1-((3,4-Diphenylthiazol-2(3H)-ylidene)amino)-4,6-dimethyl-2-oxo-1,2-dihydropyridine-3-carbonitrile (6a).
- 4,6-Dimethyl-2-oxo-1-((3-phenyl-4-(p-tolyl)thiazol-2(3H)-ylidene)amino)-1,2-dihydropyridine-3-carbonitrile (6b).
- 1-((4-(4-Methoxyphenyl)-3-phenylthiazol-2(3H)-ylidene)amino)-4,6-dimethyl-2-oxo-1,2-dihydropyridine-3-carbonitrile (6c).
- 1-((4-(4-Chlorophenyl)-3-phenylthiazol-2(3H)-ylidene)amino)-4,6-dimethyl-2-oxo-1,2-dihydropyridine-3-carbonitrile (6d).
- 1-((5-Acetyl-4-methyl-3-phenylthiazol-2(3H)-ylidene)amino)-4,6-dimethyl-2-oxo-1,2-dihydropyridine-3-carbonitrile (8a).
- Ethyl 2-((3-cyano-4,6-dimethyl-2-oxopyridin-1(2H)-yl)imino)-4-methyl-3-phenyl-2,3-dihydrothiazole-5-carboxylate (8b).
3.1. Cytotoxic Activity
3.2. Docking Method
4. Conclusions
Supplementary Materials
Author Contributions
Institutional Review Board Statement
Informed Consent Statement
Data Availability Statement
Acknowledgments
Conflicts of Interest
Sample Availability
References
- Singh, A.K.; Kumar, A.; Singh, H.; Sonawane, P.; Paliwal, H.; Thareja, S.; Pathak, P.; Grishina, M.; Jaremko, M.; Emwas, A.-H.; et al. Concept of hybrid drugs and recent advancements in anticancer hybrids. Pharmaceuticals 2022, 15, 1071. [Google Scholar] [CrossRef]
- Wilhelm, S.; Carter, C.; Lynch, M.; Lowinger, T.; Dumas, J.; Smith, R.A.; Schwartz, B.; Simantov, R.; Kelley, S. Discovery and development of sorafenib: A multikinase inhibitor for treating cancer. Nat. Rev. Drug Discov. 2006, 5, 835–844. [Google Scholar] [CrossRef]
- DiGiulio, S. FDA Approves Stivarga for Advanced GIST. Oncol. Times 2013, 35, 12. [Google Scholar]
- Cui, J.J.; Tran-Dubé, M.; Shen, H.; Nambu, M.; Kung, P.P.; Pairish, M.; Jia, L.; Meng, J.; Funk, L.; Botrous, I.; et al. Structure Based Drug Design of Crizotinib (PF-02341066), a Potent and Selective Dual Inhibitor of Mesenchymal-Epithelial Transition Factor (c-MET) Kinase and Anaplastic Lymphoma Kinase (ALK). J. Med. Chem. 2011, 54, 6342–6363. [Google Scholar] [CrossRef] [PubMed]
- Zhao, L.X.; Moon, Y.S.; Basnet, A.; Kim, E.K.; Jahng, Y.; Park, J.G.; Jeong, T.C.; Cho, W.J.; Choi, S.U.; Lee, C.O.; et al. The discovery and synthesis of novel adenosine receptor (A2A) antagonists. Bioorg. Med. Chem. Lett. 2004, 14, 1333–1336. [Google Scholar] [CrossRef]
- Zhao, L.X.; Sherchan, J.; Park, J.K.; Jahng, Y.; Jeong, B.S.; Jeong, T.C.; Lee, C.S.; Lee, E.S. Synthesis, cytotoxicity and structure-activity relationship study of terpyridines. Arch. Pharm. Res. 2006, 29, 1091–1095. [Google Scholar] [CrossRef] [PubMed]
- Son, J.K.; Zhao, L.X.; Basnet, A.; Thapa, P.; Karki, R.; Na, Y.; Jahng, Y.; Jeong, T.C.; Jeong, B.S.; Lee, C.S.; et al. Synthesis of 2,6-diaryl-substituted pyridines and their antitumor activities. Eur. J. Med. Chem. 2008, 43, 675–682. [Google Scholar] [CrossRef] [PubMed]
- Thapa, P.; Karki, R.; Thapa, U.; Jahng, Y.; Jung, M.J.; Nam, J.M.; Na, Y.; Kwon, Y.; Lee, E.S. 2-Thienyl-4-furyl-6-aryl pyridine derivatives: Synthesis, topoisomerase I and II inhibitory activity, cytotoxicity, and structure–activity relationship study. Bioorg. Med. Chem. 2010, 18, 377–386. [Google Scholar] [CrossRef]
- Thapa, P.; Karki, R.; Choi, H.Y.; Choi, J.H.; Yun, M.; Jeong, B.S.; Jung, M.J.; Nam, J.M.; Na, Y.; Cho, W.J.; et al. Synthesis of 2-(thienyl-2-yl or -3-yl)-4-furyl-6-aryl pyridine derivatives and evaluation of their topoisomerase I and II inhibitory activity, cytotoxicity, and structure–activity relationship. Bioorg. Med. Chem. 2010, 18, 2245–2254. [Google Scholar] [CrossRef] [PubMed]
- Jeong, B.S.; Choi, H.Y.; Thapa, P.; Karki, R.; Lee, E.; Nam, J.M.; Na, Y.; Ha, E.-M.; Kwon, Y.; Lee, E.-S. Synthesis, topoisomerase I and II inhibitory activity, cytotoxicity, and structure-activity relationship study of rigid analogues of 2,4,6-trisubstituted pyridine containing 5,6-dihydrobenzo[h]quinoline moiety. Bull. Korean Chem. Soc. 2011, 32, 303–306. [Google Scholar] [CrossRef]
- Omar, A.Z.; Alshaye, N.A.; Mosa, T.M.; El-Sadany, S.K.; Hamed, E.A.; El-Atawy, M.A. Synthesis and antimicrobial activity screening of piperazines bearing n,n′-bis(1,3,4-thiadiazole) moiety as probable enoyl-ACP reductase inhibitors. Molecules 2022, 27, 3698. [Google Scholar] [CrossRef]
- Gomha, M.S.; Kheder, N.A.; Abdelaziz, M.R.; Mabkhot, Y.N.; Alhajoj, A.M. A facile synthesis and anticancer activity of some novel thiazoles carrying 1,3,4-thiadiazole moiety. Chem. Cent. J. 2017, 11, 25. [Google Scholar] [CrossRef]
- Gomha, S.M.; Abdelaziz, M.R.; Kheder, N.A.; Abdel-aziz, H.M.; Alterary, S.; Mabkhot, Y.N. A Facile access and evaluation of some novel thiazole and 1,3,4-thiadiazole derivatives incorporating thiazole moiety as potent anticancer agents. Chem. Cent. J. 2017, 11, 105. [Google Scholar] [CrossRef]
- Janowska, S.; Khylyuk, D.; Andrzejczuk, S.; Wujec, M. Design, synthesis, antibacterial evaluations and in silico studies of novel thiosemicarbazides and 1,3,4-thiadiazoles. Molecules 2022, 27, 3161. [Google Scholar] [CrossRef] [PubMed]
- Ikhlass, M.A.; Sobhi, G.; Elaasser, M.M.; Bauomi, M.A. Synthesis and biological evaluation of new pyridines containing imidazole moiety as antimicrobial and anticancer agents. Turk. J. Chem. 2015, 39, 334–346. [Google Scholar]
- Zhang, Z.-P.; Zhong, Y.; Han, Z.-B.; Zhou, L.; Su, H.-S.; Wang, J.; Liu, Y.; Cheng, M.-S. Synthesis, molecular docking analysis and biological evaluations of saccharide-modified thiadiazole sulfonamide derivatives. Int. J. Mol. Sci. 2021, 22, 5482. [Google Scholar] [CrossRef] [PubMed]
- Oleson, J.J.; Slobada, A.; Troy, W.P.; Halliday, S.L.; Landes, M.J.; Angier, R.B.; Semb, J.; Cyr, K.; Williams, J.H. The Carcinostatic activity of some 2-amino-1,3,4-thiadiazole. J. Am. Chem. Soc. 1955, 77, 6713–6714. [Google Scholar] [CrossRef]
- Matysiak, J.; Opolski, A. Synthesis and antiproliferative activity of N-substituted 2-amino-5-(2,4-dihydroxyphenyl)-1,3,4-thiadiazoles. Bioorg. Med. Chem. 2006, 14, 4483–4489. [Google Scholar] [CrossRef]
- Kumar, D.; Kumar, N.M.; Chang, K.; Shah, K. Synthesis and anticancer activity of 5-(3-indolyl)-1,3,4-thiadiazoles. Eur. J. Med. Chem. 2010, 45, 4664–4668. [Google Scholar] [CrossRef] [PubMed]
- Bhole, R.P.; Bhusari, K.P. 3-Benzhydryl-1,3,4-thiadiazole-2(3H)-thione. Med. Chem. Res. 2010, 20, 695. [Google Scholar] [CrossRef]
- Sujatha, K.; Vedula, R.R. Novel one-pot expeditious synthesis of 2, 4-disubstituted thiazoles through a three-component reaction under solvent free conditions. Synth. Commun. 2018, 48, 302–308. [Google Scholar] [CrossRef]
- Abdalla, M.A.; Gomha, S.M.; Abdelaziz, M.; Serag, N. Synthesis and antiviral evaluation of some novel thiazoles and 1,3-thiazines substituted with pyrazole moiety against rabies virus. Turk. J. Chem. 2016, 40, 441–453. [Google Scholar] [CrossRef]
- Gomha, S.M.; Khalil, K.D. A convenient ultrasound-promoted synthesis and cytotoxic activity of some new thiazole derivatives bearing a coumarin nucleus. Molecules 2012, 17, 9335–9347. [Google Scholar] [CrossRef] [PubMed]
- Nayak, S.; Gaonkar, S.L. A Review on recent synthetic strategies and pharmacological importance of 1, 3-thiazole derivatives. Mini Rev. Med. Chem. 2019, 19, 215–238. [Google Scholar] [CrossRef]
- Kumar, S.; Aggarwal, R. Thiazole: A Privileged motif in marine natural products. Mini Rev. Org. Chem. 2019, 16, 26–34. [Google Scholar] [CrossRef]
- Sharma, S.; Devgun, M.; Narang, R.; Lal, S.; Rana, A.C. Thiazoles: A retrospective study on synthesis, structure-activity relationship and therapeutic significance. Indian J. Pharm. Educ. Res. 2022, 56, 646–666. [Google Scholar] [CrossRef]
- Hassan, S.; Abdullah, M.; Aziz, D. An efficient one-pot three-component synthesis, molecular docking, ADME and DFT predictions of new series thiazolidin-4-one derivatives bearing a sulfonamide moiety as potential antimicrobial and antioxidant agents. Egypt. J. Chem. 2022, 65, 133–146. [Google Scholar] [CrossRef]
- Nastasă, C.; Tamaian, R.; Oniga, O.; Tiperciuc, B. 5-Arylidene(chromenyl-methylene)-thiazolidinediones: Potential new agents against mutant oncoproteins K-Ras, N-Ras and B-Raf in colorectal cancer and melanoma. Medicina 2019, 55, 85. [Google Scholar] [CrossRef]
- Donarska, B.; Świtalska, M.; Wietrzyk, J.; Płaziński, W.; Mizerska-Kowalska, M.; Zdzisińska, B.; Łączkowski, K.Z. Discovery of new 3,3-diethylazetidine-2,4-dione based thiazoles as nanomolar human neutrophil elastase inhibitors with broad-spectrum antiproliferative activity. Int. J. Mol. Sci. 2022, 23, 7566. [Google Scholar] [CrossRef]
- Nastasă, C.; Vodnar, D.C.; Ionuţ, I.; Stana, A.; Benedec, D.; Tamaian, R.; Oniga, O.; Tiperciuc, B. antibacterial evaluation and virtual screening of new thiazolyl-triazole schiff bases as potential dna-gyrase inhibitors. Int. J. Mol. Sci. 2018, 19, 222. [Google Scholar] [CrossRef]
- Stana, A.; Vodnar, D.C.; Marc, G.; Benedec, D.; Tiperciuc, B.; Tamaian, R.; Oniga, O. Antioxidant activity and antibacterial evaluation of new thiazolin-4-one derivatives as potential tryptophanyl-tRNA synthetase inhibitors. J. Enzym. Inhibit. Med. Chem. 2019, 34, 898–908. [Google Scholar] [CrossRef] [PubMed]
- Gomha, S.M.; Edrees, M.; Altalbawy, F. Synthesis and characterization of some new bis-pyrazolyl-thiazoles incorporating the thiophene moiety as potent anti-tumor agents. Int. J. Mol. Sci. 2016, 17, 1499. [Google Scholar] [CrossRef] [PubMed]
- Gomha, S.M.; Salah, T.A.; Abdelhamid, A.O. Synthesis, characterization, and pharmacological evaluation of some novel thiadiazoles and thiazoles incorporating pyrazole moiety as anticancer agents. Monatsh. Chem. 2015, 146, 149–158. [Google Scholar] [CrossRef]
- dos Santos Silva, T.D.; Bomfim, L.M.; da Cruz Rodrigues, A.C.B.; Dias, R.B.; Sales, C.B.S.; Rocha, C.A.G.; Soares, M.B.P.; Bezerra, D.P.; de Oliveira Cardoso, M.V.; Leite, A.C.L.; et al. Anti-liver cancer activity in vitro and in vivo induced by 2-pyridyl 2, 3-thiazole derivatives. Toxicol. Appl. Pharmacol. 2017, 329, 212–223. [Google Scholar] [CrossRef] [PubMed]
- Said, M.A.; Riyadh, S.M.; Al-Kaff, N.S.; Nayl, A.A.; Khalil, K.D.; Bräse, S.; Gomha, S.M. Synthesis and greener pastures biological study of bis-thiadiazoles as potential covid-19 drug candidates. Arab. J. Chem. 2022, 15, 104101. [Google Scholar] [CrossRef]
- Gomha, S.M.; Muhammad, Z.A.; Abdel-aziz, M.R.; Abdel-aziz, H.M.; Gaber, H.M.; Elaasser, M.M. One Pot Synthesis of new thiadiazolyl-pyridines as anticancer and antioxidant agents. J. Heterocycl. Chem. 2018, 55, 530–536. [Google Scholar] [CrossRef]
- Gomha, S.M.; Abdelhady, H.A.; Hassain, D.Z.H.; Abdelmonsef, A.H.; El-Naggar, M.; Elaasser, M.M.; Mahmoud, H.K. Thiazole based thiosemicarbazones: Synthesis, cytotoxicity evaluation and molecular docking study. Drug Des. Dev. Ther. 2021, 15, 659–677. [Google Scholar] [CrossRef]
- Gomha, S.M.; Edrees, M.M.; Muhammad, Z.A.; El-Reedy, A.A.M. 5-(Thiophen-2-yl)-1,3,4-thiadiazole derivatives: Synthesis, molecular docking and in-vitro cytotoxicity evaluation as potential anticancer agents. Drug Des. Dev. Ther. 2018, 12, 1511–1523. [Google Scholar] [CrossRef]
- Gomha, S.M.; Riyadh, S.M.; Huwaimel, B.; Zayed, M.E.M.; Abdellattif, M.H. Synthesis, molecular docking study and cytotoxic activity on mcf cells of some new thiazole clubbed thiophene scaffolds. Molecules 2022, 27, 4639. [Google Scholar] [CrossRef]
- Gomha, S.M.; Abdel-aziz, H.M.; El-Reedy, A.A.M. Facile synthesis of pyrazolo[3,4-c]pyrazoles bearing coumarine ring as anticancer agents. J. Heterocycl. Chem. 2018, 55, 1960–1965. [Google Scholar] [CrossRef]
- Edrees, M.M.; Abu-Melha, S.; Saad, A.M.; Kheder, N.A.; Gomha, S.M.; Muhammad, Z.A. Eco-friendly synthesis, characterization and biological evaluation of some new pyrazolines containing thiazole moiety as potential anticancer and antimicrobial agents. Molecules 2018, 23, 2970. [Google Scholar] [CrossRef] [PubMed]
- Abu-Melha, S.; Edrees, M.M.; Salem, H.H.; Kheder, N.A.; Gomha, S.M.; Abdelaziz, M.R. Synthesis and biological evaluation of some novel thiazole-based heterocycles as potential anticancer and antimicrobial agents. Molecules 2019, 24, 539. [Google Scholar] [CrossRef] [PubMed]
- Gomha, S.M.; Muhammad, Z.A.; Abdel-aziz, H.M.; Matar, I.K.; El-Sayed, A.A. Green synthesis, molecular docking and anticancer activity of novel 1,4-dihydropyridine-3,5-dicarbohydrazones under grind-stone chemistry. Green Chem. Lett. Rev. 2020, 13, 6–17. [Google Scholar] [CrossRef]
- Sayed, A.R.; Abd El-lateef, H.M.; Gomha, S.M.; Abolibda, T.Z. L-Proline catalyzed green synthesis and anticancer evaluation of novel bioactive benzil bis-hydrazones under grinding technique. Green Chem. Lett. Rev. 2021, 14, 179–188. [Google Scholar] [CrossRef]
- Alshabanah, L.A.; Al-Mutabagani, L.A.; Gomha, S.M.; Ahmed, H.A. Three-component synthesis of some new coumarin derivatives as anti-cancer agents. Front. Chem. 2022, 9, 762248. [Google Scholar] [CrossRef] [PubMed]
- Nayl, A.A.; Arafa, W.A.A.; Ahmed, M.; Abd-Elhamid, A.I.; El-Fakharany, E.M.; Abdelgawad, M.A.; Gomha, S.M.; Ibrahim, H.M.; Aly, A.A.; Bräse, S.; et al. Novel pyridinium based ionic liquid promoter for aqueous knoevenagel condensation: Green and efficient synthesis of new derivatives with their anticancer evaluation. Molecules 2022, 27, 2940. [Google Scholar] [CrossRef]
- Khidre, R.E.; Abu-Hashem, A.A.; El-Shazly, M. Synthesis and anti-microbial activity of some 1-substituted amino-4,6-dimethyl-2-oxo-pyridine-3-carbonitrile derivatives. Eur. J. Med. Chem. 2011, 46, 5057–5064. [Google Scholar] [CrossRef]
- Kawakita, Y.; Seto, M.; Ohashi, T.; Tamura, T.; Yusa, T.; Miki, H.; Iwata, H.; Kamiguchi, H.; Tanaka, T.; Sogabe, S.; et al. Design and synthesis of novel pyrimido[4,5-b]azepine derivatives as HER2/EGFR dual inhibitors. Bioorg. Med. Chem. 2013, 21, 2250–2261. [Google Scholar] [CrossRef]
- Sayed, A.R.; Gomha, S.M.; Abdelrazek, F.M.; Farghaly, M.S.; Hassan, S.A.; Metz, P. Design, efficient synthesis and molecular docking of some novel thiazolyl-pyrazole derivatives as anticancer agents. BMC Chem. 2019, 13, 116. [Google Scholar] [CrossRef]
- Gomha, S.M.; Riyadh, S.M.; Mahmmoud, E.A.; Elaasser, M.M. Synthesis and anticancer activity of arylazothiazoles and 1,3,4-thiadiazoles using chitosan-grafted-poly(4-vinylpyridine) as a novel copolymer basic catalyst. Chem. Heterocycl. Compd. 2015, 51, 1030–1038. [Google Scholar] [CrossRef]
- Chemical Computing Group Inc. Molecular Operating Environment (MOE); Chemical Computing Group Inc.: Montreal, QC, Canada, 2016. [Google Scholar]
- Ma, C.; Taghour, M.S.; Belal, A.; Mehany, A.B.M.; Mostafa, N.; Nabeeh, A.; Eissa, I.H.; Al-Karmalawy, A.A. Synthesis of new quinoxaline derivatives as potential histone deacetylase inhibitors targeting hepatocellular carcinoma: In Silico, In Vitro, and SAR studies. Front. Chem. 2021, 9, 725135. [Google Scholar] [CrossRef]
- El-Shershaby, M.H.; Ghiaty, A.; Bayoumi, A.H.; Al-Karmalawy, A.A.; Husseiny, E.M.; El-Zoghbi, M.S.; Abulkhair, H.S. The antimicrobial potential and pharmacokinetic profiles of novel quinoline-based scaffolds: Synthesis and in silico mechanistic studies as dual DNA gyrase and DHFR inhibitors. New J. Chem. 2021, 45, 13986–14004. [Google Scholar] [CrossRef]
- Ghanem, A.; Emara, H.A.; Muawia, S.; Abd El Maksoud, A.I.; Al-Karmalawy, A.A.; Elshal, M.F. Tanshinone IIA synergistically enhances the antitumor activity of doxorubicin by interfering with the PI3K/AKT/mTOR pathway and inhibition of topoisomeraseII: In Vitro and molecular docking studies. New J. Chem. 2020, 44, 17374–17381. [Google Scholar] [CrossRef]
- Khattab, M.; Al-Karmalawy, A.A. Revisiting Activity of Some Nocodazole Analogues as a Potential Anticancer Drugs Using Molecular Docking and DFT Calculations. Front. Chem. 2021, 9, 628398. [Google Scholar] [CrossRef] [PubMed]
- Soltan, M.A.; Eldeen, M.A.; Elbassiouny, N.; Mohamed, I.; El-Damasy, D.A.; Fayad, E.; Abu Ali, O.A.; Raafat, N.; Eid, R.A.; Al-Karmalawy, A.A. Proteome based approach defines candidates for designing a multitope vaccine against the nipah virus. Int. J. Mol. Sci. 2021, 22, 9330. [Google Scholar] [CrossRef]
- Alesawy, M.S.; Al-Karmalawy, A.A.; Elkaeed, E.B.; Alswah, M.; Belal, A.; Taghour, M.S.; Eissa, I.H. Design and discovery of new 1,2,4-triazolo[4,3-c]quinazolines as potential DNA intercalators and topoisomerase II inhibitors. Arch. Der Pharm. 2020, 354, e2000237. [Google Scholar] [CrossRef] [PubMed]
- Eliaa, S.G.; Al-Karmalawy, A.A.; Saleh, R.M.; Elshal, M.F. Empagliflozin and Doxorubicin Synergistically Inhibit the Survival of Triple-Negative Breast Cancer Cells via Interfering with the mTOR Pathway and Inhibition of Calmodulin: In Vitro and Molecular Docking Studies. ACS Pharmacol. Transl. Sci. 2020, 3, 1330–1338. [Google Scholar] [CrossRef]
- Grima, J.N.; Gatt, R.; Bray, T.G.C.; Alderson, A.; Evans, K.E. Empirical modelling using dummy atoms (EMUDA): An alternative approach for studying “auxetic” structures. Mol. Simul. 2005, 31, 915–924. [Google Scholar] [CrossRef][Green Version]
- El-Shershaby, M.H.; Ghiaty, A.; Bayoumi, A.H.; Al-Karmalawy, A.A.; Husseiny, E.M.; El-Zoghbi, M.S.; Abulkhair, H.S. From triazolophthalazines to triazoloquinazolines: A bioisosterism-guided approach toward the identification of novel PCAF inhibitors with potential anticancer activity. Bioorg. Med. Chem. 2021, 42, 116266. [Google Scholar] [CrossRef]
- Soltan, M.A.; Elbassiouny, N.; Gamal, H.; Elkaeed, E.B.; Eid, R.A.; Eldeen, M.A.; Al-Karmalawy, A.A. In Silico Prediction of a Multitope Vaccine against Moraxella catarrhalis: Reverse Vaccinology and Immunoinformatics. Vaccines 2021, 9, 669. [Google Scholar] [CrossRef]
- McConkey, B.J.; Sobolev, V.; Edelman, M. The Performance of Current Methods in Ligand–Protein Dockin. Curr. Sci. 2002, 83, 845–856. [Google Scholar]
- Abdallah, A.E.; Alesawy, M.S.; Eissa, S.I.; El-Fakharany, E.M.; Kalaba, M.H.; Sharaf, M.H.; Shama, N.M.A.; Mahmoud, S.H.; Mostafa, A.; Al-Karmalawy, A.A.; et al. Design and synthesis of new 4-(2-nitrophenoxy)benzamide derivatives as potential antiviral agents: Molecular modeling and in vitro antiviral screening. New J. Chem. 2021, 36, 16557–16571. [Google Scholar] [CrossRef]













Publisher’s Note: MDPI stays neutral with regard to jurisdictional claims in published maps and institutional affiliations. |
© 2022 by the authors. Licensee MDPI, Basel, Switzerland. This article is an open access article distributed under the terms and conditions of the Creative Commons Attribution (CC BY) license (https://creativecommons.org/licenses/by/4.0/).
Share and Cite
Abouzied, A.S.; Al-Humaidi, J.Y.; Bazaid, A.S.; Qanash, H.; Binsaleh, N.K.; Alamri, A.; Ibrahim, S.M.; Gomha, S.M. Synthesis, Molecular Docking Study, and Cytotoxicity Evaluation of Some Novel 1,3,4-Thiadiazole as Well as 1,3-Thiazole Derivatives Bearing a Pyridine Moiety. Molecules 2022, 27, 6368. https://doi.org/10.3390/molecules27196368
Abouzied AS, Al-Humaidi JY, Bazaid AS, Qanash H, Binsaleh NK, Alamri A, Ibrahim SM, Gomha SM. Synthesis, Molecular Docking Study, and Cytotoxicity Evaluation of Some Novel 1,3,4-Thiadiazole as Well as 1,3-Thiazole Derivatives Bearing a Pyridine Moiety. Molecules. 2022; 27(19):6368. https://doi.org/10.3390/molecules27196368
Chicago/Turabian StyleAbouzied, Amr S., Jehan Y. Al-Humaidi, Abdulrahman S Bazaid, Husam Qanash, Naif K. Binsaleh, Abdulwahab Alamri, Sheikh Muhammad Ibrahim, and Sobhi M. Gomha. 2022. "Synthesis, Molecular Docking Study, and Cytotoxicity Evaluation of Some Novel 1,3,4-Thiadiazole as Well as 1,3-Thiazole Derivatives Bearing a Pyridine Moiety" Molecules 27, no. 19: 6368. https://doi.org/10.3390/molecules27196368
APA StyleAbouzied, A. S., Al-Humaidi, J. Y., Bazaid, A. S., Qanash, H., Binsaleh, N. K., Alamri, A., Ibrahim, S. M., & Gomha, S. M. (2022). Synthesis, Molecular Docking Study, and Cytotoxicity Evaluation of Some Novel 1,3,4-Thiadiazole as Well as 1,3-Thiazole Derivatives Bearing a Pyridine Moiety. Molecules, 27(19), 6368. https://doi.org/10.3390/molecules27196368


