Azobenzene as Antimicrobial Molecules
Abstract
:1. Introduction
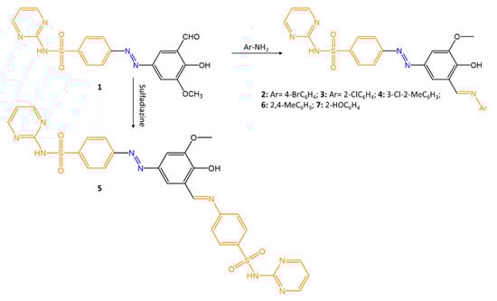
2. Substituted Azobenzene Molecules with Antimicrobial Properties
3. Azobenzene Ring Modification and Association with Biologically Active Compounds
4. Antimicrobial Organometallic Azo Compounds
5. Azo Compounds in Antimicrobial Peptides and Polymers
6. Conclusions
Supplementary Materials
Author Contributions
Funding
Institutional Review Board Statement
Data Availability Statement
Conflicts of Interest
References
- Jerca, F.A.; Jerca, V.V.; Hoogenboom, R. Advances and opportunities in the exciting world of azobenzenes. Nat. Rev. Chem. 2022, 6, 51–69. [Google Scholar] [CrossRef]
- Diana, R.; Caruso, U.; Piotto, S.; Concilio, S.; Shikler, R.; Panunzi, B. Spectroscopic behaviour of two novel azobenzene fluorescent dyes and their polymeric blends. Molecules 2020, 25, 1368. [Google Scholar] [CrossRef]
- Borbone, F.; Caruso, U.; Diana, R.; Panunzi, B.; Roviello, A.; Tingoli, M.; Tuzi, A. Second order nonlinear optical networks with excellent poling stability from a new trifunctional thiophene based chromophore. Org. Electron. 2009, 10, 53–60. [Google Scholar] [CrossRef]
- Attianese, D.; Petrosino, M.; Vacca, P.; Concilio, S.; Iannelli, P.; Rubino, A.; Bellone, S. Switching device based on a thin film of an azo-containing polymer for application in memory cells. IEEE Electron Device Lett. 2007, 29, 44–46. [Google Scholar] [CrossRef]
- Acierno, D.; Amendola, E.; Bugatti, V.; Concilio, S.; Giorgini, L.; Iannelli, P.; Piotto, S.P. Synthesis and characterization of segmented liquid crystalline polymers with the azo group in the main chain. Macromolecules 2004, 37, 6418–6423. [Google Scholar] [CrossRef]
- Diana, R.; Panunzi, B.; Shikler, R.; Nabha, S.; Caruso, U. A symmetrical azo-based fluorophore and the derived salen multipurpose framework for emissive layers. Inorg. Chem. Commun. 2019, 104, 186–189. [Google Scholar] [CrossRef]
- Banaszak-Leonard, E.; Fayeulle, A.; Franche, A.; Sagadevan, S.; Billamboz, M. Antimicrobial azo molecules: A review. J. Iran. Chem. Soc. 2021, 18, 2829–2851. [Google Scholar] [CrossRef]
- Bandara, H.D.; Burdette, S.C. Photoisomerization in different classes of azobenzene. Chem. Soc. Rev. 2012, 41, 1809–1825. [Google Scholar] [CrossRef]
- Al-Rubaie, L.; Mhessn, R.J. Synthesis and characterization of azo dye para red and new derivatives. E-J. Chem. 2012, 9, 465–470. [Google Scholar] [CrossRef]
- Heydari, E.; Mohajerani, E.; Shams, A. All optical switching in azo-polymer planar waveguide. Opt. Commun. 2011, 284, 1208–1212. [Google Scholar] [CrossRef]
- Mosciatti, T.; Bonacchi, S.; Gobbi, M.; Ferlauto, L.; Liscio, F.; Giorgini, L.; Orgiu, E.; Samorì, P. Optical Input/Electrical Output Memory Elements based on a Liquid Crystalline Azobenzene Polymer. ACS Appl. Mater. Interfaces 2016, 8, 6563–6569. [Google Scholar] [CrossRef]
- Ye, F.; Qiu, F.; Yang, D.; Cao, G.; Guan, Y.; Zhuang, L. Preparation and thermo-optic switch properties based on chiral azobenzene-containing polyurethane. Opt. Laser Technol. 2013, 49, 56–63. [Google Scholar] [CrossRef]
- Oh, S.-W.; Baek, J.-M.; Yoon, T.-H. Sunlight-switchable light shutter fabricated using liquid crystals doped with push-pull azobenzene. Opt. Express 2016, 24, 26575–26582. [Google Scholar] [CrossRef]
- Xie, X.; Gao, B.; Ma, Z.; Liu, J.; Zhang, J.; Liang, J.; Chen, Z.; Wu, L.; Li, W. Host–Guest Interaction Driven Peptide Assembly into Photoresponsive Two-Dimensional Nanosheets with Switchable Antibacterial Activity. CCS Chem. 2021, 3, 1949–1962. [Google Scholar] [CrossRef]
- Chang, V.Y.; Fedele, C.; Priimagi, A.; Shishido, A.; Barrett, C.J. Photoreversible soft azo dye materials: Toward optical control of bio-interfaces. Adv. Opt. Mater. 2019, 7, 1900091. [Google Scholar] [CrossRef]
- Chen, M.; Liang, S.; Liu, C.; Liu, Y.; Wu, S. Reconfigurable and recyclable photoactuators based on azobenzene-containing polymers. Front. Chem. 2020, 8, 706. [Google Scholar] [CrossRef]
- Dembitsky, V.M.; Gloriozova, T.A.; Poroikov, V.V. Pharmacological and predicted activities of natural azo compounds. Nat. Prod. Bioprospecting 2017, 7, 151–169. [Google Scholar] [CrossRef]
- Concilio, S.; Sessa, L.; Petrone, A.M.; Porta, A.; Diana, R.; Iannelli, P.; Piotto, S. Structure modification of an active azo-compound as a route to new antimicrobial compounds. Molecules 2017, 22, 875. [Google Scholar] [CrossRef]
- Ali, Y.; Hamid, S.A.; Rashid, U. Biomedical applications of aromatic azo compounds. Mini Rev. Med. Chem. 2018, 18, 1548–1558. [Google Scholar] [CrossRef]
- Ventura, C.R.; Wiedman, G.R. Substituting azobenzene for proline in melittin to create photomelittin: A light-controlled membrane active peptide. Biochim. Et Biophys. Acta (BBA)-Biomembr. 2021, 1863, 183759. [Google Scholar] [CrossRef]
- Prakash, S.; Somiya, G.; Elavarasan, N.; Subashini, K.; Kanaga, S.; Dhandapani, R.; Sivanandam, M.; Kumaradhas, P.; Thirunavukkarasu, C.; Sujatha, V. Synthesis and characterization of novel bioactive azo compounds fused with benzothiazole and their versatile biological applications. J. Mol. Struct. 2021, 1224, 129016. [Google Scholar] [CrossRef]
- Kaur, H.; Narasimhan, B. Antimicrobial activity of diazenyl derivatives: An update. Curr. Top. Med. Chem. 2018, 18, 3–21. [Google Scholar] [CrossRef] [PubMed]
- Peddie, V.; Abell, A.D. Photocontrol of peptide secondary structure through non-azobenzene photoswitches. J. Photochem. Photobiol. C Photochem. Rev. 2019, 40, 1–20. [Google Scholar] [CrossRef]
- Ghanavatkar, C.W.; Mishra, V.R.; Sekar, N. Benzothiazole-pyridone and benzothiazole-pyrazole clubbed emissive azo dyes and dyeing application on polyester fabric: UPF, biological, photophysical and fastness properties with correlative computational assessments. Spectrochim. Acta Part A Mol. Biomol. Spectrosc. 2020, 230, 118064. [Google Scholar] [CrossRef]
- Kaur, H.; Lim, S.M.; Ramasamy, K.; Vasudevan, M.; Shah, S.A.A.; Narasimhan, B. Diazenyl schiff bases: Synthesis, spectral analysis, antimicrobial studies and cytotoxic activity on human colorectal carcinoma cell line (HCT-116). Arab. J. Chem. 2020, 13, 377–392. [Google Scholar] [CrossRef]
- Pałasz, A.; Cież, D.; Trzewik, B.; Miszczak, K.; Tynor, G.; Bazan, B. In the search of glycoside-based molecules as antidiabetic agents. Top. Curr. Chem. 2019, 377, 19. [Google Scholar] [CrossRef]
- Alsantali, R.I.; Raja, Q.A.; Alzahrani, A.Y.; Sadiq, A.; Naeem, N.; Mughal, E.U.; Al-Rooqi, M.M.; El Guesmi, N.; Moussa, Z.; Ahmed, S.A. Miscellaneous azo dyes: A comprehensive review on recent advancements in biological and industrial applications. Dye. Pigment. 2022, 199, 110050. [Google Scholar] [CrossRef]
- Jadou, B.K.; Hameed, A.J.; Al-Rubaie, A.Z. Synthesis, Antimicrobial, Antioxidant and Structural Studies of Some New Sulfa Drug Containing an Azo-azomethine Group. Egypt. J. Chem. 2021, 64, 751–759. [Google Scholar] [CrossRef]
- Wegener, M.; Hansen, M.J.; Driessen, A.J.; Szymanski, W.; Feringa, B.L. Photocontrol of antibacterial activity: Shifting from UV to red light activation. J. Am. Chem. Soc. 2017, 139, 17979–17986. [Google Scholar] [CrossRef]
- Ball, A.; Bartlett, J.; Craig, W.; Drusano, G.; Felmingham, D.; Garau, J.; Klugman, K.; Low, D.; Mandell, L.; Rubinstein, E. Future trends in antimicrobial chemotherapy: Expert opinion on the 43rd ICAAC. J. Chemother. 2004, 16, 419–436. [Google Scholar] [CrossRef]
- Russell, A. Types of Antibiotics and Synthetic Antimicrobial Agents. In Hugo and Russel’ s Pharmaceutical Microbiology; Blackwell Science: Oxford, UK, 2004. [Google Scholar]
- Wright, G.D. Bacterial resistance to antibiotics: Enzymatic degradation and modification. Adv. Drug Deliv. Rev. 2005, 57, 1451–1470. [Google Scholar] [CrossRef] [PubMed]
- Wang, X.; Liu, Y.; Lin, Y.; Han, Y.; Huang, J.; Zhou, J.; Yan, Y. Trojan antibiotics: New weapons for fighting against drug resistance. ACS Appl. Bio Mater. 2018, 2, 447–453. [Google Scholar] [CrossRef]
- Piotto, S.; Concilio, S.; Sessa, L.; Porta, A.; Calabrese, E.C.; Zanfardino, A.; Varcamonti, M.; Iannelli, P. Small azobenzene derivatives active against bacteria and fungi. Eur. J. Med. Chem. 2013, 68, 178–184. [Google Scholar] [CrossRef] [PubMed]
- Piotto, S.; Concilio, S.; Sessa, L.; Diana, R.; Torrens, G.; Juan, C.; Caruso, U.; Iannelli, P. Synthesis and antimicrobial studies of new antibacterial azo-compounds active against staphylococcus aureus and listeria monocytogenes. Molecules 2017, 22, 1372. [Google Scholar] [CrossRef] [PubMed]
- Shams, H.Z.; Mohareb, R.M.; Helal, M.H.; Mahmoud, A.E.-S. Design and synthesis of novel antimicrobial acyclic and heterocyclic dyes and their precursors for dyeing and/or textile finishing based on 2-N-acylamino-4, 5, 6, 7-tetrahydro-benzo [b] thiophene systems. Molecules 2011, 16, 6271–6305. [Google Scholar] [CrossRef]
- Gür, M. Synthesis, Characterization, and Antimicrobial Properties of New 1, 3, 4-Thiadiazoles Derived from Azo Dyes. J. Heterocycl. Chem. 2019, 56, 980–987. [Google Scholar] [CrossRef]
- Ghoneim, A.A.; Morsy, N.M. Synthesis and structure elucidation of some new azo dye from hydroxyquinolin-2 (1H)-one derivatives and their antimicrobial evaluation. J. Iran. Chem. Soc. 2018, 15, 2567–2572. [Google Scholar] [CrossRef]
- Ben Mohamed-Smati, S.; Faraj, F.L.; Becheker, I.; Berredjem, H.; Le Bideau, F.; Hamdi, M.; Dumas, F.; Rachedi, Y. Synthesis, characterization and antimicrobial activity of some new azo dyes derived from 4-hydroxy-6-methyl-2H-pyran-2-one and its dihydro derivative. Dye. Pigment. 2021, 188, 109073. [Google Scholar] [CrossRef]
- Sessa, L.; Concilio, S.; Iannelli, P.; De Santis, F.; Porta, A.; Piotto, S. Antimicrobial azobenzene compounds and their potential use in biomaterials. In AIP Conference Proceedings; AIP Publishing LLC: Melville, NY, USA, 2016; p. 020018. [Google Scholar]
- Ali, H.M.; Badr, S.Q.; Al-Kinani, M.F.H. DNA Binding three Azo Dyes as new Antibiotics. In IOP Conference Series: Materials Science and Engineering; IOP Publishing: Bristol, UK, 2019; p. 012102. [Google Scholar]
- Erişkin, S.; Şener, N.; Yavuz, S.; Şener, İ. Synthesis, characterization, and biological activities of 4-imino-3-arylazo-4H-pyrimido [2, 1-b][1, 3] benzothiazole-2-oles. Med. Chem. Res. 2014, 23, 3733–3743. [Google Scholar] [CrossRef]
- Zhu, Y.; Li, P.; Liu, C.; Jia, M.; Luo, Y.; He, D.; Liao, C.; Zhang, S. Azobenzene quaternary ammonium salt for photo-controlled and reusable disinfection without drug resistance. Chin. Chem. Lett. 2022, in press. [Google Scholar] [CrossRef]
- Franche, A.; Fayeulle, A.; Lins, L.; Billamboz, M.; Pezron, I.; Deleu, M.; Léonard, E. Amphiphilic azobenzenes: Antibacterial activities and biophysical investigation of their interaction with bacterial membrane lipids. Bioorganic Chem. 2020, 94, 103399. [Google Scholar] [CrossRef] [PubMed]
- Slassi, S.; Fix-Tailler, A.; Larcher, G.; Amine, A.; El-Ghayoury, A. Imidazole and azo-based schiff bases ligands as highly active antifungal and antioxidant components. Heteroat. Chem. 2019, 2019, 6862170. [Google Scholar] [CrossRef]
- Iwai, N.; Nakayama, K.; Kitazume, T. Antibacterial activities of imidazolium, pyrrolidinium and piperidinium salts. Bioorganic Med. Chem. Lett. 2011, 21, 1728–1730. [Google Scholar] [CrossRef] [PubMed]
- Babamale, H.F.; Sangeetha, T.; Tan, J.S.; Yam, W. Synthesis and characterization of azobenzene derivatives and azobenzene-imidazolium conjugates with selective antimicrobial potential. J. Mol. Struct. 2021, 1232, 130049. [Google Scholar] [CrossRef]
- Salta, J.; Benhamou, R.I.; Herzog, I.M.; Fridman, M. Tuning the Effects of Bacterial Membrane Permeability through Photo-Isomerization of Antimicrobial Cationic Amphiphiles. Chem. A Eur. J. 2017, 23, 12724–12728. [Google Scholar] [CrossRef]
- Velema, W.A.; Van Der Berg, J.P.; Hansen, M.J.; Szymanski, W.; Driessen, A.J.; Feringa, B.L. Optical control of antibacterial activity. Nat. Chem. 2013, 5, 924–928. [Google Scholar] [CrossRef]
- Hu, Y.; Zou, W.; Julita, V.; Ramanathan, R.; Tabor, R.F.; Nixon-Luke, R.; Bryant, G.; Bansal, V.; Wilkinson, B.L. Photomodulation of bacterial growth and biofilm formation using carbohydrate-based surfactants. Chem. Sci. 2016, 7, 6628–6634. [Google Scholar] [CrossRef]
- Mkpenie, V.N.; Essien, E.E.; Mkpenie, I.V. Antimicrobial activity of azo-schiff bases derived from salicylaldehyde and para-substituted aniline. World J. Pharm. Res. 2015, 4, 52–60. [Google Scholar]
- Yazdanbakhsh, M.; Yousefi, H.; Mamaghani, M.; Moradi, E.; Rassa, M.; Pouramir, H.; Bagheri, M. Synthesis, spectral characterization and antimicrobial activity of some new azo dyes derived from 4, 6-dihydroxypyrimidine. J. Mol. Liq. 2012, 169, 21–26. [Google Scholar] [CrossRef]
- Seferoğlu, Z.; Yalçın, E.; Babür, B.; Seferoğlu, N.; Hökelek, T.; Yılmaz, E.; Şahin, E. Phenylazoindole dyes–Part I: The syntheses, characterizations, crystal structures, quantum chemical calculations and antimicrobial properties. Spectrochim. Acta Part A Mol. Biomol. Spectrosc. 2013, 113, 314–324. [Google Scholar] [CrossRef]
- Rizk, H.; Ibrahim, S.; El-Borai, M. Synthesis, fastness properties, color assessment and antimicrobial activity of some azo reactive dyes having pyrazole moiety. Dye. Pigment. 2015, 112, 86–92. [Google Scholar] [CrossRef]
- Fizer, M.; Sidey, V.; Tupys, A.; Ostapiuk, Y.; Tymoshuk, O.; Bazel, Y. On the structure of transition metals complexes with the new tridentate dye of thiazole series: Theoretical and experimental studies. J. Mol. Struct. 2017, 1149, 669–682. [Google Scholar] [CrossRef]
- Tao, T.; Xu, F.; Chen, X.-C.; Liu, Q.-Q.; Huang, W.; You, X.-Z. Comparisons between azo dyes and Schiff bases having the same benzothiazole/phenol skeleton: Syntheses, crystal structures and spectroscopic properties. Dye. Pigment. 2012, 92, 916–922. [Google Scholar] [CrossRef]
- Nagasundaram, N.; Govindhan, C.; Sumitha, S.; Sedhu, N.; Raguvaran, K.; Santhosh, S.; Lalitha, A. Synthesis, characterization and biological evaluation of novel azo fused 2, 3-dihydro-1H-perimidine derivatives: In vitro antibacterial, antibiofilm, anti-quorum sensing, DFT, in silico ADME and Molecular docking studies. J. Mol. Struct. 2022, 1248, 131437. [Google Scholar] [CrossRef]
- Keshavayya, J. Synthesis, structural investigations and in vitro biological evaluation of N, N-dimethyl aniline derivatives based azo dyes as potential pharmacological agents. J. Mol. Struct. 2019, 1186, 404–412. [Google Scholar]
- Nordin, N.A.; Chai, T.W.; Tan, B.L.; Choi, C.L.; Abd Halim, A.N.; Hussain, H.; Ngaini, Z. Novel synthetic monothiourea aspirin derivatives bearing alkylated amines as potential antimicrobial agents. J. Chem. 2017, 2017, 2378186. [Google Scholar] [CrossRef]
- Ngaini, Z.; Mortadza, N.A. Synthesis of halogenated azo-aspirin analogues from natural product derivatives as the potential antibacterial agents. Nat. Prod. Res. 2019, 33, 3507–3514. [Google Scholar] [CrossRef]
- Sivasankerreddy, L.; Nagamani, B.; Rajkumar, T.; Babu, M.; Subbaiah, N.; Harika, M.; Nageswarao, R. Novel diazenyl containing phenyl styryl ketone derivatives as antimicrobial agents. Anti-Infect. Agents 2019, 17, 28–38. [Google Scholar] [CrossRef]
- Azam, M.; Al-Resayes, S.I.; Wabaidur, S.M.; Altaf, M.; Chaurasia, B.; Alam, M.; Shukla, S.N.; Gaur, P.; Albaqami, N.T.M.; Islam, M.S. Synthesis, structural characterization and antimicrobial activity of Cu (II) and Fe (III) complexes incorporating azo-azomethine ligand. Molecules 2018, 23, 813. [Google Scholar] [CrossRef]
- Bal, S.; Bal, S.S.; Erener, A.; Halipci, H.N.; Akar, S. Synthesis, thermal stability, electronic features, and antimicrobial activity of phenolic azo dyes and their Ni (II) and Cu (II) complexes. Chem. Pap. 2014, 68, 352–361. [Google Scholar] [CrossRef]
- Gaber, M.; El-Wakiel, N.; Hemeda, O.M. Cr (III), Mn (II), Co (II), Ni (II) and Cu (II) complexes of 7-((1H-benzo [d] imidazol-2-yl) diazenyl)-5-nitroquinolin-8-ol. synthesis, thermal, spectral, electrical measurements, molecular modeling and biological activity. J. Mol. Struct. 2019, 1180, 318–329. [Google Scholar] [CrossRef]
- Kasare, M.S.; Dhavan, P.P.; Jadhav, B.L.; Pawar, S.D. Synthesis of Azo Schiff Base Ligands and Their Ni (II), Cu (II) and Zn (II) Metal Complexes as Highly-Active Antibacterial Agents. ChemistrySelect 2019, 4, 10792–10797. [Google Scholar] [CrossRef]
- Panunzi, B.; Diana, R.; Concilio, S.; Sessa, L.; Tuzi, A.; Piotto, S.; Caruso, U. Fluorescence pH-dependent sensing of Zn(II) by a tripodal ligand. A comparative X-ray and DFT study. J. Lumin. 2019, 212, 200–206. [Google Scholar]
- Borbone, F.; Caruso, U.; Concilio, S.; Nabha, S.; Piotto, S.; Shikler, R.; Tuzi, A.; Panunzi, B. From cadmium (II)-aroylhydrazone complexes to metallopolymers with enhanced photoluminescence. A structural and DFT study. Inorg. Chim. Acta 2017, 458, 129–137. [Google Scholar] [CrossRef]
- Diana, R.; Panunzi, B. The role of zinc (II) ion in fluorescence tuning of tridentate pincers: A review. Molecules 2020, 25, 4984. [Google Scholar] [CrossRef]
- Diana, R.; Panunzi, B.; Concilio, S.; Marrafino, F.; Shikler, R.; Caruso, T.; Caruso, U. The effect of bulky substituents on two π-conjugated mesogenic fluorophores. Their organic polymers and zinc-bridged luminescent networks. Polymers 2019, 11, 1379. [Google Scholar] [CrossRef]
- Diana, R.; Panunzi, B.; Piotto, S.; Caruso, T.; Caruso, U. Solid-state fluorescence of two zinc coordination polymers from bulky dicyano-phenylenevinylene and bis-azobenzene cores. Inorg. Chem. Commun. 2019, 110, 107602. [Google Scholar] [CrossRef]
- Saad, F.A.; El-Ghamry, H.A.; Kassem, M.A.; Khedr, A.M. Nano-synthesis, Biological Efficiency and DNA binding affinity of new homo-binuclear metal complexes with sulfa azo dye based ligand for further pharmaceutical applications. J. Inorg. Organomet. Polym. Mater. 2019, 29, 1337–1348. [Google Scholar] [CrossRef]
- Matada, M.N.; Jathi, K. Pyrazole-based azo-metal (II) complexes as potential bioactive agents: Synthesis, characterization, antimicrobial, anti-tuberculosis, and DNA interaction studies. J. Coord. Chem. 2019, 72, 1994–2014. [Google Scholar] [CrossRef]
- Al-Fregi, A.A.; Al-Salami, B.K.; Al-Khazragie, Z.K.; Al-Rubaie, A.Z. Synthesis, characterization and antibacterial studies of some new tellurated azo compounds. Phosphorus Sulfur Silicon Relat. Elem. 2019, 194, 33–38. [Google Scholar] [CrossRef]
- Albert, L.; Vázquez, O. Photoswitchable peptides for spatiotemporal control of biological functions. Chem. Commun. 2019, 55, 10192–10213. [Google Scholar] [CrossRef] [PubMed]
- Sessa, L.; Concilio, S.; Walde, P.; Robinson, T.; Dittrich, P.S.; Porta, A.; Panunzi, B.; Caruso, U.; Piotto, S. Study of the interaction of a novel semi-synthetic peptide with model lipid membranes. Membranes 2020, 10, 294. [Google Scholar] [CrossRef] [PubMed]
- Marrafino, F.; Iannelli, P.; Martino, M.D.; Piotto, S. Superhydrophobic Coatings and Artificial Neural Networks: Design, Development and Optimization. In Proceedings of the 3rd International Conference on Bio and Nanomaterialsials, MSC Cruise, Mediterranean Sea, Italy, 29 September–3 October 2019; Springer: Berlin/Heidelberg, Germany, 2020; pp. 32–40. [Google Scholar]
- Kim, G.C.; Ahn, J.H.; Oh, J.H.; Nam, S.; Hyun, S.; Yu, J.; Lee, Y. Photoswitching of Cell Penetration of Amphipathic Peptides by Control of α-Helical Conformation. Biomacromolecules 2018, 19, 2863–2869. [Google Scholar] [CrossRef]
- Yeoh, Y.Q.; Yu, J.; Polyak, S.W.; Horsley, J.R.; Abell, A.D. Photopharmacological control of cyclic antimicrobial peptides. ChemBioChem 2018, 19, 2591–2597. [Google Scholar] [CrossRef] [PubMed]
- Liu, D.; Wang, S.; Xu, S.; Liu, H. Photocontrollable intermittent release of doxorubicin hydrochloride from liposomes embedded by azobenzene-contained glycolipid. Langmuir 2017, 33, 1004–1012. [Google Scholar] [CrossRef]
- Aemissegger, A.; Kräutler, V.; van Gunsteren, W.F.; Hilvert, D. A photoinducible β-hairpin. J. Am. Chem. Soc. 2005, 127, 2929–2936. [Google Scholar] [CrossRef]
- Dong, S.L.; Löweneck, M.; Schrader, T.E.; Schreier, W.J.; Zinth, W.; Moroder, L.; Renner, C. A Photocontrolled β-Hairpin Peptide. Chem. A Eur. J. 2006, 12, 1114–1120. [Google Scholar] [CrossRef]
- Schrader, T.E.; Cordes, T.; Schreier, W.J.; Koller, F.O.; Dong, S.-L.; Moroder, L.; Zinth, W. Folding and unfolding of light-triggered β-hairpin model peptides. J. Phys. Chem. B 2011, 115, 5219–5226. [Google Scholar] [CrossRef]
- Woolley, G.A. Photocontrolling peptide α helices. Acc. Chem. Res. 2005, 38, 486–493. [Google Scholar] [CrossRef]
- Yeoh, Y.Q.; Horsley, J.R.; Yu, J.; Polyak, S.W.; Jovcevski, B.; Abell, A.D. Short photoswitchable antibacterial peptides. ChemMedChem 2020, 15, 1505–1508. [Google Scholar] [CrossRef]
- Just-Baringo, X.; Yeste-Vázquez, A.; Moreno-Morales, J.; Ballesté-Delpierre, C.; Vila, J.; Giralt, E. Controlling Antibacterial Activity Exclusively with Visible Light: Introducing a Tetra-ortho-Chloro-Azobenzene Amino Acid. Chem. A Eur. J. 2021, 27, 12987–12991. [Google Scholar] [CrossRef]
- Li, W.; Li, Y.; Yin, X.; Liang, Y.; Li, J.; Wang, C.; Lan, Y.; Wang, H.; Ju, Y.; Li, G. Azobenzene-bridged bile acid dimers: An interesting class of conjugates with conformation-controlled bioactivity. Tetrahedron Lett. 2016, 57, 2539–2543. [Google Scholar] [CrossRef]
- Chen, L.; Feng, J.; Yang, D.; Tian, F.; Ye, X.; Qian, Q.; Wei, S.; Zhou, Y. Sequence isomerism-dependent self-assembly of glycopeptide mimetics with switchable antibiofilm properties. Chem. Sci. 2019, 10, 8171–8178. [Google Scholar] [CrossRef] [PubMed] [Green Version]
- Chen, L.; Yang, D.; Feng, J.; Zhang, M.; Qian, Q.; Zhou, Y. Switchable modulation of bacterial growth and biofilm formation based on supramolecular tripeptide amphiphiles. J. Mater. Chem. B 2019, 7, 6420–6427. [Google Scholar] [CrossRef] [PubMed]
- Diguet, A.; Yanagisawa, M.; Liu, Y.-J.; Brun, E.; Abadie, S.; Rudiuk, S.; Baigl, D. UV-induced bursting of cell-sized multicomponent lipid vesicles in a photosensitive surfactant solution. J. Am. Chem. Soc. 2012, 134, 4898–4904. [Google Scholar] [CrossRef]
- Doroudgar, M.; Morstein, J.; Becker-Baldus, J.; Trauner, D.; Glaubitz, C. How photoswitchable lipids affect the order and dynamics of lipid bilayers and embedded proteins. J. Am. Chem. Soc. 2021, 143, 9515–9528. [Google Scholar] [CrossRef]
- Suzuki, Y.; Nagai, K.H.; Zinchenko, A.; Hamada, T. Photoinduced fusion of lipid bilayer membranes. Langmuir 2017, 33, 2671–2676. [Google Scholar] [CrossRef]
- Pritzl, S.D.; Urban, P.; Prasselsperger, A.; Konrad, D.B.; Frank, J.A.; Trauner, D.; Lohmüller, T. Photolipid Bilayer Permeability is Controlled by Transient Pore Formation. Langmuir 2020, 36, 13509–13515. [Google Scholar] [CrossRef]
- Ren, C.Z.J.; Solís Muñana, P.; Dupont, J.; Zhou, S.S.; Chen, J.L.Y. Reversible Formation of a Light-Responsive Catalyst by Utilizing Intermolecular Cooperative Effects. Angew. Chem. 2019, 131, 15398–15402. [Google Scholar] [CrossRef]
- Concilio, S.; Iannelli, P.; Sessa, L.; Olivieri, R.; Porta, A.; De Santis, F.; Pantani, R.; Piotto, S. Biodegradable antimicrobial films based on poly (lactic acid) matrices and active azo compounds. J. Appl. Polym. Sci. 2015, 132, 42357. [Google Scholar] [CrossRef]
- Concilio, S.; Piotto, S.; Sessa, L.; Iannelli, P.; Porta, A.; Calabrese, E.; Galdi, M.; Incarnato, L. Antimicrobial Polymer Films for Food Packaging. AIP Conf. Proc. 2012, 1459, 256. [Google Scholar]
- Piotto, S.; Concilio, S.; Sessa, L.; Iannelli, P.; Porta, A.; Calabrese, E.C.; Galdi, M.R.; Incarnato, L. Novel antimicrobial polymer films active against bacteria and fungi. Polym. Compos. 2013, 34, 1489–1492. [Google Scholar] [CrossRef]
- Kim, Y.; Jeong, D.; Shinde, V.V.; Hu, Y.; Kim, C.; Jung, S. Azobenzene-grafted carboxymethyl cellulose hydrogels with photo-switchable, reduction-responsive and self-healing properties for a controlled drug release system. Int. J. Biol. Macromol. 2020, 163, 824–832. [Google Scholar] [CrossRef] [PubMed]
- Dudek, M.; Pokładek, Z.; Deiana, M.; Matczyszyn, K. Molecular design and structural characterization of photoresponsive azobenzene-based polyamide units. Dye. Pigment. 2020, 180, 108501. [Google Scholar] [CrossRef]
- Chiang, C.-Y.; Chu, C.-C. Synthesis of photoresponsive hybrid alginate hydrogel with photo-controlled release behavior. Carbohydr. Polym. 2015, 119, 18–25. [Google Scholar] [CrossRef]
- Zheng, S.Y.; Ni, Y.; Zhou, J.; Gu, Y.; Wang, Y.; Yuan, J.; Wang, X.; Zhang, D.; Liu, S.; Yang, J. Photo-switchable supramolecular comb-like polymer brush based on host–guest recognition for use as antimicrobial smart surface. J. Mater. Chem. B 2022, 10, 3039–3047. [Google Scholar] [CrossRef]
- Mori, D.I.; Schurr, M.J.; Nair, D.P. Selective Inhibition of Streptococci Biofilm Growth via a Hydroxylated Azobenzene Coating. Adv. Mater. Interfaces 2020, 7, 1902149. [Google Scholar] [CrossRef]
- Kehe, G.M.; Mori, D.I.; Schurr, M.J.; Nair, D.P. Optically responsive, smart anti-bacterial coatings via the photofluidization of azobenzenes. ACS Appl. Mater. Interfaces 2019, 11, 1760–1765. [Google Scholar] [CrossRef]
- Trivedi, R.; Gautam, D.; Kehe, G.M.; Escobedo, H.D.; Patel, K.; Stansbury, J.W.; Schurr, M.J.; Nair, D.P. Synthesis, characterization and evaluation of azobenzene nanogels for their antibacterial properties in adhesive dentistry. Eur. J. Oral Sci. 2022, 130, e12832. [Google Scholar] [CrossRef]
- Marturano, V.; Bizzarro, V.; Ambrogi, V.; Cutignano, A.; Tommonaro, G.; Abbamondi, G.R.; Giamberini, M.; Tylkowski, B.; Carfagna, C.; Cerruti, P. Light-responsive nanocapsule-coated polymer films for antimicrobial active packaging. Polymers 2019, 11, 68. [Google Scholar] [CrossRef] [Green Version]






































Publisher’s Note: MDPI stays neutral with regard to jurisdictional claims in published maps and institutional affiliations. |
© 2022 by the authors. Licensee MDPI, Basel, Switzerland. This article is an open access article distributed under the terms and conditions of the Creative Commons Attribution (CC BY) license (https://creativecommons.org/licenses/by/4.0/).
Share and Cite
Di Martino, M.; Sessa, L.; Di Matteo, M.; Panunzi, B.; Piotto, S.; Concilio, S. Azobenzene as Antimicrobial Molecules. Molecules 2022, 27, 5643. https://doi.org/10.3390/molecules27175643
Di Martino M, Sessa L, Di Matteo M, Panunzi B, Piotto S, Concilio S. Azobenzene as Antimicrobial Molecules. Molecules. 2022; 27(17):5643. https://doi.org/10.3390/molecules27175643
Chicago/Turabian StyleDi Martino, Miriam, Lucia Sessa, Martina Di Matteo, Barbara Panunzi, Stefano Piotto, and Simona Concilio. 2022. "Azobenzene as Antimicrobial Molecules" Molecules 27, no. 17: 5643. https://doi.org/10.3390/molecules27175643
APA StyleDi Martino, M., Sessa, L., Di Matteo, M., Panunzi, B., Piotto, S., & Concilio, S. (2022). Azobenzene as Antimicrobial Molecules. Molecules, 27(17), 5643. https://doi.org/10.3390/molecules27175643

