Effects of Extraction Technique on the Content and Antioxidant Activity of Flavonoids from Gossypium Hirsutum linn. Flowers
Abstract
:1. Introduction
2. Materials and Methods
2.1. Drugs and Reagents
2.2. Ultraviolet Spectroscopy
2.3. RSM Optimization Test Design
2.4. Extraction Steps
2.5. Preparation of Cotton Flower Flavonoid Solution
2.6. DPPH Radical Scavenging Test
- A1
- 1.0 mL of flavonoid sample solution was placed into a 10 mL tube for centrifugation, 2.0 mL DPPH solution was reacted in the dark for 30 min at room temperature (RT). At 517 nm, the absorbance of the solution was calculated, and the blank solution was 100% anhydrous ethanol;
- A2
- 1.0 mL of flavonoid sample solution of different concentrations was placed in a centrifuge tube, 2.0 mL of 100% anhydrous ethanol was added, mixed, and the absorbance of the solution was measured at 517 nm;
- A3
- the light absorption of the solution was measured at 517 nm after 1.0 mL of 100% anhydrous ethanol was added to a 2.0 mL DPPH solution. To test the antioxidant activity of flavonoids in cotton flowers, blank handling treatment (BHT) was utilized as a positive control group. DPPH free radical scavenging activity calculation:
2.7. Hydroxyl Radical Scavenging Test
2.8. Superoxide Anion Radical Scavenging Activity
2.9. Determination of Reducing Capacity
2.10. Cell Culture
2.11. MTT Test
2.12. Statistical Analysis
3. Results and Discussion
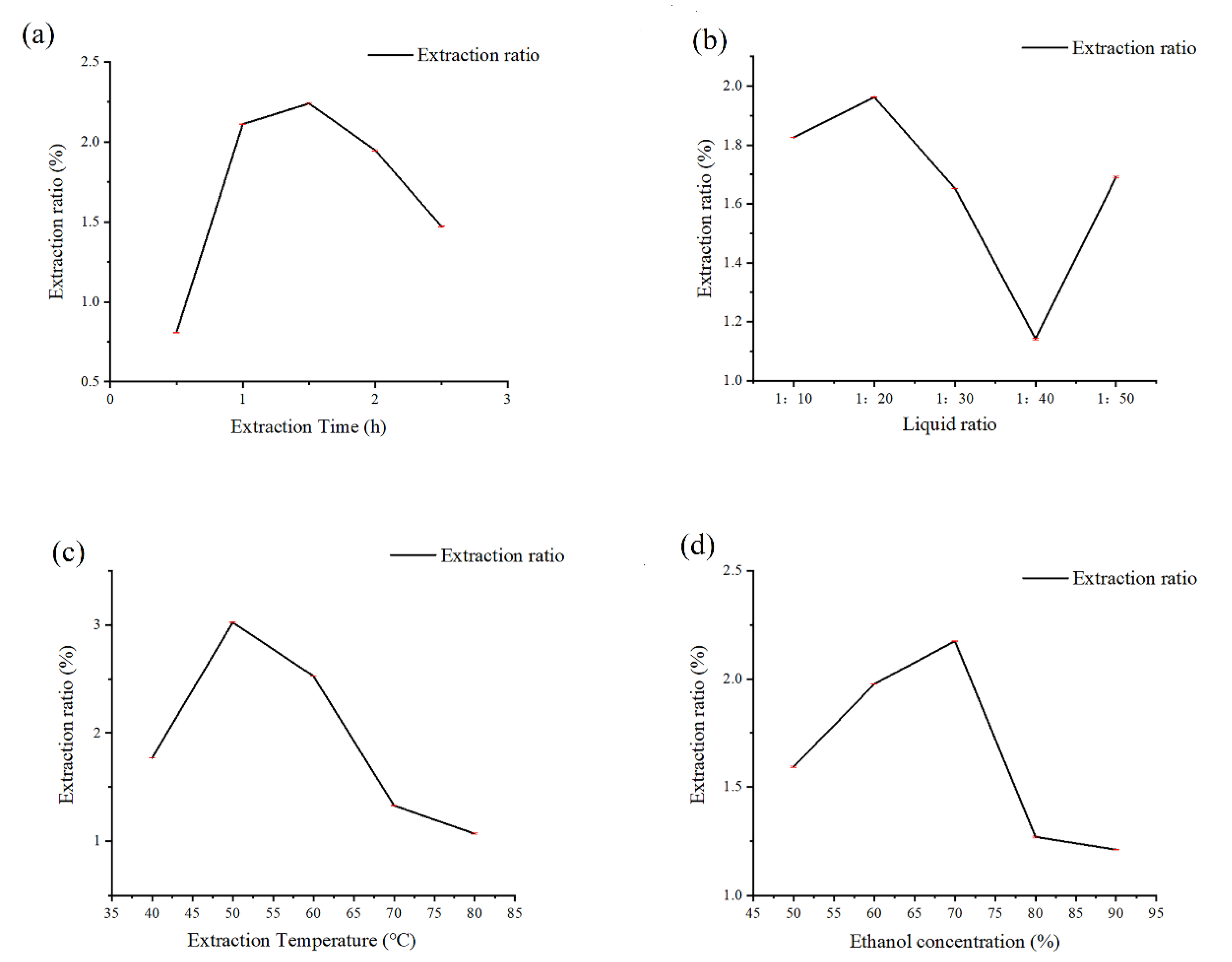
3.1. Analysis of Results of Single Factor Test
3.2. Data Identification by RSM
3.3. Response Surface Analysis
3.4. Antioxidant Activity Test Analysis
3.5. Cell Viability Results
4. Discussion
Supplementary Materials
Author Contributions
Funding
Institutional Review Board Statement
Informed Consent Statement
Data Availability Statement
Conflicts of Interest
Abbreviations
| AD | Alzheimer’s Disease |
| PD | Parkinson’s Disease |
| RT | room temperature |
| RSM | response surface methodology |
| LNT | liquid nitrogen treatment |
| DT | dried treatment |
| DPPH | Synonyms:2,2-Diphenyl-1-picrylhydrazyl |
| CAAS | Chinese Academy of Agriculture Sciences |
| BHT | blank handling treatment |
| PBS | Phosphate Buffered Saline |
| DMEM | Dulbecco’s modified eagle medium |
References
- de Lima, L.F.; de Oliveira, J.O.; Carneiro, J.N.P.; Lima, C.N.F.; Coutinho, H.D.M.; Morais-Braga, M.F.B. Ethnobotanical and antimicrobial activities of the Gossypium (Cotton) genus: A review. J. Ethnopharmacol. 2021, 279, 114363. [Google Scholar] [CrossRef] [PubMed]
- Han, Z.; Hu, Y.; Tian, Q.; Cao, Y.; Si, A.; Si, Z.; Zang, Y.; Xu, C.; Shen, W.; Dai, F. Genomic signatures and candidate genes of lint yield and fibre quality improvement in Upland cotton in Xinjiang. Plant Biotechnol. J. 2020, 18, 2002–2014. [Google Scholar] [CrossRef] [PubMed]
- Calis, Z.; Mogulkoc, R.; Baltaci, A.K. The Roles of Flavonols/Flavonoids in Neurodegeneration and Neuroinflammation. Mini Rev. Med. Chem. 2020, 20, 1475–1488. [Google Scholar] [CrossRef] [PubMed]
- Mirzaei, R.; Yunesian, M.; Nasseri, S.; Gholami, M.; Alilzadeh, E.; Shoeibi, S.; Bidshahi, H.S.; Mesdaghinia, A. An optimized SPE-LC-MS/MS method for antibiotics residue analysis in ground, surface and treated water samples by response surface methodology—Central composite design. J. Environ. Health Sci. Eng. 2017, 15, 21. [Google Scholar] [CrossRef] [PubMed]
- Mao, K.J.; Huang, P.; Zhang, L.; Yu, H.S.; Zhou, X.Z.; Ye, X.Y. Optimisation of extraction conditions for total saponins from Cynanchum wallichii using response surface methodology and its anti-tumour effects. Nat. Prod. Res. 2018, 32, 2233–2237. [Google Scholar] [CrossRef]
- Tian, C.; Peng, Z.; Yang, C.; Xiang, G.; Liu, M.J.M.I. Extraction Process, Component Analysis, and In Vitro Antioxidant, Antibacterial, and Anti-Inflammatory Activities of Total Flavonoid Extracts from Abutilon theophrasti Medic. Leaves 2018, 2018, 3508506. [Google Scholar] [CrossRef]
- Zhou, J.; Zhang, L.; Li, Q.; Jin, W.; Chen, W.; Han, J.; Zhang, Y. Simultaneous Optimization for Ultrasound-Assisted Extraction and Antioxidant Activity of Flavonoids from Sophora flavescens Using Response Surface Methodology. Molecules 2019, 24, 112. [Google Scholar] [CrossRef]
- Wan, H.; Yu, C.; Han, Y.; Guo, X.; Luo, L.; Pan, H.; Zheng, T.; Wang, J.; Cheng, T.; Zhang, Q. Determination of Flavonoids and Carotenoids and Their Contributions to Various Colors of Rose Cultivars (Rosa spp.). Front. Plant Sci. 2019, 10, 123. [Google Scholar] [CrossRef]
- Wan, F.; Liu, W.; Bretz, F.; Han, Y. Confidence Sets for Optimal Factor Levels of a Response Surface. Biometrics 2016, 72, 1285–1293. [Google Scholar] [CrossRef]
- Khatib, I.; Chow, M.Y.; Ruan, J.; Cipolla, D.; Chan, H.K. Modeling of a spray drying method to produce ciprofloxacin nanocrystals inside the liposomes utilizing a response surface methodology: Box-Behnken experimental design. Int. J. Pharm. 2021, 597, 120277. [Google Scholar] [CrossRef]
- Zhang, L.; Liu, P.; Li, L.; Huang, Y.; Pu, Y.; Hou, X.; Song, L. Identification and Antioxidant Activity of Flavonoids Extracted from Xinjiang ujube (Ziziphus jujube Mill.) Leaves with Ultra-High Pressure Extraction Technology. Molecules 2018, 24, 122. [Google Scholar] [CrossRef]
- Long, X.; Zeng, X.; Yan, H.; Xu, M.; Zeng, Q.; Xu, C.; Xu, Q.; Liang, Y.; Zhang, J. Flavonoids composition and antioxidant potential assessment of extracts from Gannanzao Navel Orange (Citrus sinensis Osbeck Cv. Gannanzao) peel. Nat. Prod. Res. 2021, 35, 702–706. [Google Scholar] [CrossRef]
- Lv, H.; Wang, X.; He, Y.; Wang, H.; Suo, Y. Identification and quantification of flavonoid aglycones in rape bee pollen from Qinghai-Tibetan Plateau by HPLC-DAD-APCI/MS. J. Food Compos. Anal. 2015, 38, 49–54. [Google Scholar] [CrossRef]
- Tu, J.; Liu, H.; Sun, N.; Liu, S.; Chen, P. Optimization of the Steam Explosion Pretreatment Effect on Total Flavonoids Content and Antioxidative Activity of Seabuckthom Pomace by Response Surface Methodology. Molecules 2018, 24, 60. [Google Scholar] [CrossRef] [PubMed]
- Zhu, Z.; Wu, H.; Su, W.; Shi, R.; Li, P.; Liao, Y.; Wang, Y.; Li, P. Effects of Total flavonoids from exocarpium citri grandis on air pollution particle-induced pulmonary inflammation and oxidative stress in mice. J. Food Sci. 2019, 84, 3843–3849. [Google Scholar] [CrossRef]
- Baranowska, I.; Bajkacz, S. A new UHPLC-MS/MS method for the determination of flavonoids in supplements and DPPH-UHPLC-UV method for the evaluation of the radical scavenging activity of flavonoids. Food Chem. 2018, 256, 333–341. [Google Scholar] [CrossRef]
- Chen, X.; Liang, L.; Han, C. Borate suppresses the scavenging activity of gallic acid and plant polyphenol extracts on DPPH radical: A potential interference to DPPH assay. LWT 2020, 131, 109769. [Google Scholar] [CrossRef]
- Flieger, J.; Flieger, M. The [DPPH●/DPPH-H]-HPLC-DAD Method on Tracking the Antioxidant Activity of Pure Antioxidants and Goutweed (Aegopodium podagraria L.) Hydroalcoholic Extracts. Molecules 2020, 25, 6005. [Google Scholar] [CrossRef]
- Baschieri, A.; Amorati, R. Methods to Determine Chain-Breaking Antioxidant Activity of Nanomaterials beyond DPPH•. A Review. Antioxidants 2021, 10, 1551. [Google Scholar] [CrossRef]
- Shen, Q.; Ou, A.; Liu, S.; Elango, J.; Wang, S.; Henriques da Silva, T.; Wu, W.; Robinson, J.; Bao, B. Effects of ion concentrations on the hydroxyl radical scavenging rate and reducing power of fish collagen peptides. J. Food Biochem. 2019, 43, e12789. [Google Scholar] [CrossRef]
- Hu, Q.; Liu, Z.; Guo, Y.; Lu, S.; Du, H.; Cao, Y. Antioxidant capacity of flavonoids from Folium Artemisiae Argyi and the molecular mechanism in Caenorhabditis elegans. J. Ethnopharmacol. 2021, 279, 114398. [Google Scholar] [CrossRef] [PubMed]
- Augsburger, F.; Filippova, A.; Jaquet, V. Methods for Detection of NOX-Derived Superoxide Radical Anion and Hydrogen Peroxide in Cells. Methods Mol. Biol. 2019, 1982, 233–241. [Google Scholar] [CrossRef] [PubMed]
- Barrientos, C.; Navarrete-Encina, P.; Squella, A. Electrochemistry and Reactivity Against Superoxide Anion Radicals of Hydroxycoumarins and Its Derivatives. J. Electrochem. Soc. 2020, 167, 165502. [Google Scholar] [CrossRef]
- Aeppli, M.; Vranic, S.; Kaegi, R.; Kretzschmar, R.; Brown, A.R.; Voegelin, A.; Hofstetter, T.B.; Sander, M. Decreases in Iron Oxide Reducibility during Microbial Reductive Dissolution and Transformation of Ferrihydrite. Environ. Sci. Technol. 2019, 53, 8736–8746. [Google Scholar] [CrossRef] [PubMed]
- Jing, C.-L.; Dong, X.-F.; Tong, M. Optimization of Ultrasonic-Assisted Extraction of Flavonoid Compounds and Antioxidants from Alfalfa Using Response Surface Method. Molecules 2015, 20, 15550–15571. [Google Scholar] [CrossRef]
- Shen, Y.; Xu, M.; Chen, Y.; Wang, H.; Zhou, Y.; Zhu, Y.; Yang, H.; Yu, J. Integrated extraction and purification of total bioactive flavonoids from Toona sinensis leaves. Nat. Prod. Res. 2019, 33, 3025–3028. [Google Scholar] [CrossRef]
- Niu, Q.; Gao, Y.; Liu, P. Optimization of microwave-assisted extraction, antioxidant capacity, and characterization of total flavonoids from the leaves of Alpinia oxyphylla Miq. Prep. Biochem. Biotechnol. 2019, 50, 82–90. [Google Scholar] [CrossRef]
- Wang, Y.; Guo, L.; Zhang, J.; She, Z.; Jin, C.; Gao, M.; Zhao, Y. Optimization of operating conditions for the acidification metabolites production with waste sludge using response surface methodology (RSM). Environ. Sci. Pollut. Res. 2019, 26, 30303–30312. [Google Scholar] [CrossRef]
- Xu, S.; Fang, D.; Tian, X.; Xu, Y.; Zhu, X.; Wang, Y.; Lei, B.; Hu, P.; Ma, L. Subcritical water extraction of bioactive compounds from waste cotton (Gossypium hirsutum L.) flowers. Ind. Crops Prod. 2021, 164, 113369. [Google Scholar] [CrossRef]
- Aware, C.B.; Patil, R.R.; Vyavahare, G.D.; Gurme, S.T.; Jadhav, J.P. Ultrasound-Assisted Aqueous Extraction of Phenolic, Flavonoid Compounds and Antioxidant Activity of Mucuna macrocarpa Beans: Response Surface Methodology Optimization. J. Am. Coll. Nutr. 2019, 38, 364–372. [Google Scholar] [CrossRef]
- Yaneva, Z.; Simeonov, E.; Rusenova, N.; Ivanova, D.; Nikolova, G.; Karamalakova, Y.; Chilev, C.; Beev, G. Flavonoids extraction kinetics, antimicrobial activity and radical scavenging potential of Bulgarian woundwort (Solidago virgaurea L.). Separations 2022, 9, 27. [Google Scholar] [CrossRef]
- Pham, D.-C.; Nguyen, H.-C.; Nguyen, T.-H.L.; Ho, H.-L.; Trinh, T.-K.; Riyaphan, J.; Weng, C.-F. Optimization of Ultrasound-Assisted Extraction of Flavonoids from Celastrus hindsii Leaves Using Response Surface Methodology and Evaluation of Their Antioxidant and Antitumor Activities. BioMed Res. Int. 2020, 2020, 3497107. [Google Scholar] [CrossRef] [PubMed] [Green Version]




| Test Number | Time | Liquid Ratio | Temperature | Ethanol Concentration | Extraction Rate of Flavonoids |
|---|---|---|---|---|---|
| 1 | −1 | −1 | 0 | 0 | 3.62695 |
| 2 | 1 | −1 | 0 | 0 | 4.208511 |
| 3 | −1 | 1 | 0 | 0 | 4.293617 |
| 4 | 1 | 1 | 0 | 0 | 4.875177 |
| 5 | 0 | 0 | −1 | −1 | 3.761702 |
| 6 | 0 | 0 | 1 | −1 | 3.208511 |
| 7 | 0 | 0 | −1 | 1 | 3.371631 |
| 8 | 0 | 0 | 1 | 1 | 4.201418 |
| 9 | −1 | 0 | 0 | −1 | 4.91773 |
| 10 | 1 | 0 | 0 | −1 | 4.811348 |
| 11 | −1 | 0 | 0 | 1 | 4.747518 |
| 12 | 1 | 0 | 0 | 1 | 4.655319 |
| 13 | 0 | −1 | −1 | 0 | 3.513475 |
| 14 | 0 | 1 | −1 | 0 | 3.846809 |
| 15 | 0 | −1 | 1 | 0 | 3.428369 |
| 16 | 0 | 1 | 1 | 0 | 4.222695 |
| 17 | −1 | 0 | −1 | 0 | 3.151773 |
| 18 | 1 | 0 | −1 | 0 | 3.052482 |
| 19 | −1 | 0 | 1 | 0 | 2.556028 |
| 20 | 1 | 0 | 1 | 0 | 5.499291 |
| 21 | 0 | −1 | 0 | −1 | 4.860993 |
| 22 | 0 | 1 | 0 | −1 | 3.69078 |
| 23 | 0 | −1 | 0 | 1 | 4.75461 |
| 24 | 0 | 1 | 0 | 1 | 4.797163 |
| 25 | 0 | 0 | 0 | 0 | 4.740426 |
| 26 | 0 | 0 | 0 | 0 | 5.499291 |
| 27 | 0 | 0 | 0 | 0 | 4.81844 |
| 28 | 0 | 0 | 0 | 0 | 4.733333 |
| 29 | 0 | 0 | 0 | 0 | 4.662411 |
| Source | Sum of Squares | df | Mean Square | F-Value | p-Value |
|---|---|---|---|---|---|
| Model | 12.60 | 14 | 0.9002 | 3.45 | 0.0135 significant |
| A-Extraction time | 1.21 | 1 | 1.21 | 4.64 | 0.0492 |
| B-Liquid ratio | 0.1481 | 1 | 0.1481 | 0.5682 | 0.4635 |
| C-Extraction temperature | 0.4874 | 1 | 0.4874 | 1.87 | 0.1931 |
| D-ethanol concentration | 0.1358 | 1 | 0.1358 | 0.5209 | 0.4823 |
| AB | 2.505 × 10−13 | 1 | 2.505 × 10−13 | 9.606 × 10−13 | 1.0000 |
| AC | 2.31 | 1 | 2.31 | 8.88 | 0.0100 |
| AD | 0.0001 | 1 | 0.0001 | 0.0002 | 0.9891 |
| BC | 0.0531 | 1 | 0.0531 | 0.2038 | 0.6586 |
| BD | 0.3677 | 1 | 0.3677 | 1.41 | 0.2548 |
| CD | 0.4782 | 1 | 0.4782 | 1.83 | 0.1971 |
| A2 | 0.3476 | 1 | 0.3476 | 1.33 | 0.2675 |
| B2 | 0.45492 | 1 | 0.4592 | 1.76 | 0.2057 |
| C2 | 7.21 | 1 | 7.21 | 27.65 | 0.0001 |
| D2 | 0.0223 | 1 | 0.0223 | 0.0855 | 0.7742 |
| Residual | 3.65 | 14 | 0.2607 | ||
| Lack of Fit | 3.18 | 10 | 0.3175 | 2.67 | 0.1779 not significant |
| Pure Error | 0.4751 | 4 | 0.1188 | ||
| Cor Total | 16.25 | 28 |
Publisher’s Note: MDPI stays neutral with regard to jurisdictional claims in published maps and institutional affiliations. |
© 2022 by the authors. Licensee MDPI, Basel, Switzerland. This article is an open access article distributed under the terms and conditions of the Creative Commons Attribution (CC BY) license (https://creativecommons.org/licenses/by/4.0/).
Share and Cite
Dong, J.; Zhou, K.; Ge, X.; Xu, N.; Wang, X.; He, Q.; Zhang, C.; Chu, J.; Li, Q. Effects of Extraction Technique on the Content and Antioxidant Activity of Flavonoids from Gossypium Hirsutum linn. Flowers. Molecules 2022, 27, 5627. https://doi.org/10.3390/molecules27175627
Dong J, Zhou K, Ge X, Xu N, Wang X, He Q, Zhang C, Chu J, Li Q. Effects of Extraction Technique on the Content and Antioxidant Activity of Flavonoids from Gossypium Hirsutum linn. Flowers. Molecules. 2022; 27(17):5627. https://doi.org/10.3390/molecules27175627
Chicago/Turabian StyleDong, Jiaxing, Kehai Zhou, Xiaoyang Ge, Na Xu, Xiao Wang, Qing He, Chenxu Zhang, Jun Chu, and Qinglin Li. 2022. "Effects of Extraction Technique on the Content and Antioxidant Activity of Flavonoids from Gossypium Hirsutum linn. Flowers" Molecules 27, no. 17: 5627. https://doi.org/10.3390/molecules27175627
APA StyleDong, J., Zhou, K., Ge, X., Xu, N., Wang, X., He, Q., Zhang, C., Chu, J., & Li, Q. (2022). Effects of Extraction Technique on the Content and Antioxidant Activity of Flavonoids from Gossypium Hirsutum linn. Flowers. Molecules, 27(17), 5627. https://doi.org/10.3390/molecules27175627

