Production of O Radicals from Cavitation Bubbles under Ultrasound
Abstract
:1. Introduction
2. Theoretical Model
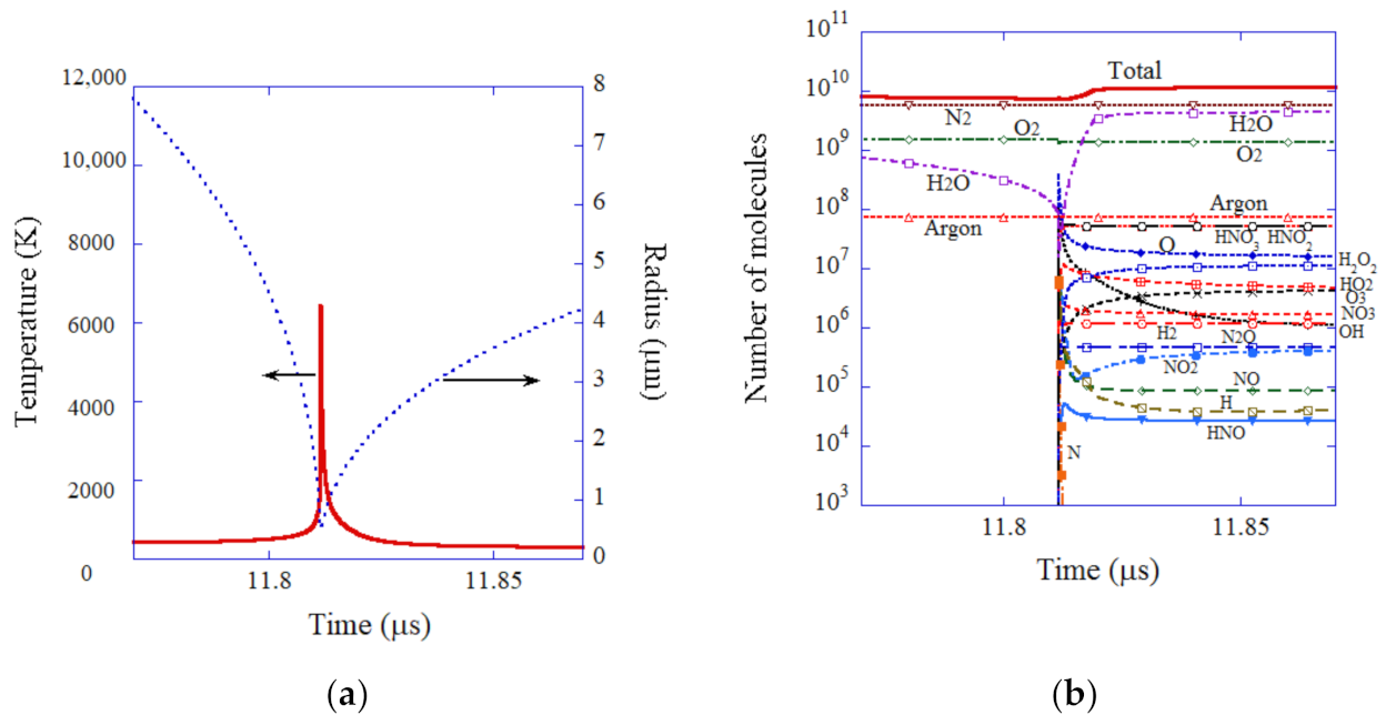
3. Single-Bubble System
4. Conditions for O Radical Production
5. O Radicals in Liquid
6. Conclusions
Funding
Institutional Review Board Statement
Informed Consent Statement
Data Availability Statement
Acknowledgments
Conflicts of Interest
References
- Basistyi, V.S.; Frederich, J.H. Pyridazine n-oxides as photoactivatable surrogates for reactive oxygen species. Org. Lett. 2022, 24, 1907–1912. [Google Scholar] [CrossRef] [PubMed]
- Omlid, S.M.; Zhang, M.; Isor, A.; McCulla, R.D. Thiol reactivity toward atomic oxygen generated during the photodeoxygenation of dibenzothiophene s-oxide. J. Org. Chem. 2017, 82, 13333–13341. [Google Scholar] [CrossRef]
- Carraher, J.M.; Bakac, A. Generation of free oxygen atoms O(3P) in solution by photolysis of 4-benzoylpyridine N-oxide. Phys. Chem. Chem. Phys. 2014, 16, 19429–19436. [Google Scholar] [CrossRef] [PubMed]
- Isor, A.; O’Dea, A.T.; Petroff, J.T., II; Skubic, K.N.; Aziz, B.; Arnatt, C.K.; McCulla, R.D. IEffects of photodeoxygenation on cell biology using dibenzothiophene S-oxide derivatives as O(3P)-precursors. Photochem. Photobiol. Sci. 2021, 20, 1621–1633. [Google Scholar] [CrossRef]
- Petroff, J.T., II; Isor, A.; Chintala, S.M.; Albert, C.J.; Franke, J.D.; Weinstein, D.; Omlid, S.M.; Arnatt, C.K.; Ford, D.A.; McCulla, R.D. In vitro oxidations of low-density lipoprotein and RAW 264.7 cells with lipophilic O(3P)-precursors. RSC Adv. 2020, 10, 26553–26565. [Google Scholar] [CrossRef] [PubMed]
- Zhang, M.; Ravilious, G.E.; Hicks, L.M.; Jez, J.M.; McCulla, R.D. Redox switching of adenosine-5′-phosphosulfate kinase with photoactivatable atomic oxygen precursors. J. Am. Chem. Soc. 2012, 134, 16979–16982. [Google Scholar] [CrossRef]
- Rashid, M.; Baker, D.D.; Greer, A. Two-step two-intermediate photorelease Bolm-McCulla reaction: Dual release of nitrene and atomic oxygen reactive intermediates. Photochem Photobiol. 2021, 97, 1453–1455. [Google Scholar] [CrossRef]
- Petroff, J.T., II; Omlid, S.M.; Chintala, S.M.; McCulla, R.D. Wavelength dependent photochemistry of expanded chromophore and asymmetric dibenzothiophene S-oxide derivatives. J. Photochem. Photobiol. A Chem. 2018, 358, 130–137. [Google Scholar] [CrossRef]
- Lucien, E.; Greer, A. Electrophilic oxidant produced in the photodeoxygenation of 1,2-benzodiphenylene sulfoxide. J. Org. Chem. 2001, 66, 4576–4579. [Google Scholar] [CrossRef] [PubMed]
- Chintala, S.M.; Petroff, J.T., II; Barnes, A.; McCulla, R.D. Photodeoxygenation of phenanthrol [4,5-bcd]thiophene S-oxide and perylo [1,12-bcd]thiophene S-oxide. J. Sulf. Chem. 2019, 40, 503–515. [Google Scholar] [CrossRef]
- Duran-Giner, N.; Encinas, S.; Miranda, M.A. Solar filters as feasible acceptors of atomic oxygen. Photochem. Photobiol. Sci. 2013, 12, 725–728. [Google Scholar] [CrossRef] [PubMed]
- Korang, J.; Grithre, W.R.; McCulla, R.D. Photodeoxygenation of dibenzothiophene S-oxide derivatives in aqueous media. J. Am. Chem. Soc. 2010, 132, 4466–4476. [Google Scholar] [CrossRef]
- Thomas, K.B.; Greer, A. Gauging the significance of atomic oxygen [O(3P)] in sulfoxide photochemistry. A method for hydrocarbon oxidation. J. Org. Chem. 2003, 68, 1886–1891. [Google Scholar] [CrossRef]
- Tanner, D.D.; Kandanarachchi, P.; Dsa, N.C.; Brausen, M.; Vo, C.T.; Camaioni, D.M.; Franz, J.A. Reactions of microwave-generated O(3P) atoms with unsaturated hydrocarbons. J. Org. Chem. 1998, 63, 4587–4593. [Google Scholar] [CrossRef]
- Scaiano, J.C.; Bucher, G.; Barra, M.; Weldon, D.; Sinta, R. Photochemical studies of atomic species (F, Br, O) in solution. J. Photochem. Photobiol. A Chem. 1996, 102, 7–11. [Google Scholar] [CrossRef]
- Bucher, G.; Scaiano, J.C. Laser flash photolysis of pyridine N-oxide: Kinetic studies of atomic oxygen [O(3P)] in solution. J. Phys. Chem. 1994, 98, 12471–12473. [Google Scholar] [CrossRef]
- Klaning, U.K.; Sehested, K.; Wolff, T. Ozone formation in laser flash photolysis of oxoacids and oxoanions of chlorine and bromine. J. Chem. Soc. Faraday Trans. I 1984, 80, 2969–2979. [Google Scholar] [CrossRef]
- Brown, W.G.; Hart, E.J. Effect of pH on oxygen(3P) atom formation in γ-ray irradiated aqueous solutions. J. Phys. Chem. 1978, 82, 2539–2542. [Google Scholar] [CrossRef]
- Sauer, M.C.; Brown, W.G.; Hart, E.J. O(3P) atom formation by the photolysis of hydrogen peroxide in alkaline aqueous solutions. J. Phys. Chem. 1984, 88, 1398–1400. [Google Scholar] [CrossRef]
- Brown, W.G.; Hart, E.J. The oxygen atom: A primary species in irradiated water. Radiat. Res. 1972, 51, 249–253. [Google Scholar] [CrossRef]
- Stefan, M.I. (Ed.) Advanced Oxidation Processes for Water Treatment; IWA Pub.: London, UK, 2018. [Google Scholar]
- Kamath, D.; Mezyk, S.P.; Minakata, D. Elucidating the elementary reaction pathways and kinetics of hydroxyl radical-induced acetone degradation in aqueous phase advanced oxidation processes. Environ. Sci. Technol. 2018, 52, 7763–7774. [Google Scholar] [CrossRef]
- Zhang, T.; Huang, C.-H. Modeling the kinetics of UV/peracetic acid advanced oxidation process. Environ. Sci. Technol. 2020, 54, 7579–7590. [Google Scholar] [CrossRef]
- Waclawek, S. Do we still need a laboratory to study advanced oxidation processes? A review of the modelling of radical reactions used for water treatment. Ecol. Chem. Eng. S 2021, 28, 11–28. [Google Scholar] [CrossRef]
- Gligorovski, S.; Strekowski, R.; Barbati, S.; Vione, D. Environmental implications of hydroxyl radicals (OH). Chem. Rev. 2015, 115, 13051–13092. [Google Scholar] [CrossRef] [PubMed]
- Larpparisudthi, O.A.; Mason, T.J.; Paniwnyk, L. Ultrasound wave-based AOPs. In Advanced Oxidation Processes for Water Treatment; Stefan, M.I., Ed.; IWA Pub.: London, UK, 2018; pp. 461–491. [Google Scholar]
- Henglein, A. Contributions to various aspects of cavitation chemistry. In Advances in Sonochemistry; Mason, T.J., Ed.; JAI Press: London, UK, 1993; Volume 3, pp. 17–83. [Google Scholar]
- Mason, T.J. Sonochemistry; Oxford University Press: Oxford, UK, 1999. [Google Scholar]
- Riesz, P.; Kondo, T. Free radical formation induced by ultrasound and its biological implications. Free Radic. Biol. Med. 1992, 13, 247–270. [Google Scholar] [CrossRef]
- Price, G.J.; Lenz, E.J. The use of dosimeters to measure radical production in aqueous sonochemical systems. Ultrasonics 1993, 31, 451–456. [Google Scholar] [CrossRef]
- Mark, G.; Tauber, A.; Laupert, R.; Schuchmann, H.-P.; Schulz, D.; Mues, A.; von Sonntag, C. OH-radical formation by ultrasound in aqueous solution-Part II: Terephthalate and Fricke dosimetry and the influence of various conditions on the sonolytic yield. Ultrason. Sonochem. 1998, 5, 41–52. [Google Scholar] [CrossRef]
- Vinodgopal, K.; Peller, J.; Makogon, O.; Kamat, P.V. Ultrasonic mineralization of a reactive textile azo dye, Remazol black B. Water Res. 1998, 32, 3646–3650. [Google Scholar] [CrossRef]
- Iida, Y.; Yasui, K.; Tuziuti, T.; Sivakumar, M. Sonochemistry and its dosimetry. Microchem. J. 2005, 80, 159–164. [Google Scholar] [CrossRef]
- Yasui, K. Acoustic Cavitation and Bubble Dynamics; Springer: Cham, Switzerland, 2018. [Google Scholar]
- Yasui, K. Dynamics of acoustic bubbles. In Sonochemistry and the Acoustic Bubble; Grieser, F., Choi, P.-K., Enomoto, N., Harada, H., Okitsu, K., Yasui, K., Eds.; Elsevier: Amsterdam, The Netherlands, 2015; pp. 41–83. [Google Scholar]
- Leighton, T.G. The Acoustic Bubble; Academic Press: London, UK, 1994. [Google Scholar]
- Young, F.R. Cavitation; Imperial College Press: London, UK, 1999. [Google Scholar]
- Didenko, Y.T.; McNamara, W.B., III; Suslick, K.S. Temperature of multibubble sonoluminescence in water. J. Phys. Chem. A 1999, 103, 10783–10788. [Google Scholar] [CrossRef]
- McNamara, W.B., III; Didenko, Y.T.; Suslick, K.S. Pressure during sonoluminescence. J. Phys. Chem. B 2003, 107, 7303–7306. [Google Scholar] [CrossRef] [Green Version]
- Yasui, K.; Tuziuti, T.; Sivakumar, M.; Iida, Y. Theoretical study of single-bubble sonochemistry. J. Chem. Phys. 2005, 122, 224706. [Google Scholar] [CrossRef] [PubMed]
- Yasui, K.; Tuziuti, T.; Kozuka, T.; Towata, A.; Iida, Y. Relationship between the bubble temperature and main oxidant created inside an air bubble under ultrasound. J. Chem. Phys. 2007, 127, 154502. [Google Scholar] [CrossRef] [PubMed]
- Torii, T.; Yasui, K.; Yasuda, K.; Iida, Y.; Tuziuti, T.; Suzuki, T.; Nakamura, M. Generation and consumption rates of OH radicals in sonochemical reactions. Res. Chem. Intermed. 2004, 30, 713–721. [Google Scholar] [CrossRef]
- McMurray, H.N.; Wilson, B.P. Mechanistic and spatial study of ultrasonically induced luminol chemiluminescence. J. Phys. Chem. A 1999, 103, 3955–3962. [Google Scholar] [CrossRef]
- Hatanaka, S.; Yasui, K.; Tuziuti, T.; Mitome, H. Difference in threshold between sono- and sonochemical luminescence. Jpn. J. Appl. Phys. 2000, 39, 2962–2966. [Google Scholar] [CrossRef]
- Miyoshi, N.; Hatanaka, S.; Yasui, K.; Mitome, H.; Fukuda, M. Effects of pH and surfactant on the ultrasound-induced chemiluminescence of luminol. Jpn. J. Appl. Phys. 2001, 40, 4097–4100. [Google Scholar] [CrossRef]
- Hatanaka, S.; Mitome, H.; Yasui, K.; Hayashi, S. Single-bubble sonochemiluminescence in aqueous solutions. J. Am. Chem. Soc. 2002, 124, 10250–10251. [Google Scholar] [CrossRef]
- Suzuki, T.; Yasui, K.; Yasuda, K.; Iida, Y.; Tuziuti, T.; Torii, T.; Nakamura, M. Effect of dual frequency on sonochemical reaction rates. Res. Chem. Intermed. 2004, 30, 703–711. [Google Scholar] [CrossRef]
- Tuziuti, T.; Yasui, K.; Kozuka, T.; Towata, A.; Iida, Y. Enhancement of sonochemical reaction rate by addition of micrometer-sized air bubbles. J. Phys. Chem. A 2006, 110, 10720–10724. [Google Scholar] [CrossRef]
- Tuziuti, T.; Yasui, K.; Sivakumar, M.; Iida, Y. Influence of dissolved-air concentration on spatial distribution of bubbles for sonochemistry. Ultrasonics 2006, 44, e357–e361. [Google Scholar] [CrossRef] [PubMed]
- Tuziuti, T.; Yasui, K.; Kozuka, T.; Towata, A.; Iida, Y. Suppression of sonochemiluminescence reduction at high acoustic amplitudes by the addition of particles. J. Phys. Chem. A 2007, 111, 12093–12098. [Google Scholar] [CrossRef] [PubMed]
- Yasuda, K.; Torii, T.; Yasui, K.; Iida, Y.; Tuziuti, T.; Nakamura, M.; Asakura, Y. Enhancement of sonochemical reaction of terephthalate ion by superposition of ultrasonic fields of various frequencies. Ultrason. Sonochem. 2007, 14, 699–704. [Google Scholar] [CrossRef] [PubMed]
- Sunartio, D.; Yasui, K.; Tuziuti, T.; Kozuka, T.; Iida, Y.; Ashokkumar, M.; Grieser, F. Correlation between Na* emission and “chemically active” acoustic cavitation bubbles. ChemPhysChem 2007, 8, 2331–2335. [Google Scholar] [CrossRef] [PubMed]
- Tuziuti, T.; Yasui, K.; Lee, J.; Kozuka, T.; Towata, A.; Iida, Y. Mechanism of enhancement of sonochemical-reaction efficiency by pulsed ultrasound. J. Phys. Chem. A 2008, 112, 4875–4878. [Google Scholar] [CrossRef]
- Ashokkumar, M.; Lee, J.; Iida, Y.; Yasui, K.; Kozuka, T.; Tuzitui, T.; Towata, A. Spatial distribution of acoustic cavitation bubbles at different ultrasound frequencies. ChemPhysChem 2010, 11, 1680–1684. [Google Scholar] [CrossRef]
- Koda, S.; Kimura, T.; Kondo, T.; Mitome, H. A standard method to calibrate sonochemical efficiency of an individual reaction system. Ultrason. Sonochem. 2003, 10, 149–156. [Google Scholar] [CrossRef]
- Tuziuti, T.; Yasui, K.; Iida, Y.; Sivakumar, M.; Koda, S. Laser-light scattering from a multibubble system for sonochemistry. J. Phys. Chem. A 2004, 108, 9011–9013. [Google Scholar] [CrossRef]
- Tuziuti, T.; Yasui, K.; Iida, Y.; Taoda, H.; Koda, S. Effect of particle addition on sonochemical reaction. Ultrasonics 2004, 42, 597–601. [Google Scholar] [CrossRef]
- Tuziuti, T.; Yasui, K.; Sivakumar, M.; Iida, Y.; Miyoshi, N. Correlation between acoustic cavitation noise and yield enhancement of sonochemical reaction by particle addition. J. Phys. Chem. A 2005, 109, 4869–4872. [Google Scholar] [CrossRef]
- Yasui, K.; Tuziuti, T.; Lee, J.; Kozuka, T.; Towata, A.; Iida, Y. The range of ambient radius for an active bubble in sonoluminescence and sonochemical reactions. J. Chem. Phys. 2008, 128, 184705. [Google Scholar] [CrossRef]
- Yasui, K. Alternative model of single-bubble sonoluminescence. Phys. Rev. E 1997, 56, 6750–6760. [Google Scholar] [CrossRef]
- Yasui, K. Variation of liquid temperature at bubble wall near the sonoluminescence threshold. J. Phys. Soc. Jpn. 1996, 65, 2830–2840. [Google Scholar] [CrossRef]
- Yasui, K. Effect of liquid temperature on sonoluminescence. Phys. Rev. E 2001, 64, 016310. [Google Scholar] [CrossRef] [PubMed]
- Brenner, M.P.; Hilgenfeldt, S.; Lohse, D. Single-bubble sonoluminescence. Rev. Mod. Phys. 2002, 74, 425–484. [Google Scholar] [CrossRef] [Green Version]
- Young, F.R. Sonoluminescence; CRC Press: Boca Raton, FL, USA, 2005. [Google Scholar]
- Barber, B.P.; Hiller, R.A.; Lofstedt, R.; Putterman, S.J.; Weninger, K.R. Defining the unknowns of sonoluminescence. Phys. Rep. 1997, 281, 65–143. [Google Scholar] [CrossRef]
- Yasui, K.; Tuziuti, T.; Sivakumar, M.; Iida, Y. Sonoluminescence. Appl. Spectrosc. Rev. 2004, 39, 399–436. [Google Scholar] [CrossRef]
- Yasui, K.; Tuziuti, T.; Iida, Y. Optimum bubble temperature for the sonochemical production of oxidants. Ultrasonics 2004, 42, 579–584. [Google Scholar] [CrossRef] [PubMed]
- Yasui, K. Effect of non-equilibrium evaporation and condensation on bubble dynamics near the sonoluminescence threshold. Ultrasonics 1998, 36, 575–580. [Google Scholar] [CrossRef]
- Yasui, K.; Tuziuti, T.; Iida, Y.; Mitome, H. Theoretical study of the ambient-pressure dependence of sonochemical reactions. J. Chem. Phys. 2003, 119, 346–356. [Google Scholar] [CrossRef]
- Baulch, D.L.; Drysdale, D.D.; Horne, D.G.; Lioyd, A.C. Evaluated Kinetic Data for High Temperature Reactions; Butterworths: London, UK, 1972; Volume 1. [Google Scholar]
- Baulch, D.L.; Drysdale, D.D.; Horne, D.G. Evaluated Kinetic Data for High Temperature Reactions; Butterworths: London, UK, 1973; Volume 2. [Google Scholar]
- Baulch, D.L.; Drysdale, D.D.; Duxbury, J.; Grant, S.J. Evaluated Kinetic Data for High Temperature Reactions; Butterworths: London, UK, 1976; Volume 3. [Google Scholar]
- Kalmar, C.; Turanyi, T.; Zsely, I.G.; Papp, M.; Hegedus, F. The importance of chemical mechanisms in sonochemical modelling. Ultrason. Sonochem. 2022, 83, 105925. [Google Scholar] [CrossRef]
- An, Y. Mechanism of single-bubble sonoluminescence. Phys. Rev. E 2006, 74, 026304. [Google Scholar] [CrossRef] [PubMed]
- Yasui, K.; Itasaka, H.; Mimura, K.; Kato, K. Dynamic dielectric-response model of flexoelectric polarization from kHz to MHz range in an ordered assembly of BaTiO3 nanocubes. J. Phys. Condens. Matter 2020, 32, 495301. [Google Scholar] [CrossRef] [PubMed]
- Yasui, K.; Itasaka, H.; Mimura, K.; Kato, K. Coexistence of flexo- and ferro-electric effects in an ordered assembly of BaTiO3 nanocubes. Nanomaterials 2022, 12, 188. [Google Scholar] [CrossRef]
- Yasui, K.; Hamamoto, K. Importance of dislocations in ultrasound-assisted sintering of silver nanoparticles. J. Appl. Phys. 2021, 130, 194901. [Google Scholar] [CrossRef]
- Yasui, K.; Hamamoto, K. Comparison between cold sintering and dry pressing of CaCO3 at room temperature by numerical simulations. AIP Adv. 2022, 12, 045304. [Google Scholar] [CrossRef]
- Yasui, K.; Izu, N. Effect of evaporation and condensation on a thermoacoustic engine: A Lagrangian simulation approach. J. Acoust. Soc. Am. 2017, 141, 4398–4407. [Google Scholar] [CrossRef]
- Yasui, K. Relationship of Lagrangian microscopic energy efficiency of a gas parcel in a thermoacoustic engine to macroscopic one. AIP Adv. 2021, 11, 045106. [Google Scholar] [CrossRef]
- Yasui, K.; Kato, K. Dipole-dipole interaction model for oriented attachment of BaTiO3 nanocrystals: A route to mesocrystal formation. J. Phys. Chem. C 2012, 116, 319–324. [Google Scholar] [CrossRef]
- Yasui, K.; Kato, K. Oriented attachment of cubic or spherical BaTiO3 nanocrystals by van der Waals torque. J. Phys. Chem. C 2015, 119, 24597–24605. [Google Scholar] [CrossRef]
- Yasui, K.; Tuziuti, T.; Kanematsu, W. Extreme conditions in a dissolving air nanobubble. Phys. Rev. E 2016, 94, 013106. [Google Scholar] [CrossRef] [PubMed]
- Toegel, R.; Gompf, B.; Pecha, R.; Lohse, D. Does water vapor prevent upscaling sonoluminescence? Phys. Rev. Lett. 2000, 85, 3165–3168. [Google Scholar] [CrossRef] [PubMed] [Green Version]
- Hilgenfeldt, S.; Lohse, D.; Brenner, M.P. Phase diagrams for sonoluminescing bubbles. Phys. Fluids 1996, 8, 2808–2826. [Google Scholar] [CrossRef] [Green Version]
- Storey, B.D.; Szeri, A.J. Water vapour, sonoluminescence and sonochemistry. Proc. R. Soc. Lond. A 2000, 456, 1685–1709. [Google Scholar] [CrossRef]
- Storey, B.D.; Szeri, A.J. A reduced model of cavitation physics for use in sonochemistry. Proc. R. Soc. Lond. A 2001, 457, 1685–1700. [Google Scholar] [CrossRef]
- Toegel, R.; Lohse, D. Phase diagrams for sonoluminescing bubbles: A comparison between experiment and theory. J. Chem. Phys. 2003, 118, 1863–1875. [Google Scholar] [CrossRef]
- Yuan, L. Sonochemical effects on single-bubble sonoluminescence. Phys. Rev. E 2005, 72, 046309. [Google Scholar] [CrossRef] [Green Version]
- Kamath, V.; Prosperetti, A.; Egolfopoulos, F.N. A theoretical study of sonoluminescence. J. Acoust. Soc. Am. 1993, 94, 248–260. [Google Scholar] [CrossRef]
- Gong, C.; Hart, D.P. Ultrasound induced cavitation and sonochemical yields. J. Acoust. Soc. Am. 1998, 104, 2675–2682. [Google Scholar] [CrossRef] [Green Version]
- Sivasankar, T.; Moholkar, V.S. Mechanistic approach to intensification of sonochemical degradation of phenol. Chem. Eng. J. 2009, 149, 57–69. [Google Scholar] [CrossRef]
- Didenko, Y.T.; Suslick, K.S. The energy efficiency of formation of photons, radicals and ions during single-bubble cavitation. Nature 2002, 418, 394–397. [Google Scholar] [CrossRef] [PubMed]
- Yasui, K.; Iida, Y.; Tuziuti, T.; Kozuka, T.; Towata, A. Strongly interacting bubbles under an ultrasonic horn. Phys. Rev. E 2008, 77, 016609. [Google Scholar] [CrossRef] [PubMed]
- Mettin, R.; Akhatov, I.; Parlitz, U.; Ohl, C.D.; Lauterborn, W. Bjerkens forces between small cavitation bubbles in a strong acoustic field. Phys. Rev. E 1997, 56, 2924–2931. [Google Scholar] [CrossRef] [Green Version]
- Bremond, N.; Arora, M.; Dammer, S.M.; Lohse, D. Interaction of cavitation bubbles on a wall. Phys. Fluids 2006, 18, 121505. [Google Scholar] [CrossRef]
- Stricker, L.; Dollet, B.; Rivas, D.F.; Lohse, D. Interacting bubble clouds and their sonochemical production. J. Acoust. Soc. Am. 2013, 134, 1854–1862. [Google Scholar] [CrossRef] [Green Version]
- Lohse, D.; Brenner, M.P.; Dupont, T.F.; Hilgenfeldt, S.; Johnston, B. Sonoluminescing air bubbles rectify argon. Phys. Rev. Lett. 1997, 78, 1359–1362. [Google Scholar] [CrossRef] [Green Version]
- Lohse, D.; Hilgenfeldt, S. Inert gas accumulation in sonoluminescing bubbles. J. Chem. Phys. 1997, 107, 6986–6997. [Google Scholar] [CrossRef] [Green Version]
- Kondo, T.; Misik, V.; Riesz, P. Sonochemistry of cytochrome c. evidence for superoxide formation by ultrasound in argon-saturated aqueous solution. Ultrason. Sonochem. 1996, 3, S193–S199. [Google Scholar] [CrossRef]
- Yasui, K. Temperature in multibubble sonoluminescence. J. Chem. Phys. 2001, 115, 2893–2896. [Google Scholar] [CrossRef]
- Kalmar, C.; Klapcsik, K.; Hegedus, F. Relationship between the radial dynamics and the chemical production of a harmonically driven spherical bubble. Ultrason. Sonochem. 2020, 64, 104989. [Google Scholar] [CrossRef]
- Merouani, S.; Hamdaoui, O.; Rezgui, Y.; Guemini, M. Sensitivity of free radicals production in acoustically driven bubble to the ultrasonic frequency and nature of dissolved gases. Ultrason. Sonochem. 2015, 22, 41–50. [Google Scholar] [CrossRef] [PubMed]
- Dehane, A.; Merouani, S.; Hamdaoui, O. Theoretical investigation of the effect of ambient pressure on bubble sonochemistry: Special focus on hydrogen and reactive radicals production. Chem. Phys. 2021, 547, 111171. [Google Scholar] [CrossRef]
- Dehane, A.; Merouani, S.; Hamdaoui, O.; Alghyamah, A. Insight into the impact of excluding mass transport, heat exchange and chemical reactions heat on the sonochemical bubble yield: Bubble size-dependency. Ultrason. Sonochem. 2021, 73, 105511. [Google Scholar] [CrossRef] [PubMed]
- Pawar, S.K.; Mahulkar, A.V.; Pandit, A.B.; Roy, K.; Moholkar, V.S. Sonochemical effect induced by hydrodynamic cavitation: Comparison of venturi/orifice flow geometries. AIChE J. 2017, 63, 4705–4716. [Google Scholar] [CrossRef]
- Kerboua, K.; Hamdaoui, O.; Alghyamah, A. Acoustic frequency and optimum sonochemical production at single and multi-bubble scales: A modeling answer to the scaling dilemma. Ultrason. Sonochem. 2021, 70, 105341. [Google Scholar] [CrossRef]
- Kerboua, K.; Hamdaoui, O. Oxygen-argon acoustic cavitation bubble in a water-methanol mixture: Effects of medium composition on sonochemical activity. Ultrason. Sonochem. 2020, 61, 104811. [Google Scholar] [CrossRef]
- Yasui, K. Unsolved problems in acoustic cavitation. In Handbook of Ultrasonics and Sonochemistry; Ashokkumar, M., Cavalieri, F., Chemat, F., Okitsu, K., Sambandam, A., Yasui, K., Zisu, B., Eds.; Springer: Singapore, 2016; Volume 1, pp. 259–292. [Google Scholar] [CrossRef]
- Richards, W.G.; Scott, P.R. Structure and Spectra of Atoms; Wiley: London, UK, 1976. [Google Scholar]
- Ho, R.Y.N.; Liebman, J.F.; Valentine, J.S. Overview of the energetics and reactivity of oxygen. In Active Oxygen in Chemistry; Foote, C.S., Valentine, J.S., Greenberg, A., Liebman, J.F., Eds.; Chapman & Hall: London, UK, 1995; pp. 1–23. [Google Scholar]
- Slater, J.C. Quantum Theory of Atomic Structure; McGraw-Hill: New York, NY, USA, 1960. [Google Scholar]
- Atkins, P.W.; Friedman, R.S. Molecular Quantum Mechanics, 3rd ed.; Oxford University Press: Oxford, UK, 1997. [Google Scholar]
- McQuarrie, D.A.; Simon, J.D. Physical Chemistry: A Molecular Approach; University Science: Sausalito, CA, USA, 1997. [Google Scholar]
- Herzberg, G. Atomic Spectra and Atomic Structure, 2nd ed.; Courier Corporation: Dover, NY, USA, 1944. [Google Scholar]
- Biedenkapp, D.; Hartshorn, L.G.; Bair, E.J. The reaction. Chem. Phys. Lett. 1970, 5, 379–380. [Google Scholar] [CrossRef]
- Von Sonntag, C.; von Gunten, U. Chemistry of Ozone in Water and Wastewater Treatment; IWA Pub.: London, UK, 2012. [Google Scholar]
- Yang, Y.; Cho, Y.I.; Fridman, A. Plasma Discharge in Liquid; CRC Press: Boca Raton, FL, USA, 2012. [Google Scholar]
- Aboubakr, H.A.; Gangal, U.; Youssef, M.M.; Goyal, S.M.; Bruggeman, P.J. Inactivation of virus in solution by cold atmospheric pressure plasma: Identification of chemical inactivation pathways. J. Phys. D Appl. Phys. 2016, 49, 204001. [Google Scholar] [CrossRef]
- Lukes, P.; Dolezalova, E.; Sisrova, I.; Clupek, M. Aqueous-phase chemistry and bactericidal effects from an air discharge plasma in contact with water: Evidence for the formation of peroxynitrite through a pseudo-second-order post-discharge reaction of H2O2 and HNO2. Plasma Sources Sci. Technol. 2014, 23, 015019. [Google Scholar] [CrossRef]
- Voitko, K.; Toth, A.; Demianenko, E.; Dobos, G.; Berke, B.; Bakalinska, O.; Grebenyuk, A.; Tombacz, E.; Kuts, V.; Tarasenko, Y.; et al. Catalytic performance of carbon nanotubes in H2O2 decomposition: Experimental and quantum chemistry study. J. Colloid Interf. Sci. 2015, 437, 283–290. [Google Scholar] [CrossRef] [Green Version]
- Hart, E.J.; Henglein, A. Free radical and free atom reactions in the sonolysis of aqueous iodide and formate solutions. J. Phys. Chem. 1985, 89, 4342–4347. [Google Scholar] [CrossRef]
- Bruggeman, P.J.; Kushner, M.J.; Locke, B.R.; Gardeniers, J.G.E.; Graham, W.G.; Graves, D.B.; Hofman-Caris, R.C.H.M.; Maric, D.; Reid, J.P.; Ceriani, E.; et al. Plasma-liquid interactions: A review and roadmap. Plasma Sources Sci. Technol. 2016, 25, 053002. [Google Scholar] [CrossRef]











| Oxidant | Reaction | Oxidation Potential (V) |
|---|---|---|
| OH | 2.81 | |
| O | 2.42 | |
| O3 | 2.07 | |
| H2O2 | 1.78 |
Publisher’s Note: MDPI stays neutral with regard to jurisdictional claims in published maps and institutional affiliations. |
© 2022 by the author. Licensee MDPI, Basel, Switzerland. This article is an open access article distributed under the terms and conditions of the Creative Commons Attribution (CC BY) license (https://creativecommons.org/licenses/by/4.0/).
Share and Cite
Yasui, K. Production of O Radicals from Cavitation Bubbles under Ultrasound. Molecules 2022, 27, 4788. https://doi.org/10.3390/molecules27154788
Yasui K. Production of O Radicals from Cavitation Bubbles under Ultrasound. Molecules. 2022; 27(15):4788. https://doi.org/10.3390/molecules27154788
Chicago/Turabian StyleYasui, Kyuichi. 2022. "Production of O Radicals from Cavitation Bubbles under Ultrasound" Molecules 27, no. 15: 4788. https://doi.org/10.3390/molecules27154788
APA StyleYasui, K. (2022). Production of O Radicals from Cavitation Bubbles under Ultrasound. Molecules, 27(15), 4788. https://doi.org/10.3390/molecules27154788

