The Impact of Soil pH on Heavy Metals Uptake and Photosynthesis Efficiency in Melissa officinalis, Taraxacum officinalis, Ocimum basilicum
Abstract
:1. Introduction
2. Results
2.1. Analysis of Soil Used in the Study
2.2. Effect of pH on Plant Growth and Photosynthesis
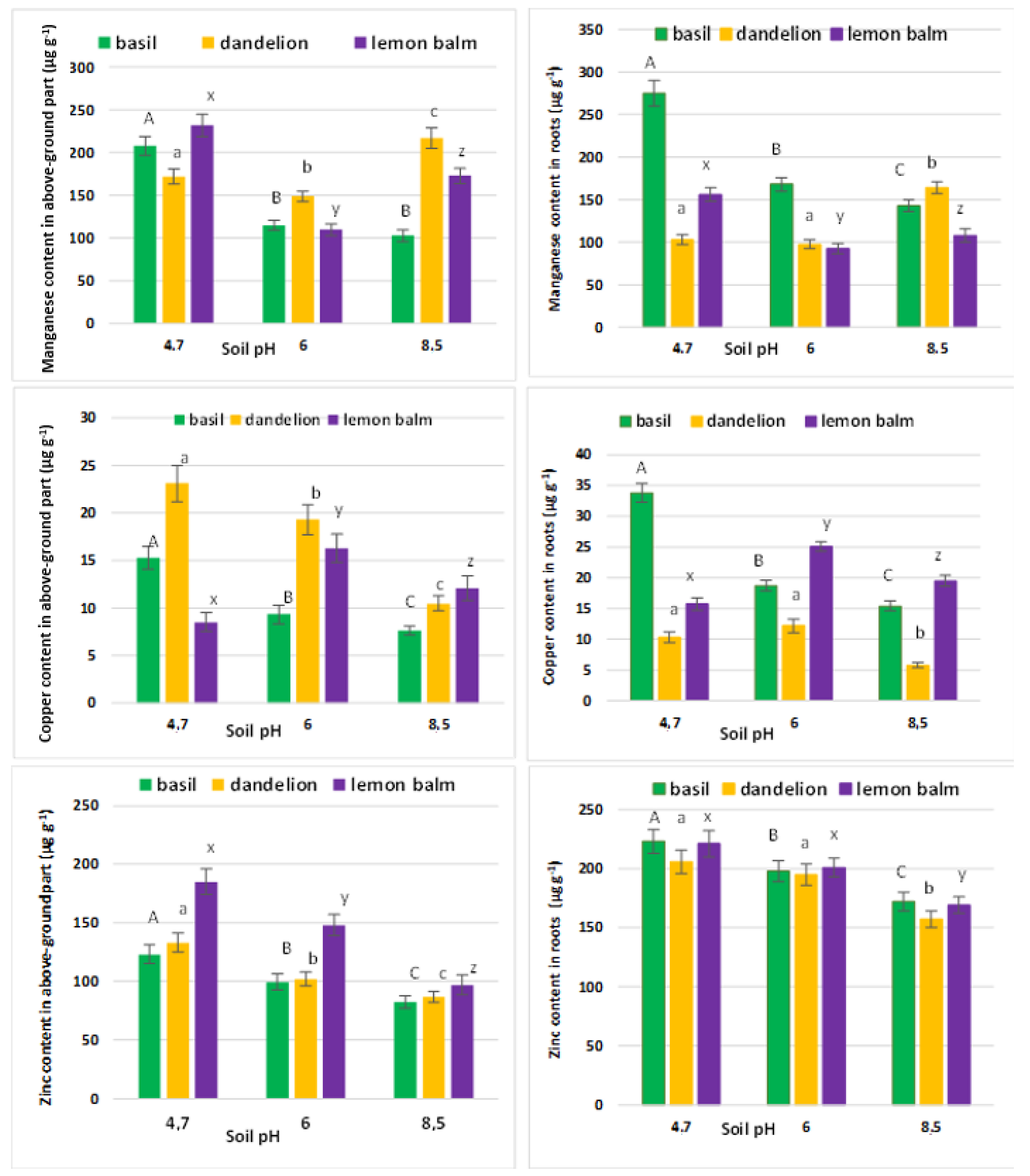
2.3. Effect of pH on Heavy Metals Contents in Plants
3. Discussion
4. Materials and Methods
4.1. Soil Analysis
4.2. The Soil pH Adjustment
4.3. Cultivation of Plant Material
4.4. The Morphological and Physiological Parameters of Plants
4.5. Determination of Heavy Metals in Herbs
5. Conclusions
Supplementary Materials
Author Contributions
Funding
Institutional Review Board Statement
Informed Consent Statement
Data Availability Statement
Acknowledgments
Conflicts of Interest
Sample Availability
References and Note
- Neina, D. The role of soil pH in plant nutrition and soil remediation. Appl. Environ. Soil Sci. 2019, 2019, 5794869. [Google Scholar] [CrossRef]
- Li, Q.; Wang, Y.; Li, Y.; Li, L.; Tang, M.; Hu, W.; Li, C.; Ai, S. Speciation of heavy metals in soils and their immobilization at microscale interfaces among diverse soil components. Sci. Total Environ. 2022, 825, 153862. [Google Scholar] [CrossRef] [PubMed]
- Draszawka-Bołzan, B. Effect of pH and soil environment. WNOFNS 2017, 8, 50–60. Available online: www.worldnewsnaturalsciences.com./wp-content/uploads/2012/11/WNOFNS-8-2017-50-60-1.pdf (accessed on 16 May 2022).
- Gentili, R.; Ambrosini, R.; Montagnani, C.; Caronni, S.; Citterio, S. Effect of soil pH on the growth, reproductive investment and pollen allergenicity of Ambrosia artemisiifolia L. Front. Plant Sci. 2018, 9, 1335. [Google Scholar] [CrossRef] [Green Version]
- Strawn, D.G. Sorption Mechanisms of Chemicals in Soils. Soil Syst. 2021, 5, 13. [Google Scholar] [CrossRef]
- Olaniran, A.O.; Balgobind, A.; Pillay, B. Bioavailability of heavy metals in soil: Impact on microbial biodegradation of organic compounds and possible improvement strategies. Int. J. Mol. Sci. 2013, 14, 10197–10228. [Google Scholar] [CrossRef] [Green Version]
- Kim, R.-Y.; Yoon, J.-K.; Kim, T.-S.; Yang, J.E.; Owens, G.; Kim, K.-R. Bioavailability of heavy metals in soils: Definitions and practical implementation—A critical review. Environ. Geochem. Health 2015, 37, 1041–1061. [Google Scholar] [CrossRef]
- Violante, A.; Cozzolino, V.; Perelomov, L.; Caporale, A.G.; Pigna, M. Mobility and bioavailability of heavy metals and metalloids in soil environments. J. Soil Sci. Plant Nutr. 2010, 10, 268–292. [Google Scholar] [CrossRef] [Green Version]
- Lu, H.; Li, K.; Nkoh, J.; He, X.; Xu, R.; Qian, W.; Shi, R.; Hong, Z. Effects of pH variations caused by redox reactions and pH buffering capacity on Cd(II) speciation in paddy soils during submerging draining alternation. Ecot. Environ. Saf. 2022, 234, 113409. [Google Scholar] [CrossRef]
- Yruela, I. Transition metals in plant photosynthesis. Metallomics 2013, 5, 1090–1109. [Google Scholar] [CrossRef] [Green Version]
- Han, G.; Lu, C.; Guo, J.; Qiao, Z.; Sui, N.; Qiu, N.; Wang, B. C2H2 Zinc finger proteins: Master regulators of abiotic stress responses in plants. Front. Plant Sci. 2020, 11, 115–128. [Google Scholar] [CrossRef] [PubMed] [Green Version]
- Bricker, T.M.; Roose, J.L.; Fagerlund, R.D.; Frankel, L.K.; Eaton-Rye, J.J. The extrinsic proteins of Photosystem II. Biochim. Biophys. Acta Bioenerg. 2012, 1817, 121–142. [Google Scholar] [CrossRef] [PubMed] [Green Version]
- Alejandro, S.; Höller, S.; Meier, B.; Peiter, E. Manganese in Plants: From acquisition to subcellular allocation. Front. Plant Sci. 2020, 11, 300–323. [Google Scholar] [CrossRef] [PubMed] [Green Version]
- Yamasaki, H.; Pilon, M.; Shikanai, T. How do plants respond to copper deficiency? Plant Signal. Behav. 2008, 3, 231–232. [Google Scholar] [CrossRef] [Green Version]
- Aguirre, G.; Pilon, M. Copper delivery to chloroplast proteins and its regulation. Front. Plant Sci. 2016, 6, 1250–1260. [Google Scholar] [CrossRef] [Green Version]
- Giacomino, A.; Malandrino, M.; Colombo, M.L.; Miaglia, S.; Maimone, P.; Blancato, S.; Conca, E.; Abollino, O. Metal content in dandelion (Taraxacum officinale) leaves: Influence of vehicular traffic and safety upon consumption as food. J. Chem. 2016, 2016, 9842987. [Google Scholar] [CrossRef] [Green Version]
- Jastrzebska-Stojko, Z.; Stojko, R.; Rzepecka-Stojko, A.; Kabała-Dzik, A.; Stojko, J. Biological activity of propolis-honey balm in the treatment of experimentally-evoked burn wounds. Molecules 2013, 18, 14397–14413. [Google Scholar] [CrossRef] [Green Version]
- Miraj, S.; Rafieian, K.; Kiani, S. Melissa officinalis L.: A review study with an antioxidant prospective. J. Evid. Based Complement. Alter Med. 2017, 22, 385–394. [Google Scholar] [CrossRef]
- Gonzalez-Castejon, M.; Visioli, F.; Rodriguez-Casado, A. Diverse biological activities of dandelion. Nutr. Rev. 2012, 70, 534–547. [Google Scholar] [CrossRef]
- Mahboubi, M.; Mahboubi, M. Hepatoprotection by dandelion (Taraxacum officinale) and mechanisms. Asian Pac. J. Trop. Biomed. 2020, 10, 1–10. [Google Scholar] [CrossRef]
- Zahedifar, M.; Moosavi, A.A.; Zarei, Z.; Shafigh, M.; Karimian, F. Heavy metals content and distribution in basil (Ocimum basilicum L.) as influenced by cadmium and different potassium sources. Int. J. Phytorem. 2019, 21, 435–447. [Google Scholar] [CrossRef] [PubMed]
- Fattahia, B.; Arzania, K.; Souria, M.K.; Barzegar, M. Effects of cadmium and lead on seed germination, morphological traits, and essential oil composition of sweet basil (Ocimum basilicum L.). Ind. Crop. Prod. 2019, 138, 111584. [Google Scholar] [CrossRef]
- PN-ISO 10390:1997; Agricultural Chemical Analysis of the Soil. Determination of pH; ISO: Geneva, Switzerland, 1997. Available online: http://sklep.pkn.pl/pn-iso-10390-1997p.html (accessed on 20 April 2019).
- ASTM D2974-00, 2000; Standard Test Methods for Moisture, Ash, and Organic Matter of Peat and Other Organic Soils. American Society for Testing and Materials: West Conshohocken, PA, USA, 2000.
- Schumacher, B.A. Methods for the Determination of Total Organic Carbon (TOC) in Soils and Sediments; United States Environmental Protection Agency Environmental Sciences Division National Exposure Research Laboratory: Las Vegas, NV, USA, 2002. [Google Scholar]
- World Soil Resources Reports No. 103; IUSS Working Group WRB World Reference Base for Soil Resources. FAO: Rome, Italy, 2006.
- Regulation of the Minister of Environment. Item 1395, 1 August 2016.
- Bordens, K.S.; Abbott, B.B. Research Design and Methods. A Process Approach, 8th ed.; McGraw-Hill: New York, NY, USA, 2011; pp. 432–450. [Google Scholar]
- Galal, T.M.; Shehata, H.S. Bioaccumulation and translocation of heavy metals by Plantago major L. grown in contaminated soils under the effect of traffic pollution. Ecol. Ind. 2015, 48, 244–251. [Google Scholar] [CrossRef]
- Liu, K.; Lv, J.; He, W.; Zhang, H.; Cao, Y.; Dai, Y. Major factors influencing cadmium uptake from the soil into wheat plants. Ecotoxicol. Environ. Saf. 2015, 113, 207–213. [Google Scholar] [CrossRef] [PubMed]
- Testiati, E.; Parinet, J.; Massiani, C.; Laffont-Schwob, I.; Rabier, J.; Pfeifer, H.-R.; Lenoble, V.; Masotti, V.; Prudent, P. Trace metal and metalloid contamination levels in soils and two native plant species of a former industrial site: Evaluation of the phytostabilization potential. J. Hazard. Mater. 2013, 248, 131–141. [Google Scholar] [CrossRef]
- Adamczyk-Szabela, D.; Lisowska, K.; Wolf, W.M. Hysteresis of heavy metals uptake induced in Taraxacum offcinale by thiuram. Sci. Rep. 2021, 11, 20151. [Google Scholar] [CrossRef] [PubMed]
- Bradl, H.B. Adsorption of heavy metal ions on soils and soils constituents. J. Coll. Int. Sci. 2004, 277, 1–18. [Google Scholar] [CrossRef] [PubMed]
- Kabata-Pendias, A.; Pendias, H. Biogeochemistry of Trace Elements, 2nd ed.; PWN: Warsaw, Poland, 1999. [Google Scholar]
- Zhao, D.; Hao, Z.; Wang, J.; Tao, J. Effects of pH in irrigation water on plant growth and flower quality in Herbaceous peony (Paeonia lactiflora Pall.). Sci. Hortic. 2013, 154, 45–53. [Google Scholar] [CrossRef]
- Galindo-Castañeda, T.; Lynch, J.P.; Six, J.; Hartmann, M. Improving soil resource uptake by plants through capitalizing on synergies between root architecture and anatomy and root-associated microorganisms. Front. Plant Sci. 2022, 13, 827369. [Google Scholar] [CrossRef]
- Adamczyk-Szabela, D.; Markiewicz, J.; Wolf, W.M. Heavy Metal Uptake by Herbs. IV. Influence of soil pH on the content of heavy metals in Valeriana officinalis L. Water Air Soil Pollut. 2015, 226, 106. [Google Scholar] [CrossRef] [Green Version]
- Yan, A.; Wang, Y.; Tan, S.N.; Mohd Yusof, M.L.; Ghosh, S.; Chen, Z. Phytoremediation: A promising approach for revegetation of heavy metal-polluted land. Front. Plant Sci. 2020, 11, 359. [Google Scholar] [CrossRef] [PubMed]
- Jiang, Y.; Zeng, Q.; Wei, J.; Jiang, J.; Li, Y.; Chen, J.; Yu, H. Growth, fruit yield, photosynthetic characteristics, and leaf microelement concentration of two blueberry cultivars under different long-term soil pH treatments. Agronomy 2019, 9, 357. [Google Scholar] [CrossRef] [Green Version]
- Wu, D.; Liu, Y.; Liu, Y.; Dong, Y.; Chen, J.; Feng, Y.; Du, J. Study on available copper content in cultivated soils and its affecting factors in Zhuhai. In Proceedings of the International Conference on Computer Distributed Control and Intelligent Environmental Monitoring, Zhangjiajie, China, 5–6 March 2011; pp. 1350–1353. [Google Scholar]
- Rosas, A.; Rengel, Z.; de la Luz Mora, M. Manganese supply and pH influence growth, carboxylate exudation and peroxidase activity of ryegrass and white clover. J. Plant Nutr. 2007, 30, 253–270. [Google Scholar] [CrossRef]
- Pinto, E.; Aguiar, A.A.R.M.; Ferreira, I.M.P.L.V.O. Influence of soil chemistry and plant physiology in the phytoremediation of Cu, Mn, and Zn. Crit. Rev. Plant Sci. 2014, 33, 351–373. [Google Scholar] [CrossRef] [Green Version]
- Leitenmaier, B.; Kupper, H. Cadmium uptake and sequestration kinetics in individual leaf cell protoplasts of the Cd/Zn hyperaccumulator Thlaspi caerulescens. Plant Cell Environ. 2011, 34, 208–221. [Google Scholar] [CrossRef] [Green Version]
- Comin, J.J.; Ambrosini, V.G.; Rosa, D.J.; Basso, A.; Loss, A.; Bastos de Melo, G.W.; Lovato, P.E.; Lourenzi, C.R.; Ricachenevsky, F.K.; Brunetto, G. Liming as a means of reducing copper toxicity in black oats. Ciência Rural 2018, 48, 4. [Google Scholar] [CrossRef]
- Yruela, I. Copper in plants: Acquisition, transport and interactions. Funct. Plant Biol. 2009, 36, 409–430. [Google Scholar] [CrossRef] [Green Version]
- Humphries, J.; Stangoulis, J.; Graham, R. Manganese. In Handbook of Plant Nutrition; Barker, A., Pilbeam, D., Eds.; Taylor and Francis: Oxfordshire, UK, 2007; pp. 351–366. [Google Scholar]
- Millaleo, R.; Reyes-Diaz, M.; Ivanov, A.G.; Mora, M.L.; Alberdi, M. Manganese as essential and toxic element for plants: Transport, accumulation and resistance mechanisms. J. Soil Sci. Plant Nutr. 2010, 10, 476–494. [Google Scholar] [CrossRef] [Green Version]
- Olsen, L.I.; Palmgren, M.G. Many rivers to cross: The journey of zinc from soil to seed. Front. Plant Sci. 2014, 5, 1–6. [Google Scholar] [CrossRef] [Green Version]
- PN-ISO 10381-4: 2007; Soil quality—Sampling—Part 4: Rules for Procedure during the Research Areas of Natural, Semi-Natural and Cultivated. ISO: Geneva, Switzerland, 2007.
- PN-92R-04016; Agrochemical Analysis of Soil. Determination of Available Zinc Content. PL-PKN: Warasaw, Poland, 1993.
- Piotrowski, K.; Romanowska-Duda, Z.B.; Grzesik, M. How Biojodis and cyanobacteria alleviate the negative infuence of predicted environmental constraints on growth and physiological activity of corn plants. Pol. J. Environ. Stud. 2016, 25, 741–751. [Google Scholar] [CrossRef]
- Kalaji, H.M.; Schansker, G.; Brestic, M.; Bussotti, F.; Calatayud, A.; Ferroni, L.; Goltsev, V.; Guidi, L.; Jajoo, A.; Li, P.; et al. Frequently asked questions about chlorophyll fuorescence, the sequel. Photosynth. Res. 2017, 132, 13–66. [Google Scholar] [CrossRef] [PubMed] [Green Version]
- Dybczyński, R.; Danko, B.; Kulisa, K.; Maleszewska, E.; Motrenko, H.P.; Samczyński, Z.; Szopa, Z. Preparation and preliminary certifcation of two new Polish CRMs for inorganic trace analysis. J. Radioanal. Nucl. Chem. 2004, 259, 409–413. [Google Scholar] [CrossRef]


| (a) | ||||
|---|---|---|---|---|
| pH | 6.0 | |||
| Organic matter | 32.5% | |||
| Metal concentration (µg·g−1) | Mn | Cu | Zn | |
| Total forms | 198 ± 5 | 25.6 ± 0.6 | 201 ± 4 | |
| (b) | ||||
| Bioavailable forms | pH = 4.7 | 133 ± 1.7 A | 14.6 ± 0.7 D | 136 ± 6 F |
| pH = 6.0 control | 98.7 ± 1.8 B | 12.2 ± 0.7 E | 117 ± 2 G | |
| pH = 8.7 | 119 ± 2 C | 15.4 ± 0.5 D | 91.8 ± 0.9 H | |
| Basil | Dandelion | Lemon Balm | ||||
|---|---|---|---|---|---|---|
| Above-Ground Parts | Roots | Above-Ground Parts | Roots | Above-Ground Parts | Roots | |
| Mn | p = 8.17 × 10−10 F = 190.2278 | p = 1.37 × 10−9 F = 174.0622 | p = 7.47 × 10−7 F = 56.9940 | p = 6.10 × 10−9 F = 134.3608 | p = 2.59 × 10−9 F = 155.8941 | p = 8.43 × 10−8 F = 84.6094 |
| Cu | p = 1.02 × 10−7 F = 81.8463 | p = 5.61 × 10−11 F = 300.6741 | p = 1.56 × 10−7 F = 75.7392 | p = 5.96 × 10−7 F = 59.3978 | p = 6.60 × 10−6 F = 37.8033 | p = 1.60 × 10−8 F = 113.4664 |
| Zn | p = 9.68 × 10−6 F = 35.0993 | p = 1.80 × 10−5 F = 31.0742 | p = 1.07 × 10−6 F = 53.3690 | p = 1.14 × 10−5 F = 33.9830 | p = 7.33 × 10−8 F = 86.7552 | p = 1.06 × 10−5 F = 34.4554 |
| BAF | TF | TC | |
|---|---|---|---|
| pH | Basil | ||
| 4.7 | Mn (1.05) > Zn (0.61) > Cu (0.60) | Mn (0.76) > Zn (0.55) > Cu (0.45) | Mn (1.39) > Cu (1.32) > Zn (1.11) |
| 6.0 control | Mn (0.58) > Zn (0.50) > Cu (0.36) | Mn (0.68) > Zn (0.50) = Cu (0.50) | Zn (0.99) > Mn (0.85) > Cu (0.73) |
| 8.5 | Mn (0.52) > Zn (0.41) > Cu (0.30) | Mn (0.72) > Zn (0.48) > Cu (0.47) | Zn (0.86) > Mn (0.72) > Cu (0.60) |
| Dandelion | |||
| 4.7 | Mn (0.87) > Zn (0.61) > Cu (0.39) | Cu (2.24) > Mn (1.67) > Zn (0.65) | Zn (1.02) > Mn (0.52) > Cu (0.40) |
| 6.0 control | Mn (0.75) > Zn (0.51) > Cu (0.47) | Cu (1.58) > Mn (1.53) > Zn (0.52) | Zn (0.97) > Mn (0.49) > Cu (0.48) |
| 8.5 | Mn (1.10) > Cu (0.26) > Zn (0.25) | Cu (1.83) > Mn (1.32) > Zn (0.55) | Mn (0.83) > Zn (0.78) > Cu (0.22) |
| Lemon balm | |||
| 4.7 | Mn (1.17) > Zn (0.92) > Cu (0.33) | Mn (1.49) > Zn (0.84) > Cu (0.54) | Zn (1.10) > Mn (0.79) > Cu (0.61) |
| 6.0 control | Zn (0.74) > Cu (0.64) > Mn (0.56) | Mn (1.19) > Zn (0.74) > Cu (0.65) | Zn (1.00) > Cu (0.98) > Mn (0.47) |
| 8.5 | Mn (1.06) > Zn (0.48) > Cu (0.47) | Mn (1.60) > Zn (0.57) > Cu (0.62) | Zn (0.84) > Cu (0.76) > Mn (0.55) |
Publisher’s Note: MDPI stays neutral with regard to jurisdictional claims in published maps and institutional affiliations. |
© 2022 by the authors. Licensee MDPI, Basel, Switzerland. This article is an open access article distributed under the terms and conditions of the Creative Commons Attribution (CC BY) license (https://creativecommons.org/licenses/by/4.0/).
Share and Cite
Adamczyk-Szabela, D.; Wolf, W.M. The Impact of Soil pH on Heavy Metals Uptake and Photosynthesis Efficiency in Melissa officinalis, Taraxacum officinalis, Ocimum basilicum. Molecules 2022, 27, 4671. https://doi.org/10.3390/molecules27154671
Adamczyk-Szabela D, Wolf WM. The Impact of Soil pH on Heavy Metals Uptake and Photosynthesis Efficiency in Melissa officinalis, Taraxacum officinalis, Ocimum basilicum. Molecules. 2022; 27(15):4671. https://doi.org/10.3390/molecules27154671
Chicago/Turabian StyleAdamczyk-Szabela, Dorota, and Wojciech M. Wolf. 2022. "The Impact of Soil pH on Heavy Metals Uptake and Photosynthesis Efficiency in Melissa officinalis, Taraxacum officinalis, Ocimum basilicum" Molecules 27, no. 15: 4671. https://doi.org/10.3390/molecules27154671
APA StyleAdamczyk-Szabela, D., & Wolf, W. M. (2022). The Impact of Soil pH on Heavy Metals Uptake and Photosynthesis Efficiency in Melissa officinalis, Taraxacum officinalis, Ocimum basilicum. Molecules, 27(15), 4671. https://doi.org/10.3390/molecules27154671
