Abstract
The microwave (MW)-assisted direct esterification of certain P-acids is a green method. Quantum chemical calculations revealed that the activation enthalpy (ΔH#) for the exothermic monoalkylphosphate → dialkylphosphate transformation was on the average 156.6 kJ mol−1, while ΔH# for the dialkylphosphate → trialkylphosphate conversion was somewhat higher, 171.2 kJ mol−1, and the energetics of the elemental steps of this esterification was less favorable. The direct monoesterification may be performed on MW irradiation in the presence of a suitable ionic liquid additive. However, the second step, with the less favorable energetics as a whole, could not be promoted by MWs. Hence, dialkylphosphates had to be converted to triesters by another method that was alkylation. In this way, it was also possible to synthesize triesters with different alkyl groups. Eventually a green, P-chloride free MW-promoted two-step method was elaborated for the synthesis of phosphate triesters.
1. Introduction
Microwave irradiation is a useful tool in promoting organic chemical reactions [1,2,3,4,5,6,7]. On the one hand, the transformations become faster with MW assistance; on the other hand, the conversions are more selective. Overall, the reactions can be accomplished in a more efficient way [8]. Another value is when MW irradiation substitutes catalysts [9,10,11] or allows the simplification of catalyst systems [12]. The greatest advantage of MWs is when reactions reluctant to conventional heating take place with irradiation [13].
An interesting discipline is the synthesis of P-esters, such as phosphinates, phosphonates and phosphates. The traditional way is to start from P-chlorides (phosphinic chloride, phosphonic dichloride and phosphorus oxychloride), and to react them with alcohols or phenols in the presence of a base [14,15]. However, these transformations require cost-meaning P-chlorides, and are not atomic efficient. We were successful in developing an MW-assisted, [bmim][PF6]-promoted method for the direct esterification of a series of phosphinic acids (Scheme 1A) [16]. Phosphonic acids could also be converted to monoalkylphosphonates in a similar way using [bmim][BF4] (Scheme 1B) [17]. The series is complete if the monoalkylphosphate → dialkylphosphate transformation is also considered (Scheme 1C) [18]. The MW-assisted direct esterification of P-acids is an important method, as, in this way, the use of P-chlorides can be avoided. Hence, costs may be saved, and the formation of hydrochloric acid may be avoided.
Scheme 1.
MW-assisted esterification of different P-acids.
In this paper, we wished to evaluate the energetics of the V → VI transformation, and that of the VI → (R2O)3P(O) conversion. Moreover, it was our purpose to elaborate the esterification of dialkylphosphates VI.
2. Results and Discussion
2.1. MW-Assisted Direct Esterification of Monoalkylphosphates
The monoalkylphosphates (1a–d) selected underwent esterification in reaction with the corresponding alcohol used in 15-fold quantity in the presence of 10% of [bmim][BF4] as the catalyst at 175/200 °C under MW irradiation. Our preliminary results were useful to find the optimum conditions [18]. The dialkylphosphates (2a–d) were obtained selectively, in yields of 83–87% after chromatography (Table 1). The main role of the ionic liquid additive is to act as an MW absorber in the reaction mixture [17]. Our earlier experiences showed that in the absence of an ionic liquid additive, the efficiency of the esterifications was significantly lower, when compared to the case when 10% of the catalyst was applied. The difference may have amounted to 80% [17].
Table 1.
Direct esterification of monoalkylphosphates (1) with MW irradiation under different conditions.
The dialkylphosphates (2) could not be converted to the triesters (3) in a similar fashion.
2.2. Theoretical Calculations on the Energetics and Mechanism of the Monoalkylphosphate → Dialkylphosphate → Trialkylphosphate Transformation
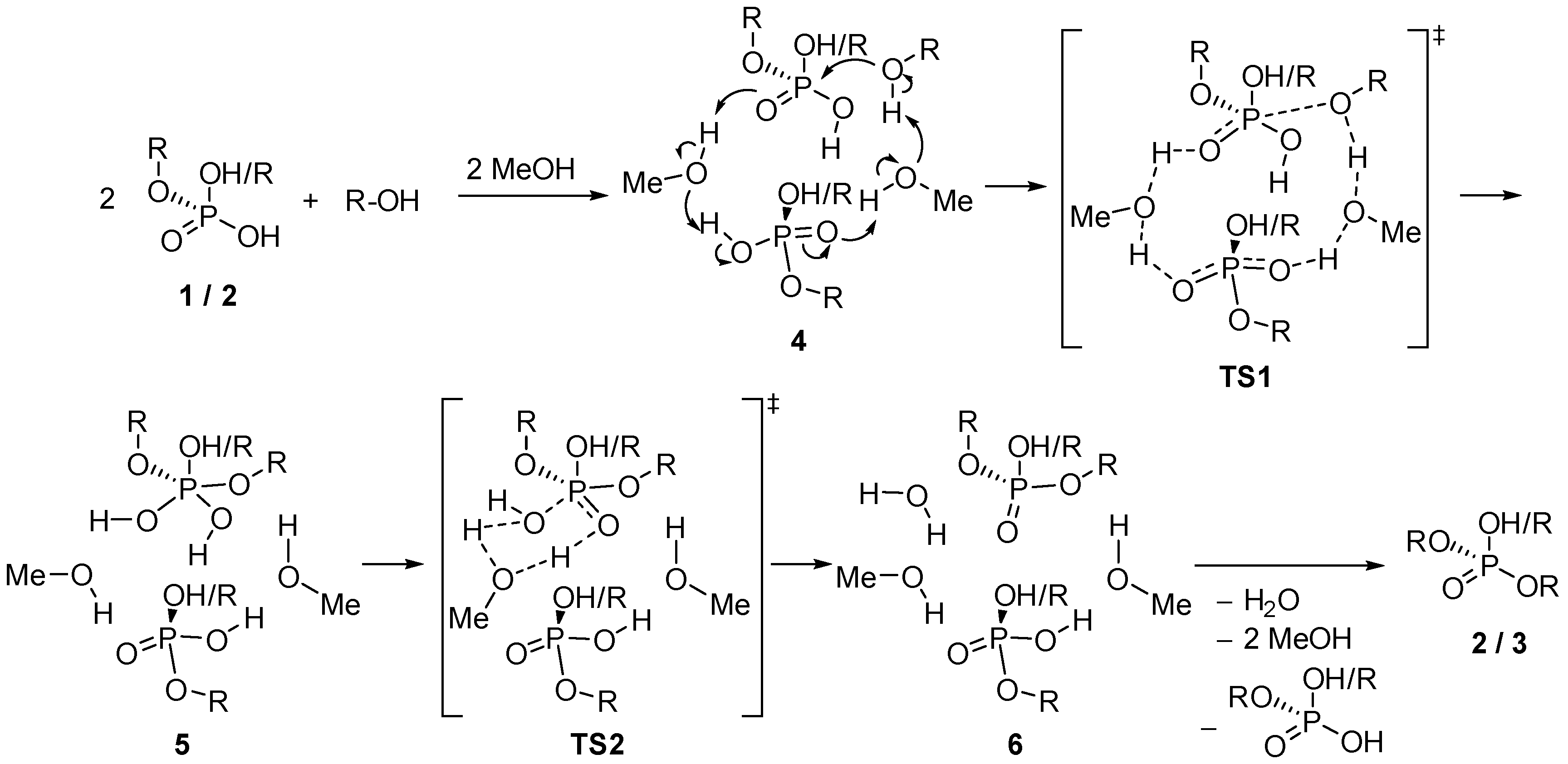
We analyzed the energetics of the direct esterification of phosphates (R = Et, Bu) with the corresponding alcohols (EtOH, BuOH) using DFT computations at the M062X/6–311+G (d,p) level of theory considering the solvent effect (SMD implicit solvent model) of the corresponding alcohol and 473 K as the temperature (Scheme 2, Table 2, Figure 1). Based on our previous model [17,19], we proposed a reaction complex containing three alcohol molecules and two phosphonic acid units, where one alcohol molecule acts as the reagent in the esterification. The other diester acid and ROH species in the reaction complex participated in the proton transfer chain supporting the establishment of the new P–O bond, and hence the formation of the diester acid, along with the departure of a water molecule.
Scheme 2.
Plausible reaction mechanism for the monoalkylphosphate → dialkylphosphate → trialkylphosphate transformation.
Table 2.
Energetics (ΔH (kJ mol−1)) for the monoalkylphosphate → dialkylphosphate → trialkylphosphate transformations obtained by DFT computations at the M062X/6–311+G (d,p) level of theory considering the solvent effect of the corresponding alcohol.
Figure 1.
Enthalpy diagram for the monoalkylphosphate → dialkylphosphate → trialkylphosphate transformations obtained by DFT computations at the M062X/6–311+G (d,p) level of theory considering the solvent effect of the corresponding alcohol.
Considering the difference in the energetics between the starting monoalkylphosphates and the final dialkylphosphates, the reaction may be regarded as slightly exothermic, supported by an enthalpy value of ΔH = −10.4 kJ mol−1 for the ethyl, and ΔH = −16.3 kJ mol−1 for the butyl substituted case. While the formation of the reaction complex (4) required a ca. 160 kJ mol−1 Gibbs free energy (ΔG) investment for both cases (see Table S2) that was the consequence of the entropy increase during the complex formation, there was a significant enthalpy gain (ΔH = −151.6 kJ mol−1 for the ethyl and −160.9 kJ mol−1 for the butyl instance). As shown in TS1 (ΔH# = 94.7 kJ mol−1 and 93.0 kJ mol−1, respectively), the next step of the reaction was the attack of the alcohol on the phosphorus atom of the P=O moiety leading to intermediate 5. The following step was the elimination of a water molecule via TS2 (ΔH# = 158.8 kJ mol−1 and 154.3 kJ mol−1, respectively) yielding product complex 6. The difference in the relative enthalpy (ΔΔH) of 6 and 4 was 1.2 kJ mol−1 and −4.4 kJ mol−1 for the two cases. At the same time, the gain in ΔG was larger (−22.6 kJ mol−1 and −11.3 kJ mol−1, respectively). The disruption of complex 6 was driven by ΔH = −10.4 kJ mol−1 and −16.3 kJ mol−1 (as well as by ΔG = −4.9 kJ mol−1 and −7.8 kJ mol−1) for the ethyl and butyl substituted case, respectively. The whole sequence was just slightly exothermic requiring a high activation energy investment mainly due to the large entropy that needed to be overcome. This supports the need for harsh experimental conditions ensured by the MW irradiation at 200 °C.
Investigating the transformation of diethyl and dibutylphosphate to triethyl and tributylphosphate, we found that the total process was somewhat less exothermic (ΔH = −7.6 kJ mol−1 and −13.7 kJ mol−1, respectively). The formation of the reaction complex was also less advantageous (ΔH = −143.3 kJ mol−1 and −144.1 kJ mol−1) as compared to the monoalkyl → dialkyl transformation. Moreover, both following steps required a higher activation enthalpy (for TS1 ΔH# = 98.2 kJ mol−1 and 108.1 kJ mol−1, respectively, and for TS2, 173.7 kJ mol−1 and 168.7 kJ mol−1, respectively). Finally, the stabilization of TS2 to intermediate 6 was less advantageous, and significantly lower enthalpy gains (ΔH = −121.0 kJ mol−1 and −107.8 kJ mol−1) could be observed, suggesting in total an endothermic 4 → 6 transformation (ΔΔH = 22.3 kJ mol−1 and 36.3 kJ mol−1, respectively, and ΔΔG = 23.0 kJ mol−1 and 34.1 kJ mol−1, respectively).
2.3. MW-Assisted Alkylation of Dialkylphosphates
We saw that the dialkylphosphates (2) resisted undergoing further esterification to the triesters (3) that is due to the high barrier of the activation enthalpy. Hence, the conversion of diesters 2 to trialkylphosphates 3 had to be carried out by another method, by alkylating esterification. This was realized by applying the corresponding alkyl halides (bromobutane, bromopentane, bromopropane and iodoethane) together with triethylamine as the base in toluene at 135 °C on MW irradiation. Again, our earlier results were useful in finding the optimum conditions [18]. The results are collected in Table 3. It can be seen that the trialkylphosphates were obtained in 84–86% yields after the chromatography.
Table 3.
Alkylating esterification of dialkylphosphates (2) under MW conditions.
We thought that the alkylating esterification may be also suitable for the preparation of trialkylphosphates with different alkyl groups. Dibutylphosphate 2a was reacted, as shown above, with a few haloalkanes. The results are shown in Table 4. One may suspect that the difference of the two conversions covers the side-reactions. Indeed, LC–MS pointed out the presence of HOP(O)(OR)OBu, HOP(O)(OR)2, (RO)2P(O)OBu and (RO)3P(O) by-products as well, during the reaction of diester 2a with haloalcanes. Their formation is not completely clear, and interconversions to the effect of the Et3N-HBr salt under MW irradiation are assumed.
Table 4.
Alkylating esterification of dibutylphosphate (2a) with alcohols under MW conditions.
Dipentylphosphate 2b was also subjected to alkylations. The experimental data are collected in Table 5. In this case, the proportion of the by-products was somewhat higher.
Table 5.
Alkylating esterification of dipentylphosphate (2b) with alcohols under MW conditions.
The trialkylphosphates with different alkyl groups (7 and 8) synthesized by us were mostly new compounds. A few of them were described but were not fully characterized. We characterized all “mixed” derivatives by 31P, 13C and 1H NMR data, as well as HRMS.
3. Materials and Methods
3.1. General Information
The 31P, 13C and 1H NMR spectra were taken on a Bruker DRX-500 spectrometer operating at 202.4, 125.7 and 500 MHz, respectively. LC–MS measurements were performed with an Agilent 1200 liquid chromatography system coupled with a 6130 quadrupole mass spectrometer equipped with an ESI ion source (Agilent Technologies, Palo Alto, CA, USA). The MW-assisted esterifications were carried out in a CEM Discover microwave reactor equipped with a stirrer and a pressure controller using a 50–100 W irradiation.
The composition of the reaction mixtures was determined by the integration of the areas under the corresponding peaks of the starting material and product in the 31P NMR spectra. As the 31P NMR signals separated better in DMSO-D6, this solvent was used during the analysis of the mixtures.
3.2. The Direct Esterification of Monoalkylphosphates (1a–d)
A mixture of 0.79 mmol monoalkylphosphate (1a: 0.12 g; 1b: 0.13 g; 1c: 0.11 g; 1d: 0.10 g) (prepared as described above), 11.9 mmol of alcohol (ethanol: 0.69 mL; propanol: 0.89 mL; butanol: 1.08 mL; pentanol: 1.30 mL) and 15 µL (0.079 mmol) of [bmim][BF4] was irradiated in the MW reactor at 175–200 °C for 2–4.5 h (Table 1). The crude mixture obtained on evaporation was purified by chromatography using a silica-gel layer of 20 cm, and ethyl acetate as the eluent to furnish dialkylphosphates (2a–d) as colorless oils. For identification of the dialkylphosphates, see Table 6.
Table 6.
Identification of dialkylphosphates (2a–d).
3.3. The Alkylating Esterification of Dialkylphosphates (2a–2d)
A mixture of 1.4 mmol (2a: 0.30 g, 2b: 0.31 g, 2d: 0.22 g) dialkylphosphate, 1.8 mmol (EtBr: 0.14 mL, PrBr: 0.17 mL, iPrBr: 0.17 mL, BuBr: 0.20 mL, PentBr: 0.22 mL) of alkyl bromide and 0.22 mL (1.6 mmol) of triethylamine in 1 mL of toluene was stirred under MW conditions for 2–5 h at 135–150 °C (Table 3, Table 4 and Table 5). The crude mixtures obtained after filtration and evaporation were purified by column chromatography using a silica gel layer of 20 cm and ethyl acetate as the eluent to afford the corresponding trialkylphosphates (3a–d, 7a–d and 8a–d) as colorless oils. For the identification of the known trialkylphosphates, see Table 7.
Table 7.
The identification of known trialkylphosphates (3a–d).
3.4. Characterization of New Trialkylphosphates (7a–d and 8a–d)
3.4.1. Dibutyl-ethylphosphate (7a)
31P NMR (202.4 MHz, CDCl3) δ: −0.79, δP [20] (CDCl3): 0.75; 13C NMR (125.7 MHz, CDCl3) δ: 13.5 (s, 2CH3), 16.1 (d, J = 6.7, CH3), 18.6 (s, 2CH2), 32.2 (d, J = 6.8, 2CH2), 63.5 (d, J = 5.9, OCH2), 67.3 (d, J = 6.0, 2OCH2); 1H NMR (500 MHz, CDCl3) δ: 0.95 (t, J = 7.4, 6H, 2CH3), 1.33–1.46 (m, 7H, CH3, 2CH2), 1.63–1.72 (m, 4H, 2CH2), 4.02–4.17 (m, 6H, 3OCH2), δH [21] (CDCl3): 0.91 (t, 6H, J = 6.5), 1.25 (t, 3H, J = 5.8), 1.35–1.88 (m, 8H), 3.80–4.30 (m, 6H). [M+Na]+found: 261.1227, [M+Na]+calculated: 261.1232.
3.4.2. Dibutyl-propylphosphate (7b)
31P NMR (202.4 MHz, CDCl3) δ: −0.75, 13C NMR (125.7 MHz, CDCl3) δ: 9.9 (s, CH3), 13.4 (s, 2 CH3), 18.6 (s, 2CH2), 23.6 (d, J = 6.9, CH2), 32.2 (d, J = 6.8, 2CH2), 67.2 (d, J = 6.3, 2OCH2), 69.0 (d, J = 6.0, OCH2); 1H NMR (500 MHz, CDCl3) δ: 0.94 (dt, J = 13.4, J = 7.4, 9H, 3CH3), 1.36–1.44 (m, 4H, 2CH2), 1.62–1.71 (m, 6H, 3CH2), 3.96–4.04 (m, 6H, 3OCH2). [M+Na]+found: 275.1390, [M+Na]+calculated: 275.1388.
3.4.3. Dibutyl-isopropylphosphate (7c)
31P NMR (202.4 MHz, CDCl3) δ: 0.50, δP [20] (CDCl3): 0.60; 13C NMR (125.7 MHz, CDCl3) δ: 13.6 (s, 2 CH3), 18.7 (s, 2 CH2), 23.6 (d, J = 5.0, 2CH3), 32.3 (d, J = 7.0, 2CH2), 67.2 (d, J = 6.2, 2OCH2), 72.3 (d, J = 5.8, OCH); 1H NMR (500 MHz, CDCl3) δ: 0.93 (t, J = 7.4, 6H, 2CH3,), 1.33 (d, J = 6.2, 6H, 2CH3), 1.37–1.46 (m, 4H, 2CH2), 1.63–1.69 (m, 4H, 2CH2), 3.99–4.05 (m, 4H, 2OCH2), 4.60–4.66 (m, 1H, OCH), δH [21] (CDCl3): 0.65–1.88 (m, 23H), 3.63 (d, 2H, J = 5.3), 3.99 (dt, 4H, J = 6.5, J = 7.5). [M+Na]+found: 275.1386, [M+Na]+calculated: 275.1388.
3.4.4. Dibutyl-pentylphosphate (7d)
31P NMR (202.4 MHz, CDCl3) δ: −0.68; 13C NMR (125.7 MHz, CDCl3) δ: 13.5 (s, 2CH3), 13.9 (s, CH3), 18.6 (s, 2 CH2), 22.2 (s, CH2), 27.5 (s, CH2), 29.9 (d, J = 6.8, CH2), 32.3 (d, J = 6.9, 2 CH2), 67.3 (d, J = 6.2, 2 OCH2), 67.6 (d, J = 6.2, OCH2); 1H NMR (500 MHz, CDCl3) δ: 0.88–0.94 (m, 9H, 3CH3), 1.31–1.36 (m, 4H, 2CH2), 1.38–1.44 (m, 4H, 2CH2), 1.62–1.69 (m, 6H, 3CH2), 3.99–4.04 (m, 6H, 3OCH2). [M+Na]+found: 303.1699, [M+Na]+calculated: 303.1701.
3.4.5. Dipentyl-ethylphosphate (8a)
31P NMR (202.4 MHz, CDCl3) δ: −0.75; 13C NMR (125.7 MHz, CDCl3) δ: 13.9 (s, 2CH3), 16.1 (d, J = 7.0, CH3), 22.2 (s, 2CH2), 27.6 (s, 2CH2), 30.0 (d, J = 7.0, 2CH2), 63.6 (d, J = 5.9, OCH2), 67.7 (d, J = 6.1, 2OCH2); 1H NMR (500 MHz, CDCl3) δ: 0.91 (t, J = 6.9, 6H, 2CH3), 1.33–1.38 (m, 11H, 4CH2, CH3), 1.66–1.71 (m, 4H, 2CH2), 3.99–4.05 (m, 4H, 2OCH2), 4.08–4.14 (m, 2H, OCH2). [M+Na]+found: 289.1544, [M+Na]+calculated: 289.1545.
3.4.6. Dipentyl-propylphosphate (8b)
31P NMR (202.4 MHz, CDCl3) δ: −0.70; 13C NMR (125.7 MHz, CDCl3) δ: 10.0 (s, CH3), 13.9 (s, 2CH3), 22.2 (s, 2CH2), 23.6 (d, J = 6.9, CH2), 27.6 (s, 2CH2), 30.0 (d, J = 6.8, 2CH2), 67.6 (d, J = 6.0, 2OCH2), 69.1 (d, J = 6.0, OCH2); 1H NMR (500 MHz, CDCl3) δ: 0.91 (t, J = 7.1, 6H, 2CH3), 0.97 (t, J = 7.4, 3H, CH3), 1.32–1.38 (m, 8H, 4CH2), 1.66–1.74 (m, 6H, 3CH2), 3.97–4.05 (m, 6H, 3OCH2). [M+Na]+found: 303.1701, [M+Na]+calculated: 303.1701.
3.4.7. Dipentyl-isopropylphosphate (8c)
31P NMR (202.4 MHz, CDCl3) δ: −1.62; 13C NMR (125.7 MHz, CDCl3) δ: 13.9 (s, 2CH3), 22.2 (s, 2CH2), 23.6 (d, J = 5.0, 2CH3), 27.6 (s, 2CH2), 30.0 (d, J = 7.1, 2CH2), 67.5 (d, J = 6.2, 2OCH2), 72.3 (d, J = 5.9, OCH); 1H NMR (500 MHz, CDCl3) δ: 0.91 (t, J = 6.9, 6H, 2CH3), 1.26–1.40 (m, 14H, 4CH2, 2CH3), 1.66–1.72 (m, 4H, 2CH2), 4.00–4.05 (m, 4H, 2OCH2), 4.61–4.68 (m, 1H, OCH). [M+Na]+found: 303.1703, [M+Na]+calculated: 303.1701.
3.4.8. Dipentyl-butylphosphate (8d)
31P NMR (202.4 MHz, CDCl3) δ: −0.62; 13C NMR (125.7 MHz, CDCl3) δ: 13.6 (s, CH3), 13.9 (s, 2 CH3), 18.7 (s, CH2), 22.2 (s, 2CH2), 27.6 (s, 2CH2), 30.0 (d, J = 6.8, 2CH2), 32.2 (d, J = 6.8, CH2), 67.4 (d, J = 6.1, OCH2), 67.7 (d, J = 6.1, 2OCH2); 1H NMR (500 MHz, CDCl3) δ: 0.93 (t, J = 7.2, 6H, 2CH3), 0.96 (t, J = 7.7, 3H, CH3), 1.33–1.40 (m, 8H, 4CH2), 1.41–1.46 (m, 2H, CH2), 1.67–1.72 (m, 6H, 3CH2), 4.03–4.08 (m, 6H, 3OCH2). [M+Na]+found: 317.1857, [M+Na]+calculated: 317.1858.
For the NMR spectra of the products, see the Supplementary Materials.
3.5. Theoretical Calculations
DFT computations at the M062X/6–311+G (d,p) level of theory were performed considering the solvent effect of the corresponding alcohol using the SMD solvent model with the Gaussian 09 program package [21,22,23]. The geometries of the molecules were optimized in all cases, and frequency calculations were also performed to ensure that the structures were in a local minimum or in a saddle point. The conformations of the reported structures were determined by conformational analysis. The solution-phase enthalpies and Gibbs free energies were obtained by frequency calculations as well. The H and G values obtained were given under 473 K, the corrected total energies of the molecules were taken into account. Entropic and thermal corrections were evaluated for isolated molecules using standard rigid rotor harmonic oscillator approximations, that is, the enthalpy and the Gibbs free energy were taken as the “sum of electronic and thermal free energies” printed in a Gaussian 09 vibrational frequency calculation. The standard state correction was taken into account. The transition states were optimized with the QST3 or the TS (Berny) method. The transition states were identified by having one imaginary frequency in the Hessian matrix, and IRC calculations were performed in order to prove that the transition states connected two corresponding minima.
For the details of the calculations, see the Supplementary Materials.
4. Conclusions
An MW-assisted protocol was developed for the esterification of monoalkylphosphates. The first step was the chemoselective direct esterification in the presence of [bmim][BF4] as the catalyst. The second step was an alkylation esterification. Even phosphoric triesters with different alkyl groups were prepared. Additionally, quantum chemical computations showed that the activation enthalpy was high (on average 156.6 kJ mol−1) for the monoesterifications, and even higher for the diesterifications, which agreed with the observed experimental data. In addition, the determining effect of entropy was pointed out in the esterifications. It is also noted that regarding direct esterifications, the overall energetics for the formation of diesters was more favorable than that for the formation of the triesters. As a whole, a new method was developed for the preparation of phosphate triesters avoiding the use of P-chlorides as the starting materials. The first, direct MW-assisted esterification step may be regarded as “green”. The experimental data were supported by theoretical calculations.
Supplementary Materials
The following supporting information can be downloaded at: https://www.mdpi.com/article/10.3390/molecules27154674/s1. 31P, 13C and 1H NMR spectra of the products, as well as the details for the quantum chemical calculations: coordinates, energetics and imaginary frequencies for the relevant species.
Author Contributions
Project administration, G.K.; funding acquisition, G.K.; supervision, G.K.; conceptualization, G.K. writing—original draft preparation, G.K., P.Á.-B. and N.H.; writing—review and editing, G.K.; experimental work, N.H.; formal analysis, N.H.; quantum chemical calculations, P.Á.-B.; mass spectral analysis, L.D. All authors have read and agreed to the published version of the manuscript.
Funding
This project was supported by the National Research, Development and Innovation Office (K134318).
Acknowledgments
P.Á.-B. is grateful for the support of the János Bolyai Research Scholarship of the Hungarian Academy of Sciences. N.H. thanks the support of the New National Excellence Program of the Ministry for Innovation and Technology from the source of the National Research, Development and Innovation Fund (ÚNKP-21-3-II-BME-294)).
Conflicts of Interest
The authors declare no conflict of interest.
References
- De la Hoz, A.; Diaz-Ortiz, A.; Prieto, P. Microwave-assisted green organic synthesis. In Alternative Energy Sources for Green Chemistry; Stefanidis, G., Stankiewicz, A., Eds.; Royal Society of Chemistry: London, UK, 2016; Volume 47, pp. 1–33. [Google Scholar] [CrossRef]
- Nasir Baig, R.B.; Varma, R.S. Alternative energy input: Mechanochemical, microwave and ultrasound-assisted organic synthesis. Chem. Soc. Rev. 2012, 41, 1559–1584. [Google Scholar] [CrossRef] [PubMed]
- Nain, S.; Singh, R.; Ravichandran, S. Importance of Microwave heating in organic synthesis. Adv. J. Chem. A 2019, 2, 94–104. [Google Scholar] [CrossRef]
- Sharma, N.; Sharma, U.K.; Van der Eycken, E.V. Microwave-assisted organic synthesis: Overview of recent applications. In Green Techniques for Organic Synthesis and Medicinal Chemistry, 2nd ed.; Zhang, W., Cue, B.W., Eds.; JohnWiley & Sons Ltd.: New York, NY, USA, 2018; pp. 441–468. [Google Scholar] [CrossRef]
- Romanova, N.N.; Gravis, A.G.; Zyk, N.V. Microwave irradiation in organic synthesis. Russ. Chem. Rev. 2005, 74, 969–1013. [Google Scholar] [CrossRef]
- Jolly, J. Microwave assisted reactions in organic chemistry: A review of recent advances. Int. J. Chem. 2012, 4, 29–43. [Google Scholar] [CrossRef] [Green Version]
- Dudley, G.B.; Stiegman, A.E. Changing perspectives on the strategic use of microwave heating in organic synthesis. Chem. Rec. 2018, 18, 381–389. [Google Scholar] [CrossRef] [PubMed]
- Keglevich, G.; Mucsi, Z. Interpretation of the rate enhancing effect of microwaves. In Microwave Chemistry; Cravotto, G., Carnaroglio, D., Eds.; De Gruyter: Berlin, Germany, 2017; pp. 53–64. [Google Scholar] [CrossRef]
- Keglevich, G.; Novák, T.; Vida, L.; Greiner, I. Microwave irradiation as an alternative to phase transfer catalysis in the liquid-solid phase, solvent-free C-alkylation of active methylene containing substrates. Green Chem. 2006, 8, 1073–1075. [Google Scholar] [CrossRef]
- Keglevich, G.; Szekrényi, A. Eco-friendly accomplishment of the extended Kabachnik-Fields reaction; a solvent- and catalyst-free microwave-assisted synthesis of α-aminophosphonates and α-aminophosphine oxides. Lett. Org. Chem. 2008, 5, 616–622. [Google Scholar] [CrossRef]
- Kovács, T.; Urbanics, A.; Csatlós, F.; Keglevich, G. A study on the deoxygenation of trialkyl-, dialkyl-phenyl- and alkyl-diphenyl phosphine oxides by hydrosilanes. Heteroat. Chem. 2017, 28, e21376. [Google Scholar] [CrossRef]
- Keglevich, G.; Jablonkai, E.; Balázs, L.B. A “green” variation of the Hirao reaction: The P–C coupling of diethyl phosphite, alkyl phenyl-H-phosphinates and secondary phosphine oxides with bromoarenes using a P-ligand-free Pd(OAc)2 catalyst under microwave and solvent-free conditions. RSC Adv. 2014, 4, 22808–22816. [Google Scholar] [CrossRef] [Green Version]
- Keglevich, G.; Forintos, H.; Körtvélyesi, T. Synthesis and reactions of β-oxophosphoranes/ylides containing a cyclic or acyclic P-moiety. Curr. Org. Chem. 2004, 8, 1245–1261. [Google Scholar] [CrossRef]
- Quin, L.D. A Guide to Organophosphorus Chemistry; Wiley & Sons: New York, NY, USA, 2000; ISBN 978-0-471-31824-8. [Google Scholar]
- Barton, D.; Ollis, W.D. (Eds.) Comprehensive Organic Chemistry, Phosphorus Compounds; Pergamon: Oxford, UK, 1979; Volume 2. [Google Scholar]
- Kiss, N.Z.; Keglevich, G. Microwave-assisted direct esterification of cyclic phosphinic acids in the presence of ionic liquids. Tetrahedron Lett. 2016, 57, 971–974. [Google Scholar] [CrossRef]
- Harsági, N.; Henyecz, R.; Ábrányi-Balogh, P.; Drahos, L.; Keglevich, G. Microwave-assisted ionic liquid-catalyzed selective monoesterification of alkylphosphonic acids—An experimental and a theoretical study. Molecules 2021, 26, 5303. [Google Scholar] [CrossRef] [PubMed]
- Harsági, N.; Kiss, N.Z.; Keglevich, G. P-Chloride-free synthesis of phosphoric esters: Microwave-assisted esterification of alkyl- and dialkyl phosphoric ester-acids obtained from phosphorus pentoxide. Synthesis 2022, 54, 3047–3054. [Google Scholar] [CrossRef]
- Mucsi, Z.; Kiss, N.Z.; Keglevich, G. A quantum chemical study on the mechanism and energetics of the direct esterification, thioesterification and amidation of 1-hydroxy-3-methyl-3-phospholene 1-oxide. RSC Adv. 2014, 4, 11948–11954. [Google Scholar] [CrossRef] [Green Version]
- Zwierzak, A. Phase-transfer-catalysed phosphorylation of alcohols in a two-phase system. Synthesis 1976, 305–306. [Google Scholar] [CrossRef]
- Frisch, M.J.; Trucks, G.W.; Schlegel, H.B.; Scuseria, G.E.; Robb, M.A.; Cheeseman, J.R.; Scalmani, G.; Barone, V.; Mennucci, B.; Petersson, G.A.; et al. Gaussian 09, Revision D.01; Gaussian, Inc.: Wallingford, CT, USA, 2009. [Google Scholar]
- Zhao, Y.; Truhlar, D.G. The M06 suite of density functionals for main group thermochemistry, thermochemical kinetics, noncovalent interactions, excited states, and transition elements: Two new functionals and systematic testing of four M06-class functionals and 12 other functionals. Theor. Chem. Acc. 2008, 120, 215–241. [Google Scholar] [CrossRef] [Green Version]
- Petersson, G.A.; Bennett, A.; Tensfeldt, T.G.; Al-Laham, M.A.; Shirley, W.A. A complete basis set model chemistry. I. The total energies of closed-shell atoms and hydrides of the first-row elements. J. Chem. Phys. 1988, 89, 2193–2218. [Google Scholar] [CrossRef]
Publisher’s Note: MDPI stays neutral with regard to jurisdictional claims in published maps and institutional affiliations. |
© 2022 by the authors. Licensee MDPI, Basel, Switzerland. This article is an open access article distributed under the terms and conditions of the Creative Commons Attribution (CC BY) license (https://creativecommons.org/licenses/by/4.0/).






