Abstract
The application of DFT computational method (B3LYP/6-311++G(d,p)) to mono- and poly(CF3)substituted naphthalene derivatives helps to study changes in the electronic properties of these compounds under the influence of 11 substituents (-Br, -CF3, -CH3, -CHO, -Cl, -CN, -F, -NH2, -NMe2, -NO2, and -OH) to confront substituent effects in naphthalene with an analogous situation in benzene. This paper shows the dependencies of theoretically calculated SESE (Substituent Effect Stabilization Energy) values on empirically determined, well-defined Hammett-type constants (σp, σm, R, and F). Described poly(CF3)substituted derivatives of naphthalene are, so far, the most sensitive molecular probes for the substituent effects in the aromatic system. The presence of the trifluoromethyl groups of such an expressive nature significantly increases the sensitivity of the SESE to changes caused by another substitution. Further, the more -CF3 groups are attached to the naphthalene ring, the more sensitive the probe is. Certain groups of probes show additivity of sensitivity: the obtained sensitivity relates to the sum of the sensitivities of the mono(CF3)substituted probes.
1. Introduction
The substituent effect is one of the most useful concepts in modern organic chemistry. It describes how rearrangements of groups in a molecule affects its properties. The substituent effect is described by the substituent constant, σ, given by the equation proposed by Hammett [1]. As a model reaction in determining substituent constants, the dissociation of unsubstituted and p-/m-substituted benzoic acids was chosen. Then the substituent constant is given by Equation (1):
where Kp/m(X) and K are the dissociation constants for p-/m-X-substituted and unsubstituted benzoic acids. The difference between these constants describes the effect of substituent X on the stability of the carboxylate anion. To simplify, it has been assumed that substituent effects consist mainly of two components: an inductive and a resonance. In the para position, both components are essential. It follows that the substituent constant can be split according to the equation:
where σI and σR correspond to the inductive and resonance components, respectively. In the meta position, the resonance component is negligible because there are hardly any resonance interactions between both groups of atoms. However, identifying the Hammett constant σm with its inductive component σI is only a useful simplification [2].
In recent decades, many other substituent constants have been introduced. Swain and Lupton defined parameters F (for field/inductive effect) and R (for resonance effect) and calculated them for about 200 substituents. These parameters were later normalized to be reconciled with the following dependence [2]:
Most of these empirical approaches are appropriate for benzene or other aromatic systems. Substituent constants can successfully predict the rate constants and equilibrium constants of various groups of reactions. However, Hammett-like approaches have limits. The value of the substituent constant depends on the solvent. Moreover, some benzoic acid derivatives are insoluble in water, so measuring dissociation constants is impossible. More complex derivatives could also be hard to synthesize. Nowadays, quantum-chemical methods are used to study the dependence of compound properties on molecular structure. Many parameters, such as electrostatic potentials [3], HOMO/LUMO energies [4], energy decomposition analysis (EDA) [5], or charge of the substituent active region (qSAR) [6], correlate well with Hammett constants σ. One of the more important parameters is SESE (substituent effect stabilization energy), based on a homodesmic reaction approach [7,8,9,10,11,12]. SESE is calculated for the hypothetical homodesmic reaction:
as follows:
X-R-Y + R → X-R + R-Y
SESE = EX-R + ER-Y − EX-R-Y − ER
SESE describes how two substituents X and Y interact with each other. The substituent Y could be a probe group, while R acts as a transmitting moiety. In molecule X-R-Y, the two substituents interact with other as they are attached to the same ring. On the right side of the equation, they are connected with different rings, so they are not interacting. If both substituents are electron-donating groups (EDG) or electron-withdrawing groups (EWG), they both push or pull electrons, so it will be preferable to have these substituents attached to two different rings. Consequently, the enthalpy of the homodesmic reaction will be negative. On the other hand, if one of the substituents is EWG and the second is EDG, they do not ‘compete’ and the enthalpy will be positive. It has been proven that the traditional substituent constants could be replaced by the SESE to estimate the substituent effect [9,10,11,12].
Research on the substituent effect in benzene has a long story, but there are hardly any discoveries in the case of naphthalene [13]. Naphthalene is an interesting transmitting moiety in exploring substituent effects because there are five times more possible disubstituted naphthalene derivatives (meta- or para-type) than in the case of benzene (Scheme 1 and Scheme 2).
Scheme 1.
Structures of para-type disubstituted naphthalene derivatives (X—substituent, Y—probe).
Scheme 2.
Structures of meta-type disubstituted naphthalene derivatives (X—substituent, Y—probe).
In contrast to benzene, naphthalene could be substituted with more than one conjugated probe group (putting aside the ortho-substitution). It gives us a chance to examine a higher number of structures and interactions between substituents. Possible structures of disubstituted naphthalenes are shown in Scheme 1 and Scheme 2. In para-type structures, interactions between donor and acceptor are inductive and resonance while in meta-type structures interactions are mostly inductive. Derivatives marked as red have different mutual orientation of substituents. It can be important in terms of e.g., field effect.
Molecules with fluorine atoms are useful as probes of the substituent effect. This chemical element affects the chemical properties of compounds due to its high electronegativity (almost 4.0 on the Pauling scale), which causes a strong withdrawing inductive effect. Hence, the fluorine atom acts as a σ-electron acceptor. On the other hand, the fluorine atom is a π-electron donor due to the resonance effect caused by its lone-pair electrons. While fluorine has a ‘double nature’, perfluoroalkyl groups are always electron-withdrawing.
Due to its high electronegativity, the presence of a fluorine atom causes a tremendous change in the electron density of the molecule. On the other hand, a fluorine atom is only slightly larger than a hydrogen atom, so replacing hydrogen with fluorine does not lead to large changes in the shape of a molecule [14]. The presence of fluorine atom or fluoroalkyl group causes changes in acidity, the strength of hydrogen bonds, lipophilicity, and other physicochemical and biological properties of the compounds [15]. Fluorine plays a special role in medicinal chemistry, where the replacement of one atom with another leads to significant differences in biological activity. Fluorinated compounds can be less or more selective, more efficient, or easier to administer. There are plenty of drugs containing fluorine atom or trifluoromethyl group (CF3). These include anxiolytics (e.g., midazolam [16]), antidepressants (citalopram [17], fluvoxamine [18], fluoxetine [19]) and antipsychotics (e.g., haloperidol [20], flupentixol [21], risperidone [22], and fluphenazine [23]).
Let’s compare four substituents: CH3/CH2F/CHF2/CF3. The two middle ones are the partially fluorinated methyl groups emerging in medicinal chemistry in tuning electronic properties. All of their Hammett constants are σp = −0.17/0.11/0.32/0.54, respectively [2]. Increasing values mean more electron-withdrawing character due to the larger number of fluorine atoms. This shows how the effect of fluorine is “evenly” distributed from CH3 to CF3. The same can be seen in the SESE values coming from the interactions of these four substituents with e.g., the NO2 group in p-substituted benzene derivative X-(p-Ph)-NO2 where X = CH3/CH2F/CHF2/or CF3. The calculated SESE values are 0.8/−0.3/−1.3/−2.2, respectively. Here, lower values indicate more electron-withdrawing character of X. Moreover, the determination coefficient in the correlation between these values (SESE vs. σp) is very high, R2 > 0.99. It is a simple demonstration that the substituent effect estimated by SESE displays comparable effectiveness as the traditional substituent constants, σp.
It has been reported [24,25] that SESE values for m-/p-substituted benzene derivatives with a fluorine atom or trifluoromethyl group correlate well with corresponding Hammett constants. Moreover, the CF3 group is a sensitive probe for exploring the substituent effect in the case of benzene. The more CF3 groups are attached to the ring, the more sensitive probe is [25]. The sensitivity is a very important parameter due to the accuracies of the computed energies (0.5–1.0 kcal mol−1) [26]. Thus, increasing the sensitivity of the probe decreases uncertainty in the estimation of the substituent constants. Two or three CF3 groups cause higher sensitivity due to the nature of this substituent. Several electron-withdrawing groups strongly affect the other EDG or EWG group attached to the benzene ring. Therefore, changes in the substitution significantly affect the SESE [25].
The motivation of this report is to show that: (a) SESE and σ values correlate also in the case of naphthalene and (b) if polysubstituted trifluoromethyl derivatives of naphthalene are more sensitive probes for the substituent effect.
2. Methodology
Molecular geometries of 29 types of naphthalene derivatives were optimized using Density Functional Theory at the B3LYP/6-311++G(d,p) level of approximation (see Figure 1) [27,28,29]. This method was chosen as the one which was described to give fine results in studies on the substitution effect [11,25,30]. The frequency analysis was performed at the same level of theory to verify if the optimized geometries correspond to the stationary points. All the calculations were done using Gaussian 09 [31].
Figure 1.
Types of naphthalene derivatives and their symbols (X—substituent; see Table 1).
In this paper, the examined derivatives are described by symbols: P1-P2 (P1 is a position of a substituent (X), P2 are positions of trifluoromethyl groups; for simplicity, the substituent X has always attached number 1 or 2). In all the groups there were 12 compounds with one of the substituents shown in Table 1 [2,24].
Table 1.
Examined substituents and values of their substituent constants and SESE descriptors in p- or m-substituted benzene derivatives [2,24].
3. Results and Discussion
Table 2 presents values of the slope, a, and determination coefficient, R2, for the dependence of SESE values on σp, σm, SESE X-(p-Ph)-CF3, SESE X-(m-Ph)-CF3, R and F values which were taken from the previous work [2].
Table 2.
Dependence of SESE values on different constants for the examined structures.
3.1. Dependence of SESE Values of Analysed Probes on SESE Values of X-(p-Ph)-CF3
From all the mono(CF3)substituted derivatives, structure 2-6 is the one with the highest value of R2 = 0.99. The substituent effect’s transmission in structure 2-6 is, therefore, very similar to that in p-trifluoromethyl-X-benzene (see Figure 2).
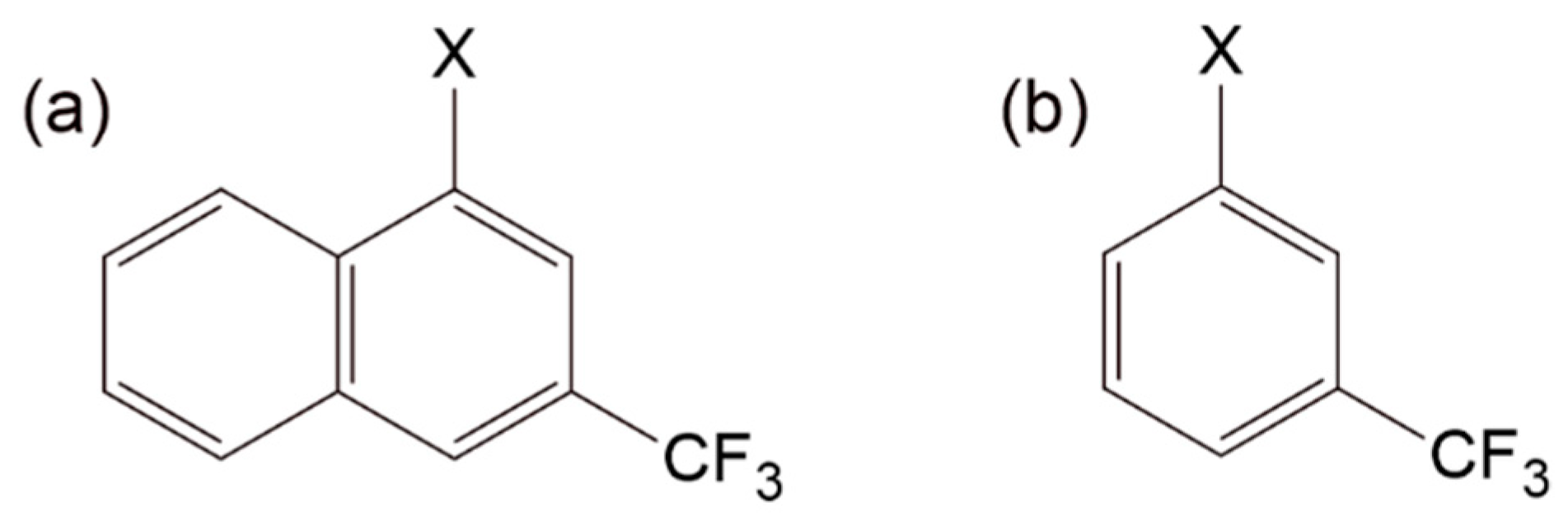
Figure 2.
Similarity of 6-trifluoromethyl-2-X-naphthalene 2-6 (a) and p-trifluoromethyl-X-benzene X-(p-Ph)-CF3 (b).
Most of the para-type mono(CF3)substituted structures show better correlations than meta-type ones due to a similar type of substitution like in the case of X-(p-Ph)-CF3. On the other hand, the worst correlation shows 2-7 (R2 = 0.80), which can be treated as m-disubstituted benzene with an additional ring (see Figure 3). Due to different type of substitution, values of SESE of these structures does not correlate well with SESE of X-(p-Ph)-CF3. Similarly, in the group of di(CF3)substituted derivatives, the worst correlation shows 1-36 (R2 = 0.77), the probe with two trifluoromethyl groups in meta positions.
Figure 3.
Similarity of 7-trifluoromethyl-2-X-naphthalene 2-7 (a) and m-trifluoromethyl-X-benzene X-(m-Ph)-CF3 (b).
Let us compare two structures: 1-5 is similar to 2-6 because in both structures substituent X and the CF3 group are divided by four carbon atoms in the molecule. However, 1-5 has one of the worst determination coefficients of all the examined structures (R2 = 0.86). Structure 2-6, in some way, resembles benzene—both substituents are in β positions, so they are surrounded by secondary carbon atoms. The structure 1-5 is different–substituents are in α positions and are close to tertiary carbon atoms. It can be seen also in the case of 1-6 (R2 = 0.92) and 2-5 (R2 = 0.98): β-X-substituted derivative has a higher value of R2. It can be concluded that structures with substituents in β positions are better probes of the substituent effect.
Structures 1-4 and 2-6 should also be compared. They both resemble p-(trifluoromethyl)benzene. Their sensitivities differ drastically (a = 1.00 for 1-4; a = 0.71 for 2-6). The reason is that in 1-4, two substituents are closer than in 2-6 and, therefore, they interact more. As a result, SESE of 1-4 type structures changes more noticeably than in the case of 2-6. According to that, it can be concluded that in terms of sensitivity, 1-4 substitution better resembles para-substituted benzene than 2-6. On the other hand, 2-6 (R2 = 0.99) shows a slightly better correlation than 1-4 (R2 = 0.95). It is probably related to the steric hindrance in position 4, close to the additional ring.
From all the examined structures, the best correlations (R2 > 0.99) show 2-6 and 2-5678 due to structural similarity: the first resembles p-X-(trifluoromethyl)benzene, whose SESE values are independent variables in this relationship; the second resembles p,m-substituted benzene with three substituents: the X and “tetra-CF3-alkadienyl” group occupying both para and meta positions.
Analyzed molecules can be divided by the types of substitution. The highest precision of correlation from all the para-type structures characterizes structures 2-6 and 2-5678, mentioned above. In the group of m-substituted derivatives, structure 2-5 demonstrates the best correlation (R2 = 0.98). Determination coefficients of meta-type derivatives (R2 < 0.87 for some structures) are rather worse than for para-type ones due to a different type of substitution than in p-X-(trifluoromethyl)benzene. Among the structures substituted both in para and meta positions, it can be observed that the highest determination coefficients show tris- and tetrakis(trifluoromethyl)naphthalenes with the substituent X in position 2 and the CF3 groups in positions 4 and 5 (R2 > 0.96). Surprisingly, the correlation in the case of structure 2-45 (with only two CF3 groups) is slightly worse (R2 = 0.95).
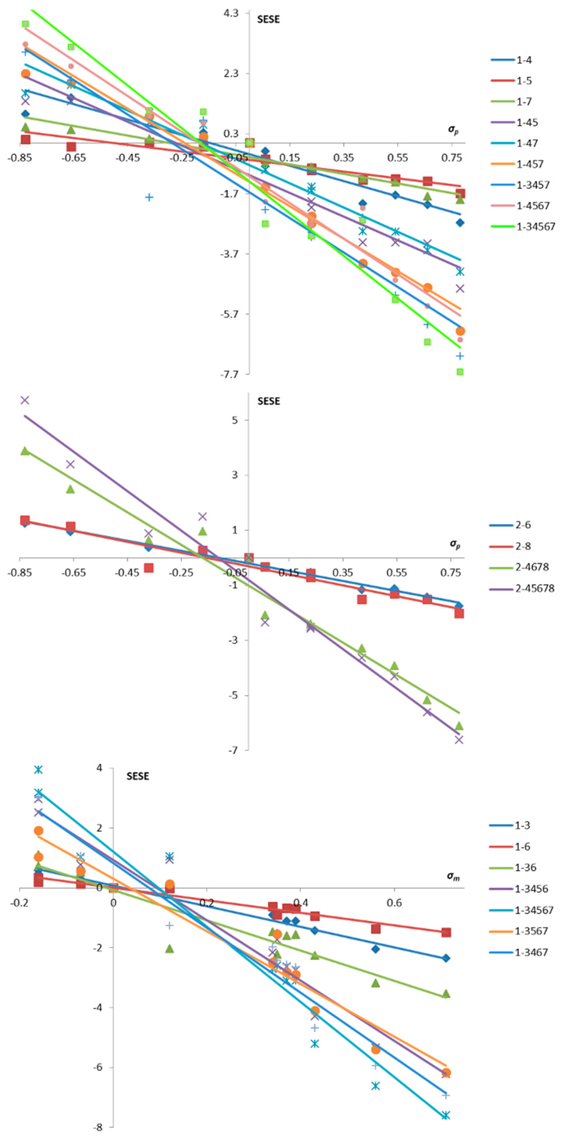
The highest sensitivity, measured by the value of the slope, can be obtained in the case of penta(CF3)substituted derivatives: 1-34567 (a = 2.72) and 2-45678 (a = 2.78). Figure 4. shows selected diagrams comparing dependences between SESE of substituted naphthalene and p-substituted benzene for similar derivatives with the increasing number of the CF3 groups in the molecule. This comparison shows that sensitivity increases with the number of the trifluoromethyl groups. In the group of p-mono(CF3)substituted derivatives, 1-4 has the highest value of the slope (a = 1.00) while 1-3 is the most sensitive m-mono(CF3)substituted structure (a = 0.73). It is because the trifluoromethyl group and the substituent are closer, so the CF3 group strongly affects the substituent. Generally, derivatives with the substituent X and the CF3 group close to each other are more sensitive probes than the ones with two more distant substituents. Still, values lower than 1 (a < 1) indicate that those probes have lower sensitivity than the corresponding p- or m- substituted benzene derivatives.
Figure 4.
Comparison of dependences of SESE values of analyzed probes on SESE values of p-substituted benzene derivatives X-(p-Ph)-CF3 for selected types of naphthalene derivatives.
In many examples of probes with several CF3 substituents, the obtained sensitivity (a) relates to the sum of the sensitivities of the corresponding mono(CF3)substituted probes. It is worth noting, however, that in the case of the dependency of SESE values on SESE values of X-(p-Ph)-CF3, only certain groups of probes show a kind of synergism in additivity of sensitivity. Table 3 presents obtained values of the slope and values which are sums of parameters a for corresponding mono(CF3)substituted derivatives, as. For most of the probes the relative error, η, is negative (no synergism). Only for structures substituted by trifluoromethyl groups in positions 4 and 5, the value of η is positive. The majority of di(CF3)substituted probes and 1-457 show synergic additivity of the sensitivity. The sum of the sensitivities of the corresponding monosubstituted derivatives is consistent with the sensitivity of the di- or tri(CF3)substituted derivative. Only in the cases of 1-36 and 2-45 is this effect not observed, although the deviation from additivity is of the opposite nature. Structure 1-36 has separated substituents that interact less with each other than might be expected. Consequently, the actual value of the slope is lower than anticipated. On the contrary, the value of η for 2-45 is positive and the slope is more than a fifth greater than the predicted value. Moreover, 1-45 and 1-457 are characterized by positive values of η. In the group of tetra(CF3)substituted derivatives all the values of η are negative, but only for X-45NM (X = 1 or 2; N, M = 6, 7, or 8) the approximate additivity can be observed; the absolute value of the relative error is less than 10%. Structures with the CF3 groups in positions 4 and 5 have deformed aromatic rings due to the steric hindrance (see Figure 5). For this reason, the resonance component in the interaction between the substituent X and trifluoromethyl groups is less significant than in planar rings. This allows the conclusion that either the resonance effect has a negative impact, or the deformation itself has a positive impact on increasing the sensitivity of the substituent effect probes.
Table 3.
Obtained values of the slope, a, and calculated values (assuming the perfect additivity) of as and η (relative error of additivity) for poly(CF3)substituted naphthalene derivatives in dependence of its’ SESE values on SESE values of X-(p-Ph)-CF3.
Figure 5.
Deformation of aromatic ring in molecules 1-45 (a) and 1-457 (b) (X = H). Structure 2-45 is similar in this case to 1-45.
3.2. Dependence of SESE Values of Analysed Probes on SESE Values of X-(m-Ph)-CF3
The highest precision (the highest value of R2) has structure 1-3 (R2 = 0.992), which resembles m-trifluoromethyl-X-benzene with an additional ring (see Figure 6). Furthermore, 1-6 (R2 = 0.986), similar to the m-substituted benzene (see Figure 7), gives a satisfactory value of the correlation coefficient. However, the sensitivity is lower due to the more distant substituents (a = 0.99 for 1-3 and 0.61 for 1-6). Surprisingly, the worst correlation shows 1-36 (R2 = 0.82), which is a meta-type structure with three distant substituents. The low value of R2 indicates disturbed interaction between substituents.
Figure 6.
Similarity of 3-trifluoromethyl-1-X-naphthalene 1-3 (a) and m-trifluoromethyl-X-benzene X-(m-Ph)-CF3 (b).
Figure 7.
Similarity of 6-trifluoromethyl-1-X-naphthalene 1-6 (a) and m-trifluoromethyl-X-benzene X-(m-Ph)-CF3 (b).
The highest sensitivity (the highest value of the slope) once again characterizes penta(CF3)substituted derivatives: 1-34567 (a = 3.64) and 2-45678 (a = 3.59). Figure 8 shows that an increasing number of the CF3 groups has a positive effect on sensitivity. In the group of mono(CF3)substituted derivatives, 1-4 has the highest value of the slope (a = 1.28), although it is not a meta-type structure. The higher value of the slope is, in this case, the result of a wider range of variation for the values of σp than σm. The most sensitive m-mono(CF3)substituted structure is 1-3 (a = 0.99). Still, a value lower than 1 (a < 1) indicates lower sensitivity than the corresponding m-substituted benzene probe X-(m-Ph)-CF3. Generally, the further away the CF3 group and the X group are, the lower the sensitivity of the probe is. It is worth noting that in the case of relation of SESE of X-(m-Ph)-CF3 all the probes have higher slope values than in the case of the previous relation of SESE of X-(p-Ph)-CF3.
Figure 8.
Comparison of dependences of SESE values of analyzed probes on SESE values of m-substituted benzene derivatives X-(m-Ph)-CF3 for selected types of naphthalene derivatives.
In Table 4, obtained values of the slope and values which are sums of parameters a for corresponding mono(CF3)substituted derivatives are shown. Generally, the relative error of an is negative. It is positive (synergism in additivity) for two di(CF3)substituted kinds of structures: 1-45 and 2-45. They are both substituted by trifluoromethyl groups in positions 4 and 5; the closure of the CF3 groups deforms the ring and disturbs the effect of additivity. The relative error is also positive for 1-457 (it has also the CF3 group in positions 4 and 5), but it is lower than the previous ones. Other poly(CF3)substituted derivatives with occupied positions 4 and 5 have negative relative errors.
Table 4.
Obtained values of the slope, a, and calculated values (assuming the perfect additivity) of as and η (relative error of additivity) for poly(CF3)substituted naphthalene derivatives in dependence of its’ SESE values on SESE values of X-(m-Ph)-CF3.
As in the case of dependence on SESE[X-(p-Ph)-CF3], the additivity of the sensitivity of di- and tri(CF3)substituted derivatives could be observed. Once again, only 1-36 and 2-45 do not follow this trend. From the tetra- and penta(CF3)substituted probes only structures with four CF3 groups, substituted in positions 4 and 5, show the additivity of the sensitivity. Obtained values of relative errors of parameter an are very similar to the ones in the previous section.
3.3. Dependence of SESE Values on σp and σm
Structures with the highest precision (R2 > 0.97) are: 2-5678 (R2 = 0.99), 2-6 (R2 = 0.99) and 2-4568 (R2 = 0.97) (correlation with σp); 2-4 (R2 = 0.98) (correlation with σm). 2-5678 has the highest precision of all examined structures. Structures of the highest precision in correlation with σp usually have more than two CF3 groups. For correlation with σm, the effect is reversed: structures of the higher precision are the meta-type ones with substituent X and the one or two CF3 groups close to each other. A low number of substituents causes less imposing interactions between them. For m-mono(CF3)substituted derivatives structures with higher precision are the ones with the shortest distance between X and CF3. Comparing para-type and meta-type derivatives it can be stated that generally para-type structures correlate well with σp and meta-type structures–with σm, obviously.
In the group of p-substituted derivatives, the best correlation with σp characterizes structures 2-6 (R2 = 0.99) and 2-68 (R2 = 0.96), which are 2-X-substituted with a long distance between substituent X and trifluoromethyl groups; moreover, both structures have the CF3 group in position 6. In the case of correlation with σm (for para-type structures), 1-7 (R2 = 0.94) and 1-57 (R2 = 0.93) have the highest R2 values; both structures are 1-X-substituted, have substituents far from each other and have the CF3 group in position 7. Similar observations can be made in the group of m-substituted derivatives in case of correlation with σp: the best are 2-5 (R2 = 0.96) and 2-45 (R2 = 0.90), both 2-X-substituted with the CF3 group in position 5, but the substituents are closer. For correlation with σm meta-type structures with the highest precision are 2-4 (R2 = 0.98) and 1-36 (R2 = 0.89). In these molecules, substituent X and the CF3 group are close, divided only by one carbon atom. In derivatives, p- and m-substituted (“mixed”, see Table 2) dependencies are more complex, but it can be observed that better correlations with σp show derivatives with the substituent X in the β position, while better correlations with σm describe structures with the substituent X surrounded by the CF3 groups (divided by one carbon atom).
α- and β-mono(CF3)substituted derivatives can be also compared. As in the case of “SESE-SESE” dependence, described above, 2-6 (R2 = 0.99) has a higher determination coefficient (correlation with σp) than the similar structure 1-5 (R2 = 0.84). It can be stated again that β-substituted derivatives are better probes of the substituent effect than α-substituted ones.
The highest value of the slope (for correlations with both σp/σm) from all the mono(CF3)substituted derivatives have structures: 1-4 (a = −2.56/−4.31) and 2-8 (a = −1.98/−3.42) (in the group of para-type structures); 1-3 (a = −1.89/−3.44) and 2-4 (a = −1.51/−2.91) (in the group of meta-type structures). In these molecules, CF3 and X groups are quite close to each other. As is stated in the previous chapter, the closest the CF3 group and the substituent are, the more sensitive the probe is, although this is a tendency rather than a linear relationship.
The values of the slope for each structure are greater for the correlation of SESE with σm than with σp, even for derivatives with the CF3 group in the para position. Moreover, it can be observed that the more CF3 groups have been used, the higher sensitivity can be achieved. The highest sensitivity characterizes penta(CF3)substituted structures: 1-34567 (a = −7.07/−12.54) and 2-45678 (a = −7.17/−12.42). Figure 9 shows that the slope is the greatest for penta(CF3)substituted derivatives.
Figure 9.
Comparison of dependences of SESE values on Hammett constants for p- and m-substituted benzene derivatives, σp nd σm, for selected types of naphthalene derivatives.
For correlation with σp, it can be observed that in the case of tetra/penta(CF3)substituted derivatives, the β-X-substituted have higher precision than α-X-substituted. For correlation with σm, tetra/penta(CF3)substituted derivatives have worse determination coefficients than mono- or di(CF3)substituted.
In the case of di- and tri(CF3)substituted derivatives, additivity of their sensitivities can be observed (Table 5). The absolute value of relative error, η, of as does not exceed 7%. Only in the case of 2-68 is the absolute value is more than 13% (−13.27%). For structures 1-45, 1-457, and 2-45, the relative errors have positive values. Once again, it can be explained by the deformation of the aromatic rings in the molecule with two CF3 groups close to the ’bridgehead’ carbon atom, as explained in the previous chapter. For other structures, the effect is weekly synergistic.
Table 5.
Obtained values of the slope, a, and calculated values (assuming the perfect additivity) of as and η (relative error of additivity) for poly(CF3)substituted naphthalene derivatives in dependence of SESE values on Hammett constants.
For tetra- and penta(CF3)substituted structures, the model of additivity of sensitivities doesn’t work. For most of these derivatives relative error is lower than −10%. These structures have the CF3 groups both in para- and meta-type positions so their influences on substituent X partly weaken each other. For this reason sensitivities of tetra- and penta(CF3)substituted naphthalene derivatives are lower than the sums of sensitivities of mono(CF3)substituted ones.
3.4. Dependence of SESE Values on F and R
SESE values of analyzed probes correlate poorly with resonance (R2 < 0.8) and field (R2 < 0.86) constants. As the number of CF3 groups increases, the sensitivity of the probes also increases, which is reflected in the rise of values of the slope (a = −8.24 for 2-45678, correlation with R; a = −17.79 for 1-34567, correlation with F). Nevertheless, neither probe can be considered suitable for estimating the values of the R and F constants.
It is worth noting, however, that in the case of the dependence of SESE on the constant R, there is a group of substituents (CF3, CH3, CHO, CN, H, and NO2) for which the SESE values deviate from the linear regression. The rest of the tested substituents are resonance π-electron-donating (Br, Cl, F, NH2, NMe2, OH). Probes containing only these substituents most often show correlations between SESE and R constant with satisfactory accuracies. In this case, there are several probes with a correlation coefficient R2 > 0.95; the highest precision has structure 1-57 (R2 = 0.97) with substituents spaced apart and, thus, with reduced inductive interaction between them. The most sensitive probe is 2-45678 (a = −10.64).
On the contrary, if the dependence of SESE on the constant F is analyzed and the resonance electron-donating groups are omitted, it turns out that all probes show a good correlation (R2 > 0.92). Although the absolute values of the slope are lower than in the case of the correlation with all tested substituents, the correlation coefficients increase significantly. Once again, the best correlation is shown by 1-57 (R2 = 0.99). Some mono(CF3)substituted probes also have high precision: 1-3, 1-6, 1-5 (R2 = 0.98) and 2-8 (R2 = 0.9794). Polysubstituted trifluoromethyl derivatives show a slightly lower precision, but their sensitivity is much higher than that of the mono(CF3)substituted probes. The most sensitive probe for this kind of dependence is 1-34567 (a = −13.15, R2 = 0.95). Among the tetra(CF3)- and penta(CF3)substituted probes, noticeably higher sensitivity values are shown by those with trifluoromethyl groups in positions 3, 4, and 7.
The results on the sensitivity additivity of the relationship between SESE and the R and F constants are quite interesting. Only relationships for a limited number of substituents will be discussed below, as described above (see Table 6). For the dependence of SESE values on R, additivity can be observed, surprisingly, for most of the probes, even for tetra(CF3)- and penta(CF3)substituted, which mostly do not show additivity of sensitivity for other types of analyzed dependences. The additivity model gives the best results for probes 2-68 (η = 0.35%) and 2-45678 (η = −0.41%)–the sum of slope values for mono(CF3)substituted derivatives corresponds precisely with the slope value for poly(CF3)substituted probe. However, there are several probes (1-36, 1-45, 2-45, 1-3457, 1-3467, 1-3567) that do not show additivity. For the relationship of the SESE on F, most of the probes show an anti-synergistic effect of additivity. Sensitivities of di(CF3)- and tri(CF3)substituted derivatives fit in the additivity model with the exception of 2-45 (η = 14.05%) which exhibit synergy. The values of the slope for the tetra(CF3)- and penta(CF3)substituted probes deviate significantly from the sums of the sensitivities of corresponding monosubstituted probes (η = 15–30%).
Table 6.
Obtained values of the slope, a, and calculated values (assuming the perfect additivity) of as and η (relative error of additivity) for poly(CF3)substituted naphthalene derivatives in dependence of SESE values on R and F constants.
4. Conclusions
In this paper, the newly discovered sensitive and precise probes of the substituent effects were discussed. The observed dependences confirm the statement that polysubstituted trifluoromethyl derivatives of naphthalene work well as probes for those effects. The studies allowed us to come to the following conclusions:
- In the case of para-type substituted naphtalenes, structure 2-6 (R2 = 0.99) is the one with the highest similarity to the p-substituted benzene ring measured by the value of R2. On the other hand, structure 1-4 is the one with the closest sensitivity to the p-substituted benzene ring measured by the value of the slope (a = 1.00). The substituent effect’s transmission in structures 1-4 and 2-6 is, therefore, very similar to that in p-trifluoromethyl-X-benzene;
- In the case of meta-type substituted naphtalenes, structure 1-3 is the one with the highest similarity to the m-substituted benzene ring measured by the value of R2 as well as the value of the slope (R2 = 0.99 and a = 0.99). From the structures having groups X and CF3 substituted to different rings, structure 1-6 has the highest similarity to the m-trifluoromethyl-X-benzene in terms of accuracy and sensitivity;
- It can be stated that β-substituted derivatives are better probes of the substituent effects than α-substituted ones and the sensitivity of such molecular probes increases with the number of the substituted trifluoromethyl groups;
- In the case of correlations of the SESE values with the resonance (R) or inductive (F) component of the substituent effect, it is better to correlate separately the π-electron-donating substituents and the non-π-electron-donating ones;
- Based on the above research results, a few new precise molecular probes with high sensitivity can be considered for future usage, especially those marked as 2-5678, 2-4568, and 2-45678, among which coma the last one is the most sensitive SESE probe obtained so far. The more sensitive response of SESE values on the substitution means more accurately determining the electron-donor/acceptor nature of the examined substituent. It is a step forward toward the more sensitive molecular probes for the substituent’s effects.
Author Contributions
Conceptualization, A.S. and T.S.; methodology, A.S. and T.S.; validation, A.S., H.K., M.H. and T.S.; formal analysis, A.S., H.K., M.H. and T.S.; investigation, A.S. and T.S.; resources, A.S., M.H., H.K. and T.S.; data curation, A.S. and T.S.; writing—original draft preparation A.S.; writing—review and editing, A.S., H.K., M.H. and T.S.; visualization, A.S. and T.S.; supervision, M.H. and H.K.; project administration, M.H. and H.K.; funding acquisition, M.H. and H.K. All authors have read and agreed to the published version of the manuscript.
Funding
This work was financially supported by Adam Mickiewicz University.
Institutional Review Board Statement
Not applicable.
Informed Consent Statement
Not applicable.
Data Availability Statement
The data are available from the corresponding author.
Acknowledgments
The quantum mechanical calculations were supported in part by PL-Grid Infrastructure.
Conflicts of Interest
The authors declare no conflict of interest.
Sample Availability
Samples of the compounds are not available from the authors.
References
- Hammett, L.P. The Effect of Structure upon the Reactions of Organic Compounds. Benzene Derivatives. J. Am. Chem. Soc. 1937, 59, 96–103. [Google Scholar] [CrossRef]
- Hansch, C.; Leo, A.; Taft, R.W. A Survey of Hammett Substituent Constants and Resonance and Field Parameters. Chem. Rev. 1991, 97, 165–195. [Google Scholar] [CrossRef]
- Galabov, B.; Ilieva, S.; Schaefer, H.F. An Efficient Computational Approach for the Evaluation of Substituent Constants. J. Org. Chem. 2006, 71, 6382–6387. [Google Scholar] [CrossRef] [PubMed]
- Williams, V.E.; Lemieux, R.P. Role of Dispersion and Electrostatic Forces on Solute−Solvent Interactions in a Nematic Liquid Crystal Phase. J. Am. Chem. Soc. 1998, 120, 11311–11315. [Google Scholar] [CrossRef]
- Fernandez, I.; Frenking, G. Correlation between Hammett Substituent Constants and Directly Calculated π-Conjugation Strength. J. Org. Chem. 2006, 71, 2251–2256. [Google Scholar] [CrossRef]
- Sadlej-Sosnowska, N. Substituent Active Region—A Gate for Communication of Substituent Charge with the Rest of a Molecule: Monosubstituted Benzenes. Chem. Phys. Lett. 2007, 447, 192–196. [Google Scholar] [CrossRef]
- George, P.; Trachtman, M.; Bock, C.W.; Brett, A.M. Homodesmotic Reactions for the Assessment of Stabilization Energies in Benzenoid and other Conjugated Cyclic Hydrocarbons. J. Chem. Soc. Perkin Trans. 1976, 2, 1222–1227. [Google Scholar] [CrossRef]
- Pross, A.; Radom, L.; Taft, R.W. Theoretical Approach to Substituent Effects. Phenols and Phenoxide Ions. J. Org. Chem. 1980, 45, 818. [Google Scholar] [CrossRef]
- Szatylowicz, H.; Jezuita, A.; Krygowski, T.M. On the Relations between Aromaticity and Substituent Effect. Struct. Chem. 2019, 30, 1529–1548. [Google Scholar]
- Szatylowicz, H.; Jezuita, A.; Marek, P.H.; Krygowski, T.M. Substituent Effects on the Stability of the Four Most Stable Tautomers of Adenine and Purine. RSC Adv. 2019, 9, 31343–31356. [Google Scholar] [CrossRef] [Green Version]
- Szatylowicz, H.; Jezuita, A.; Siodła, T.; Varaksin, K.S.; Domanski, M.A.; Ejsmont, K.; Krygowski, T.M. Toward the Physical Interpretation of Inductive and Resonance Substituent Effects and Reexamination Based on Quantum Chemical Modeling. ACS Omega 2017, 2, 7163–7171. [Google Scholar] [CrossRef] [PubMed]
- Jezuita, A.; Ejsmont, K.; Szatylowicz, H. Substituent Effects of Nitro Group in Cyclic Compounds. Struct. Chem. 2021, 32, 179–203. [Google Scholar] [CrossRef]
- Krygowski, T.M.; Palusiak, M.; Płonka, A.; Zachara-Horeglad, J.E. Relationship between substituent effect and aromaticity—Part III: Naphthalene as a transmitting moiety for substituent effect. J. Phys. Org. Chem. 2007, 20, 297–306. [Google Scholar] [CrossRef]
- Chembers, R.D. Fluorine in Organic Chemistry; Blackwell Publishing Ltd.: Hoboken, NJ, USA, 2004. [Google Scholar]
- Smart, B.E. Fluorine Substituent Effects (on Bioactivity). J. Fluor. Chem. 2001, 109, 3–11. [Google Scholar] [CrossRef]
- Studer, F.R.; Grätz, K.W.; Mutzbauer, T.S. Citalopram versus other antidepressants for late-life depression: A systematic review and meta-analysis. Oral Maxillofac. Surg. 2012, 16, 341–347. [Google Scholar] [CrossRef]
- Seitz, D.P.; Gill, S.S.; Conn, D.K. Citalopram versus other antidepressants for late-life depression: A systematic review and meta-analysis. Int. J. Geriatr. Psychiatry 2010, 25, 1296–1305. [Google Scholar] [CrossRef]
- Xu, D.; Wang, C.; Zhu, X.; Zhao, W.; Jiang, B.; Cui, S.; Sun, Y.; Cui, Z. The antidepressant-like effects of fluvoxamine in mice involve the mTOR signaling in the hippocampus and prefrontal cortex. Psychiatry Res. 2020, 285, 112708. [Google Scholar] [CrossRef]
- Kudryashov, N.V.; Kalinina, T.S.; Shimshirt, A.A.; Volkova, A.V.; Narkevich, V.B.; Naplekova, P.L.; Kasabov, K.A.; Kudrin, V.S.; Voronina, T.A.; Fisenko, V.P. The Behavioral and Neurochemical Aspects of the Interaction between Antidepressants and Unpredictable Chronic Mild Stress. Behav. Pharmacol. 2018, 29, 375–378. [Google Scholar] [CrossRef]
- Quincozes-Santos, A.; Bobermin, L.; Tonial, R.P.L.; Bambini-Junior, V. Effects of Atypical (Risperidone) and Typical (Haloperidol) Antipsychotic Agents on Astroglial Functions. Eur. Arch. Psychiatry Clin. Neurosci. 2010, 260, 475–481. [Google Scholar] [CrossRef]
- Dong, C.; Chen, Y.; Li, H.J.; Yang, Y.; Zhang, H.T.; Ke, K.; Shi, X.-N.; Liu, X.; Li, L.; Ma, J.; et al. The Antipsychotic Agent Flupentixol is a New PI3K Inhibitor and Potential Anticancer Drug for Lung Cancer. Int. J. Biol. Sci. 2019, 15, 1523–1532. [Google Scholar] [CrossRef] [Green Version]
- Liew, A.; Verma, S.; Lye, Y.P.; Edimansyah, A.; Subramaniam, M.; Vaingankar, J.; Chong, S.A. Comparing Effectiveness of Risperidone with First-Generation Antipsychotic Medications in Patients with Schizophrenia-Spectrum Disorders. J. Psychopharmacol. 2010, 24, 973–980. [Google Scholar] [CrossRef] [PubMed]
- Tardy, M.; Huhn, M.; Engel, R.R.; Leucht, S. Fluphenazine versus low-potency first-generation antipsychotic drugs for schizophrenia. Cochrane Database Syst. Rev. 2014, CD009230. [Google Scholar] [CrossRef] [PubMed] [Green Version]
- Siodła, T.; Ozimiński, W.P.; Hoffmann, M.; Koroniak, H.; Krygowski, T.M. Toward a Physical Interpretation of Substituent Effects: The Case of Fluorine and Trifluoromethyl Groups. J. Org. Chem. 2014, 79, 7321–7331. [Google Scholar] [CrossRef] [PubMed]
- Siodła, T.; Anastaziak, K.; Koroniak, H. Increasing the sensitivity of the molecular probes for the substituent effects –The SESE approach. J. Mol. Struct. 2021, 1246, 131186. [Google Scholar] [CrossRef]
- Schwabe, T.; Grimme, S. Theoretical Thermodynamics for Large Molecules: Walking the Thin Line between Accuracy and Computational Cost. Acc. Chem. Res. 2008, 41, 569–579. [Google Scholar] [CrossRef]
- Becke, A.D. Density-Functional Thermochemistry. III. The Role of Exact Exchange. J. Chem. Phys. 1993, 98, 5648–5652. [Google Scholar] [CrossRef] [Green Version]
- Lee, C.; Yang, W.; Parr, R.G. Development of the Colle-Salvetti Correlation-Energy Formula into a Functional of the Electron Density. Phys. Rev. B 1988, 37, 785–789. [Google Scholar] [CrossRef] [Green Version]
- Krishnan, R.; Binkley, J.S.; Seeger, R.; Pople, J.A. Self-Consistent Molecular Orbital Methods. XX. A Basis Set for Correlated Wave Functions. J. Chem. Phys. 1980, 72, 650–654. [Google Scholar] [CrossRef]
- Szatylowicz, H.; Siodla, T.; Stasyuk, O.A.; Krygowski, T.M. Towards physical interpretation of substituent effects: The case of meta- and para-substituted anilines. Phys. Chem. Chem. Phys. 2016, 18, 11711–11721. [Google Scholar] [CrossRef]
- Frisch, M.J.; Trucks, G.W.; Schlegel, H.B.; Scuseria, G.E.; Robb, M.A.; Cheeseman, J.R.; Scalmani, G.; Barone, V.; Mennucci, B.; Petersson, G.A.; et al. Gaussian 09, Revision, B.01; Gaussian, Inc.: Wallingford, CT, USA, 2010. [Google Scholar]
Publisher’s Note: MDPI stays neutral with regard to jurisdictional claims in published maps and institutional affiliations. |
© 2022 by the authors. Licensee MDPI, Basel, Switzerland. This article is an open access article distributed under the terms and conditions of the Creative Commons Attribution (CC BY) license (https://creativecommons.org/licenses/by/4.0/).










