The Purified Siderophore from Streptomyces tricolor HM10 Accelerates Recovery from Iron-Deficiency-Induced Anemia in Rats
Abstract
1. Introduction
2. Materials and Methods
2.1. Siderophore, Detection, Production, and Purification from S. tricolor HM10
2.2. Whole-Genome Sequence Analysis
2.3. Determination of Total Phenolic Content (TPC) and Antioxidant Activity (AOA) of Purified Sid
2.4. Bio-Evaluation of Iron Absorption Using a Rat Model
2.4.1. Experimental Animals
2.4.2. Experimental Diets
2.4.3. Measurement of Hematological Parameters
2.5. Statistical Analysis
3. Results
3.1. Production, Isolation, Purification, and Identification of Catechol-Type Sid from S. tricolor HM10
3.2. Catechol-Type Siderophore Pathway
3.3. TPC and Relative Antioxidant Capacities of Purified Sid from S. tricolor HM10
3.4. Weight Gain, Food Intake, and Food Efficiency Ratio
3.5. Liver, Kidney, and Spleen Weight and Liver Iron Concentration
3.6. Measurement of Hematological Parameters of Blood
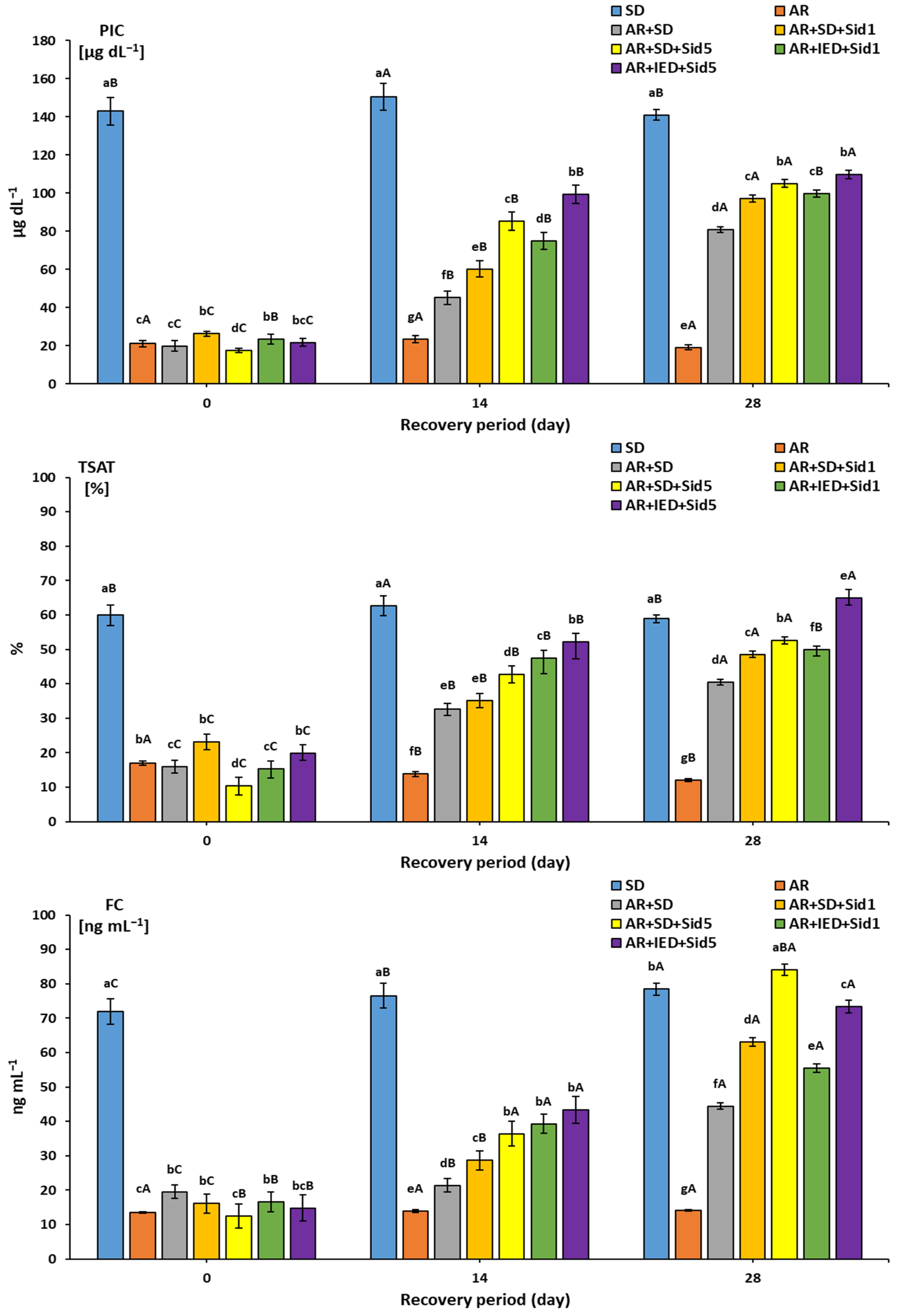
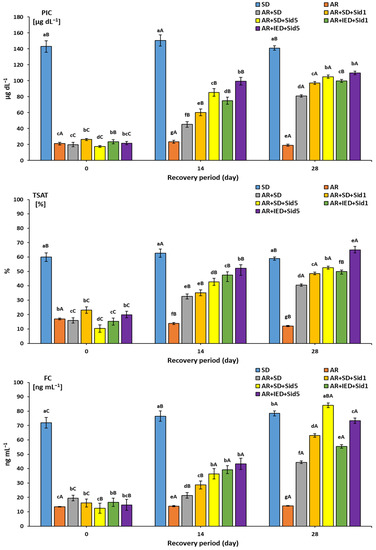
3.7. Plasma Iron Concentration, Transferrin Saturation %, and Ferritin Concentration in Plasma
4. Discussion
5. Conclusions
Author Contributions
Funding
Institutional Review Board Statement
Informed Consent Statement
Data Availability Statement
Acknowledgments
Conflicts of Interest
Sample Availability
Abbreviations
| 2,3-DHBA | 2,3-Dihydroxybenzoic acid |
| ABC | ATP-binding cassette transporters |
| ABTS | 2,2′-azino-bis(3-ethylbenzothiazoline-6-sulfonic acid) |
| AOA | Antioxidant activity |
| AR | Anemic rat |
| AR + IED + Sid1 | Anemic rat fed iron-enriched diet with an intraperitoneal injection of 1 μg Sid Kg−1 |
| AR + IED + Sid5 | Anemic rat fed iron-enriched diet with an intraperitoneal injection of 5 μg Sid Kg−1 |
| AR + SD + Sid1 | Anemic rat fed standard diet with an intraperitoneal injection of 1 μg Sid Kg−1 |
| AR + SD + Sid5 | Anemic rat fed standard diet with an intraperitoneal injection of 5 μg Sid Kg−1 |
| ARs | Anemic rats |
| CAB | Chromazurol B |
| CAS | Chrome Azurol S |
| CPCSEA | Purpose of the Control and the Supervision of Experiments on Animals |
| DPPH | 1,1-diphenyl-2-picryl hydrazine |
| dw | Dry weight |
| EDTA-2Na | Ethylenediaminetetraacetic acid |
| FC | Ferritin concentration |
| GAE | Gallic acid equivalent |
| HCT | Hematocrit |
| HGB | Hemoglobin |
| IAEC | Institutional Animal Ethics Committee |
| IDA | Iron-deficiency-induced anemia |
| IDD | Iron-deficient diet |
| IED | Iron-enriched diet |
| KC | Kupffer cell |
| KSA | Kingdom of Saudi Arabia |
| LIC | Lever’s iron concentration |
| MBCa | Maltobionic acid calcium salt |
| MCH | Mean corpuscular hemoglobin |
| MCHC | Mean corpuscular hemoglobin concentration |
| MCV | Mean corpuscular volume |
| NCBE | National Committee of Bioethics |
| NCBI | National Center for Biotechnology Information |
| NRs | Normal rats |
| PIC | Plasma iron concentration |
| RBC | Red blood cells |
| RPM | Red pulp macrophage |
| SD | Standard diet |
| Sid | Siderophore |
| TE | Trolox Equivalents |
| TIBC | Total iron-binding capacity |
| TLC | Thin-layer chromatography |
| TPC | Total phenolic compounds |
| TSAT | Transferrin saturation % |
References
- Hentze, M.W.; Muckenthaler, M.U.; Galy, B.; Camaschella, C. Two to Tango: Regulation of Mammalian Iron Metabolism. Cell 2010, 142, 24–38. [Google Scholar] [CrossRef] [PubMed]
- Lv, C.; Zhao, G.; Lönnerdal, B. Bioavailability of Iron from Plant and Animal Ferritins. J. Nutr. Biochem. 2015, 26, 532–540. [Google Scholar] [CrossRef]
- Camaschella, C. Iron deficiency. Blood 2019, 133, 30–39. [Google Scholar] [CrossRef] [PubMed]
- Bresgen, N.; Eckl, P.M. Oxidative Stress and the Homeodynamics of Iron Metabolism. Biomolecules 2015, 5, 808–847. [Google Scholar] [CrossRef] [PubMed]
- McClung, J.P.; Murray-Kolb, L.E. Iron Nutrition and Premenopausal Women: Effects of Poor Iron Status on Physical and Neuropsychological Performance. Annu. Rev. Nutr. 2013, 33, 271–288. [Google Scholar] [CrossRef] [PubMed]
- Coad, J.; Pedley, K. Iron Deficiency and Iron Deficiency Anemia in Women. Scand. J. Clin. Lab. Investig. Suppl. 2014, 74, 82–89. [Google Scholar] [CrossRef]
- Kassebaum, N.J.; Jasrasaria, R.; Naghavi, M.; Wulf, S.K.; Johns, N.; Lozano, R.; Regan, M.; Weatherall, D.; Chou, D.P.; Eisele, T.P.; et al. A systematic Analysis of Global Anemia Burden from 1990 to 2010. Blood 2014, 123, 615–624. [Google Scholar] [CrossRef]
- Kusumi, E.; Shoji, M.; Endou, S.; Kishi, Y.; Shibata, T.; Murashige, N.; Hamaki, T.; Matsumura, T.; Yuji, K.; Yoneyama, A.; et al. Prevalence of Anemia among Healthy Women in 2 Metropolitan Areas of Japan. Int. J. Hematol. 2006, 84, 217–219. [Google Scholar] [CrossRef]
- Algarín, C.; Nelson, C.A.; Peirano, P.; Westerlund, A.; Reyes, S.; Lozoff, B. Iron-deficiency Anemia in Infancy and Poorer Cognitive Inhibitory Control at Age 10 Years. Dev. Med. Child. Neurol. 2013, 55, 453–458. [Google Scholar] [CrossRef]
- Lee, G.R. Iron deficiency and iron-deficiency anemia. In Wintrobe’s Clinical Hematology; John Wiley & Sons, Ltd.: London, UK, 1999. [Google Scholar]
- Hallberg, L.; Björn-Rasmussen, E.; Howard, L.; Rossander, L. Dietary Heme Iron Absorption. Scand. J. Gastroenterol. 1979, 14, 769–779. [Google Scholar] [CrossRef]
- Terato, K.; Hiramatsu, Y.; Yoshino, Y. Studies on iron absorption. II. Transport Mechanism of Low Molecular Iron Chelate in Rat Intestine. Am. J. Dig. Dis. 1973, 18, 129–134. [Google Scholar] [CrossRef] [PubMed]
- Björn-Rasmussen, E.; Hallberg, L.; Isaksson, B.; Arvidsson, B. Food Iron Absorption in Man. Applications of the Two-pool Extrinsic Tag Method to Measure Heme and Nonheme iron Absorption from the Whole Diet. J. Clin. Investig. 1974, 53, 247–255. [Google Scholar] [CrossRef] [PubMed]
- Butler, A.; Theisen, R.M. Iron(III)–Siderophore Coordination Chemistry: Reactivity of Marine Siderophores. Coord. Chem. Rev. 2010, 254, 288–296. [Google Scholar] [CrossRef] [PubMed]
- Simões, L.C.; Simões, M.; Vieira, M.J. Biofilm Interactions between Distinct Bacterial Genera Isolated from Drinking Water. Appl. Environ. Microbiol. 2007, 73, 6192–6200. [Google Scholar] [CrossRef] [PubMed]
- Vaughn, C.B.; Weinstein, R.; Bond, B.; Rice, R.; Vaughn, R.W.; McKendrick, A.; Ayad, G.; Rockwell, M.A.; Rocchio, R. Ferritin Content in Human Cancerous and Noncancerous Colonic Tissue. Cancer Investig. 1987, 5, 7–10. [Google Scholar] [CrossRef]
- Wandersman, C.; Delepelaire, P. Bacterial iron sources: From siderophores to hemophores. Annu. Rev. Microbiol. 2004, 58, 611–647. [Google Scholar] [CrossRef]
- Neilands, J.B. Microbial Iron Compounds. Annu. Rev. Biochem. 1981, 50, 715–731. [Google Scholar] [CrossRef]
- Homann, V.V.; Edwards, K.J.; Webb, E.A.; Butler, A. Siderophores of Marinobacter aquaeolei: Petrobactin and its Sulfonated Derivatives. BioMetals 2009, 22, 565–571. [Google Scholar] [CrossRef]
- Sandy, M.; Butler, A. Microbial Iron Acquisition: Marine and Terrestrial Siderophores. Chem. Rev. 2009, 109, 4580–4595. [Google Scholar] [CrossRef]
- Ito, Y.; Butler, A. Structure of Synechobactins, New Siderophores of the Marine Cyanobacterium Synechococcus sp. PCC 7002. Limnol. Oceanogr. 2005, 50, 1918–1923. [Google Scholar] [CrossRef]
- Saha, M.; Sarkar, S.; Sarkar, B.; Sharma, B.K.; Bhattacharjee, S.; Tribedi, P. Microbial Siderophores and their Potential Applications: A review. Environ. Sci. Pollut. Res. 2016, 23, 3984–3999. [Google Scholar] [CrossRef] [PubMed]
- Albelda-Berenguer, M.; Monachon, M.; Joseph, E. Chapter Five—Siderophores: From Natural Roles to Potential Applications. In Advances in Applied Microbiology; Gadd, G.M., Sariaslani, S., Eds.; Academic Press: Cambridge, MA, USA, 2019; Volume 106, pp. 193–225. [Google Scholar]
- Kurth, C.; Kage, H.; Nett, M. Siderophores as Molecular Tools in Medical and Environmental Applications. Org. Biomol. Chem. 2016, 14, 8212–8227. [Google Scholar] [CrossRef] [PubMed]
- Buss, J.L.; Torti, F.M.; Torti, S.V. The Role of Iron Chelation in Cancer Therapy. Curr. Med. Chem. 2003, 10, 1021–1034. [Google Scholar] [CrossRef] [PubMed]
- Lovejoy, D.B.; Richardson, D.R. Iron Chelators as Anti-Neoplastic Agents: Current Developments and Promise of the PIH Class of Chelators. Cur. Med. Chem. 2003, 10, 1035–1049. [Google Scholar] [CrossRef] [PubMed][Green Version]
- Nakouti, I.; Sihanonth, P.; Palaga, T.; Hobbs, G. Effect of a siderophore producer on animal cell apoptosis: A possible role as anticancer agent. Int. J. Pharma Med. Biol. Sci. 2013, 2, 1–5. [Google Scholar]
- Miethke, M.; Marahiel, M.A. Siderophore-Based Iron Acquisition and Pathogen Control. Microbiol. Mol. Biol. Rev. 2007, 71, 413–451. [Google Scholar] [CrossRef]
- AlMatar, M.; Albarri, O.; Makky, E.A.; Var, I.; Köksal, F. A glance on the Role of Bacterial Siderophore from the Perspectives of Medical and Biotechnological Approaches. Curr. Drug Targets 2020, 21, 1326–1343. [Google Scholar] [CrossRef]
- Ali, S.S.; Vidhale, N. Bacterial Siderophore and their Application: A review. Int. J. Curr. Microbiol. Appl. Sci. 2013, 2, 303–312. [Google Scholar]
- Lee, N.; Kim, W.; Chung, J.; Lee, Y.; Cho, S.; Jang, K.-S.; Kim, S.C.; Palsson, B.; Cho, B.-K. Iron Competition Triggers Antibiotic Biosynthesis in Streptomyces coelicolor during Coculture with Myxococcus xanthus. ISME J. 2020, 14, 1111–1124. [Google Scholar] [CrossRef]
- Terra, L.; Ratcliffe, N.; Castro, H.C.; Vicente, A.C.; Dyson, P. Biotechnological Potential of Streptomyces Siderophores as New Antibiotics. Curr. Med. Chem. 2021, 28, 1407–1421. [Google Scholar] [CrossRef]
- Imbert, M.; Béchet, M.; Blondeau, R. Comparison of the main Siderophores Produced by some Species of Streptomyces. Curr. Microbiol. 1995, 31, 129–133. [Google Scholar] [CrossRef]
- Armin, R.; Zühlke, S.; Grunewaldt-Stöcker, G.; Mahnkopp-Dirks, F.; Kusari, S. Production of Siderophores by an Apple Root-Associated Streptomyces ciscaucasicus Strain GS2 Using Chemical and Biological OSMAC Approaches. Molecules 2021, 26, 3517. [Google Scholar] [CrossRef] [PubMed]
- Feng, X.; Jiang, S.; Zhang, F.; Wang, R.; Zhao, Y.; Zeng, M. Siderophore (from Synechococcus sp. PCC 7002)-Chelated Iron Promotes Iron Uptake in Caco-2 cells and Ameliorates Iron Deficiency in Rats. Mar. Drugs 2019, 17, 709. [Google Scholar] [CrossRef] [PubMed]
- Zhang, X.G.; Wang, N.; Ma, G.D.; Liu, Z.Y.; Wei, G.X.; Liu, W.J. Preparation of S-iron-enriched Yeast using Siderophores and its Effect on Iron Deficiency Anemia in Rats. Food Chem. 2021, 365, 130508. [Google Scholar] [CrossRef] [PubMed]
- Khan, A.; Singh, P.; Srivastava, A. Synthesis, Nature and Utility of Universal Iron Chelator—Siderophore: A review. Microbiol. Res. 2018, 212–213, 103–111. [Google Scholar] [CrossRef] [PubMed]
- Suehiro, D.; Kawase, H.; Uehara, S.; Kawase, R.; Fukami, K.; Nakagawa, T.; Shimada, M.; Hayakawa, T. Maltobionic acid Accelerates Recovery from Iron Deficiency-Induced Anemia in Rats. Biosci. Biotechnol. Biochem. 2020, 84, 393–401. [Google Scholar] [CrossRef]
- Rehan, M.; Alsohim, A.S.; Abidou, H.; Rasheed, Z.; Al Abdulmonem, W. Isolation, Identification, Biocontrol Activity, and Plant Growth Promoting Capability of a Superior Streptomyces tricolor Strain HM10. Pol. J. Microbiol. 2021, 70, 245–256. [Google Scholar] [CrossRef]
- Schwyn, B.; Neilands, J.B. Universal Chemical Assay for the Detection and Determination of Siderophores. Anal. Biochem. 1987, 160, 47–56. [Google Scholar] [CrossRef]
- Arnow, L.E. Colorimetric Determination of the Components of 3, 4-dihydroxyphenylalanine-tyrosine Mixtures. J. Biol. Chem 1937, 118, 531–537. [Google Scholar] [CrossRef]
- Atkin, C.L.; Neilands, J.B.; Phaff, H.J. Rhodotorulic Acid from Species of Leucosporidium, Rhodosporidium, Rhodotorula, Sporidiobolus, and Sporobolomyces, and a New Alanine-Containing Ferrichrome from Cryptococcus melibiosum. J. Bacteriol. 1970, 103, 722–733. [Google Scholar] [CrossRef]
- Clark, B.L. Characterization of a Catechol-Type Siderophore and the Detection of a Possible Outer Membrane Receptor Protein from Rhizobium leguminosarum Strain IARI 312. Master’s Thesis, East Tennessee State University, Ann Arbor, MI, USA, 2004. [Google Scholar]
- Storey, E.P. Isolation, Purification, and Chemical Characterization of the Dihydroxamate-type Siderophore, “Schizokinen”, Produced by Rhizobium leguminosarum IARI 917. Master’s Thesis, East Tennessee State University, Ann Arbor, MI, USA, 2005. [Google Scholar]
- Zhang, Z.; Schwartz, S.; Wagner, L.; Miller, W. A Greedy Algorithm for Aligning DNA Sequences. J. Comput. Biol. 2000, 7, 203–214. [Google Scholar] [CrossRef] [PubMed]
- Blin, K.; Shaw, S.; Kloosterman, A.M.; Charlop-Powers, Z.; van Wezel, G.P.; Medema, M.H.; Weber, T. AntiSMASH 6.0: Improving Cluster Detection and Comparison Capabilities. Nucleic Acids Res. 2021, 49, W29–W35. [Google Scholar] [CrossRef] [PubMed]
- Yawadio Nsimba, R.; Kikuzaki, H.; Konishi, Y. Antioxidant Activity of Various Extracts and Fractions of Chenopodium quinoa and Amaranthus spp. seeds. Food Chem. 2008, 106, 760–766. [Google Scholar] [CrossRef]
- Barakat, H.; Rohn, S. Effect of Different Cooking Methods on Bioactive Compounds in Vegetarian, Broccoli-based Bars. J. Funct. Foods 2014, 11, 407–416. [Google Scholar] [CrossRef]
- Garčic, A. A highly Sensitive, Simple Determination of Serum Iron Using Chromazurol B. Clin. Chim. Acta 1979, 94, 115–119. [Google Scholar] [CrossRef]
- White, D.; Kramer, D.; Johnson, G.; Dick, F.; Hamilton, H. Estimation of Serum Ferritin by Using Enzyme Immunoassay Method. Am. J. Clin. Pathol. 1986, 72, 346–351. [Google Scholar]
- Steel, R.G.; Torrie, J.H.; Dickey, D.A. Principles and Procedures of Statistics: A Biological Approach; McGraw-Hill: New York, NY, USA, 1997. [Google Scholar]
- Sah, S.; Singh, R. Siderophore: Structural and Functional Characterisation-A Comprehensive Review. Agriculture 2015, 61, 97–114. [Google Scholar] [CrossRef]
- Schwabe, R.; Senges, C.H.R.; Bandow, J.E.; Heine, T.; Lehmann, H.; Wiche, O.; Schlömann, M.; Levicán, G.; Tischler, D. Cultivation Dependent Formation of Siderophores by Gordonia rubripertincta CWB2. Microbiol. Res. 2020, 238, 126481. [Google Scholar] [CrossRef]
- Rachid, D.; Ahmed, B. Effect of Iron and Growth Inhibitors on Siderophores Production by Pseudomonas fluorescens. Afr. J. Biotechnol. 2005, 4, 697–702. [Google Scholar]
- Sayyed, R.Z.; Chincholkar, S.B. Purification of Siderophores of Alcaligenes faecalis on Amberlite XAD. Bioresour. Technol. 2006, 97, 1026–1029. [Google Scholar] [CrossRef]
- Lee, J.Y.; Janes, B.K.; Passalacqua, K.D.; Pfleger, B.F.; Bergman, N.H.; Liu, H.; Håkansson, K.; Somu, R.V.; Aldrich, C.C.; Cendrowski, S. Biosynthetic Analysis of the Petrobactin Siderophore Pathway from Bacillusanthracis. J. Bacteriol. 2007, 189, 1698–1710. [Google Scholar] [CrossRef] [PubMed]
- Nusca, T.D.; Kim, Y.; Maltseva, N.; Lee, J.Y.; Eschenfeldt, W.; Stols, L.; Schofield, M.M.; Scaglione, J.B.; Dixon, S.D.; Oves-Costales, D. Functional and Structural Analysis of the Siderophore Synthetase AsbB Through Reconstitution of the Petrobactin Biosynthetic Pathway from Bacillus anthracis. J. Biol. Chem. 2012, 287, 16058–16072. [Google Scholar] [CrossRef] [PubMed]
- Lee, J.Y.; Passalacqua, K.D.; Hanna, P.C.; Sherman, D.H. Regulation of Petrobactin and Bacillibactin Biosynthesis in Bacillus anthracis under Iron and Oxygen Variation. PLoS ONE 2011, 6, e20777. [Google Scholar] [CrossRef] [PubMed]
- Gehring, A.M.; Bradley, K.A.; Walsh, C.T. Enterobactin Biosynthesis in Escherichia coli: Isochorismate Lyase (Entb) is a Bifunctional Enzyme that is Phosphopantetheinylated by Entd and then Acylated by Ente using Atp and 2,3-Dihydroxybenzoate. Biochemistry 1997, 36, 8495–8503. [Google Scholar] [CrossRef]
- Gasser, V.; Baco, E.; Cunrath, O.; August, P.S.; Perraud, Q.; Zill, N.; Schleberger, C.; Schmidt, A.; Paulen, A.; Bumann, D.; et al. Catechol Siderophores Repress the Pyochelin Pathway and Activate the Enterobactin Pathway in Pseudomonas aeruginosa: An Opportunity for Siderophore–Antibiotic Conjugates Development. Environ Microbiol. 2016, 18, 819–832. [Google Scholar] [CrossRef]
- Wu, H.; Zhu, S.; Zeng, M.; Liu, Z.; Dong, S.; Zhao, Y.; Huang, H.; Lo, Y.M. Enhancement of Non-heme Iron Absorption by Anchovy (Engraulis japonicus) Muscle Protein Hydrolysate Involves a Nanoparticle-mediated Mechanism. J. Agric. Food Chem. 2014, 62, 8632–8639. [Google Scholar] [CrossRef]
- Young, M.F.; Griffin, I.; Pressman, E.; McIntyre, A.W.; Cooper, E.; McNanley, T.; Harris, Z.L.; Westerman, M.; O’Brien, K.O. Utilization of Iron from an Animal-Based Iron Source Is Greater Than That of Ferrous Sulfate in Pregnant and Nonpregnant Women. J. Nutr. 2010, 140, 2162–2166. [Google Scholar] [CrossRef]
- Martinez-Torres, C.; Cubeddu, L.; Dillmann, E.; Brengelmann, G.L.; Leets, I.; Layrisse, M.; Johnson, D.G.; Finch, C. Effect of Exposure to Low Temperature on Normal and Iron-deficient Subjects. Am. J. Physiol. Regul. Integr. Comp. Physiol. 1984, 246, R380–R383. [Google Scholar] [CrossRef]
- Achard, M.E.S.; Chen, K.W.; Sweet, M.J.; Watts, R.E.; Schroder, K.; Schembri, M.A.; McEwan, A.G. An Antioxidant Role for Catecholate Siderophores in Salmonella. Biochem. J. 2013, 454, 543–549. [Google Scholar] [CrossRef]
- Huo, Y.; Kang, J.P.; Ahn, J.C.; Kim, Y.J.; Piao, C.H.; Yang, D.U.; Yang, D.C. Siderophore-producing Rhizobacteria Reduce Heavy Metal-induced Oxidative Stress in Panax ginseng Meyer. J. Ginseng Res. 2021, 45, 218–227. [Google Scholar] [CrossRef]
- Zhao, G. Phytoferritin and its Implications for Human Health and Nutrition. Biochim. Biophys. Acta Gen. Subj. 2010, 1800, 815–823. [Google Scholar] [CrossRef] [PubMed]
- Bainton, D.F.; Finch, C.A. The Diagnosis of Iron Deficiency Anemia. Am. J. Med. 1964, 37, 62–70. [Google Scholar] [CrossRef]
- Gunshin, H.; Mackenzie, B.; Berger, U.V.; Gunshin, Y.; Romero, M.F.; Boron, W.F.; Nussberger, S.; Gollan, J.L.; Hediger, M.A. Cloning and Characterization of a Mammalian Proton-coupled Metal-ion Transporter. Nature 1997, 388, 482–488. [Google Scholar] [CrossRef] [PubMed]
- Ward, F.W.; Coates, M.E. Gastrointestinal pH Measurement in Rats: Influence of the Microbial Flora, Diet and Fasting. Lab. Anim. 1987, 21, 216–222. [Google Scholar] [CrossRef] [PubMed]
- Nemeth, E.; Tuttle, M.S.; Powelson, J.; Vaughn, M.B.; Donovan, A.; Ward, D.M.; Ganz, T.; Kaplan, J. Hepcidin Regulates Cellular Iron Efflux by Binding to Ferroportin and Inducing Its Internalization. Science 2004, 306, 2090–2093. [Google Scholar] [CrossRef]
- Ganz, T.; Nemeth, E. Hepcidin and Iron Homeostasis. Biochim. Biophys. Acta-Mol. Cell Res. 2012, 1823, 1434–1443. [Google Scholar] [CrossRef]
- Frazer, D.M.; Wilkins, S.J.; Becker, E.M.; Vulpe, C.D.; McKie, A.T.; Trinder, D.; Anderson, G.J. Hepcidin Expression Inversely Correlates with the Expression of Duodenal Iron Transporters and Iron Absorption in Rats. Gastroenterology 2002, 123, 835–844. [Google Scholar] [CrossRef]
- Asvarujanon, P.; Ishizuka, S.; Hara, H. Promotive Effects of Non-digestible Disaccharides on Rat Mineral Absorption Depend on the Type of Saccharide. Nutrition 2005, 21, 1025–1035. [Google Scholar] [CrossRef]
- Ohta, A.; Ohtsuki, M.; Baba, S.; Takizawa, T.; Adachi, T.; Kimura, S. Effects of Fructooligosaccharides on the Absorption of Iron, Calcium and Magnesium in Iron-deficient Anemic Rats. J. Nutr. Sci. Vitam. 1995, 41, 281–291. [Google Scholar] [CrossRef]
- Laparra, J.M.; Díez-Municio, M.; Herrero, M.; Moreno, F.J. Structural Differences of Prebiotic Oligosaccharides Influence their Capability to Enhance iron Absorption in Deficient Rats. Food Funct. 2014, 5, 2430–2437. [Google Scholar] [CrossRef]
- Turner, P.V.; Brabb, T.; Pekow, C.; Vasbinder, M.A. Administration of Substances to Laboratory Animals: Routes of Administration and Factors to Consider. J. Am. Assoc. Lab. Anim. Sci. 2011, 50, 600–613. [Google Scholar] [PubMed]
- Correnti, C.; Strong, R.K. Mammalian Siderophores, Siderophore-binding Lipocalins, and the Labile Iron Pool. J. Biol. Chem. 2012, 287, 13524–13531. [Google Scholar] [CrossRef] [PubMed]
- Courbon, G.; Francis, C.; Gerber, C.; Neuburg, S.; Wang, X.; Lynch, E.; Isakova, T.; Babitt, J.L.; Wolf, M.; Martin, A.; et al. Lipocalin 2 Stimulates Bone Fibroblast Growth Factor 23 Production in Chronic Kidney Disease. Bone Res. 2021, 9, 35. [Google Scholar] [CrossRef] [PubMed]
- Page, M.G.P. The Role of Iron and Siderophores in Infection, and the Development of Siderophore Antibiotics. Clin. Infect. Dis. 2019, 69, S529–S537. [Google Scholar] [CrossRef]
- Clifton, M.C.; Rupert, P.B.; Hoette, T.M.; Raymond, K.N.; Abergel, R.J.; Strong, R.K. Parsing the Functional Specificity of Siderocalin/Lipocalin 2/NGAL for Siderophores and Related Small-molecule Ligands. J. Struct. Biol. X 2019, 2, 100008. [Google Scholar] [CrossRef]
- Golonka, R.; Yeoh, B.S.; Vijay-Kumar, M. The Iron Tug-of-War Between Bacterial Siderophores and Innate Immunity. J. Innate Immun. 2019, 11, 249–262. [Google Scholar] [CrossRef]
- Nairz, M.; Theurl, I.; Swirski, F.K.; Weiss, G. “Pumping iron”-how Macrophages Handle Iron at the Systemic, Microenvironmental, and Cellular Levels. Pflug. Arch. 2017, 469, 397–418. [Google Scholar] [CrossRef]



| Ingredients | Anemia-Inducing Period | Experimental Diet and Anemia Recovery Period | ||||||
|---|---|---|---|---|---|---|---|---|
| SD a | IDD | AR | AR + SD | AR + SD + Sid1 | AR + SD + Sid5 | AR + IED + Sid1 | AR + IED + Sid5 | |
| Corn starch | 53.43 | 53.45 | 53.45 | 53.43 | 53.43 | 53.43 | 53.41 | 53.41 |
| Casein | 20.00 | 20.00 | 20.00 | 20.00 | 20.00 | 20.00 | 20.00 | 20.00 |
| Sucrose | 10.00 | 10.00 | 10.00 | 10.00 | 10.00 | 10.00 | 10.00 | 10.00 |
| Soybean oil | 7.00 | 7.00 | 7.00 | 7.00 | 7.00 | 7.00 | 7.00 | 7.00 |
| Cellulose powder | 5.00 | 5.00 | 5.00 | 5.00 | 5.00 | 5.00 | 5.00 | 5.00 |
| L-Cystine | 0.30 | 0.30 | 0.30 | 0.30 | 0.30 | 0.30 | 0.30 | 0.30 |
| Choline bitartrate | 0.25 | 0.25 | 0.25 | 0.25 | 0.25 | 0.25 | 0.25 | 0.25 |
| AIN-93 vitamin mixture | 1.00 | 1.00 | 1.00 | 1.00 | 1.00 | 1.00 | 1.00 | 1.00 |
| AIN-93G mineral mixture b | 1.75 | 1.75 | 1.75 | 1.75 | 1.75 | 1.75 | 1.75 | 1.75 |
| Calcium carbonate | 1.25 | 1.25 | 1.25 | 1.25 | 1.25 | 1.25 | 1.25 | 1.25 |
| Ferric citrate | 0.02 | – | – | 0.02 | 0.02 | 0.02 | 0.04 | 0.04 |
| Sid (μg Kg−1 Rat) c | – | – | – | – | 1 μg | 5 μg | 1 μg | 5 μg |
| Items | Experimental Groups | ||||||
|---|---|---|---|---|---|---|---|
| SD | AR | AR + SD | AR + SD + Sid1 | AR + SD + Sid5 | AR + IED + Sid1 | AR + IED + Sid5 | |
| Initial BW (g) * | 178.24 ± 7.21 | 168.00 ± 11.67 | 187.00 ± 7.78 | 179.83 ± 6.94 | 176.50 ± 5.10 | 171.33 ± 5.77 | 174.83 ± 3.89 |
| Final BW (g) | 271.45 ± 6.48 | 185.50 ± 14.73 | 236.67 ± 4.24 | 246.33 ± 6.14 | 255.83 ± 5.51 | 238.67 ± 5.02 | 251.67 ± 6.95 |
| BW gain (g) | 93.21 ± 5.75 a | 12.50 ± 4.91 e | 49.87 ± 2.83 d | 66.50 ± 4.09 c | 79.33 ± 3.68 b | 67.33 ± 3.35 c | 76.83 ± 4.63 b |
| Food intake (g day−1) # | 19.39 ± 1.76 a | 12.03 ± 1.01 d | 15.78 ± 1.63 c | 16.42 ± 1.74 bc | 17.06 ± 1.84 b | 15.91± 1.65 c | 16.11 ± 1.69 bc |
| Feed efficiency ## | 0.172 ± 0.015 a | 0.074 ± 0.004 e | 0.112 ± 0.013 d | 0.145 ± 0.015 bc | 0.166 ± 0.017 a | 0.151 ± 0.013 bc | 0.148 ± 0.017 bc |
| Items | Experimental Groups | ||||||
|---|---|---|---|---|---|---|---|
| SD | AR | AR + SD | AR + SD + Sid1 | AR + SD + Sid5 | AR + IED + Sid1 | AR + IED + Sid5 | |
| Relative liver weight (%) | 3.45 ± 0.12 bc | 3.85 ± 0.14 a | 3.56 ± 0.06 b | 3.56 ± 0.05 b | 3.62 ± 0.09 b | 3.42 ± 0.07 c | 3.60 ± 0.05 b |
| Relative kidney weight (%) | 0.70 ± 0.08 b | 0.89 ± 0.02 a | 0.79 ± 0.05 b | 0.73 ± 0.01 b | 0.72 ± 0.02 b | 0.72 ± 0.02 b | 0.73 ± 0.03 b |
| Relative spleen weight (%) | 0.32 ± 0.02 b | 0.39 ± 0.02 a | 0.34 ± 0.02 b | 0.31 ± 0.02 b | 0.32 ± 0.01 b | 0.30 ± 0.02 b | 0.30 ± 0.03 b |
| LIC (mg g−1 liver) | 98.12 ± 3.48 a | 11.24 ± 1.89 e | 35.24 ± 4.18 d | 46.21 ± 3.24 c | 48.54 ± 3.28 c | 64.25 ± 4.19 b | 69.24 ± 4.28 b |
| Hematological Parameters | Days | Experimental Groups | ||||||
|---|---|---|---|---|---|---|---|---|
| SD | AR | AR + SD | AR + SD + Sid1 | AR + SD + Sid5 | AR + IED + Sid1 | AR + IED + Sid5 | ||
| RBC [1012 L−1] | 0 | 6.26 ± 0.08 aC | 2.68 ± 0.17 bA | 2.57 ± 0.10 bC | 2.30 ± 0.41 bC | 2.67 ± 0.15 bC | 2.57 ± 0.15 bC | 2.69 ± 0.24 bC |
| 14 | 6.57 ± 0.27 aB | 2.47 ± 0.24 dA | 3.27 ± 0.31 cB | 4.18 ± 0.75 bB | 4.77 ± 0.59 bB | 4.61 ± 0.09 bB | 5.37 ± 0.81 bB | |
| 28 | 8.20 ± 0.31 aA | 2.41 ± 0.15 cA | 6.52 ± 0.19 bA | 7.21 ± 0.25 aA | 7.80 ± 0.54 aA | 7.23 ± 0.30 aA | 7.37 ± 0.27 aA | |
| HGB [g dL−1] | 0 | 15.90 ± 0.35 aA | 7.06 ± 1.06 abA | 7.88 ± 2.09 abB | 7.52 ± 1.01 bC | 6.52 ± 0.47 bC | 6.43 ± 0.20 bC | 6.87 ± 0.25 bC |
| 14 | 16.13 ± 0.47 aA | 6.91 ± 0.92 eA | 8.98 ± 0.87 dB | 9.23 ± 0.84 dB | 12.24 ± 1.18 bcB | 11.08 ± 0.79 cB | 13.01 ± 0.64 bB | |
| 28 | 16.60 ± 0.22 aA | 6.36 ± 0.95 dA | 13.58 ± 1.42 bcA | 15.43 ± 0.74 abA | 16.18 ± 0.85 aA | 14.88 ± 0.30 bA | 15.15 ± 0.51 abA | |
| HCT [%] | 0 | 36.05 ± 2.86 aA | 13.69 ± 1.06 bA | 11.63 ± 0.46 bC | 10.12 ± 1.81 bC | 11.93 ± 0.58 bC | 11.60 ± 0.87 bC | 14.70 ± 0.84 bC |
| 14 | 36.78 ± 1.13 aA | 13.74 ± 0.79 dA | 13.15 ± 0.91 dB | 13.14 ± 0.97 dB | 14.79 ± 1.47 cB | 15.27 ± 0.59 bcB | 17.25 ± 1.51 bB | |
| 28 | 38.60 ± 0.48 aA | 12.33 ± 0.95 cA | 21.30 ± 0.57 bA | 24.00 ± 0.94 aA | 25.10 ± 1.07 aA | 23.10 ± 0.72 abA | 23.20 ± 0.78 abA | |
| MCV [fL] | 0 | 91.30 ± 0.74 aA | 15.38 ± 0.25 bA | 65.13 ± 0.04 bA | 74.72 ± 0.77 bA | 84.95 ± 0.69 bA | 65.08 ± 0.38 bA | 68.28 ± 0.58 abA |
| 14 | 90.77 ± 0.92 aA | 13.91 ± 0.54 eA | 55.78 ± 0.25 bB | 48.17 ± 1.81 cB | 40.80 ± 1.29 dB | 49.27 ± 2.47 cB | 39.75 ± 3.19 dB | |
| 28 | 92.08 ± 0.67 aA | 13.84 ± 0.22 bA | 52.88 ± 1.96 aC | 33.40 ± 0.83 aC | 32.23 ± 1.64 aC | 32.32 ± 1.49 aC | 31.48 ± 1.87 aC | |
| MCH [pg] | 0 | 29.08 ± 2.80 aA | 7.00± 0.52 bA | 8.47 ± 1.93 bC | 6.67 ± 0.20 bC | 6.76 ± 0.14 bC | 6.94 ± 0.20 bC | 7.11 ± 0.47 bC |
| 14 | 28.75 ± 0.19 aA | 7.08 ± 0.49 dA | 12.57 ± 2.01 bcB | 14.17 ± 0.93 bcB | 15.34 ± 1.28 bB | 15.07 ± 0.68 bB | 15.08 ± 1.27 bB | |
| 28 | 30.25 ± 0.89 aA | 6.30 ± 0.47 cA | 20.80 ± 1.13 bA | 21.38 ± 0.41 bA | 20.55 ± 0.79 bA | 20.72 ± 0.49 bA | 20.55 ± 1.05 bA | |
| MCHC [g dL−1] | 0 | 31.71 ± 1.27 aA | 6.85 ± 0.42 aB | 8.43 ± 1.92 aB | 6.82 ± 0.16 aB | 6.82 ± 0.35 aB | 6.94 ± 0.32 aB | 5.84 ± 0.22 aB |
| 14 | 30.91 ± 2.28 aA | 6.71 ± 0.64 eAB | 12.80 ± 1.52 dA | 15.98 ± 0.86 cA | 19.72 ± 0.98 bA | 16.74 ± 1.65 cA | 21.76 ± 2.15 bA | |
| 28 | 33.75 ± 1.66 aA | 6.17 ± 0.38 bA | 31.60 ± 0.99 aA | 32.20 ± 1.03 aA | 34.10 ± 1.46 aA | 31.42 ± 1.51 aA | 32.55 ± 1.39 aA | |
Publisher’s Note: MDPI stays neutral with regard to jurisdictional claims in published maps and institutional affiliations. |
© 2022 by the authors. Licensee MDPI, Basel, Switzerland. This article is an open access article distributed under the terms and conditions of the Creative Commons Attribution (CC BY) license (https://creativecommons.org/licenses/by/4.0/).
Share and Cite
Barakat, H.; Qureshi, K.A.; Alsohim, A.S.; Rehan, M. The Purified Siderophore from Streptomyces tricolor HM10 Accelerates Recovery from Iron-Deficiency-Induced Anemia in Rats. Molecules 2022, 27, 4010. https://doi.org/10.3390/molecules27134010
Barakat H, Qureshi KA, Alsohim AS, Rehan M. The Purified Siderophore from Streptomyces tricolor HM10 Accelerates Recovery from Iron-Deficiency-Induced Anemia in Rats. Molecules. 2022; 27(13):4010. https://doi.org/10.3390/molecules27134010
Chicago/Turabian StyleBarakat, Hassan, Kamal A. Qureshi, Abdullah S. Alsohim, and Medhat Rehan. 2022. "The Purified Siderophore from Streptomyces tricolor HM10 Accelerates Recovery from Iron-Deficiency-Induced Anemia in Rats" Molecules 27, no. 13: 4010. https://doi.org/10.3390/molecules27134010
APA StyleBarakat, H., Qureshi, K. A., Alsohim, A. S., & Rehan, M. (2022). The Purified Siderophore from Streptomyces tricolor HM10 Accelerates Recovery from Iron-Deficiency-Induced Anemia in Rats. Molecules, 27(13), 4010. https://doi.org/10.3390/molecules27134010

