Discovery of Phenylcarbamoylazinane-1,2,4-Triazole Amides Derivatives as the Potential Inhibitors of Aldo-Keto Reductases (AKR1B1 & AKRB10): Potential Lead Molecules for Treatment of Colon Cancer
Abstract
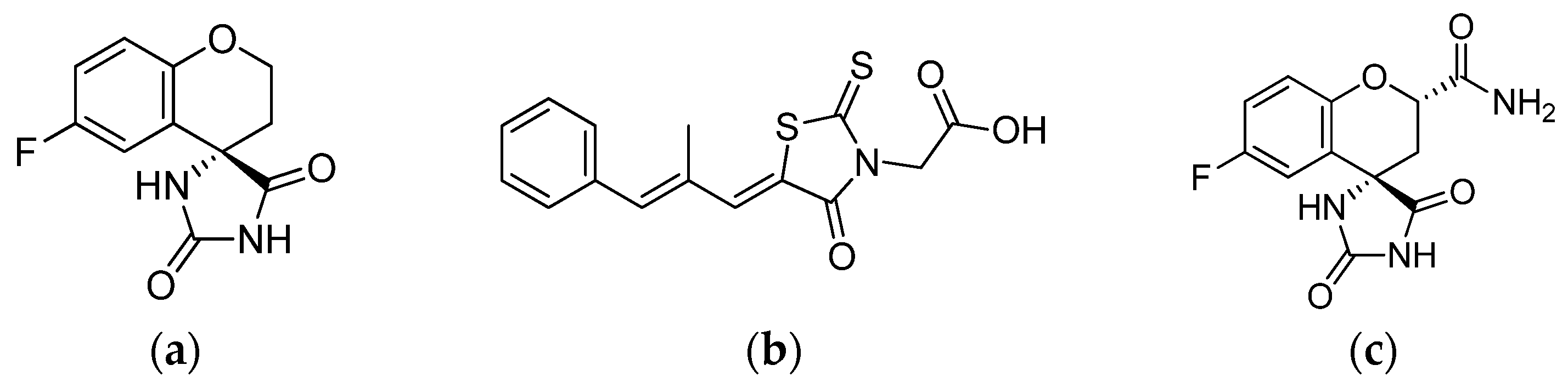
1. Introduction
2. Experimental
2.1. Instrumentation and Methods
2.2. Chemistry
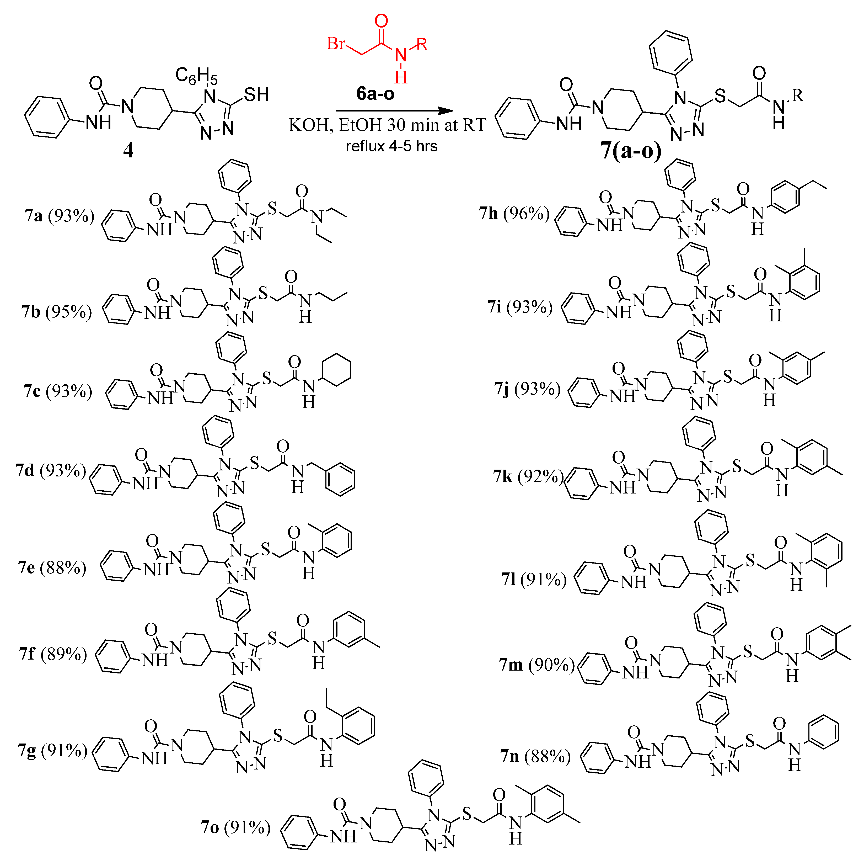
Synthesis of Phenylcarbamoylazinane-1,2,4-Triazole Amides Derivatives
2.3. Density Functional Theory (DFT)
2.4. Molecular Docking
2.4.1. Preparation of Ligands
2.4.2. Preparation of Target
2.4.3. Molecular Docking Protocol
2.4.4. Visualization
2.4.5. Validation
2.5. Molecular Dynamics Simulations
2.6. Cell Viability Assay
2.7. ADMET Properties
3. Results and Discussion
3.1. Chemistry
Synthesis of Phenylcarbamoylazinane-1,2,4-Triazole Amides Derivatives
3.2. Density Functional Theory (DFTs)
3.2.1. Molecular Geometry
3.2.2. Frontier Molecular Orbital (FMOs)
3.2.3. Global Chemical Reactivity Descriptors
3.2.4. Molecular Electrostatic Potential (MEP)
3.3. Molecular Docking
3.3.1. Structure Activity Relationship of Phenylcarbamoylpiperidine-1,2,4-Triazole Amide Derivatives
3.3.2. Detailed Molecular Docking Discussion of Protein AKR1B1
3.3.3. Detailed Molecular Docking Discussion of Protein AKR1B10
3.3.4. SeeSAR Analysis
3.4. Molecular Dynamics Simulations
3.5. % Cell Viability Assay Using HeLa Cells
3.6. ADMET Properties
4. Conclusions
Supplementary Materials
Author Contributions
Funding
Institutional Review Board Statement
Informed Consent Statement
Data Availability Statement
Acknowledgments
Conflicts of Interest
References
- Buchwald, P.; Hall, C.; Davidson, C.; Dixon, L.; Dobbs, B.; Robinson, B.; Frizelle, F. Improved survival for rectal cancer compared to colon cancer: The four cohort study. ANZ J. Surg. 2018, 88, E114–E117. [Google Scholar] [CrossRef] [PubMed]
- Rawla, P.; Sunkara, T.; Barsouk, A. Epidemiology of colorectal cancer: Incidence, mortality, survival, and risk factors. Prz. Gastroenterol. 2019, 14, 89. [Google Scholar] [CrossRef] [PubMed]
- Tammali, R.K.; Srivastava, S.V.; Ramana, K. Targeting aldose reductase for the treatment of cancer. Curr. Cancer Drug Targets 2011, 11, 560–571. [Google Scholar] [CrossRef] [PubMed]
- Crosas, B.; Hyndman, D.J.; Gallego, O.; Martras, S.; Parés, X.; Flynn, T.G.; Farrés, J. Human aldose reductase and human small intestine aldose reductase are efficient retinal reductases: Consequences for retinoid metabolism. Biochem. J. 2003, 373, 973–979. [Google Scholar] [CrossRef] [PubMed]
- Koutsopoulos, K.; Lavrentaki, V.; Antoniou, I.; Kousaxidis, A.; Lefkopoulou, M.; Tsantili-Kakoulidou, A.; Kovacikova, L.; Stefek, M.; Nicolaou, I. Design synthesis and evaluation of novel aldose reductase inhibitors: The case of indolyl–sulfonyl–phenols. Bioorg. Med. Chem. 2020, 28, 115575. [Google Scholar] [CrossRef]
- Endo, S.; Matsunaga, T.; Nishinaka, T. The Role of AKR1B10 in Physiology and Pathophysiology. Metabolites 2021, 11, 332. [Google Scholar] [CrossRef]
- Muthenna, P.; Suryanarayana, P.; Gunda, S.K.; Petrash, J.M.; Reddy, G.B. Inhibition of aldose reductase by dietary antioxidant curcumin: Mechanism of inhibition, specificity and significance. FEBS Lett. 2009, 583, 3637–3642. [Google Scholar] [CrossRef]
- Ma, J.; Cao, D. Human aldo-keto reductases: Structure, substrate specificity and roles in tumorigenesis. Biomol. Concepts 2011, 2, 115–126. [Google Scholar] [CrossRef]
- Kirtonia, A.; Sethi, G.; Garg, M. The multifaceted role of reactive oxygen species in tumorigenesis. Cell Mol. Life Sci. 2020, 77, 4459–4483. [Google Scholar] [CrossRef]
- Kropotova, E.S.; Tychko, R.A.; Zinov’eva, O.L.; Zyryanova, A.F.; Khankin, S.L.; Cherkes, V.L.; Aliev, V.A.; Beresten, S.F.; Oparina, N.Y.; Mashkova, T.D. Downregulation of AKR1B10 expression in colorectal cancer. Mol. Biol. 2010, 44, 216–222. [Google Scholar] [CrossRef]
- Tammali, R.; Reddy, A.B.; Saxena, A.; Rychahou, P.G.; Evers, B.M.; Qiu, S.; Awasthi, S.; Ramana, K.V.; Srivastava, S.K. Inhibition of aldose reductase prevents colon cancer metastasis. Carcinogenesis 2011, 32, 1259–1267. [Google Scholar] [CrossRef] [PubMed]
- Ji, J.; Xu, M.X.; Qian, T.Y.; Zhu, S.Z.; Jiang, F.; Liu, Z.X.; Xu, W.S.; Zhou, J.; Xiao, M.B. The AKR1B1 inhibitor epalrestat suppresses the progression of cervical cancer. Mol. Biol. Rep. 2020, 47, 6091–6103. [Google Scholar] [CrossRef] [PubMed]
- Zhang, L.; Zhang, H.; Zhao, Y.; Li, Z.; Chen, S.; Zhai, J.; Chen, Y.; Xie, W.; Wang, Z.; Li, Q.; et al. Inhibitor selectivity between aldo-keto reductase superfamily members AKR1B10 and AKR1B1: Role of Trp112 (Trp111). FEBS Lett. 2013, 587, 3681–3686. [Google Scholar] [CrossRef] [PubMed]
- Thun, M.J.; Henley, S.J.; Patrono, C. Nonsteroidal anti-inflammatory drugs as anticancer agents: Mechanistic, pharmacologic, and clinical issues. J. Natl. Cancer. Inst. 2002, 94, 252–266. [Google Scholar] [CrossRef] [PubMed]
- Fiorica, C.; Mauro, N.; Pitarresi, G.; Scialabba, C.; Palumbo, F.S.; Giammona, G. Double-network-structured graphene oxide-containing nanogels as photothermal agents for the treatment of colorectal cancer. Biomacromolecules 2017, 18, 1010–1018. [Google Scholar] [CrossRef] [PubMed]
- Coseri, S. Natural products and their analogues as efficient anticancer drugs. Mini. Rev. Med. Chem. 2009, 9, 560–571. [Google Scholar] [CrossRef]
- Li, J.; Guo, W.J.; Yang, Q.Y. Effects of ursolic acid and oleanolic acid on human colon carcinoma cell line HCT15. World J. Gastroenterol. 2002, 8, 493. [Google Scholar] [CrossRef]
- Balendiran, G.K.; Martin, H.J.; El-Hawari, Y.; Maser, E. Cancer biomarker AKR1B10 and carbonyl metabolism. Chem. Biol. Interact. 2009, 178, 134–137. [Google Scholar] [CrossRef]
- Hevir, N.; Šinkovec, J.; Rižner, T.L. Decreased levels of AKR1B1 and AKR1B10 in cancerous endometrium compared to adjacent non-cancerous tissue. Chem. Biol. Interact. 2013, 202, 226–233. [Google Scholar] [CrossRef]
- Kousaxidis, A.; Petrou, A.; Lavrentaki, V.; Fesatidou, M.; Nicolaou, I.; Geronikaki, A. Aldose reductase and protein tyrosine phosphatase 1B inhibitors as a promising therapeutic approach for diabetes mellitus. Eur. J. Med. Chem. 2020, 207, 112742. [Google Scholar] [CrossRef]
- Sever, B.; Altıntop, M.D.; Demir, Y.; Pekdoğan, M.; Çiftçi, G.A.; Beydemir, Ş.; Özdemir, A. An extensive research on aldose reductase inhibitory effects of new 4H-1, 2, 4-triazole derivatives. J. Mol. Struct. 2021, 1224, 129446. [Google Scholar] [CrossRef]
- Daş-Evcimen, N.; Bozdağ-Dündar, O.; Sarikaya, M.; Ertan, R. In vitro aldose reductase inhibitory activity of some flavonyl-2, 4-thiazolidinediones. J. Enzyme Inhib. Med. Chem. 2008, 23, 297–301. [Google Scholar] [CrossRef] [PubMed]
- Ramana, K.V.; Srivastava, S.K. Aldose reductase: A novel therapeutic target for inflammatory pathologies. Int. J. Biochem. Cell Biol. 2010, 42, 17–20. [Google Scholar] [CrossRef] [PubMed]
- Ramasamy, R.; Goldberg, I.J. Aldose reductase and cardiovascular diseases, creating human-like diabetic complications in an experimental model. Circ. Res. 2010, 106, 1449–1458. [Google Scholar] [CrossRef] [PubMed]
- Jannapureddy, S.; Sharma, M.; Yepuri, G.; Schmidt, A.M.; Ramasamy, R. Aldose reductase: An emerging target for development of interventions for diabetic cardiovascular complications. Front. Endocrinol. 2021, 12, 78. [Google Scholar] [CrossRef]
- Liu, J.; Wen, G.; Cao, D. Aldo-keto reductase family 1 member B1 inhibitors: Old drugs with new perspectives. Recent Pat. Anticancer Drug Discov. 2009, 4, 246–253. [Google Scholar] [CrossRef]
- Muzaffar, S.; Shahid, W.; Riaz, N.; Saleem, M.; Ashraf, M.; Bashir, B.; Kaleem, A.; Al-Rashida, M.; Baral, B.; Bhattarai, K.; et al. Probing phenylcarbamoylazinane-1, 2, 4-triazole amides derivatives as lipoxygenase inhibitors along with cytotoxic, ADME and molecular docking studies. Bioorg. Chem. 2021, 107, 104525. [Google Scholar] [CrossRef]
- Frisch, M.J.; Trucks, G.W.; Schlegel, H.B.; Scuseria, G.E.; Robb, M.A.; Cheeseman, J.R.; Scalmani, V.; Barone, G.; Petersson, G.A.; Nakatsuji, H. Gaussian 09; Gaussian, Inc.: Wallingford, CT, USA, 2009. [Google Scholar]
- Beck, A.D. Density-functional thermochemistry. III. The role of exact exchange. J. Chem. Phys. 1993, 98, 5648–5656. [Google Scholar] [CrossRef]
- Todd, R.D.; Keith, A.; Millam, J.M. GaussView, Version 6; Semichem Inc.: Shawnee Mission, KS, USA, 2016. [Google Scholar]
- Bendjeddou, A.; Abbaz, T.; Gouasmia, A.; Villemin, D. Molecular structure, HOMO-LUMO, MEP and Fukui function analysis of some TTF-donor substituted molecules using DFT (B3LYP) calculations. Int. Res. J. Pure Appl. Chem. 2016, 12, 1–9. [Google Scholar] [CrossRef]
- Villemin, D.; Abbaz, T.; Bendjeddou, A. Molecular structure, HOMO, LUMO, MEP, natural bond orbital analysis of benzo and anthraquinodimethane derivatives. Pharm. Boil. Eval. 2018, 5, 27–39. [Google Scholar]
- ChemDraw Ultra 12.0 0 1986 to 2009; CambridgeSoft Corp: Cambridge, MA, USA, 2009.
- Chem 3D Pro 12.0 1986 to 2009; CambridgeSoft Corp: Cambridge, MA, USA, 2009.
- Berman, H.; Henrick, K.; Nakamura, H. Announcing the worldwide protein data bank. Nat. Struct. Biol. 2003, 10, 980. Available online: https://www.rcsb.org/search (accessed on 4 November 2021). [CrossRef]
- Morris, G.M.; Huey, R.; Lindstrom, W.; Sanner, M.F.; Belew, R.K.; Goodsell, D.S.; Olson, A.J. Autodock4 and AutoDockTools4: Automated docking with selective receptor flexiblity. J. Comput. Chem. 2009, 30, 2785–2791. [Google Scholar] [CrossRef] [PubMed]
- Molecular Operating Environment (MOE); 2015.10; Chemical Computing Group ULC: Montreal, QC, Canada, 2016.
- Khan, M.; Masoud, M.S.; Qasim, M.; Khan, M.A.; Zubair, M.; Idrees, S.; Ashraf, A.; Ashfaq, U.A. Molecular screening of phytochemicals from Amelanchier Alnifolia against HCV NS3 protease/helicase using computational docking techniques. Bioinformation 2013, 9, 978–982. [Google Scholar] [CrossRef] [PubMed][Green Version]
- Khan, S.U.; Ahemad, N.; Chuah, L.H.; Naidu, R.; Htar, T.T. Illustrated step by step protocol to perform molecular docking: Human estrogen receptor complex with 4-hydroxytamoxifen as a case study. Prog. Drug Discov. Biomed. Sci. 2020, 3, 54–74. [Google Scholar] [CrossRef]
- Li, Y.; Su, M.; Liu, Z.; Li, J.; Liu, J.; Han, L.; Wang, R. Assessing protein-ligand interaction scoring functions with the CASF-2013 benchmark. Nat. Protoc. 2018, 13, 666–680. [Google Scholar] [CrossRef] [PubMed]
- Discovery Studio Visualizer; 2; Accelerys Software Inc.: San Diego, CA, USA, 2005.
- Eswaramoorthy, R.; Hailekiros, H.; Kedir, F.; Endale, M. In silico Molecular Docking, DFT Analysis and ADMET Studies of Carbazole Alkaloid and Coumarins from Roots of Clausena anisata: A Potent Inhibitor for Quorum Sensing. Adv. Appl. Bioinform. Chem. 2021, 14, 13–24. [Google Scholar] [CrossRef]
- Wang, Z.; Sun, H.; Yao, X.; Li, D.; Xu, L.; Li, Y.; Tian, S.; Hou, T. Comprehensive evaluation of ten docking programs on a diverse set of protein–ligand complexes: The prediction accuracy of sampling power and scoring power. Phys. Chem. Chem. Phys. 2016, 18, 12964–12975. [Google Scholar] [CrossRef]
- Onodera, K.; Satou, K.; Hirota, H. Evaluations of molecular docking programs for virtual screening. J. Chem. Inf. Model. 2007, 47, 1609–1618. [Google Scholar] [CrossRef]
- Van Der Spoel, D.; Lindahl, E.; Hess, B.; Groenhof, G.; Mark, A.E.; Berendsen, H.J.C. GROMACS: Fast, flexible, and free. J. Comput. Chem. 2005, 26, 1701–1718. [Google Scholar] [CrossRef]
- Maier, J.A.; Martinez, C.; Kasavajhala, K.; Wickstrom, L.; Hauser, K.E.; Simmerling, C. ff14SB: Improving the Accuracy of Protein Side Chain and Backbone Parameters from ff99SB. J. Chem. Theory Comput. 2015, 11, 3696–3713. [Google Scholar] [CrossRef]
- Sousa Da Silva, A.W.; Vranken, W.F. ACPYPE—AnteChamber PYthon Parser interfacE. BMC Res. Notes 2012, 5, 1–8. [Google Scholar] [CrossRef] [PubMed]
- Bussi, G.; Donadio, D.; Parrinello, M. Canonical sampling through velocity rescaling. J. Chem. Phys. 2007, 126, 014101. [Google Scholar] [CrossRef] [PubMed]
- Parrinello, M.; Rahman, A. Polymorphic transitions in single crystals: A new molecular dynamics method. J. Appl. Phys. 1981, 52, 7182–7190. [Google Scholar] [CrossRef]
- Kumari, R.; Kumar, R.; Lynn, A. g_mmpbsa—A GROMACS Tool for High-Throughput MM-PBSA Calculations. J. Chem. Inf. Model. 2014, 54, 1951–1962. [Google Scholar] [CrossRef]
- Mosmann, T. Rapid colorimetric assay for cellular growth and survival: Application to proliferation and cytotoxicity assays. J. Immunol. Methods 1983, 65, 55–63. [Google Scholar] [CrossRef]
- Nikš, M.; Otto, M. Towards an optimized MTT assay. J. Immunol. Methods 1990, 130, 149–151. [Google Scholar] [CrossRef]
- Iqbal, J.; Ejaz, S.A.; Saeed, A.; Al-Rashida, M. Detailed investigation of anticancer activity of sulfamoyl benz (sulfon) amides and 1H–pyrazol–4–yl benzamides: An experimental and computational study. Eur. J. Pharmacol. 2018, 5, 11–24. [Google Scholar] [CrossRef]
- Guan, L.; Yang, H.; Cai, Y.; Sun, L.; Di, P.; Li, W.; Liu, G.; Tang, Y. ADMET-score—A comprehensive scoring function for evaluation of chemical drug-likeness. Med. Chem. Comm. 2019, 10, 148–157. [Google Scholar] [CrossRef]
- Reichman, M.; Gill, H. Automated Drug Screening for ADMET Properties. Drug Metabolism Handbook: Concepts and Applications; John Wiley & Sons; Inc.: Hoboken, NJ, USA, 2009; pp. 129–137. [Google Scholar]
- Lagorce, D.; Douguet, D.; Miteva, M.A.; Villoutreix, B.O. Computational analysis of calculated physicochemical and ADMET properties of protein-protein interaction inhibitors. Sci. Rep. 2017, 7, 46277. [Google Scholar] [CrossRef]
- Weako, J.; Uba, A.I.; Keskin, Ö.; Gürsoy, A.; Yelekçi, K. Identification of potential inhibitors of human methionine aminopeptidase (type II) for cancer therapy: Structure-based virtual screening, ADMET prediction and molecular dynamics studies. Comput. Biol. Chem. 2020, 86, 107244. [Google Scholar] [CrossRef]
- Mumit, M.A.; Pal, T.K.; Alam, M.A.; Islam, M.A.A.A.A.; Paul, S.; Sheikh, M.C. DFT studies on vibrational and electronic spectra, HOMO–LUMO, MEP, HOMA, NBO and molecular docking analysis of benzyl-3-N-(2, 4, 5-trimethoxyphenylmethylene) hydrazinecarbodithioate. J. Mol. Struct. 2020, 1220, 128715. [Google Scholar] [CrossRef] [PubMed]
- ADMETlab 2.0. Available online: https://admetmesh.scbdd.com (accessed on 19 August 2021).
- Hait, D.; Head-Gordon, M. How accurate is density functional theory at predicting dipole moments? An assessment using a new database of 200 benchmark values. J. Chem. Theory Comput. 2018, 14, 1969–1981. [Google Scholar] [CrossRef] [PubMed]
- Hickey, A.L.; Rowley, C.N. Benchmarking quantum chemical methods for the calculation of molecular dipole moments and polarizabilities. J. Phys. Chem. A 2014, 118, 3678–3687. [Google Scholar] [CrossRef] [PubMed]
- Zheng, X.; Zhang, L.; Zhai, J.; Chen, Y.; Luo, H.; Hu, X. The molecular basis for inhibition of sulindac and its metabolites towards human aldose reductase. FEBS Lett. 2012, 586, 55–59. [Google Scholar] [CrossRef]
- Ding, K.; Zhang, H.; Wang, H.; Lv, X.; Pan, L.; Zhang, W.; Zhuang, S. Atomic-scale investigation of the interactions between tetrabromobisphenol A, tetrabromobisphenol S and bovine trypsin by spectroscopies and molecular dynamics simulations. J. Hazard Mater. 2015, 299, 486–494. [Google Scholar] [CrossRef]
- Siddiqui, S.; Ameen, F.; Kausar, T.; Nayeem, S.M.; Rehman, S.U.; Tabish, M. Biophysical insight into the binding mechanism of doxofylline to bovine serum albumin: An in vitro and in silico approach. Spectrochim Acta A Mol. Biomol. Spectrosc. 2021, 249, 119296. [Google Scholar] [CrossRef]
- Qais, F.A.; Sarwar, T.; Ahmad, I.; Khan, R.A.; Shahzad, S.A.; Husain, F.M. Glyburide inhibits non-enzymatic glycation of HSA: An approach for the management of AGEs associated diabetic complications. Int. J. Biol. Macromol. 2021, 169, 143–152. [Google Scholar] [CrossRef]
- Rath, B.; Qais, F.A.; Patro, R.; Mohapatra, S.; Sharma, T. Design, synthesis and molecular modeling studies of novel mesalamine linked coumarin for treatment of inflammatory bowel disease. Bioorg. Med. Chem. Lett. 2021, 41, 128029. [Google Scholar] [CrossRef]
- Abchir, O.; Daoui, O.; Belaidi, S.; Ouassaf, M.; Qais, F.A.; ElKhattabi, S.; Belaaouad, S.; Chtita, S. Design of novel benzimidazole derivatives as potential α-amylase inhibitors using QSAR, pharmacokinetics, molecular docking, and molecular dynamics simulation studies. J. Mol. Model. 2022, 28, 1–17. [Google Scholar] [CrossRef]
- Siddiqui, S.; Ameen, F.; Jahan, I.; Nayeem, S.M.; Tabish, M. A comprehensive spectroscopic and computational investigation on the binding of the anti-asthmatic drug triamcinolone with serum albumin. New J. Chem. 2019, 43, 4137–4151. [Google Scholar] [CrossRef]
- Andleeb, H.; Hussain, M.; Ejaz, S.A.; Sevigny, J.; Farman, M.; Yasinzai, M.; Zhang, J.; Iqbal, J.; Hameed, S. Synthesis and computational studies of highly selective inhibitors of human recombinant tissue non-specific alkaline phosphatase (h-TNAP): A therapeutic target against vascular calcification. Bioorg. Chem. 2020, 101, 103999. [Google Scholar] [CrossRef] [PubMed]
- Lapins, M.; Arvidsson, S.; Lampa, S.; Berg, A.; Schaal, W.; Alvarsson, J.; Spjuth, O. A confidence predictor for logD using conformal regression and a support-vector machine. J. Cheminformatics. 2018, 10, 1–10. [Google Scholar] [CrossRef] [PubMed]
- Lenci, E.; Innocenti, R.; Menchi, G.; Trabocchi, A. Diversity-oriented synthesis and chemoinformatic analysis of the molecular diversity of sp3-rich morpholine peptidomimetics. Front. Chem. 2018, 6, 522. [Google Scholar] [CrossRef]
- Nisha, C.M.; Kumar, A.; Nair, P.; Gupta, N.; Silakari, C.; Tripathi, T.; Kumar, A. Molecular docking and in silico ADMET study reveals acylguanidine 7a as a potential inhibitor of β-secretase. Adv. Bioinform. 2016. [Google Scholar] [CrossRef]
- Wang, N.N.; Dong, J.; Deng, Y.H.; Zhu, M.F.; Wen, M.; Yao, Z.J.; Lu, A.P.; Wang, J.B.; Cao, D.S. ADME properties evaluation in drug discovery: Prediction of Caco-2 cell permeability using a combination of NSGA-II and boosting. J. Chem. Inf. Model. 2016, 56, 763–773. [Google Scholar] [CrossRef] [PubMed]













| Scheme | Compound | Gas Phase | Solvent PHASE (Ethanol) | ||||
|---|---|---|---|---|---|---|---|
| Optimization Energy (hartree) | Polarizability (α) (a.u.) | Dipole Moment (Debye) | Optimization Energy (hartree) | Polarizability (α) (a.u.) | Dipole Moment (Debye) | ||
| 1 | 7a | −1886.106 | 342.759 | 5.571 | −1886.129 | 440.099 | 8.716 |
| 2 | 7b | −1846.835 | 316.308 | 5.583 | −1846.856 | 420.126 | 7.617 |
| 3 | 7c | −1963.502 | 349.077 | 3.451 | −1963.523 | 461.426 | 4.993 |
| 4 | 7d | −1999.156 | 352.209 | 5.301 | −1999.178 | 472.599 | 6.909 |
| 5 | 7e | −1998.959 | 372.423 | 8.304 | −1999.185 | 488.286 | 11.377 |
| 6 | 7f | −1998.961 | 359.144 | 7.201 | −1999.183 | 482.391 | 12.532 |
| 7 | 7g | −2038.451 | 367.101 | 5.359 | −2038.471 | 498.488 | 7.431 |
| 8 | 7h | −2038.431 | 373.826 | 8.259 | −2038.472 | 499.202 | 13.372 |
| 9 | 7i | −2038.246 | 366.633 | 4.931 | −2038.476 | 500.482 | 6.861 |
| 10 | 7j | −2038.251 | 367.428 | 3.739 | −2038.479 | 502.864 | 5.266 |
| 11 | 7k | −2038.249 | 383.407 | 8.549 | 2038.477 | 505.231 | 11.091 |
| 12 | 7l | −2038.239 | 374.953 | 7.782 | −2038.469 | 496.319 | 10.475 |
| 13 | 7m | −2038.252 | 369.696 | 4.901 | −2038.478 | 498.915 | 6.528 |
| 14 | 7n | −1959.667 | 362.458 | 9.135 | −1959.893 | 471.238 | 11.747 |
| 15 | 7o | −2038.237 | 380.534 | 8.538 | −2038.466 | 497.686 | 12.259 |
| Code | AKR1B1 | AKR1B10 | |||
|---|---|---|---|---|---|
| MOE | AutoDock | MOE | AutoDock | ||
| 1. | 7a | −37.04 | −41.72 | −36.44 | −40.24 |
| 2. | 7b | −37.72 | −39.16 | −36.04 | −41.36 |
| 3. | 7c | −38.52 | −45.04 | −38.36 | −43.08 |
| 4. | 7d | −38.68 | −49.40 | −40.88 | −41.28 |
| 5. | 7e | −40.28 | −42.36 | −38.44 | −43.80 |
| 6. | 7f | −40.00 | −47.64 | −38.16 | −52.84 |
| 7. | 7g | −40.44 | −39.52 | −40.16 | −41.44 |
| 8. | 7h | −40.32 | −46.44 | −42.28 | −43.76 |
| 9. | 7i | −39.08 | −45.68 | −39.92 | −41.24 |
| 10. | 7j | −41.72 | −47.80 | −42.04 | −41.28 |
| 11. | 7k | −39.88 | −41.28 | −39.48 | −43.56 |
| 12. | 7l | −39.16 | −44.72 | −38.88 | −40.00 |
| 13. | 7m | −40.92 | −52.04 | −41.32 | −43.44 |
| 14. | 7n | −39.36 | −39.40 | −38.00 | −42.92 |
| 15. | 7o | −40.84 | −42.64 | −40.32 | −46.08 |
| Co-crystal | NAP | −29.48 | −22.92 | −27.44 | −18.16 |
| Control | Vincristine | −28.72 | +5.68 | −27.40 | −8.84 |
Publisher’s Note: MDPI stays neutral with regard to jurisdictional claims in published maps and institutional affiliations. |
© 2022 by the authors. Licensee MDPI, Basel, Switzerland. This article is an open access article distributed under the terms and conditions of the Creative Commons Attribution (CC BY) license (https://creativecommons.org/licenses/by/4.0/).
Share and Cite
Saeed, A.; Ejaz, S.A.; Sarfraz, M.; Tamam, N.; Siddique, F.; Riaz, N.; Qais, F.A.; Chtita, S.; Iqbal, J. Discovery of Phenylcarbamoylazinane-1,2,4-Triazole Amides Derivatives as the Potential Inhibitors of Aldo-Keto Reductases (AKR1B1 & AKRB10): Potential Lead Molecules for Treatment of Colon Cancer. Molecules 2022, 27, 3981. https://doi.org/10.3390/molecules27133981
Saeed A, Ejaz SA, Sarfraz M, Tamam N, Siddique F, Riaz N, Qais FA, Chtita S, Iqbal J. Discovery of Phenylcarbamoylazinane-1,2,4-Triazole Amides Derivatives as the Potential Inhibitors of Aldo-Keto Reductases (AKR1B1 & AKRB10): Potential Lead Molecules for Treatment of Colon Cancer. Molecules. 2022; 27(13):3981. https://doi.org/10.3390/molecules27133981
Chicago/Turabian StyleSaeed, Amna, Syeda Abida Ejaz, Muhammad Sarfraz, Nissren Tamam, Farhan Siddique, Naheed Riaz, Faizan Abul Qais, Samir Chtita, and Jamshed Iqbal. 2022. "Discovery of Phenylcarbamoylazinane-1,2,4-Triazole Amides Derivatives as the Potential Inhibitors of Aldo-Keto Reductases (AKR1B1 & AKRB10): Potential Lead Molecules for Treatment of Colon Cancer" Molecules 27, no. 13: 3981. https://doi.org/10.3390/molecules27133981
APA StyleSaeed, A., Ejaz, S. A., Sarfraz, M., Tamam, N., Siddique, F., Riaz, N., Qais, F. A., Chtita, S., & Iqbal, J. (2022). Discovery of Phenylcarbamoylazinane-1,2,4-Triazole Amides Derivatives as the Potential Inhibitors of Aldo-Keto Reductases (AKR1B1 & AKRB10): Potential Lead Molecules for Treatment of Colon Cancer. Molecules, 27(13), 3981. https://doi.org/10.3390/molecules27133981

