Physiological Characteristics of Sunburn Peel after Apple Debagged
Abstract
:1. Introduction
2. Results
2.1. The Influence of Environmental Factors on Sunburn
2.2. Effect of Sunburn on Cell Microstructure
2.3. Effect of Sunburn on Peroxidation of Pericarp Membrane Lipid
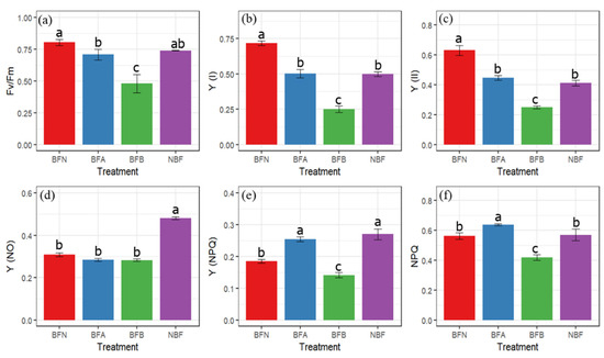
2.4. The Change of Chlorophyll Fluorescence Parameters
2.5. Comparison of Antioxidant Enzyme Activities
2.6. Pigment Content of Peel
2.7. Levels of Phenolic Compounds in the Peel
3. Discussion
4. Materials and Methods
4.1. Experimental Design
4.2. Environmental Factors and Fruit Surface Temperature
4.3. The Parameters of Chlorophyll Fluorescence
4.4. The Microstructure of Peel Cells
4.5. The Activities of Enzymes
4.6. O2− and MDA
4.7. Chlorophyll and Total Monomeric Anthocyanin
4.8. Phenolic Compounds
4.9. Statistical Analysis
5. Conclusions
Supplementary Materials
Author Contributions
Funding
Institutional Review Board Statement
Informed Consent Statement
Data Availability Statement
Acknowledgments
Conflicts of Interest
Sample Availability
References
- Zhao, J.; Quan, P.K.; Liu, H.K.; Li, L.L.; Qi, S.Y.; Zhang, M.S. Transcriptomic and metabolic analyses provide new insights into the apple fruit quality decline during long-term cold storage. J. Agric. Food Chem. 2020, 68, 4699–4716. [Google Scholar] [CrossRef]
- Zhang, T.J.; Feng, L.; Tian, X.S.; Yang, C.H.; Gao, J.D. Use of chlorophyll fluorescence and P700 absorbance to rapidly detect glyphosate resistance in goosegrass(Eleusine indica). J. Integr. Agric. 2015, 14, 714–723. [Google Scholar] [CrossRef]
- Wang, H.; Wang, S.; Fan, M.M.; Zhang, S.H.; Sun, L.L.; Zhao, Z.Y. Metabolomic insights into the browning of the peel of bagging ‘Rui Xue’ apple fruit. BMC Plant Biol. 2021, 21, 209–224. [Google Scholar] [CrossRef]
- Feng, F.J.; Li, M.J.; Ma, F.W.; Cheng, L.L. Phenylpropanoid metabolites and expression of key genes involved in anthocyanin biosynthesis in the shaded peel of apple fruit in response to sun exposure. Plant Physiol. Biochem. 2013, 69, 54–61. [Google Scholar] [CrossRef]
- Racsko, J.; Schrader, L.E. Sunburn of Apple Fruit: Historical Background, Recent Advances and Future Perspectives. Crit. Rev. Plant Sci. 2012, 31, 455–504. [Google Scholar] [CrossRef]
- Merzlyak, M.N.; Melø, T.B.; Naqvi, K.R. Effect of anthocyanins, carotenoids, and flavonols on chlorophyll fluorescence excitation spectra in apple fruit: Signature analysis, assessment, modelling, and relevance to photoprotection. J. Exp. Bot. 2008, 59, 349–359. [Google Scholar] [CrossRef]
- Zhang, J.L.; Niu, J.P.; Duan, Y.; Zhang, M.X.; Liu, J.Y.; Li, P.M.; Ma, F.W. Photoprotection mechanism in the ‘Fuji’ apple peel at different levels of photooxidative sunburn. Physiol. Plant. 2015, 154, 54–65. [Google Scholar] [CrossRef]
- Sun, Y.J.; Gao, Y.L.; Wang, H.; Yang, X.H.; Zhai, H.; Du, Y.P. Stimulation of cyclic electron flow around PSI as a response to the combined stress of high light and high temperature in grape leaves. Funct. Plant Biol. 2018, 45, 1038–1045. [Google Scholar] [CrossRef]
- Kramer, D.M.; Johnson, G.; Kiirats, O.; Edwards, G.E. New Fluorescence Parameters for the Determination of QA Redox State and Excitation Energy Fluxes. Photosynth. Res. 2004, 79, 209–218. [Google Scholar] [CrossRef]
- Pan, L.Y.; Chen, X.R.; Xu, W.; Fan, S.S.; Wan, T.; Zhang, J.; Cai, Y.L. Methyl jasmonate induces postharvest disease resistance to decay caused by Alternaria alternata in sweet cherry fruit. Sci. Hortic. 2021, 292, 110624. [Google Scholar] [CrossRef]
- Sun, H.J.; Zhou, X.; Zhou, Q.; Zhao, Y.B.; Kong, X.M.; Luo, M.L.; Ji, S.J. Disorder of membrane metabolism induced membrane instability plays important role in pericarp browning of refrigerated ‘Nanguo’ pears. Food Chem. 2020, 320, 126684. [Google Scholar] [CrossRef] [PubMed]
- Zhang, X.Y.; Wei, J.Y.; Tian, J.Y.; Na, L.; Li, J.; Shen, W.B.; Cui, J. Enhanced anthocyanin accumulation of immature radish microgreens by hydrogen-rich water under short wavelength light. Sci. Hortic. 2019, 247, 75–85. [Google Scholar] [CrossRef]
- Bagheri, M.; Gholami, M.; Baninasab, B. Role of hydrogen peroxide pre-treatment on the acclimation of pistachio seedlings to salt stress. Acta Physiol. Plant. 2021, 43, 43–51. [Google Scholar] [CrossRef]
- Chen, L.S.; Cheng, L. The sun-exposed peel of apple fruit has a higher photosynthetic capacity than the shaded peel. Funct. Plant Biol. 2007, 34, 1038–1048. [Google Scholar] [CrossRef] [PubMed]
- Hao, Y.Y.; Li, W.L.; Huang, W.D. Effect of preheating acclimation on the adaptation of apple fruit peel to sudden excessive sunlight. Acta Hortic. Sin. 2007, 34, 1347. [Google Scholar]
- Jeny, H.G.; César, S.M.; José, B.; Tomás, O.E.; María, D.; Muy, R. Anthocyanin Induction by Drought Stress in the Calyx of Roselle Cultivars. Molecules 2020, 25, 1555. [Google Scholar]
- Felicetti, D.A.; Schrader, L.E. Changes in pigment concentrations associated with sunburn browning of five apple cultivars. I. Chlorophylls Carotenoids. Plant Sci. 2009, 176, 78–83. [Google Scholar] [CrossRef]
- Yin, L.H.; Zou, Y.J.; Ke, X.W.; Liang, D.; Du, X.; Zhao, Y.Y.; Zhang, Q.Q.; Ma, F.W. Phenolic responses of resistant and susceptible Malus plants induced by diplocarpon mali. Scientia Horticulturae. 2013, 164, 17–23. [Google Scholar] [CrossRef]
- Ana, S.; Maja, M.P.; Heidi, H.; Franci, S.; Karl, S.; Robert, V. Polyphenol metabolism of developing apple skin of a scab resistant and a susceptible apple cultivar. Trees 2012, 26, 109–119. [Google Scholar]
- Slatnar, A.; Stampar, F.; Veberic, R. Content of phenolic compounds changes after mechanical injury of apple leaves. Phyton 2013, 53, 113–124. [Google Scholar]
- David, A.; Felicetti, L.S. Photooxidative Sunburn of Apples: Characterization of a Third Type of Apple Sunburn. Int. J. Fruit Sci. 2008, 8, 160–172. [Google Scholar]
- Gambetta, J.M.; Holzapfel, B.P.; Stoll, M.; Friedel, M. Sunburn in grapes: A review. Front. Plant Sci. 2021, 11, 2123. [Google Scholar] [CrossRef] [PubMed]
- Lee, K.; Stefano, M.; Desmond, R.L.; Tory, S.; Giverson, M.; Sara, S.; Manoella, M.; Laura, A.; Sanaz, J.; Sindhuja, S.; et al. Above and below-ground environmental changes associated with the use of photoselective protective netting to reduce sunburn in apple. Agric. For. Meteorol. 2017, 237, 9–17. [Google Scholar]
- Ranjan, R.; Khot, L.R.; Peters, R.T.; Salazar-Gutierrez, M.R.; Shi, G. In-field crop physiology sensing aided real-time apple fruit surface temperature monitoring for sunburn prediction. Comput. Electron. Agric. 2020, 175, 105558. [Google Scholar] [CrossRef]
- Sun, M.X.; Peng, F.T.; Xiao, Y.S.; Yu, W.; Zhang, Y.F.; Gao, H.F. Exogenous phosphatidylcholine treatment alleviates drought stress and maintains the integrity of root cell membranes in peach. Sci. Hortic-Amst. 2020, 259, 108821. [Google Scholar] [CrossRef]
- Wang, L.; Sha, Y.; Wu, D.; Wei, Q.; Chen, D.; Yang, S.; Wang, J. Surfactant induces ROS-mediated cell membrane permeabilization for the enhancement of mannatide production. Process Biochem. 2020, 91, 172–180. [Google Scholar] [CrossRef]
- Zheng, X.; Wang, L.; Zhou, J. Melatonin enhances the tolerance to iron deficiency stress through scavenging ROS in apple. Fruit Res. 2021, 1, 1–8. [Google Scholar] [CrossRef]
- Li, H.; Fan, Y.W.; Zhi, H.; Zhu, Y.Y.; Liu, Y.G.; Wang, Y.S. Influence of fruit stalk on reactive oxygen species metabolism and quality maintenance of peach fruit under chilling injury condition. Postharvest Biol. Technol. 2019, 148, 141–150. [Google Scholar] [CrossRef]
- Zhu, H.; Chen, C.J.; Zeng, J.; Yun, Z.; Liu, Y.L.; Qu, H.X.; Jiang, Y.M.; Duan, X.W. MicroRNA528, a hub regulator modulating ROS homeostasis via targeting of a diverse set of genes encoding copper-containing proteins in monocots. New Phytol. 2020, 225, 385–399. [Google Scholar] [CrossRef]
- Qi, C.; Lin, X.; Li, S.; Liu, L.; Wang, Z.; Li, Y.; Guo, Y.D. SoHSC70 positively regulates thermotolerance by alleviating cell membrane damage, reducing ROS accumulation, and improving activities of antioxidant enzymes. Plant Sci. 2019, 283, 385–395. [Google Scholar] [CrossRef]
- Ruban, A.V. Nonphotochemical chlorophyll fluorescence quenching: Mechanism and effectiveness in protecting plants from photodamage. Plant Physiol. 2016, 170, 1903–1916. [Google Scholar] [CrossRef] [PubMed] [Green Version]
- Lin, H.H.; Lin, K.H.; Jiang, J.Y.; Wang, C.W.; Chen, C.I.; Huang, M.Y.; Weng, J.H. Comparisons between yellow and green leaves of sweet potato cultivars in chlorophyll fluorescence during various temperature regimes under high light intensities. Sci. Hortic. 2021, 288, 110335. [Google Scholar] [CrossRef]
- Liu, Y.; Chen, N.; Zuo, C.; Wu, Y.; Che, F.; Chen, B. The mechanism of color fading in sunburned apple peel. Acta Physiol. Plant. 2019, 41, 2. [Google Scholar] [CrossRef]
- Xi, Y.P.; Han, P.; Zhang, X.Y.; Zhang, B.B.; Yuan, H.M. Exogenous phosphite application alleviates the adverse effects of heat stress and improves thermotolerance of potato (Solanum tuberosum L.) seedlings. Ecotoxicol. Environ. Saf. 2020, 190, 110048. [Google Scholar] [CrossRef] [PubMed]
- Bi, X.L.; Zhang, J.L.; Chen, C.S.; Zhang, D.; Li, P.M.; Ma, F.W. Anthocyanin contributes more to hydrogen peroxide scavenging than other phenolics in apple peel. Food Chem. 2014, 152, 205–209. [Google Scholar] [CrossRef]
- Wang, X.Q.; Wei, Z.W.; Ma, F.W. The effects of fruit bagging on levels of phenolic compounds and expression by anthocyanin biosynthetic and regulatory genes in red-fleshed apples. Process Biochem. 2015, 50, 1774–1782. [Google Scholar] [CrossRef]
- Ilektra, S.; Julietta, M.; Georgia, O.; Michael, M. Leaf Age-Dependent Photosystem II Photochemistry and Oxidative Stress Responses to Drought Stress in Arabidopsis thaliana Are Modulated by Flavonoid Accumulation. Molecules 2021, 26, 4157. [Google Scholar]
- Laura, R.; Daniela, F.; Bhakti, P.; Filippo, G.A.; Valerio, F.; Antonio, T.; Luca, E.; Osvaldo, F. Oxidations in white grape (Vitis vinifera L.) skins: Comparison between ripening process and photooxidative sunburn symptoms. Plant Physiol. Biochem. 2020, 150, 270–278. [Google Scholar]
- Liu, C.; Zhang, Z.; Dang, Z.; Xu, J.; Ren, X. New insights on phenolic compound metabolism in pomegranate fruit during storage. Sci. Hortic. 2021, 285, 110138. [Google Scholar] [CrossRef]
- Mei, Y.M.; Sun, H.L.; Du, G.D.; Wang, X.Q.; Lyu, D.G. Exogenous chlorogenic acid alleviates oxidative stress in apple leaves by enhancing antioxidant capacity. Sci. Hortic. 2020, 274, 109676. [Google Scholar] [CrossRef]
- Sun, S.; Xin, L.; Gao, H.J.; Wang, J.Y.; Li, P.M. Response of phenolic compounds in ‘Golden Delicious’ and ‘Red Delicious’ apples peel to fruit bagging and subsequent sunlight re-exposure. Sci. Hortic. 2014, 168, 161–167. [Google Scholar] [CrossRef]
- Zhang, H.Y.; Liu, F.R.; Wang, J.J.; Yang, Q.R.; Wang, P.; Zhao, H.J.; Wang, J.; Wang, C.; Xu, X.H. Salicylic acid inhibits the postharvest decay of goji berry (Lycium barbarum L.) by modulating the antioxidant system and phenylpropanoid metabolites. Postharvest Biol. Technol. 2021, 178, 111558. [Google Scholar] [CrossRef]
- Kang, Y.C.; Liu, J.X.; Yang, L.; Li, N.; Wang, Y.H.; Ao, T.Q.; Chen, W.Q. Foliar application of flavonoids (rutin) regulates phytoremediation efficiency of Amaranthus hypochondriacus L. by altering the permeability of cell membranes and immobilizing excess Cd in the cell wall. J. Hazard. Mater. 2022, 425, 127875. [Google Scholar] [CrossRef]
- Wang, L.J.; Li, J.H.; Gao, J.J.; Feng, X.X.; Shi, Z.X.; Gao, F.Y.; Xu, X.L.; Yang, L.Y. Inhibitory effect of chlorogenic acid on fruit russeting in ‘Golden Delicious’ apple. Sci. Hortic. 2014, 178, 14–22. [Google Scholar] [CrossRef]
- Klughammer, C.; Schreiber, U. Complementary PS II quantum yields calculated from simple fluorescence parameters measured by PAM fluorometry and the saturation pulse method. PAM Appl. Notes 2008, 1, 201–247. [Google Scholar]
- Lo’ay, A.A.; Dawood, H.D. Chilling injury, fruit color maturity stages, and antioxidant enzyme activities of lemon’baladi CV’fruits under cold storage stress. Sci. Hortic. 2019, 257, 108676. [Google Scholar] [CrossRef]
- Zhang, Y.Y.; Zhang, F.; Kiran, T.; Ci, A.T.; Wang, H.; Zhang, J.G.; Wei, Z.J. Effect of natural polyphenol on the oxidative stability of pecan oil. Food Chem. Toxicol. 2018, 119, 489–495. [Google Scholar] [CrossRef] [PubMed]
- Tang, K.; Zhan, J.C.; Yang, H.R.; Huang, W.D. Changes of resveratrol and antioxidant enzymes during UV-induced plant defense response in peanut seedlings. J. Plant Physiol. 2010, 167, 95–102. [Google Scholar] [CrossRef]
- Lin, Y.F.; Hu, Y.H.; Lin, H.T.; Liu, X.; Chen, Y.H.; Zhang, S.; Chen, Q.X. Inhibitory effects of propyl gallate on tyrosinase and its application in controlling pericarp browning of harvested longan fruits. J. Agric. Food Chem. 2013, 61, 2889–2895. [Google Scholar] [CrossRef]
- Satoru, K.; Kazuhiko, T.; Norio, M.; Jin, U. Antioxidative activity of apple skin or flesh extracts associated with fruit development on selected apple cultivars. Sci. Hortic. 2002, 96, 177–185. [Google Scholar]
- Ahn, T.; Paliyath, G.; Murr, D.P. Antioxidant enzyme activities in apple varieties and resistance to superficial scald development. Food Res. Int. 2007, 40, 1012–1019. [Google Scholar] [CrossRef]
- Rudell, D.R.; Mattheis, J.P. Synergism exists between ethylene and methyl jasmonate in artificial light-induced pigment enhancement of ‘Fuji’ apple fruit peel. Postharvest Biol. Technol. 2008, 47, 136–140. [Google Scholar] [CrossRef]
- Ahmed, N.; Maekawa, M.; Noda, K. Anthocyanin accumulation and expression pattern of anthocyanin biosynthesis genes in developing wheat coleoptiles. Biol. Plant. 2009, 53, 223–228. [Google Scholar] [CrossRef]
- Zhang, Y.Z.; Li, P.M.; Cheng, L.L. Developmental changes of carbohydrates, organic acids, amino acids, and phenolic compounds in ‘Honeycrisp’ apple flesh. Food Chem. 2010, 123, 1013–1018. [Google Scholar] [CrossRef]
- Tyner, S.; Briatte, F.; Hofmann, H. Network Visualization with ggplot2. R J. 2017, 9, 27. [Google Scholar] [CrossRef]







| Phenolic Compounds | BFN | BFA | BFB | NBF |
|---|---|---|---|---|
| Rutin (mg g−1) | 0.71 ± 0.02 c | 5.92 ± 0.12 a | 4.07 ± 0.01 b | 1.16 ± 0.02 c |
| Chlorogenic acid (mg g−1) | 1.24 ± 0.01 ab | 1.37 ± 0.01 a | 1.44 ± 0.01 a | 1.12 ± 0.01 b |
| Isoquercitrin (mg g−1) | 0.37 ± 0.01 c | 1.06 ± 0.01 a | 0.87 ± 0.00 b | 0.43 ± 0.00 c |
| Sum1 (mg g−1) | 2.32 ± 0.05 c | 8.35 ± 0.13 a | 6.38 ± 0.03 b | 2.71 ± 0.03 c |
| Procyanidin B2 (mg kg−1) | 83.75 ± 6.71 b | 131.49 ± 9.07 a | 71.28 ± 7.76 b | 67.73 ± 7.65 b |
| Epicatechin (mg kg−1) | 46.88 ± 4.91 c | 152.34 ± 6.48 a | 91.81 ± 8.24 b | 86.36 ± 4.67 b |
| Catechinic acid (mg kg−1) | 88.16 ± 3.89 b | 133.59 ± 5.19 a | 76.23 ± 7.62 bc | 54.34 ± 6.48 c |
| Procyanidin B1 (mg kg−1) | 40.01 ± 4.85 c | 144.40 ± 17.82 a | 96.23 ± 6.01 b | 75.23 ± 8.40 b |
| Hyperoside (mg kg−1) | 97.14 ± 3.82 a | 95.58 ± 6.73 a | 82.83 ± 4.98 b | 72.61 ± 4.98 c |
| Phloridzin (mg kg−1) | 4.74 ± 0.35 c | 23.29 ± 2.51 a | 19.61 ± 1.68 b | 4.56 ± 0.85 c |
| Quercetin (mg kg−1) | 1.76 ± 0.46 a | 0.05 ± 0.01 d | 0.17 ± 0.01 c | 0.37 ± 0.06 b |
| Salicylic acid (mg kg−1) | 0.23 ± 0.03 b | 0.21 ± 0.08 b | 0.32 ± 0.08 a | 0.11 ± 0.01 c |
| Kaempferol (mg kg−1) | 0.86 ± 0.21 a | 0.69 ± 0.09 b | 0.39 ± 0.05 c | 0.70 ± 0.32 b |
| Sum2 (mg kg−1) | 363.53 ± 24.18 c | 681.64 ± 36.31 a | 438.87 ± 32.28 b | 362.01 ± 32.12 c |
| Ferulic acid (mg kg−1) | 5.75 ± 0.33 ab | 3.52 ± 0.47 c | 7.63 ± 0.48 a | 5.11 ± 0.13 b |
| Methyl gallate (mg kg−1) | 7.61 ± 1.10 b | 13.21 ± 2.29 a | 5.28 ± 0.70 c | 6.49 ± 0.60 bc |
| p-Hydroxycinnamic acid (mg kg−1) | 5.42 ± 0.33 c | 11.17 ± 0.79 b | 30.15 ± 4.43 a | 7.45 ± 0.37 c |
| Caffeic acid (mg kg−1) | 25.27 ± 1.42 a | 23.20 ± 1.63 a | 25.98 ± 1.50 a | 19.98 ± 1.92 b |
| Sum3 | 44.05 ± 3.15 bc | 51.1 ± 5.17 b | 69.04 ± 7.09 a | 39.03 ± 3.01 c |
| Sum total (mg g−1) | 2.68 ± 0.05 c | 9.03 ± 0.13 a | 6.82 ± 0.03 b | 3.07 ± 0.04 c |
Publisher’s Note: MDPI stays neutral with regard to jurisdictional claims in published maps and institutional affiliations. |
© 2022 by the authors. Licensee MDPI, Basel, Switzerland. This article is an open access article distributed under the terms and conditions of the Creative Commons Attribution (CC BY) license (https://creativecommons.org/licenses/by/4.0/).
Share and Cite
Feng, Y.; Li, S.; Jia, R.; Yang, J.; Su, Q.; Zhao, Z. Physiological Characteristics of Sunburn Peel after Apple Debagged. Molecules 2022, 27, 3775. https://doi.org/10.3390/molecules27123775
Feng Y, Li S, Jia R, Yang J, Su Q, Zhao Z. Physiological Characteristics of Sunburn Peel after Apple Debagged. Molecules. 2022; 27(12):3775. https://doi.org/10.3390/molecules27123775
Chicago/Turabian StyleFeng, Yifeng, Shanshan Li, Rongjian Jia, Jie Yang, Qiufang Su, and Zhengyang Zhao. 2022. "Physiological Characteristics of Sunburn Peel after Apple Debagged" Molecules 27, no. 12: 3775. https://doi.org/10.3390/molecules27123775
APA StyleFeng, Y., Li, S., Jia, R., Yang, J., Su, Q., & Zhao, Z. (2022). Physiological Characteristics of Sunburn Peel after Apple Debagged. Molecules, 27(12), 3775. https://doi.org/10.3390/molecules27123775
