Inspired by Nature—Functional Analogues of Molybdenum and Tungsten-Dependent Oxidoreductases
Abstract
1. Introduction
2. Functional Analogues Showing Natural Reactivity
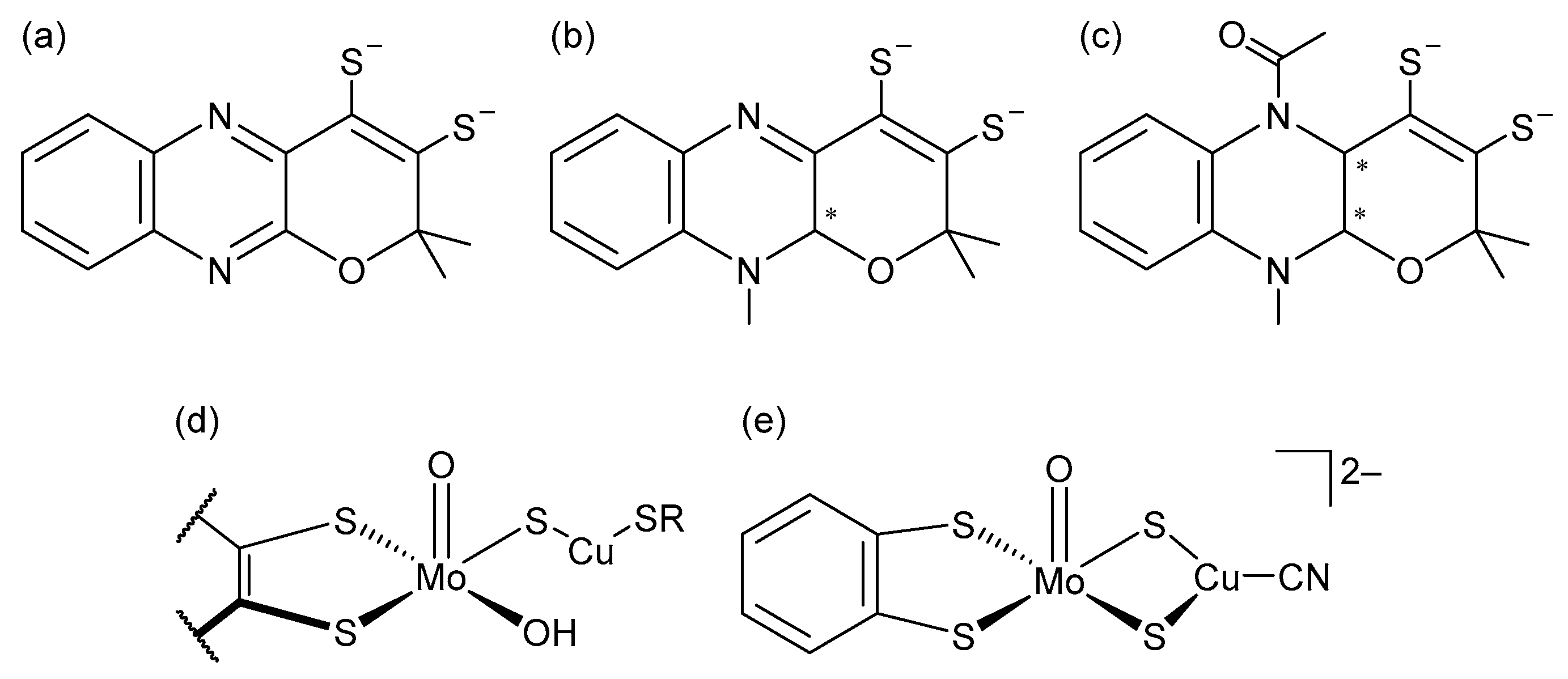
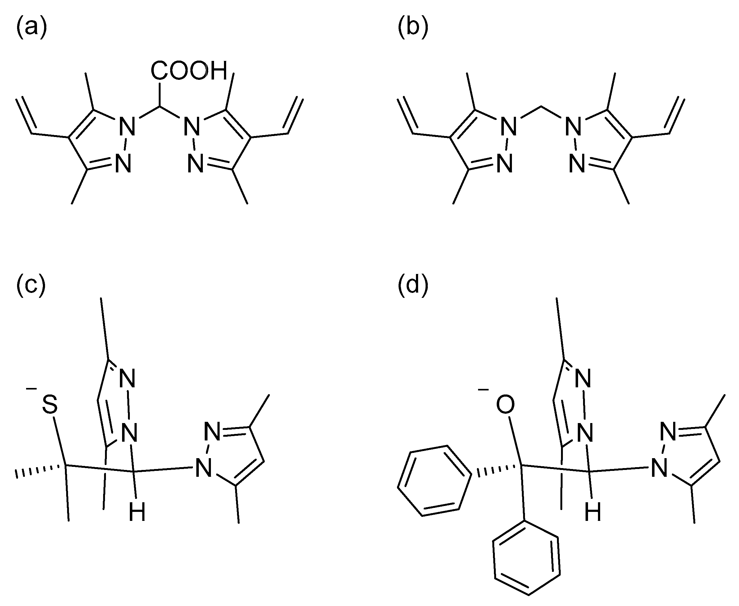
2.1. Dithiolene Complexes
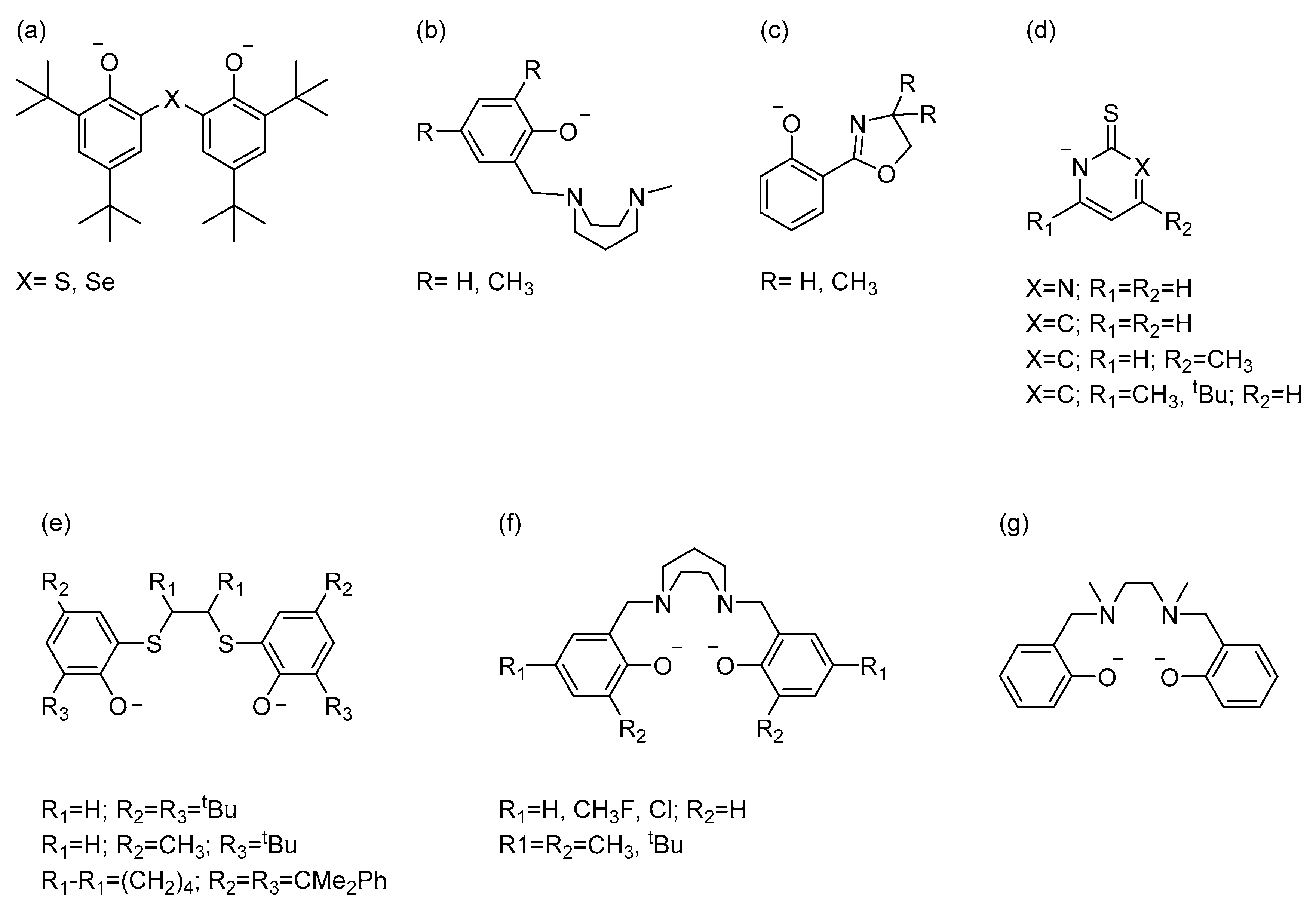
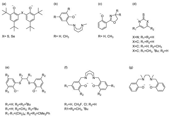
2.2. Non-Dithiolene Complexes
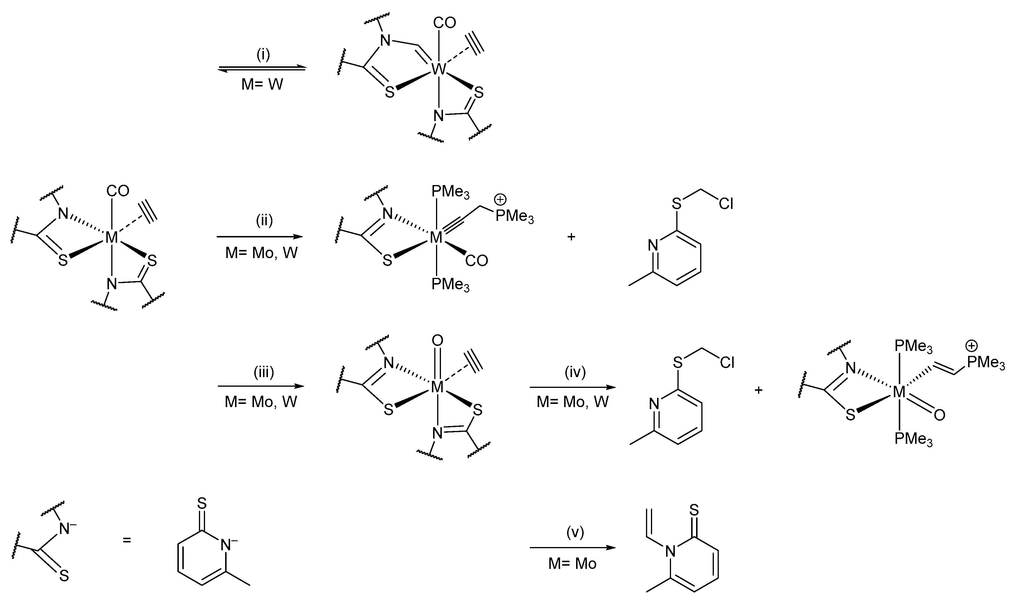
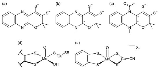
3. Functional Dithiolene-Bearing Analogues with Atypical/Non-Natural Reactivity
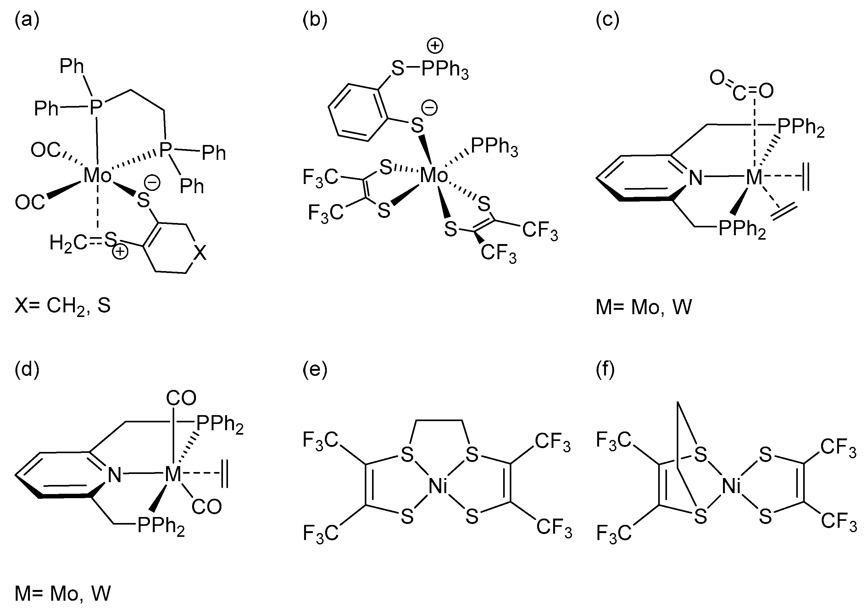
3.1. Catalytic Hydrogen Evolution Reaction (HER)
3.2. Non-Catalytic Reactivity toward Small Molecules
4. Conclusions
Author Contributions
Funding
Acknowledgments
Conflicts of Interest
References
- Majumdar, A.; Sarkar, S. Bioinorganic chemistry of molybdenum and tungsten enzymes: A structural-functional modeling approach. Coord. Chem. Rev. 2011, 255, 1039–1054. [Google Scholar] [CrossRef]
- Hine, F.J.; Taylor, A.J.; Garner, C.D. Dithiolene complexes and the nature of molybdopterin. Coord. Chem. Rev. 2010, 254, 1570–1579. [Google Scholar] [CrossRef]
- Eisenberg, R.; Gray, H.B. Noninnocence in Metal Complexes: A Dithiolene Dawn. Inorg. Chem. 2011, 50, 9741–9751. [Google Scholar] [CrossRef] [PubMed]
- Stiefel, E.I. (Ed.) Dithiolene Chemistry: Synthesis, Properties, and Applications; John Wiley & Sons, Inc.: Hoboken, NJ, USA, 2003. [Google Scholar]
- Hille, R. The Mononuclear Molybdenum Enzymes. Chem. Rev. 1996, 96, 2757–2816. [Google Scholar] [CrossRef]
- Hille, R. Molybdenum and tungsten in biology. Trends Biochem. Sci. 2002, 27, 360–367. [Google Scholar] [CrossRef]
- Romao, M.J. Molybdenum and tungsten enzymes: A crystallographic and mechanistic overview. Dalton Trans. 2009, 4053–4068. [Google Scholar] [CrossRef]
- Holm, R.H.; Solomon, E.I.; Majumdar, A.; Tenderholt, A. Comparative molecular chemistry of molybdenum and tungsten and its relation to hydroxylase and oxotransferase enzymes. Coord. Chem. Rev. 2011, 255, 993–1015. [Google Scholar] [CrossRef]
- Schulzke, C. Molybdenum and Tungsten Oxidoreductase Models. Eur. J. Inorg. Chem. 2011, 2011, 1189–1199. [Google Scholar] [CrossRef]
- Enemark, J.; Cooney, J.J.; Wang, J.J.; Holm, R.H. Synthetic Analogues and Reaction Systems Relevant to the Molybdenum and Tungsten Oxotransferases. Chem. Rev. 2004, 104, 1175–1200. [Google Scholar] [CrossRef]
- Holm, R.H. The biologcally relevant oxygen atom transfer chemistry of molybdenum: From synthetic analogue systems to enzymes. Coord. Chem. Rev. 1990, 100, 183–221. [Google Scholar] [CrossRef]
- Kaim, W.; Schwederski, B. Bioanorganische Chemie; Vieweg +Teubner Verlag: Wiesbaden, Germany, 2005; Volume XVIII, p. 460. [Google Scholar]
- Arumuganathan, T.; Volpe, M.; Harum, B.; Wurm, D.; Belaj, F.; Mosch-Zanetti, N.C. Unusual nonoctahedral geometry with molybdenum oxoimido complexes containing eta2-pyrazolate ligands. Inorg. Chem. 2012, 51, 150–156. [Google Scholar] [CrossRef] [PubMed]
- Volpe, M.; Mösch-Zanetti, N.C. Molybdenum(VI) Dioxo and Oxo-Imido Complexes of Fluorinated β-Ketiminato Ligands and Their Use in OAT Reactions. Inorg. Chem. 2012, 51, 1440–1449. [Google Scholar] [CrossRef] [PubMed]
- Ehweiner, M.A.; Wiedemaier, F.; Belaj, F.; Mösch-Zanetti, N.C. Oxygen Atom Transfer Reactivity of Molybdenum(VI) Complexes Employing Pyrimidine- and Pyridine-2-thiolate Ligands. Inorg. Chem. 2020, 59, 14577–14593. [Google Scholar] [CrossRef] [PubMed]
- Peschel, L.; Vidovic, C.; Belaj, F.; Neshchadin, D.; Mösch-Zanetti, N. Activation and Photoinduced Release of Alkynes on a Biomimetic Tungsten Center: The Photochemical Behavior of the W−S-Phoz System. Chem. Eur. J. 2019, 25, 3893–3902. [Google Scholar] [CrossRef] [PubMed]
- Leppin, J.; Förster, C.; Heinze, K. Molybdenum Complex with Bulky Chelates as a Functional Model for Molybdenum Oxidases. Inorg. Chem. 2014, 53, 12416–12427. [Google Scholar] [CrossRef]
- Hüttinger, K.; Förster, C.; Heinze, K. Intramolecular electron transfer between molybdenum and iron mimicking bacterial sulphite dehydrogenase. Chem. Commun. 2014, 50, 4285–4288. [Google Scholar] [CrossRef]
- Tran, B.L.; Arita, A.; Cooksy, A.L.; Carrano, C.J. Examination of oxygen atom transfer reactivity of heteroscorpionate dioxo-Mo(VI) complexes: Geometric isomers, solvent effect, intermediates, and catalytic oxidation. Inorg. Chim. Acta 2016, 447, 45–51. [Google Scholar] [CrossRef]
- Ma, X.; Schulzke, C. Molybdenum and tungsten complexes of bis (phenolate) ligands, O, X, O (X = S or Se): Synthesis, characterization and catalytic oxygen atom transfer properties. Inorg. Chim. Acta 2013, 395, 218–224. [Google Scholar] [CrossRef]
- Arumuganathan, T.; Mayilmurugan, R.; Volpe, M.; Mosch-Zanetti, N.C. Faster oxygen atom transfer catalysis with a tungsten dioxo complex than with its molybdenum analog. Dalton Trans. 2011, 40, 7850–7857. [Google Scholar] [CrossRef]
- Mayilmurugan, R.; Harum, B.N.; Volpe, M.; Sax, A.F.; Palaniandavar, M.; Mosch-Zanetti, N.C. Mechanistic insight into the reactivity of oxotransferases by novel asymmetric dioxomolybdenum(VI) model complexes. Chem. Eur. J. 2011, 17, 704–713. [Google Scholar] [CrossRef]
- Schindler, T.; Sauer, A.; Spaniol, T.P.; Okuda, J. Oxygen Atom Transfer Reactions with Molybdenum Cofactor Model Complexes That Contain a Tetradentate OSSO-Type Bis(phenolato) Ligand. Organometallics 2018, 37, 4336–4340. [Google Scholar] [CrossRef]
- Maurya, M.R.; Uprety, B.; Avecilla, F. Dioxidomolybdenum(VI) Complexes of Tripodal Tetradentate Ligands for Catalytic Oxygen Atom Transfer between Benzoin and Dimethyl Sulfoxide and for Oxidation of Pyrogallol. Eur. J. Inorg. Chem. 2016, 2016, 4802–4813. [Google Scholar] [CrossRef]
- Schachner, J.A.; Terfassa, B.; Peschel, L.M.; Zwettler, N.; Belaj, F.; Cias, P.; Gescheidt, G.; Mosch-Zanetti, N.C. Oxorhenium(V) complexes with phenolate-oxazoline ligands: Influence of the isomeric form on the O-atom-transfer reactivity. Inorg. Chem. 2014, 53, 12918–12928. [Google Scholar] [CrossRef]
- Zwettler, N.; Schachner, J.A.; Belaj, F.; Mösch-Zanetti, N.C. Oxidorhenium(V) Complexes with Tetradentate Iminophenolate Ligands: Influence of Ligand Flexibility on the Coordination Motif and Oxygen-Atom-Transfer Activity. Inorg. Chem. 2016, 55, 5973–5982. [Google Scholar] [CrossRef] [PubMed]
- Chrysochos, N.; Ahmadi, M.; Wahlefeld, S.; Rippers, Y.; Zebger, I.; Mroginski, M.A.; Schulzke, C. Comparison of molybdenum and rhenium oxo bis-pyrazine-dithiolene complexes–in search of an alternative metal centre for molybdenum cofactor models. Dalton Trans. 2019, 48, 2701–2714. [Google Scholar] [CrossRef] [PubMed]
- Lohrey, T.D.; Bergman, R.G.; Arnold, J. Oxygen Atom Transfer and Intramolecular Nitrene Transfer in a Rhenium β-Diketiminate Complex. Inorg. Chem. 2016, 55, 11993–12000. [Google Scholar] [CrossRef] [PubMed]
- Lohrey, T.D.; Cortes, E.A.; Fostvedt, J.I.; Oanta, A.K.; Jain, A.; Bergman, R.G.; Arnold, J. Diverse Reactivity of a Rhenium(V) Oxo Imido Complex: [2 + 2] Cycloadditions, Chalcogen Metathesis, Oxygen Atom Transfer, and Protic and Hydridic 1,2-Additions. Inorg. Chem. 2020, 59, 11096–11107. [Google Scholar] [CrossRef] [PubMed]
- Moula, G.; Bose, M.; Sarkar, S. Replica of a fishy enzyme: Structure–function analogue of trimethylamine-N-oxide reductase. Inorg. Chem. 2013, 52, 5316–5327. [Google Scholar] [CrossRef]
- Ghosh, A.C.; Samuel, P.P.; Schulzke, C. Synthesis, characterization and oxygen atom transfer reactivity of a pair of Mo (iv) O-and Mo (vi) O 2-enedithiolate complexes–a look at both ends of the catalytic transformation. Dalton Trans. 2017, 46, 7523–7533. [Google Scholar] [CrossRef]
- Ahmadi, M.; Fischer, C.; Ghosh, A.C.; Schulzke, C. An Asymmetrically Substituted Aliphatic Bis-Dithiolene Mono-Oxido Molybdenum(IV) Complex With Ester and Alcohol Functions as Structural and Functional Active Site Model of Molybdoenzymes. Front. Chem. 2019, 7, 486. [Google Scholar] [CrossRef]
- Sugimoto, H.; Sato, M.; Asano, K.; Suzuki, T.; Ogura, T.; Itoh, S. Oxido-alcoholato/thiolato-molybdenum(VI) complexes with a dithiolene ligand generated by oxygen atom transfer to the molybdenum(IV) complexes. Inorg. Chim. Acta 2019, 485, 42–48. [Google Scholar] [CrossRef]
- Dille, S.A.; Colston, K.J.; Mogesa, B.; Cassell, J.; Perera, E.; Zeller, M.; Basu, P. The Impact of Ligand Oxidation State and Fold Angle on the Charge Transfer Processes of Mo IV O-Dithione Complexes. Eur. J. Inorg. Chem. 2021, 2021, 914–922. [Google Scholar] [CrossRef]
- Elvers, B.J.; Schulzke, C.; Fischer, C. Photochemical Unmasking of 1,3-Dithiol-2-ones: An Alternative Route to Heteroleptic Dithiolene Complexes from Low-Valent Molybdenum and Tungsten Precursors. Eur. J. Inorg. Chem. 2019, 2019, 2796–2805. [Google Scholar] [CrossRef]
- Elvers, B.J.; Krewald, V.; Schulzke, C.; Fischer, C. Reduction induced S-nucleophilicity in mono-dithiolene molybdenum complexes–in situ generation of sulfonium ligands. Chem. Commun. 2021, 57, 12615–12618. [Google Scholar] [CrossRef] [PubMed]
- Holm, R.H. Metal-centered oxygen atom transfer reactions. Chem. Rev. 1987, 87, 1401–1449. [Google Scholar] [CrossRef]
- Fischer, C.; Fischer, L. Comparitive Kinetics of Enzymes and Models. In Molybdenum and Tungsten Enzymes: Bioinorganic Chemistry; Hille, R., Schulzke, C., Kirk, M.L., Eds.; The Royal Chemistry Society: Cambridge, UK, 2016. [Google Scholar]
- Hille, R.; Schulzke, C.; Kirk, M.L. (Eds.) Molybdenum and Tungsten Enzymes: Bioinorganic Chemistry; The Royal Chemistry Society: Cambridge, UK, 2016. [Google Scholar]
- Garton, S.D.; Hilton, J.; Oku, H.; Crouse, B.R.; Rajagopalan, K.V.; Johnson, M.K. Active Site Structures and Catalytic Mechanism of Rhodobacter sphaeroides Dimethyl Sulfoxide Reductase as Revealed by Resonance Raman Spectroscopy. J. Am. Chem. Soc. 1997, 119, 12906–12916. [Google Scholar] [CrossRef]
- Webster, C.E.; Hall, M.B. The Theoretical Transition State Structure of a Model Complex Bears a Striking Resemblance to the Active Site Structure of DMSO Reductase. J. Am. Chem. Soc. 2001, 123, 5820–5821. [Google Scholar] [CrossRef]
- Schindelin, H.; Kisker, C.; Hilton, J.; Rajagopalan, K.V.; Rees, D.C. Crystal Structure of DMSO Reductase: Redox-Linked Changes in Molybdopterin Coordination. Science 1996, 272, 1615–1621. [Google Scholar] [CrossRef]
- Hilton, J.; Rajagopalan, K.V. Identification of the Molybdenum Cofactor of Dimethyl Sulfoxide Reductase fromRhodobacter sphaeroidesf. sp.denitrificansas Bis(molybdopterin guanine dinucleotide)molybdenum. Arch. Biochem. Biophys. 1996, 325, 139–143. [Google Scholar] [CrossRef]
- Ha, Y.; Tenderholt, A.L.; Holm, R.H.; Hedman, B.; Hodgson, K.O.; Solomon, E.I. Sulfur K-edge X-ray Absorption Spectroscopy and Density Functional Theory Calculations on Monooxo MoIV and Bisoxo MoVI Bis-dithiolenes: Insights into the Mechanism of Oxo Transfer in Sulfite Oxidase and Its Relation to the Mechanism of DMSO Reductase. J. Am. Chem. Soc. 2014, 136, 9094–9105. [Google Scholar] [CrossRef]
- Sugimoto, H.; Sato, M.; Asano, K.; Suzuki, T.; Mieda, K.; Ogura, T.; Matsumoto, T.; Giles, L.J.; Pokhrel, A.; Kirk, M.L.; et al. A Model for the Active-Site Formation Process in DMSO Reductase Family Molybdenum Enzymes Involving Oxido−Alcoholato and Oxido−Thiolato Molybdenum(VI) Core Structures. Inorg. Chem. 2016, 55, 1542–1550. [Google Scholar] [CrossRef] [PubMed]
- Sugimoto, H.; Hatakeda, K.; Toyota, K.; Tatemoto, S.; Kubo, M.; Ogura, T.; Itoh, S. A new series of bis(ene-1,2-dithiolato)tungsten(IV), -(V), -(VI) complexes as reaction centre models of tungsten enzymes: Preparation, crystal structures and spectroscopic properties. Dalton Trans. 2013, 42, 3059–3070. [Google Scholar] [CrossRef] [PubMed]
- Sugimoto, H.; Sato, M.; Giles, L.J.; Asano, K.; Suzuki, T.; Kirk, M.L.; Itoh, S. Oxo-carboxylato-molybdenum(vi) complexes possessing dithiolene ligands related to the active site of type II DMSOR family molybdoenzymes. Dalton Trans. 2013, 42, 15927–15930. [Google Scholar] [CrossRef] [PubMed][Green Version]
- Sugimoto, H.; Tano, H.; Miyake, H.; Itoh, S. Generation of bis(dithiolene)dioxomolybdenum(VI) complexes from bis(dithiolene)monooxomolybdenum(IV) complexes by proton-coupled electron transfer in aqueous media. Dalton Trans. 2011, 40, 2358–2365. [Google Scholar] [CrossRef] [PubMed]
- Sugimoto, H.; Tano, H.; Suyama, K.; Kobayashi, T.; Miyake, H.; Itoh, S.; Mtei, R.P.; Kirk, M.L. Chalcogenidobis(ene-1,2-dithiolate)molybdenum(IV) complexes (chalcogenide E = O, S, Se): Probing Mo identical withE and ene-1,2-dithiolate substituent effects on geometric and electronic structure. Dalton Trans. 2011, 40, 1119–1131. [Google Scholar] [CrossRef] [PubMed]
- Sugimoto, H.; Tatemoto, S.; Toyota, K.; Ashikari, K.; Kubo, M.; Ogura, T.; Itoh, S. Oxo-sulfido- and oxo-selenido-molybdenum(vi) complexes possessing a dithiolene ligand related to the active sites of hydroxylases of molybdoenzymes: Low temperature preparation and characterisation. Chem. Commun. 2013, 49, 4358–4360. [Google Scholar] [CrossRef]
- Hasenaka, Y.; Okamura, T.-a.; Onitsuka, K. Efficient uptake of dimethyl sulfoxide by the desoxomolybdenum(iv) dithiolate complex containing bulky hydrophobic groups. Dalton Trans. 2015, 44, 6260–6267. [Google Scholar] [CrossRef]
- Okamura, T.-a.; Ushijima, Y.; Omi, Y.; Onitsuka, K. Systematic Investigation of Relationship between Strength of NH···S Hydrogen Bond and Reactivity of Molybdoenzyme Models. Inorg. Chem. 2012, 52, 381–394. [Google Scholar] [CrossRef]
- Baba, K.; Okamura, T.; Suzuki, C.; Yamamoto, H.; Yamamoto, T.; Ohama, M.; Ueyama, N. O-Atom-Transfer Oxidation of [Molybdenum(IV) Oxo{3,6-(acylamino) 2 -1,2-benzenedithiolato}2] 2- Promoted by Intramolecular NH‚‚‚S Hydrogen Bonds. Inorg. Chem. 2006, 45, 894–901. [Google Scholar] [CrossRef]
- Swenson, D.; Baenziger, N.C.; Coucouvanis, D. Tetrahedral mercaptide complexes. Crystal and molecular structures of [(C6H5)4P]2M(SC6H5)4 complexes (M = cadmium(II), zinc(II), nickel(II), cobalt(II), and manganese(II)). J. Am. Chem. Soc. 1978, 100, 1932–1934. [Google Scholar] [CrossRef]
- Okamura, T.; Takamizawa, S.; Ueyama, N.; Nakamura, A. Novel Rubredoxin Model Tetrathiolato Iron(II) and Cobalt(II) Complexes Containing Intramolecular Single and Double NH···S Hydrogen Bonds. Inorg. Chem. 1998, 37, 18–28. [Google Scholar] [CrossRef] [PubMed]
- Garner, C.D.; Nicholson, J.R.; Clegg, W. Preparation, crystal structure, and spectroscopic characterization of [NEt4]2[Cu(SPh)3]. Inorg. Chem. 1984, 23, 2148–2150. [Google Scholar] [CrossRef]
- Okamura, T.; Ueyama, N.; Nakamura, A.; Ainscough, E.W.; Brodie, A.M.; Waters, J.M. The effect of strong NH...S hydrogen bonds in the copper(I) thiolate complex,(NEt4)2[Cu(o-pabt)3](o-pabt =o-pivaloylaminobenzenethiolato). J. Chem. Soc. Chem. Commun. 1993, 1658–1660. [Google Scholar] [CrossRef]
- Boyde, S.; Ellis, S.R.; Garner, C.D.; Clegg, W. Structural Comparison of Oxobis(benzene-l,2-dithiolato)molybdenum-(v) and -(Iv) Complexes. J. Chem. Soc. Chem. Commun. 1986, 1541–1543. [Google Scholar] [CrossRef]
- Baba, K.; Okamura, T.; Yamamoto, H.; Yamamoto, T.; Ohama, M.; Ueyama, N. Dioxotungsten 1,2-Benzenedithiolate Complex Stabilized by NH--S Hydrogen Bonds. Inorg. Chem. 2006, 45, 8365–8371. [Google Scholar] [CrossRef] [PubMed]
- Okamura, T.A.; Tatsumi, M.; Omi, Y.; Yamamoto, H.; Onitsuka, K. Selective and effective stabilization of Mo(VI) horizontal lineO bonds by NH...S hydrogen bonds via trans influence. Inorg. Chem. 2012, 51, 11688–11697. [Google Scholar] [CrossRef]
- Moura, J.J.G.; Brondino, C.D.; Trincao, J.; Romao, M.J. Mo and W bis-MGD enzymes: Nitrate reductases and formate dehydrogenases. J. Biol. Inorg. Chem. 2004, 9, 791–799. [Google Scholar] [CrossRef]
- Campbell, W.H. Nitrate Rreductase Structure, Function and Regulation: Bridging the Gap between Biochemistry and Physiology. Annu. Rev. Plant Physiol. Plant Mol. Biol. 1999, 50, 277–303. [Google Scholar] [CrossRef]
- Wang, J.J.; Tessier, C.; Holm, R.H. Analogue Reaction Systems of Selenate Reductase. Inorg. Chem. 2006, 45, 2979–2988. [Google Scholar] [CrossRef]
- Lim, B.S.; Donahue, J.P.; Holm, R.H. Synthesis and Structures of Bis(dithiolene)molybdenum Complexes Related to the Active Sites of the DMSO Reductase Enzyme Family. Inorg. Chem. 2000, 39, 263–273. [Google Scholar] [CrossRef]
- Lim, B.S.; Sung, K.-M.; Holm, R.H. Structural and Functional Bis(dithiolene)-Molybdenum/Tungsten Active Site Analogues of the Dimethylsulfoxide Reductase Enzyme Family. J. Am. Chem. Soc. 2000, 122, 7410–7411. [Google Scholar] [CrossRef]
- Lim, B.S.; Holm, R.H. Bis(Dithiolene)molybdenum Analogues Relevant to the DMSO Reductase Enzyme Family: Synthesis, Structures, and Oxygen Atom Transfer Reactions and Kinetics. J. Am. Chem. Soc. 2001, 123, 1920–1930. [Google Scholar] [CrossRef] [PubMed]
- Wang, J.J.; Kryatova, O.P.; Rybak-Akimova, E.V.; Holm, R.H. Comparative Kinetics and Mechanism of Oxygen and Sulfur Atom Transfer Reactions Mediated by Bis(dithiolene) Complexes of Molybdenum and Tungsten. Inorg. Chem. 2004, 43, 8092–8101. [Google Scholar] [CrossRef] [PubMed]
- Xiao, Z.; Bruck, M.A.; Enemark, J.; Young, C.G.; Wedd, A.G. A Catalytic Cycle Related to Molybdenum Enzymes Containing [Mo VI O2 ]2+ Oxidized Active Sites. Inorg. Chem. 1996, 35, 7508–7515. [Google Scholar] [CrossRef]
- Seo, J.; Shearer, J.; Williard, P.G.; Kim, E. Reactivity of a biomimetic W (iv) bis-dithiolene complex with CO2 leading to formate production and structural rearrangement. Dalton Trans. 2019, 48, 17441–17444. [Google Scholar] [CrossRef]
- Klimmek, O.; Kreis, V.; Klein, C.; Simon, J.; Wittershagen, A.; Kröger, A. The function of the periplasmic Sud protein in polysulfide respiration of Wolinella succinogenes. Eur. J. Biochem. 1998, 253, 263–269. [Google Scholar] [CrossRef]
- Dietrich, W.; Klimmek, O. The function of methyl-menaquinone-6 and polysulfide reductase membrane anchor (PsrC) in polysulfide respiration of Wolinella succinogenes. Eur. J. Biochem. 2002, 269, 1086–1095. [Google Scholar] [CrossRef]
- Nagarajan, K.; Joshi, H.K.; Chaudhury, P.K.; Pal, K.; Cooney, J.J.; Enemark, J.; Sarkar, S. Structural and Functional Analogue of the Active Site of Polysulfide Reductase from Wolinella succinogenes. Inorg. Chem. 2004, 43, 4532–4533. [Google Scholar] [CrossRef]
- Sugimoto, H.; Tajima, R.; Sakurai, T.; Ohi, H.; Miyake, H.; Itoh, S.; Tsukube, H. Reversible sulfurization-desulfurization of tungsten bis(dithiolene) complexes. Angew. Chem. Int. Ed. 2006, 45, 3520–3522. [Google Scholar] [CrossRef]
- Sugimoto, H.; Tano, H.; Toyota, K.; Tajima, R.; Miyake, H.; Takahashi, I.; Hirota, S.; Itoh, S. Reduction of Bis(dithiolene)oxo(disulfido)tungsten(VI) Complex with Dihydrogen Related to the Chemical Function of the Fourth Tungsten-Containing Enzyme (WOR4) from Pyrococcus furiosus. J. Am. Chem. Soc. 2010, 132, 8–9. [Google Scholar] [CrossRef]
- Dobbek, H.; Gremer, L.; Kiefersauer, R.; Huber, R.; Meyer, O. Catalysis at a dinuclear [CuSMo(AO)OH] cluster in aCO dehydrogenase resolved at 1.1-Å resolution. Proc. Natl. Acad. Sci. USA 2002, 99, 15971–15976. [Google Scholar] [CrossRef] [PubMed]
- Fogeron, T.; Retailleau, P.; Chamoreau, L.M.; Li, Y.; Fontecave, M. Pyranopterin Related Dithiolene Molybdenum Complexes as Homogeneous Catalysts for CO2 Photoreduction. Angew. Chem. Int. Ed. 2018, 57, 17033–17037. [Google Scholar] [CrossRef] [PubMed]
- Fogeron, T.; Retailleau, P.; Chamoreau, L.-M.; Fontecave, M.; Li, Y. The unusual ring scission of a quinoxaline-pyran-fused dithiolene system related to molybdopterin. Dalton Trans. 2017, 46, 4161–4164. [Google Scholar] [CrossRef] [PubMed]
- Porcher, J.-P.; Fogeron, T.; Gomez-Mingot, M.; Derat, E.; Chamoreau, L.-M.; Li, Y.; Fontecave, M. A Bioinspired Molybdenum Complex as a Catalyst for the Photo- and Electroreduction of Protons. Angew. Chem. Int. Ed. 2015, 54, 14090–14093. [Google Scholar] [CrossRef] [PubMed]
- Fogeron, T.; Retailleau, P.; Gomez-Mingot, M.; Li, Y.; Fontecave, M. Nickel Complexes Based on Molybdopterin-like Dithiolenes: Catalysts for CO2 Electroreduction. Organometallics 2018, 38, 1344–1350. [Google Scholar] [CrossRef]
- Fogeron, T.; Todorova, T.K.; Porcher, J.-P.; Gomez-Mingot, M.; Chamoreau, L.-M.; Mellot-Draznieks, C.; Li, Y.; Fontecave, M. A Bioinspired Nickel(bis-dithiolene) Complex as a Homogeneous Catalyst for Carbon Dioxide Electroreduction. ACS Catal. 2018, 8, 2030–2038. [Google Scholar] [CrossRef]
- Bradshaw, B.; Dinsmore, A.; Garner, C.D.; Joule, J.A. Synthesis of a cobalt complex of a pyrano[2,3-b]quinoxaline-3,4-dithiolate related to molybdopterin. Chem. Commun. 1998, 417–418. [Google Scholar] [CrossRef]
- Bradshaw, B.; Collison, D.; Garner, C.D.; Joule, J.A. Stable pyrano[2,3-b]quinoxalines and pyrano[2,3-g]pteridines related to molybdopterin. Chem. Commun. 2001, 123–124. [Google Scholar] [CrossRef]
- Bradshaw, B.; Dinsmore, A.; Ajana, W.; Collison, D.; Garner, C.D.; Joule, J.A. Synthesis of the organic ligand of the molybdenum cofactor, in protected form. J. Chem. Soc. Perkin Trans. 1 2001, 3239–3244. [Google Scholar] [CrossRef]
- Mouchfiq, A.; Todorova, T.K.; Dey, S.; Fontecave, M.; Mougel, V. A bioinspired molybdenum–copper molecular catalyst for CO2 electroreduction. Chem. Sci. 2020, 11, 5503–5510. [Google Scholar] [CrossRef]
- Appel, A.M.; Bercaw, J.E.; Bocarsly, A.B.; Dobbek, H.; DuBois, D.L.; Dupuis, M.; Ferry, J.G.; Fujita, E.; Hille, R.; Kenis, P.J.A.; et al. Frontiers, Opportunities, and Challenges in Biochemical and Chemical Catalysis of CO2 Fixation. Chem. Rev. 2013, 113, 6621–6658. [Google Scholar] [CrossRef] [PubMed]
- Takuma, M.; Ohki, Y.; Tatsumi, K. Sulfido-Bridged Dinuclear Molybdenum−Copper Complexes Related to the Active Site of CO Dehydrogenase: [(dithiolate)Mo(O)S2 Cu(SAr)]2− (dithiolate) 1,2-S2C6H4, 1,2-S2C6H2-3,6-Cl2, 1,2-S2C2H4). Inorg. Chem. 2005, 44, 6034–6043. [Google Scholar] [CrossRef] [PubMed]
- Groysman, S.; Majumdar, A.; Zheng, S.-L.; Holm, R.H. Reactions of Monodithiolene Tungsten(VI) Sulfido Complexes with Copper(I) in Relation to the Structure of the Active Site of Carbon Monoxide Dehydrogenase. Inorg. Chem. 2010, 49, 1082–1089. [Google Scholar] [CrossRef] [PubMed]
- Gourlay, C.; Nielsen, D.J.; White, J.M.; Knottenbelt, S.Z.; Kirk, M.L.; Young, C.G. Paramagnetic Active Site Models for the Molybdenum-Copper Carbon Monoxide Dehydrogenase. J. Am. Chem. Soc. 2006, 128, 2164–2165. [Google Scholar] [CrossRef]
- Gourlay, C.; Nielsen, D.J.; Evans, D.J.; White, J.M.; Young, C.G. Models for aerobic carbon monoxide dehydrogenase: Synthesis, characterization and reactivity of paramagnetic Mo(V)O(mu-S)Cu(I) complexes. Chem. Sci 2018, 9, 876–888. [Google Scholar] [CrossRef]
- Hollingsworth, T.S.; Hollingsworth, R.L.; Lord, R.L.; Groysman, S. Cooperative bimetallic reactivity of a heterodinuclear molybdenum-copper model of Mo-Cu CODH. Dalton Trans. 2018, 47, 10017–10024. [Google Scholar] [CrossRef]
- Dupé, A.; Hossain, K.; Schachner, J.A.; Belaj, F.; Lehtonen, A.; Nordlander, E.; Mösch-Zanetti, N.C. Dioxomolybdenum(VI) and -tungsten(VI) Complexes with Multidentate Aminobisphenol Ligands as Catalysts for Olefin Epoxidation. Eur. J. Inorg. Chem. 2015, 2015, 3572–3579. [Google Scholar] [CrossRef]
- Dupé, A.; Judmaier, M.E.; Belaj, F.; Zangger, K.; Mösch-Zanetti, N.C. Activation of molecular oxygen by a molybdenum complex for catalytic oxidation. Dalton Trans. 2015, 44, 20514–20522. [Google Scholar] [CrossRef]
- Zwettler, N.; Ehweiner, M.A.; Schachner, J.A.; Dupé, A.; Belaj, F.; Mösch-Zanetti, N.C. Dioxygen Activation with Molybdenum Complexes Bearing Amide-Functionalized Iminophenolate Ligands. Molecules 2019, 24, 1814. [Google Scholar] [CrossRef]
- Schachner, J.A.; Belaj, F.; Mösch-Zanetti, N.C. Isomers in chlorido and alkoxido-substituted oxidorhenium(V) complexes: Effects on catalytic epoxidation activity. Dalton Trans. 2020, 49, 11142–11149. [Google Scholar] [CrossRef]
- Majumder, S.; Pasayat, S.; Roy, S.; Dash, S.P.; Dhaka, S.; Maurya, M.R.; Reichelt, M.; Reuter, H.; Brzezinski, K.; Dinda, R. Dioxidomolybdenum(VI) complexes bearing sterically constrained aroylazine ligands: Synthesis, structural investigation and catalytic evaluation. Inorg. Chim. Acta 2018, 469, 366–378. [Google Scholar] [CrossRef]
- Maurya, M.R.; Dhaka, S.; Avecilla, F. Synthesis, characterization and catalytic activity of dioxidomolybdenum(VI) complexes of tribasic pentadentate ligands. Polyhedron 2014, 67, 145–159. [Google Scholar] [CrossRef]
- Moradi-Shoeili, Z.; Boghaei, D.M.; Amini, M.; Bagherzadeh, M.; Notash, B. New molybdenum(VI) complex with ONS-donor thiosemicarbazone ligand: Preparation, structural characterization, and catalytic applications in olefin epoxidation. Inorg. Chem. Commun. 2013, 27, 26–30. [Google Scholar] [CrossRef]
- Trofimenko, S. Boron-Pyrazole Chemistry. II. Poly(1-pyrazolyl)borates. J. Am. Chem. Soc. 1967, 89, 3170–3177. [Google Scholar] [CrossRef]
- Trofimenko, S. Transition Metal Poly(l-pyrazolyl)borates Containing Other Ligands. J. Am. Chem. Soc. 1967, 89, 3904–3905. [Google Scholar] [CrossRef]
- Trofimenko, S. Boron-pyrazole chemistry. IV. Carbon- and boron-substituted poly[(1-pyrazolyl) borates]. J. Am. Chem. Soc. 1967, 89, 6288–6294. [Google Scholar] [CrossRef]
- Trofimenko, S. Transition Metal Polypyrazolylborates Containing Other Ligands. J. Am. Chem. Soc. 1969, 91, 588–595. [Google Scholar] [CrossRef]
- Trofimenko, S.; Calabrese, J.C.; Domaille, P.J.; Thompson, J.S. Steric Effects in Polypyrazolylborate Ligands. Poly(3-isopropylpyrazolyl)borates: Ligands of Intermediate Steric Requirements. Inorg. Chem. 1989, 28, 1091–1101. [Google Scholar] [CrossRef]
- Young, C.G. Scorpionate Complexes as Models for Molybdenum Enzymes. Eur. J. Inorg. Chem. 2016, 2016, 2357–2376. [Google Scholar] [CrossRef]
- Xiao, Z.; Young, C.G.; Enemark, J.; Wedd, A.G. A Single Model Displaying All the Important Centers and Processes Involved in Catalysis by Molybdoenzymes Containing [MoVI02]2+ Active Sites. J. Am. Chem. Soc. 1992, 114, 9194–9195. [Google Scholar] [CrossRef]
- Paul, T.; Rodehutskors, P.M.; Schmidt, J.; Burzlaff, N. Oxygen Atom Transfer Catalysis with Homogenous and Polymer-Supported N,N- and N,N,O-Heteroscorpionate Dioxidomolybdenum(VI) Complexes. Eur. J. Inorg. Chem. 2016, 2016, 2595–2602. [Google Scholar] [CrossRef]
- Maurya, M.R. Catalytic Applications of Polymer-Supported Molybdenum Complexes in Organic Transformations. Curr. Org. Chem. 2012, 16, 73–88. [Google Scholar] [CrossRef]
- Heinze, K.; Fischer, A. Polymer-Supported Dioxido-MoVI Complexes as Truly Functional Molybdenum Oxotransferase Model Systems. Eur. J. Inorg. Chem. 2007, 2007, 1020–1026. [Google Scholar] [CrossRef]
- Emmanuel, O.; Orio, M.; Giorgi, M.; Réglier, M.; Iranzo, O.; Hardré, R. An Air-Stable Molybdenum-Based Precatalyst in Oxygen-Atom Transfer Reactions. Eur. J. Inorg. Chem. 2018, 2018, 1427–1434. [Google Scholar] [CrossRef]
- Schachner, J.A.; Wiedemaier, F.; Zwettler, N.; Peschel, L.M.; Boese, A.D.; Belaj, F.; Mösch-Zanetti, N.C. Catalytic reduction of nitrate by an oxidorhenium (V) complex. J. Catal. 2021, 397, 108–115. [Google Scholar] [CrossRef]
- Harlan, E.W.; Berg, J.M.; Holm, R.H. Thermodynamic Fitness of Molybdenum(IV,VI) Complexes for Oxygen Atom Transfer Reactions, Including Those with Enzymatic Substrates. J. Am. Chem. Soc. 1986, 108, 6992–7000. [Google Scholar] [CrossRef]
- Yu, S.-b.; Holm, R.H. Aspects of the Oxygen Atom Transfer Chemistry of Tungsten. Inorg. Chem. 1989, 28, 4385–4391. [Google Scholar] [CrossRef]
- Lee, S.; Staley, D.; Rheingold, A.L.; Cooper, N.J. Evidence for Photodisproportionation of d’-d1 Dimers [(MO{S2CN(CH2Ph)2}2)20] (M = molybdenum, tungsten) Containing Linear Oxo Bridges and for Oxygen Atom Transfer from [W02{S2CN(CH2Ph)2}2] to PEt3. Inorg. Chem. 1990, 29, 4391–4396. [Google Scholar] [CrossRef]
- Eagle, A.A.; Tiekink, E.R.; Young, C.G. Dioxotungsten(VI) Complexes of Hydrotris(3,5-dimethylpyrazol-1-yl)borate Including the X-ray Crystal Structure of the Tungsten Selenophenolate Complex cis-{HB(Me2C3N2H)3}WO2 (SePh). Inorg. Chem. 1997, 36, 6315–6322. [Google Scholar] [CrossRef]
- Kaul, B.B.; Enemark, J.; Merbs, S.L.; Spence, J.T. Molybdenum(VI)-Dioxo, Molybdenum(V)-Oxo, and Molybdenum(IV)-Oxo Complexes with 2,3:8,9-Dibenzo-l,4,7,10-tetrathiadecane. Models for the Molybdenum Binding Site of the Molybdenum Cofactor. J. Am. Chem. Soc. 1985, 107, 2885–2891. [Google Scholar] [CrossRef]
- Sauer, A.; Kapelski, A.; Fliedel, C.; Dagorne, S.; Kol, M.; Okuda, J. Structurally well-defined group 4 metal complexes as initiators for the ring-opening polymerization of lactide monomers. Dalton Trans. 2013, 42, 9007–9023. [Google Scholar] [CrossRef] [PubMed]
- Sousa, S.C.A.; Fernandes, A.C. Efficient deoxygenation methodologies catalyzed by oxo-molybdenum and oxo-rhenium complexes. Coord. Chem. Rev. 2015, 284, 67–92. [Google Scholar] [CrossRef]
- Wong, Y.-L.; Yan, Y.; Chan, E.S.H.; Yang, Q.; Mak, T.C.W.; Ng, K.P. cis-Dioxo-tungsten(VI) and -molybdenum(VI) complexes with N2O2 tetradentate ligands: Synthesis, structure, electrochemistry and oxo-transfer properties. J. Chem. Soc. Dalton Trans. 1998, 3057–3064. [Google Scholar] [CrossRef]
- Wong, Y.-L.; Yang, Q.; Zhou, Z.-Y.; Lee, H.K.; Mak, T.C.W.; Ng, K.P. Synthesis, structure and oxo-transfer properties of dioxotungsten(VI) complexes with pyridine-based NO- and NS-bidentate ligands. New J. Chem. 2001, 25, 353–357. [Google Scholar] [CrossRef]
- Lehtonen, A.; Sillanpää, R. Dioxomolybdenum(VI) complexes with tri- and tetradentate aminobis(phenolate)s. Polyhedron 2005, 24, 257–265. [Google Scholar] [CrossRef]
- Maurya, M.R.; Mengesha, B.; Uprety, B.; Jangra, N.; Tomar, R.; Avecilla, F. Oxygen atom transfer between DMSO and benzoin catalyzed by cis-dioxidomolybdenum(VI) complexes of tetradentate Mannich bases. New J. Chem. 2018, 42, 6225–6235. [Google Scholar] [CrossRef]
- Hille, R. The molybdenum oxotransferases and related enzymes. Dalton Trans. 2013, 42, 3029–3042. [Google Scholar] [CrossRef]
- Sun, S.-Q.; Chen, S.-L. How does Mo-dependent perchlorate reductase work in the decomposition of oxyanions? Dalton Trans. 2019, 48, 5683–5691. [Google Scholar] [CrossRef]
- Lehnert, N.; Musselmann, B.W.; Seefeldt, L.C. Grand challenges in the nitrogen cycle. Chem. Soc. Rev. 2021, 50, 3640–3646. [Google Scholar] [CrossRef]
- Kraft, B.; Strous, M.; Tegetmeyer, H.E. Microbial nitrate respiration–Genes, enzymes and environmental distribution. J. Biotechnol. 2011, 155, 104–117. [Google Scholar] [CrossRef]
- Averill, B.A. Dissimilatory Nitrite and Nitric Oxide Reductases. Chem. Rev. 1996, 96, 2951–2964. [Google Scholar] [CrossRef] [PubMed]
- Motzer, W.E. Perchlorate: Problems, Detection, and Solutions. Environ. Forensics 2001, 2, 301–311. [Google Scholar] [CrossRef]
- Srinivasan, A.; Viraraghavan, T. Perchlorate: Health Effects and Technologies for Its Removal from Water Resources. Int. J. Environ. Res. Public Health 2009, 6, 1418–1442. [Google Scholar] [CrossRef] [PubMed]
- Gulis, G.; Czompolyova, M.; Cerhan, J.R. An Ecologic Study of Nitrate in Municipal Drinking Water and Cancer Incidence in Trnava District, Slovakia. Environ. Res. 2002, 88, 182–187. [Google Scholar] [CrossRef]
- Ward, M.H.; Kilfoy, B.A.; Weyer, P.J.; Anderson, K.E.; Folsom, A.R.; Cerhan, J.R. Nitrate Intake and the Risk of Thyroid Cancer and Thyroid Disease. Epidemiology 2010, 21, 389–395. [Google Scholar] [CrossRef]
- Abu-Omar, M.M.; McPherson, L.D.; Arias, J.; Béreau, V.M. Clean and Efficient Catalytic Reduction of Perchlorate. Angew. Chem. Int. Ed. 2000, 112, 4480–4483. [Google Scholar] [CrossRef]
- Abu-Omar, M.M.; Appelman, E.H.; Espenson, J.H. Oxygen-Transfer Reactions of Methylrhenium Oxides. Inorg. Chem. 1996, 35, 7751–7757. [Google Scholar] [CrossRef]
- Ford, C.L.; Park, Y.J.; Matson, E.M.; Gordon, Z.; Fout, A.R. A bioinspired iron catalyst for nitrate and perchlorate reduction. Science 2016, 354, 741–743. [Google Scholar] [CrossRef]
- Drummond, M.J.; Miller, T.J.; Ford, C.L.; Fout, A.R. Catalytic Perchlorate Reduction Using Iron: Mechanistic Insights and Improved Catalyst Turnover. ACS Catal. 2020, 10, 3175–3182. [Google Scholar] [CrossRef]
- Elrod, L.T.; Kim, E. Lewis Acid Assisted Nitrate Reduction with Biomimetic Molybdenum Oxotransferase Complex. Inorg. Chem. 2018, 57, 2594–2602. [Google Scholar] [CrossRef]
- Ehweiner, M.A.; Wiedemaier, F.; Lajin, B.; Schachner, J.A.; Belaj, F.; Goessler, W.; Mösch-Zanetti, N.C. Nature-Inspired Homogeneous Catalytic Perchlorate Reduction Using Molybdenum Complexes. ACS Catal. 2021, 11, 11754–11761. [Google Scholar] [CrossRef]
- Ren, C.; Yang, P.; Gao, J.; Huo, X.; Min, X.; Bi, E.Y.; Liu, Y.; Wang, Y.; Zhu, M.; Liu, J. Catalytic Reduction of Aqueous Chlorate With MoOx Immobilized on Pd/C. ACS Catal. 2020, 10, 8201–8211. [Google Scholar] [CrossRef]
- Ren, C.; Yang, P.; Sun, J.; Bi, E.Y.; Gao, J.; Palmer, J.; Zhu, M.; Wu, Y.; Liu, J. A Bioinspired Molybdenum Catalyst for Aqueous Perchlorate Reduction. J. Am. Chem. Soc. 2021, 143, 7891–7896. [Google Scholar] [CrossRef]
- Ren, C.; Bi, E.Y.; Gao, J.; Liu, J. Molybdenum-Catalyzed Perchlorate Reduction: Robustness, Challenges, and Solutions. ACS EST Eng. 2022, 2, 181–188. [Google Scholar] [CrossRef]
- Lajin, B.; Goessler, W. HPLC-ICPMS/MS shows a significant advantage over HPLC-ICPMS for the determination of perchlorate in ground, tap, and river water. Anal. Chim. Acta 2020, 1094, 11–17. [Google Scholar] [CrossRef] [PubMed]
- Antony, S.; Bayse, C.A. Theoretical Studies of Models of the Active Site of the Tungstoenzyme Acetylene Hydratase. Organometallics 2009, 28, 4938–4944. [Google Scholar] [CrossRef]
- Liao, R.-Z.; Yu, J.-G.; Himo, F. Mechanism of tungsten-dependent acetylene hydratase from quantum chemical calculations. Proc. Natl. Acad. Sci. USA 2010, 107, 22523–22527. [Google Scholar] [CrossRef]
- Vincent, M.A.; Hillier, I.H.; Periyasamy, G.; Burton, N.A. A DFT study of the possible role of vinylidene and carbene intermediates in the mechanism of the enzyme acetylene hydratase. Dalton Trans. 2010, 39, 3816–3822. [Google Scholar] [CrossRef]
- Seiffert, G.B.; Ullmann, G.M.; Messerschmidt, A.; Schink, B.; Kroneck, P.M.H.; Einsle, O. Structure of the non-redox-active tungsten/[4Fe:4S] enzyme acetylene hydratase. Proc. Natl. Acad. Sci. USA 2007, 104, 3073–3077. [Google Scholar] [CrossRef]
- Templeton, J.L.; Ward, B.C.; Chen, G.J.-J.; McDonald, J.W. Oxotungsten(IV)-Acetylene Complexes: Synthesis via Intermetal Oxygen Atom Transfer and Nuclear Magnetic Resonance Studies. Inorg. Chem. 1981, 20, 1248–1253. [Google Scholar] [CrossRef]
- Crane, T.W.; White, P.S.; Templeton, J.L. Conversion of Tungsten(IV) Oxo−Alkyne Complexes to Oxo−Vinylidene Complexes. Organometallics 1999, 18, 1897–1903. [Google Scholar] [CrossRef]
- Peschel, L.M.; Belaj, F.; Mösch-Zanetti, N.C. Towards Structural-Functional Mimics of Acetylene Hydratase: Reversible Activation of Acetylene using a Biomimetic Tungsten Complex. Angew. Chem. Int. Ed. 2015, 127, 13210–13213. [Google Scholar] [CrossRef]
- Vidovic, C.; Peschel, L.M.; Buchsteiner, M.; Belaj, F.; Mösch-Zanetti, N.C. Structural Mimics of Acetylene Hydratase: Tungsten Complexes Capable of Intramolecular Nucleophilic Attack on Acetylene. Chem. Eur. J. 2019, 25, 14267–14272. [Google Scholar] [CrossRef] [PubMed]
- Yadav, J.; Das, S.K.; Sarkar, S. A Functional Mimic of the New Class of Tungstoenzyme, Acetylene Hydratase. J. Am. Chem. Soc. 1997, 119, 4315–4316. [Google Scholar] [CrossRef]
- Liu, Y.-F.; Liao, R.-Z.; Ding, W.-J.; Yu, J.-G.; Liu, R.-Z. Theoretical investigation of the first-shell mechanism of acetylene hydration catalyzed by a biomimetic tungsten complex. J. Biol. Inorg. Chem. 2011, 16, 745–752. [Google Scholar] [CrossRef]
- Schreyer, M.; Hintermann, L. Is the tungsten(IV) complex (NEt4)2[WO(mnt)2] a functional analogue of acetylene hydratase? Beilstein J. Org. Chem. 2017, 13, 2332–2339. [Google Scholar] [CrossRef]
- Bondi, R.; Corovic, M.Z.; Buchsteiner, M.; Vidovic, C.; Belaj, F.; Mösch-Zanetti, N.C. The Effect of Pyridine-2-thiolate Ligands on the Reactivity of Tungsten Complexes toward Oxidation and Acetylene Insertion. Organometallics 2021, 40, 3591–3598. [Google Scholar] [CrossRef]
- Ehweiner, M.A.; Belaj, F.; Kirchner, K.; Mösch-Zanetti, N.C. Synthesis and Reactivity of a Bioinspired Molybdenum(IV) Acetylene Complex. Organometallics 2021, 40, 2576–2583. [Google Scholar] [CrossRef]
- Ehweiner, M.A.; Peschel, L.M.; Stix, N.; Corovic, M.Z.; Belaj, F.; Mösch-Zanetti, N.C. Bioinspired Nucleophilic Attack on a Tungsten-Bound Acetylene: Formation of Cationic Carbyne and Alkenyl Complexes. Inorg. Chem. 2021, 60, 8414–8418. [Google Scholar] [CrossRef]
- Clark, R.E.D. The detection and colorimetric determination of tin by means of substituted 1:2-dimercaptobenzenes. A specific reagent for tin. Analyst 1936, 61, 242–245. [Google Scholar] [CrossRef]
- Mills, W.H.; Clark, R.E.D. Stereochemistry of some new complex thio-salts of mercury, cadmium, and zinc. J. Chem. Soc. 1936, 175–181. [Google Scholar] [CrossRef]
- Clark, R.E.D. The Colorimetric Determination of Tin by Means of Toluene-3:4-dithiol (“Dithiol”). Analyst 1937, 62, 661–663. [Google Scholar] [CrossRef]
- Gray, H.B.; Williams, R.; Bernal, I.; Billid, E. A Spin-free Square Planar Cobaltous Complex. J. Am. Chem. Soc. 1962, 84, 3596–3597. [Google Scholar] [CrossRef]
- Schrauzer, G.N.; Mayweg, V. Reaction of Diphenylacetylene with Nickel Sulfides. J. Am. Chem. Soc. 1962, 84, 3221. [Google Scholar] [CrossRef]
- Davison, A.; Edelstein, N.; Holm, R.H.; Maki, A.H. E.s.r. Studies of Four-Coördinate Complexes of Nickel, Palladium and Platinum Related by Electron Transfer Reactions. J. Am. Chem. Soc. 1963, 85, 2029–2030. [Google Scholar] [CrossRef]
- Davison, A.; Edelstein, N.; Holm, R.H.; Maki, A.H. The Preparation and Characterization of Four- Coordinate Complexes Related by Electron-Transfer Reactions. Inorg. Chem. 1963, 2, 1227–1232. [Google Scholar] [CrossRef]
- Kramer, S.P.; Johnson, J.L.; Ribeiro, A.A.; Millington, D.S.; Rajagopalan, K.V. The structure of the molybdenum cofactor. Characterization of di-(carboxamidomethyl)molybdopterin from sulfite oxidase and xanthine oxidase. J. Biol. Chem. 1987, 262, 16357–16363. [Google Scholar] [CrossRef]
- Rajagopalan, K.V.; Johnson, J.L. The Pterin Molybdenum Cofactors. J. Biol. Chem. 1992, 267, 10199–10202. [Google Scholar] [CrossRef]
- Tanaka, H.; Okano, Y.; Kobayashi, H.; Suzuki, W.; Kobayashi, A. A Three-Dimensional Synthetic Metallic Crystal Composed of Single-Component Molecules. Science 2001, 291, 285–287. [Google Scholar] [CrossRef]
- Coomber, A.T.; Beljonne, D.; Friend, R.H.; Brédas, J.L.; Charlton, A.; Robertson, N.; Underbill, A.E.; Kurmoo, M.; Day, P. Intermolecular interactions in the molecular ferromagnetic NH4Ni(mnt)2· H2O. Nature 1996, 380, 144–146. [Google Scholar] [CrossRef]
- Wan, W.L.; Ji, W.; Zuo, J.L.; Bai, J.F.; You, X.Z.; Lim, J.H.; Yang, S.; Hagan, D.J.; Van Stryland, E.W. Optical-limiting properties of neutral nickel dithiolenes. Appl. Phys. B 2000, 70, 809–812. [Google Scholar] [CrossRef]
- Liu, H.; Li, X.; Shi, C.; Wang, D.; Chen, L.; He, Y.; Zhao, J. First-principles prediction of two-dimensional metal bis(dithiolene) complexes as promising gas sensors. Phys. Chem. Chem. Phys. 2018, 20, 16939–16948. [Google Scholar] [CrossRef] [PubMed]
- Chakravarty, C.; Mandal, B.; Sarkar, P. Bis(dithioline)-Based Metal–Organic Frameworks with Superior Electronic and Magnetic Properties: Spin Frustration to Spintronics and Gas Sensing. J. Phys. Chem. C 2016, 120, 28307–28319. [Google Scholar] [CrossRef]
- Kobayashi, Y.; Jacobs, B.; Allendorf, M.D.; Long, J.R. Conductivity, Doping, and Redox Chemistry of a Microporous Dithiolene-Based Metal−Organic Framework. Chem. Mater. 2010, 22, 4120–4122. [Google Scholar] [CrossRef]
- Pitchaimani, J.; Ni, S.-F.; Dang, L. Metal Dithiolene Complexes in Olefin Addition and Purification, Small Molecule Adsorption, H2 Evolution and CO2 Reduction. Coord. Chem. Rev. 2020, 420, 213398–213423. [Google Scholar] [CrossRef]
- Gomez-Mingot, M.; Porcher, J.-P.; Todorova, T.K.; Fogeron, T.; Mellot-Draznieks, C.; Li, Y.; Fontecave, M. Bioinspired Tungsten Dithiolene Catalysts for Hydrogen Evolution: A Combined Electrochemical, Photochemical, and Computational Study. J. Phys. Chem. B 2015, 119, 13524–13533. [Google Scholar] [CrossRef] [PubMed]
- Porcher, J.-P.; Fogeron, T.; Gomez-Mingot, M.; Chamoreau, L.M.; Li, Y.; Fontecave, M. Synthesis and Reactivity of a Bio-inspired Dithiolene Ligand and its Mo Oxo Complex. Chem. Eur. J. 2016, 22, 4447–4453. [Google Scholar] [CrossRef]
- Fogeron, T.; Porcher, J.-P.; Gomez-Mingot, M.; Todorova, T.K.; Chamoreau, L.M.; Mellot-Draznieks, C.; Li, Y.; Fontecave, M. A cobalt complex with a bioinspired molybdopterin-like ligand: A catalyst for hydrogen evolution. Dalton Trans. 2016, 45, 14754–14763. [Google Scholar] [CrossRef]
- Eckenhoff, W.T.; Brennessel, W.W.; Eisenberg, R. Light-Driven Hydrogen Production from Aqueous Protons using Molybdenum Catalysts. Inorg. Chem. 2014, 53, 9860–9869. [Google Scholar] [CrossRef]
- Seo, J.; Kim, E. O-Atom Exchange between H2O and CO2 Mediated by a Bis(dithiolene)tungsten Complex. Inorg. Chem. 2012, 51, 7951–7953. [Google Scholar] [CrossRef]
- Harrison, D.J.; Lough, A.J.; Nguyen, N.; Fekl, U. Push–Pull Molybdenum Trisdithiolenes Allow Rapid NonconventionalBinding of Ethylene at Ligand Sulfur Atoms. Angew. Chem. Int. Ed. 2007, 119, 7788–7791. [Google Scholar] [CrossRef]
- Nguyen, N.; Lough, A.J.; Fekl, U. Rapid, Covalent Addition of Phosphine to Dithiolene in a Molybdenum Tris(dithiolene). A New Structural Model for Dimethyl Sulfoxide Reductase. Inorg. Chem. 2012, 51, 6446–6448. [Google Scholar] [CrossRef] [PubMed]
- Alvarez, M.; Galindo, A.; Pérez, P.J.; Carmona, E. Molybdenum and tungsten complexes with carbon dioxide and ethylene ligands. Chem. Sci. 2019, 10, 8541–8546. [Google Scholar] [CrossRef] [PubMed]
- Wang, K.; Stiefel, E.I. Toward Separation and Purification of Olefins Using Dithiolene Complexes: An Electrochemical Approach. Science 2001, 291, 106–109. [Google Scholar] [CrossRef] [PubMed]
- Schrauzer, G.N.; Mayweg, V. Preparation, Reactions, and Structure of Bisdithio-a-diketone Complexes of Nickel, Palladium, and Platinum’. J. Am. Chem. Soc. 1965, 87, 1483–1489. [Google Scholar] [CrossRef]
- Schmitt, R.D.; Wing, R.M.; Maki, A.H. Donor-Acceptor Complexes of the Inorganic pi Acceptor, Bis-cis- (1,2-perfluoromethylethene-1,2-dithiolato) nickel. J. Am. Chem. Soc. 1969, 91, 4394–4401. [Google Scholar] [CrossRef]
- Herman, A.; Wing, R.M. The structure of the nickel bis(1,2-ethenedithiolate)/2,3-dimethylbutadiene cycloaddition reaction product. J. Organomet. Chem. 1973, 63, 441–450. [Google Scholar] [CrossRef]
- Shibl, M.F.; Dang, L.; Raju, R.K.; Hall, M.B.; Brothers, E.N. A mechanism for the addition of ethylene to nickel bis-dithiolene. Int. J. Quantum. Chem. 2013, 113, 1621–1625. [Google Scholar] [CrossRef]
- Yang, T.-L.; Ni, S.-F.; Zhang, P.; Dang, L. Ligand effect on the reactivity difference of Mo Tris(dithiolene) complexes towards Ethylene: A computational study. J. Organomet. Chem. 2016, 806, 60–67. [Google Scholar] [CrossRef]
- Dang, L.; Shibl, M.F.; Yang, X.; Alak, A.; Harrison, D.J.; Fekl, U.; Brothers, E.N.; Hall, M.B. The Mechanism of Alkene Addition to a Nickel Bis(dithiolene) Complex: The Role of the Reduced Metal Complex. J. Am. Chem. Soc. 2012, 134, 4481–4484. [Google Scholar] [CrossRef]
- Dang, L.; Yang, X.; Zhou, J.; Brothers, E.N.; Hall, M.B. Computational Studies on Ethylene Addition to Nickel Bis(dithiolene). J. Phys. Chem. A 2012, 116, 476–482. [Google Scholar] [CrossRef] [PubMed]
- Dang, L.; Ni, S.-F.; Hall, M.B.; Brothers, E.N. Uptake of One and Two Molecules of 1,3-Butadiene by Platinum Bis(dithiolene): A Theoretical Study. Inorg. Chem. 2014, 53, 9692–9702. [Google Scholar] [CrossRef] [PubMed]
- Tang, Q.; Zhou, Z. Electronic Properties of π-Conjugated Nickel Bis(dithiolene) Network and Its Addition Reactivity with Ethylene. J. Phys. Chem. C 2013, 117, 14125–14129. [Google Scholar] [CrossRef]















| TOF | [MoO(qpdt)2]2− | [Co(qpdt)2]22− | [WO2(mnt)2]2− | [WO2(dmed)2]2− |
|---|---|---|---|---|
| photocatalysis 1 [h−1] | 203 | 163 | 12 | 4 |
| electrocatalysis [s−1] | 1030 | 5570 | 143 | 63 |
Publisher’s Note: MDPI stays neutral with regard to jurisdictional claims in published maps and institutional affiliations. |
© 2022 by the authors. Licensee MDPI, Basel, Switzerland. This article is an open access article distributed under the terms and conditions of the Creative Commons Attribution (CC BY) license (https://creativecommons.org/licenses/by/4.0/).
Share and Cite
Pätsch, S.; Correia, J.V.; Elvers, B.J.; Steuer, M.; Schulzke, C. Inspired by Nature—Functional Analogues of Molybdenum and Tungsten-Dependent Oxidoreductases. Molecules 2022, 27, 3695. https://doi.org/10.3390/molecules27123695
Pätsch S, Correia JV, Elvers BJ, Steuer M, Schulzke C. Inspired by Nature—Functional Analogues of Molybdenum and Tungsten-Dependent Oxidoreductases. Molecules. 2022; 27(12):3695. https://doi.org/10.3390/molecules27123695
Chicago/Turabian StylePätsch, Sebastian, Jevy V. Correia, Benedict J. Elvers, Mareile Steuer, and Carola Schulzke. 2022. "Inspired by Nature—Functional Analogues of Molybdenum and Tungsten-Dependent Oxidoreductases" Molecules 27, no. 12: 3695. https://doi.org/10.3390/molecules27123695
APA StylePätsch, S., Correia, J. V., Elvers, B. J., Steuer, M., & Schulzke, C. (2022). Inspired by Nature—Functional Analogues of Molybdenum and Tungsten-Dependent Oxidoreductases. Molecules, 27(12), 3695. https://doi.org/10.3390/molecules27123695

