An Insight into Kiwiberry Leaf Valorization: Phenolic Composition, Bioactivity and Health Benefits
Abstract
1. Introduction
2. Results and Discussion
2.1. Phenolic Content and In Vitro Antioxidant/Antiradical Activities
2.2. Phenolic Profile of Kiwiberry Leaf Extracts
2.3. Reactive Species Scavenging Capacity
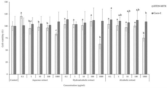
2.4. Cytotoxic Effects of Kiwiberry Leaf Extracts towards Intestinal Cells
2.5. Enzymatic Activity
3. Materials and Methods
3.1. Chemicals
3.2. Samples
3.3. Microwave-assisted Extraction (MAE)
3.4. Determination of Total Phenolic and Flavonoid Content
3.5. In vitro Antioxidant Activities
3.5.1. DPPH Free Radical Scavenging Assay
3.5.2. Ferric Reducing Antioxidant Power (FRAP) Assay
3.5.3. ABTS Radical Scavenging Activity Assay
3.6. Phenolic Profile Analysis Of Kiwiberry Leaf Extracts
3.7. Reactive Species Scavenging Capacity
3.7.1. Superoxide Radical Scavenging Assay
3.7.2. Hypochlorous Acid Scavenging Assay
3.7.3. Nitric Oxide Scavenging Assay
3.7.4. Peroxyl Radical Scavenging Assay
3.8. Cell Viability Assays
3.9. α-Amylase Activity
3.10. Acetylcholinesterase Activity
3.11. Statistical Analysis
4. Conclusions
Author Contributions
Funding
Institutional Review Board Statement
Informed Consent Statement
Data Availability Statement
Acknowledgments
Conflicts of Interest
Sample Availability
References
- Latocha, P. The Nutritional and Health Benefits of Kiwiberry (Actinidia arguta)—A Review. Plant Foods Hum. Nutr. 2017. [Google Scholar] [CrossRef]
- Wojdyło, A.; Nowicka, P.; Oszmiański, J.; Golis, T. Phytochemical compounds and biological effects of Actinidia fruits. J. Funct. Foods 2017, 30, 194–202. [Google Scholar] [CrossRef]
- Silva, A.M.; Pinto, D.; Fernandes, I.; Gonçalves Albuquerque, T.; Costa, H.S.; Freitas, V.; Rodrigues, F.; Oliveira, M.B.P.P. Infusions and decoctions of dehydrated fruits of Actinidia arguta and Actinidia deliciosa: Bioactivity, radical scavenging activity and effects on cells viability. Food Chem. 2019, 289, 625–634. [Google Scholar] [CrossRef]
- Pinto, D.; Delerue-Matos, C.; Rodrigues, F. Bioactivity, phytochemical profile and pro-healthy properties of Actinidia arguta: A review. Food Res. Int. 2020, 136, 109449. [Google Scholar] [CrossRef]
- Latocha, P.; Vereecke, D.; Debersaques, F. Kiwiberry commercial production-what stage are we at? In Proceedings of the IX International Symposium on Kiwifruit, Porto, Portugal, 6–9 September 2017; Volume 1218, pp. 559–564. [Google Scholar]
- Marangi, F.; Pinto, D.; de Francisco, L.; Alves, R.C.; Puga, H.; Sut, S.; Dall’Acqua, S.; Rodrigues, F.; Oliveira, M.B.P.P. Hardy kiwi leaves extracted by multi-frequency multimode modulated technology: A sustainable and promising by-product for industry. Food Res. Int. 2018, 112, 184–191. [Google Scholar] [CrossRef] [PubMed]
- Cyboran, S.; Oszmiański, J.; Kleszczyńska, H. Modification of the properties of biological membrane and its protection against oxidation by Actinidia arguta leaf extract. Chem.-Biol. Interact. 2014, 222, 50–59. [Google Scholar] [CrossRef] [PubMed]
- Almeida, D.; Pinto, D.; Santos, J.; Vinha, A.F.; Palmeira, J.; Ferreira, H.N.; Rodrigues, F.; Oliveira, M.B.P.P. Hardy kiwifruit leaves (Actinidia arguta): An extraordinary source of value-added compounds for food industry. Food Chem. 2018, 259, 113–121. [Google Scholar] [CrossRef]
- Yoo, S.K.; Kang, J.Y.; Lee, U.; Park, S.K.; Kim, J.M.; Han, H.J.; Kim, D.O.; Heo, H.J. Improving effect of Actinidia arguta leaf on hyperglycemia-induced cognitive dysfunction. J. Funct. Foods 2021, 76, 104315. [Google Scholar] [CrossRef]
- Ahn, J.H.; Park, Y.; Yeon, S.W.; Jo, Y.H.; Han, Y.K.; Turk, A.; Ryu, S.H.; Hwang, B.Y.; Lee, K.Y.; Lee, M.K. Phenylpropanoid-Conjugated Triterpenoids from the Leaves of Actinidia arguta and Their Inhibitory Activity on α-Glucosidase. J. Nat. Prod. 2020, 83, 1416–1423. [Google Scholar] [CrossRef]
- Kim, G.-D.; Lee, J.Y.; Auh, J.-H. Metabolomic screening of anti-inflammatory compounds from the leaves of actinidia arguta (Hardy Kiwi). Foods 2019, 8, 47. [Google Scholar] [CrossRef]
- Moreira, M.M.; Barroso, M.F.; Boeykens, A.; Withouck, H.; Morais, S.; Delerue-Matos, C. Valorization of apple tree wood residues by polyphenols extraction: Comparison between conventional and microwave-assisted extraction. Ind. Crop. Prod. 2017, 104, 210–220. [Google Scholar] [CrossRef]
- Mellinas, A.C.; Jiménez, A.; Garrigós, M.C. Optimization of microwave-assisted extraction of cocoa bean shell waste and evaluation of its antioxidant, physicochemical and functional properties. LWT 2020, 127, 109361. [Google Scholar] [CrossRef]
- Rodsamran, P.; Sothornvit, R. Extraction of phenolic compounds from lime peel waste using ultrasonic-assisted and microwave-assisted extractions. Food Biosci. 2019, 28, 66–73. [Google Scholar] [CrossRef]
- Kaderides, K.; Papaoikonomou, L.; Serafim, M.; Goula, A.M. Microwave-assisted extraction of phenolics from pomegranate peels: Optimization, kinetics, and comparison with ultrasounds extraction. Chem. Eng. Process.-Process Intensif. 2019, 137, 1–11. [Google Scholar] [CrossRef]
- Pinela, J.; Prieto, M.A.; Carvalho, A.M.; Barreiro, M.F.; Oliveira, M.B.P.P.; Barros, L.; Ferreira, I.C.F.R. Microwave-assisted extraction of phenolic acids and flavonoids and production of antioxidant ingredients from tomato: A nutraceutical-oriented optimization study. Sep. Purif. Technol. 2016, 164, 114–124. [Google Scholar] [CrossRef]
- Chemat, F.; Rombaut, N.; Meullemiestre, A.; Turk, M.; Perino, S.; Fabiano-Tixier, A.S.; Abert-Vian, M. Review of Green Food Processing techniques. Preservation, transformation, and extraction. Innov. Food Sci. Emerg. Technol. 2017, 41, 357–377. [Google Scholar] [CrossRef]
- Panja, P. Green extraction methods of food polyphenols from vegetable materials. Curr. Opin. Food Sci. 2018, 23, 173–182. [Google Scholar] [CrossRef]
- Pinto, D.; Vieira, E.F.; Peixoto, A.F.; Freire, C.; Freitas, V.; Costa, P.; Delerue-Matos, C.; Rodrigues, F. Optimizing the extraction of phenolic antioxidants from chestnut shells by subcritical water extraction using response surface methodology. Food Chem. 2021, 334, 127521. [Google Scholar] [CrossRef] [PubMed]
- Pimentel-Moral, S.; Borrás-Linares, I.; Lozano-Sánchez, J.; Arráez-Román, D.; Martínez-Férez, A.; Segura-Carretero, A. Microwave-assisted extraction for Hibiscus sabdariffa bioactive compounds. J. Pharm. Biomed. Anal. 2018, 156, 313–322. [Google Scholar] [CrossRef]
- Wink, D.A.; Mitchell, J.B. Chemical biology of nitric oxide: Insights into regulatory, cytotoxic, and cytoprotective mechanisms of nitric oxide. Free Radic. Biol. Med. 1998, 25, 434–456. [Google Scholar] [CrossRef]
- de Francisco, L.; Pinto, D.; Rosseto, H.; Toledo, L.; Santos, R.; Tobaldini-Valério, F.; Svidzinski, T.; Bruschi, M.; Sarmento, B.; Oliveira, M.B.P.P.; et al. Evaluation of radical scavenging activity, intestinal cell viability and antifungal activity of Brazilian propolis by-product. Food Res. Int. 2018, 105, 537–547. [Google Scholar] [CrossRef] [PubMed]
- Pinto, D.; Cádiz-Gurrea, M.d.L.L.; Sut, S.; Ferreira, A.S.; Leyva-Jimenez, F.J.; Dall’acqua, S.; Segura-Carretero, A.; Delerue-Matos, C.; Rodrigues, F. Valorisation of underexploited Castanea sativa shells bioactive compounds recovered by supercritical fluid extraction with CO2: A response surface methodology approach. J. CO2 Util. 2020, 40, 101194. [Google Scholar] [CrossRef]
- De Wijk, R.A.; Prinz, J.F.; Engelen, L.; Weenen, H. The role of α-amylase in the perception of oral texture and flavour in custards. Physiol. Behav. 2004, 83, 81–91. [Google Scholar] [CrossRef]
- Wang, Y.; Huang, S.; Shao, S.; Qian, L.; Xu, P. Studies on bioactivities of tea (Camellia sinensis L.) fruit peel extracts: Antioxidant activity and inhibitory potential against α-glucosidase and α-amylase in vitro. Ind. Crop. Prod. 2012, 37, 520–526. [Google Scholar] [CrossRef]
- Ferrer-Gallego, R.; Gonçalves, R.; Rivas-Gonzalo, J.C.; Escribano-Bailón, M.T.; De Freitas, V. Interaction of phenolic compounds with bovine serum albumin (BSA) and α-amylase and their relationship to astringency perception. Food Chem. 2012, 135, 651–658. [Google Scholar] [CrossRef]
- Hara, Y.; Honda, M. The inhibition of α-amylase by tea polyphenols. Agric. Biol. Chem. 1990, 54, 1939–1945. [Google Scholar] [CrossRef]
- Brahma, N.; Gupta, A. Acute toxicity of lead in fresh water bivalves Lamellidens jenkinsianus obesa and Parreysia (Parreysia) corrugata with evaluation of sublethal effects on acetylcholinesterase and catalase activity, lipid peroxidation, and behavior. Ecotoxicol. Environ. Saf. 2020, 189, 109939. [Google Scholar] [CrossRef] [PubMed]
- Neagu, E.; Radu, G.L.; Albu, C.; Paun, G. Antioxidant activity, acetylcholinesterase and tyrosinase inhibitory potential of Pulmonaria officinalis and Centarium umbellatum extracts. Saudi J. Biol. Sci. 2018, 25, 578–585. [Google Scholar] [CrossRef] [PubMed]
- Moyo, M.; Ndhlala, A.R.; Finnie, J.F.; Van Staden, J. Phenolic composition, antioxidant and acetylcholinesterase inhibitory activities of Sclerocarya birrea and Harpephyllum caffrum (Anacardiaceae) extracts. Food Chem. 2010, 123, 69–76. [Google Scholar] [CrossRef]
- Caleja, C.; Barros, L.; Prieto, M.A.; Barreiro, M.F.; Oliveira, M.B.P.P.; Ferreira, I.C.F.R. Extraction of rosmarinic acid from Melissa officinalis L. by heat-, microwave-and ultrasound-assisted extraction techniques: A comparative study through response surface analysis. Sep. Purif. Technol. 2017, 186, 297–308. [Google Scholar] [CrossRef]
- Benlloch-Tinoco, M.; Kaulmann, A.; Corte-Real, J.; Rodrigo, D.; Martínez-Navarrete, N.; Bohn, T. Chlorophylls and carotenoids of kiwifruit puree are affected similarly or less by microwave than by conventional heat processing and storage. Food Chem. 2015, 187, 254–262. [Google Scholar] [CrossRef] [PubMed]
- Singleton, V.L.; Rossi, J.A. Colorimetry of Total Phenolics with Phosphomolybdic-Phosphotungstic Acid Reagents. Am. J. Enol. Vitic. 1965, 16. [Google Scholar]
- Barros, L.; Baptista, P.; Ferreira, I.C.F.R. Effect of Lactarius piperatus fruiting body maturity stage on antioxidant activity measured by several biochemical assays. Food Chem. Toxicol. 2007, 45, 1731–1737. [Google Scholar] [CrossRef]
- Benzie, I.F.F.; Strain, J.J. Ferric reducing/antioxidant power assay: Direct measure of total antioxidant activity of biological fluids and modified version for simultaneous measurement of total antioxidant power and ascorbic acid concentration. Methods Enzymol. 1999, 299, 15–27. [Google Scholar] [CrossRef] [PubMed]
- Re, R.; Pellegrini, N.; Proteggente, A.; Pannala, A.; Yang, M.; Rice-Evans, C. Antioxidant activity applying an improved ABTS radical cation decolorization assay. Free Radic. Biol. Med. 1999, 26, 1231–1237. [Google Scholar] [CrossRef]
- Fernandes, A.; Fernandes, I.; Cruz, L.; Mateus, N.; Cabral, M.; De Freitas, V. Antioxidant and biological properties of bioactive phenolic compounds from Quercus suber L. J. Agric. Food Chem. 2009, 57, 11154–11160. [Google Scholar] [CrossRef] [PubMed]
- Gomes, A.; Fernandes, E.; Silva, A.M.S.; Santos, C.M.M.; Pinto, D.C.G.A.; Cavaleiro, J.A.S.; Lima, J.L.F.C. 2-Styrylchromones: Novel strong scavengers of reactive oxygen and nitrogen species. Bioorg. Med. Chem. 2007, 15, 6027–6036. [Google Scholar] [CrossRef] [PubMed]
- Ou, B.; Hampsch-Woodill, M.; Prior, R.L. Development and validation of an improved oxygen radical absorbance capacity assay using fluorescein as the fluorescent probe. J. Agric. Food Chem. 2001, 49, 4619–4626. [Google Scholar] [CrossRef] [PubMed]



| Aqueous | Hydroalcoholic | Alcoholic | |
|---|---|---|---|
| TPC (mg GAE/g dw) | 120.99 ± 9.31 c | 321.15 ± 11.85 b | 629.48 ± 16.99 a |
| TFC (mg CAE/g dw) | 62.17 ± 5.86 c | 114.20 ± 9.44 b | 136.81 ± 5.40 a |
| DPPH (IC50, µg/mL) | 211.14 ± 23.74 a | 95.22 ± 4.66 b | 98.16 ± 10.88 b |
| FRAP (μmol FSE/g dw) | 1801.98 ± 55.17 b | 3079.94 ± 305.63 a | 2884.39 ± 15.89 a |
| ABTS (IC50, µg/mL) | 219.14 ± 6.01 a | 131.58 ± 13.43 b | 142.96 ± 3.90 b |
| Phenolic Compounds | RT (min) | [M − H]− | MS2 | MS3 | λ (nm) | Aqueous | Hydroalcoholic | Alcoholic |
|---|---|---|---|---|---|---|---|---|
| (Area fraction %) | ||||||||
| Unknown | 20.79 | 435.34 | 374.90; 357.14 | 326.84; 356.78; 195.05 | 277 | 0.15 | 0.07 | 0.19 |
| Procyanidin trimer C1, C2, EEC, T2 | 23.65 | 865.38 | 695.20 | 542.93 | 310; 286 | 0.20 | 0.09 | 0.15 |
| Caffeoylquinic acid | 32.82 | 353.51 | 191.20; 179.27 | 93.13; 171.17 | 286; 325 | 9.06 | 6.06 | 2.88 |
| Caffeoylquinic acid | 34.70 | 353.51 | 191.20; 179.27 | 93.13; 171.17 | 286; 325 | 3.28 | 2.51 | 1.96 |
| Caffeoylquinic acid | 35.90 | 353.51 | 191.20; 179.27 | 93.13; 171.17 | 286; 325 | 5.20 | 3.52 | 2.59 |
| Caffeoylquinic acid (adduct) | 38.08 | 707.51 | 353.45 | 191.13 (−162); 179.13; 135.33 | 325 | 35.85 | 29.98 | 30.70 |
| Unknown | 44.93 | 465.61 | 405.06 | 167.13; 178.9; 224.93 | 280; 316 | 0.28 | 0.41 | 0.60 |
| Procyanidin trimer C1, C2, EEC, T2 | 49.49 | 865.38 | 695.20 | 542.93 | 310; 286 | 2.30 | 3.11 | 3.49 |
| 53.75 | 3.93 | 4.24 | 1.17 | |||||
| Caffeoylquinic acid (adduct) | 56.11 | 707.51 | 353.45 | 173.13; 179; 191.20 (−162) | 325 | 17.44 | 13.65 | 6.97 |
| Apigenin-rutinoside/Procyanidin B1-B7 | 577.27 | 425.02 | 407.17 | 286; 325 | ||||
| Quercetin-pentoside-hexoside | 59.59 | 595.14 | 355.27(−240); 385.13(−210); 475.00 (−120); 505.13(−90) | 235 | 280; shoulder 325 | 0.24 | 0.15 | 0.54 |
| Procyanidin B1-B7 | 60.93 | 577.27 | 425.02 | 407,17 | 280 | 0.15 | 0.16 | 0.32 |
| Unknown | 63.44 | 445.59 | 384.93 | 223.00; 153.07; 205.20; 161.00 | 277 | 0.63 | 0.79 | 1.28 |
| Procyanidin trimer C1, C2, EEC, T2 | 69.28 | 865.38 | 695.20; 739.13; 713.20; 577.27 | 542.93 | 280; 310 | 1.33 | 1.70 | 0.44 |
| 71.56 | 1.77 | 1.72 | 0.54 | |||||
| Procyanidin tetramer | 76.26 | 1153 | 983; 575; 865.0 | 830.93; 406.93 | 280; 322 | 1.02 | 1.15 | 1.72 |
| Procyanidin trimer C1, C2, EEC, T2 | 79.08 | 865.38 | 695.20; 739.13; 713.20; 577.27 | 542.93 | 310; 286 | 0.39 | 0.32 | 0.80 |
| Kaempferol derivative | 92.07 | 781.95 | 285.17; 739.15 | 257.20 | 268; 346 | 0.69 | 13.34 | 18.01 |
| Quercetin-O-deoxyhexoside-rutinoside | 93.53 | 755.94 | 301.13 | 179.17 | 352; 256 | 9.79 | 9.48 | 16.04 |
| Quercetin-O-rutinoside/ Quercetin-O-galactoside-O-rhamnoside/Quercetin-O-rhamnosyl-galactoside | 95.41 | 609.27 | 300.16 (−309) | 271.31; 179.11; 255.35; 151.16 | 265;352 | 2.79 | 3.82 | 5.22 |
| 97.69 | 265; 352 | 3.52 | 3.74 | 4.39 | ||||
| Quercetin-3-glucoside | 97.69 | 463.75 | 301.07 (−162) | 271.31; 179,11; 255.35; 151.16 | 352 | - | - | - |
| Reactive Species | IC50 (μg/mL) | |||
|---|---|---|---|---|
| ROS | RNS | |||
| O2•− | HOCl | ROO• (Ssample/STrolox) * | •NO | |
| Aqueous | 61.50 ± 3.67 a | 1.94 ± 0.24 a,b | 0.134 ± 0.004 c | 1.51 ± 0.20 a |
| Hydroalcoholic | 29.10 ± 2.90 c | 1.87 ± 0.04 a,b | 0.119 ± 0.005 c | 1.18 ± 0.09 a |
| Alcoholic | 31.65 ± 0.23 c | 2.08 ± 0.08 a | 0.118 ± 0.009 c | 1.74 ± 0.23 a |
| Positive controls | ||||
| Catechin | 46.88 ± 2.18 b | 0.20 ± 0.02 c | 3.281 ± 0.201 a | 0.94 ± 0.05 a,b |
| Gallic acid | 5.73 ± 0.43 d | 1.41 ± 0.17 b | 0.863 ± 0.022 b | 0.16 ± 0.02 b |
Publisher’s Note: MDPI stays neutral with regard to jurisdictional claims in published maps and institutional affiliations. |
© 2021 by the authors. Licensee MDPI, Basel, Switzerland. This article is an open access article distributed under the terms and conditions of the Creative Commons Attribution (CC BY) license (https://creativecommons.org/licenses/by/4.0/).
Share and Cite
Silva, A.M.; Pinto, D.; Fernandes, I.; Freitas, V.d.; Cádiz-Gurrea, M.d.l.L.; Costa, P.; Delerue-Matos, C.; Rodrigues, F. An Insight into Kiwiberry Leaf Valorization: Phenolic Composition, Bioactivity and Health Benefits. Molecules 2021, 26, 2314. https://doi.org/10.3390/molecules26082314
Silva AM, Pinto D, Fernandes I, Freitas Vd, Cádiz-Gurrea MdlL, Costa P, Delerue-Matos C, Rodrigues F. An Insight into Kiwiberry Leaf Valorization: Phenolic Composition, Bioactivity and Health Benefits. Molecules. 2021; 26(8):2314. https://doi.org/10.3390/molecules26082314
Chicago/Turabian StyleSilva, Ana Margarida, Diana Pinto, Iva Fernandes, Victor de Freitas, María de la Luz Cádiz-Gurrea, Paulo Costa, Cristina Delerue-Matos, and Francisca Rodrigues. 2021. "An Insight into Kiwiberry Leaf Valorization: Phenolic Composition, Bioactivity and Health Benefits" Molecules 26, no. 8: 2314. https://doi.org/10.3390/molecules26082314
APA StyleSilva, A. M., Pinto, D., Fernandes, I., Freitas, V. d., Cádiz-Gurrea, M. d. l. L., Costa, P., Delerue-Matos, C., & Rodrigues, F. (2021). An Insight into Kiwiberry Leaf Valorization: Phenolic Composition, Bioactivity and Health Benefits. Molecules, 26(8), 2314. https://doi.org/10.3390/molecules26082314

