Domestication of Plants of Ugni molinae Turcz (Myrtaceae) Interferes in the Biology of Chilesia rudis (Lepidoptera: Erebidae) Larvae
Abstract
1. Introduction
2. Results
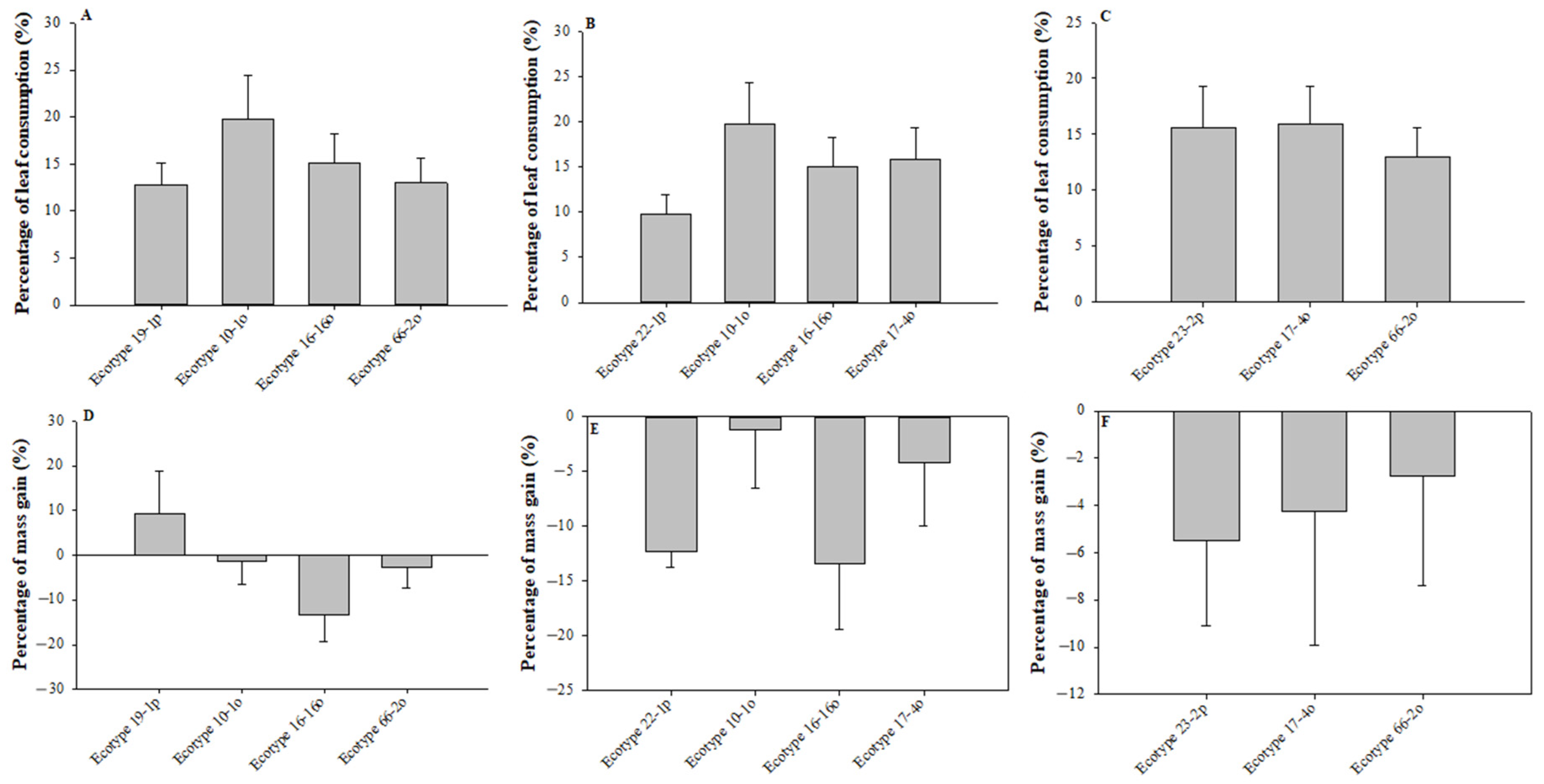
2.1. No-Choice Assay
2.2. Choice Assay
2.3. Phenolic Compound Extraction
2.4. Dose-Response Experiment
2.5. Presence of Phenolic Compounds in Bodies and Feces
3. Discussion
4. Materials and Methods
4.1. Plant Material and Insect Collection
4.2. No-Choice Assay
4.3. Choice Assay
4.4. Phenolic Compound Extraction
4.5. Dose–Response Experiment
4.6. Extraction of Bodies and Feces
4.7. HPLC-DAD Analysis
4.8. Statistical Analysis
5. Conclusions
Author Contributions
Funding
Institutional Review Board Statement
Informed Consent Statement
Data Availability Statement
Acknowledgments
Conflicts of Interest
Sample Availability
References
- Meyer, R.; Purugganan, M. Evolution of crop species: Genetics of domestication and diversification. Nature 2013, 14, 840–852. [Google Scholar] [CrossRef] [PubMed]
- Gepts, P. The contribution of genetic and genomic approaches to plant domestication studies. Curr. Opin. Plant Biol. 2014, 18, 51–59. [Google Scholar] [CrossRef]
- Rodríguez-Saona, C.; Vorsa, N.; Singh, P.; Johnson-Cicalese, J.; Szendrei, Z.; Mescher, M.; Frost, C. Tracing the history of plant traits under domestication in cranberries: Potential consequences on anti-herbivore defences. J. Exp. Bot. 2011, 62, 2633–2644. [Google Scholar] [CrossRef] [PubMed]
- Hernandez-Cumplido, J.; Giusti, M.; Yucheng, Z.; Vera, K.; Chen, Y.; Rodriguez-Saona, C. Testing the ‘plant domestication-reduced defense’ hypothesis in blueberries: The role of herbivore identity. Arthropod-Plant Interact. 2018, 12, 483–493. [Google Scholar] [CrossRef]
- Herms, D.; Mattson, W. The dilemma of plants: To grow or defend. Q. Rev. Biol. 1992, 67, 238–335. [Google Scholar] [CrossRef]
- Rosenthal, J.; Dirzo, R. Effect of life history, domestication and agronomic selection on plant defense against insect: Evidence from maizes and wild relatives. Evol. Ecol. 1997, 11, 337–355. [Google Scholar] [CrossRef]
- De Lange, E.; Balmer, D.; Mauch−Mani, B.; Turlings, T. Insect and pathogen attack and resistance in maize and its wild ancestors, the teosintes. New Phytol. 2014, 204, 329–341. [Google Scholar] [CrossRef]
- Moreira, X.; Abdala-Roberts, L.; Gols, R.; Francisco, M. Plant domestication decreases both constitutive and induced chemical defences by direct selection against defensive traits. Sci. Rep. 2018, 8, 12678. [Google Scholar] [CrossRef] [PubMed]
- Rubilar, M.; Pinelo, M.; Ihl, M.; Scheuermann, E.; Sineiro, J.; Nunez, M. Murta leaves (Ugni molinae Turcz) as a source of antioxidant polyphenols. J. Agric. Food Chem. 2006, 54, 59–64. [Google Scholar] [CrossRef] [PubMed]
- Shene, C.; Reyes, A.; Villarroel, M.; Sineiro, J.; Pinelo, M.; Rubilar, M. Plant location and extraction procedure strongly alter the antimicrobial activity of murta extracts. Eur. Food Res. Technol. 2009, 228, 467–475. [Google Scholar] [CrossRef]
- Junqueira-Gonçalves, M.; Yáñez, L.; Morales, C.; Navarro, M.; Contreras, R.; Zúñiga, G. Isolation and characterization of phenolic compounds and anthocyanins from murta (Ugni molinae Turcz.) fruits: Assessment of antioxidant and antibacterial activity. Molecules 2015, 20, 5698–5713. [Google Scholar] [CrossRef]
- Peña-Cerda, M.; Arancibia-Radich, J.; Valenzuela-Bustamante, P.; Perez-Arancibia, R.; Barriga, A.; Seguel, I.; Garcia, L.; Delporte, C. Phenolic composition and antioxidant capacity of Ugni molinae Turcz leaves of different genotypes. Food Chem. 2017, 217, 219–227. [Google Scholar] [CrossRef]
- López, J.; Vega-Gálvez, A.; Rodríguez, A.; Uribe, E.; Bilbao-Sainz, C. Murta (Ugni molinae Turcz.): A review on chemical composition, functional components and biological activities of leaves and fruits. Chil. J. Agric. Anim. Sci. 2018, 34, 43–56. [Google Scholar] [CrossRef]
- Augusto, T.; Scheuermann, E.; Alencar, S.; D’arce, D.; Costa de Camargo, A.; Vieira, T. Phenolic compounds and antioxidant activity of hydroalcoholic extract of wild and cultivated murtilla (Ugni molinae Turcz). Food Sci. Technol. 2014, 34, 667–673. [Google Scholar] [CrossRef]
- Chacón-Fuentes, M.; Parra, L.; Rodriguez-Saona, C.; Seguel, I.; Ceballos, R.; Quiroz, A. Domestication in murtilla (Ugni molinae) reduced defensive flavonol levels but increased resistance against a native herbivorous insect. Environ. Entomol. 2015, 44, 627–637. [Google Scholar] [CrossRef]
- Chacón-Fuentes, M.; Lizama, M.; Parra, L.; Seguel, I.; Quiroz, A. Insect diversity, community composition and damage index on wild and cultivated murtilla. Cienc. Investig. Agrar. 2016, 43, 57–67. [Google Scholar] [CrossRef][Green Version]
- Chacón-Fuentes, M.; Parra, L.; Lizama, M.; Seguel, I.; Urzúa, A.; Quiroz, A. Plant flavonoid content modified by domestication. Environ. Entomol. 2017, 46, 1080–1089. [Google Scholar] [CrossRef]
- Chacón-Fuentes, M.; Bardehle, L.; Lizama, M.; Seguel, I.; Quiroz, A. Restoration of flavonols and isoflavonoids in Ugni molinae subjected to a reciprocal transplant experiment in a domestication framework. Chem. Ecol. 2019, 35, 115–127. [Google Scholar] [CrossRef]
- Seguel, I.; Peñaloza, E.; Gaete, N. Colecta y caracterización molecular de germoplasma de murta (Ugni molinae Turcz.) en Chile. Agro Sur 2000, 28, 32–41. [Google Scholar] [CrossRef]
- Avello, M.; Pastene, E. Actividad antioxidante de infusos de Ugni molinae Turcz (“Murtilla”). Boletín Latinoam. Caribe Plantas Med. Aromáticas Blacpma 2005, 4, 33–39. [Google Scholar]
- Aguilera, A.; Ellena, M.; Seguel, I.; Montenegro, B.; San Martín, A.; Torralbo, L.; Rebolledo, R. Nuevos registros de insectos fitófagos asociados a murta o murtilla (Ugni molinae Turcz.) en Chile. Idesia 2009, 27, 33–37. [Google Scholar] [CrossRef][Green Version]
- Simmonds, M. Importance of flavonoids in insect-plant interactions: Feeding and oviposition. Phytochemistry 2001, 56, 245–252. [Google Scholar] [CrossRef]
- Simmonds, M. Flavonoid–insect interactions: Recent advances in our knowledge. Phytochemistry 2003, 64, 21–30. [Google Scholar] [CrossRef]
- Florine, L.; Glauser, G.; Baur, B. Composition of alkaloids in different box tree varieties and their uptake by the box tree moth Cydalima perspectalis. Chemoecology 2013, 23, 203–212. [Google Scholar]
- Díaz, G.; Palacios, S. Bioinsecticidal effect of the flavonoids pinocembrin and quercetin against Spodoptera frugiperda. J. Pest Sci. 2015, 88, 629–635. [Google Scholar] [CrossRef]
- Sogbesan, A.; Ugwumba, A. Nutritional evaluation of termite (Macrotermis subhyalinus) meal as animal protein supplements in the diets of Heterobranchus longifilis (Valenciennes, 1840) fingerlings. Turk. J. Fish. Aquat. Sci. 2008, 8, 149–157. [Google Scholar]
- Mazoir, N.; Benharref, A.; Bailen, M.; Reina, M.; Gonzales, A. Bioactive triterpene derivatives from latex of two Euphorbia species. Phytochemistry 2008, 69, 1328–1339. [Google Scholar] [CrossRef]
- Díaz, G.; Defago, T.; Valladares, G.; Palacios, S. Response of Epilachna paenulata to two flavonoids, pinocembrin and quercetin, in a comparative study. J. Chem. Ecol. 2010, 36, 898–904. [Google Scholar] [CrossRef]
- Bergomaz, R.; Boppré, M. A simple instant diet for rearing Arctiidae and other moths. J. Lepid. Soc. 1986, 40, 131–137. [Google Scholar]
- Olszewska, M. Separation of quercetin, sexangularetin, kaempferol and isorhamnetin for simultaneous HPLC determination of flavonoid aglycones in inflorescences, leaves and fruits of three Sorbus species. J. Pharm. Biomed. Anal. 2008, 48, 629–635. [Google Scholar] [CrossRef]


| Parental Ecotypes | Cultivated Ecotype | Leaf Consumption (%) | p | Mass Gain (%) | p | |
|---|---|---|---|---|---|---|
| 19-1p | × | 10-1o | 31.6 ± 8.0 vs. 16.2 ± 6.6 | 0.31 | −8.0 ± 6.9 | 0.42 |
| 19-1p | × | 16-16o | 29.0 ± 5.4 vs. 6.0 ± 4.0 | ≤0.001 | −1.9 ± 0.5 | |
| 19-1p | × | 66-2o | 47.3 ± 6.0 vs. 1.2 ± 0.4 | ≤0.001 | −1.5 ± 0.9 | |
| 22-1p | × | 10-1o | 18.4 ± 3.7 vs. 6.6 ± 3.4 | ≤0.001 | 1.8 ± 0.9 | 0.09 |
| 22-1p | × | 16-16o | 17.7 ± 6.4 vs. 3.2 ± 1.2 | ≤0.001 | 1.2 ± 1.0 | |
| 22-1p | × | 17-4o | 24.5 ± 7.8 vs. 9.8 ± 3.2 | ≤0.001 | −8.0 ± 6.9 | |
| 23-2p | × | 17-4o | 9.1 ± 3.3 vs. 3.2 ± 1.6 | ≤0.001 | −1.3 ± 3.8 | 0.15 |
| 23-2p | × | 66-2o | 10.6 ± 4.4 vs. 4.8 ± 1.8 | 0.07 | 6.7 ± 4.9 |
| Parental Ecotypes/Cultivated Ecotype | |||||||
|---|---|---|---|---|---|---|---|
| Compound (µg/g Dry Mass) | Parental Ecotypes | Parental Ecotypes | Parental Ecotypes | Cultivated | Cultivated | Cultivated | Cultivated |
| 22-1p × 19-1p | 19-1p × 22-1p | 23-2p × 22-1p | 23-2p × 19-1p | ||||
| 19-1p | 22-1p | 23-2p | 10-1o | 16-16o | 17-4o | 66-2o | |
| Caffeic acid | 1.4 ± 1.0hi | 51.9 ± 29.4f | 2.7 ± 0.5h | 5.0 ± 2.3h | 7.6 ± 4.3h | 1.8 ± 0.1h | 3.6 ± 1.4h |
| Ferulic acid | 8.4 ± 4.1h | 31.1 ± 7.3g | 1.2 ± 0.1h | 32.9 ± 4.0g | 27.9 ± 3.4g | 2.0 ± 1.0h | 3.8 ± 1.0h |
| Gallic acid | 12.0 ± 10.2gh | 73.6 ± 32.9f | 18.1 ±7.3gh | 34.1 ± 15.5g | 64.4 ± 38.7f | 12.6 ± 0.7g | 59.7 ± 16.1f |
| Catechin | 15.7 ± 5.1g | 190.7 ± 82.8cd | 3.8 ± 1.4h | 101.1 ± 26.4f | 41.5 ± 24.0g | 28.8 ± 26.1g | 164.9 ± 82.4ef |
| Kaempferol | 0.1 ± 0.0i | 0.3 ± 0.0i | NDi | 0.1 ± 0.0i | 0.1 ± 0.0i | 0.1 ± 0.0i | 1.0 ± 0.0i |
| Myricetin | 8.2 ± 4.8h | 15.8 ± 2.6g | 3.6 ± 1.8h | 17.1 ± 6.8g | 18.8 ± 2.5g | 7.2 ± 3.9h | 28.3 ± 7.4g |
| Quercetin | 1.0 ± 0.8hi | 10.7 ± 3.1g | 0.5 ± 0.2h | 5.1 ± 2.8h | 5.7 ± 2.2h | 2.1 ± 0.5h | 4.5 ± 0.6h |
| Rutin | 12.0 ± 8.1gh | 115.3 ± 14.4ef | 5.5 ± 2.6h | 133.7 ± 40.0ef | 106.5 ± 20.4f | 21.5 ± 5.2g | 63.3 ± 13.3f |
| Vanillin | 201.9 ± 99.0de | 1537.9 ± 543.7a | 97.0 ± 57.0f | 1571.0 ± 697.1a | 883.7 ± 183.6bc | 994.8 ± 580.8bc | 1420.6 ± 701.9ab |
| Total | 260.7 ± 14.7D | 2027.3 ± 79.5A | 132.4 ± 7.8E | 1900.1 ± 88.3AB | 1156.2 ± 31.0C | 1070.9 ± 68.7C | 1179.7 ± 91.5C |
| Time (h) | Concentration (mg of Compound/g of Diet) | Control (µg/g) | Quercetin (µg/g) | Kaempferol (µg/g) | Myricetin (µg/g) | Rutin (µg/g) | Vanillin (µg/g) | Catechin (µg/g) | Caffeic Acid (µg/g) | Gallic Acid (µg/g) | Ferulic Acid (µg/g) |
|---|---|---|---|---|---|---|---|---|---|---|---|
| 24 | 0.1 | 50.0 ± 16.6 | 35.5 ± 12.5bcd | 63.0 ± 15.2 | 5.0 ± 1.0 * | 45.0 ± 12.7 | 28.0 ± 12.0 * | 40.5 ± 10.0 | 33.5 ± 3.0 | 18.0 ± 6.7b | 41.5 ± 15.3 |
| 1 | 70.0 ± 15.2 | 42.0 ± 15.8bcd * | 54.0 ± 13.7 | 42.0 ± 15.1 * | 70.0 ± 13.4 | 15.5 ± 9.4 * | 54.0 ± 12.7 | 35.0 ± 3.6 * | 16.5 ± 5.6b * | 47.5 ± 12.6 * | |
| 10 | 53.0 ± 7.6 | 24.0 ± 12.6bcd * | 55.0 ± 12.5 | 41.0 ± 14.0 | 54.0 ± 13.7 | 11.5 ± 3.9 * | 40.0 ± 10.9 | 40.0 ± 5.2 | 22.2 ± 7.6ab * | 51.0 ± 6.9 | |
| 100 | 42.0 ± 10.4 | 14.5 ± 9.5bcd * | 25.0 ± 5.5 | 50.5 ± 11.5 | 55.0 ± 13.3 | 7.5 ± 0.8 * | 24.5 ± 7.4 * | 32.0 ± 4.1 | 24.5 ± 6.3ab * | 33.5 ± 5.5 | |
| 48 | 0.1 | - | 100.0 ± 0.0a * | 13.0 ± 3.6 * | 32.0 ± 8.3 | 35.7 ± 12.3 | 49.5 ± 14.0 | 32.5 ± 9.3 | 39.0 ± 8.0 | 46.5 ± 11.3a | 64.5 ± 5.0 |
| 1 | - | 52.5± 15.8b | 7.0 ± 1.1 * | 51.0 ± 11.8 | 56.0 ± 12.7 | 33.5 ± 10.6 * | 62.0 ± 11.8 | 37.0 ± 6.7 * | 17.0 ± 6.4b * | 38.5 ± 11.3 * | |
| 10 | - | 49.7 ± 15.1bc | 10.2 ± 0.9 * | 55.0 ± 8.7 | 41.5 ± 10.2 | 20.0 ± 6.2 * | 40.0 ± 10.9 | 37.0 ± 7.8 * | 11.0 ± 4.9b * | 28.5 ± 9.9 * | |
| 100 | - | 56.1 ± 14.0bcd | 3.6 ± 0.7 * | 39.5 ± 11.6 | 79.0 ± 7.4* | 9.0 ± 1.1 * | 24.5 ± 7.4 | 39.0 ± 5.6 | 20.0 ± 7.5ab * | 22.2 ± 6.9 * | |
| 72 | 0.1 | - | 16.4 ± 7.1bcd * | 9.0 ± 1.4 * | 22.5 ± 6.6 * | 47.0 ± 8.9 | 14.0 ± 6.4 * | 8.5 ± 1.8 * | 23.0 ± 4.0 * | 18.5 ± 4.2b * | 28.5 ± 6.4 * |
| 1 | - | 9.5 ± 4.5cd * | 5.1 ± 1.2 * | 63.5 ± 8.3 | 50.4 ± 13.8 | 12.0 ± 4.0 * | 9.0 ± 1.7 * | 16.5 ± 7.3 * | 21.0 ± 3.7ab * | 26.5 ± 6.1 * | |
| 10 | - | 5.5 ± 0.5d * | 12.2 ± 5.0 * | 41.5 ± 10.7 | 34.0 ± 11.6 | 18.7 ± 5.3 * | 11.0 ± 3.9 * | 19.5 ± 9.1 * | 18.0 ± 4.7b * | 28.0 ± 6.4 * | |
| 100 | - | 28.5 ± 12.7bcd | 7.5 ± 0.8 * | 36.0 ± 12.1 | 50.0 ± 13.6 | 7.9 ± 1.4 * | 4.5 ± 2.1 * | 7.8 ± 1.8 * | 14.0 ± 8.1b * | 22.5 ± 6.9 * | |
| 96 | 0.1 | - | 10.5 ± 2.4cd * | 2.9 ± 0.4 * | 37.5 ± 5.6 | 41.5 ± 11.3 | 4.0 ± 1.7 * | 7.5 ± 4.8 * | 6.0 ± 1.2 * | 5.0 ± 1.2b * | 22.5 ± 5.2 * |
| 1 | - | 8.0 ± 1.6cd * | 5.5 ± 0.5 * | 51.0 ± 11.8 | 34.0 ± 10.6 * | 2.5 ± 1.5 * | 3.0 ± 2.0 * | 4.5 ± 1.1 * | 3.5 ± 1.3b * | 18.0 ± 5.3 * | |
| 10 | - | 11.0 ± 2.0d * | 4.7 ± 1.3 * | 41.5 ± 10.7 | 60.5 ± 12.2 | 7.5 ± 2.0 * | 3.0 ± 0.8 * | 5.0 ± 0.7 * | 1.5 ± 1.5b * | 14.5 ± 4.9 * | |
| 100 | - | 6.0 ± 4.9d * | 5.1 ± 1.4 * | 48.5 ± 11.1 | 46.7 ± 13.2 | 5.5 ± 1.1 * | 2.5 ± 1.1 * | 5.5 ± 1.1 * | 0.5 ± 0.5b * | 17.0 ± 3.1 * |
| Time (h) | Concentration (mg of Compound/g of Diet) | Control (µg/g) | Quercetin (µg/g) | Kaempferol (µg/g) | Myricetin (µg/g) | Rutin (µg/g) | Vanillin (µg/g) | Catechin (µg/g) | Caffeic Acid (µg/g) | Gallic Acid (µg/g) | Ferulic Acid (µg/g) |
|---|---|---|---|---|---|---|---|---|---|---|---|
| 24 | 0.1 | 25.9 ± 11.0 | 12.8 ± 4.9b * | 32.7 ± 2.4a * | 25.4 ± 1.8b | 62.3 ± 2.4a * | 18.8 ± 6.0a | 22.0 ± 2.1a | 24.9 ± 4.2a | 13.3 ± 2.8a * | 13.5 ± 3.2ab * |
| 1 | 25.4 ± 1.3 | 23.8 ± 8.9a | 21.3 ± 1.0b | 33.2 ± 2.4a * | 47.8 ± 2.6ba * | 18.6 ± 6.3a | 22.6 ± 3.5a | 14.0 ± 1.3b * | 14.1 ± 2.9a * | 16.2 ± 4.0a * | |
| 10 | 24.5 ± 2.2 | 21.4 ± 4.1a | 18.4 ± 0.4b * | 33.2 ± 0.3a * | 47.9 ± 0.3b * | 18.8 ± 4.5a * | 20.0 ± 4.4a | 14.9 ± 2.6b * | 15.0 ± 4.4a * | 16.5 ± 0.8a * | |
| 100 | 28.4 ± 3.6 | 10.3 ± 1.6b * | 18.7 ± 0.7b * | 33.4 ± 0.7a | 48.2 ± 0.7b * | 11.4 ± 2.8b * | 22.1 ± 2.5a | 10.9 ± 1.6b * | 13.0 ± 2.9a * | 18.4 ± 2.5a * | |
| 48 | 0.1 | - | 6.1 ± 0.9b * | 25.4 ± 1.2b | 22.2 ± 2.7b | 33.6 ± 2.7c * | 12.2 ± 2.3b * | 6.0 ± 0.4b * | 18.8 ± 3.2b * | 8.9 ± 1.6b * | 14.8 ± 3.2ab * |
| 1 | - | 7.3 ± 1.2b * | 24.3 ± 0.8b | 14.4 ± 4.8c * | 24.1 ± 4.8d | 9.0 ± 1.8b * | 5.2 ± 0.5b * | 12.1 ± 1.6b * | 7.4 ± 1.2b * | 13.0 ± 2.4ab * | |
| 10 | - | 7.0 ± 1.2b * | 22.1 ± 0.3b | 16.9 ± 0.3c * | 27.2 ± 0.7d | 9.3 ± 2.5b * | 7.6 ± 1.0b * | 5.4 ± 0.9c * | 7.2 ± 1.3b * | 7.3 ± 0.3c * | |
| 100 | - | 6.9 ± 1.0b * | 22.3 ± 0.7b | 17.1 ± 0.7c * | 25.8 ± 0.6d | 9.9 ± 2.5b * | 7.2 ± 0.7b * | 5.9 ± 0.9c * | 6.8 ± 0.9b * | 7.5 ± 0.7c * | |
| 72 | 0.1 | - | 6.5 ± 1.3b * | 10.1 ± 2.4c * | 34.9 ± 2.4a * | 29.7 ± 2.4d | 18.6 ± 10.2a * | -13.5 ± 1.1c * | 8.6 ± 1.3c * | 4.6 ± 1.0b * | 14.0 ± 0.6ab * |
| 1 | - | 6.2 ± 1.1b * | −6.6 ± 4.8d * | 18.1 ± 4.8c * | 12.9 ± 4.8e * | 10.4 ± 5.3b * | −11.8 ± 1.4c * | 6.1 ± 1.1c * | 8.8 ± 2.3b * | 15.4 ± 2.2ab * | |
| 10 | - | 3.3 ± 0.8c * | −4.2 ± 0.3d * | 20.6 ± 0.3b | 15.4 ± 0.3e * | 1.2 ± 3.1c * | −18.0 ± 3.5c * | 7.9 ± 1.0c * | 1.0 ± 0.6c * | 11.0 ± 0.3b * | |
| 100 | - | 3.9 ± 0.8c * | −3.9 ± 0.7d * | 20.8 ± 0.7b * | 15.6 ± 0.7e * | 0.6 ± 1.2d * | −16.4 ± 2.2c * | 9.6 ± 1.6bc * | −0.8 ± 2.2c * | 11.2 ± 0.7b * | |
| 96 | 0.1 | - | −2.1 ± 3.0d * | −6.1 ± 2.4d * | 11.6 ± 1.2c * | 23.4 ± 2.4d | −4.5 ± 2.3f * | −0.2 ± 2.0c * | 5.6 ± 0.9c * | −3.8 ± 1.8d * | 9.0 ± 2.4c * |
| 1 | - | −0.6 ± 9.6d * | −10.9 ± 1.3e * | 9.0 ± 1.6c * | 6.6 ± 4.8f * | −0.8 ± 4.1e * | 2.4 ± 2.3bc * | 4.6 ± 1.2c * | 1.9 ± 2.2c * | −7.7 ± 4.8d * | |
| 10 | - | −1.3 ± 1.9d * | −12.5 ± 1.2e * | 7.3 ± 2.1c * | 9.1 ± 0.3f * | −2.0 ± 2.9f * | −14.7 ± 12.2c * | 3.2 ± 1.0c * | −2.1 ± 5.0d * | −5.3 ± 0.3d * | |
| 100 | - | −3.8 ± 1.4d * | −13.2 ± 1.1e * | 3.5 ± 0.4d * | 9.3 ± 0.7f * | −4.4 ± 1.1f * | −6.9 ± 5.0c * | −2.5 ± 3.7d * | −0.1 ± 1.7c | −5.0 ± 0.7d * |
| Leaves Consumption | Mass Gain | |||||
|---|---|---|---|---|---|---|
| Predictor p-Value for Hours | Predictor p-Value for Concentrations | Adjusted R2 | Predictor p-Value for Hours | Predictor p-Value for Concentrations | Adjusted R2 | |
| Quercetin | 0.009 | 0.510 | 0.044 | 0.568 | 0.005 | 0.037 |
| Kaempferol | 0.015 | 0.003 | 0.073 | 0.001 | 0.001 | 0.234 |
| Myricetin | 0.010 | 0.867 | 0.028 | 0.001 | 0.001 | 0.234 |
| Rutin | 0.800 | 0.001 | 0.078 | 0.001 | 0.001 | 0.234 |
| Vanillin | 0.001 | 0.001 | 0.305 | 0.872 | 0.117 | 0.003 |
| Catechin | 0.015 | 0.001 | 0.083 | 0.243 | 0.001 | 0.299 |
| Caffeic acid | 0.043 | 0.160 | 0.025 | 0.001 | 0.392 | 0.053 |
| Gallic acid | 0.001 | 0.001 | 0.200 | 0.117 | 0.001 | 0.088 |
| Ferulic acid | 0.001 | 0.352 | 0.059 | 0.001 | 0.001 | 0.234 |
| Concentration (mg of Compound/g of Diet) | Quercetin(µg/g) | Vanillin (µg/g) | Kaempferol (µg/g) | Rutin (µg/g) | Myricetin (µg/g) | Ferulic Acid (µg/g) | Caffeic Acid (µg/g) | Gallic Acid (µg/g) | Catechin (µg/g) | Control (µg/g) | |
|---|---|---|---|---|---|---|---|---|---|---|---|
| Larvae | 0.1 | ND | ND | ND | ND | ND | ND | ND | 10.4 ± 0.0h | ND | ND |
| 1 | ND | ND | ND | ND | ND | ND | ND | 10.1 ± 0.1h | ND | ND | |
| 10 | ND | ND | 2.9 ± 0.1i | 57.3 ± 1.2d | 26.4 ± 2.4f | ND | ND | 14.0 ± 0.1g | ND | ND | |
| 100 | ND | 134.8 ± 2.8b | 14.4 ± 0.1g | 187.1 ± 1.7a | 105.2 ± 1.3c | 39.0 ± 0.8e | ND | 97.6 ± 1.5c | 9.8 ± 1.5h | ND | |
| Feces | 0.1 | ND | ND | ND | ND | ND | 12.0 ± 0.1i | ND | ND | ND | ND |
| 1 | ND | ND | ND | ND | ND | 16.1 ± 0.1d | ND | ND | ND | ND | |
| 10 | 307.6 ± 6.7c | 12.5 ± 0.0i | ND | ND | ND | 112.5 ± 1.8h | ND | 24.7 ± 0.1g | ND | ND | |
| 100 | 7870.4 ± 83.3b | 9163.9 ± 10.7a | 0.5 ± 0.0j | 26.9 ± 0.5f | 33.7 ± 0.6f | 11.7 ± 0.1d | 28.5 ± 0.0f | 74.5 ± 1.2e | 115.5 ± 1.5d | ND |
| Cultivated Ecotypes (Offspring) | Parental Ecotypes |
|---|---|
| 10-1o | 22-1p × 19-1p |
| 16-16o | 19-1p × 22-1p |
| 17-4o | 23-2p × 22-1p |
| 66-2o | 23-2p × 19-1p |
| Ingredient | Amount |
|---|---|
| Green peas | 75 g |
| Yeast | 17.5 g |
| Ascorbic acid | 3.5 g |
| Boiled egg yolk | 7.5 g |
| Sorbic acid | 0.5 g |
| Formaldehyde 37% | 4.05 mL |
| Agar | 15 g |
| Water | 376.95 mL |
Publisher’s Note: MDPI stays neutral with regard to jurisdictional claims in published maps and institutional affiliations. |
© 2021 by the authors. Licensee MDPI, Basel, Switzerland. This article is an open access article distributed under the terms and conditions of the Creative Commons Attribution (CC BY) license (https://creativecommons.org/licenses/by/4.0/).
Share and Cite
Chacón-Fuentes, M.; Bardehle, L.; Seguel, I.; Rubilar, F.; Martínez-Cisterna, D.; Quiroz, A. Domestication of Plants of Ugni molinae Turcz (Myrtaceae) Interferes in the Biology of Chilesia rudis (Lepidoptera: Erebidae) Larvae. Molecules 2021, 26, 2063. https://doi.org/10.3390/molecules26072063
Chacón-Fuentes M, Bardehle L, Seguel I, Rubilar F, Martínez-Cisterna D, Quiroz A. Domestication of Plants of Ugni molinae Turcz (Myrtaceae) Interferes in the Biology of Chilesia rudis (Lepidoptera: Erebidae) Larvae. Molecules. 2021; 26(7):2063. https://doi.org/10.3390/molecules26072063
Chicago/Turabian StyleChacón-Fuentes, Manuel, Leonardo Bardehle, Ivette Seguel, Fernanda Rubilar, Daniel Martínez-Cisterna, and Andrés Quiroz. 2021. "Domestication of Plants of Ugni molinae Turcz (Myrtaceae) Interferes in the Biology of Chilesia rudis (Lepidoptera: Erebidae) Larvae" Molecules 26, no. 7: 2063. https://doi.org/10.3390/molecules26072063
APA StyleChacón-Fuentes, M., Bardehle, L., Seguel, I., Rubilar, F., Martínez-Cisterna, D., & Quiroz, A. (2021). Domestication of Plants of Ugni molinae Turcz (Myrtaceae) Interferes in the Biology of Chilesia rudis (Lepidoptera: Erebidae) Larvae. Molecules, 26(7), 2063. https://doi.org/10.3390/molecules26072063

