Development of New Targeted Inulin Complex Nanoaggregates for siRNA Delivery in Antitumor Therapy
Abstract
1. Introduction
2. Results and Discussion
2.1. Synthesis and Characterisation of INU-IMI-DETA-EGF and INU-IMI-DETA-PEG Copolymers
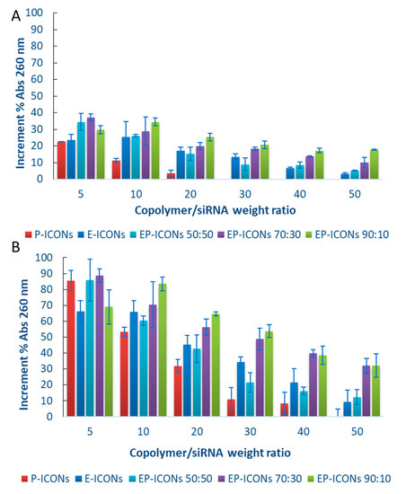
2.2. Preparation and Characterisation of EP-ICONs
2.3. In Vitro Characterisation: Targeting and Chemosensitisation Studies
3. Materials and Methods
3.1. Materials
3.2. General Procedure for the Synthesis and Characterisation of Inulin-g-Imidazole (INU-IMI) and INU-g-IMI-g-Diethylenetriamine (INU-IMI-DETA) Copolymers
3.3. General Procedure for the Synthesis and Characterisation of INU-IMI-DETA-EGF Copolymer
3.4. General Procedure for the Synthesis and Characterisation of Inulin-g-Imidazole-g-Diethylenetriamine-g-PEG (INU-IMI-DETA-PEG) Copolymer
3.5. Preparation of INU-IMI-DETA-EGF/PEG/siRNA “Complex Nanoaggregates” (EP-ICONs)
3.6. Ethidium Bromide (EtBr) Exclusion Assay
3.7. siRNA Stability in the Presence of RNase
3.8. Size and ζ Potential Measurements
3.9. Biological Characterisation
3.9.1. Hemocompatibility
3.9.2. Cell Cultures
3.9.3. Cell Viability Assay
3.9.4. Cell Uptake
3.9.5. Chemosensitivity Test
3.10. Statistical Analysis
4. Conclusions
Supplementary Materials
Author Contributions
Funding
Institutional Review Board Statement
Informed Consent Statement
Data Availability Statement
Conflicts of Interest
Sample Availability
References
- Fire, A.; Xu, S.; Montgomery, M.K.; Kostas, S.A.; Driver, S.E.; Mello, C.C. Potent and specific genetic interference by double-stranded RNA in Caenorhabditis elegans. Nature 1998, 391, 806–811. [Google Scholar] [CrossRef]
- Xu, C.; Wang, J. Delivery systems for siRNA drug development in cancer therapy. Asian J. Pharm. Sci. 2015, 10, 1–12. [Google Scholar] [CrossRef]
- Cavallaro, G.; Sardo, C.; Craparo, E.F.; Porsio, B.; Giammona, G. Polymeric nanoparticles for siRNA delivery: Production and applications. Int. J. Pharm. 2017, 525, 313–333. [Google Scholar] [CrossRef]
- Sardo, C.; Craparo, E.F.; Porsio, B.; Giammona, G.; Cavallaro, G. Improvements in Rational Design Strategies of Inulin Derivative Polycation for siRNA Delivery. Biomacromolecules 2016, 17, 2352–2366. [Google Scholar] [CrossRef]
- Miyata, K.; Oba, M.; Nakanishi, M.; Fukushima, S.; Yamasaki, Y.; Koyama, H.; Nishiyama, N.; Kataoka, K. Polyplexes from poly(aspartamide) bearing 1,2-diaminoethane side chains induce pH-selective, endosomal membrane destabilization with amplified transfection and negligible cytotoxicity. J. Am. Chem. Soc. 2008, 130, 16287–16294. [Google Scholar] [CrossRef] [PubMed]
- Kelly, R.J.; Lopez-Chavez, A.; Citrin, D.; Janik, J.E.; Morris, J.C. Impacting tumor cell-fate by targeting the inhibitor of apoptosis protein survivin. Mol. Cancer 2011, 10, 35. [Google Scholar] [CrossRef]
- Deveraux, Q.L.; Reed, J.C. IAP family proteins—Suppressors of apoptosis. Genes Dev. 1999, 13, 239–252. [Google Scholar] [CrossRef] [PubMed]
- Jha, K.; Shukla, M.; Pandey, M. Survivin expression and targeting in breast cancer. Surg. Oncol. 2012, 21, 125–131. [Google Scholar] [CrossRef] [PubMed]
- Faversani, A.; Vaira, V.; Moro, G.P.; Tosi, D.; Lopergolo, A.; Schultz, D.C.; Rivadeneira, D.; Altieri, D.C.; Bosari, S. Survivin family proteins as novel molecular determinants of doxorubicin resistance in organotypic human breast tumors. Breast Cancer Res. 2014, 16, R55. [Google Scholar] [CrossRef]
- Mensink, M.A.; Frijlink, H.W.; van der Voort Maarschalk, K.; Hinrichs, W.L.J. Inulin, a flexible oligosaccharide II: Review of its pharmaceutical applications. Carbohydr. Polym. 2015, 134, 418–428. [Google Scholar] [CrossRef] [PubMed]
- Tripodo, G.; Mandracchia, D. Inulin as a multifaceted (active)substance and its chemical functionalization: From plant extraction to applications in pharmacy, cosmetics and food. Eur. J. Pharm. Biopharm. 2019, 141, 21–36. [Google Scholar] [CrossRef] [PubMed]
- Licciardi, M.; Scialabba, C.; Sardo, C.; Cavallaro, G.; Giammona, G. Amphiphilic inulin graft co-polymers as self-assembling micelles for doxorubicin delivery. J. Mater. Chem. B 2014, 2, 42–62. [Google Scholar] [CrossRef] [PubMed]
- Mauro, N.; Scialabba, C.; Cavallaro, G.; Licciardi, M.; Giammona, G. Biotin-Containing Reduced Graphene Oxide-Based Nanosystem as a Multieffect Anticancer Agent: Combining Hyperthermia with Targeted Chemotherapy. Biomacromolecules 2015, 16, 2766–2775. [Google Scholar] [CrossRef] [PubMed]
- Yewale, C.; Baradia, D.; Vhora, I.; Patil, S.; Misra, A. Epidermal growth factor receptor targeting in cancer: A review of trends and strategies. Biomaterials 2013, 34, 8690–8707. [Google Scholar] [CrossRef] [PubMed]
- Master, A.M.; Sen Gupta, A. EGF receptor-targeted nanocarriers for enhanced cancer treatment. Nanomedicine 2012, 7, 1895–1906. [Google Scholar] [CrossRef]
- Tseng, C.-L.; Wu, S.Y.-H.; Wang, W.-H.; Peng, C.-L.; Lin, F.-H.; Lin, C.-C.; Young, T.-H.; Shieh, M.-J. Targeting efficiency and biodistribution of biotinylated-EGF-conjugated gelatin nanoparticles administered via aerosol delivery in nude mice with lung cancer. Biomaterials 2008, 29, 3014–3022. [Google Scholar] [CrossRef] [PubMed]
- Wang, Y.; Liu, P.; Qiu, L.; Sun, Y.; Zhu, M.; Gu, L.; Di, W.; Duan, Y. Toxicity and therapy of cisplatin-loaded EGF modified mPEG-PLGA-PLL nanoparticles for SKOV3 cancer in mice. Biomaterials 2013, 34, 4068–4077. [Google Scholar] [CrossRef]
- Fonge, H.; Lee, H.; Reilly, R.M.; Allen, C. Multifunctional block copolymer micelles for the delivery of 111In to EGFR-positive breast cancer cells for targeted Auger electron radiotherapy. Mol. Pharm. 2010, 7, 177–186. [Google Scholar] [CrossRef]
- Thannhauser, T.W.; Konishi, Y.; Scheraga, H.A. Sensitive quantitative analysis of disulfide bonds in polypeptides and proteins. Anal. Biochem. 1984, 138, 181–188. [Google Scholar] [CrossRef]
- Craparo, E.F.; Porsio, B.; Sardo, C.; Giammona, G.; Cavallaro, G. Pegylated Polyaspartamide-Polylactide-Based Nanoparticles Penetrating Cystic Fibrosis Artificial Mucus. Biomacromolecules 2016, 17, 767–777. [Google Scholar] [CrossRef]
- Craparo, E.F.; Drago, S.E.; Mauro, N.; Giammona, G.; Cavallaro, G. Design of new polyaspartamide copolymers for siRNA delivery in antiasthmatic therapy. Pharmaceutics 2020, 12, 89. [Google Scholar] [CrossRef]
- Greish, K. Enhanced permeability and retention (EPR) effect for anticancer nanomedicine drug targeting. Methods Mol. Biol. 2010, 624, 25–37. [Google Scholar] [CrossRef]
- Wang, H.-X.; Zuo, Z.-Q.; Du, J.-Z.; Wang, Y.-C.; Sun, R.; Cao, Z.-T.; Ye, X.-D.; Wang, J.-L.; Leong, K.W.; Wang, J. Surface charge critically affects tumor penetration and therapeutic efficacy of cancer nanomedicines. Nano Today 2016, 11, 133–144. [Google Scholar] [CrossRef]
- Wilhelm, S.; Tavares, A.J.; Dai, Q.; Ohta, S.; Audet, J.; Dvorak, H.F.; Chan, W.C.W. Analysis of nanoparticle delivery to tumours. Nat. Rev. Mater. 2016, 1, 16014. [Google Scholar] [CrossRef]
- Alexis, F.; Pridgen, E.; Molnar, L.K.; Farokhzad, O.C. Factors affecting the clearance and biodistribution of polymeric nanoparticles. Mol. Pharm. 2008, 5, 505–515. [Google Scholar] [CrossRef]
- Sun, X.; Zhang, N. Cationic polymer optimization for efficient gene delivery. Mini Rev. Med. Chem. 2010, 10, 108–125. [Google Scholar] [CrossRef] [PubMed]
- Hama, S.; Itakura, S.; Nakai, M.; Nakayama, K.; Morimoto, S.; Suzuki, S.; Kogure, K. Overcoming the polyethylene glycol dilemma via pathological environment-sensitive change of the surface property of nanoparticles for cellular entry. J. Control Release 2015, 206, 67–74. [Google Scholar] [CrossRef]
- Miteva, M.; Kirkbride, K.C.; Kilchrist, K.V.; Werfel, T.A.; Li, H.; Nelson, C.E.; Gupta, M.K.; Giorgio, T.D.; Duvall, C.L. Tuning PEGylation of mixed micelles to overcome intracellular and systemic siRNA delivery barriers. Biomaterials 2015, 38, 97–107. [Google Scholar] [CrossRef]
- Sardo, C.; Craparo, E.F.; Porsio, B.; Giammona, G.; Cavallaro, G. Combining inulin multifunctional polycation and magnetic nanoparticles: Redox-responsive siRNA-loaded systems for magnetofection. Polymers 2019, 11, 889. [Google Scholar] [CrossRef]
- Tanaka, K.; Kanazawa, T.; Horiuchi, S.; Ando, T.; Sugawara, K.; Takashima, Y.; Seta, Y.; Okada, H. Cytoplasm-responsive nanocarriers conjugated with a functional cell-penetrating peptide for systemic siRNA delivery. Int. J. Pharm. 2013, 455, 40–47. [Google Scholar] [CrossRef]








| PEG µmol/mg% | EGF µmol/mg% | |
|---|---|---|
| E-ICONs | / | 1.53 ± 0.17 |
| EP-ICONs 90:10 | 1.12 ± 0.17 | 1.37 ± 0.15 |
| EP-ICONs 70:30 | 3.36 ± 0.52 | 1.07 ± 0.12 |
| EP-ICONs 50:50 | 5.61 ± 0.86 | 0.76 ± 0.08 |
| P-ICONs | 11.22 ± 1.73 | / |
Publisher’s Note: MDPI stays neutral with regard to jurisdictional claims in published maps and institutional affiliations. |
© 2021 by the authors. Licensee MDPI, Basel, Switzerland. This article is an open access article distributed under the terms and conditions of the Creative Commons Attribution (CC BY) license (http://creativecommons.org/licenses/by/4.0/).
Share and Cite
Cavallaro, G.; Sardo, C.; Craparo, E.F.; Giammona, G. Development of New Targeted Inulin Complex Nanoaggregates for siRNA Delivery in Antitumor Therapy. Molecules 2021, 26, 1713. https://doi.org/10.3390/molecules26061713
Cavallaro G, Sardo C, Craparo EF, Giammona G. Development of New Targeted Inulin Complex Nanoaggregates for siRNA Delivery in Antitumor Therapy. Molecules. 2021; 26(6):1713. https://doi.org/10.3390/molecules26061713
Chicago/Turabian StyleCavallaro, Gennara, Carla Sardo, Emanuela Fabiola Craparo, and Gaetano Giammona. 2021. "Development of New Targeted Inulin Complex Nanoaggregates for siRNA Delivery in Antitumor Therapy" Molecules 26, no. 6: 1713. https://doi.org/10.3390/molecules26061713
APA StyleCavallaro, G., Sardo, C., Craparo, E. F., & Giammona, G. (2021). Development of New Targeted Inulin Complex Nanoaggregates for siRNA Delivery in Antitumor Therapy. Molecules, 26(6), 1713. https://doi.org/10.3390/molecules26061713
