Abstract
Two key factors bear on reaction rates for the conjugate addition of alkenyl boronic acids to heteroaryl-appended enones: the proximity of inductively electron-withdrawing heteroatoms to the site of bond formation and the resonance contribution of available heteroatom lone pairs to stabilize the developing positive charge at the enone β-position. For the former, the closer the heteroatom is to the enone β-carbon, the faster the reaction. For the latter, greater resonance stabilization of the benzylic cationic charge accelerates the reaction. Thus, reaction rates are increased by the closer proximity of inductive electron-withdrawing elements, but if resonance effects are involved, then increased rates are observed with electron-donating ability. Evidence for these trends in isomeric substrates is presented, and the application of these insights has allowed for reaction conditions that provide improved reactivity with previously problematic substrates.
1. Introduction
Heteroaromatics routinely appear as key pharmacophores in small molecule drugs [1,2,3,4,5], as common motifs in natural products [6,7,8], and as important functional groups in materials [9]. The ability to synthesize heteroaromatic systems attached to stereocenters is becoming increasingly important, especially as greater three-dimensionality in compounds is increasingly desired (Figure 1) [10,11,12,13,14,15,16].
Figure 1.
Examples of chiral heteroaromatic compounds.
Concordantly, many recent reports have described efforts to develop new strategies and catalysts to synthesize heteroaryl-bearing stereocenters with absolute stereocontrol. To cite limited examples, transition metal-mediated couplings [17,18,19,20,21,22,23,24,25,26], Petasis-like reactions [27,28,29], C—H functionalizations [30,31,32,33,34,35], Friedel–Crafts reactions [36,37,38,39,40,41,42,43,44,45,46,47,48,49,50,51,52,53,54,55,56,57,58,59,60,61,62,63,64,65,66,67,68,69,70,71,72,73,74,75,76,77,78,79,80,81,82,83,84,85,86], and conjugate additions have provided significant advances [87,88,89,90,91,92,93,94,95,96,97,98,99,100,101,102,103,104,105,106,107]. We have contributed to this area by demonstrating that α-chiral heterocycles can be synthesized through 3,3′-(bisperfluoroaryl)-BINOL (6)-catalyzed conjugate addition of aryl, alkenyl, and alkynyl boronic acids and trifluoroborate salts to β-heteroaryl-appended enones and enals [87,88,89,90]. When heteroaryl trifluoroborate salts are used as nucleophiles, bis-heteroaryl stereocenters are formed [90]. We have consistently encountered two problematic but synthetically important substrates, however: β-(2-indolyl)-enones and β-(pyrrolyl)-enones (Figure 2). This was especially vexing as the α-chiral indole 8 was a proposed intermediate for an enantioselective synthesis of flinderole C (1). This report describes why these substrates are problematic, how resonance effects impact the reaction rate and success, and how to increase these substrates’ reactivity.
Figure 2.
Problematic substrates for organocatalyzed conjugate addition.
The use of boronate esters and boronic acids as nucleophiles in catalyzed conjugate additions to enones dates to Suzuki [99,108,109,110,111,112]. More recent efforts have led to transition metal-catalyzed and organocatalyzed enantioselective versions of this reaction. For the latter cases, examples exist of BINOL-based ligands pioneered by Chong [113,114,115,116], ⟨-hydroxy acids reported by Sugiura [117,118,119,120], and thiourea catalysts from Takemoto [121]. Those reports, however, primarily dealt with aryl-substituted stereocenter formation, and so they offered little information on how to address heterocycle incorporation and the problematic 2-indole and 2-pyrrole substrates.
2. Results
In looking at data collected from the many heteroaromatic substrates that we had examined, patterns emerged for how the point of enone attachment on furan, pyridine, and imidazole rings affected the reaction rate (Figure 3). In the furanyl enone 11, where the enone is attached at the 2-position, the conjugate addition reaction occurs in only 8 h, while its counterpart, 12, which is attached at the 3-position, is not complete until 24 h. Pellegrinet and Goodman established that the initial step in the organocatalyzed conjugate addition mechanism is the formation of a discreet Lewis acid/base adduct between the enone and the catalyst ligated boronate ester [118,122]. One may draw equally viable resonance structures that stabilize the putative Lewis acid/base interaction for the 2- and 3-furan isomers (19 and 21, Figure 4) [122,123]. Since the difference in reaction rate was not readily correlated to resonance stabilization, we considered the possibility that proximity to the furan oxygen played a role. Similarly, in β-pyridyl-enones, the reactivity does not correlate to any typical resonance effects in that the 2-pyridine and 4-pyridine substrates do not exhibit similar rates. Rather, the trend still appears correlated with the proximity of the heteroatom to the reacting site, with 2-pyridyl 13 being formed within 3 h and 4-pyridyl 15 taking 21 h for complete reaction, which again implicates inductive electronic effects. Recruitment of the Lewis acidic nucleophile by the pyridyl nitrogen in a similar manner to Takemoto’s work [121] cannot be fully ruled out, either. For the imidazole substrates 16 and 17, similar resonance structures may be drawn for either isomer as seen for the furans, so resonance effects did not explain the reactivity difference. Again, having more nitrogens closer to the site of reactivity as seen in the 2-imidizole isomer gave a faster reaction than for the 4-imidazole isomer. Taken together, these substrates suggest that proximity to the inductively electron-withdrawing heteroatom in a heteroaromatic substituent accelerates this conjugate addition. They also exhibited high levels of enantioselectivity.
Figure 3.
Reaction times for series of heteroaromatic substrates.
Figure 4.
Resonance stabilization of Lewis acid/base interactions.
However, the trend described in the previous paragraph is opposite to that for the indole-substituted enones, where the high-performing 3-indole substrates bear the nitrogen further from the enone β-carbon than the poor-performing 2-indolo-enones (Figure 5). Moreover, inconsistent and unpredictable yields of 8 were routinely obtained. An early thought for the discrepancy was that the enone 7 has substitution at both the 2- and 3-positions, which would increase steric repulsion at the reactive site. However, control experiments with 22–25 in Figure 6 dispelled that notion, as the inferior reactivity was clearly due to the indole position of substitution and therefore more likely to be due to the system’s electronics. We reasoned that for these substrates, resonance effects might have played a larger role than the inductive effects seen in Figure 3. A relationship study for resonance effects and reaction rates using a Hammett plot analysis of aryl-substituted enones shed some mechanistic insight on what may have been occurring for the indole substrates [124]. In that study, a clear Hammett parameter correlation was seen for electron-donating substituents on the β-aromatic ring accelerating the reaction, which suggested that the stabilization of the benzylic cationic charge in 27b increased the reaction rate, likely because the formation of zwitterionic intermediate 27a is necessary for the reaction (Figure 6). While the resonance structures for charge stabilization for the 2/3-furan and 2/4-imidazole substrates were similar, those for the indoles 28 and 30 are quite different in relative energy because of the additional fused aromatic ring. The 3-indoloenone can stabilize the charge with the resonance structure 29b, which maintains the aromaticity in the fused benzene ring, but similar resonance stabilization in the 2-indoloenone 31b would require the loss of aromaticity. This phenomenon is the reason behind the well-established Friedel–Crafts reactivity patterns seen for indoles, where electrophilic substitution preferentially occurs at the 3-position, and would also make the enone 28 more Lewis basic than 30. To compensate for this energy difference, we proposed that we needed to make the 2-indoles more electron-rich for the key Lewis acid/base interaction illustrated in 31a.
Figure 5.
Indole control experiments.
Figure 6.
Stabilization of the zwitterionic intermediate.
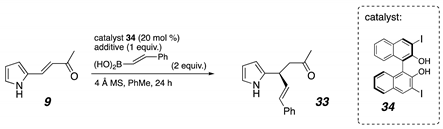
We also looked more closely at the problems with pyrrole substrates. Control experiments showed that the issues stemmed both from high reactivity found in the starting materials and even greater instability of the products. As evidence of the latter, when pure ketone 9 was reintroduced to the reaction conditions, it readily decomposed. When the starting material alone was stirred with the base and no other reactants, it also formed a new unstable product which could not be isolated or fully characterized. After the conjugate addition, the pyrrole in 32 is electron-rich and nucleophilic, has no protecting group, and bears no steric blocking groups (Figure 7). Various side reactions were consequently seen, such as a pyrrole nitrogen attack on the ketone carbonyl, forming a cyclized product that could be observed in the NMR of the crude reaction mixture but was not stable enough to isolate [19,20]. The Lewis acidic catalyst complex was thought to be promoting the side reactions, and so a less electron-deficient BINOL catalyst was sought as well as milder reaction conditions.
Figure 7.
Pyrrole problems.
Initially, we thought that a base additive could deprotonate the hydrogen of the pyrrole or indole substituent, at least partially, which would result in a greater electron density in the ring [124,125]. That electron density would then in turn be donated to activate the enone as in Figure 8. As a result, we evaluated a variety of bases to test this theory (Table 1). Note that in the original conditions reported for boronic acid nucleophiles (see Figure 2), Mg(Ot-Bu)2 is used only in sufficient quantities to deprotonate the catalyst. Moreover, t-BuOH replicated its effects, suggesting that their function was most likely to serve as a proton transfer agent. The Mg salt was usually slightly better, so metal coordination or pH adjustment may play a role in those conditions. Regardless, Mg(Ot-Bu)2 did not provide useful reactivity for 2-indole substrates (22 and 23, Figure 5). The carbonate bases generally outperformed the other bases in 24 h of reaction (entries 2–6). More soluble bases, such as Cs2CO3 and Na2CO3, produced less of the conjugate addition product compared to a less soluble base, such as (NH4)2CO3 (entries 3–6). It usually took several hours for the (NH4)2CO3 to dissolve in the solution. Bases that were stronger also resulted in a significant decrease in yield (entry 8, 9, and 17). Overall, the use of a full equivalent of (NH4)2CO3 and 3,3’-diiodo-BINOL (34, Table 1) as a catalyst significantly addressed the deficient reactivity of the indole substrates and the hyper-reactivity of the pyrrole compounds.
Figure 8.
Pyrrole substrates (NMR spectra and HPLC data in Supplementary Materials).
Table 1.
Optimizations of additives with 2-pyrrolyl enone. 0.20 mmol 27 with 0.02 mmol catalyst (20 mol %), 0.4 mmol of boronic acid, 0.4 mmol additive, 100 mg 4 Å MS, and 4 mL PhMe, stirred at reflux for 24 h.
Since (NH4)2CO3 showed much better outcomes for the pyrrole substrate, we tested those conditions on a variety of indoles and pyrroles, which provided a variety of interesting results (Figure 8). We found that when we protected the unsubstituted 2-pyrrolyl-enone 34, we obtained nearly identical results to the unprotected version (33). This outcome invalidated our initial hypothesis for the role of a base in deprotonating an indole or pyrrole nitrogen. We also found that as more substituents were incorporated onto the pyrrole, the desired reactivity faltered (35–37). In a control experiment, when the purified products were reintroduced into the reaction conditions, they decomposed. Another indication of how reactive these substituted pyrrole substrates are is that they decompose in ambient lighting more quickly than the unsubstituted starting material 9. Due to this high reactivity, the most substituted products are not stable enough to be isolated in useful yield. Another possibility for decreased conjugate addition yields could be a result of sterics. As more substituents are added to the ring, especially at the 3-position of the pyrrole, the sterics of these substituents could be causing allylic strain, inhibiting the conjugate addition reaction, and allowing more time for side reactions and decomposition to occur. A similar trend with pyrroles has been observed by the Qiu group [124].
A control experiment of stirring the pyrrolyl-enone with just (NH4)2CO3 in toluene without light at 90 °C without a catalyst or organoboron nucleophile resulted in an unwanted reaction that produced a side product too unstable to isolate. This indicated to us that the base has both an advantageous effect on the conjugate addition and an adverse effect on the starting material stability, creating a conflicted system. Typically, trifluoroborate salts work better in conjugate addition reactions because of their prolonged stability over their boronic acid counterparts [124]. Interestingly, though, in all of the pyrrole substrates (Figure 10) and some of the indole substrates (Figure 9), the boronic acids resulted in higher yields than their trifluoroborate counterparts. These findings led us to believe the base, (NH4)2CO3, could also be helping to promote boroxine formation from the boronic acid or maintain a favorable pKa for the conjugate addition reaction to occur. For the indole substrates in Figure 9, (NH4)2CO3 also improved the yield for the conjugate addition product. The unsubstituted indoles 28 and 39 resulted in moderate yields with both the boronic acid and trifluoroborate salt. The mono-substituted indoles 40 and 41 resulted in better yields when the trifluoroborate salt nucleophile was used compared to when the boronic acid was used. Both the pyrrole and indole products were formed with excellent enantioselectivity (Figure 8 and Figure 9).
Figure 9.
Indole substrates (NMR spectra and HPLC data in Supplementary Materials).
A variety of alkenyl boronic acids also show compatibility with these reaction conditions with the problematic 2-pyrroyl-enone (Figure 10). In most cases, the products that were formed in fair to good yields show excellent enantioselectivity (44–48).
Figure 10.
2-pyrrolyl-enone with boronic acids (NMR spectra and HPLC data in Supplementary Materials).
3. Conclusions
Two problematic series of substrates, β-(2-indole)-enones and β-(2-pyrrole)-enones, were thoroughly examined in the enantioselective organocatalyzed conjugate addition of alkenyl boronic acids or trifluoroborates. Analysis of isomer-related reaction rate trends showed that (1) the proximity of a heteroatom to the enone β-carbon was favorable to the reaction rate and (2) increased resonance electron donation also increased the reaction rate. The use of (NH4)2CO3 promoted the conjugate addition reaction better than Mg(Ot-Bu)2 or other additives. The use of a less electron-deficient catalyst in conjunction with the new base minimized side product formation and provided the most advantageous environment for the conjugate addition to sensitive substrates to date.
4. Materials and Methods
4.1. Materials
Commercially available compounds were purchased from Aldrich (Burlington, MA, USA), Acros (Geel, Belgium), Alfa Aesar (Ward Hill, MA, USA), Ark Pharm (Chicago, IL, USA), and Combi-block (San Diego, CA, USA) and were used without further purification.
4.2. General Considerations
All reactions were carried out in flame- or oven-dried glassware. THF, toluene, and CH2Cl2 were purged with argon and dried over activated alumina columns. Flash chromatography was performed on 60 Å silica gel (EMD Chemicals Inc (St. Louis, MO, USA)). Preparative plate chromatography was performed on EMD silica gel plates, 60 Å, with UV-254 indicator. Chemical names were generated using Cambridge Soft ChemBioDraw Ultra 12.0. Analysis by HPLC was performed on a Shimadzu Prominence LC (LC-20AB) equipped with an SPD-20A UV-Vis detector and a Chiralpak or Chiralcel (250 × 4.6 mm) column (see below for column details). Analytical thin layer chromatography was performed on EMD silica gel/TLC plates with a fluorescent detector at 254 nm. The 1H and 13C-NMR spectra were recorded on a JEOL ECA-600, JEOL ECA-500, or ECX-400P spectrometer using residual solvent peak as an internal standard (CDCl3: 7.26 ppm for 1H-NMR and 77.0 ppm for 13C-NMR; C6D6: 7.15 ppm for 1H-NMR and 128.6 ppm for 13C-NMR).
- HPLC Columns for Separation of Enantiomers:
Chiralpak AY-3: Amylose tris-(5-chloro-2-methylphenylcarbamate) coated on 3 μm silica gel; Chiralpak AD-H: Amylose tris-(3,5-dimethylphenylcarbamate) coated on 5 μm silica gel; Chiralpak ID: Amylose tris-(3-chlorophenylcarbamate) immobilized on 5 μm silica gel; Chiralcel OJ-H: Cellulose tris-(4-methylbenzoate) coated on 5 μm silica gel; Chiralcel OD-H: Cellulose tris-(3,5-dimethylphenylcarbamate) coated on 5 μm silica gel; Chiralpak AS-H: Amylose tris-[(S)-α-methylbenzylcarbamate) coated on 5 μm silica gel.
(E)-4-(furan-2-yl)but-3-en-2-one(11) [48], (E)-4-(furan-3-yl)but-3-en-2-one(12) [48], (E)-4-(pyridin-2-yl)but-3-en-2-one (13) [48], (S)-6-methyl-4-(pyridin-3-yl)hept-5-en-2-one(14) [48], (S)-6-methyl-4-(pyridin-4-yl)hept-5-en-2-one (15) [48], (S)-4-(1H-imidazol-2-yl)-6-methylhept-5-en-2-one (16) [48], (S)-4-(1H-imidazol-5-yl)-6-methylhept-5-en-2-one (17) [48],(E)-4-(1H-pyrrol-2- yl)but-3-en-2-one [48],(E)-4-(1-benzyl-1H-pyrrol-2-yl)but-3-en-2-one [89],(E)-4-(1H-indol-3-yl)but-3-en-2-one and Benzyl (E)-(2-(2-(3-oxobut-1-en-1-yl)-1H-indol-3-yl)ethyl)carbamate [87], benzyl (S,E)-(2-(2-(5-oxo-1-phenylhex-1-en-3-yl)-1H-indol-3-yl)ethyl)carbamate [87], tert-butyl (S,E)-3-(2-(((benzyloxy)carbonyl)amino)ethyl)-2-(5-oxo-1-phenylhex-1-en-3-yl)-1H-indole-1- carboxylate [87], 1,2 (E)-4-(1H-indol-2-yl)but-3-en-2-one (30) [87], (E)-4-(1H-pyrrol-3-yl)but-3-en-2-one [87], (S)-4-(1H-indol-2-yl)-6-methylhept-5-en-2-one (22) [87], (S)-6-methyl-4-(1H-pyrrol-2-yl)hept-5-en-2-one (10) [87], (S)-4-(1H-indol-2-yl)-6-methylhept-5-en-2-one, (S,E)-4-(1H-indol-3-yl)-6-phenylhex-5-en-2-one(67) [87], benzyl (S,E)-(2-(2-(5-oxo-1-phenylhex-1-en-3-yl)-1H-indol-3-yl)ethyl)carbamate (42) [48], tert-butyl (S,E)-3-(2-(((benzyloxy)carbonyl)amino)ethyl)-2-(5-oxo-1-phenylhex-1-en-3-yl)-1H-indole-1- carboxylate(43) [87], (S,E)-6-phenyl-4-(1H-pyrrol-2-yl)hex-5-en-2-one (33) [89], (S,E)-4-(1H-indol-2-yl)-6-phenylhex-5-en-2-one (39) [48], and (E)-4-(1-benzyl-1H-pyrrol-2-yl)but-3-en-2-one [48] were synthesized following literature procedures.
4.3. General Procedure for the Synthesis of Starting Materials (Enone)
Carboxaldehyde (2 mmol), 1-(triphenylphosphoranylidene)-2-propanone (1.2 equiv, 764 mg), and toluene (4 mL) were added to a flask equipped with a stir bar and a condenser. The reaction mixture was refluxed for 10 h. After completion, the reaction mixture was concentrated via rotary evaporation. The crude mixture was purified via flash column chromatography with an appropriate eluent on silica gel.
4.3.1. (E)-4-(5-methyl-1H-pyrrol-2-yl)but-3-en-2-one
See the general procedure for enone formation above; in addition, the reaction was shielded from light by covering the reaction and product with aluminum foil. The product will decompose in prolonged exposure to light. An amount of 1 g of 5-methyl-1H-pyrrole-2-carbaldehyde was used. The crude reaction mixture was purified via flash column chromatography with a 10–20% gradient of ethyl acetate in hexanes as eluent on silica gel. Yield: 56%
1H-NMR (500 MHz, chloroform-D) δ 8.45 (s, 1H), 7.51 (d, J = 16.0 Hz, 1H), 7.08 (s, 1H), 6.82 (s, 1H), 6.48−6.43 (m, 2H), 2.32 (s, 3H)
1H-NMR (600 MHz, Benzene-D6) δ 7.18 (s, 2H), 6.39 (s, 1H), 6.34 (s, 1H), 5.93 (s, 1H), 1.96 (s, 3H), 1.33(s, 3H).
13C-NMR (126 MHz, chloroform-d) δ 198.6, 133.6, 121.4, 119.1, 117.6 113.3, 110.8, 110.0, 31.3, 13.9
IR(neat): 3283, 1613, 1560, 1477, 1423, 1358, 1263, 959, 764, 700, 489 cm−1
HRMS-ESI m/z Calculated for C9H11NO [M + H]+ 150.0913, found 150.0916.
4.3.2. (E)-4-(3,5-dimethyl-1H-pyrrol-2-yl)but-3-en-2-one
See the general procedure for enone formation above; in addition, the reaction was shielded from light by covering the reaction and product with aluminum foil. The product will decompose in prolonged exposure to light. An amount of 1 g of 3,5-dimethyl-1H-pyrrole-2-carbaldehyde was used. The crude reaction mixture was purified via flash column chromatography with a 10–20% gradient of ethyl acetate in hexanes as eluent on silica gel. Yield: 70%
1H-NMR (400 MHz, chloroform-d) δ 8.53 (s, 1H), 7.41 (d, J = 15.6 Hz, 1H), 6.16 (d, J = 16.0 Hz, 1H), 5.89 (d, J = 17.8 Hz, 1H), 2.29 (d, J = 11.2 Hz, 6H), 2.18 (s, 3H), 1.80 (s, 2H)
13C-NMR (101 MHz, chloroform-D) δ 198.4, 131.1, 130.6, 127.2, 112.3, 111.2, 31.1, 13.8, 13.5, 11.5
IR (neat): 3292, 3246, 1600, 1559, 1433, 1358, 1258, 953, 839, 785, 711, 668 cm−1
HRMS-ESI m/z Calculated for C10H13NO [M + Na]+ 290.1515, found 290.1525.
4.3.3. (E)-4-(4-ethyl-3,5-dimethyl-1H-pyrrol-2-yl)but-3-en-2-one
See the general procedure for enone formation above; in addition, the reaction was shielded from light by covering the reaction and product with aluminum foil. The product will decompose in prolonged exposure to light. An amount of 1 g of 4-ethyl-3,5-dimethyl-1H-pyrrole-2-carbaldehyde was used. The crude reaction mixture was purified via flash column chromatography with a 10–20% gradient of ethyl acetate in hexanes as eluent on silica gel. Yield: 55%
IR(neat): 3254, 2961, 2912, 2855, 1612, 1570, 1444, 1253, 950 cm−1.
HRMS-ESI m/z Calculated for C12H17NO [M + H]+ 192.1383, found 192.1386.
4.3.4. (E)-4-(3-methyl-1H-indol-2-yl)but-3-en-2-one
A mixture of 3-methyl-1H-indole-2-carbaldehyde (0.1 mmol), but-3-yn-2-one (0.15 mmol), and Sc(OTf)3 (10 mol%) in MeCN (0.5 mL) was stirred at 21 °C for the appropriate time. After complete conversion, as indicated by TLC, the reaction mixture was diluted with H2O and extracted with EtOAc. The combined organic layers were dried over MgSO4, concentrated in vacuo, and purified by column chromatography with a 5–30% gradient of ethyl acetate in hexanes as eluent on silica gel.
1H-NMR (500 MHz, chloroform-d): δ 8.60 (brs, NH), 7.66 (d, J = 16.5 Hz, 1H), 7.58 (d, J = 8.0 Hz, 1H), 7.35 (d, J = 8.0 Hz, 1H) 7.29–7.25 (m, 1H), 7.11 (t, J = 8.0 Hz, 1H), 6.50 (d, J = 16.5 Hz, 1H), 2.44 (s, 3H), 2.41 (s, 3H).
13C-NMR (125 MHz, chloroform-d): δ 198.1, 137.7, 131.1, 129.9, 129.0, 125.4, 122.8, 119.9, 119.9, 119.9, 111.1, 27.4, 9.0.
IR(neat): 3299, 1634, 1598, 1257, 1235, 953, 747, 622, 459 cm−1.
HRMS-ESI m/z Calculated for C13H13NO [M + H]+ 200.1070, found 200.1072.
4.4. Procedure for Boronic Acid Synthesis: 2-Methylprop-1-Enylboronic Acid
LiCl (1.008 g, 24 mmol, 1.2 equiv) was added to a 250 mL flask and the flask was flame dried under high vacuum. The flask was then back filled with argon. Then, 0.5 M 2-Methyl-1-propenyl magnesium bromide in THF (40 mL, 20 mmol, 1.0 equiv) and Et2O (50 mL) were added. The solution was cooled to −78 °C. Trimethyl borate (2.5 mL, 22 mmol, 1.1 equiv) was added dropwise and the reaction was allowed to slowly warm to room temperature and stir overnight. The next day, it was quenched with 1 M HCl (30 mL) until the reaction mixture became clear and then stirred for 1 h. It was then extracted with Et2O (3 times) and washed with sat. aqueous NaHCO3 and brine solution. The organic layer was dried with Na2SO4 and then concentrated via rotary evaporation. The crude solid was purified via column chromatography with a 20–30% gradient of ethyl acetate in hexanes as eluent on silica gel to afford a white solid (1.105 g, 11.06 mmol, 55% yield). All spectral properties were identical to those reported in the literature.
4.5. General Procedure for 1,4-Conjugate Addition (Mg(t-BuO)2 as Additive)
Here, 4 Å powdered molecular sieves (100 mg) were added to a flask equipped with a stir bar and a condenser and the flask was flame dried under high vacuum. The flask was then back filled with argon. The heterocycle-appended enone (0.2 mmol, 1.0 equiv), Mg(t-BuO)2 (3.4 mg, 0.02 mmol, 0.1 equiv), boronic acid (3 equiv), and BINOL catalyst (0.04 mmol, 0.2 equiv) were then added. Freshly dried toluene (4 mL) was added and the reaction was heated to reflux in a 70–78 °C oil bath and allowed to stir at this temperature (see each product for specific reaction times). After completion, methanol was added and the reaction mixture was concentrated via rotary evaporation. The crude reaction mixture was then dry loaded onto silica gel and purified via flash column chromatography on silica gel with appropriate eluents. All spectral properties.
- (S)-6-methyl-4-(1H-pyrrol-2-yl)hept-5-en-2-one (10)
1H-NMR (400 MHz, chloroform-D): δ 8.41 (brs, NH), 6.66 (dd, J = 4.0, 2.4 Hz, 1H), 6.11 (dd, J = 5.6, 2.8 Hz, 1H), 5.89–5.88 (m, 1H), 5.27–5.24 (m, 1H), 4.11 (ddd, J = 9.5, 6.8, 6.8 Hz, 1H), 2.89 (dd, J = 17.2, 7.6 Hz, 1H), 2.73 (dd, J = 17.2, 6.0 Hz, 1H), 2.14 (s, 3H), 1.75 (d, J = 1.6 Hz, 3H), 1.70 (d, J = 1.6 Hz, 3H).
13C-NMR (125 MHz, chloroform-D): δ 208.8, 134.5, 133.4, 125.0, 116.5, 108.0, 103.8, 50.0, 32.4, 30.6, 25.8,18.0.
4.6. General Procedure for 1,4-Conjugate Addition ((NH4)2CO3 as an Additive)
Here, 4 Å powdered molecular sieves (100 mg) were added to a flask equipped with a stir bar and a condenser and the flask was flame dried under high vacuum. The flask was then back filled with argon. The heterocycle-appended enone (0.2 mmol, 1.0 equiv), (NH4)2CO3 (38 mg, 0.4 mmol, 2.0 equiv), boronic acid (2 equiv), and BINOL catalyst (0.04 mmol, 0.2 equiv) were then added. Freshly dried toluene (4 mL) was added and the reaction was heated to 90 °C in an oil bath and allowed to stir at this temperature for 24 h. After completion, the reaction mixture was concentrated via rotary evaporation. The crude reaction mixture was then dry loaded onto silica gel and purified via flash column chromatography on silica gel with eluents of 10–30% ethyl acetate in hexanes.
- (S,E)-4-(3-methyl-1H-indol-2-yl)-6-phenylhex-5-en-2-one(40)
See the general procedure for enone formation above. The crude reaction mixture was purified via flash column chromatography with a 10–30% gradient of ethyl acetate in hexanes as eluent on silica gel.
1H-NMR (500 MHz, chloroform-d) δ 8.31 (s, 1H), 7.67 (d, J = 16.0 Hz, 1H), 7.59 (d, J = 8.0 Hz, 1H), 7.35–7.27 (m, 2H), 7.12 (t, J = 7.4 Hz, 1H), 6.45 (d, J = 16.0 Hz, 1H), 3.50 (s, 1H), 2.45 (s, 3H), 2.41 (s, 3H), 1.36–1.25 (m, 1H)
13C-NMR (101 MHz, chloroform-d) δ 184.5, 138.9, 128.6, 128.4, 127.6, 126.5, 125.8, 124.9, 124.3, 122.9, 121.2, 110.6, 108.7, 74.5, 35.5, 19.0, 13.3
IR(neat): 3090, 3070, 3035, 1477, 1034, 669 cm−1.
HRMS-ESI m/z Calculated for C21H21NO [M + Na]+ 326.1515, found 326.1518.
- (S,E)-4-(2-methyl-1H-indol-3-yl)-6-phenylhex-5-en-2-one(41)
See the general procedure for enone formation above. The crude reaction mixture was purified via flash column chromatography with a 10–30% gradient of ethyl acetate in hexanes as eluent on silica gel.
1H-NMR (600 MHz, Benzene-D) δ 7.60 (d, J = 7.6 Hz, 1H), 7.17–7.11 (m, 5H), 7.01 (t, J = 7.2 Hz, 3H), 6.94 (t, J = 7.2 Hz, 1H), 6.50 (dd, J = 15.8, 5.5 Hz, 1H), 6.40 (d, J = 15.8 Hz, 1H), 6.36 (s, 1H), 4.40 (q, J = 6.4 Hz, 1H), 2.87 (q, J = 8.5 Hz, 1H), 2.57 (dd, J = 16.5, 5.5 Hz, 1H), 2.06 (s, 3H), 1.44 (s, 3H)
13C-NMR (101 MHz, chloroform-D) δ 208.0, 135.5, 132.2, 129.3, 128.5, 128.4, 127.1, 126.3, 121.0, 119.3, 119.2, 110.6, 48.2, 35.1, 30.9, 12.2.
IR(neat): 3091, 3071, 3035, 1477, 1035, 668 cm−1.
HRMS-ESI m/z Calculated for C21H21NO [M + H]+ 326.1515, found 326.1520.
- (S,E)-4-(5-methyl-1H-pyrrol-2-yl)-6-phenylhex-5-en-2-one (35)
See the general procedure for enone formation above. The crude reaction mixture was purified via flash column chromatography with a 10–30% gradient of ethyl acetate in hexanes as eluent on silica gel.
1H-NMR (400 MHz, chloroform-d) δ 8.04 (s, 1H), 7.36–7.28 (m, 4H), 7.23 (d, J = 6.6 Hz, 1H), 6.48 (d, J = 16.2 Hz, 1H), 6.30 (q, J = 7.9 Hz, 1H), 5.78 (d, J = 11.4 Hz, 2H), 4.05–4.01 (m, 1H), 3.03–2.89 (m, 2H), 2.22 (s, 3H), 2.17 (s, 3H)
13C-NMR (101 MHz, chloroform-d) δ 208.2, 131.8, 130.8, 130.5, 128.7, 128.4, 127.6, 127.3, 126.4, 105.7, 104.7, 48.9, 37.0, 30.8, 13.1.
IR(neat): 3090, 3070, 3035, 1959, 1814, 1477, 1034, 668 cm−1.
HRMS-ESI m/z Calculated for C17H19NO [M + Na]+ 276.1359, found 276.1358.
- (S,E)-4-(3,5-dimethyl-1H-pyrrol-2-yl)-6-phenylhex-5-en-2-one (36)
See the general procedure for enone formation above. The crude reaction mixture was purified via flash column chromatography with a 10–30% gradient of ethyl acetate in hexanes as eluent on silica gel.
1H-NMR (400 MHz, chloroform-d) δ 7.86 (s, 1H), 7.36–7.28 (m, 5H), 7.22–7.18 (m, 1H), 6.36 (d, J = 2.3 Hz, 1H), 5.65 (s, 1H), 4.07 (dd, J = 11.5, 6.3 Hz, 1H), 2.94 (d, J = 6.4 Hz, 2H), 2.19 (s, 3H), 2.13 (s, 3H), 2.02 (s, 3H).
13C-NMR (101 MHz, chloroform-d) δ 208.2, 137.1, 130.8, 129.7, 128.6, 127.4, 126.3, 126.0, 114.6, 108.2, 48.5, 35.5, 30.7, 29.8, 13.1, 11.2
IR(neat): 3090, 3070, 3035, 1959, 1814, 1477, 1034, 668 cm−1.
HRMS-ESI m/z Calculated for C18H21NO [M + Na]+ 290.1515, found 290.1525.
- (S,E)-4-(4-ethyl-3,5-dimethyl-1H-pyrrol-2-yl)-6-phenylhex-5-en-2-one(37)
See the general procedure for enone formation above. The crude reaction mixture could not be purified, so an NMR standard, 4-methylnitrobenzoate, was used to obtain the yield. All reactants were added to the reaction mixture along with 0.1 mmol of 4-methylnitrobenzoate. The aryl peaks for the 4-methylnitrobenzoate were compared with the typical quartet around 4.0–4.4 ppm, indicating that the beta-bond formed during the conjugate addition reaction.
- (S,E)-6-phenyl-4-(1H-pyrrol-3-yl)hex-5-en-2-one (38)
See the general procedure for enone formation above. The crude reaction mixture was purified via flash column chromatography with a 10–30% gradient of ethyl acetate in hexanes as eluent on silica gel.
1H-NMR (500 MHz, chloroform-d) δ 8.08 (s, 1H), 7.34 (d, J = 7.4 Hz, 2H), 7.28 (d, J = 7.4 Hz, 2H), 7.18 (t, J = 7.2 Hz, 1H), 6.75 (s, 1H), 6.62 (s, 1H), 6.42 (d, J = 15.5 Hz, 1H), 6.30 (q, J = 7.8 Hz, 1H), 6.13 (s, 1H), 4.03 (q, J = 7.3 Hz, 1H), 2.86 (qd, J = 15.8, 7.2 Hz, 2H), 2.12 (s, 3H).
13C-NMR (151 MHz, Benzene-d) δ 204.4, 138.7, 137.3, 133.6, 132.1, 129.9, 128.5, 128.4, 128.3, 128.0, 127.9, 127.8, 127.6, 127.3, 127.2, 126.6, 126.3, 121.7, 107.6, 106.1, 50.1, 48.3, 35.3, 29.7
IR(neat): 3090, 3080, 3035, 1959, 1814, 1477, 1034, 668 cm−1.
HRMS-ESI m/z Calculated for C16H17NO [M + Na]+ 262.1202, found 262.1208.
- (S,E)-4-(1H-pyrrol-2-yl)-6-(p-tolyl)hex-5-en-2-one (44)
See the general procedure for enone formation above. The crude reaction mixture was purified via flash column chromatography with a 10–20% gradient of ethyl acetate in hexanes as eluent on silica gel.
1H-NMR (600 MHz, Benzene-d) δ 7.52 (s, 1H), 7.29–7.22 (m, 2H), 7.12 (t, J = 7.6 Hz, 2H), 7.06–7.03 (m, 1H), 6.38–6.23 (m, 2H), 5.98 (d, J = 2.7 Hz, 2H), 3.95 (q, J = 6.9 Hz, 1H), 2.53–2.34 (m, 2H), 1.93 (t, J = 15.5 Hz, 3H), 1.58 (s, 3H)
13C-NMR (151 MHz, Benzene-d) δ 206.0, 134.7, 132.9, 130.2, 129.3, 128.3, 127.9, 127.8, 127.6, 126.4, 116.9, 108.2, 104.9, 48.6, 36.8
IR(neat): 3380, 3022, 2920, 1706, 1512, 1358, 967, 794, 720 cm−1.
HRMS-ESI m/z Calculated for C17H19NO [M + Na]+ 276.1359, found 276.1361.
- (S,E)-6-([1,1′-biphenyl]-4-yl)-4-(1H-pyrrol-2-yl)hex-5-en-2-one (45)
See the general procedure for enone formation above. The crude reaction mixture was purified via flash column chromatography with a 10–20% gradient of ethyl acetate in hexanes as eluent on silica gel.
1H-NMR (600 MHz, Benzene-d) δ 7.72 (s, 1H), 7.47 (dd, J = 23.7, 7.9 Hz, 4H), 7.27 (d, J = 8.2 Hz, 2H), 7.23 (t, J = 7.6 Hz, 2H), 7.14 (d, J = 6.9 Hz, 1H), 6.41–6.24 (m, 4H), 6.09 (s, 1H), 3.97 (q, J = 6.9 Hz, 1H), 2.48 (q, J = 8.2 Hz, 1H), 2.35 (dd, J = 17.2, 6.2 Hz, 1H), 1.56 (s, 3H)
13C-NMR (151 MHz, chloroform-d) 208.2, 130.7, 128.9, 127.4, 127.0, 126.8, 117.3, 108.2, 104.7, 100.0, 77.3, 77.1, 76.9, 74.8, 49.0, 36.9, 11.3
IR(neat): 3334, 3027, 2925, 1697, 964, 720, 691 cm−1.
HRMS-ESI m/z Calculated for C22H21NO [M + Na]+ 338.1515, found 338.1520.
- (S,E)-4-(1H-pyrrol-2-yl)-6-(4-(trifluoromethyl)phenyl)hex-5-en-2-one (46)
See the general procedure for enone formation above. The crude reaction mixture was purified via flash column chromatography with a 10–20% gradient of ethyl acetate in hexanes as eluent on silica gel.
1H-NMR (600 MHz, Benzene-d) δ 7.72 (s, 1H), 7.47 (dd, J = 23.7, 7.9 Hz, 4H), 7.27 (d, J = 8.2 Hz, 2H), 7.23 (t, J = 7.6 Hz, 2H), 7.14 (d, J = 6.9 Hz, 1H), 6.41–6.24 (m, 4H), 6.09 (s, 1H), 3.97 (q, J = 6.9 Hz, 1H), 2.48 (q, J = 8.2 Hz, 1H), 2.35 (dd, J = 17.2, 6.2 Hz, 1H), 1.56 (s, 3H)
13C-NMR (151 MHz, chloroform-d) δ 208.0, 133.4, 132.7, 129.4, 126.5, 125.6, 117.4, 108.2, 104.9, 77.3, 77.1, 76.9, 76.8, 48.9, 36.8, 30.7
IR(neat): 3407, 2924, 1704, 1363, 1325, 1222, 529 cm−1
HRMS-ESI m/z Calculated for C17H16F3NO [M + H]+ 308.1257, found 308.1254.
- (S,E)-4-(1H-pyrrol-2-yl)non-5-en-2-one (47)
See the general procedure for enone formation above. The crude reaction mixture was purified via flash column chromatography with a 10–20% gradient of ethyl acetate in hexanes as eluent on silica gel.
1H-NMR (600 MHz, chloroform-d) δ 8.38 (s, 1H), 6.68 (q, J = 2.3 Hz, 1H), 6.11 (q, J = 3.0 Hz, 1H), 5.88 (s, 1H), 5.55–5.54 (m, 2H), 3.87 (q, J = 6.6 Hz, 1H), 2.90–2.72 (m, 2H), 2.16 (d, J = 20.6 Hz, 3H), 2.02–1.99 (m, 2H), 1.42–1.36 (m, 2H), 0.90–0.87 (m, 3H)
13C-NMR (151 MHz, chloroform-d) δ 208.7, 134.1, 131.8, 130.6, 116.9, 108.0, 104.3, 77.3, 77.1, 76.9, 49.4, 36.7, 34.6, 30.7, 22.6, 13.8
IR(neat): 3378, 2957, 2927, 1704, 1357, 966, 712 cm−1.
HRMS-ESI m/z Calculated for C13H19NO [M + Na]+ 228.1359, found 228.1359.
Supplementary Materials
The following are available online.
Author Contributions
A.B. and J.A.M. wrote the paper. J.A.M. generated core hypotheses, supervised the project, and trained personnel. A.B. performed the experiments and analyzed the data in Figure 9 and Figure 10 and Table 1. T.S.N. performed initial explorations of pyrrole substrates with early method optimization. B.J.L. discovered the issue at hand and performed the experiments in Figure 7 and other early trials. J.-Y.L. conducted initial trials and optimizations with pyrrole substrates to establish feasibility, writing. R.V., idea for deprotonation of nitrogen, early trials, and writing of the manuscript. S.S. idea for (NH4)2CO3 as an additive. All authors have read and agreed to the published version of the manuscript.
Funding
We wish to thank the Welch foundation (grant E-1744) and the National Science Foundation (grant CHE-1352439) for funding the support for this research. Li is grateful to Joan and Herman Suit for financial support through the Eby Nell McElrath Fellowship.
Data Availability Statement
The data presented in this study are available in this article and in the Supplementary Information file.
Acknowledgments
High-resolution mass spectrometry data were obtained as fee-for-hire by the Mass Spectrometry facility at UT Austin.
Conflicts of Interest
The authors declare no conflict of interest.
References and Note
- Riviere, J.E.; Brooks, J.D.; Collard, W.T.; Deng, J.; de Rose, G.; Mahabir, S.P.; Merritt, D.A.; Marchiondo, A.A. Prediction of Formulation Effects on Dermal Absorption of Topically Applied Ectoparasiticides Dosed in Vitro on Canine and Porcine Skin Using a Mixture-Adjusted Quantitative Structure Permeability Relationship. J. Vet. Pharmacol. Ther. 2014, 37, 435–444. [Google Scholar] [CrossRef]
- Wong, D.T.; Bymaster, F.P. Dual serotonin and noradrenaline uptake inhibitor class of antidepressants—Potential for greater efficacy or just hype? In Progress in Drug Research; Glasel, J.A., Kolb, V.M., Skatrud, P.L., Ford, J.W., Stevens, E.B., Treherne, J.M., Packer, J., Bushfield, M., Wong, D.T., Bymaster, F.P., et al., Eds.; Progress in Drug Research; Birkhäuser: Basel, Switzerland, 2002; pp. 169–222. ISBN 978-3-0348-8183-8. [Google Scholar]
- Bertolini, S.; Bon, G.B.; Campbell, L.M.; Farnier, M.; Langan, J.; Mahla, G.; Pauciullo, P.; Sirtori, C.; Egros, F.; Fayyad, R.; et al. Efficacy and Safety of Atorvastatin Compared to Pravastatin in Patients with Hypercholesterolemia. Atherosclerosis 1997, 130, 191–197. [Google Scholar] [CrossRef]
- Lind, T.; Rydberg, L.; Kylebäck, A.; Jonsson, A.; Andersson, T.; Hasselgren, G.; Holmberg, J.; Röhss, K. Esomeprazole Provides Improved Acid Control vs. Omeprazole In Patients with Symptoms of Gastro-Oesophageal Reflux Disease. Aliment. Pharmacol. Ther. 2000, 14, 861–867. [Google Scholar] [CrossRef] [PubMed]
- Moussa, I.; Oetgen, M.; Roubin, G.; Colombo, A.; Wang, X.; Iyer, S.; Maida, R.; Collins, M.; Kreps, E.; Moses, J.W. Effectiveness of Clopidogrel and Aspirin versus Ticlopidine and Aspirin in Preventing Stent Thrombosis after Coronary Stent Implantation. Circulation 1999, 99, 2364–2366. [Google Scholar] [CrossRef]
- Fernandez, L.S.; Buchanan, M.S.; Carroll, A.R.; Feng, Y.J.; Quinn, R.J.; Avery, V.M. Flinderoles A–C: Antimalarial Bis-Indole Alkaloids from Flindersia Species. Org. Lett. 2009, 11, 329–332. [Google Scholar] [CrossRef] [PubMed]
- Hu, Y.; Potts, M.B.; Colosimo, D.; Herrera-Herrera, M.L.; Legako, A.G.; Yousufuddin, M.; White, M.A.; MacMillan, J.B. Discoipyrroles A–D: Isolation, Structure Determination, and Synthesis of Potent Migration Inhibitors from Bacillus hunanensis. J. Am. Chem. Soc. 2013, 135, 13387–13392. [Google Scholar] [CrossRef] [PubMed]
- Vallakati, R.; May, J.A. Biomimetic Synthesis of the Antimalarial Flindersial Alkaloids. J. Am. Chem. Soc. 2012, 4. [Google Scholar] [CrossRef]
- Kotkar, D.; Joshi, V.; Ghosh, P.K. Towards Chiral Metals. Synthesis of Chiral Conducting Polymers from Optically Active Thiophene and Pyrrole Derivatives. J. Chem. Soc. Chem. Commun. 1988, 917–918. [Google Scholar] [CrossRef]
- Lovering, F.; Bikker, J.; Humblet, C. Escape from Flatland: Increasing Saturation as an Approach to Improving Clinical Success. J. Med. Chem. 2009, 52, 6752–6756. [Google Scholar] [CrossRef]
- Hung, A.W.; Ramek, A.; Wang, Y.; Kaya, T.; Wilson, J.A.; Clemons, P.A.; Young, D.W. Route to Three-Dimensional Fragments Using Diversity-Oriented Synthesis. Proc. Natl. Acad. Sci. USA 2011, 108, 6799–6804. [Google Scholar] [CrossRef]
- Hajduk, P.J.; Galloway, W.R.J.D.; Spring, D.R. A Question of Library Design. Nature 2011, 470, 42–43. [Google Scholar] [CrossRef]
- Twigg, D.G.; Kondo, N.; Mitchell, S.L.; Galloway, W.R.J.D.; Sore, H.F.; Madin, A.; Spring, D.R. Partially Saturated Bicyclic Heteroaromatics as an Sp3-Enriched Fragment Collection. Angew. Chem. Int. Ed. 2016, 55, 12479–12483. [Google Scholar] [CrossRef] [PubMed]
- Lovering, F. Escape from Flatland 2: Complexity and Promiscuity. MedChemComm 2013, 4, 515–519. [Google Scholar] [CrossRef]
- Liu, Y.; Han, S.-J.; Liu, W.-B.; Stoltz, B.M. Catalytic Enantioselective Construction of Quaternary Stereocenters: Assembly of Key Building Blocks for the Synthesis of Biologically Active Molecules. Acc. Chem. Res. 2015, 48, 740–751. [Google Scholar] [CrossRef]
- Prosser, K.E.; Stokes, R.W.; Cohen, S.M. Evaluation of 3-Dimensionality in Approved and Experimental Drug Space. ACS Med. Chem. Lett. 2020, 11, 1292–1298. [Google Scholar] [CrossRef] [PubMed]
- Guo, C.; Song, J.; Luo, S.-W.; Gong, L.-Z. Enantioselective Oxidative Cross-Coupling Reaction of 3-Indolylmethyl C–H Bonds with 1,3-Dicarbonyls Using a Chiral Lewis Acid-Bonded Nucleophile to Control Stereochemistry. Angew. Chem. Int. Ed. 2010, 49, 5558–5562. [Google Scholar] [CrossRef]
- Ohmura, T.; Awano, T.; Suginome, M. Stereospecific Suzuki-Miyaura Coupling of Chiral α-(Acylamino)Benzylboronic Esters with Inversion of Configuration. J. Am. Chem. Soc. 2010, 132, 13191–13193. [Google Scholar] [CrossRef] [PubMed]
- Taylor, B.L.H.; Swift, E.C.; Waetzig, J.D.; Jarvo, E.R. Stereospecific Nickel-Catalyzed Cross-Coupling Reactions of Alkyl Ethers: Enantioselective Synthesis of Diarylethanes. J. Am. Chem. Soc. 2011, 133, 389–391. [Google Scholar] [CrossRef]
- Zhou, Q.; Srinivas, H.D.; Dasgupta, S.; Watson, M.P. Nickel-Catalyzed Cross-Couplings of Benzylic Pivalates with Arylboroxines: Stereospecific Formation of Diarylalkanes and Triarylmethanes. J. Am. Chem. Soc. 2013, 135, 3307–3310. [Google Scholar] [CrossRef] [PubMed]
- Do, H.-Q.; Chandrashekar, E.R.R.; Fu, G.C. Nickel/Bis(Oxazoline)-Catalyzed Asymmetric Negishi Arylations of Racemic Secondary Benzylic Electrophiles to Generate Enantioenriched 1,1-Diarylalkanes. J. Am. Chem. Soc. 2013, 135, 16288–16291. [Google Scholar] [CrossRef] [PubMed]
- Sun, C.; Potter, B.; Morken, J.P. A Catalytic Enantiotopic-Group-Selective Suzuki Reaction for the Construction of Chiral Organoboronates. J. Am. Chem. Soc. 2014, 136, 6534–6537. [Google Scholar] [CrossRef] [PubMed]
- Wang, G.; Xin, X.; Wang, Z.; Lu, G.; Ma, Y.; Liu, L. Catalytic Enantioselective Oxidative Coupling of Saturated Ethers with Carboxylic Acid Derivatives. Nat. Commun. 2019, 10, 559. [Google Scholar] [CrossRef]
- Yu, J.; Ying, P.; Wang, H.; Xiang, K.; Su, W. Mechanochemical Asymmetric Cross-Dehydrogenative Coupling Reaction: Liquid-Assisted Grinding Enables Reaction Acceleration and Enantioselectivity Control. Adv. Synth. Catal. 2020, 362, 893–902. [Google Scholar] [CrossRef]
- Schäfer, P.; Palacin, T.; Sidera, M.; Fletcher, S.P. Asymmetric Suzuki-Miyaura Coupling of Heterocycles via Rhodium-Catalysed Allylic Arylation of Racemates. Nat. Commun. 2017, 8, 15762. [Google Scholar] [CrossRef] [PubMed]
- Brambilla, M.; Tredwell, M. Palladium-Catalyzed Suzuki-Miyaura Cross-Coupling of Secondary α-(Trifluoromethyl)Benzyl Tosylates. Angew. Chem. Int. Ed. 2017, 56, 11981–11985. [Google Scholar] [CrossRef] [PubMed]
- Shintani, R.; Narui, R.; Tsutsumi, Y.; Hayashi, S.; Hayashi, T. Design and Synthesis of New Chiral Phosphorus–Olefin Bidentate Ligands and Their Use in the Rhodium-Catalyzed Asymmetric Addition of Organoboroxines to N-Sulfonyl Imines. Chem. Commun. 2011, 47, 6123–6125. [Google Scholar] [CrossRef] [PubMed]
- Shintani, R.; Takeda, M.; Soh, Y.-T.; Ito, T.; Hayashi, T. Rhodium-Catalyzed Asymmetric Addition of Potassium Organotrifluoroborates to N -Sulfonyl Ketimines. Org. Lett. 2011, 13, 2977–2979. [Google Scholar] [CrossRef] [PubMed]
- DeAngelis, A.; Shurtle, V.W. Rhodium(II)-Catalyzed Enantioselective C-H Functionalization of Indoles. J. Am. Chem. Soc. 2011, 4. [Google Scholar] [CrossRef] [PubMed]
- Unaleroglu, C.; Aytac, S.; Temelli, B. Copper Triflate Catalyzed Regioselective Alkylation of Pyrrole: Conversion of 2-Alkylated Pyrroles to Novel Pyrrolizine Derivatives by Self-Cyclization. Heterocycles 2007, 71, 2427. [Google Scholar] [CrossRef]
- Jensen, K.B.; Thorhauge, J.; Hazell, R.G.; Jørgensen, K.A. Catalytic Asymmetric Friedel–Crafts Alkylation of β,γ-Unsaturated α-Ketoesters: Enantioselective Addition of Aromatic C−H Bonds to Alkenes. Angew. Chem. Int. Ed. 2001, 40, 160–163. [Google Scholar] [CrossRef]
- Friis, S.D.; Pirnot, M.T.; Buchwald, S.L. Asymmetric Hydroarylation of Vinylarenes Using a Synergistic Combination of CuH and Pd Catalysis. J. Am. Chem. Soc. 2016, 138, 8372–8375. [Google Scholar] [CrossRef] [PubMed]
- Odachowski, M.; Bonet, A.; Essafi, S.; Conti-Ramsden, P.; Harvey, J.N.; Leonori, D.; Aggarwal, V.K. Development of Enantiospecific Coupling of Secondary and Tertiary Boronic Esters with Aromatic Compounds. J. Am. Chem. Soc. 2016, 138, 9521–9532. [Google Scholar] [CrossRef]
- Zhao, S.; Gensch, T.; Murray, B.; Niemeyer, Z.L.; Sigman, M.S.; Biscoe, M.R. Enantiodivergent Pd-Catalyzed C–C Bond Formation Enabled through Ligand Parameterization. Science 2018, 362, 670–674. [Google Scholar] [CrossRef] [PubMed]
- Myhill, J.A.; Wilhelmsen, C.A.; Zhang, L.; Morken, J.P. Diastereoselective and Enantioselective Conjunctive Cross-Coupling Enabled by Boron Ligand Design. J. Am. Chem. Soc. 2018, 140, 15181–15185. [Google Scholar] [CrossRef] [PubMed]
- Bandini, M.; Melloni, A.; Umani-Ronchi, A. New Catalytic Approaches in the Stereoselective Friedel-Crafts Alkylation Reaction. Angew. Chem. Int. Ed. 2004, 43, 550–556. [Google Scholar] [CrossRef]
- Rowland, G.B.; Rowland, E.B.; Liang, Y.; Perman, J.A.; Antilla, J.C. The Highly Enantioselective Addition of Indoles to N-Acyl Imines with Use of a Chiral Phosphoric Acid Catalyst. Org. Lett. 2007, 9, 2609–2611. [Google Scholar] [CrossRef]
- Li, G.; Rowland, G.B.; Rowland, E.B.; Antilla, J.C. Organocatalytic Enantioselective Friedel-Crafts Reaction of Pyrrole Derivatives with Imines. Org. Lett. 2007, 9, 4065–4068. [Google Scholar] [CrossRef]
- Matsuzawa, H.; Kanao, K.; Miyake, Y.; Nishibayashi, Y. Remarkable Effect of N -Substituent on Enantioselective Ruthenium-Catalyzed Propargylation of Indoles with Propargylic Alcohols. Org. Lett. 2007, 9, 5561–5564. [Google Scholar] [CrossRef]
- Kanao, K.; Matsuzawa, H.; Miyake, Y.; Nishibayashi, Y. Ruthenium-Catalyzed Enantioselective Propargylation of Indoles with Propargylic Alcohols. Synthesis 2008, 2008, 3869–3873. [Google Scholar] [CrossRef]
- You, S.-L.; Cai, Q.; Zeng, M. Chiral Brønsted Acid Catalyzed Friedel–Crafts Alkylation Reactions. Chem. Soc. Rev. 2009, 38, 2190–2201. [Google Scholar] [CrossRef]
- Pathak, T.P.; Gligorich, K.M.; Welm, B.E.; Sigman, M.S. Synthesis and Preliminary Biological Studies of 3-Substituted Indoles Accessed by a Palladium-Catalyzed Enantioselective Alkene Difunctionalization Reaction. J. Am. Chem. Soc. 2010, 132, 7870–7871. [Google Scholar] [CrossRef] [PubMed]
- Cera, G.; Crispino, P.; Monari, M.; Bandini, M. Stereoselective Synthesis of Tetracyclic Indolines Viagold-Catalyzed Cascade Cyclization Reactions. Chem. Commun. 2011, 47, 7803–7805. [Google Scholar] [CrossRef] [PubMed][Green Version]
- Rauniyar, V.; Wang, Z.J.; Burks, H.E.; Toste, F.D. Enantioselective Synthesis of Highly Substituted Furans by a Copper(II)-Catalyzed Cycloisomerization-Indole Addition Reaction. J. Am. Chem. Soc. 2011, 133, 8486–8489. [Google Scholar] [CrossRef] [PubMed]
- He, Y.; Lin, M.; Li, Z.; Liang, X.; Li, G.; Antilla, J.C. Direct Synthesis of Chiral 1,2,3,4-Tetrahydropyrrolo[1,2-a]Pyrazines via a Catalytic Asymmetric Intramolecular Aza-Friedel-Crafts Reaction. Org. Lett. 2011, 13, 4490–4493. [Google Scholar] [CrossRef]
- Cera, G.; Chiarucci, M.; Mazzanti, A.; Mancinelli, M.; Bandini, M. Enantioselective Gold-Catalyzed Synthesis of Polycyclic Indolines. Org. Lett. 2012, 14, 1350–1353. [Google Scholar] [CrossRef]
- Zhuo, M.-H.; Jiang, Y.-J.; Fan, Y.-S.; Gao, Y.; Liu, S.; Zhang, S. Enantioselective Synthesis of Triarylmethanes by Chiral Imidodiphosphoric Acids Catalyzed Friedel–Crafts Reactions. Org. Lett. 2014, 16, 1096–1099. [Google Scholar] [CrossRef]
- Lundy, B.J.; Jansone-Popova, S.; May, J.A. Enantioselective Conjugate Addition of Alkenylboronic Acids to Indole-Appended Enones. Org. Lett. 2011, 13, 4958–4961. [Google Scholar] [CrossRef]
- Miyazaki, Y.; Zhou, B.; Tsuji, H.; Kawatsura, M. Nickel-Catalyzed Asymmetric Friedel-Crafts Propargylation of 3-Substituted Indoles with Propargylic Carbonates Bearing an Internal Alkyne Group. Org. Lett. 2020, 22, 2049–2053. [Google Scholar] [CrossRef]
- Uchikura, T.; Suzuki, R.; Suda, Y.; Akiyama, T. Enantioselective Synthesis of 2-Substituted Indoles Bearing Trifluoromethyl Moiety by the Friedel-Crafts Alkylation Reaction of 4,7-Dihydroindole with N−H Trifluoromethyl Ketimines. ChemCatChem 2020, 12, 4784–4787. [Google Scholar] [CrossRef]
- Wang, C.-J.; Yang, Q.-Q.; Wang, M.-X.; Shang, Y.-H.; Tong, X.-Y.; Deng, Y.-H.; Shao, Z. Catalytic Asymmetric 1,4-Type Friedel–Crafts (Hetero)Arylations of 1-Azadienes: The Highly Enantioselective Syntheses of Chiral Hetero-Triarylmethanes. Org. Chem. Front. 2020, 7, 609–616. [Google Scholar] [CrossRef]
- Gao, Y.; Wang, X.; Wei, Z.; Cao, J.; Liang, D.; Lin, Y.; Duan, H. Asymmetric Synthesis of Spirooxindole-Pyranoindole Products via Friedel–Crafts Alkylation/Cyclization of the Indole Carbocyclic Ring. New J. Chem. 2020, 44, 9788–9792. [Google Scholar] [CrossRef]
- Deng, X.; Wang, Y.; Zhang, S.; Li, L.; Li, G.; Zhao, G.; Tang, Z. An Organocatalytic Asymmetric Friedel–Crafts Reaction of 2-Substituted Indoles with Aldehydes: Enantioselective Synthesis of α-Hydroxyl Ketones by Low Loading of Chiral Phosphoric Acid. Chem. Commun. 2020, 56, 2499–2502. [Google Scholar] [CrossRef]
- Kim, Y.; Lee, J.; Jung, J.; Kim, S.-G. Chiral Brønsted Acid-Catalyzed Friedel–Crafts Reaction of 3-Indolylsulfamidates with Indoles: Synthesis of Enantioenriched Bisindolylmethane Sulfamates. Tetrahedron Lett. 2019, 60, 1625–1630. [Google Scholar] [CrossRef]
- Sato, R.; Tosaka, T.; Masu, H.; Arai, T. Catalytic Asymmetric Synthesis of Chiral Bis(Indolyl)Methanes Using a Ts-PyBidine–Nickel Complex. J. Org. Chem. 2019, 84, 14248–14257. [Google Scholar] [CrossRef]
- Huang, T.; Zhao, Y.; Meng, S.; Chan, A.S.C.; Zhao, J. C7-Functionalization of Indoles via Organocatalytic Enantioselective Friedel-Crafts Alkylation of 4-Amino-Indoles with 2-Butene-1,4-Diones and 3-Aroylacrylates. Adv. Synth. Catal. 2019, 361, 3632–3638. [Google Scholar] [CrossRef]
- Zhu, W.-J.; Gong, J.-F.; Song, M.-P. Synthesis of Chiral Bis(3-Indolyl)Methanes Bearing a Trifluoromethylated All-Carbon Quaternary Stereocenter via Nickel-Catalyzed Asymmetric Friedel–Crafts Alkylation Reaction. J. Org. Chem. 2020, 85, 9525–9537. [Google Scholar] [CrossRef]
- Zhao, Y.; Cai, L.; Huang, T.; Meng, S.; Chan, A.S.C.; Zhao, J. Solvent-Mediated C3/C7 Regioselective Switch in Chiral Phosphoric Acid-Catalyzed Enantioselective Friedel-Crafts Alkylation of Indoles with α-Ketiminoesters. Adv. Synth. Catal. 2020, 362, 1309–1316. [Google Scholar] [CrossRef]
- Schlegel, M.; Coburger, P.; Schneider, C. A Novel Sc(OTf)3-Catalyzed (2 + 2 + 1)-Cycloannulation/Aza-Friedel-Crafts Alkylation Sequence toward Multicyclic 2-Pyrrolines. Chem. Eur. J. 2018, 24, 14207–14212. [Google Scholar] [CrossRef]
- Yonesaki, R.; Kondo, Y.; Akkad, W.; Sawa, M.; Morisaki, K.; Morimoto, H.; Ohshima, T. 3-Mono-Substituted BINOL Phosphoric Acids as Effective Organocatalysts in Direct Enantioselective Friedel–Crafts-Type Alkylation of N-Unprotected α-Ketiminoester. Chem. Eur. J. 2018, 24, 15211–15214. [Google Scholar] [CrossRef] [PubMed]
- Staleva, P.; Hernández, J.G.; Bolm, C. Mechanochemical Copper-Catalyzed Asymmetric Michael-Type Friedel–Crafts Alkylation of Indoles with Arylidene Malonates. Chem. Eur. J. 2019, 25, 9202–9205. [Google Scholar] [CrossRef] [PubMed]
- Yarlagadda, S.; Sridhar, B.; Subba Reddy, B.V. Oxidative Asymmetric Aza-Friedel-Crafts Alkylation of Indoles with 3-Indolinone-2-Carboxylates Catalyzed by a BINOL Phosphoric Acid and Promoted by DDQ. Chem. Asian J. 2018, 13, 1327–1334. [Google Scholar] [CrossRef]
- Yang, Z.-T.; Yang, W.-L.; Chen, L.; Sun, H.; Deng, W.-P. Organocatalytic Enantioselective Aza-Friedel-Crafts Reactions of Pyrazolinone Ketimines with Hydroxyindoles and Electron-Rich Phenols. Adv. Synth. Catal. 2018, 360, 2049–2054. [Google Scholar] [CrossRef]
- Rahman, A.; Xie, E.; Lin, X. Organocatalytic Asymmetric Synthesis of Benzazepinoindole Derivatives with Trifluoromethylated Quaternary Stereocenters by Chiral Phosphoric Acid Catalysts. Org. Biomol. Chem. 2018, 16, 1367–1374. [Google Scholar] [CrossRef]
- Hatano, M.; Mochizuki, T.; Nishikawa, K.; Ishihara, K. Enantioselective Aza-Friedel-Crafts Reaction of Indoles with Ketimines Catalyzed by Chiral Potassium Binaphthyldisulfonates. ACS Catal. 2018, 8, 349–353. [Google Scholar] [CrossRef]
- Ma, J.; Kass, S.R. Asymmetric Arylation of 2,2,2-Trifluoroacetophenones Catalyzed by Chiral Electrostatically-Enhanced Phosphoric Acids. Org. Lett. 2018, 20, 2689–2692. [Google Scholar] [CrossRef]
- Glavač, D.; Zheng, C.; Dokli, I.; You, S.-L.; Gredičak, M. Chiral Brønsted Acid Catalyzed Enantioselective Aza-Friedel-Crafts Reaction of Cyclic α-Diaryl N-Acyl Imines with Indoles. J. Org. Chem. 2017, 82, 8752–8760. [Google Scholar] [CrossRef] [PubMed]
- Arai, T.; Tsuchida, A.; Miyazaki, T.; Awata, A. Catalytic Asymmetric Synthesis of Chiral 2-Vinylindole Scaffolds by Friedel–Crafts Reaction. Org. Lett. 2017, 19, 758–761. [Google Scholar] [CrossRef] [PubMed]
- Chen, H.-X.; Zhang, Y.; Zhang, Y.; He, X.; Zhang, Z.-W.; Liang, H.; He, W.; Jiang, X.; Chen, X.; Qiu, L. Synthesis of Six-Membered Spirooxindoles via a Chiral Brønsted Acid-Catalyzed Asymmetric Intramolecular Friedel-Crafts Reaction. RSC Adv. 2018, 8, 37035–37039. [Google Scholar] [CrossRef]
- Xun, W.; Xu, B.; Chen, B.; Meng, S.; Chan, A.S.C.; Qiu, F.G.; Zhao, J. Regio and Enantioselective Organocatalytic Friedel-Crafts Alkylation of 4-Aminoindoles at the C7-Position. Org. Lett. 2018, 20, 590–593. [Google Scholar] [CrossRef]
- Zhao, Y.; Wang, L.; Zhao, J. Chiral Phosphoric Acid Catalyzed Aza-Friedel-Crafts Alkylation of Indoles with Cyclic Aryl α-Ketimino Esters. Tetrahedron Lett. 2017, 58, 213–217. [Google Scholar] [CrossRef]
- Stemper, J.; Isaac, K.; Ghosh, N.; Lauwick, H.; Le Duc, G.; Retailleau, P.; Voituriez, A.; Betzer, J.-F.; Marinetti, A. Silyl-Substituted Planar Chiral Phosphoric Acids with Ferrocene-Bridged Paracyclophane Frameworks: Synthesis, Characterization, and Uses in Enantioselective Aza-Friedel-Crafts Reactions. Adv. Synth. Catal. 2017, 359, 519–526. [Google Scholar] [CrossRef]
- Cheng, H.-G.; Miguélez, J.; Miyamura, H.; Yoo, W.-J.; Kobayashi, S. Integration of Aerobic Oxidation and Intramolecular Asymmetric Aza-Friedel-Crafts Reactions with a Chiral Bifunctional Heterogeneous Catalyst. Chem. Sci. 2017, 8, 1356–1359. [Google Scholar] [CrossRef] [PubMed]
- Wang, L.; Rahman, A.; Lin, X. Enantioselective Synthesis of Cyclic Quaternary α-Amino Acid Derivatives by Chiral Phosphoric Acid Catalysis. Org. Biomol. Chem. 2017, 15, 6033–6041. [Google Scholar] [CrossRef] [PubMed]
- Fan, Y.; Kass, S.R. Enantioselective Friedel-Crafts Alkylation between Nitroalkenes and Indoles Catalyzed by Charge Activated Thiourea Organocatalysts. J. Org. Chem. 2017, 82, 13288–13296. [Google Scholar] [CrossRef]
- Xu, W.; Shen, X.; Ma, Q.; Gong, L.; Meggers, E. Restricted Conformation of a Hydrogen Bond Mediated Catalyst Enables the Highly Efficient Enantioselective Construction of an All-Carbon Quaternary Stereocenter. ACS Catal. 2016, 6, 7641–7646. [Google Scholar] [CrossRef]
- Chang, C.-H.; Han, J.-L. Organocatalytic Enantioselective Friedel-Crafts Reaction of Sesamol and Electron-Rich Phenols with Alkylideneindolenine Intermediates Generated from Arylsulfonyl Indoles. ChemistrySelect 2016, 1, 5628–5632. [Google Scholar] [CrossRef]
- Lou, H.; Wang, Y.; Jin, E.; Lin, X. Organocatalytic Asymmetric Synthesis of Dihydrobenzoxazinones Bearing Trifluoromethylated Quaternary Stereocenters. J. Org. Chem. 2016, 81, 2019–2026. [Google Scholar] [CrossRef]
- Weng, J.-Q.; Fan, R.-J.; Deng, Q.-M.; Liu, R.-R.; Gao, J.-R.; Jia, Y.-X. Enantioselective Friedel–Crafts Alkylation Reactions of 3-Substituted Indoles with Electron-Deficient Alkenes. J. Org. Chem. 2016, 81, 3023–3030. [Google Scholar] [CrossRef] [PubMed]
- Ge, C.; Liu, R.-R.; Gao, J.-R.; Jia, Y.-X. Cu(I)-Catalyzed Enantioselective Friedel–Crafts Alkylation of Indoles with 2-Aryl- N -Sulfonylaziridines as Alkylating Agents. Org. Lett. 2016, 18, 3122–3125. [Google Scholar] [CrossRef]
- Yang, G.-J.; Du, W.; Chen, Y.-C. Construction of Furan Derivatives with a Trifluoromethyl Stereogenic Center: Enantioselective Friedel–Crafts Alkylations via Formal Trienamine Catalysis. J. Org. Chem. 2016, 81, 10056–10061. [Google Scholar] [CrossRef] [PubMed]
- Zheng, J.; Lin, L.; Dai, L.; Yuan, X.; Liu, X.; Feng, X. Chiral N,N’-Dioxide–Scandium(III) Complex-Catalyzed Asymmetric Friedel–Crafts Alkylation Reaction of Ortho-Hydroxybenzyl Alcohols with C3-Substituted N-Protected Indoles. Chem. Eur. J. 2016, 22, 18254–18258. [Google Scholar] [CrossRef]
- Wu, Q.; Ma, C.; Du, X.; Chen, Y.; Huang, T.; Shi, X.; Tu, S.; Cai, P. Chiral Brønsted Acid-Catalyzed Alkylation of C3-Substituted Indoles with o-Hydroxybenzyl Alcohols: Highly Enantioselective Synthesis of Diarylindol-2-Ylmethanes and Evaluation on Their Cytotoxicity. Tetrahedron Asymmetry 2016, 27, 307–316. [Google Scholar] [CrossRef]
- Huang, K.; Ma, Q.; Shen, X.; Gong, L.; Meggers, E. Metal-Templated Asymmetric Catalysis: (Z)-1-Bromo-1-Nitrostyrenes as Versatile Substrates for Friedel-Crafts Alkylation of Indoles. Asian J. Org. Chem. 2016, 5, 1198–1203. [Google Scholar] [CrossRef]
- Li, N.-K.; Kong, L.-P.; Qi, Z.-H.; Yin, S.-J.; Zhang, J.-Q.; Wu, B.; Wang, X.-W. Friedel-Crafts Reaction of Indoles with Isatin-Derived β,γ-Unsaturated α-Keto Esters Using a BINOL-Derived Bisoxazoline (BOX)/Copper(II) Complex as Catalyst. Adv. Synth. Catal. 2016, 358, 3100–3112. [Google Scholar] [CrossRef]
- Zhuo, M.-H.; Liu, G.-F.; Song, S.-L.; An, D.; Gao, J.; Zheng, L.; Zhang, S. Chiral Imidodiphosphoric Acids-Catalyzed Friedel-Crafts Reactions of Indoles/Pyrroles with 3-Hydroxy-Indolyloxindoles: Enantioselective Synthesis of 3,3-Diaryloxindoles. Adv. Synth. Catal. 2016, 358, 808–815. [Google Scholar] [CrossRef]
- Le, P.Q.; Nguyen, T.S.; May, J.A. A General Method for the Enantioselective Synthesis of α-Chiral Heterocycles. Org. Lett. 2012, 14, 6104–6107. [Google Scholar] [CrossRef] [PubMed]
- Vallakati, R.; Lundy, B.J.; Jansone-Popova, S.; May, J.A. Biomimetic Synthesis and Studies Toward Enantioselective Synthesis of Flindersial Alkaloids. Chirality 2015, 27, 14–17. [Google Scholar] [CrossRef] [PubMed]
- Shih, J.-L.; Nguyen, T.S.; May, J.A. Organocatalyzed Asymmetric Conjugate Addition of Heteroaryl and Aryl Trifluoroborates: A Synthetic Strategy for Discoipyrrole, D. Angew. Chem. Int. Ed. 2015, 54, 9931–9935. [Google Scholar] [CrossRef] [PubMed]
- Xing, J.; Chen, G.; Cao, P.; Liao, J. Rhodium-Catalyzed Asymmetric Addition of Arylboronic Acids to Indolylnitroalkenes. Eur. J. Org. Chem. 2012, 2012, 1230–1236. [Google Scholar] [CrossRef]
- Dabrowski, J.A.; Villaume, M.T.; Hoveyda, A.H. Enantioselective Synthesis of Quaternary Carbon Stereogenic Centers through Copper-Catalyzed Conjugate Additions of Aryl- and Alkylaluminum Reagents to Acyclic Trisubstituted Enones. Angew. Chem. Int. Ed. 2013, 52, 8156–8159. [Google Scholar] [CrossRef] [PubMed]
- Huo, H.; Fu, C.; Harms, K.; Meggers, E. Asymmetric Catalysis with Substitutionally Labile yet Stereochemically Stable Chiral-at-Metal Iridium(III) Complex. J. Am. Chem. Soc. 2014, 136, 2990–2993. [Google Scholar] [CrossRef]
- Austin, J.F.; MacMillan, D.W.C. Enantioselective Organocatalytic Indole Alkylations. Design of a New and Highly Effective Chiral Amine for Iminium Catalysis. J. Am. Chem. Soc. 2002, 124, 1172–1173. [Google Scholar] [CrossRef] [PubMed]
- Lee, S.; MacMillan, D.W.C. Organocatalytic Vinyl and Friedel-Crafts Alkylations with Trifluoroborate Salts. J. Am. Chem. Soc. 2007, 129, 15438–15439. [Google Scholar] [CrossRef] [PubMed]
- Ganesh, M.; Seidel, D. Catalytic Enantioselective Additions of Indoles to Nitroalkenes. J. Am. Chem. Soc. 2008, 130, 16464–16465. [Google Scholar] [CrossRef]
- Dobish, M.C.; Johnston, J.N. Chiral Brønsted Base-Promoted Nitroalkane Alkylation: Enantioselective Synthesis of Sec.-Alkyl-3-Substituted Indoles. Org. Lett. 2010, 12, 5744–5747. [Google Scholar] [CrossRef]
- Luan, Y.; Schaus, S.E. Enantioselective Addition of Boronates to o-Quinone Methides Catalyzed by Chiral Biphenols. J. Am. Chem. Soc. 2012, 134, 19965–19968. [Google Scholar] [CrossRef]
- Hara, S.; Hyuga, S.; Aoyama, M.; Sato, M.; Suzuki, A. Bf3 Etherate Mediated 1,4-Addition of 1-Alkenyldialkoxyboranes to α,β-Unsaturated Ketones. A Stereoselective Synthesis of γ, δ-Unsaturated Ketones. Tetrahedron Lett. 1990, 31, 247–250. [Google Scholar] [CrossRef]
- Zhu, H.; Yin, L.; Chang, Z.; Wang, Y.; Dou, X. Rhodium-Catalyzed Asymmetric Conjugate Addition of Organoboronic Acids to Carbonyl-Activated Alkenyl Azaarenes. Adv. Synth. Catal. 2020, 362, 3142–3147. [Google Scholar] [CrossRef]
- Han, J.-L.; Liao, Y.-T.; Chang, C.-H. Asymmetric Organocatalytic Conjugate Addition of Electron-Rich Phenols and 1,3-Dicarbonyls to Arylsulfonyl Indoles in an Oil-Water Biphasic System. Eur. J. Org. Chem. 2019, 2019, 5815–5823. [Google Scholar] [CrossRef]
- Wang, J.-R.; Jiang, X.-L.; Hang, Q.-Q.; Zhang, S.; Mei, G.-J.; Shi, F. Catalytic Asymmetric Conjugate Addition of Indoles to Para -Quinone Methide Derivatives. J. Org. Chem. 2019, 84, 7829–7839. [Google Scholar] [CrossRef]
- Li, S.-W.; Wan, Q.; Kang, Q. Chiral-at-Metal Rh(III) Complex-Catalyzed Michael Addition of Pyrazolones with α,β-Unsaturated 2-Acyl Imidazoles. Org. Lett. 2018, 20, 1312–1315. [Google Scholar] [CrossRef]
- Liang, W.; Yin, W.; Wang, T.; Qiu, F.G.; Zhao, J. Organocatalytic Stereoselective Conjugate Addition of 3-Substituted Oxindoles with in Situ Generated Ortho-Quinone Methides. Tetrahedron Lett. 2018, 59, 1742–1747. [Google Scholar] [CrossRef]
- Correia, J.T.M.; List, B.; Coelho, F. Catalytic Asymmetric Conjugate Addition of Indolizines to α,β-Unsaturated Ketones. Angew. Chem. Int. Ed. 2017, 56, 7967–7970. [Google Scholar] [CrossRef]
- Metz, T.L.; Evans, J.; Stanley, L.M. Catalytic Conjugate Addition of Electron-Rich Heteroarenes to β,β-Disubstituted Enones. Org. Lett. 2017, 19, 3442–3445. [Google Scholar] [CrossRef]
- Ma, H.-L.; Xie, L.; Zhang, Z.; Li, J.-Q.; Qin, Z.-H.; Fu, B. Enantioselective Copper(II)-Catalyzed Conjugate Addition of Indoles to β-Substituted Unsaturated Acyl Phosphonates. Adv. Synth. Catal. 2016, 358, 1011–1016. [Google Scholar] [CrossRef]
- Fujishima, H.; Takada, E.; Kara, S.; Suzuki, A. Boron Trifluoride Etherate Mediated 1,4-Addition of (1-Alkynyl)Diisopropoxyboranes to α,β-Unsaturated Ketones. A Convenient New Route to 3-Alkynyl Ketone Synthesis. Chem. Lett. 2006, 21. [Google Scholar] [CrossRef]
- Takada, E.; Hara, S.; Suzuki, A. A Stereoselective Synthesis of Γδ-Unsaturated Ketones Possessing Perfluoroalkyl Groups by Trifluoroborane Etherate Mediated 1,4-Addition Reaction of Alkenyldiisopropoxyboranes to α,β-Unsaturated Ketones. Tetrahedron Lett. 1993, 34, 7067–7070. [Google Scholar] [CrossRef]
- Hara, S.; Ishimura, S.; Suzuki, A. Cyanuric Fluoride-Induced 1,4-Addition Reaction of Alkenylboronic Acids to α,β-Unsaturated Ketones. Stereoselective Synthesis of γ,δ-Unsaturated Ketones Having Functionalities. Synlett 1996, 1996, 993–994. [Google Scholar] [CrossRef]
- Hara, S.; Shudoh, H.; Ishimura, S.; Suzuki, A. The Regioselective 1,4-Addition Reaction of Alkenylboronic Acids to α,β,A′,Β′-Unsaturated Ketones. Bull. Chem. Soc. Jpn. 1998, 71, 2403–2408. [Google Scholar] [CrossRef]
- Yoshida, K.; Hayashi, T. Rhodium-Catalyzed additions of boronic acids to Alkenes and Carbonyl compounds. In Boronic Acids; John Wiley & Sons, Ltd.: Hoboken, NJ, USA, 2006; pp. 171–203. ISBN 978-3-527-60654-2. [Google Scholar]
- Chong, J.M.; Shen, L.; Taylor, N.J. Asymmetric Conjugate Addition of Alkynylboronates to Enones. J. Am. Chem. Soc. 2000, 122, 1822–1823. [Google Scholar] [CrossRef]
- Wu, T.R.; Chong, J.M. Ligand-Catalyzed Asymmetric Alkynylboration of Enones: A New Paradigm for Asymmetric Synthesis Using Organoboranes. J. Am. Chem. Soc. 2005, 127, 3244–3245. [Google Scholar] [CrossRef]
- Wu, T.R.; Chong, J.M. Asymmetric Conjugate Alkenylation of Enones Catalyzed by Chiral Diols. J. Am. Chem. Soc. 2007, 129, 4908–4909. [Google Scholar] [CrossRef]
- Turner, H.M.; Patel, J.; Niljianskul, N.; Chong, J.M. Binaphthol-Catalyzed Asymmetric Conjugate Arylboration of Enones. Org. Lett. 2011, 13, 5796–5799. [Google Scholar] [CrossRef]
- Sugiura, M.; Tokudomi, M.; Nakajima, M. Enantioselective Conjugate Addition of Boronic Acids to Enones Catalyzed by O-Monoacyltartaric Acids. Chem. Commun. 2010, 46, 7799–7800. [Google Scholar] [CrossRef] [PubMed]
- Kotani, S.; Osakama, K.; Sugiura, M.; Nakajima, M. A Tertiary Amine as A Hydride Donor: Trichlorosilyl Triflate-Mediated Conjugate Reduction of Unsaturated Ketones. Org. Lett. 2011, 13, 3968–3971. [Google Scholar] [CrossRef] [PubMed]
- Grimblat, N.; Sugiura, M.; Pellegrinet, S.C. A Hydrogen Bond Rationale for the Enantioselective β-Alkenylboration of Enones Catalyzed by O-Monoacyltartaric Acids. J. Org. Chem. 2014, 79, 6754–6758. [Google Scholar] [CrossRef] [PubMed]
- Sugiura, M.; Kinoshita, R.; Nakajima, M. O-Monoacyltartaric Acid Catalyzed Enantioselective Conjugate Addition of a Boronic Acid to Dienones: Application to the Synthesis of Optically Active Cyclopentenones. Org. Lett. 2014, 16, 5172–5175. [Google Scholar] [CrossRef]
- Inokuma, T.; Takasu, K.; Sakaeda, T.; Takemoto, Y. Hydroxyl Group-Directed Organocatalytic Asymmetric Michael Addition of α,β-Unsaturated Ketones with Alkenylboronic Acids. Org. Lett. 2009, 11, 2425–2428. [Google Scholar] [CrossRef]
- Pellegrinet, S.C.; Goodman, J.M. Asymmetric Conjugate Addition of Alkynylboronates to Enones: Rationale for the Intriguing Catalysis Exerted by Binaphthols. J. Am. Chem. Soc. 2006, 128, 3116–3117. [Google Scholar] [CrossRef]
- Paton, R.S.; Goodman, J.M.; Pellegrinet, S.C. Theoretical Study of the Asymmetric Conjugate Alkenylation of Enones Catalyzed by Binaphthols. J. Org. Chem. 2008, 73, 5078–5089. [Google Scholar] [CrossRef]
- Nguyen, T.S.; Yang, M.S.; May, J.A. Experimental Mechanistic Insight into the BINOL-Catalyzed Enantioselective Conjugate Addition of Boronates to Enones. Tetrahedron Lett. 2015, 56, 3337–3341. [Google Scholar] [CrossRef]
- We Also Examined the Use of an Additional Lewis Acid as Reported by Yu and Mao.
- Wang, J.-F.; Meng, X.; Zhang, C.-H.; Yu, C.-M.; Mao, B. Organocatalytic Enantioselective Conjugate Alkynylation of β-Aminoenones: Access to Chiral β-Alkynyl-β-Amino Carbonyl Derivatives. Org. Lett. 2020, 22, 7427–7432. [Google Scholar] [CrossRef] [PubMed]
Publisher’s Note: MDPI stays neutral with regard to jurisdictional claims in published maps and institutional affiliations. |
© 2021 by the authors. Licensee MDPI, Basel, Switzerland. This article is an open access article distributed under the terms and conditions of the Creative Commons Attribution (CC BY) license (http://creativecommons.org/licenses/by/4.0/).
