The Promising Ability of Humulus lupulus L. Iso-α-acids vs. Diabetes, Inflammation, and Metabolic Syndrome: A Systematic Review
Abstract
1. Introduction
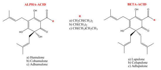
2. Bitter Hop acid Chemistry
- Dihidro-iso-α-acids (DHIAA) also known as Rho-iso-α-acids (RIAA): obtained from the sodium borohydride reduction of the carbonyl group in the side chain at C(4);
- Tetrahydro-iso-α-acids (THIAA): obtained by the hydrogenation of both iso-α-acids double bonds in the side chain;
- Hexahydro-iso-α-acids (HIAA): are obtained by a combination of two reactions: the reduction of the carbonyl group and the hydrogenation of the double bonds in the iso-α-acids.

3. Results and Discussion
3.1. Study Characteristics
3.2. Pharmacokinetics of Hop iso-α-acids
3.3. Pre-clinical Investigation
3.3.1. Hop Isomerized Compounds Activity on PPARs
3.3.2. Iso-α-acids Reduce the Incidence of Weight Gain
3.3.3. Iso-α-acids Effects on Glucose Homeostasis and Insulin Resistance
3.3.4. Iso-α-acids Improve Plasma Lipid Profile
3.3.5. Iso-α-acids Reduce Systemic Inflammation
3.4. Clinical Studies
4. Material and Methods
4.1. Search Strategy
4.2. Study Selection
4.3. Data Extraction
4.4. Methodological Quality Assessment
5. Conclusions
Author Contributions
Funding
Institutional Review Board Statement
Informed Consent Statement
Data Availability Statement
Conflicts of Interest
Abbreviation
| ADME | Absorption, distribution, metabolism, and excretion |
| AP-1 | Activator protein-1 |
| ACO | Acyl-coa oxidase |
| ApoCIII | Apolipoprotein CIII |
| PPREs | As peroxisome proliferator response elements |
| AI | Atherogenic index |
| CREB | cAMP-response element-binding protein |
| CAT | Carnitine acetyltransferase |
| CPT2 | Carnitine palmitoyltransferase 2 |
| CACT | Carnitine/acylcarnitine translocase |
| COX-2) | Cyclooxygenase 2 |
| PECI | Delta3-delta2-enoyl-coa isomerase |
| DEX | Dexamethasone |
| DHIAA | Dihydro-iso-α-acids |
| FAT | Fatty acid translocase/CD36 |
| GLP-1 | Glucagon-like peptide 1 |
| GRα | Glucocorticoid receptor alpha |
| OGTT | Glucose tolerance test |
| HSCs | Hepatic stellate cells |
| HIAA): | Hexahydro-iso-α-acids |
| HDL | High-density lipoprotein |
| HFD | High-fat diet |
| HAECs | Human aortic endothelial cells |
| PHH | Human hepatocytes |
| IKK | IkB kinase complex |
| VFA) | Visceral fat area |
| iNOS | Inducible nitric oxide synthase |
| IkBs | Inhibitor of NF-kb proteins |
| ITT | Insulin tolerance test |
| IL-6 | Interleukin-6 |
| IL1β) | Interleukin-1β |
| IAP | Intestinal alkaline phosphatase |
| IHE | Isomerized hop extract |
| IAA | Iso-α-acids |
| LPS | Lipopolysaccharide |
| LPL | Lipoprotein lipase |
| LDL | Low-density lipoprotein |
| MetS | Metabolic Syndrom |
| DCI | Mitochondrial delta3-delta2-enoyl-coa isomerase |
| MCP-1 | Monocyte chemoattractant protein-1 |
| NO | Nitric oxide |
| NSAIDs | Non-steroidal anti-inflammatory drugs |
| NF-kB | Nuclear factor-kb |
| PYY | Peptide YY |
| PBMC | Peripheral blood mononuclear cells |
| L-PBE | Peroxisomal enoyl-coa hydratase/L-3-hydroxyacyl-coa dehydrogenase bifunctional enzyme |
| PPARs | Peroxisome proliferator-activated receptors |
| ADRP | PPARγ-regulated adipocyte differentiation-related protein |
| PGE2 | Prostaglandin E2 |
| PGH2 | Prostaglandin H2 |
| RANTES | Regulated upon Activation, Normal T Cell Expressed and Presumably Secreted |
| RXR | Retinoid-X receptor |
| SFA | Subcutaneous fat area |
| THIAA | Tetrahydro-iso-α-acids |
| TZDs | Thiazolidinediones |
| TXA2 | Thromboxane A2 |
| TLRs | Toll-like receptors |
| TFA) | Total fat area |
| TNF-α | Tumor necrosis factor-α |
| WAT | White adipose tissue |
References
- Ellulu, M.S.; Patimah, I.; Khaza’ai, H.; Rahmat, A.; Abed, Y. Obesity and inflammation: The linking mechanism and the complications. AMS 2017, 13, 851. [Google Scholar] [CrossRef] [PubMed]
- Gomez-Hernandez, A.; Beneit, N.; Diaz-Castroverde, S.; Escribano, O. Differential role of adipose tissues in obesity and related metabolic and vascular complications. Int. J. Endocrinol. 2016, 2016. [Google Scholar] [CrossRef] [PubMed]
- National Cholesterol Education Program. Expert Panel on Detection Treatment of High Blood Cholesterol in Adults. Third Report of the National Cholesterol Education Program (NCEP) Expert Panel on Detection, Evaluation, and Treatment of High Blood Cholesterol in Adults (Adult Treatment Panel III): The Program. Circulation 2002, 106, 3143–3421. [Google Scholar]
- Dostálek, P.; Karabín, M.; Jelínek, L. Hop phytochemicals and their potential role in metabolic syndrome prevention and therapy. Molecules 2017, 22, 1761. [Google Scholar] [CrossRef]
- Kok, B.P.; Galmozzi, A.; Littlejohn, N.K.; Albert, V.; Godio, C.; Kim, W.; Kim, S.M.; Bland, J.S.; Grayson, N.; Fang, M. Intestinal bitter taste receptor activation alters hormone secretion and imparts metabolic benefits. Mol. Metab. 2018, 16, 76–87. [Google Scholar] [CrossRef]
- Saltos, M.B.V.; Puente, B.F.N.; Faraone, I.; Milella, L.; De Tommasi, N.; Braca, A. Inhibitors of α-amylase and α-glucosidase from Andromachia igniaria Humb. & Bonpl. Phytochem. Lett. 2015, 14, 45–50. [Google Scholar]
- Russo, D.; Malafronte, N.; Frescura, D.; Imbrenda, G.; Faraone, I.; Milella, L.; Fernandez, E.; De Tommasi, N. Antioxidant activities and quali-quantitative analysis of different Smallanthus sonchifolius [(Poepp. and Endl.) H. Robinson] landrace extracts. Nat. Prod. Res. 2015, 29, 1673–1677. [Google Scholar] [CrossRef]
- Melnikovova, I.; Fait, T.; Kolarova, M.; Fernandez, E.C.; Milella, L. Effect of Lepidium meyenii Walp. on Semen Parameters and Serum Hormone Levels in Healthy Adult Men: A Double-Blind, Randomized, Placebo-Controlled Pilot Study. Evid. Based Complement. Altern. Med. 2015, 2015, 324369. [Google Scholar] [CrossRef]
- Wu, S.V.; Rozengurt, N.; Yang, M.; Young, S.H.; Sinnett-Smith, J.; Rozengurt, E. Expression of bitter taste receptors of the T2R family in the gastrointestinal tract and enteroendocrine STC-1 cells. Proc. Natl. Acad. Sci. USA 2002, 99, 2392–2397. [Google Scholar] [CrossRef]
- Alonso-Esteban, J.I.; Pinela, J.; Barros, L.; Ćirić, A.; Soković, M.; Calhelha, R.C.; Torija-Isasa, E.; de Cortes Sánchez-Mata, M.; Ferreira, I.C. Phenolic composition and antioxidant, antimicrobial and cytotoxic properties of hop (Humulus lupulus L.) Seeds. Ind. Crops Prod. 2019, 134, 154–159. [Google Scholar] [CrossRef]
- Lamy, V.; Roussi, S.; Chaabi, M.; Gossé, F.; Schall, N.; Lobstein, A.; Raul, F. Chemopreventive effects of lupulone, a hop β-acid, on human colon cancer-derived metastatic SW620 cells and in a rat model of colon carcinogenesis. Carcinogenesis 2007, 28, 1575–1581. [Google Scholar] [CrossRef] [PubMed]
- Tomita, J.; Mochizuki, S.; Fujimoto, S.; Kashihara, N.; Akasaka, T.; Tanimoto, M.; Yoshida, K. Acute improvement of endothelial functions after oral ingestion of isohumulones, bitter components of beer. Biochem. Biophys. Res. Commun. 2017, 484, 740–745. [Google Scholar] [CrossRef]
- De Keukeleire, D. Fundamentals of beer and hop chemistry. Quim. Nova 2000, 23, 108–112. [Google Scholar] [CrossRef]
- Van Cleemput, M.; Cattoor, K.; De Bosscher, K.; Haegeman, G.; De Keukeleire, D.; Heyerick, A. Hop (Humulus lupulus)-derived bitter acids as multipotent bioactive compounds. J. Nat. Prod. 2009, 72, 1220–1230. [Google Scholar] [CrossRef]
- Zanoli, P.; Zavatti, M. Pharmacognostic and pharmacological profile of Humulus lupulus L. J. Ethnopharmacol. 2008, 116, 383–396. [Google Scholar] [CrossRef]
- Rodda, L.N.; Gerostamoulos, D.; Drummer, O.H. Pharmacokinetics of reduced iso-α-acids in volunteers following clear bottled beer consumption. Forensic Sci. Int. 2015, 250, 37–43. [Google Scholar] [CrossRef]
- Cattoor, K.; Remon, J.-P.; Boussery, K.; Van Bocxlaer, J.; Bracke, M.; De Keukeleire, D.; Deforce, D.; Heyerick, A. Bioavailability of hop-derived iso-α-acids and reduced derivatives. Food Funct. 2011, 2, 412–422. [Google Scholar] [CrossRef] [PubMed]
- Gross, G. Chapter 27—Strategies for Enhancing Oral Bioavailability and Brain Penetration. In The Practice of Medicinal Chemistry; Academic Press: Cambridge, MA, USA, 2015; pp. 631–655. [Google Scholar] [CrossRef]
- Blanco, C.A.; Rojas, A.; Nimubona, D. Effects of acidity and molecular size on bacteriostatic properties of beer hop derivates. Trends Food Sci. Technol. 2007, 18, 144–149. [Google Scholar] [CrossRef]
- Cattoor, K.; Dresel, M.; De Bock, L.; Boussery, K.; Van Bocxlaer, J.; Remon, J.-P.; De Keukeleire, D.; Deforce, D.; Hofmann, T.; Heyerick, A. Metabolism of hop-derived bitter acids. J. Agric. Food Chem. 2013, 61, 7916–7924. [Google Scholar] [CrossRef]
- Mishra, N.K.; Agarwal, S.; Raghava, G.P. Prediction of cytochrome P450 isoform responsible for metabolizing a drug molecule. BMC Pharmacol. 2010, 10, 8. [Google Scholar] [CrossRef]
- Rodda, L.N.; Gerostamoulos, D.; Drummer, O.H. Pharmacokinetics of Iso-α-acids in volunteers following the consumption of beer. J. Anal. Toxicol. 2014, 38, 354–359. [Google Scholar] [CrossRef] [PubMed]
- Sharma, R. Novel dual-acting peroxisome proliferator-activated receptor alpha and gamma agonists. J. Clin. Diagn. Res. 2008, 2, 659–667. [Google Scholar]
- Yajima, H. Anti-obesity Effects of a Dietary Isomerized Hop Extract Containing Isohumulones Generated via Peroxisome Proliferators-Activated Receptors. In Beer in Health and Disease Prevention; Academic Press: Cambridge, MA, USA, 2009; pp. 775–785. [Google Scholar] [CrossRef]
- Rigano, D.; Sirignano, C.; Taglialatela-Scafati, O. The potential of natural products for targeting PPARα. Acta Pharm. Sin. B 2017, 7, 427–438. [Google Scholar] [CrossRef] [PubMed]
- Yajima, H.; Ikeshima, E.; Shiraki, M.; Kanaya, T.; Fujiwara, D.; Odai, H.; Tsuboyama-Kasaoka, N.; Ezaki, O.; Oikawa, S.; Kondo, K. Isohumulones, bitter acids derived from hops, activate both peroxisome proliferator-activated receptor α and γ and reduce insulin resistance. J. Biol. Chem. 2004, 279, 33456–33462. [Google Scholar] [CrossRef]
- Mahli, A.; Koch, A.; Fresse, K.; Schiergens, T.; Thasler, W.E.; Schönberger, C.; Bergheim, I.; Bosserhoff, A.; Hellerbrand, C. Iso-alpha acids from hops (Humulus lupulus) inhibit hepatic steatosis, inflammation, and fibrosis. Lab. Investig. 2018, 98, 1614–1626. [Google Scholar] [CrossRef]
- Shimura, M.; Hasumi, A.; Minato, T.; Hosono, M.; Miura, Y.; Mizutani, S.; Kondo, K.; Oikawa, S.; Yoshida, A. Isohumulones modulate blood lipid status through the activation of PPARα. Biochim. Biophys. Acta. Mol. Cell. Biol. Lipid. 2005, 1736, 51–60. [Google Scholar] [CrossRef]
- Sumiyoshi, M.; Kimura, Y. Hop (Humulus lupulus L.) extract inhibits obesity in mice fed a high-fat diet over the long term. Br. J. Nutr. 2013, 109, 162–172. [Google Scholar] [CrossRef]
- Van Dam, R.; Seidell, J. Carbohydrate intake and obesity. Eur. J. Clin. Nutr. 2007, 1, S75–S99. [Google Scholar] [CrossRef]
- Després, J.-P.; Lemieux, I. Abdominal obesity and metabolic syndrome. Nature 2006, 444, 881–887. [Google Scholar] [CrossRef]
- Yajima, H.; Noguchi, T.; Ikeshima, E.; Shiraki, M.; Kanaya, T.; Tsuboyama-Kasaoka, N.; Ezaki, O.; Oikawa, S.; Kondo, K. Prevention of diet-induced obesity by dietary isomerized hop extract containing isohumulones, in rodents. Int. J. Obes. 2005, 29, 991–997. [Google Scholar] [CrossRef] [PubMed]
- Hamm, A.K.; Manter, D.K.; Kirkwood, J.S.; Wolfe, L.M.; Cox-York, K.; Weir, T.L. The Effect of Hops (Humulus lupulus L.) Extract Supplementation on Weight Gain, Adiposity and Intestinal Function in Ovariectomized Mice. Nutrients 2019, 11, 3004. [Google Scholar] [CrossRef]
- Everard, A.; Geurts, L.; Van Roye, M.; Delzenne, N.M.; Cani, P.D. Tetrahydro iso-alpha acids from hops improve glucose homeostasis and reduce body weight gain and metabolic endotoxemia in high-fat diet-fed mice. PLoS ONE 2012, 7, e33858. [Google Scholar] [CrossRef]
- Vroegrijk, I.O.; van Diepen, J.A.; van den Berg, S.A.; Romijn, J.A.; Havekes, L.M.; van Dijk, K.W.; Darland, G.; Konda, V.; Tripp, M.L.; Bland, J.S. META060 protects against diet-induced obesity and insulin resistance in a high-fat–diet fed mouse. Nutrition 2013, 29, 276–283. [Google Scholar] [CrossRef]
- Zhang, F.; Lavan, B.E.; Gregoire, F.M. Selective modulators of PPAR-γ activity: Molecular aspects related to obesity and side-effects. PPAR Res. 2007, 2007. [Google Scholar] [CrossRef]
- Martyn, J.J.; Kaneki, M.; Yasuhara, S. Obesity-induced insulin resistance and hyperglycemia: Etiological factors and molecular mechanisms. Anesthesiology 2008, 109, 137. [Google Scholar] [CrossRef]
- Faraone, I.; Rai, D.K.; Russo, D.; Chiummiento, L.; Fernandez, E.; Choudhary, A.; Milella, L. Antioxidant, Antidiabetic, and Anticholinesterase Activities and Phytochemical Profile of Azorella glabra Wedd. Plants 2019, 8, 265. [Google Scholar] [CrossRef]
- Lu, I.-L.; Huang, C.-F.; Peng, Y.-H.; Lin, Y.-T.; Hsieh, H.-P.; Chen, C.-T.; Lien, T.-W.; Lee, H.-J.; Mahindroo, N.; Prakash, E. Structure-based drug design of a novel family of PPARγ partial agonists: Virtual screening, X-ray crystallography, and in vitro/in vivo biological activities. J. Med. Chem. 2006, 49, 2703–2712. [Google Scholar] [CrossRef] [PubMed]
- Jeong, S.; Yoon, M. Fenofibrate inhibits adipocyte hypertrophy and insulin resistance by activating adipose PPARα in high fat diet-induced obese mice. Exp. Mol. Med. 2009, 41, 397–405. [Google Scholar] [CrossRef] [PubMed]
- Subramanian, S.; Chait, A. Hypertriglyceridemia secondary to obesity and diabetes. Biochim. Biophys. Acta. Mol. Cell. Biol. Lipid. 2012, 1821, 819–825. [Google Scholar] [CrossRef] [PubMed]
- Betteridge, D.J. Effects of pioglitazone on lipid and lipoprotein metabolism. Diabetes Obes. Metab. 2007, 9, 640–647. [Google Scholar] [CrossRef] [PubMed]
- Danino, H.; Peri-Naor, R.; Fogel, C.; Ben-Harosh, Y.; Kadir, R.; Salem, H.; Birk, R. PPARγ regulates exocrine pancreas lipase. Biochim. Biophys. Acta. Mol. Cell. Biol. Lipid. 2016, 1861, 1921–1928. [Google Scholar] [CrossRef]
- Miura, Y.; Hosono, M.; Oyamada, C.; Odai, H.; Oikawa, S.; Kondo, K. Dietary isohumulones, the bitter components of beer, raise plasma HDL-cholesterol levels and reduce liver cholesterol and triacylglycerol contents similar to PPARα activations in C57BL/6 mice. Br. J Nutr. 2005, 93, 559–567. [Google Scholar] [CrossRef] [PubMed]
- Van Cleemput, M.; Heyerick, A.; Libert, C.; Swerts, K.; Philippé, J.; De Keukeleire, D.; Haegeman, G.; De Bosscher, K. Hop bitter acids efficiently block inflammation independent of GRα, PPARα, or PPARγ. Mol. Nutr. Food Res. 2009, 53, 1143–1155. [Google Scholar] [CrossRef]
- Karin, M.; Ben-Neriah, Y. Phosphorylation meets ubiquitination: The control of NF-κB activity. Annu. Rev. Immunol. 2000, 18, 621–663. [Google Scholar] [CrossRef]
- Oeckinghaus, A.; Ghosh, S. The NF-κB family of transcription factors and its regulation. CSH Perspect. Biol. 2009, 1, a000034. [Google Scholar]
- Hege, M.; Jung, F.; Sellmann, C.; Jin, C.; Ziegenhardt, D.; Hellerbrand, C.; Bergheim, I. An iso-α-acid-rich extract from hops (Humulus lupulus) attenuates acute alcohol-induced liver steatosis in mice. Nutrition 2018, 45, 68–75. [Google Scholar] [CrossRef] [PubMed]
- Cassini-Vieira, P.; Araújo, F.A.; da Costa Dias, F.L.; Russo, R.C.; Andrade, S.P.; Teixeira, M.M.; Barcelos, L.S. iNOS activity modulates inflammation, angiogenesis, and tissue fibrosis in polyether-polyurethane synthetic implants. Mediat. Inflamm. 2015, 2015. [Google Scholar] [CrossRef] [PubMed]
- Tripp, M.; Konda, V.; Darland, G.; Desai, A.; Chang, J.; Carroll, B.; Bland, J. Rho-iso-alpha acids and tetrahydro-iso-alpha acids are selective protein kinase inhibitors which potently reduce inflammation in macrophages in vitro and in the collagen-induced rheumatoid arthritis model in vivo. Acta Hortic. 2010, 848, 221. [Google Scholar] [CrossRef]
- Saadane, A.; Masters, S.; DiDonato, J.; Li, J.; Berger, M. Parthenolide inhibits IκB kinase, NF-κB activation, and inflammatory response in cystic fibrosis cells and mice. Am. J. Respir. Cell. Mol. Biol. 2007, 36, 728–736. [Google Scholar] [CrossRef]
- Lai, L.; Song, Y.; Liu, Y.; Chen, Q.; Han, Q.; Chen, W.; Pan, T.; Zhang, Y.; Cao, X.; Wang, Q. MicroRNA-92a negatively regulates Toll-like receptor (TLR)-triggered inflammatory response in macrophages by targeting MKK4 kinase. J. Biol. Chem. 2013, 288, 7956–7967. [Google Scholar] [CrossRef]
- Desai, A.; Konda, V.; Darland, G.; Austin, M.; Prabhu, K.S.; Bland, J.; Carroll, B.; Tripp, M. META060 inhibits multiple kinases in the NF-κB pathway and suppresses LPS–mediated inflammation in vitro and ex vivo. Inflamm. Res. 2009, 58, 229–234. [Google Scholar] [CrossRef] [PubMed]
- Piao, W.; Song, C.; Chen, H.; Wahl, L.M.; Fitzgerald, K.A.; O’Neill, L.A.; Medvedev, A.E. Tyrosine phosphorylation of MyD88 adapter-like (Mal) is critical for signal transduction and blocked in endotoxin tolerance. J. Biol. Chem. 2008, 283, 3109–3119. [Google Scholar] [CrossRef] [PubMed]
- Saugspier, M.; Dorn, C.; Thasler, W.E.; Gehrig, M.; Heilmann, J.; Hellerbrand, C. Hop bitter acids exhibit anti-fibrogenic effects on hepatic stellate cells in vitro. Exp. Mol. Pathol. 2012, 92, 222–228. [Google Scholar] [CrossRef] [PubMed]
- Desai, A.; Darland, G.; Bland, J.S.; Tripp, M.L.; Konda, V.R. META060 attenuates TNF-α-activated inflammation, endothelial–monocyte interactions, and matrix metalloproteinase-9 expression, and inhibits NF-κB and AP-1 in THP-1 monocytes. Atherosclerosis 2012, 223, 130–136. [Google Scholar] [CrossRef]
- Tripp, M.; Darland, G.; Lerman, R.; Lukaczer, D.; Bland, J.; Babish, J. Hop and modified hop extracts have potent in vitro anti-inflammatory properties. In Proceedings of the International Humulus Symposium 668, Corvallis, OR, USA; 2004; pp. 217–228. [Google Scholar]
- Nozawa, H.; Nakao, W.; Zhao, F.; Kondo, K. Dietary supplement of isohumulones inhibits the formation of aberrant crypt foci with a concomitant decrease in prostaglandin E2 level in rat colon. Mol. Nutr. Food Res. 2005, 49, 772–778. [Google Scholar] [CrossRef]
- Hall, A.J.; Babish, J.G.; Darland, G.K.; Carroll, B.J.; Konda, V.R.; Lerman, R.H.; Bland, J.S.; Tripp, M.L. Safety, efficacy and anti-inflammatory activity of rho iso-alpha-acids from hops. Phytochemistry 2008, 69, 1534–1547. [Google Scholar] [CrossRef]
- Hougee, S.; Faber, J.; Sanders, A.; van den Berg, W.B.; Garssen, J.; Smit, H.F.; Hoijer, M.A. Selective inhibition of COX-2 by a standardized CO2 extract of Humulus lupulus in vitro and its activity in a mouse model of zymosan-induced arthritis. Planta Med. 2006, 72, 228–233. [Google Scholar] [CrossRef]
- Boutagy, N.E.; McMillan, R.P.; Frisard, M.I.; Hulver, M.W. Metabolic endotoxemia with obesity: Is it real and is it relevant? Biochimie 2016, 124, 11–20. [Google Scholar] [CrossRef]
- Cani, P.D.; Neyrinck, A.M.; Fava, F.; Knauf, C.; Burcelin, R.G.; Tuohy, K.M.; Gibson, G.; Delzenne, N.M. Selective increases of bifidobacteria in gut microflora improve high-fat-diet-induced diabetes in mice through a mechanism associated with endotoxaemia. Diabetologia 2007, 50, 2374–2383. [Google Scholar] [CrossRef]
- Rios-Arce, N.D.; Collins, F.L.; Schepper, J.D.; Steury, M.D.; Raehtz, S.; Mallin, H.; Schoenherr, D.T.; Parameswaran, N.; McCabe, L.R. Epithelial barrier function in gut-bone signaling. In Understanding the Gut-Bone Signaling Axis; Springer: Cham, Switzerland, 2017; pp. 151–183. [Google Scholar]
- Blatchford, P.A.; Parkar, S.G.; Hopkins, W.; Ingram, J.R.; Sutton, K.H. Dose-dependent alterations to in vitro human microbiota composition and butyrate inhibition by a supercritical carbon dioxide hops extract. Biomolecules 2019, 9, 390. [Google Scholar] [CrossRef]
- Obara, K.; Mizutani, M.; Hitomi, Y.; Yajima, H.; Kondo, K. Isohumulones, the bitter component of beer, improve hyperglycemia and decrease body fat in Japanese subjects with prediabetes. Clin. Nutr. 2009, 28, 278–284. [Google Scholar] [CrossRef] [PubMed]
- Walker, E.; Lo, K.; Tham, S.; Pahl, M.; Lomiwes, D.; Cooney, J.; Wohlers, M.; Gopal, P. New Zealand Bitter Hops Extract Reduces Hunger During a 24 h Water Only Fast. Nutrients 2019, 11, 2754. [Google Scholar] [CrossRef] [PubMed]
- Jeon, T.-I.; Zhu, B.; Larson, J.L.; Osborne, T.F. SREBP-2 regulates gut peptide secretion through intestinal bitter taste receptor signaling in mice. J. Clin. Investig. 2008, 118, 3693–3700. [Google Scholar] [CrossRef]
- Dunkel, A.; Hofmann, T.; Di Pizio, A. In Silico Investigation of Bitter Hop-Derived Compounds and Their Cognate Bitter Taste Receptors. J. Agric. Food Chem. 2020, 68, 10414–10423. [Google Scholar] [CrossRef]
- Kern, P.A.; Finlin, B.S.; Ross, D.; Boyechko, T.; Zhu, B.; Grayson, N.; Sims, R.; Bland, J.S. Effects of KDT501 on metabolic parameters in insulin-resistant prediabetic humans. JES 2017, 1, 650–659. [Google Scholar] [CrossRef]
- Finlin, B.S.; Zhu, B.; Kok, B.P.; Godio, C.; Westgate, P.M.; Grayson, N.; Sims, R.; Bland, J.S.; Saez, E.; Kern, P.A. The influence of a KDT501, a novel isohumulone, on adipocyte function in humans. Front. Endocrinol. 2017, 8, 255. [Google Scholar] [CrossRef]
- Konda, V.R.; Desai, A.; Darland, G.; Grayson, N.; Bland, J.S. KDT501, a derivative from hops, normalizes glucose metabolism and body weight in rodent models of diabetes. PLoS ONE 2014, 9, e87848. [Google Scholar] [CrossRef]
- Minich, D.M.; Bland, J.S.; Katke, J.; Darland, G.; Hall, A.; Lerman, R.H.; Lamb, J.; Carroll, B.; Tripp, M. Clinical safety and efficacy of NG440: A novel combination of rho iso-alpha acids from hops, rosemary, and oleanolic acid for inflammatory conditions. Can. J. Physiol. Pharmacol. 2007, 85, 872–883. [Google Scholar] [CrossRef]
- Fosslien, E. Cardiovascular complications of non-steroidal anti-inflammatory drugs. Ann. Clin. Lab. Sci. 2005, 35, 347–385. [Google Scholar] [PubMed]
- Hooijmans, C.R.; Rovers, M.M.; De Vries, R.B.; Leenaars, M.; Ritskes-Hoitinga, M.; Langendam, M.W. SYRCLE’s risk of bias tool for animal studies. BMC Med. Res. Methodol. 2014, 14, 43. [Google Scholar] [CrossRef] [PubMed]
- Higgins, J.P.; Thomas, J.; Chandler, J.; Cumpston, M.; Li, T.; Page, M.J.; Welch, V.A. Cochrane Handbook for Systematic Reviews of Interventions; John Wiley & Sons: Hoboken, NJ, USA, 2019. [Google Scholar]









| Compound | dmax/nm | Clog P |
|---|---|---|
| Iso-cohumulone | 1.1664 | 2.90 |
| Iso-humulone | 1.3620 | 2.90 |
| Iso-adhumulone | 1.3830 | 2.90 |
| Dihydroisohumulone | 1.3536 | 2.80 |
| Tetrahydroisohumulone | 1.3851 | 3.00 |
| Hexahydroisohumulone | 1.3609 | 3.70 |
| Compound | Model | Treatment Time | Doses/Concentration | Biological Activity | Reference |
|---|---|---|---|---|---|
| Iso-humulone Iso-cohumulone Iso-adhumulone | CV-1 cells | Iso-humulone/iso-cohumulone/iso-adhumulone 1‒3‒10 μM | ↑PPAR- | [24,26] | |
| HepG2 cells | Iso-humulone/iso-cohumulone/iso-adhumulone 3‒10‒30 μM | ↑PPAR-α | |||
| KK-Ay male mice | 2 weeks | HFD + 0.18% (w/w) iso-humulone/iso-cohumulone | ↓plasma triglycerides ↓free fatty acid ↑glucose tolerance ↓fasting plasma insulin levels ↓IR index ↓body weight ↑liver ACO gene expression ↑liver FAT gene expression ↓white adipose tissue ADRP gene expression ↓white adipose tissue LPLgene expression | ||
| C57BL/6N female mice | 10 weeks 14 days | HFD + 0.18% (w/w) iso-humulone/iso-cohumulone HFD +10–100 mg/kg/day iso-humulone/iso-cohumulone | |||
| IHE (iso-humulone, iso-cohumulone, and iso-adhumulone) | C57BL/6NCrj mice PPARα-/-/129S4/SvJae mice | 1 week | AIN76A + 1% IHE/AIN76A + 2% Chol + 1% IHE | ↓plasma triglycerides ↓nonesterified free fatty acid ↑PPAR-α ↑microsomal ω-oxidation ↑peroxisomal β-oxidation ↑mitochondrialβ-oxidation | [28] |
| IHE (iso-humulone, iso-cohumulone, and iso-adhumulone) | HepG2 cells | 90 μg/mL | ↑PPAR-α | [32] | |
| C57BL/6N female mice | 6 weeks 5 weeks | HFD + 0.2–0.6% IHE AIN93G standard diet + 0.2–0.6% IHE/HFD + 0.2–0.6% IHE | ↓body weight ↓plasma triglycerides ↑glucose tolerance ↑faeces lipid content ↓pancreatic triacylglycerol lipase activity ↑liver ACO gene expression ↑liver MCAD gene expression ↓ liver DGAT2 gene expression | ||
| KK-Ay male mice | 5 weeks | HFD + 0.2–0.6% IHE | |||
| Wistar rat | HFD + 1% IHE | ||||
| HE | Cloned mouse 3T3-L1 fibroblasts C57BL/6J male mice C57BL/6 ovariectomized female mice | 20 weeks 12 weeks | 0–500 µ/mL HE HFD + 2 or 5% HE 400 mg/kg HE | ↑PPAR-
expression ↓body weight ↓liver weight ↓mesenteric adipose tissue weight ↓epididymal adipose tissue weight ↓PPAR- expression ↓liver TC ↓liver lipids (TC and TAG) ↓plasma lipids (TC and TAG) ↓plasma glucose levels | [29,33] |
| IHE1 (humulones, lupulones and iso-humulones) IHE1 (iso-humulones) Purified iso-humelones | C57BL/6NCrj female mice | Experiment1 1 week 2 week Experiment2 1 week Experiment3 2 week Experiment4 1 week | Atherogenic diet Atherogenic diet + 2 mL IHE1/kg Atherogenic diet + 5 mL IHE1/kg Atherogenic diet + 10 mL IHE2/kg Basal diet Basal diet + 10 mL IHE2/kg Cholesterol diet + 10 mL IHE2/kg Cholesterol diet Cholesterol diet + 0.5 g Fenofibrate Cholesterol diet + 10 mL IHE2/kg Cholesterol diet Cholesterol diet + 10 mL IHE2/kg Cholesterol diet + 3 g purified iso-humulones | ↓body weight ↑HDL-cholesterol ↓plasma triacylglycerol levels ↑ACO mRNA levels ↑ACS mRNA levels ↑LPL mRNA levels ↑FATP mRNA levels ↑HMGS mRNA levels ↑LDLR mRNA levels ↓Apo AI mRNA levels ↓Apo CIII mRNA levels | [44] |
| Iso-humulone | PHH cells HSC cells | 5–10–20 μg/mL | ↑PPAR-α ↑PPAR- expression in HSCs cells expression in PHH cells ↓SCD1 expression ↓FASN expression ↑CPT1 expression ↑ACOX1 expression | [27] | |
| C57BL/6N mice | 15 weeks | WTD + 0.5%(w/w) iso-humulone | ↓weight gain↓adipose tissue expansion ↓leptin ↑adiponectin ↓insulin resistance expression ↑mitochondrial β-oxidation ↓HMOX1 expression ↓SCD1 expression ↓FASN expression ↓JNK pathway | ||
| THIAA | C57BL/6J mice | 8 weeks | HFD + 0.1% THIAA | ↓body weight ↓total adiposity ↓subcutaneous and visceral adipose depots ↑glucose homeostasis ↓hyperinsulinemia ↑IAP activity ↑ZO-1 mRNA levels ↑occludin m-RNA levels | [34] |
| THIAA | C57Bl/6J male mice | 14 weeks | HFD + 100 mg/kg THIAA | ↓ weight gain ↓total body fat ↑glucose tolerance ↓fasting insulin levels | [35] |
| KDT501 | THP-1 cells 3T3L1 murine preadipocytes Human subcutaneous adipocytes C57Bl/6J male mice ZDF male rats | 30 days 32 days | 6.25, 12.5, 25, 50 µM 3.13, 6.25, 12.5, 25 µM 10 µM 25, 50, 100 and 200 mg/kg KDT501 100, 150, or 200 mg/kg KDT501 | ↓MCP-1 ↓RANTES ↓IL-6 ↓fat mass ↓glucose AUC ↓cholesterol ↓thriglycerides | [71] |
| THIAA | RAW264.7 macrophages | 1–5–10–20 µg/mL | ↓PEG2 production ↓COX-2 protein abundance ↓NO formation ↓NF-kB nuclear abundance and activity ↓BKT (IC50 =41 µg/mL) ↓SyK (IC50 = 60 µg/mL) ↓BMX (IC50 = 87 µg/mL) ↓PI3K (β, IC50 = 54 µg/mL; δ, IC50 = 15 µg/mL) ↓PDK1 (IC50 = 53 µg/mL) ↓PKBβ (IC50 = 87 µg/mL) ↓GSK3(α, IC50 = 28 µg/mL; β, IC50 = 17 µg/mL) | [53] | |
| Iso-humulone | L929sA mouse fibrosarcoma cells | 50–100 μM | ↓IL6 protein expression ↓TNF-α protein expression ↓RANTES protein expression ↓NF-kB-dependent gene expression ↓AP-1-driven gene expression ↓CREB-driven gene expression | [45] | |
| RIAA and THIAA | RAW264.7macrophages | 1–2.5–5–10–20 µg/mL | ↓NF-kB nuclear abundance and activity ↓PEG2 production ↓COX-2 protein abundance ↓TNF-α production ↓iNOS expression ↓NO production ↓BKT ↓SyK | [50] | |
| DBA/1J female mice | 14 days | 10–50–250 mg/kg | ↓arthritis index ↓joint degradation | ||
| RIAA | RAW 264.7 macrophages | 1–5–10–20 µg/mL | ↓PEG2 production ↓iCOX-2 protein abundance | [59] | |
| THIAA | THP-1 cells HAEC cells | 1–5–10–20 µg/mL | ↓IL6 expression ↓TNF-α expression ↓RANTES expression ↓MCP-1 expression ↓MMP-9 expression ↓NF-kB activation ↓AP-1 activation ↓monocyte-endothelial cell interaction | [56] | |
| IAA-rich extract | J774 A.1 murine macrophages | 25 mg/mL | ↓iNOS expression ↓NO production ↓IL6 expression ↓TNF-α expression | [48] | |
| C57Bl/6 J female mice | 4 days | 0.75 mg/kg | ↓plasma triglycerides ↓iNOS expression | ||
| IHE Iso-humulones | RAW264.7 cells Male Fischer rats | 2 weeks | 2.5, 5 µg/mL iso-humulones 10, 25 µg/mL IHE AIN-76A + 0.01%, 0.04%, 0.05% IHE | ↓PEG2 production | [57,58] |
| Compound | Clinical Investigation | Biological Effect | Ref. | |
|---|---|---|---|---|
| Dose | Time of Treatment | |||
| Iso-humulone | 16–32–48 mg 80mg | 12 weeks 8 weeks | ↓body weight ↓total fat area ↓BMI ↓fasting blood glucose ↓HbA1c ↓systolic blood pressure ↓GPT, GOT, GTP blood levels | [24,26,65] |
| IHE | Capsules containing 10.8 mgIHE/10 kg body weight | 30 and 120 min after ingestion | ↓triglyceride levels ↓glucose levels ↓insulin levels ↑FDM ↑NO ratio | [12] |
| Bitter hop extract | 100 or 250 mg | 24 h | ↓hunger reduction | [66] |
| KDT501 | escalating doses from 200 to a maximum dose of 1000 mg every 12 h | From 7 days to 28 days | ↓total cholesterol ↓post-meal triglycerides ↑adiponectin ↓TNF-α ↓ACACA mRNA expression ↓DGAT mRNA expression | [69] [70] |
| THIAA | 940 mg | Single oral dose | ↓systematic inflammation ↓TNF-α ↓IL-6 | [53] |
| RIAA | 600 mg 500 mg 450 mg | Single oral dose 6 weeks 14 days | ↓iCOX-2 ↓PGE2 ↓WOMAC Global score ↓VAS score ↓CYP2C9 (IC50 = 0,25 µg/mL) ↓CYP2C19 (IC50 = 6.1 µg/mL) ↑PGI-M/TXB2 ratio | [59,72] |
| Checklist for Assessment of Risks of Bias in Pre-clinical Studies |
|---|
| Are the hypothesis and objective of the study clearly described? |
| Are the main outcomes to be measured clearly described? |
| Are the main findings of the study clearly described? |
| Are the samples size calculations reported? |
| Are the animals randomly housed during the experiment? |
| Are the investigators blinded from knowledge which treatment used? |
| Are the outcome assessors blinded? |
| Is the dose/route of administration of the HCQ properly reported? |
| Is the dose/route of administration of the drug in co-treatment properly reported? |
| Is the frequency of treatments adequately described? |
| Checklist for Assessment of Risks of Bias in Clinical Studies |
|---|
| Are the hypothesis and objective of the study clearly described? |
| Are the main outcomes to be measured clearly described? |
| Are the main findings of the study clearly described? |
| Are the samples size calculations reported? |
| Are the animals randomly housed during the experiment? |
| Are the investigators blinded from knowledge which treatment used? |
| Are the outcome assessors blinded? |
| Is the dose/route of administration of the HCQ properly reported? |
| Is the dose/route of administration of the drug in co-treatment properly reported? |
| Is the frequency of treatments adequately described? |
Publisher’s Note: MDPI stays neutral with regard to jurisdictional claims in published maps and institutional affiliations. |
© 2021 by the authors. Licensee MDPI, Basel, Switzerland. This article is an open access article distributed under the terms and conditions of the Creative Commons Attribution (CC BY) license (http://creativecommons.org/licenses/by/4.0/).
Share and Cite
Ponticelli, M.; Russo, D.; Faraone, I.; Sinisgalli, C.; Labanca, F.; Lela, L.; Milella, L. The Promising Ability of Humulus lupulus L. Iso-α-acids vs. Diabetes, Inflammation, and Metabolic Syndrome: A Systematic Review. Molecules 2021, 26, 954. https://doi.org/10.3390/molecules26040954
Ponticelli M, Russo D, Faraone I, Sinisgalli C, Labanca F, Lela L, Milella L. The Promising Ability of Humulus lupulus L. Iso-α-acids vs. Diabetes, Inflammation, and Metabolic Syndrome: A Systematic Review. Molecules. 2021; 26(4):954. https://doi.org/10.3390/molecules26040954
Chicago/Turabian StylePonticelli, Maria, Daniela Russo, Immacolata Faraone, Chiara Sinisgalli, Fabiana Labanca, Ludovica Lela, and Luigi Milella. 2021. "The Promising Ability of Humulus lupulus L. Iso-α-acids vs. Diabetes, Inflammation, and Metabolic Syndrome: A Systematic Review" Molecules 26, no. 4: 954. https://doi.org/10.3390/molecules26040954
APA StylePonticelli, M., Russo, D., Faraone, I., Sinisgalli, C., Labanca, F., Lela, L., & Milella, L. (2021). The Promising Ability of Humulus lupulus L. Iso-α-acids vs. Diabetes, Inflammation, and Metabolic Syndrome: A Systematic Review. Molecules, 26(4), 954. https://doi.org/10.3390/molecules26040954

