Withaferin A: From Ancient Remedy to Potential Drug Candidate
Abstract
1. Introduction
| Plant | Common Name | Family | Part Used | Reference |
|---|---|---|---|---|
| Acnistus arborescens | Gallinero | Solanaceae | Leaves | [9] |
| Acnistus breviflorus | -- | Solanaceae | Excised Leaves | [10] |
| Ajuga bracteosa | Kauri booti | Lamiaceae | Whole plant | [11] |
| Physalis longifolia | Common ground cherry | Solanaceae | Aerial part | [12] |
| Vassobia breviflora | -- | Solanaceae | Aerial part | [13,14] |
| Withania aristata | -- | Solanaceae | Leaves | [15,16] |
| Withania coagulans | Paneerdoda/Habbul | Solanaceae | Root culture | [17] |
| Withania obtusifolia | -- | Solanaceae | Leaves | [18] |
| Withania somnifera | Ashwagandha | Solanaceae | Fruits | [19] |
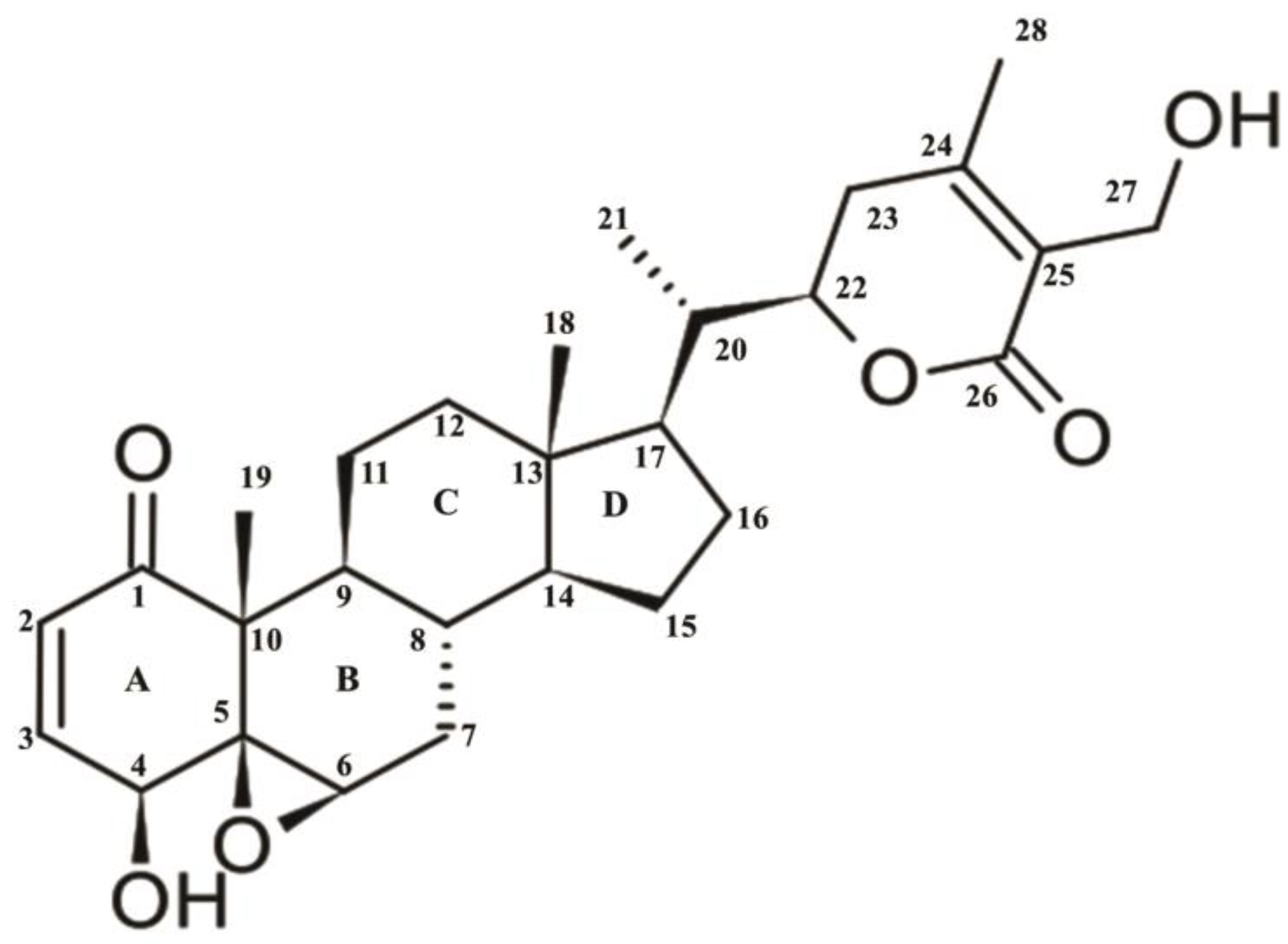
2. Chemistry of Withaferin A
3. Pharmacological Profile of WA
3.1. Anticancer and Cancer Chemopreventive Effect
3.1.1. Apoptosis Induction in Cancer Cells
| Cell Line/Model | Study Type | Mechanism of Action | Effect | Dose | References |
| Anticancer | |||||
| Breast cancer cells MCF-7 | In vitro | Down-regulation: ER-α, RET tyrosine kinase, HSF1 Up-regulation: phospho-p38 MAPK, p53 and p21 | Apoptosis | 576 nM | [39] |
| MDA-MB-231 (estrogen independent) MCF-7 (estrogen-responsive) | In vitro | G2 and M phase cell cycle arrest | Apoptosis | - | [48] |
| Human breast cancer cells | In vitro | Notch2 and Notch4 activation | Apoptosis | - | [35] |
| Breast cancer cells (MDA-MB-231 and MCF-7) | In vitro | FOXO3a- and Bim activation | Apoptosis | - | [49] |
| Breast cancer cells (MDA-MB-231 and MCF-7) | In vitro | Activation of signal transducer and activator of transcription-3 | Apoptosis | - | [50] |
| Breast cancer cells (MDA-MB-231) | In vitro | NF-κB inhibition by IL6 inhibition | Apoptosis | - | [51] |
| Doxorubicin-sensitive human leukemic (K562) and -resistant K562/Adr cells, | In vitro | IL6, IL8, A1,MCP1, A20, cyclinD1, VEGF, MDR1 genes inhibition | Apoptosis | - | [36] |
| Multiple myeloma cell line U266) | In vitro | NF-κB inhibition | Apoptosis | - | [52] |
| Human myeloid leukemia (HL-60) | In vitro | ROS generation and mitochondrial dysfunction | Apoptosis | - | [53] |
| Myeloid leukemia (KBM-5) cells | In vitro | Inhibition of NF-κB | Apoptosis | - | [7] |
| T-cell lymphoma (HUT-78), Human myeloid leukemia cells (HL60) | In vitro | Inhibition of NF-κB | Apoptosis | - | [40] |
| human leukemic monocyte lymphoma (U937) cells | In vitro | Cleavage of PARP, activation of caspase-3 and Bcl-2 down-regulation | Apoptosis | - | [42] |
| Human melanoma cells | In vitro | ROS generation and Bcl-2 down-regulation | Apoptosis | - | [41] |
| Uveal melanoma cells | In vitro | Suppression of Akt and c-MET activation | Apoptosis | - | [43] |
| Cervical cancer cells (CaSki) | In vitro | Induces p53, repression of HPV oncogenes, up-regulation of tumor suppressor proteins | Apoptosis | 0.45 ± 0.05 mM | [45] |
| Human cervix adenocarcinoma cell line (Hela) | In vitro | Inhibition of NF-κB | - | [54] | |
| Colon carcinoma cell lines (HCT116, SW480, SW620) | In vitro | NF-κB inhibition, SAC dysfunction by degrading Mad2 and Cdc20 proteins and hence mitotic delay | Arrest proliferation | - | [47] |
| Colon carcinoma cell line (SW480) | In vitro | Inhibition of NF-κB | Arrest proliferation | - | [55] |
| Immortalized Cystic fibrosis airway cell line (KKLEB), Human embryonic kidney (HEK) cells | In vitro | Inhibition of NF-κB by IL8 gene | Arrest proliferation | - | [56] |
| Fibrosarcoma (L929) | In vitro | IL6, RANTES, IkBa gene inhibition leads to inhibition of NF-κB | - | - | [53] |
| Human umbilical vein endothelial cells (HUVEC) | In vitro | IL6, TNF-αgene suppression | Arrest proliferation | - | [57] |
| Adipocyte cell line (3T3-L1) | In vitro | Increased ERK1/2 phosphorylation and altered Bax and Bcl2 protein expression, | Apoptosis | 1–25 μM | [58] |
| decrease lipid accumulation, expression of peroxisome proliferator-activated receptor γ, CCAAT/enhancer binding protein α and adipocyte fatty acid binding protein | Inhibits adipogenesis | 0.1–1 μM | |||
| Cancer Prevention | |||||
| DMBA induced oral cancer in Syrian golden hamsters | In vivo | Decrease lipid peroxidation, enhance antioxidant defense | Inhibits oral cancer (100%) | 20 mg/kg, oral 3 times/week | [59] |
| Breast cancer in transgenic mouse mammary tumor virus-neu (MMTV-neu) | In vivo | Inhibits macroscopic and microscopic tumor burden (promotes apoptosis, inhibits complex III and glycolysis) | Apoptosis | 100 μg/mouse, i.p., 3 times/week | [30] |
| DMBA induced squamous cell carcinoma in buccal cavity of Syrian Golden Hamsters | In vivo | Prevent alterations of p53 and Bcl-2 expressions | Inhibit tumor proliferation | - | [60] |
| Transplanted Tumors Inhibition | |||||
| Ascites sarcoma (S-180) xenografts | In vivo | Vacuolization of cytoplasm, distention or dissolution of mitochondrial cristae, disruption of microtubules of mitotic spindles | Inhibit tumor growth and promotes survival | 30 mg/kg, i.p. | [61] |
| Prostate cancer (PC-3) xenografts | In vivo | Promotes Par-4 and apoptosis | Inhibits tumor growth | 5 mg/kg, intra-tumor, 5 days per week | [44] |
| Medullary thyroid cancer (DRO81-1) xenografts | In vivo | Decreases Total and phospho-RET | Inhibits tumor growth | 8 mg/kg, i.p., daily | [62] |
| Fibrosarcoma (SKLMS-1), leiomyosarcoma (HT-1080) xenografts | In vivo | Inhibits PCNA and CD31, enhance apoptosis | Inhibits tumor growth | 2 mg/kg, i.p., daily | [63] |
| Mouse breast cancer (4T1) xenografts | In vivo | Activates Ser56 phosphorylation of vimentin | Inhibits tumor growth | 2 and 4 mg/kg, i.p., every other day | [33] |
| Mesothelioma (AB12) xenografts | In vivo | Inhibits proteasomal chymotrypsin-like activity | Inhibits tumor growth | 5 mg/kg, i.p., daily | [38] |
| Pancreatic cancer (Panc-1) xenografts | In vivo | Inhibit Hsp-90 and degrade Akt, Cdk4 and glucocorticoid receptor | Inhibits tumor growth | 3 and 6 mg/kg, i.p., 2 times per week | [27] |
| Anti-inflammatory effect | |||||
| CF related inflammatory cells | In vitro | Inhibition of NF-κB | - | - | [56] |
| Human Islet Cells | In vitro | Inhibition of cytokines and TNF-α | - | 1 μg/mL | [64] |
| Macrophage cell line (RAW 264.7) | In vitro | Inhibition of NF-κB and iNOS, Akt and COX-2 expression | - | - | [42] |
3.1.2. Antitumor Induction Activity
3.1.3. Sensitization to Chemotherapy
3.1.4. Cancer Associated Anti-Inflammatory Effects
3.1.5. Immunomodulation in Cancer
3.1.6. Healing Effects in Bone Metastasis
3.1.7. Anti-Herpetic Effects
3.1.8. Anti-Fibrotic Effects
3.2. Antiplatelet and Profibrinolytic Effects
3.3. Antileishmanial Effect
3.4. Antiadipogenesis Effect
3.5. Antipigmenting Effect
4. Summary
5. Future Prospects
Author Contributions
Funding
Acknowledgments
Conflicts of Interest
Abbreviations
References
- Chen, L.-X.; He, H.; Qiu, F. Natural withanolides: An overview. Nat. Product Rep. 2011, 28, 705–740. [Google Scholar] [CrossRef]
- Winters, M. Ancient medicine, modern use: Withania somnifera and its potential role in integrative oncology. Altern. Med. Rev. 2006, 11, 269–277. [Google Scholar] [PubMed]
- Davis, L.; Kuttan, G. Effect of Withania somnifera on 20-methylcholanthrene induced fibrosarcoma. J. Exp. Clin. Cancer Res. 2000, 19, 165–167. [Google Scholar]
- Widodo, N.; Kaur, K.; Shrestha, B.G.; Takagi, Y.; Ishii, T.; Wadhwa, R.; Kaul, S.C. Selective killing of cancer cells by leaf extract of Ashwagandha: Identification of a tumor-inhibitory factor and the first molecular insights to its effect. Clin. Cancer Res. 2007, 13, 2298–2306. [Google Scholar] [CrossRef] [PubMed]
- Khazal, K.F.; Samuel, T.; Hill, D.L.; Grubbs, C.J. Effect of an extract of Withania somnifera root on estrogen receptor-positive mammary carcinomas. Anticancer Res. 2013, 33, 1519–1523. [Google Scholar]
- Biswal, B.M.; Sulaiman, S.A.; Ismail, H.C.; Zakaria, H.; Musa, K.I. Effect of Withania somnifera (Ashwagandha) on the development of chemotherapy-induced fatigue and quality of life in breast cancer patients. Integr. Cancer Ther. 2013, 12, 312–322. [Google Scholar] [CrossRef]
- Ichikawa, H.; Takada, Y.; Shishodia, S.; Jayaprakasam, B.; Nair, M.G.; Aggarwal, B.B. Withanolides potentiate apoptosis, inhibit invasion, and abolish osteoclastogenesis through suppression of nuclear factor-κB (NF-κB) activation and NF-κB–regulated gene expression. Mol. Cancer Ther. 2006, 5, 1434–1445. [Google Scholar] [CrossRef] [PubMed]
- Mishra, L.-C.; Singh, B.B.; Dagenais, S. Scientific basis for the therapeutic use of Withania somnifera (ashwagandha): A review. Altern. Med. Rev. 2000, 5, 334–346. [Google Scholar]
- Kupchan, S.M.; Anderson, W.K.; Bollinger, P.; Doskotch, R.W.; Smith, R.M.; Saenz-Renauld, J.A.; Schnoes, H.K.; Burlingame, A.L.; Smith, D.H. Tumor inhibitors. XXXIX. Active principles of Acnistur arborescens. Isolation and structural and spectral studies of withaferin a and withacnistin. J. Org. Chem. 1969, 34, 3858–3866. [Google Scholar] [CrossRef] [PubMed]
- Nittala, S.S.; Lavie, D. Withanolides of Acnistus breviflorus. Phytochemistry 1981, 20, 2735–2739. [Google Scholar] [CrossRef]
- Gautam, R.; Jachak, S.M.; Saklani, A. Anti-inflammatory effect of Ajuga bracteosa Wall Ex Benth. mediated through cyclooxygenase (COX) inhibition. J. Ethnopharm. 2011, 133, 928–930. [Google Scholar] [CrossRef] [PubMed]
- Zhang, H.; Samadi, A.K.; Gallagher, R.J.; Araya, J.J.; Tong, X.; Day, V.W.; Cohen, M.S.; Kindscher, K.; Gollapudi, R.; Timmermann, B.N. Cytotoxic withanolide constituents of Physalis longifolia. J. Nat. Prod. 2011, 74, 2532–2544. [Google Scholar] [CrossRef] [PubMed]
- Samadi, A.K.; Tong, X.; Mukerji, R.; Zhang, H.; Timmermann, B.N.; Cohen, M.S. Withaferin A, a cytotoxic steroid from Vassobia breviflora, induces apoptosis in human head and neck squamous cell carcinoma. J. Nat. Prod. 2010, 73, 1476–1481. [Google Scholar] [CrossRef]
- Monteagudo, E.S.; Burton, G.; Gros, E.G. Biosynthesis of withanolides in Acnistus breviflorus. Incorporation of labelled 24-methylenecholesterol. Phytochemistry 1994, 35, 927–929. [Google Scholar] [CrossRef]
- Benjumea, D.; Martín-Herrera, D.; Abdala, S.; Gutiérrez-Luis, J.; Quiñones, W.; Cardona, D.; Torres, F.; Echeverri, F. Withanolides from Whitania aristata and their diuretic activity. J. Ethnopharm. 2009, 123, 351–355. [Google Scholar] [CrossRef]
- Llanos, G.G.; Araujo, L.M.; Jiménez, I.A.; Moujir, L.M.; Bazzocchi, I.L. Withaferin A-related steroids from Withania aristata exhibit potent antiproliferative activity by inducing apoptosis in human tumor cells. Eur. J. Med. Chem. 2012, 54, 499–511. [Google Scholar] [CrossRef]
- Abouzid, S.; El-Bassuony, A.; Nasib, A.; Khan, S.; Qureshi, J.; Choudhary, M. Withaferin A production by root cultures of Withania coagulans. Int. J. Appl. Res. Nat. Products 2010, 3, 23–27. [Google Scholar]
- Modawi, B.M.; Iskander, G.M.; Karim, M.A.; Fair, C.K.; Schlemper, E. Crystal and molecular structure of a new withanolide. Isomeric with withaferin a isolated from withania obtusifolia dun. J. Prakt. Chem. 1986, 328, 291–294. [Google Scholar] [CrossRef]
- Bolleddula, J.; Fitch, W.; Vareed, S.K.; Nair, M.G. Identification of metabolites in Withania sominfera fruits by liquid chromatography and high-resolution mass spectrometry. Rapid Commun. Mass Spectrom. 2012, 26, 1277–1290. [Google Scholar] [CrossRef]
- Cordero, C.P.; Morantes, S.J.; Páez, A.; Rincón, J.; Aristizábal, F.A. Cytotoxicity of withanolides isolated from Acnistus arborescens. Fitoterapia 2009, 80, 364–368. [Google Scholar] [CrossRef]
- Fang, S.-T.; Liu, J.-K.; Li, B. Ten new withanolides from Physalis peruviana. Steroids 2012, 77, 36–44. [Google Scholar] [CrossRef] [PubMed]
- Berghe, W.V.; Sabbe, L.; Kaileh, M.; Haegeman, G.; Heyninck, K. Molecular insight in the multifunctional activities of Withaferin A. Biochem. Pharm. 2012, 84, 1282–1291. [Google Scholar] [CrossRef]
- Fuska, J.; Fuskova, A.; Rosazza, J.; Nicholas, A. Novel cytotoxic and antitumor agents. IV. Withaferin A: Relation of its structure to the in vitro cytotoxic effects on P388 cells. Neoplasma 1984, 31, 31–36. [Google Scholar] [PubMed]
- Dantas, R.F.; Evangelista, T.C.S.; Neves, B.J.; Senger, M.R.; Andrade, C.H.; Ferreira, S.B.; Silva-Junior, F.P. Dealing with frequent hitters in drug discovery: A multidisciplinary view on the issue of filtering compounds on biological screenings. Exp. Opin. Drug Discov. 2019, 14, 1269–1282. [Google Scholar] [CrossRef] [PubMed]
- Švenda, J.; Sheremet, M.; Kremer, L.; Maier, L.; Bauer, J.O.; Strohmann, C.; Ziegler, S.; Kumar, K.; Waldmann, H. Biology-Oriented Synthesis of a Withanolide-Inspired Compound Collection Reveals Novel Modulators of Hedgehog Signaling. Angew. Chem. 2015, 127, 5688–5694. [Google Scholar] [CrossRef]
- Grover, A.; Shandilya, A.; Agrawal, V.; Pratik, P.; Bhasme, D.; Bisaria, V.S.; Sundar, D. Hsp-90/Cdc37 chaperone/co-chaperone complex, a novel junction anticancer target elucidated by the mode of action of herbal drug Withaferin A. BMC Bioinformatics 2011, 12, 1–13. [Google Scholar] [CrossRef] [PubMed]
- Yu, Y.; Hamza, A.; Zhang, T.; Gu, M.; Zou, P.; Newman, B.; Li, Y.; Gunatilaka, A.L.; Zhan, C.-G.; Sun, D. Withaferin A targets heat shock protein 90 in pancreatic cancer cells. Biochem. Pharm. 2010, 79, 542–551. [Google Scholar] [CrossRef]
- Santagata, S.; Xu, Y.-M.; Wijeratne, E.K.; Kontnik, R.; Rooney, C.; Perley, C.C.; Kwon, H.; Clardy, J.; Kesari, S.; Whitesell, L. Using the heat-shock response to discover anticancer compounds that target protein homeostasis. ACS Chem. Biol. 2012, 7, 340–349. [Google Scholar] [CrossRef]
- Mendillo, M.L.; Santagata, S.; Koeva, M.; Bell, G.W.; Hu, R.; Tamimi, R.M.; Fraenkel, E.; Ince, T.A.; Whitesell, L.; Lindquist, S. HSF1 drives a transcriptional program distinct from heat shock to support highly malignant human cancers. Cell 2012, 150, 549–562. [Google Scholar] [CrossRef] [PubMed]
- Hahm, E.-R.; Singh, S.V. Autophagy fails to alter withaferin A-mediated lethality in human breast cancer cells. Curr. Cancer Drug Targets 2013, 13, 640–650. [Google Scholar] [CrossRef]
- Fong, M.Y.; Jin, S.; Rane, M.; Singh, R.K.; Gupta, R.; Kakar, S.S. Withaferin A synergizes the therapeutic effect of doxorubicin through ROS-mediated autophagy in ovarian cancer. PLoS ONE 2012, 7, e42265. [Google Scholar] [CrossRef]
- Ku, S.-K.; Han, M.-S.; Bae, J.-S. Withaferin A is an inhibitor of endothelial protein C receptor shedding in vitro and in vivo. Food Chem. Toxicol. 2014, 68, 23–29. [Google Scholar] [CrossRef]
- Thaiparambil, J.T.; Bender, L.; Ganesh, T.; Kline, E.; Patel, P.; Liu, Y.; Tighiouart, M.; Vertino, P.M.; Harvey, R.D.; Garcia, A. Withaferin A inhibits breast cancer invasion and metastasis at sub-cytotoxic doses by inducing vimentin disassembly and serine 56 phosphorylation. Intern. J. Cancer 2011, 129, 2744–2755. [Google Scholar] [CrossRef] [PubMed]
- Lee, J.; Sehrawat, A.; Singh, S.V. Withaferin A causes activation of Notch2 and Notch4 in human breast cancer cells. Breast Cancer Res. Treat. 2012, 136, 45–56. [Google Scholar] [CrossRef]
- Koduru, S.; Kumar, R.; Srinivasan, S.; Evers, M.B.; Damodaran, C. Notch-1 inhibition by Withaferin-A: A therapeutic target against colon carcinogenesis. Mol. Cancer Ther. 2010, 9, 202–210. [Google Scholar] [CrossRef] [PubMed]
- Suttana, W.; Mankhetkorn, S.; Poompimon, W.; Palagani, A.; Zhokhov, S.; Gerlo, S.; Haegeman, G.; Berghe, W.V. Differential chemosensitization of P-glycoprotein overexpressing K562/Adr cells by withaferin A and Siamois polyphenols. Mol. Cancer 2010, 9, 1–22. [Google Scholar] [CrossRef]
- Yang, H.; Shi, G.; Dou, Q.P. The tumor proteasome is a primary target for the natural anticancer compound Withaferin A isolated from “Indian winter cherry”. Mol. Pharm. 2007, 71, 426–437. [Google Scholar] [CrossRef]
- Yang, H.; Wang, Y.; Cheryan, V.T.; Wu, W.; Cui, C.Q.; Polin, L.A.; Pass, H.I.; Dou, Q.P.; Rishi, A.K.; Wali, A. Withaferin A inhibits the proteasome activity in mesothelioma in vitro and in vivo. PLoS ONE 2012, 8, 10. [Google Scholar] [CrossRef]
- Zhang, X.; Mukerji, R.; Samadi, A.K.; Cohen, M.S. Down-regulation of estrogen receptor-alpha and rearranged during transfection tyrosine kinase is associated with withaferin a-induced apoptosis in MCF-7 breast cancer cells. BMC Complement. Altern. Med. 2011, 11, 1–10. [Google Scholar] [CrossRef] [PubMed]
- Malik, F.; Kumar, A.; Bhushan, S.; Khan, S.; Bhatia, A.; Suri, K.A.; Qazi, G.N.; Singh, J. Reactive oxygen species generation and mitochondrial dysfunction in the apoptotic cell death of human myeloid leukemia HL-60 cells by a dietary compound withaferin A with concomitant protection by N-acetyl cysteine. Apoptosis 2007, 12, 2115–2133. [Google Scholar] [CrossRef]
- Mayola, E.; Gallerne, C.; Esposti, D.D.; Martel, C.; Pervaiz, S.; Larue, L.; Debuire, B.; Lemoine, A.; Brenner, C.; Lemaire, C. Withaferin A induces apoptosis in human melanoma cells through generation of reactive oxygen species and down-regulation of Bcl-2. Apoptosis 2011, 16, 1014–1027. [Google Scholar] [CrossRef] [PubMed]
- Oh, J.H.; Lee, T.-J.; Kim, S.H.; Choi, Y.H.; Lee, S.H.; Lee, J.M.; Kim, Y.-H.; Park, J.-W.; Kwon, T.K. Induction of apoptosis by withaferin A in human leukemia U937 cells through down-regulation of Akt phosphorylation. Apoptosis 2008, 13, 1494–1504. [Google Scholar] [CrossRef] [PubMed]
- Samadi, A.K.; Cohen, S.M.; Mukerji, R.; Chaguturu, V.; Zhang, X.; Timmermann, B.N.; Cohen, M.S.; Person, E.A. Natural withanolide withaferin A induces apoptosis in uveal melanoma cells by suppression of Akt and c-MET activation. Tumor Biol. 2012, 33, 1179–1189. [Google Scholar] [CrossRef]
- Srinivasan, S.; Ranga, R.S.; Burikhanov, R.; Han, S.-S.; Chendil, D. Par-4-dependent apoptosis by the dietary compound withaferin A in prostate cancer cells. Cancer Res. 2007, 67, 246–253. [Google Scholar] [CrossRef] [PubMed]
- Munagala, R.; Kausar, H.; Munjal, C.; Gupta, R.C. Withaferin A induces p53-dependent apoptosis by repression of HPV oncogenes and upregulation of tumor suppressor proteins in human cervical cancer cells. Carcinogenesis 2011, 32, 1697–1705. [Google Scholar] [CrossRef]
- Bargagna-Mohan, P.; Hamza, A.; Kim, Y.-E.; Ho, Y.K.A.; Mor-Vaknin, N.; Wendschlag, N.; Liu, J.; Evans, R.M.; Markovitz, D.M.; Zhan, C.-G. The tumor inhibitor and antiangiogenic agent withaferin A targets the intermediate filament protein vimentin. Chem. Biol. 2007, 14, 623–634. [Google Scholar] [CrossRef]
- Das, T.; Roy, K.S.; Chakrabarti, T.; Mukhopadhyay, S.; Roychoudhury, S. Withaferin A modulates the Spindle Assembly Checkpoint by degradation of Mad2–Cdc20 complex in colorectal cancer cell lines. Biochem. Pharm. 2014, 91, 31–39. [Google Scholar] [CrossRef]
- Stan, S.D.; Zeng, Y.; Singh, S.V. Ayurvedic medicine constituent withaferin a causes G2 and M phase cell cycle arrest in human breast cancer cells. Nutr. Cancer 2008, 60, 51–60. [Google Scholar] [CrossRef]
- Stan, S.D.; Hahm, E.-R.; Warin, R.; Singh, S.V. Withaferin A causes FOXO3a-and Bim-dependent apoptosis and inhibits growth of human breast cancer cells in vivo. Cancer Res. 2008, 68, 7661–7669. [Google Scholar] [CrossRef]
- Lee, J.; Hahm, E.-R.; Singh, S.V. Withaferin A inhibits activation of signal transducer and activator of transcription 3 in human breast cancer cells. Carcinogenesis 2010, 31, 1991–1998. [Google Scholar] [CrossRef]
- Ndlovu, M.N.; Lint, C.V.; Wesemael, K.V.; Callebert, P.; Chalbos, D.; Haegeman, G.; Berghe, W.V. Hyperactivated NF-κB and AP-1 transcription factors promote highly accessible chromatin and constitutive transcription across the interleukin-6 gene promoter in metastatic breast cancer cells. Mol. Cell. Biol. 2009, 29, 5488–5504. [Google Scholar] [CrossRef] [PubMed]
- Malara, N.; Focà, D.; Casadonte, F.; Sesto, M.F.; Macrina, L.; Santoro, L.; Scaramuzzino, M.; Terracciano, R.; Savino, R. Simultaneous inhibition of the constitutively activated nuclear factor κB and of the Interleukin-6 pathways is necessary and sufficient to completely overcome apoptosis resistance of human U266 myeloma cells. Cell Cycle 2008, 7, 3235–3245. [Google Scholar] [CrossRef] [PubMed][Green Version]
- Heyninck, K.; Lahtela-Kakkonen, M.; Van der Veken, P.; Haegeman, G.; Berghe, W.V. Withaferin A inhibits NF-kappaB activation by targeting cysteine 179 in IKKβ. Biochem. Pharm. 2014, 91, 501–509. [Google Scholar] [CrossRef]
- Peschel, W.; Kump, A.; Prieto, J.M. Effects of 20-hydroxyecdysone, Leuzea carthamoides extracts, dexamethasone and their combinations on the NF-κ B activation in HeLa cells. J. Pharm. Pharmacol. 2011, 63, 1483–1495. [Google Scholar] [CrossRef]
- Stevens, C.; Henderson, P.; Nimmo, E.R.; Soares, D.C.; Dogan, B.; Simpson, K.W.; Barrett, J.C.; Wilson, D.C.; Satsangi, J.; Consortium, I.I.B.D.G. The intermediate filament protein, vimentin, is a regulator of NOD2 activity. Gut 2013, 62, 695–707. [Google Scholar] [CrossRef]
- Maitra, R.; Porter, M.A.; Huang, S.; Gilmour, B.P. Inhibition of NFκB by the natural product Withaferin A in cellular models of Cystic Fibrosis inflammation. J. Inflamm. 2009, 6, 1–5. [Google Scholar] [CrossRef] [PubMed]
- Lee, W.; Kim, T.H.; Ku, S.-K.; Min, K.-J.; Lee, H.-S.; Kwon, T.K.; Bae, J.-S. Barrier protective effects of withaferin A in HMGB1-induced inflammatory responses in both cellular and animal models. Toxicol. Appl. Pharmacol. 2012, 262, 91–98. [Google Scholar] [CrossRef] [PubMed]
- Park, H.J.; Rayalam, S.; Della-Fera, M.A.; Ambati, S.; Yang, J.Y.; Baile, C.A. Withaferin A induces apoptosis and inhibits adipogenesis in 3T3-L1 adipocytes. Biofactors 2008, 33, 137–148. [Google Scholar] [CrossRef]
- Manoharan, S.; Panjamurthy, K.; Menon, V.P.; Balakrishnan, S.; Alias, L.M. Protective effect of Withaferin-A on tumour formation in 7, 12-dimethylbenz [a] anthracene induced oral carcinogenesis in hamsters. Indian J. Exp. Biol. 2009, 47, 16–23. [Google Scholar]
- Panjamurthy, K.; Manoharan, S.; Nirmal, M.R.; Vellaichamy, L. Protective role of Withaferin-A on immunoexpression of p53 and bcl-2 in 7, 12-dimethylbenz (a) anthracene-induced experimental oral carcinogenesis. Investig. New Drugs 2009, 27, 447–452. [Google Scholar] [CrossRef]
- Shohat, B.; Shaltiel, A.; Ben-Bassat, M.; Joshua, H. The effect of withaferin A, a natural steroidal lactone, on the fine structure of S-180 tumor cells. Cancer Lett. 1976, 2, 71–77. [Google Scholar] [CrossRef]
- Samadi, A.K.; Mukerji, R.; Shah, A.; Timmermann, B.N.; Cohen, M.S. A novel RET inhibitor with potent efficacy against medullary thyroid cancer in vivo. Surgery 2010, 148, 1228–1236. [Google Scholar] [CrossRef] [PubMed]
- Lahat, G.; Zhu, Q.-S.; Huang, K.-L.; Wang, S.; Bolshakov, S.; Liu, J.; Torres, K.; Langley, R.R.; Lazar, A.J.; Hung, M.C. Vimentin is a novel anti-cancer therapeutic target; insights from in vitro and in vivo mice xenograft studies. PLoS ONE 2010, 5, e10105. [Google Scholar] [CrossRef] [PubMed]
- Peng, H.; Olsen, G.; Tamura, Y.; Noguchi, H.; Matsumoto, S.; Levy, M.; Naziruddin, B. Inhibition of inflammatory cytokine-induced response in human islet cells by withaferin A. Transp. Proc. 2010, 42, 2058–2061. [Google Scholar] [CrossRef]
- Kim, S.-H.; Singh, S.V. Mammary cancer chemoprevention by withaferin A is accompanied by in vivo suppression of self-renewal of cancer stem cells. Cancer Prev. Res. 2014, 7, 738–747. [Google Scholar] [CrossRef]
- Devi, P.U. Withaferin A: A new radiosensitizer from the Indian medicinal plant Withania somnifera. Intern. J. Radiat. Biol. 1996, 69, 193–197. [Google Scholar] [CrossRef]
- Devi, P.U.; Kamath, R.; Rao, B. Radiosensitization of a mouse melanoma by withaferin A: In vivo studies. Ind. J. Exp. Biol. 2000, 38, 432–437. [Google Scholar]
- Devi, P.U.; Utsumi, H.; Takata, M.; Takeda, S. Enhancement of radiation induced cell death in chicken B lymphocytes by withaferin A. Ind. J. Exp. Biol. 2008, 46, 437–442. [Google Scholar]
- Kakar, S.S.; Jala, V.R.; Fong, M.Y. Synergistic cytotoxic action of cisplatin and withaferin A on ovarian cancer cell lines. Biochem. Biophys. Res. Commun. 2012, 423, 819–825. [Google Scholar] [CrossRef]
- Kakar, S.S.; Ratajczak, M.Z.; Powell, K.S.; Moghadamfalahi, M.; Miller, D.M.; Batra, S.K.; Singh, S.K. Withaferin a alone and in combination with cisplatin suppresses growth and metastasis of ovarian cancer by targeting putative cancer stem cells. PLoS ONE 2014, 9, e107596. [Google Scholar]
- Yang, E.S.; Choi, M.J.; Kim, J.H.; Choi, K.S.; Kwon, T.K. Withaferin A enhances radiation-induced apoptosis in Caki cells through induction of reactive oxygen species, Bcl-2 downregulation and Akt inhibition. Chem. Biol. Interact. 2011, 190, 9–15. [Google Scholar] [CrossRef]
- Cohen, S.M.; Mukerji, R.; Timmermann, B.N.; Samadi, A.K.; Cohen, M.S. A novel combination of withaferin A and sorafenib shows synergistic efficacy against both papillary and anaplastic thyroid cancers. Am. J. Surg. 2012, 204, 895–901. [Google Scholar] [CrossRef] [PubMed]
- Coussens, L.M.; Werb, Z. Inflammation and cancer. Nature 2002, 420, 860–867. [Google Scholar] [CrossRef] [PubMed]
- Hayden, M.S.; Ghosh, S. Shared principles in NF-κB signaling. Cell 2008, 132, 344–362. [Google Scholar] [CrossRef]
- Schmitz, M.L.; Mattioli, I.; Buss, H.; Kracht, M. NF-κB: A multifaceted transcription factor regulated at several levels. Chembiochem 2004, 5, 1348–1358. [Google Scholar] [CrossRef]
- Grover, A.; Shandilya, A.; Punetha, A.; Bisaria, V.S.; Sundar, D. Inhibition of the NEMO/IKKβ association complex formation, a novel mechanism associated with the NF-κB activation suppression by Withania somnifera’s key metabolite withaferin A. BMC Genomics 2011, 11, S25. [Google Scholar] [CrossRef] [PubMed]
- Jackson, S.S.; Oberley, C.; Hooper, C.P.; Grindle, K.; Wuerzberger-Davis, S.; Wolff, J.; McCool, K.; Rui, L.; Miyamoto, S. Withaferin A disrupts ubiquitin-based NEMO reorganization induced by canonical NF-κB signaling. Exp. Cell Res. 2015, 331, 58–72. [Google Scholar] [CrossRef]
- Rasool, M.; Chandal, S.; Sabina, E.P. Inhibition of monosodium urate crystal-induced inflammation by withaferin A. J. Pharm. Pharm. Sci. 2008, 11, 46–55. [Google Scholar] [CrossRef]
- Oh, J.H.; Lee, T.-J.; Park, J.-W.; Kwon, T.K. Withaferin A inhibits iNOS expression and nitric oxide production by Akt inactivation and down-regulating LPS-induced activity of NF-κB in RAW 264.7 cells. Eur. J. Pharmacol. 2008, 599, 11–17. [Google Scholar] [CrossRef]
- Yu, S.-M.; Kim, S.-J. Production of reactive oxygen species by withaferin A causes loss of type collagen expression and COX-2 expression through the PI3K/Akt, p38, and JNK pathways in rabbit articular chondrocytes. Exp. Cell Res. 2013, 319, 2822–2834. [Google Scholar] [CrossRef]
- Shohat, B.; Kirson, I.; Lavie, D. Immunosuppressive activity of two plant steroidal lactones withaferin A and withanolide E. Biomedicine 1978, 28, 18–24. [Google Scholar] [PubMed]
- Sinha, P.; Ostrand-Rosenberg, S. Myeloid-derived suppressor cell function is reduced by Withaferin A, a potent and abundant component of Withania somnifera root extract. Cancer Immunol. Immunother. 2013, 62, 1663–1673. [Google Scholar] [CrossRef]
- Chen, Y.-C.; Sosnoski, D.M.; Mastro, A.M. Breast cancer metastasis to the bone: Mechanisms of bone loss. Breast Cancer Res. 2010, 12, 1–11. [Google Scholar] [CrossRef] [PubMed]
- Guise, T.A.; Kozlow, W.M.; Heras-Herzig, A.; Padalecki, S.S.; Yin, J.J.; Chirgwin, J.M. Molecular mechanisms of breast cancer metastases to bone. Clin. Breast Cancer 2005, 5, S46–S53. [Google Scholar] [CrossRef]
- Khedgikar, V.; Kushwaha, P.; Gautam, J.; Verma, A.; Changkija, B.; Kumar, A.; Sharma, S.; Nagar, G.; Singh, D.; Trivedi, P. Withaferin A: A proteasomal inhibitor promotes healing after injury and exerts anabolic effect on osteoporotic bone. Cell Death Dis. 2013, 4, e778. [Google Scholar] [CrossRef]
- Bustamante, C.I.; Wade, J. Herpes simplex virus infection in the immunocompromised cancer patient. J. Clin. Oncol. 1991, 9, 1903–1915. [Google Scholar] [CrossRef]
- Maisonneuve, P.; Marshall, B.C.; Knapp, E.A.; Lowenfels, A.B. Cancer risk in cystic fibrosis: A 20-year nationwide study from the United States. J. Natl. Cancer Inst. 2013, 105, 122–129. [Google Scholar] [CrossRef] [PubMed]
- Ghadir, M.R.; Bagheri, M.; Ghanooni, A.H. Congenital hepatic fibrosis leading to cirrhosis and hepatocellular carcinoma: A case report. J. Med. Case Rep. 2011, 5, 1–4. [Google Scholar] [CrossRef]
- Yusuf, S.W.; Sami, S.; Daher, I.N. Radiation-induced heart disease: A clinical update. Cardiol. Res. Pract. 2011, 2011, 1–9. [Google Scholar] [CrossRef]
- Challa, A.A.; Vukmirovic, M.; Blackmon, J.; Stefanovic, B. Withaferin-A reduces type I collagen expression in vitro and inhibits development of myocardial fibrosis in vivo. PLoS ONE 2012, 7, e42989. [Google Scholar] [CrossRef]
- Ku, S.-K.; Bae, J.-S. Antiplatelet, anticoagulant, and profibrinolytic activities of withaferin A. Vasc. Pharmacol. 2014, 60, 120–126. [Google Scholar] [CrossRef] [PubMed]
- Sen, N.; Banerjee, B.; Das, B.; Ganguly, A.; Sen, T.; Pramanik, S.; Mukhopadhyay, S.; Majumder, H. Apoptosis is induced in leishmanial cells by a novel protein kinase inhibitor withaferin A and is facilitated by apoptotic topoisomerase I–DNA complex. Cell Death Different. 2007, 14, 358–367. [Google Scholar] [CrossRef] [PubMed]
- Tripathi, C.D.P.; Gupta, R.; Kushawaha, P.K.; Mandal, C.; Bhattacharya-Misra, S.; Dube, A. Efficacy of Withania somnifera chemotypes NMITLI–101R, 118R and Withaferin A against experimental visceral leishmaniasis. Parasite Immunol. 2014, 36, 253–265. [Google Scholar] [CrossRef] [PubMed]
- Imokawa, G.; Ishida, K. Inhibitors of intracellular signaling pathways that lead to stimulated epidermal pigmentation: Perspective of anti-pigmenting agents. Intern. J. Mol. Sci. 2014, 15, 8293–8315. [Google Scholar] [CrossRef] [PubMed]

and
shows pathways stimulated and blocked respectively by WA.
and
shows pathways stimulated and blocked respectively by WA.
Publisher’s Note: MDPI stays neutral with regard to jurisdictional claims in published maps and institutional affiliations. |
© 2021 by the authors. Licensee MDPI, Basel, Switzerland. This article is an open access article distributed under the terms and conditions of the Creative Commons Attribution (CC BY) license (https://creativecommons.org/licenses/by/4.0/).
Share and Cite
Sultana, T.; Okla, M.K.; Ahmed, M.; Akhtar, N.; Al-Hashimi, A.; Abdelgawad, H.; Haq, I.-u.-. Withaferin A: From Ancient Remedy to Potential Drug Candidate. Molecules 2021, 26, 7696. https://doi.org/10.3390/molecules26247696
Sultana T, Okla MK, Ahmed M, Akhtar N, Al-Hashimi A, Abdelgawad H, Haq I-u-. Withaferin A: From Ancient Remedy to Potential Drug Candidate. Molecules. 2021; 26(24):7696. https://doi.org/10.3390/molecules26247696
Chicago/Turabian StyleSultana, Tahira, Mohammad K. Okla, Madiha Ahmed, Nosheen Akhtar, Abdulrahman Al-Hashimi, Hamada Abdelgawad, and Ihsan-ul- Haq. 2021. "Withaferin A: From Ancient Remedy to Potential Drug Candidate" Molecules 26, no. 24: 7696. https://doi.org/10.3390/molecules26247696
APA StyleSultana, T., Okla, M. K., Ahmed, M., Akhtar, N., Al-Hashimi, A., Abdelgawad, H., & Haq, I.-u.-. (2021). Withaferin A: From Ancient Remedy to Potential Drug Candidate. Molecules, 26(24), 7696. https://doi.org/10.3390/molecules26247696

