Thermodynamic Assessment of a Solar-Driven Integrated Membrane Reactor for Ethanol Steam Reforming
Abstract
:1. Introduction
2. System Description
3. Theoretical Formulations
4. Results and Discussion
5. Conclusions
- (1)
- An ESR system can improve the conversion rate at relatively low temperatures due to simultaneous separation of hydrogen. The theoretical conversion rate of the membrane reactor at 100 °C with permeate pressure of 0.01 bar is 98.3%, compared with only 14.8% for a traditional reactor configuration.
- (2)
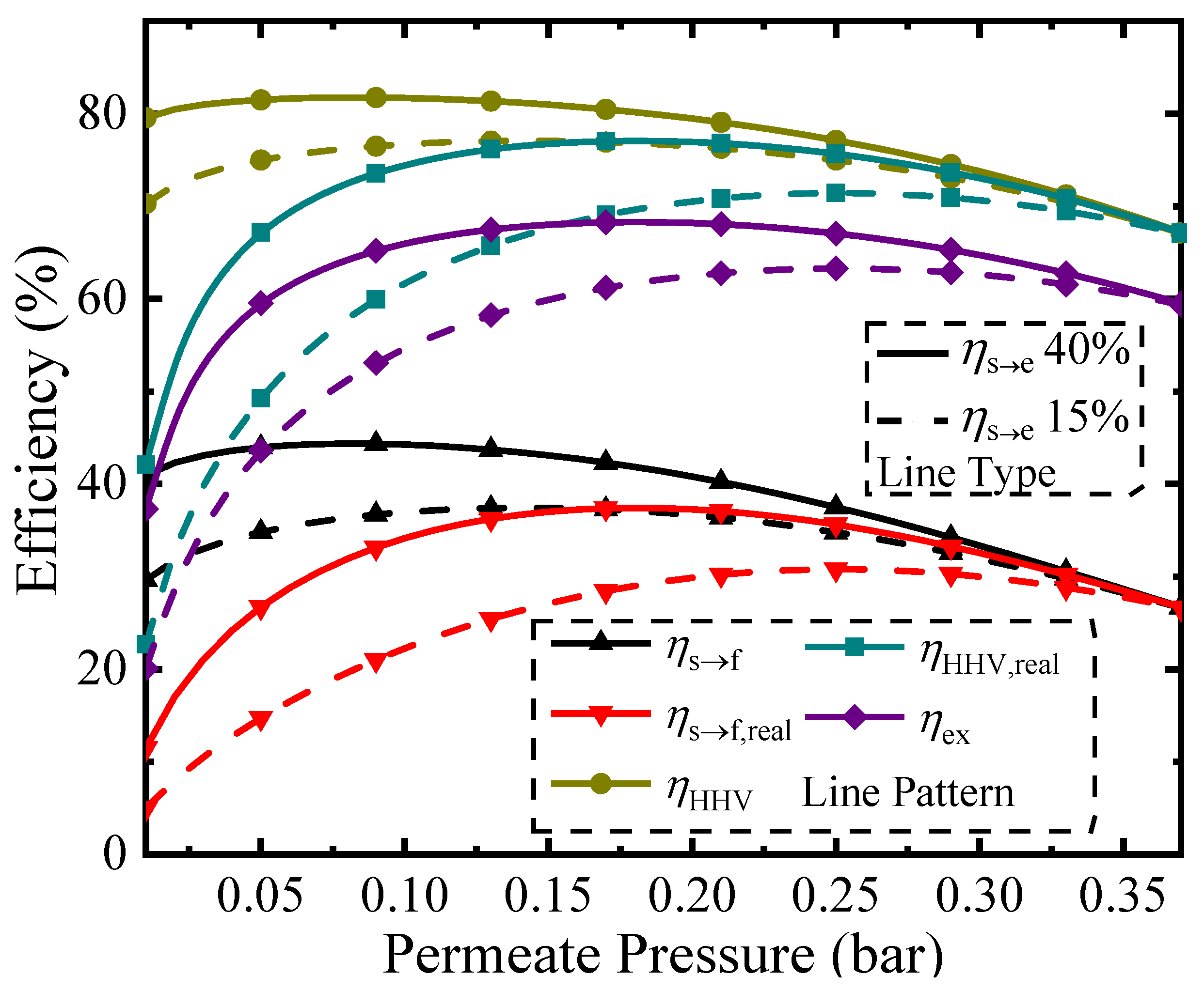
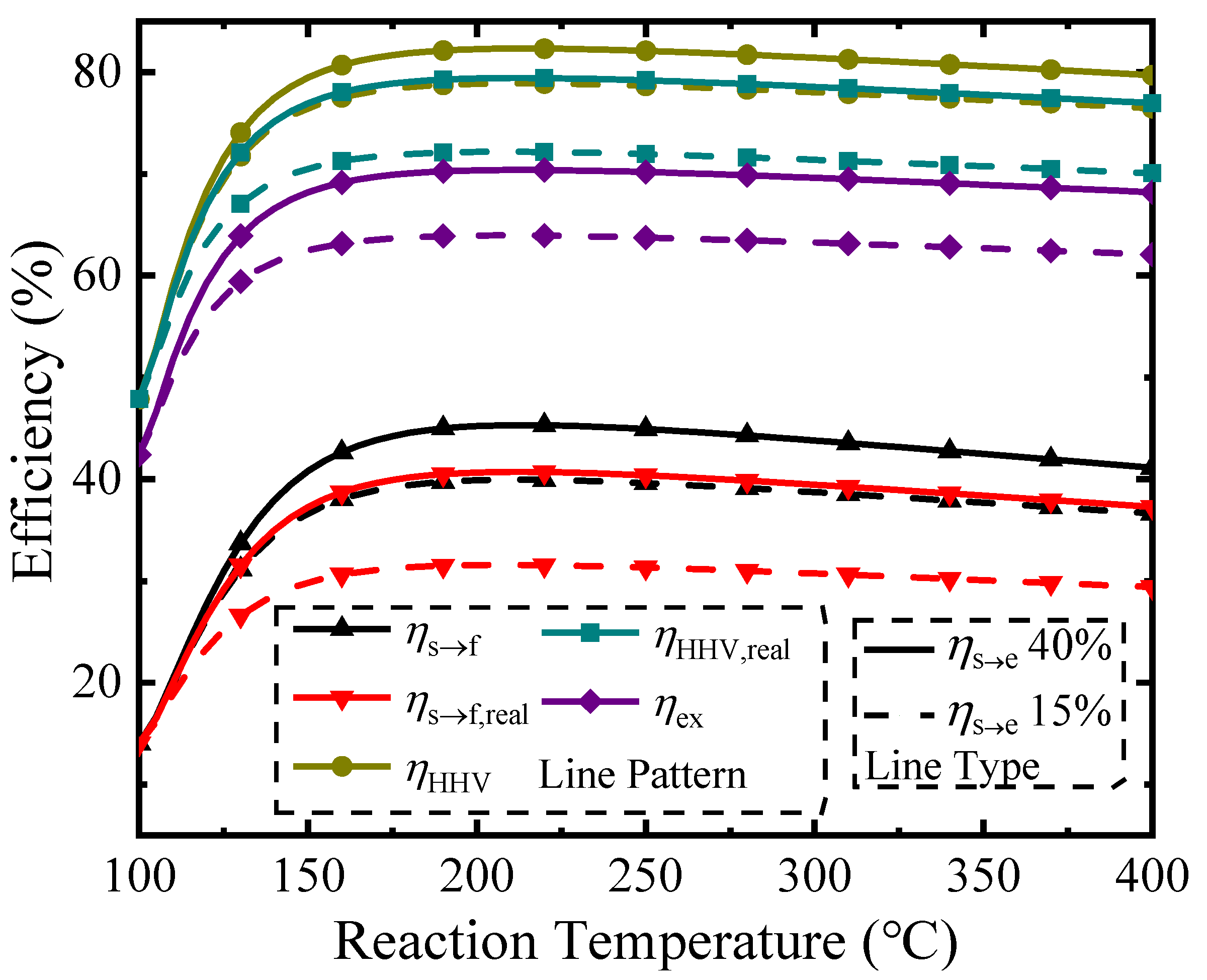
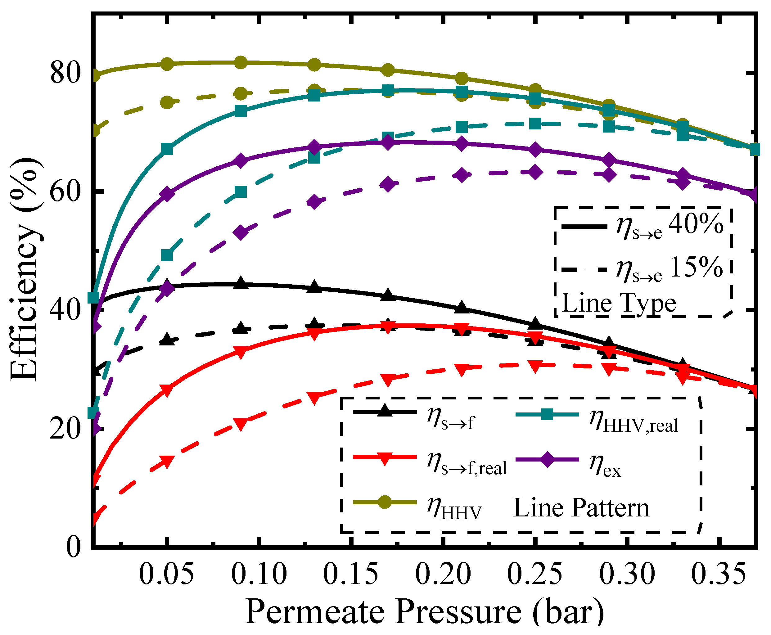
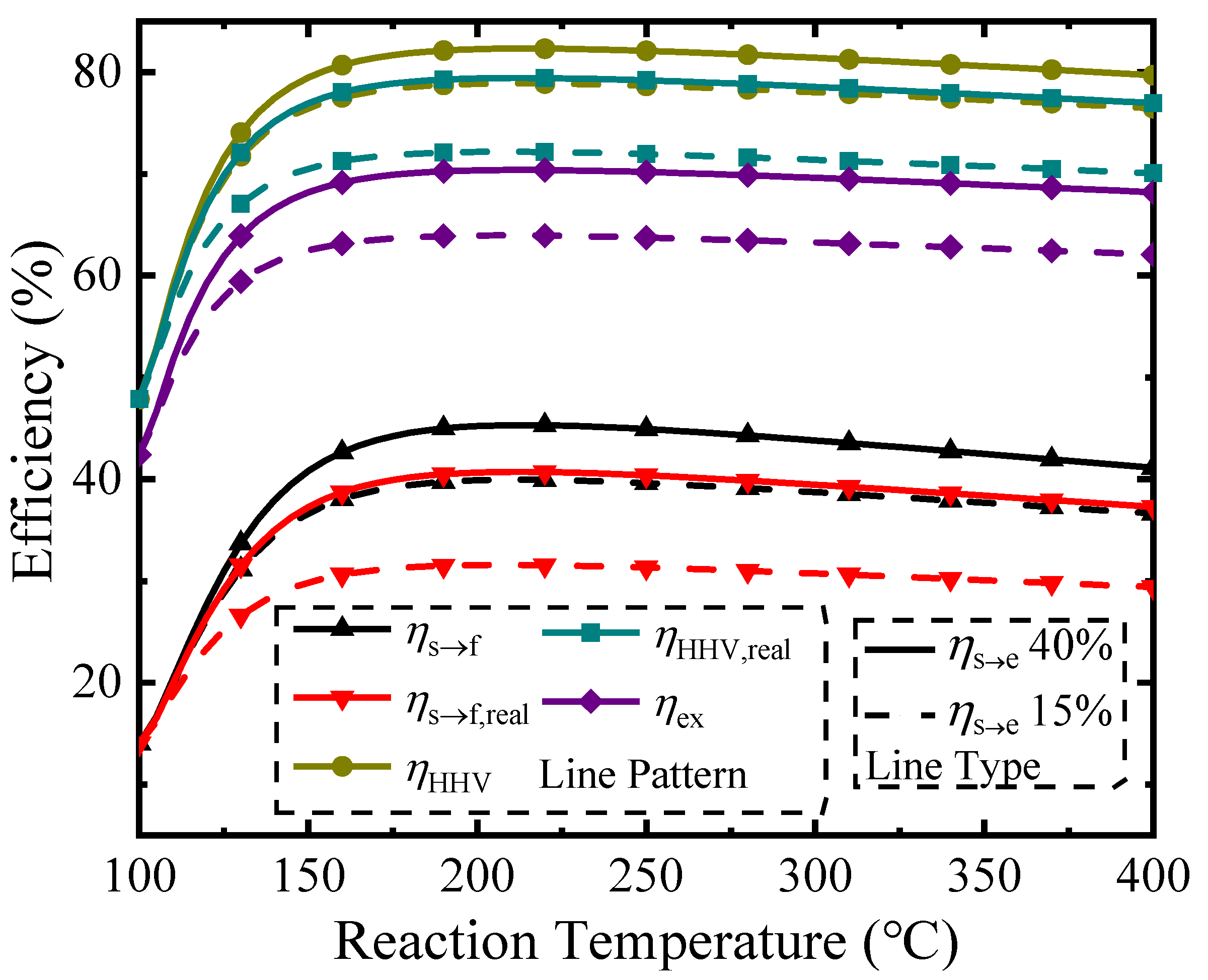
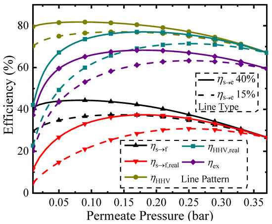
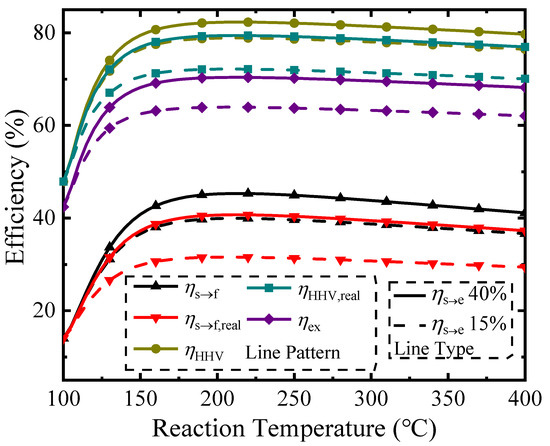
- Solar energy can be utilized efficiently in this system. The first-law thermodynamic efficiency, solar-to-fuel efficiency, and exergy efficiency with separation exergy and ηs→e of 40% are 82.3%, 45.3%, and 70.4%, respectively, at 215 °C and 0.20 bar. Compared with a traditional reactor, the ηHHV,real achieves the largest increment and can reach 12.0% at 130 °C with ηs→e of 40%.
- (3)
- In terms of the environmental performance of this solar-driven ESR system, higher efficiency leads to less fuel consumption and lower CO2 emissions. The SCSR and CDRR can achieve maximums of 101 g·m−2·h−1 and 247 g·m−2·h−1 at 200 °C and 0.20 bar with a corresponding hydrogen generation rate of 22.4 mol·m−2·h−1. The annual SCSR and CDRR are expected to be 201 kg·m−2·y−1 and 493 kg·m−2·y−1.
Author Contributions
Funding
Institutional Review Board Statement
Informed Consent Statement
Data Availability Statement
Conflicts of Interest
References
- Kannan, N.; Vakeesan, D. Solar energy for future world—A review. Renew. Sustain. Energy Rev. 2016, 62, 1092–1105. [Google Scholar] [CrossRef]
- Kong, H.; Hao, Y.; Wang, H. A solar thermochemical fuel production system integrated with fossil fuel heat recuperation. Appl. Therm. Eng. 2016, 108, 958–966. [Google Scholar] [CrossRef]
- Kodama, T. High-temperature solar chemistry for converting solar heat to chemical fuels. Prog. Energy Combust. Sci. 2003, 29, 567–597. [Google Scholar] [CrossRef]
- Hassanpouryouzband, A.; Joonaki, E.; Edlmann, K.; Haszeldine, R.S. Offshore Geological Storage of Hydrogen: Is This Our Best Option to Achieve Net-Zero? ACS Energy Lett. 2021, 6, 2181–2186. [Google Scholar] [CrossRef]
- He, R.; Wang, Y.; Wang, H.; Lundin, S.-T.B.; Wang, B.; Kong, H.; Lu, X.; Wang, J.; Li, W. A mid/low-temperature solar-driven integrated membrane reactor for the dehydrogenation of propane—A thermodynamic assessment. Appl. Therm. Eng. 2021, 193, 116952. [Google Scholar] [CrossRef]
- Wang, H.; Wang, B.; Kong, H.; Lu, X.; Hu, X. Thermodynamic Analysis of Methylcyclohexane Dehydrogenation and Solar Energy Storage via Solar-Driven Hydrogen Permeation Membrane Reactor. Membranes 2020, 10, 374. [Google Scholar] [CrossRef]
- Zhao, Q.; Zhang, X.; Wang, H.; Liu, M.; Lundin, S.T.B.; Shu, S.; Konh, H.; Hu, X. Feasibility of solar thermochemical natural gas desul-phurization and hydrogen generation with a membrane reactor. J. Clean. Prod. 2021, 312, 127835. [Google Scholar] [CrossRef]
- Sui, J.; Chen, Z.; Wang, C.; Wang, Y.; Liu, J.; Li, W. Efficient hydrogen production from solar energy and fossil fuel via wa-ter-electrolysis and methane-steam-reforming hybridization. Appl. Energy 2020, 276, 115409. [Google Scholar] [CrossRef]
- Zhao, Q.; Su, B.; Wang, H.; He, A.; He, R.; Kong, H.; Hu, X. Mid/low-temperature solar hydrogen generation via dry reforming of methane enhanced in a membrane reactor. Energy Convers. Manag. 2021, 240, 114254. [Google Scholar] [CrossRef]
- Hanaki, K.; Portugal-Pereira, J. The Effect of Biofuel Production on Greenhouse Gas Emission Reductions. Biofuels Sustain. 2018, 53–71. [Google Scholar] [CrossRef]
- Zhao, Y.; Damgaard, A.; Christensen, T. Bioethanol from corn stover—A review and technical assessment of alternative bio-technologies. Prog. Energy Combust. Sci. 2018, 67, 275–291. [Google Scholar] [CrossRef] [Green Version]
- Chen, J.; Zhang, B.; Luo, L.; Zhang, F.; Yi, Y.; Shan, Y.; Liu, B.; Zhou, Y.; Wang, X.; Lü, X. A review on recycling techniques for bioethanol production from lignocellulosic biomass. Renew. Sustain. Energy Rev. 2021, 149, 111370. [Google Scholar] [CrossRef]
- Costa, M.; Cerri, B.; Ceccato-Antonini, S.R. Ethanol addition enhances acid treatment to eliminate Lactobacillus fermentum from the fermentation process for fuel ethanol production. Lett. Appl. Microbiol. 2018, 66, 77–85. [Google Scholar] [CrossRef]
- Fang, Y.R.; Wu, Y.; Xie, G.H. Crop residue utilizations and potential for bioethanol production in China. Renew. Sustain. Energy Rev. 2019, 113, 109288. [Google Scholar] [CrossRef]
- Ma, R.; Dominguez, B.C.; Dixon, A.G.; Ma, Y.H. CFD study of heat and mass transfer in ethanol steam reforming in a catalytic membrane reactor. Int. J. Hydrogen Energy 2018, 43, 7662–7674. [Google Scholar] [CrossRef]
- Jia, H.; Xu, H.; Sheng, X.; Yang, X.; Shen, W.; Goldbach, A. High-temperature ethanol steam reforming in PdCu membrane reactor. J. Membr. Sci. 2020, 605, 118083. [Google Scholar] [CrossRef]
- Lu, G.; da Costa, J.C.D.; Duke, M.; Giessler, S.; Socolow, R.; Williams, R.; Kreutz, T. Inorganic membranes for hydrogen production and purification: A critical review and perspective. J. Colloid Interface Sci. 2007, 314, 589–603. [Google Scholar] [CrossRef]
- Dahlmeyer, J.; Garrison, T.; Garrison, T.; Darkey, S.; Massicotte, F.; Rebeiz, K.; Nesbit, S.; Craft, A. Effects of hydrogen exposure temperature on the tensile strength, microhardness and ductility of Pd/Ag (25wt.%) alloy. Scr. Mater. 2011, 64, 789–792. [Google Scholar] [CrossRef]
- Pal, N.; Agarwal, M.; Maheshwari, K.; Solanki, Y.S. A review on types, fabrication and support material of hydrogen separation membrane. Mater. Today Proc. 2020, 28, 1386–1391. [Google Scholar] [CrossRef]
- Yun, S.; Oyama, S.T. Correlations in palladium membranes for hydrogen separation: A review. J. Membr. Sci. 2011, 375, 28–45. [Google Scholar] [CrossRef]
- Uemiya, S.; Matsuda, T.; Kikuchi, E. Hydrogen permeable palladium-silver alloy membrane supported on porous ceramics. J. Membr. Sci. 1991, 56, 315–325. [Google Scholar] [CrossRef]
- Iulianelli, A.; Palma, V.; Bagnato, G.; Ruocco, C.; Huang, Y.; Veziroğlu, N.T.; Basile, A. From bioethanol exploitation to high grade hydrogen generation: Steam reforming promoted by a Co-Pt catalyst in a Pd-based membrane reactor. Renew. Energy 2018, 119, 834–843. [Google Scholar] [CrossRef]
- Iulianelli, A.; Liguori, S.; Vita, A.S.; Italiano, C.; Fabiano, C.; Huang, Y.; Basile, A. The oncoming energy vector: Hydrogen produced in Pd-composite membrane reactor via bioethanol reforming over Ni/CeO2 catalyst. Catal. Today 2016, 259, 368–375. [Google Scholar] [CrossRef]
- Jin, Y.; Rui, Z.; Tian, Y.; Lin, Y.; Li, Y. Autothermal reforming of ethanol in dense oxygen permeation membrane reactor. Catal. Today 2015, 264, 214–220. [Google Scholar] [CrossRef]
- Kong, H.; Kong, X.; Wang, H.; Wang, J. A strategy for optimizing efficiencies of solar thermochemical fuel production based on nonstoichiometric oxides. Int. J. Hydrogen Energy 2019, 44, 19585–19594. [Google Scholar] [CrossRef]
- Li, W.; Wang, H.; Hao, Y. A PVTC system integrating photon-enhanced thermionic emission and methane reforming for efficient solar power generation. Sci. Bull. 2017, 62, 1380–1387. [Google Scholar] [CrossRef] [Green Version]
- Wang, H.; Kong, H.; Pu, Z.; Li, Y.; Hu, X. Feasibility of high efficient solar hydrogen generation system integrating photovoltaic cell/photon-enhanced thermionic emission and high-temperature electrolysis cell. Energy Convers. Manag. 2020, 210, 112699. [Google Scholar] [CrossRef]
- Kalogirou, S. Solar thermal collectors and applications. Prog. Energy Combust. Sci. 2004, 30, 231–295. [Google Scholar] [CrossRef]
- Sun, J.; Liu, Q.; Hong, H. Numerical study of parabolic-trough direct steam generation loop in recirculation mode: Characteris-tics, performance and general operation strategy. Energy Convers. Manag. 2015, 96, 287–302. [Google Scholar] [CrossRef]
- Bai, Z.; Liu, Q.; Lei, J.; Jin, H. Investigation on the mid-temperature solar thermochemical power generation system with methanol decomposition. Appl. Energy 2018, 217, 56–65. [Google Scholar] [CrossRef]
- Wang, H.; Wang, B.; Qi, X.; Wang, J.; Yang, R.; Li, D.; Hu, X. Innovative non–oxidative methane dehydroaromatization via solar membrane reactor. Energy 2020, 216, 119265. [Google Scholar] [CrossRef]
- Tou, M.; Michalsky, R.; Steinfeld, A. Solar-Driven Thermochemical Splitting of CO2 and In Situ Separation of CO and O2 across a Ceria Redox Membrane Reactor. Joule 2017, 1, 146–154. [Google Scholar] [CrossRef] [Green Version]
- Giaconia, A.; Iaquaniello, G.; Caputo, G.; Morico, B.; Salladini, A.; Turchetti, L.; Monteleone, G.; Giannini, A.; Palo, E. Experimental validation of a pilot membrane reactor for hydrogen production by solar steam reforming of methane at maximum 550 °C using molten salts as heat transfer fluid. Int. J. Hydrogen Energy 2020, 45, 33088–33101. [Google Scholar] [CrossRef]
- Ogo, S.; Sekine, Y. Recent progress in ethanol steam reforming using non-noble transition metal catalysts: A review. Fuel Process. Technol. 2019, 199, 106238. [Google Scholar] [CrossRef]
- Ma, R.; Dominguez, B.C.; Mardilovich, I.P.; Dixon, A.G.; Ma, Y.H. Experimental and simulation studies of the production of renewable hydrogen through ethanol steam reforming in a large-scale catalytic membrane reactor. Chem. Eng. J. 2016, 303, 302–313. [Google Scholar] [CrossRef] [Green Version]
- Sousa, J.M.; Cruz, P.; Mendes, A. Modeling a catalytic polymeric non-porous membrane reactor. J. Membr. Sci. 2001, 181, 241–252. [Google Scholar] [CrossRef]
- Catalano, J.; Baschetti, M.G.; Sarti, G.C. Hydrogen permeation in palladium-based membranes in the presence of carbon monoxide. J. Membr. Sci. 2010, 362, 221–233. [Google Scholar] [CrossRef]
- Wang, H.; Hao, Y. Thermodynamic Study of Solar Thermochemical Methane Steam Reforming with Alternating H2 and CO2 Permeation Membranes Reactors. Energy Procedia 2017, 105, 1980–1985. [Google Scholar] [CrossRef]
- Wang, H.; Hao, Y.; Kong, H. Thermodynamic study on solar thermochemical fuel production with oxygen permeation mem-brane reactors. Int. J. Energy Res. 2015, 391, 1790–1799. [Google Scholar] [CrossRef]
- Roine, A. HSC Chemistry; Outokumpu Research Oy: Pori, Finland, 2002. [Google Scholar]
- Wang, B.; Kong, H.; Wang, H.; Wang, Y.; Hu, X. Kinetic and thermodynamic analyses of mid/low-temperature ammonia de-composition in solar-driven hydrogen permeation membrane reactor. Int. J. Hydrogen Energy 2019, 44, 26874–26887. [Google Scholar] [CrossRef]
- Wang, H.; Liu, M.; Kong, H.; Hao, Y. Thermodynamic analysis on mid/low temperature solar methane steam reforming with hydrogen permeation membrane reactors. Appl. Therm. Eng. 2019, 152, 925–936. [Google Scholar] [CrossRef]
- Bulfin, B.; Call, F.; Lange, M.; Lübben, O.; Sattler, C.; Pitz-Paal, R.; Shvets, I.V. Thermodynamics of CeO2 Thermochemical Fuel Production. Energy Fuels 2015, 29, 1001–1009. [Google Scholar] [CrossRef]
- Jarrett, C.; Chueh, W.; Yuan, C.; Kawajiri, Y.; Sandhage, K.H.; Henry, A. Critical limitations on the efficiency of two-step ther-mochemical cycles. Sol. Energy 2016, 123, 57–73. [Google Scholar] [CrossRef]
- Li, Y.; Zhang, N.; Cai, R. Low CO2-emissions hybrid solar combined-cycle power system with methane membrane reforming. Energy 2013, 58, 36–44. [Google Scholar] [CrossRef]
- Tu, H.; Liu, C. Calculation of CO2 emission of standard coal. Coal Qual Technol. 2014, 2, 57–60. [Google Scholar]
- Fletcher, E.A. Solar thermal processing: A review. J. Solar Energy Eng. 2001, 123, 63–74. [Google Scholar] [CrossRef]
- Wang, H.; Li, W.; Liu, T.; Liu, X.; Hu, X. Thermodynamic analysis and optimization of photovoltaic/thermal hybrid hydrogen generation system based on complementary combination of photovoltaic cells and proton exchange membrane electrolyzer. Energy Convers. Manag. 2019, 183, 97–108. [Google Scholar] [CrossRef]
- Sun, J.; Qiu, X.-P.; Wu, F.; Zhu, W.-T. H2 from steam reforming of ethanol at low temperature over Ni/Y2O3, Ni/La2O3 and Ni/Al2O3 catalysts for fuel-cell application. Int. J. Hydrogen Energy 2005, 30, 437–445. [Google Scholar] [CrossRef]
- System Advisor Model, Version 2016.3.14. Available online: https://sam.nrel.gov/ (accessed on 27 November 2020).
- Chen, Y.; Hu, W.; Sweeney, S. Resource availability for household biogas production in rural China. Renew. Sustain. Energy Rev. 2013, 25, 655–659. [Google Scholar] [CrossRef]
- Hang, Q.; Jun, Z.; Xiao, Y.; Junkui, C. Prospect of concentrating solar power in China—The sustainable future. Renew. Sustain. Energy Rev. 2008, 12, 2505–2514. [Google Scholar] [CrossRef]












Publisher’s Note: MDPI stays neutral with regard to jurisdictional claims in published maps and institutional affiliations. |
© 2021 by the authors. Licensee MDPI, Basel, Switzerland. This article is an open access article distributed under the terms and conditions of the Creative Commons Attribution (CC BY) license (https://creativecommons.org/licenses/by/4.0/).
Share and Cite
Wang, H.; Wang, B.; Lundin, S.-T.B.; Kong, H.; Su, B.; Wang, J. Thermodynamic Assessment of a Solar-Driven Integrated Membrane Reactor for Ethanol Steam Reforming. Molecules 2021, 26, 6921. https://doi.org/10.3390/molecules26226921
Wang H, Wang B, Lundin S-TB, Kong H, Su B, Wang J. Thermodynamic Assessment of a Solar-Driven Integrated Membrane Reactor for Ethanol Steam Reforming. Molecules. 2021; 26(22):6921. https://doi.org/10.3390/molecules26226921
Chicago/Turabian StyleWang, Hongsheng, Bingzheng Wang, Sean-Thomas B. Lundin, Hui Kong, Bosheng Su, and Jian Wang. 2021. "Thermodynamic Assessment of a Solar-Driven Integrated Membrane Reactor for Ethanol Steam Reforming" Molecules 26, no. 22: 6921. https://doi.org/10.3390/molecules26226921
APA StyleWang, H., Wang, B., Lundin, S.-T. B., Kong, H., Su, B., & Wang, J. (2021). Thermodynamic Assessment of a Solar-Driven Integrated Membrane Reactor for Ethanol Steam Reforming. Molecules, 26(22), 6921. https://doi.org/10.3390/molecules26226921

