Electron-Deficient Acetylenes as Three-Modal Adjuvants in SNH Reaction of Pyridinoids with Phosphorus Nucleophiles
Abstract
:1. Introduction
2. SNH Phosphorylation of Pyridines Triggered and Driven by Electrophilic Acetylenes
2.1. One-Step SNH Phosphorylation
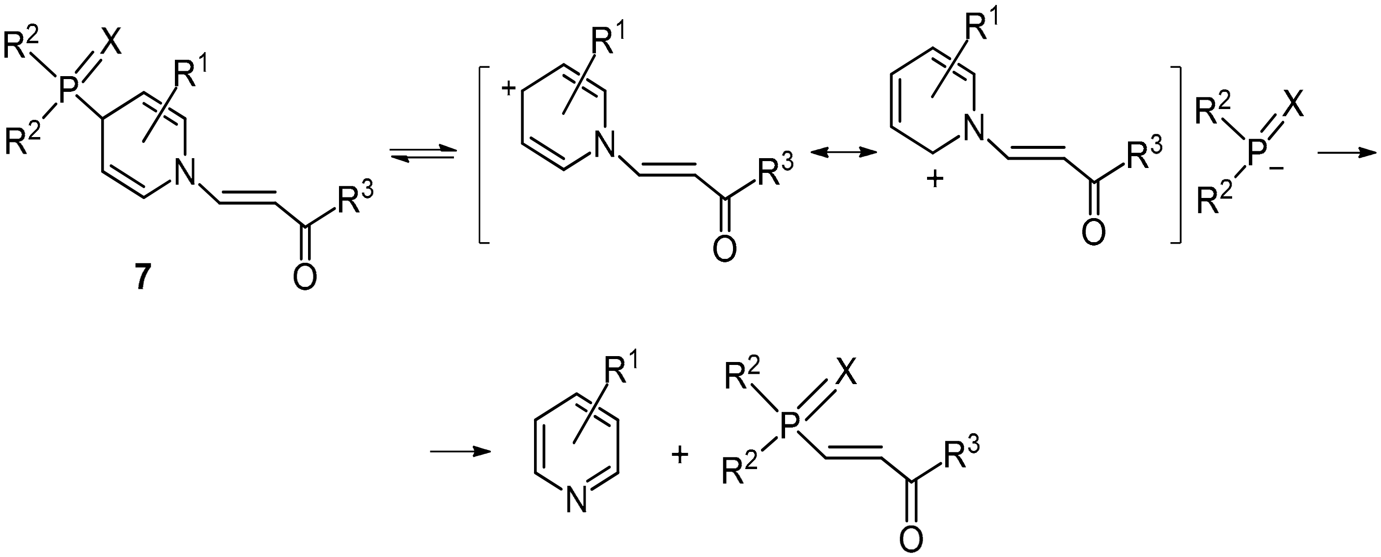
2.2. N-Vinylated/C-Phosphorylated Pyridines: Delayed SNH Phosphorylation
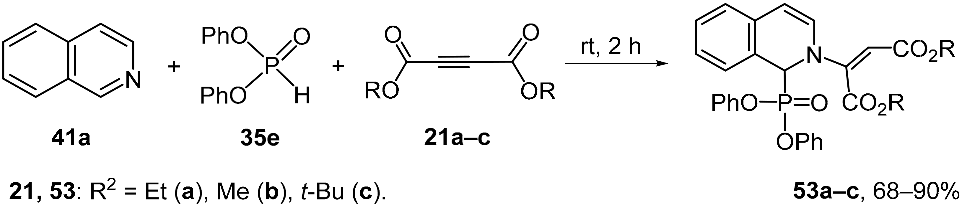
2.3. Phosphorylation of Pyridines with H-Phosphonates in the Presence of Electron-Deficient Acetylenes
3. SNH Phosphorylation of Quinolines and Isoquinolines
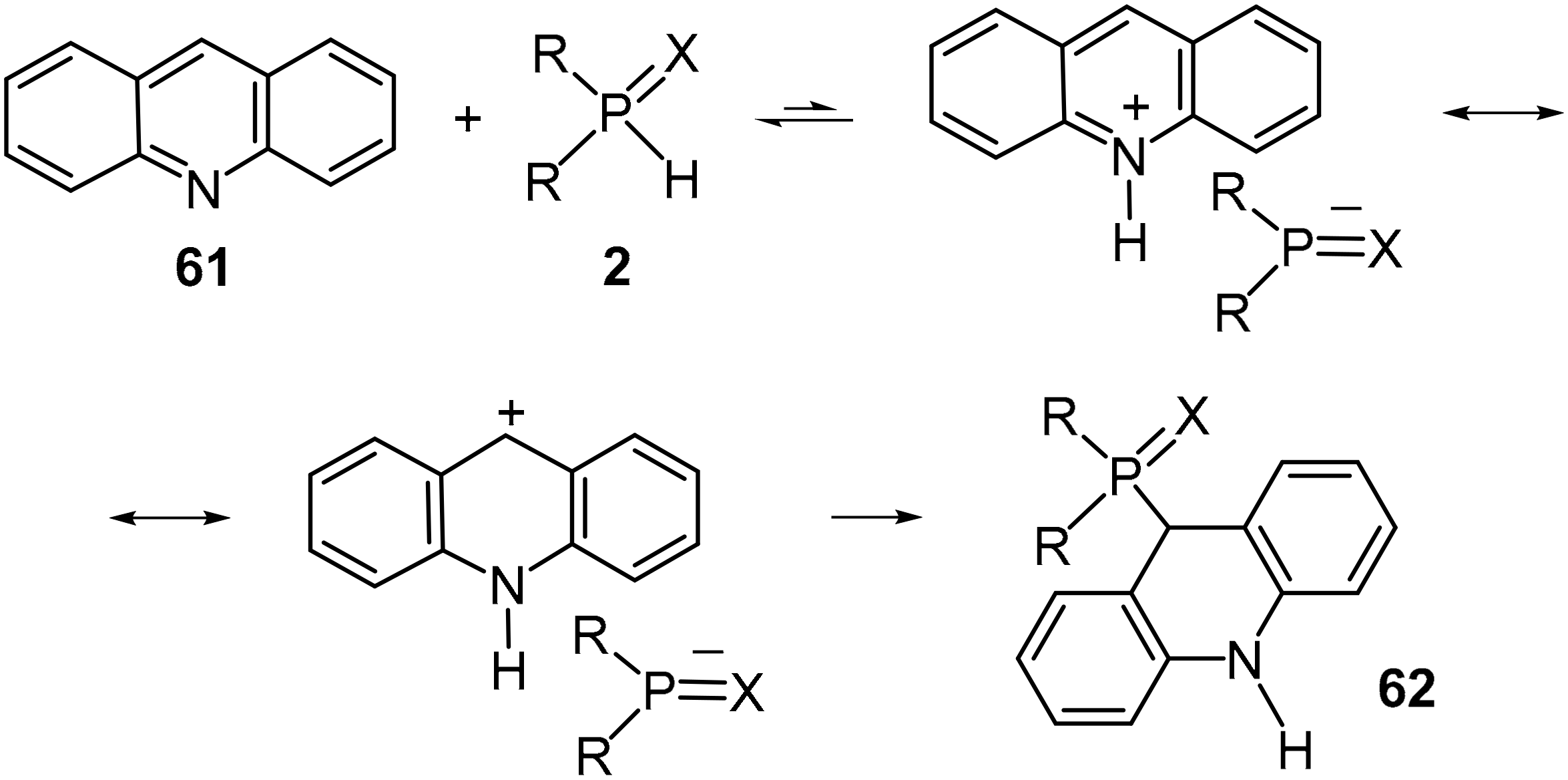
4. SNH Phosphorylation of Acridines
5. Conclusions and Outlook
Author Contributions
Funding
Institutional Review Board Statement
Informed Consent Statement
Data Availability Statement
Acknowledgments
Conflicts of Interest
Sample Availability
References
- Lam, K.H.; Gambari, R.; Chun, M.; Yuen, W.; Kan, C.W.; Chan, P.; Xu, L.; Tang, W.; Chui, C.H.; Cheng, G.Y.M.; et al. The preparation of 2,6-disubstituted pyridinyl phosphine oxides as novel anti-cancer agents. Bioorg. Med. Chem. Lett. 2009, 19, 2266–2269. [Google Scholar] [CrossRef] [PubMed]
- Reddy, G.S.; Rao, K.U.M.; Sudha, S.S.; Reddy, N.B.; Sundar, C.S.; Raju, C.N.; Reddy, C.S. Facile synthesis, characterization and antimicrobial activities of diphenylphosphoryl derivatives of substituted aryl and nitrogen heterocycles. Org. Commun. 2013, 6, 41–46. [Google Scholar]
- Dziuganowska, Z.A.; Ślepokura, K.; Volle, J.-N.; Virieux, D.; Pirat, J.-L.; Kafarski, P. Structural Analogues of Selfotel. J. Org. Chem. 2016, 81, 4947–4954. [Google Scholar] [CrossRef]
- Gama, N.H.; Elkhadir, A.Y.F.; Gordhan, B.G.; Kana, B.D.; Darkwa, J.; Meyer, D. Activity of phosphino palladium(II) and platinum(II) complexes against HIV-1 and Mycobacterium tuberculosis. Biometals 2016, 29, 637–650. [Google Scholar] [CrossRef] [PubMed]
- Fereidoonnezhad, M.; Niazi, M.; Ahmadipour, Z.; Mirzaee, T.; Faghih, Z.; Faghih, Z.; Shahsavari, H.R. Cyclometalated Platinum(II) Complexes Comprising 2-(Diphenylphosphino)pyridine and Various Thiolate Ligands: Synthesis, Spectroscopic Characterization, and Biological Activity. Eur. J. Inorg. Chem. 2017, 2017, 2247–2254. [Google Scholar] [CrossRef]
- Ssemaganda, A.; Low, L.M.; Verhoeft, K.R.; Wambuzi, M.; Kawoozo, B.; Nabasumba, S.B.; Mpendo, J.; Bagaya, B.S.; Kiwanuka, N.; Stanisic, D.I.; et al. Gold(I) phosphine compounds as parasite attenuating agents for malaria vaccine and drug development. Metallomics 2018, 10, 444–454. [Google Scholar] [CrossRef] [PubMed]
- Kuchar, J.; Rust, J.; Lehmann, C.W.; Mohr, F. Silver(I) Complexes with Camphorsulfonato and Phosphine Ligands: Structural Diversity and Antibacterial Activity. Inorg. Chem. 2020, 59, 10557–10568. [Google Scholar] [CrossRef] [PubMed]
- Khin, C.; Hashmi, A.S.K.; Rominger, F. Gold(I) Complexes of P,N Ligands and Their Catalytic Activity. Eur. J. Inorg. Chem. 2010, 2010, 1063–1069. [Google Scholar] [CrossRef]
- Kumar, P.; Singh, A.K.; Pandey, R.; Pandey, D.S. Bio-catalysts and catalysts based on ruthenium(II) polypyridyl complexes imparting diphenyl-(2-pyridyl)-phosphine as a co-ligand. J. Organomet. Chem. 2011, 696, 3454–3464. [Google Scholar] [CrossRef]
- Yang, Y.; Gurnham, J.; Liu, B.; Duchateau, R.; Gambarotta, S.; Korobkov, I. Selective Ethylene Oligomerization with Chromium Complexes Bearing Pyridine–Phosphine Ligands: Influence of Ligand Structure on Catalytic Behavior. Organometallics 2014, 33, 5749–5757. [Google Scholar] [CrossRef] [Green Version]
- Ren, W.; Sun, F.; Chu, J.; Shi, Y. A Pd-Catalyzed Site-Controlled Isomerization of Terminal Olefins. Org. Lett. 2020, 22, 1868–1873. [Google Scholar] [CrossRef] [PubMed]
- Zhang, T.; Qin, Y.; Wu, D.; Zhou, R.; Yi, X.; Liu, C. One-Pot Synthetic Route to a Class of Polydental Pyridylphosphines. Synth. Commun. 2005, 35, 1889–1895. [Google Scholar] [CrossRef]
- Denton, R.M.; An, J.; Adeniran, B.; Blake, A.J.; Lewis, W.; Poulton, A.M. Catalytic Phosphorus(V)-Mediated Nucleophilic Substitution Reactions: Development of a Catalytic Appel Reaction. J. Org. Chem. 2011, 76, 6749–6767. [Google Scholar] [CrossRef]
- Alcarazo, M.; Suárez, R.M.; Goddard, R.; Fürstner, A. A New Class of Singlet Carbene Ligands. Chem. Eur. J. 2010, 16, 9746–9749. [Google Scholar] [CrossRef]
- Wassenaar, J.; Detz, R.J.; de Boer, S.Y.; Lutz, M.; van Maarseveen, J.H.; Hiemstra, H.; Reek, J.N.H. Enantioselective Synthesis of Tunable Chiral Clickphine P,N-Ligands and Their Application in Ir-Catalyzed Asymmetric Hydrogenation. J. Org. Chem. 2015, 80, 3634–3642. [Google Scholar] [CrossRef] [PubMed]
- Makosza, M.; Wojciechowski, K. Nucleophilic Substitution of Hydrogen in Heterocyclic Chemistry. Chem. Rev. 2004, 104, 2631–2666. [Google Scholar] [CrossRef] [PubMed]
- Gulevskaya, A.V.; Pozharskii, A.F. Nucleophilic Aromatic Substitution of Hydrogen as a Tool for Heterocyclic Ring Annulation. Adv. Heterocycl. Chem. 2007, 93, 57–115. [Google Scholar]
- Charushin, V.N.; Chupakhin, O.N. Nucleophilic aromatic substitution of hydrogen and related reactions. Mendeleev Commun. 2007, 17, 249–254. [Google Scholar] [CrossRef]
- Charushin, V.N.; Chupakhin, O.N. (Eds.) Metal Free CH Functionalization of Aromatics: Nucleophilic Displacement of Hydrogen; Topics in Heterocyclic Chemistry; Springer International Publishing: Cham, Switzerland, 2014; Volume 37. [Google Scholar]
- Chupakhin, O.N.; Charushin, V.N. Recent advances in the field of nucleophilic aromatic substitution of hydrogen. Tetrahedron Lett. 2016, 57, 2665–2672. [Google Scholar] [CrossRef]
- Chupakhin, O.N.; Charushin, V.N. Nucleophilic C–H functionalization of arenes: A new logic of organic synthesis. Pure Appl. Chem. 2017, 89, 1195–1208. [Google Scholar] [CrossRef]
- Makosza, M. Electrophilic and Nucleophilic Aromatic Substitutions are Mechanistically Similar with Opposite Polarity. Chem. Eur. J. 2020, 26, 15346–15353. [Google Scholar] [CrossRef] [PubMed]
- Chupakhin, O.N.; Shchepochkin, A.V.; Charushin, V.N. Application of electrochemical oxidative methods in the C(sp2)-H functionalization of heterocyclic compounds. Adv. Heterocycl. Chem. 2020, 131, 1–47. [Google Scholar]
- Akulov, A.A.; Varaksin, M.V.; Mampuys, P.; Charushin, V.N.; Chupakhin, O.N.; Maes, B.U.W. C(sp2)–H functionalization in non-aromatic azomethine-based heterocycles. Org. Biomol. Chem. 2021, 19, 297–312. [Google Scholar] [CrossRef]
- Makosza, M.; Jawdosiuk, M. Direct Nucleophilic Substitution of Hydrogen in Nitrobenzene with Some Carbanions. J. Chem. Soc. D. 1970, 648–649. [Google Scholar] [CrossRef]
- Makosza, M.; Golinski, J. Nucleophilic Substitution of Hydrogen in Nitroarenes by Phosphorus-Stabilized Carbanions having “Vicarious” Leaving Groups. Angew. Chem. Int. Ed. Engl. 1982, 21, 451–452. [Google Scholar] [CrossRef]
- Makosza, M.; Paszewski, M.; Sulikowski, D. Synthesis of Diphenyl(nitroaryl)phosphine Oxides via Oxidative Nucleophilic Substitution of Hydrogen in Nitroarenes with Diphenylphosphine Anion. Synlett 2008, 2008, 2938–2940. [Google Scholar] [CrossRef]
- Makosza, M.; Sulikowski, D. Synthesis of α-(Nitroaryl)benzylphosphonates via Oxidative Nucleophilic Substitution of Hydrogen in Nitroarenes. J. Org. Chem. 2009, 74, 3827–3832. [Google Scholar] [CrossRef]
- Chupakhin, O.N.; Trofimov, V.A.; Pushkareva, Z.V. Arylamination of quaternary acridinium salts. Chem. Heterocycl. Compd. 1969, 5, 713. [Google Scholar] [CrossRef]
- Trofimov, V.A.; Chupakhin, O.N.; Pushkareva, Z.V.; Rusinov, V.L. Reaction of acridine proton salts with arylamines in the presence of sulphur. Chem. Heterocycl. Compd. 1971, 7, 104–106. [Google Scholar] [CrossRef]
- Chupakhin, O.N.; Postovskii, I.Ya. Nucleophilic Substitution of Hydrogen in Aromatic Systems. Russ. Chem. Rev. 1976, 45, 454–468. [Google Scholar] [CrossRef]
- Chupakhin, O.N.; Shchepochkin, A.V.; Charushin, V.N.; Maiorova, A.V.; Kulikova, T.V.; Shunyaev, K.Yu.; Enyashin, A.N.; Slepukhin, P.A.; Suvorova, A.I. Electrochemical Oxidative Aromatization of 9-Substituted 9,10-Dihydroacridines: Cleavage of C-H vs C-X Bond. Chem. Heterocycl. Comp. 2019, 55, 956–963. [Google Scholar] [CrossRef]
- Motoyoshiya, J.; Tsuboi, S.; Kokin, K.; Takaguchi, Y.; Hayashi, S.; Aoyama, H. A relationship between chemiluminescence and reactivity of Wittig type reactions of phosphonate carbanions. Heterocycl. Commun. 1998, 4, 25–30. [Google Scholar] [CrossRef]
- Motoyoshiya, J.; Ikeda, T.; Tsuboi, S.; Kusaura, T.; Takeuchi, Y.; Hayashi, S.; Yoshioka, S.; Takaguchi, Y.; Aoyama, H. Chemiluminescence in Autoxidation of Phosphonate Carbanions. Phospha-1,2-dioxetanes as the Most Likely High-Energy Intermediates. J. Org. Chem. 2003, 68, 5950–5955. [Google Scholar] [CrossRef] [PubMed]
- De Blieck, A.; Masschelein, K.G.R.; Dhaene, F.; Rozycka-Sokolowska, E.; Marciniak, B.; Drabowicz, J.; Stevens, C.V. One-pot tandem 1,4–1,2-addition of phosphites to quinolines. Chem. Commun. 2010, 46, 258–260. [Google Scholar] [CrossRef]
- De Blieck, A.; Catak, S.; Debrouwer, W.; Drabowicz, J.; Hemelsoet, K.; Verstraelen, T.; Waroquier, M.; Van Speybroeck, V.; Stevens, C.V. Diphosphonylation of Aromatic Diazaheterocycles and Theoretical Rationalization of Product Yields. Eur. J. Org. Chem. 2013, 2013, 1058–1067. [Google Scholar] [CrossRef]
- Trofimov, B.A.; Volkov, P.A.; Khrapova, K.O.; Telezhkin, A.A.; Ivanova, N.I.; Albanov, A.I.; Gusarova, N.K.; Chupakhin, O.N. Metal-free site selective cross-coupling of pyridines with secondary phosphine chalcogenides using acylacetylenes as oxidants. Chem. Commun. 2018, 54, 3371–3374. [Google Scholar] [CrossRef]
- Volkov, P.A.; Ivanova, N.I.; Khrapova, K.O.; Telezhkin, A.A.; Borodina, T.N.; Gusarova, N.K.; Trofimov, B.A. Solvent-free synthesis of 4-chalcogenophosphorylpyridines via SNHAr reaction of pyridines with secondary phosphine chalcogenides. Mendeleev Commun. 2018, 28, 582–583. [Google Scholar] [CrossRef]
- Volkov, P.A.; Telezhkin, A.A.; Khrapova, K.O.; Ivanova, N.I.; Albanov, A.I.; Gusarova, N.K.; Trofimov, B.A. Metal-free SNH cross-coupling of pyridines with phosphine chalcogenides via 2-4 migration of phosphoryl group: Polarization/deprotonation/oxidation trimodal catalyst-like effect of terminal electron-deficient acetylenes. New J. Chem. 2021, 45, 6206–6219. [Google Scholar] [CrossRef]
- Volkov, P.A.; Gusarova, N.K.; Khrapova, K.O.; Telezhkin, A.A.; Albanov, A.I.; Vasilevskiy, S.F.; Trofimov, B.A. A mechanistic insight into the chemoselectivity of the reaction between 3-phenyl-2-propynenitrile, secondary phosphine oxides and pyridinoids. Mendeleev Commun. 2021, 31, 670–672. [Google Scholar] [CrossRef]
- Trofimov, B.A.; Arbuzova, S.N.; Gusarova, N.K. Phosphine in the synthesis of organophosphorus compounds. Russ. Chem. Rev. 1999, 68, 215–227. [Google Scholar] [CrossRef]
- Trofimov, B.A.; Gusarova, N.K. Elemental phosphorus in strongly basic media as phosphorylating reagent: A dawn of halogen-free ‘green’ organophosphorus chemistry. Mendeleev Commun. 2009, 19, 295–302. [Google Scholar] [CrossRef]
- Gusarova, N.K.; Arbuzova, S.N.; Trofimov, B.A. Novel general halogen-free methodology for the synthesis of organophosphorus compounds. Pure Appl. Chem. 2012, 84, 439–459. [Google Scholar] [CrossRef]
- Gusarova, N.K.; Trofimov, B.A. Organophosphorus chemistry based on elemental phosphorus: Advances and horizons. Russ. Chem. Rev. 2020, 89, 225–249. [Google Scholar] [CrossRef]
- Gusarova, N.K.; Volkov, P.A.; Ivanova, N.I.; Arbuzova, S.N.; Khrapova, K.O.; Albanov, A.I.; Smirnov, V.I.; Borodina, T.N.; Trofimov, B.A. One-pot reductive N-vinylation and C(4)-phosphorylation of pyridines with alkyl propiolates and secondary phosphine chalcogenides. Tetrahedron Lett. 2015, 56, 4804–4806. [Google Scholar] [CrossRef]
- Gusarova, N.K.; Volkov, P.A.; Ivanova, N.I.; Khrapova, K.O.; Albanov, A.I.; Trofimov, B.A. Steric control of regiodirectivity of reductive N-vinylation–C-phosphorylation of pyridines with the system alkyl propiolate–secondary phosphine oxide. Russ. J. Gen. Chem. 2016, 86, 731–734. [Google Scholar] [CrossRef]
- Gusarova, N.K.; Volkov, P.A.; Ivanova, N.I.; Khrapova, K.O.; Telezhkin, A.A.; Albanov, A.I.; Trofimov, B.A. Structural effect in the reductive vinylation/phosphorylation of pyridines with alkyl propiolates and secondary phosphine chalcogenides: Protonation vs. zwitterion generation. Mendeleev Commun. 2017, 27, 553–555. [Google Scholar] [CrossRef]
- Volkov, P.A.; Telezhkin, A.A.; Ivanova, N.I.; Khrapova, K.O.; Albanov, A.I.; Gusarova, N.K.; Trofimov, B.A. Three-Component Reaction of 4-Methylpyridine with Alkyl Propiolates and Secondary Phosphine Chalcogenides. Russ. J. Gen. Chem. 2018, 88, 912–918. [Google Scholar] [CrossRef]
- Volkov, P.A.; Ivanova, N.I.; Khrapova, K.O.; Albanov, A.I.; Arbuzova, S.N.; Gusarova, N.K.; Trofimov, B.A. Synthesis of new N-phosphorylated vinylhydropyridines. Russ. J. Gen. Chem. 2015, 85, 1978–1981. [Google Scholar] [CrossRef]
- Volkov, P.A.; Telezhkin, A.A.; Khrapova, K.O.; Ivanova, N.I.; Albanov, A.I.; Apartsin, K.A.; Gusarova, N.K.; Trofimov, B.A. Unexpected Carbon–Selenium Bond Formation in the Reaction of Secondary Phosphine Selenides with Benzoylphenylacetylene. Russ. J. Gen. Chem. 2017, 87, 2902–2903. [Google Scholar] [CrossRef]
- Volkov, P.A.; Gusarova, N.K.; Khrapova, K.O.; Telezhkin, A.A.; Ivanova, N.I.; Albanov, A.I.; Trofimov, B.A. Catalyst-free selenylation of acylacetylenes with secondary phosphine selenides and water: A short-cut to bis(2-acylvinyl) selenides. J. Organomet. Chem. 2018, 867, 79–85. [Google Scholar] [CrossRef]
- Albouy, D.; Laspéras, M.; Etemad-Moghadam, G.; Koenig, M. Role of Base Catalysts upon the Pudovik Reaction: Unexpected synthesis of 1,2-dihydropyridine phosphonate derivatives. Tetrahedron Lett. 1999, 40, 2311–2314. [Google Scholar] [CrossRef]
- Shaabani, A.; Sarvary, A.; Mousavi-Faraz, S.; Ng, S.W. Synthesis of 1,2-dihydroquinolin-2-ylphosphonates and 1,2-dihydroisoquinolin-1-ylphosphonates via three-component reactions. Monatsh. Chem. 2012, 143, 1061–1065. [Google Scholar] [CrossRef]
- Arbuzova, S.N.; Gusarova, N.K.; Trofimov, B.A. Nucleophilic and free-radical additions of phosphines and phosphine chalcogenides to alkenes and alkynes. Arkivoc 2006, 2006, 12–36. [Google Scholar] [CrossRef] [Green Version]
- Semenzin, D.; Etemad-Moghadam, G.; Albouy, D.; Diallo, O.; Koenig, M. Dual Radical/Polar Pudovik Reaction: Application Field of New Activation Methods. J. Org. Chem. 1997, 62, 2414–2422. [Google Scholar] [CrossRef]
- Prasanthi, G.; Prasad, K.V.S.R.G.; Bharathi, K. Synthesis, anticonvulsant activity and molecular properties prediction of dialkyl 1-(di(ethoxycarbonyl)methyl)-2,6-dimethyl-4-substituted-1,4-dihydropyridine-3,5-dicarboxylates. Eur. J. Med. Chem. 2014, 73, 97–104. [Google Scholar] [CrossRef]
- Kumar, R.S.; Idhayadhulla, A.; Nasser, A.J.A.; Selvin, J. Synthesis and anticoagulant activity of a new series of 1,4-dihydropyridine derivatives. Eur. J. Med. Chem. 2011, 46, 804–810. [Google Scholar] [CrossRef]
- Abbas, H.-A.S.; El Sayed, W.A.; Fathy, N.M. Synthesis and antitumor activity of new dihydropyridine thioglycosides and their corresponding dehydrogenated forms. Eur. J. Med. Chem. 2010, 45, 973–982. [Google Scholar] [CrossRef] [PubMed]
- Fassihi, A.; Azadpour, Z.; Delbari, N.; Saghaie, L.; Memarian, H.R.; Sabet, R.; Alborzi, A.; Miri, R.; Pourabbas, B.; Mardaneh, J.; et al. Synthesis and antitubercular activity of novel 4-substituted imidazolyl-2,6-dimethyl-N3,N5-bisaryl-1,4-dihydropyridine-3,5-dicarboxamides. Eur. J. Med. Chem. 2009, 44, 3253–3258. [Google Scholar] [CrossRef] [PubMed]
- Salazar, T.; Gonzalez, A.; Bandyopadhyay, D. Dihydropyridines as Calcium Channel Blockers: An Overview. J. Anal. Pharm. Res. 2017, 5, 00148. [Google Scholar] [CrossRef] [Green Version]
- Trofimov, B.A.; Andriyankova, L.V.; Shaikhudinova, S.I.; Kazantseva, T.I.; Mal’kina, A.G.; Zhivet’ev, S.A.; Afonin, A.V. Reaction of 3-(1-Hydroxycyclohexyl)-2-propynenitrile with Tris[2-(4-pyridyl)ethyl]phosphine Oxide. Synthesis 2002, 2002, 853–855. [Google Scholar] [CrossRef]
- Shaabani, A.; Rezayan, A.H.; Sarvary, A.; Khavasi, H.R. A novel pyridine-based three-component condensation reaction: Synthesis of highly substituted quinolizines. Tetrahedron Lett. 2008, 49, 1469–1472. [Google Scholar] [CrossRef]
- Asghari, S.; Habibi, A.K. One pot three-component regioselective and diastereoselective synthesis of halogenated pyrido[2,1-b][1,3]oxazines. Tetrahedron 2012, 68, 8890–8898. [Google Scholar] [CrossRef]
- Adib, M.; Yavari, H.; Mollahosseini, M. Efficient one-pot synthesis of 2-oxo-1,9a-dihydro-2H-pyrido[1,2-a]pyrimidine derivatives. Tetrahedron Lett. 2004, 45, 1803–1805. [Google Scholar] [CrossRef]
- Rezayan, A.H.; Sabahi, H.; Rahmati, A.; Maleki, A.; Kheirjou, S. Synthesis of a new class of tetronic acid derivatives: A one-pot three-component condensation reaction between isoquinoline or pyridine and dialkyl acetylenedicarboxylate with tetronic acid. Monatsh. Chem. 2013, 144, 1051–1055. [Google Scholar] [CrossRef]
- Charati, F.R.; Hossaini, Z.; Hosseini-Tabatabaei, M.R. Three component reactions of N-nucleophiles and activated acetylenes with NH-acids: A facile synthesis in water. J. Heterocycl. Chem. 2012, 49, 154–160. [Google Scholar] [CrossRef]
- Arbuzova, S.N.; Gusarova, N.K.; Kazantseva, T.I.; Verkhoturova, S.I.; Albanov, A.I.; Afonin, A.V.; Trofimov, B.A. One-pot synthesis of polyfluoroalkylphosphonylated dihydropyridines with a carboxylate function from pyridines, alkyl propiolates, and bis(fluoroalkyl) phosphonates. Tetrahedron Lett. 2016, 57, 3515–3517. [Google Scholar] [CrossRef]
- Arbuzova, S.N.; Gusarova, N.K.; Kazantseva, T.I.; Verkhoturova, S.I.; Albanov, A.I.; Trofimov, B.A. Regio- and stereoselective reaction of 3-fluoropyridine, electron-deficient alkynes and bis(fluoroalkyl) phosphites: Catalyst- and solvent-free synthesis of polyfluoroalkylphosphonylated 3-fluoro-1,2-dihydropyridines. J. Fluor. Chem. 2018, 210, 137–141. [Google Scholar] [CrossRef]
- Trofimov, B.A.; Volkov, P.A.; Khrapova, K.O.; Telezhkin, A.A.; Ivanova, N.I.; Albanov, A.I.; Gusarova, N.K.; Belogolova, A.M.; Trofimov, A.B. Acetylene-Triggered Reductive Incorporation of Phosphine Chalcogenides into a Quinoline Scaffold: Toward SNHAr Reaction. J. Org. Chem. 2019, 84, 6244–6257. [Google Scholar] [CrossRef]
- Gusarova, N.K.; Volkov, P.A.; Ivanova, N.I.; Khrapova, K.O.; Albanov, A.I.; Afonin, A.V.; Borodina, T.N.; Trofimov, B.A. One-pot regio- and stereoselective synthesis of tertiary phosphine chalcogenides with (E)-N-ethenyl-1,2-dihydroquinoline functionalities. Tetrahedron Lett. 2016, 57, 3776–3780. [Google Scholar] [CrossRef]
- Yavari, I.; Mirzaei, A.; Moradi, L. Solvent-free synthesis of α-aminophosphonates from N-heterocycles, activated acetylenes, and diphenyl phosphite. Synth. Commun. 2010, 40, 2407–2414. [Google Scholar] [CrossRef]
- Volkov, P.A.; Telezhkin, A.A.; Ivanova, N.I.; Khrapova, K.O.; Albanov, A.I.; Gusarova, N.K.; Trofimov, B.A. Chemoselective Vinylation of the Quinine Hydroxy Group with the System Electron-Deficient Acetylene/Diphenylphosphine Oxide: An Alternative to SNHAr Reaction. Russ. J. Org. Chem. 2019, 55, 1971–1974. [Google Scholar] [CrossRef]
- Trofimov, B.A.; Volkov, P.A.; Telezhkin, A.A.; Khrapova, K.O.; Ivanova, N.I.; Albanov, A.I.; Gusarova, N.K. Catalyst-Free Double CH-Functionalization of Quinolines with Phosphine Oxides via Two SNHAr Reaction Sequences. J. Org. Chem. 2020, 85, 4927–4936. [Google Scholar] [CrossRef] [PubMed]
- Volkov, P.A.; Gusarova, N.K.; Telezhkin, A.A.; Khrapova, K.O.; Ivanova, N.I.; Albanov, A.I.; Vakul’skaya, T.I.; Khutsishvili, S.S.; Trofimov, B.A. Catalyst-free regio- and chemoselective addition of secondary phosphine oxides to isoquinolines. Russ. Chem. Bull. 2020, 69, 1102–1105. [Google Scholar] [CrossRef]
- Volkov, P.A.; Khrapova, K.O.; Telezhkin, A.A.; Ivanova, N.I.; Albanov, A.I.; Gusarova, N.K.; Trofimov, B.A. Catalyst-Free Phosphorylation of Acridine with Secondary Phosphine Chalcogenides: Nucleophilic Addition vs SNHAr Reaction. Org. Lett. 2018, 20, 7388–7391. [Google Scholar] [CrossRef]
- Volkov, P.A.; Telezhkin, A.A.; Ivanova, N.I.; Khrapova, K.O.; Gusarova, N.K.; Trofimov, B.A. Unexpected Reaction of Secondary Phosphine Chalcogenides with Acridine. Russ. J. Gen. Chem. 2019, 89, 543–545. [Google Scholar] [CrossRef]
- Shchepochkin, A.V.; Chupakhin, O.N.; Demina, N.S.; Averkov, M.A.; Shimanovskaya, T.Yu.; Slepukhin, P.A.; Volkov, P.A.; Telezhkin, A.A.; Trofimov, B.A.; Charushin, V.N. Electrochemical Aromatization of Dihydroazines: Effect of Chalcogenophosphoryl (CGP) Substituents on Anodic Oxidation of 9-CGP-9,10-dihydroacridine. Synthesis 2021, 53, 3791–3798. [Google Scholar] [CrossRef]
- Acheson, R.M.; Burstall, M.L. The reaction between acridine and methyl acetylenedicarboxylate. J. Chem. Soc. 1954, 1954, 3240–3245. [Google Scholar] [CrossRef]
- Acheson, R.M.; Woollard, J. Addition reactions of heterocyclic compounds. Part LVII. Reactions of pyridines with acetylenic esters in the presence of carbanion sources. J. Chem. Soc. Perkin Trans. 1 1975, 1975, 438–446. [Google Scholar] [CrossRef]

























































Publisher’s Note: MDPI stays neutral with regard to jurisdictional claims in published maps and institutional affiliations. |
© 2021 by the authors. Licensee MDPI, Basel, Switzerland. This article is an open access article distributed under the terms and conditions of the Creative Commons Attribution (CC BY) license (https://creativecommons.org/licenses/by/4.0/).
Share and Cite
Trofimov, B.A.; Volkov, P.A.; Telezhkin, A.A. Electron-Deficient Acetylenes as Three-Modal Adjuvants in SNH Reaction of Pyridinoids with Phosphorus Nucleophiles. Molecules 2021, 26, 6824. https://doi.org/10.3390/molecules26226824
Trofimov BA, Volkov PA, Telezhkin AA. Electron-Deficient Acetylenes as Three-Modal Adjuvants in SNH Reaction of Pyridinoids with Phosphorus Nucleophiles. Molecules. 2021; 26(22):6824. https://doi.org/10.3390/molecules26226824
Chicago/Turabian StyleTrofimov, Boris A., Pavel A. Volkov, and Anton A. Telezhkin. 2021. "Electron-Deficient Acetylenes as Three-Modal Adjuvants in SNH Reaction of Pyridinoids with Phosphorus Nucleophiles" Molecules 26, no. 22: 6824. https://doi.org/10.3390/molecules26226824
APA StyleTrofimov, B. A., Volkov, P. A., & Telezhkin, A. A. (2021). Electron-Deficient Acetylenes as Three-Modal Adjuvants in SNH Reaction of Pyridinoids with Phosphorus Nucleophiles. Molecules, 26(22), 6824. https://doi.org/10.3390/molecules26226824

